Next Article in Journal
Replacing Peat with Biochar: Can Adding Biochar to Peat Moss Reduce Carbon Dioxide Fluxes?
Previous Article in Journal
Socioeconomic Profile of Agricultural Producers and Production Systems in Municipalities of Piauí, Brazil
 
 
Font Type:
Arial Georgia Verdana
Font Size:
Aa Aa Aa
Line Spacing:
Column Width:
Background:
Article

Ecological Value Measurement Assessment and Forecasting in Chengdu City, Sichuan Province, China

College of Geography and Planning, Chengdu University of Technology, Chengdu 610059, China
*
Author to whom correspondence should be addressed.
Sustainability 2025, 17(9), 4138; https://doi.org/10.3390/su17094138
Submission received: 5 April 2025 / Revised: 26 April 2025 / Accepted: 29 April 2025 / Published: 2 May 2025

Abstract

This study employs an accounting approach to quantitatively assess Chengdu’s ecological value, focusing on agriculture, forestry, animal husbandry, fisheries, climate regulation, water conservation, water quality purification, and air quality improvement. The value of each indicator is calculated and visualized using ArcGIS 10.8, with predictions made for four future time intervals. The analysis reveals the spatial distribution patterns of ecological value across Chengdu. The results indicate the following: (1) From 2015 to 2019, Chengdu’s ecological value indicators demonstrated a positive growth trend, with notable increases in recreation services (CNY 178.5 billion), agriculture, forestry, animal husbandry, and fisheries (CNY 32.88 billion), and water conservation (CNY 9.26 billion). Values exhibited a general decrease from the city center outward. (2) Water quality purification, air quality improvement, and pest control values exhibited slight declines in 2015, 2017, and 2019 compared to 2015. (3) Ecological values demonstrate spatial diversity, with lower values in central areas for categories such as soil conservation and a “high-low-high” pattern for water conservation. Recreation services exhibit a “high in the center, low around the edges” pattern. (4) The gray prediction model forecasts that by 2027, the values for agriculture, forestry, animal husbandry and fisheries, water conservation, and soil conservation will double relative to 2015. Climate regulation and air quality improvement values are predicted to triple, while water quality purification exhibits minimal change. Pest control is expected to decline to 67% of its 2015 value, while the value of recreation services will increase to 12 times its 2015 value. The results of this study reveal the evolutionary characteristics of the ecological value volume index in Chengdu, fill a gap in the field of ecological value volume measurement and prediction in the region, and provide scientific support for understanding the evolutionary trajectory of Chengdu’s ecological environment.

1. Introduction

With the rapid development of urban economies, the ecological environment has become increasingly deteriorated, and the status of ecological value protection remains concerning. The protection of ecological values is crucial for the stability of ecosystems and the interdependence between human activities and ecological processes. Although the demand for ecosystem services (e.g., food, fresh water, and clean air) continues to increase, human activities undermine ecosystems’ capacity to provide these services [1]. The concept of Ecosystem Services (ES) was introduced in the late 1970s to enhance public awareness of biodiversity conservation by highlighting the direct contributions of natural systems to human well-being [2]. Early studies connected ecosystem functions—such as carbon fixation and soil formation—to essential life-supporting services. For instance, Ehrlich and Mooney proposed the idea of bio-environmental traits, which was later expanded by Daily to encompass indirect benefits including water purification and pollination. This conceptual development laid the foundation for subsequent research in the field [3]. The conservation and assessment of ecological values are essential for maintaining ecosystems, evaluating the risks of environmental changes to human societies, mitigating the impacts of ecological shifts, and effectively planning for ecological values in urban environments.
Research on ecological value in China began relatively recently, with the measurement of ecological product value initially stemming from ecosystem service value assessments. After decades of development, the foundational theories and technical methods of ecological product value accounting have seen substantial progress [4]. Currently, research in China focuses on the definition of the concept of ecological products, ecological value accounting methods, and pathways for realizing the value of ecological products [5], with these concepts being first proposed at the end of the 20th century [6]. In contrast, a study in the United States did not directly mention “ecological products” [7], but adopted similar concepts such as “ecosystem services” [8] and “environmental services” [9]. Another assessed the value of terrestrial ecosystem services in China, focusing on ecosystem research [10]. And in the field of ecological value measurement, Luo Huawei quantitatively analyzed the ecological value of rural collective forest assets in Sichuan Province in 2018 based on the Specification for Forest Ecosystem Service Function Assessment [11]. One study introduced the concept of Gross Ecosystem Product (GEP), defining it as the total value of products and services provided by ecosystems that contribute to human well-being and sustainable economic and social development [12]. Another was the first to roughly estimate the global ecosystem service function based on biophysical processes combined with global parameters and assessed its value using the engineering alternative value method [13]. This work provided a preliminary foundation for subsequent quantification and value assessment studies. Another study introduced this method to China, making localized adjustments to derive a table of ecological value coefficients per unit area for various grassland types, thereby providing a crucial data foundation for subsequent research and value assessments [14].
As an economic hub in Southwest China, Chengdu, together with Chongqing, constitutes the Twin Cities Economic Circle, which has a significant influence on the economic development of the entire region [15]. Ecosystem services are usually categorized into four types: provisioning services, regulating services, cultural services, and supporting services [16]. In the urban-scale study, in order to more accurately reflect the regional ecological functions, this study subdivided the ecosystem services in Chengdu into eight categories: agriculture, forestry, animal husbandry and fishery, climate regulation, water purification and air freshening, soil and water conservation, pest control, and tourism resources and income. Studies have shown that ecosystem services in arid areas are significantly affected by the interaction of grazing, climate, and biodiversity [17], which indicates that ecological valuation in urban areas needs to consider the compound effects of natural and anthropogenic factors. Meanwhile, there is a trade-off relationship between the contributions of different ecological restoration modes to ecosystem services and biodiversity [18], which provides a reference for ecological restoration and land use optimization in Chengdu. The development experience of the PES mechanism reveals the important role of ecological protection policy [19], which is conducive to improving the local ecological compensation system. Considering the existence of ecological service portfolio differences in different landscape units, in the context of the complex topography of Chengdu City, different regions need to carry out the value assessment according to local conditions. Numerous scholars have conducted assessment studies on the value of ecosystem services in Chengdu, such as the characteristics of spatial and temporal gradient of ecosystem service value [20], the value of ecosystem service function [21], and the impact of land use change on the value of ecosystem services [22], and so on. However, there is still a relative paucity of studies that quantify values and further apply models for prediction. In order to fill the research gap in the field of ecological value quantification and prediction, this study relies on the existing results of ecological value quantification in Chengdu City to conduct in-depth analyses and comparisons of the results of the accounting of the various ecological values in Chengdu City, so as to reveal the trend of changes in the different areas of the city and the value factors. By applying the gray prediction model, the study makes scientific predictions on the trend of ecological value changes in Chengdu City in the next four time periods. By applying the gray prediction model, this study not only provides a new perspective for the ecological value assessment of Chengdu City but also provides data support and theoretical basis for future urban planning and sustainable development decision-making in Southwest China. In summary, existing studies have paid insufficient attention to the dynamic evolution and prediction of ecological value in Chengdu, and lack a systematic analysis of the synergistic effects of multiple indicators. By integrating multi-source geographic data and gray prediction models, this study aims to address the following scientific issues: (1) the spatial and temporal differentiation characteristics of ecological value in Chengdu and its driving mechanism; (2) the synergistic/trade-off relationship between multiple types of ecological service functions; and (3) the scientific prediction of future trends in the evolution of ecological value. The research results will provide theoretical support for the construction of a ‘park city’ in Chengdu and the mechanism of realizing the value of ecological products.

2. Materials and Methods

2.1. Study Area

Chengdu is situated on the western edge of the Sichuan Basin (30°05′–31°26′ N, 102°54′–104°53′ N), characterized by diverse topography, including plains, hills, and mountains. The city experiences a mild, humid climate, with four distinct seasons, and is located within the subtropical monsoon climate zone, marked by abundant heat and concurrent rainfall. Chengdu possesses a well-developed water system, dominated by the two primary rivers, the Minjiang and Tuojiang, and is endowed with abundant water resources. The region is home to 12 major streams and numerous tributaries, including the Minjiang and Tuojiang rivers, providing the city with substantial water resources. The average annual precipitation reaches 1000 mm, while the average annual sunshine hours range between 1000 and 1600 h, the lowest in China [23]. Furthermore, Chengdu holds a critical ecological position in the upper reaches of the Yangtze River Basin, playing a vital regulatory role in maintaining the ecological balance of the basin.
Chengdu covers an area of more than 1.434 × 104 km2, with mountains and hills constituting a significant proportion. The city’s average land resettlement index reaches 38.22%, with over 60% of the land in plains, significantly higher than the national average of 10.4% and the provincial average of 11.5% in Sichuan. In terms of land use composition, arable land, forest land, and construction land remain the primary land use types in Chengdu [24]. The western region is dominated by the Longmen Mountain Range, with elevations primarily ranging from 1000 to 3000 m. The terrain is highly undulating, and the Longmen Mountain Fracture Zone traverses the region. The central region comprises the Chengdu Plain. The eastern region is the Longquan Mountainous Region, characterized by low mountains, hills, and terraces. The city features widely distributed and complete stratigraphy, with a distinctly marked topography (Figure 1).

2.2. Research Methods

This study primarily relied on administrative divisions of Sichuan Province, topographic data of Sichuan Province, and administrative divisions of Chengdu City from the National Geographic Information Public Service Platform (Tianmap) (https://cloudcenter.tianditu.gov.cn/administrativeDivision, accessed on 23 October 2024) and the Geospatial Data Cloud (https://www.gscloud.cn/, accessed on 24 October 2024). The administrative boundaries of Sichuan Province and Chengdu City were sourced from the National Geographic Information Public Service Platform (NGISP), while elevation data for Chengdu City were derived from the SRTM DEM UTM 90 m resolution digital elevation data available on the Geospatial Data Cloud (GDC) (Table 1).

2.2.1. Agriculture, Forestry, Fisheries and Ecological Resources

Ecological resources are classified into forest resources and water resources for ecological value assessment. Transpiration and evaporation from water surfaces play a crucial role in regulating temperature and humidity by removing heat and emitting water vapor. Climate regulation in ecosystems is characterized by the total evapotranspiration within the ecosystem [25].
E v = Q e × q × p × ε α × 3600 + β × Q e × p × η
where E v represents the value of ecosystem climate regulation; Q e is the annual evapotranspiration (m3); q is the heat of vaporization of water under standard atmospheric pressure (2.26 × 106 J/kg); p is the price of electricity, taken as the average electricity price in Chengdu City (0.6224); α is the air conditioning energy efficiency ratio, set at 3; ε is the air conditioning operation coefficient, generally set at 0.13; β is the unit volume of evaporative power consumption of water (125 kWh/m3); η is the humidifier operating coefficient, generally set at 0.123. Characterized primarily by water availability. It is closely related to indicators such as climate, precipitation, surface runoff, and vegetation. The formula for calculating the value of water services is as follows:
E w = T Q × C
T Q = i = 1 j P i E T i × A i
where E w represents the value of hydrologic stagnation (CNY·a−1); T Q is the total quantity hydrologic stagnation (m3); C is the engineering cost for constructing the reservoir capacity per unit; P i is the amount of rainfall (mm); E T i is the amount of evapotranspiration (mm); A i is the area of ecosystem type i; i represents the ecosystem type of category i in the study area; and j is the number of ecosystem types in the study area.

2.2.2. Water and Air Quality

Water quality is accounted for in terms of industrial wastewater and domestic sewage treatment and purification:
E p = T i · I i
where i represents industrial wastewater or domestic wastewater. E p represents the value of water purification (CNY/year); T i is the unit cost of purification and treatment for local industrial and domestic wastewater (CNY/year); and I i is the volume of industrial and domestic wastewater discharged (tonnes/year). The unit purification cost of domestic wastewater in Chengdu is 1.22 CNY/m3·a, while the unit purification cost of industrial wastewater is 2.28 CNY/m3·a.
For air quality, PM2.5 is used as a representative pollutant, with the concentration limits of the secondary standards stipulated in the Ambient Air Quality Standards, serving as a benchmark to calculate the impact of changes in PM2.5 concentrations on human health, as shown in the following formula:
G a = P × 0.0096 × C C 0 × M 0 1000
Q p m = G a × H L
In Equation (5), G a represents the change in health effects caused by variations in PM2.5 concentration (persons); Q p m is the ecological value of fresh air, and P is the resident population (persons); C is the annual average concentration of PM2.5 (µg/m3); C 0 is the baseline concentration of PM2.5, set at 35 µg/m3; M 0 is the all-cause mortality rate (‰); 0.0096 is the health effect coefficient of PM2.5. In Equation (6), H L represents the per capita human resource cost (CNY/person).

2.2.3. Soil Conservation and Pest Control

Soil retention was calculated using the Modified Generalized Erosion Equation [26]:
A c = A p A r
A p = R · K · L S
A r = R · K · L S · C
In Equation (7), A c represents soil retention (t/hm2·a−1), A p represents potential soil erosion (t/hm2·a−1), and A r represents real soil erosion (t/hm2·a−1). In Equation (8), R is the rainfall erosivity factor (MJ·mm·hm−2·h−1·a−1) and K is the soil erodibility factor (t·h·MJ−1·mm−1) [27]. The values 6549.55 MJ·mm·hm−2·h−1·a−1 and 0.025726 t·h·MJ−1·mm−1 correspond to the rainfall erosivity factor ( R ) and the soil erodibility factor ( K ), respectively. L S denotes the slope-length factor, which was calculated using DEM data of Chengdu City via the Slope-Length tool in ArcGIS software. In Equation (9), C represents the surface vegetation cover factor, and the data were derived from the C-value table in the USLE, corresponding to different types of vegetation and their average cover in Chengdu City. The value of pest and disease control is calculated by considering the cost of integrated control, the cost of non-integrated control, and the area under control. Refer to the formula presented below for the specific assessment method.
E b = N F a · M F r N F r P b
In Equation (10), E b represents the functional value of pest control services (RMB 10,000), N F a represents the area of forestry (km2) or the area of integrated agricultural control (hm2), M F r represents the incidence rate of pest control in plantation forests or non-integrated farmland (%), N F r represents the incidence rate of pest control in natural forests or integrated control farmland (%), and P b represents the per-unit-area pest control cost (10−2 million CNY/km2).

2.2.4. Tourism Resources and Income

In this study, we consider only the value of landscape recreation, which is approximated as a substitute for regional tourism revenue. It is assumed that leisure services in the region contribute to 70% of the total local tourism revenue [28].
E C V = 0.7 × N i
In Equation (11), E C V is the value of leisure services (CNY·a−1); N i is the tourism revenue of ecological scenic spots in year i (CNY·a−1)

2.2.5. Gray Model Prediction Method

Gray Model (GM(1,1)) is a dynamic prediction method based on small samples and incomplete information, and its core idea is to weaken the randomness of the data by cumulative generation (AGO) and use differential equations to mine the system evolution law. The prediction of the value volume was calculated using the GM(1,1) model proposed by Deng Julong in 1982:
x ^ 1 k = x 0 1 b a e a k 1 + b a , k = 1,2 , , n .
where: x ^ 1 k   is the predicted value at the -th moment; x 0 1 is the first observation of the original data series; a is the development coefficient, which reflects the growth rate or rate of decline of the data series; b is the amount of gray effect, which is related to the cumulative amount of the data; and e is the base of the natural logarithm, which is approximately equal to 2.71828.
Generally the rank ratio value e 2 / n + 1 , e 2 / n + 1 is between, where: 2 n + 1 is the lower limit of the computational interval; 2 n + 1 is the upper limit of the computational interval; e is the natural logarithmic value; and n is the length of the data sequence.

3. Results and Analyses

3.1. Agriculture, Forestry, Fisheries and Ecological Resource Values

Regarding agriculture, forestry, animal husbandry, and fishery, these industries in Chengdu and its neighboring areas experienced varying degrees of development from 2015 to 2019. As the central city, Chengdu’s total output value in agriculture, forestry, animal husbandry, and fishery increased from CNY 60.89 billion in 2015 to CNY 78.235 billion in 2019, indicating a significant growth trend.
Other districts, such as Pidu District, Dayi, Pujiang, Xinjin, Qingyang, Chenghua, Jinniu, Wuhou, and Jinjiang, although their output values fluctuated in certain years, generally exhibited an overall trend of growth or, at the very least, stability. For instance, Pidu District grew from CNY 3.635 billion in 2015 to CNY 4.569 billion in 2019, while Pujiang County increased from CNY 2.916 billion to CNY 3.787 billion (Figure 2). Qingyang, Chenghua, Jinniu, Wuhou, and Jinjiang districts and counties also demonstrated some growth or stability in their agriculture, forestry, animal husbandry, and fisheries outputs, though these changes were relatively modest.
Regarding ecological resources, the value contributed by forest resources for climate regulation in Chengdu City amounted to CNY 24.551 billion in 2019, an increase of CNY 6.317 billion compared to 2015. Among the districts and counties, Dujiangyan City contributed the highest value for climate regulation, at CNY 4.999 billion, followed by Qionglai City at CNY 3.538 billion and Longquanyi District at CNY 3.126 billion (Figure 2).The deterioration of the water environment, coupled with climate warming, has exacerbated water resource issues, with increasing water demand further aggravating the shortage of resources [29]. In terms of water resources, the value contributed by hydrologic stagnation sources in Chengdu City amounted to CNY 36.640 billion in 2019, an increase of CNY 9.260 billion compared to 2015. Among the districts and counties, Dayi County recorded the highest value of CNY 3.745 billion for hydrologic stagnation in 2019, followed by Dujiangyan with CNY 3.426 billion (Figure 2).

3.2. Water Quality and Air Quality Values

The value of water purification in Chengdu amounted to approximately CNY 1.704 billion in 2019, with Qingbaijiang District leading non-central urban areas at CNY 121 million, while Shuangliu District recorded the lowest value at CNY 18 million. Compared to 2015, the value of water purification in Chengdu City increased by CNY 0.94 billion, whereas Dujiangyan City saw a decrease of CNY 0.17 billion (Figure 3). Data indicate that the value of water purification in Chengdu City represented 0.53% of the total value of open space services in 2019, while a study in Costa Rica found that the value of forest water purification services accounted for 1.7% of the total value of open space recreation services [30]. This disparity may be attributed to differences in forest cover and the selection of study areas between the two regions. Chengdu, as the capital of Sichuan, boasts a relatively high value volume of leisure services, including tourism, whereas Costa Rica, being a coastal country, has extensive vegetation cover.
In the air purification sector, the fresh air eco-value in Chengdu City grew significantly in 2019, reaching CNY 7.905 billion, an increase of CNY 1.744 billion compared to 2015, underscoring the substantial positive impact of improved air quality on eco-value. Among the regions in Chengdu, the central city ranked highest, with a fresh air ecological value of CNY 2.478 billion, closely followed by Pengzhou, which recorded a fresh air ecological value of CNY 841 million. However, it is noteworthy that the ecological value of fresh air in Pujiang County decreased by CNY 212 million from 2015 (Figure 3). Chengdu City calculates the fresh air value based on the key indicator of PM2.5 concentration. In cases of unclear or missing data, green space area and density can serve as alternative indicators for measuring clean air value [31].

3.3. Amount of Soil Conservation and Pest Control Values

In 2019, the ecological value of soil conservation in Chengdu amounted to CNY 2.705 billion, an increase of CNY 636 million compared to 2015. The value derived from maintaining soil fertility contributed the most to this increase, amounting to CNY 2.018 billion, while the value of mitigating sedimentation, at CNY 687 million, should also be noted. Among the regions in Chengdu, Pengzhou City recorded the highest soil conservation value, at CNY 331 million, while Wenjiang District had a relatively low value of CNY 60 million (Figure 4). Studies in Chengdu and its neighboring southwestern regions have highlighted the close relationship between soil conservation values and other ecological values, particularly the synergistic effects with regulating and provisioning services [32]. For instance, improvements in water and air quality may have contributed to the steady increase in soil conservation values. This synergistic relationship suggests that the combined effects of ecological protection and environmental management measures contribute to the enhancement of soil conservation values, thereby improving the stability and productivity of the entire ecosystem.
In 2019, the ecological value of pest control and prevention in Chengdu City was CNY 1.561 billion, a decrease of CNY 185 million compared to 2015. Among the regions in Chengdu, Dayi County had the highest pest control and prevention value, amounting to CNY 274 million, while Wenjiang District had the lowest, at only CNY 2 million (Figure 4). In this study, the value of pest and disease control was calculated by combining the cost of control, the cost of non-integrated control, and the area under management. Meanwhile, a study in Chile quantified the ecological and economic value by examining the impact of insectivorous bats on grapevine damage [33]. Different quantification methods and metrics may result in variations in the measurement of pest control values.

3.4. Tourism Resources and the Amount of Income Value

Tourism resources in Chengdu are the primary source of its open space service value. In 2019, the open space service value in Chengdu amounted to CNY 321.304 billion, reflecting an increase of CNY 178.504 billion compared to 2015. Among these, the open space service value in the central city was the highest, amounting to CNY 136.042 billion, while Pujiang County recorded the lowest at only CNY 4.785 billion (Figure 5). In this study, the value of leisure services in Chengdu City is not only the largest but also the fastest-growing, accounting for 68% of the total value of all study areas by 2019. The value of leisure services is approximated using data related to the tourism industry, reflecting the rich tourism resources and market potential of Chengdu City. Based on the growth trend, the value of leisure services in Chengdu City holds significant potential for further development.
Analysis of the value volume accounting for Chengdu City in 2015, 2017, and 2019 reveals an overall growth trend across the eight selected indicators. The largest increase was seen in open space services, which grew by CNY 178.504 billion, followed by the value of agriculture, forestry, animal husbandry, and fishery, which increased by CNY 32.878 billion compared to 2015. However, three of the eight indicators showed a slight decline in 2017: water purification, air quality, and pest control, with decreases of CNY 40 million, CNY 200 million, and CNY 66 million, respectively. Pest control is the only indicator to show consecutive declines in both 2017 and 2019, with decreases of CNY 66 million and CNY 185 million, respectively.
As shown in the violin charts (Figure 6a–h), the values for agriculture, forestry, animal husbandry and fishery, climate regulation, water conservation, soil conservation, and leisure services increased steadily from 2015 to 2019, with a substantial rise in the value of leisure services, highlighting the growing contribution of Chengdu’s leisure services industry to the economy. The values for water purification and fresh air declined between 2015 and 2017 but rebounded in 2019. Among the eight indicators, only pest control exhibited consecutive declines from 2015–2017 and 2017–2019, possibly reflecting reduced pest control costs and improved prevention efficiency. Overall, seven of the eight indicators showed increases, with the exception of pest and disease control, indicating an upward trend in the ecological value of Chengdu City.

3.5. Ecological Value Volume Correlation Analysis

This study employed Pearson correlation analysis to examine the relationships between various ecosystem service functions in Chengdu City. The results indicated a significant correlation (1.00, p < 0.05) between agriculture, forestry, animal husbandry, and fishery activities and water conservation, suggesting that these activities enhance the soil’s water retention capacity. Regulating climate also showed a significant correlation with water conservation (1.00, p < 0.05), suggesting that effective soil and water conservation can reduce soil erosion and maintain soil moisture. Additionally, significant correlations (1.00, p < 0.05) were found between soil conservation and agriculture, forestry, and fisheries, as well as between leisure services and both agriculture, forestry, and fisheries, and water conservation (Figure 7).

3.6. Gray Model Based Predictive Analysis

In constructing the gray forecasting model GM(1,1) for the output value of agriculture, forestry, animal husbandry, and fishery in Chengdu, the data series was initially subjected to the rank-ratio test to evaluate its applicability (Table 2). This test involves calculating the ratio of data from two consecutive periods (i.e., the value from the previous period divided by the value from the current period). The results of the rank-ratio test showed that all calculated ratios fell within the predefined reasonable interval of [0.607, 1.649]. This suggests that the time series data for the output value of agriculture, forestry, animal husbandry, and fishery in Chengdu demonstrate adequate stability and regularity, making them suitable for further modeling and forecasting using the GM(1,1) model.
The C-value of the post-test difference ratio, as analyzed from the data table, was found to be 0.0001 ≤ 0.35, indicating excellent model accuracy. Additionally, the p-value for the probability of a small error was greater than 0.95, further confirming the model’s high accuracy (Table 3).
The data were projected for the next four time periods based on the values of agriculture, forestry, livestock, and fisheries in Chengdu for the years 2015, 2017, and 2019, yielding projected values for the years 2021, 2023, 2025, and 2027 (Table 4).
After constructing the model, the relative error and level deviation values were analyzed to assess the model’s performance. The maximum relative error was 0.002, which is less than 0.1, indicating a high degree of model fitting. Additionally, the level deviation value of 0, which is also less than 0.1, suggests that the model fitting meets high standards (Table 5).
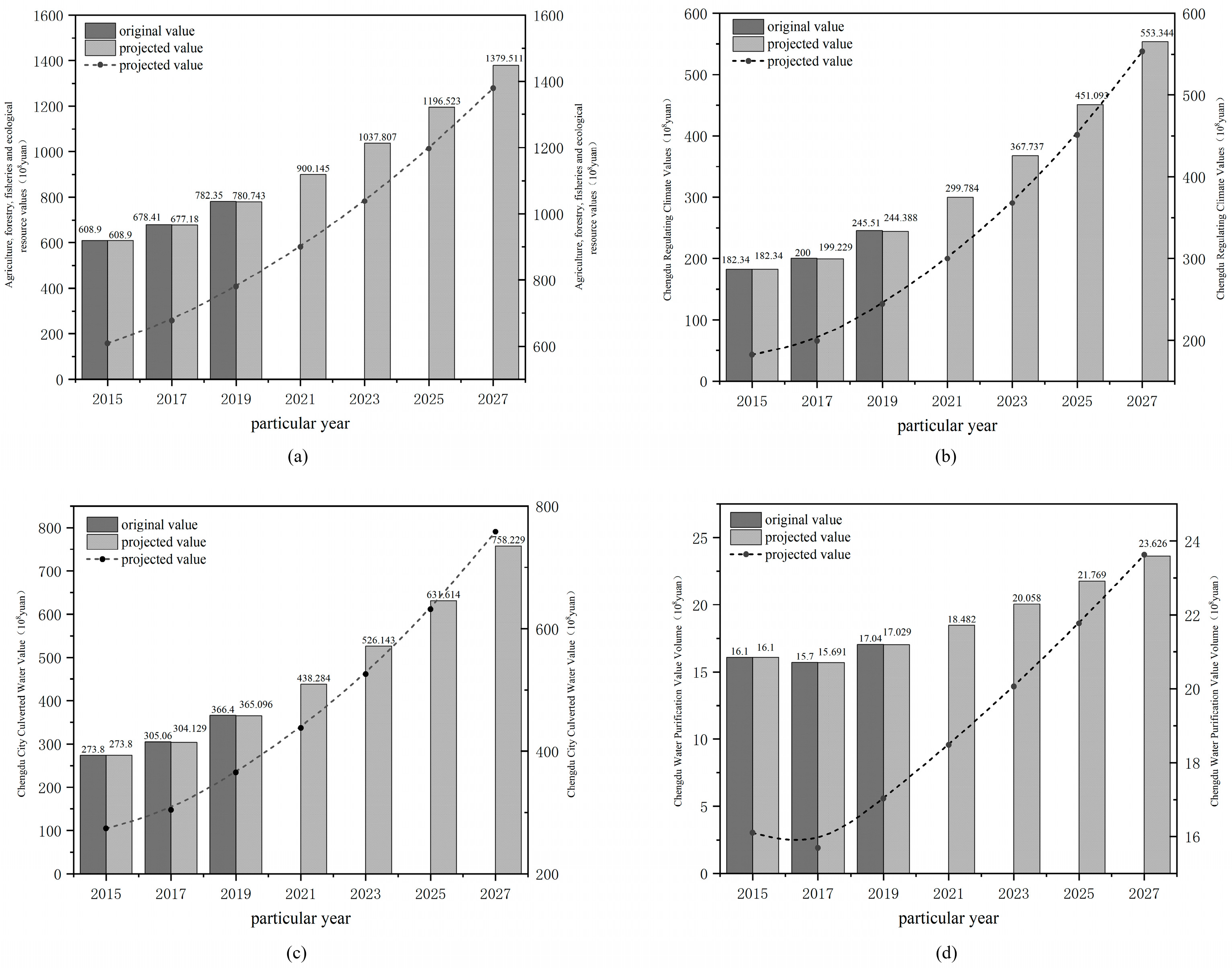
The gray model prediction method was applied to predict the remaining seven value quantities in the study area, resulting in a summary table of all value quantity predictions (Table 6 and Table 7). The predictions show a linear growth trend in all seven value indices except for the pest control value volume, which exhibited a decline (Figure 8 and Figure 9).

4. Discussion

4.1. Characteristics of Dynamic Evolution of Ecological Value Volume in Chengdu

The quantification of ecological value plays a crucial role in enhancing the identification and protection of urban ecological environments, thereby significantly contributing to the ecological construction and development of Chengdu City. As a demonstration area for the construction of a “Park City”, Chengdu has assumed a leadership role in advancing green and low-carbon development, promoting the integration of ecological and socio-economic progress, and establishing mechanisms for realizing the value of ecological products. This study analyzes the trends in the growth of ecological values in Chengdu and forecasts the potential changes in these values over the next four periods. The findings indicate that, between 2015 and 2019, the values associated with agriculture, forestry, animal husbandry, and fishery; climate regulation; water conservation; water purification; air purification; soil conservation; and recreational services all showed an increase, with the exception of the value of pest control, which exhibited a consecutive decline. This decline in pest control value may be attributed to improvements in pest control efficiency. Furthermore, in recent years, with the acceleration of the “Park City” initiative, it is projected that by 2022, the forest coverage rate in Chengdu will reach 40.2%, and the greening coverage rate in the built-up areas will rise to 43.9%, further contributing to the enhancement of regulating service values.

4.2. Limitations and Future Prospects

Although this study provides a comprehensive econometric analysis of the ecological value volume in Chengdu, several limitations remain. First, the study is constrained by a limited time span, relying on data from only three years, which does not capture the full temporal variation in ecological value volume. Second, some data may be influenced by discrepancies in statistical standards and data sources, potentially introducing bias into the analysis. Additionally, the absence of data from the city of Jianyang (denoted as 0) may lead to underestimation in the calculated values. Future research could extend the time frame, explore the specific mechanisms through which various factors influence changes in ecological value volume, and incorporate more field research and case studies to enhance the accuracy and practical applicability of the findings.
In China, previous studies on gray prediction models have primarily been applied in the fields of macroeconomic management, mathematics, nonlinear science, and system science, with comparatively fewer studies focusing on the ecological domain. Notable examples include reference [34], who predicted the evolutionary trend of tourism security in Zhangjiajie, China, by improving the TOPSIS method in conjunction with the GM(1,1) model, and reference [35], who developed a safety evaluation index system for urban agglomerations in central Yunnan Province to facilitate ecological safety early warning for urban areas. While most ecological research utilizing gray prediction models has centered on ecological early warning and evaluation, there is a notable gap in studies focusing on the measurement and prediction of ecological value.
In the field of ecological value measurement, four primary ecological value measurement methods exist. The unit area value equivalent method [36,37] is the most commonly used approach. The expert knowledge modification method refines the Costanza method for the Chinese context through extensive expert surveys, thereby improving the accuracy of ecological value measurement and assessment. The environmental replacement cost method [38] enhances result accuracy by incorporating cost-based calculations. The multi-indicator comprehensive assessment method [39,40] quantifies ecological value by incorporating both direct and indirect ecosystem services. This study employs the multi-indicator comprehensive assessment method to integrate various ecological service indicators, better capturing the overall ecological value. However, the lack of standardized assessment criteria leads to inconsistencies in measurement data across different regions. Future research should establish standardized indicators to minimize errors stemming from methodological discrepancies.
Ecological value prediction primarily employs three methods. The gray GM(1,1) model [41,42] forecasts the future development of ecological value in regions such as Poyang Lake, Jiujiang, Jiangxi Province, and Guizhou Province. The FLUS and CA-Markov models [43,44] have been applied to assess ecosystem service value (ESV) in Foshan City and Southwest China. The dynamic process model [45] has been used to analyze ecological value in the Beijing-Tianjin-Hebei region. While studies on ecological early warning and valuation exist, research on the measurement and prediction of ecological value—particularly in Southwest China, including Chengdu—remains limited, especially regarding the application of gray prediction models. To address this gap, future research should further investigate the application of gray prediction models in ecological value measurement and forecasting, contributing to ecosystem protection, resource management, and environmental policy development. Integrating principles from ecology, economics, and systems science, the gray prediction model offers a scientifically robust and precise tool for ecological value assessment and forecasting.
In order to accurately analyze and predict the ecological value volume of Chengdu City, this paper accounts for the statistics of each ecological value volume in Chengdu City and analyzes and predicts it by the construction of a GM(1,1) model and using a gray model. By analyzing the results of value quantity prediction, it provides a data reference for urban construction and planning and policy-making in Chengdu City. The conclusions of this study are mainly applicable to regions with similar urbanization stages and ecological policy orientations (e.g., ‘park city’) to Chengdu. In the future, the generalizability of the model needs to be further validated by extending the observation period and adding multi-region comparisons (e.g., Chongqing, Kunming). The study of ecological value quantity measurement in Chengdu City helps to realize the coordination between ecosystem protection and economic development by studying the impact of ecological protection on economic development through the analysis of ecological value quantity measurement, as well as providing data support for policy-making.

5. Conclusions

In this study, we conducted an in-depth econometric analysis of Chengdu City’s ecological value between 2015 and 2019, covering eight key ecological value indicators: agriculture, forestry, animal husbandry and fishery, climate regulation, water conservation, water purification, air purification, soil conservation, pest and disease control, and recreational services. Using ArcGIS software, we spatially visualized these indicators and systematically analyzed their dynamic trends at three key time points: 2015, 2017, and 2019.
The results of the study indicate that from 2015 to 2019, the ecological value volume indicators of Chengdu City generally exhibited a stable growth trend. By analyzing the eight key indicators of ecological value volume, we observed a clear hierarchical pattern in their changes. Specifically, recreational services, agriculture, forestry, animal husbandry and fishery, and water conservation experienced significant growth over the period, increasing by CNY 178.504 billion, CNY 32.878 billion, and CNY 9.260 billion, respectively, while the value of pest control exhibited a slight decline. Meanwhile, the remaining four ecological value indicators exhibited a consistent upward trend.
On the trend of increase and decrease in the phases of 2015–2017 and 2017–2019, the value volume of water purification, the value volume of fresh air, and the value volume of pest control in Chengdu City showed a small decline in 2017 compared with 2015 to CNY 0.04 billion, CNY 0.20 billion, and CNY 0.66 billion yuan, respectively. Among the eight value volume indices, pest control was the only one to exhibit consecutive decreases during both periods, with a total reduction of CNY 185 million.
Chengdu’s ecological values exhibit pronounced spatial heterogeneity, characterized by core-periphery gradients and dynamic shifts. Key services—agriculture-forestry-animal husbandry-fishery, climate regulation, and soil conservation—follow a “low-central, high-peripheral” pattern, with central-peripheral disparities peaking at CNY 9.759 billion and CNY 4.684 billion in 2019, driven by urban expansion reducing central ecological land versus sustained agricultural and ecological integrity in peripheries. Water conservation transitioned from “low-central, high-peripheral” (2015) to “high-central, low-peripheral” (2019), reflecting central hydrological enhancements via sponge city projects. Recreational services polarized, with the central area surging 125% to CNY 321.3 billion (2019), dwarfing Pujiang County (CNY 4.785 billion), highlighting its dominance in open-space provision. Water purification and air quality remained spatially balanced, while pest control displayed a heterogeneous “low-central, high-east-west-south” distribution, These patterns underscore urbanization-policy interplay in shaping ecosystem service differentiation.
The forecast indicates a generally stable growth trend in Chengdu City’s ecological value volume over the next four periods, with the exception of pest control, which is predicted to continue decreasing. The prediction suggests that by 2027, the value volume of agriculture, forestry, animal husbandry, and fisheries will reach CNY 137.951 billion, twice the 2015 level; climate regulation will reach CNY 55.334 billion, three times the 2015 level; water conservation will increase to CNY 75.823 billion; water purification will reach CNY 2.363 billion; fresh air will grow to CNY 24.038 billion; soil conservation will double to CNY 4.743 billion; pest control will decline by 66%; and open space services will grow most significantly, reaching CNY 1711.337 billion, twelve times the 2015 value. The current and predicted data suggest that Chengdu City’s ecological value volume is generally on a positive trajectory; however, water quality purification and pest control remain underdeveloped. These areas require greater attention in future urban planning and economic development, particularly in terms of water body protection.

Author Contributions

Conceptualization, R.L. and J.Z.; methodology, R.L.; software, K.X.; validation, R.L., X.Q. and W.C.; formal analysis, R.L.; investigation, R.L. and J.Z.; resources, X.Q.; data curation, R.L.; writing—original draft preparation, W.C.; writing—review and editing, R.L. and J.Z.; visualization, R.L. and K.X.; supervision, W.C.; project administration, W.C.; funding acquisition, W.C. All authors have read and agreed to the published version of the manuscript.

Funding

This research received no external funding.

Institutional Review Board Statement

Not applicable.

Informed Consent Statement

Not applicable.

Data Availability Statement

The datasets generated and analyzed during this study are not publicly available, but can be obtained from the authors upon reasonable request.

Conflicts of Interest

The authors declare no conflicts of interest.

References

  1. Yang, G.M.; Li, W.H.; Min, Q.W. Review of foreign opinions on evaluation of ecosystem services. Acta Ecol. Sin. 2006, 26, 205–212. [Google Scholar] [CrossRef]
  2. Birkhofer, K.; Diehl, E.; Andersson, J.; Ekroos, J.; Smith, H.G. Ecosystem services—Current challenges and opportunities for ecological research. Front. Ecol. Evol. 2015, 2, 87. [Google Scholar] [CrossRef]
  3. Lele, S.; Springate-Baginski, O.; Lakerveld, R.; Deb, D.; Dash, P. Ecosystem Services: Origins, Contributions, Pitfalls, and Alternatives. Conserv. Soc. 2013, 11, 343–358. [Google Scholar] [CrossRef]
  4. Zhang, L.B.; Chen, X.; Liang, T.; Wang, H.; Hao, C.Z.; Ren, Y.F.; Li, Y.A.; Wu, S.Y. Research Progress, Problems and Prospects of Ecosystem Products Value Accounting in China. Res. Environ. Sci. 2023, 36, 743–756. [Google Scholar] [CrossRef]
  5. Jin, C.; Lu, Y.Q. Review and Prospect of Research on Value Realization of Ecological Products in China. Econ. Geogr. 2021, 41, 207–213. [Google Scholar] [CrossRef]
  6. Ren, Y.W.; Yuan, G.B. Preliminary Account on “Ecological Products”. Chin. J. Ecol. 1992, 11, 48–50. [Google Scholar]
  7. Huang, Y.C.; Yao, M.X.; Wang, Q.; Su, J.H.; Wang, M. Theoretical research and practical progress in realising the value of ecological products. Chin. J. Environ. Manag. 2022, 14, 48–53. [Google Scholar] [CrossRef]
  8. Costanza, R.; Darge, R.; Groot, R.; Belt, H. The value of the world’s ecosystem services and natural capital. Nature 1996, 387, 253–260. [Google Scholar] [CrossRef]
  9. Wunder, S. Revisiting the concept of payments for environmental services. Ecol. Econ. 2015, 117, 234–243. [Google Scholar] [CrossRef]
  10. Ouyang, Z.Y.; Wang, H.K.; Miao, H. A primary study on Chinese terrestrial ecosystem services and their ecological-economic values. Acta Ecol. Sin. 1999, 19, 607–613. [Google Scholar]
  11. Luo, H.W.; Jiang, Y.Q. Measuring the ecological value of natural resource assets: Theory and cases. Friends Account. 2019, 7. [Google Scholar] [CrossRef]
  12. Ouyang, Z.Y.; Zhu, C.Q.; Yang, G.B.; Xu, W.H.; Zheng, H.; Zhang, Y.; Xiao, Y. Gross ecosystem product: Concept, accounting framework and case study. Acta Ecol. Sin. 2013, 33, 6747–6761. [Google Scholar] [CrossRef]
  13. Costanza, R.; Daly, H.E. Natural Capital and Sustainable Development. Conserv. Biol. 1992, 6, 37–46. [Google Scholar] [CrossRef]
  14. Xie, G.D.; Zhang, Y.L.; Lu, C.X.; Zheng, D.; Cheng, S.K. Study on valuation of rangeland ecosystem services of China. J. Nat. Resour. 2001, 16, 47–53. [Google Scholar] [CrossRef]
  15. Qin, B. City profile: Chengdu. Cities 2015, 43, 18–27. [Google Scholar] [CrossRef]
  16. Evans, D.L.; Hardman, C.A.; Kourmpetli, S.; Liu, L.; Mead, B.R.; Davies, J.A.C.; Braat, L.C. Ecosystem service delivery by urban agriculture and green infrastructure—A systematic review. Ecosyst. Serv. 2022, 54, 101405. [Google Scholar] [CrossRef]
  17. Maestre, F.T.; Bagousse-Pinguet, Y.L.; Delgado-Baquerizo, M.; Eldridge, D.J.; Saiz, H.; Berdugo, M.; Gozalo, B.; Ochoa, V.; Guirado, E.; Garcia-Gomez, M.; et al. Grazing and Ecosystem Service Delivery in Global Drylands. Science 2022, 378, 915–920. [Google Scholar] [CrossRef]
  18. Hua, F.; Bruijnzeel, L.A.; Meli, P.; Martin, P.A.; Zhang, J.; Nakagawa, S.; Miao, X.; Wang, W.; McEvoy, C.; Pena-Arancibia, J.L.; et al. The Biodiversity and Ecosystem Service Contributions and Trade-Offs of Forest Restoration Approaches. Science 2022, 376, 839–844. [Google Scholar] [CrossRef]
  19. Salzman, J.; Bennett, G.; Carroll, N.; Goldstein, A.; Jenkins, M. The Global Status and Trends of Payments for Ecosystem Services. Nat. Sustain. 2018, 1, 136–144. [Google Scholar] [CrossRef]
  20. Li, Z.Y.; Xu, P.; Wang, Y.K. Spatial-temporal characteristics and spatial coordination evolution of ecosystem service gradients in Chengdu. Southwest China J. Agric. Sci. 2023, 36, 2077–2091. [Google Scholar] [CrossRef]
  21. Zong, H.; Chen, W.X.; Huang, X.; Chen, S.Y.; Zhang, X. Research on the Value of the Ecosystem Service Function in Chengdu. J. Sichuan Norm. Univ. Nat. Sci. Ed. 2007, 30, 636. [Google Scholar] [CrossRef]
  22. Peng, W.F.; Zhou, J.M.; Lo, H.L.; Yang, C.J.; Zhao, J.F. Estimation on Gain and Losses of Ecosystem Service Value of Urban Land Use—A Case Study of Chengdu City. Res. Soil Water Conserv. 2011, 18, 43–52. [Google Scholar]
  23. Zheng, J.G.; Chi, Z.Z.; Jang, X.L.; Tang, Y.L.; Zhang, H. Experiences and Research Perspectives on Sustainable Development of Rice-Wheat Cropping Systems in the Chengdu Plain, China. Agric. Sci. China 2010, 9, 1317–1325. [Google Scholar] [CrossRef]
  24. Jiang, J. Study on the value of ecosystem services and their changes in Chengdu City—Based on the land use master plan. Rural Econ. Sci.—Technol. 2020, 31, 2. [Google Scholar] [CrossRef]
  25. Sun, G.; Caldwell, P.; Noormets, A.; McNulty, S.G.; Cohen, E.; Myers, J.M.; Domec, J.-C.; Treasure, E.; Mu, Q.; Xiao, J.; et al. Upscaling key ecosystem functions across the conterminous United States by a water-centric ecosystem model. J. Geophys. Res. Biogeosciences 2011, 116, G00J05. [Google Scholar] [CrossRef]
  26. Xiao, Y.; Xie, G.D.; An, K. The function and economic value of soil conservation of ecosystems in Qinghai-Tibet Plateau. Acta Ecol. Sin. 2003, 23, 2367–2378. [Google Scholar] [CrossRef]
  27. Qiu, Y.L.; Geng, R.; Hong, J.Y.; Wu, Q.J.; Hong, D.L. Soil erosion assessment in Gaochun slow city based on GIS and CSLE. Jiangsu Water Resour. 2018, 7, 19–25. [Google Scholar]
  28. Ma, G.X.; Yu, F.; Wang, J.N.; Zhou, X.F.; Yuan, J.; Mu, X.J.; Zhou, Y.; Yang, W.S.; Peng, F. Measuring gross ecosystem product (GEP) of 2015 for terrestrial ecosystems in China. China Environ. Sci. 2017, 37, 1474–1482. [Google Scholar]
  29. Jiang, W.L. Water Resources Theory of Value; Science Press: Beijing, China, 1998. [Google Scholar]
  30. Piaggio, M.; Siikamäki, J. The value of forest water purification ecosystem services in Costa Rica. Sci. Total Environ. 2021, 789, 147952. [Google Scholar] [CrossRef]
  31. Ramyar, R.; Saeedi, S.; Bryant, M.; Davatgar, A.; Hedjri, G.M. Ecosystem services mapping for green infrastructure planning–The case of Tehran—ScienceDirect. Sci. Total Environ. 2019, 703, 135466. [Google Scholar] [CrossRef]
  32. Lin, Z.Y.; Xiao, Y.; Rao, E.M.; Shi, X.W.; Zhang, P. Relationships among different types of ecosystem service in Southwest China. Chin. J. Appl. Ecol. 2020, 31, 978–986. [Google Scholar] [CrossRef]
  33. Rodríguez-San Pedro, A.; Allendes, J.L.; Beltrán, C.A.; Chaperon, P.N.; Saldarriaga-Córdoba, M.M.; Silva, A.X.; Grez, A.A. Quantifying ecological and economic value of pest control services provided by bats in a vineyard landscape of central Chile. Agric. Ecosyst. Environ. Int. J. Sci. Res. Relatsh. Agric. Food Prod. Biosph. 2020, 302, 107063. [Google Scholar] [CrossRef]
  34. Xu, M.; Liu, C.L.; Li, D.; Zhong, X.L. Tourism ecological security early warning of Zhangjiajie, China based onthe improved TOPSlS method and the grey GM (1, 1) model. Chin. J. Appl. Ecol. 2017, 28, 3731–3739. [Google Scholar] [CrossRef]
  35. Chen, Y.; Wang, J. Ecological security early-warning in central Yunnan Province, China, based on the gray model. Ecol. Indic. 2020, 111, 106000. [Google Scholar] [CrossRef]
  36. Yi, Z.; Xianhua, G.; Minghuai, W.; Hongyue, C.; Zhiyao, S. Qualification and Evaluation for the Ecological Values of Ecological Forests in Guangdong Province. J. Cent. South Univ. For. 2005, 25, 9–14. [Google Scholar] [CrossRef]
  37. Xie, G.D.; Zhang, C.X.; Zhang, C.S.; Xiao, Y.; Lu, C.X. The value of ecosystem services in China. Resour. Sci. 2015, 37, 1740–1746. [Google Scholar]
  38. Zhou, Y.H. Exploration of environmental replacement cost method for ecological environment value measurement. Acad. Bimest. 2015, 109–117. [Google Scholar] [CrossRef]
  39. Liu, Y. Study on Carbon Storage and Ecosystem Services Value Measurement of Forest Ecosystem in Liaoning Province. Ph.D. Thesis, Beijing Forestry University, Beijing, China, 2016. [Google Scholar]
  40. Zuo, L.L. Study on the Impact of Urbanisation on Ecosystem Service Value in Sichuan Province Based on County Scale. Ph.D. Thesis, Sichuan Normal University, Chengdu, China, 2022. [Google Scholar]
  41. Zhao, Z.G.; Yu, D.; Han, C.Y.; Wang, K.R. Ecosystem services value prediction and driving forces in the Poyang LakeEcoeconomic Zone. Acta Ecol. Sin. 2017, 37, 8411–8421. [Google Scholar] [CrossRef]
  42. Wei, Y.; Chen, Q. Eco-environmental Effects and Prediction of Land Use Transition for Zunyi City Under Background of Carbon Peaking. Bull. Soil Water Conserv. 2023, 43, 388–398. [Google Scholar] [CrossRef]
  43. Wang, J.F.; Liu, F.; Bai, X.Y.; Dai, W.; Li, Q.; Wu, L.H. The spatial and temporal evolution and simulation forecast of ecosystem service values in southwest China. Acta Ecol. Sin. 2019, 39, 7057–7066. [Google Scholar] [CrossRef]
  44. Li, L.; Wu, D.F.; Wang, F.; Liu, Y.Y.; Liu, Y.H.; Qian, L.X. Prediction and tradeoff analysis of ecosystem service value in the rapidly urbanizing Foshan City of China: A case study. Acta Ecol. Sin. 2020, 40, 9023–9036. [Google Scholar] [CrossRef]
  45. Wang, J.L.; Yang, L.; Zhang, D.H.; Peng, Q. Research on Measurement of Ecological Benefit of Water Conservation Forests in Beijing and Hebei Province: Based on the Theory of Forest Ecosystem Service Value. Ecol. Econ. 2016, 32, 186–190. [Google Scholar]
Figure 1. Location map of the study area.
Figure 1. Location map of the study area.
Sustainability 17 04138 g001
Figure 2. Value of agriculture, forestry and fisheries in Chengdu City 2015–2019 (a); Chengdu regulating climate values 2015–2019 (b); Chengdu City hydrologic stagnation value 2015–2019 (c). Units: CNY 109.
Figure 2. Value of agriculture, forestry and fisheries in Chengdu City 2015–2019 (a); Chengdu regulating climate values 2015–2019 (b); Chengdu City hydrologic stagnation value 2015–2019 (c). Units: CNY 109.
Sustainability 17 04138 g002
Figure 3. Chengdu water purification value volume 2015–2019 (a); value of clean air in Chengdu 2015–2019 (b). Units: CNY 109.
Figure 3. Chengdu water purification value volume 2015–2019 (a); value of clean air in Chengdu 2015–2019 (b). Units: CNY 109.
Sustainability 17 04138 g003
Figure 4. Chengdu soil conservation values 2015–2019 (a); value of pest control in Chengdu 2015–2019 (b). Units: CNY 109.
Figure 4. Chengdu soil conservation values 2015–2019 (a); value of pest control in Chengdu 2015–2019 (b). Units: CNY 109.
Sustainability 17 04138 g004
Figure 5. Value of open space services in Chengdu 2015–2019. Units: CNY 109.
Figure 5. Value of open space services in Chengdu 2015–2019. Units: CNY 109.
Sustainability 17 04138 g005
Figure 6. Changes in value volume of each value factor in Chengdu City violin map 2015–2019.
Figure 6. Changes in value volume of each value factor in Chengdu City violin map 2015–2019.
Sustainability 17 04138 g006
Figure 7. Correlation analysis of various value factors in Chengdu (2019). * p ≤ 0.05. ** p ≤ 0.01.
Figure 7. Correlation analysis of various value factors in Chengdu (2019). * p ≤ 0.05. ** p ≤ 0.01.
Sustainability 17 04138 g007
Figure 8. Histogram of the original and predicted value of agriculture, forestry, animal husbandry, and fishery in Chengdu (a); histogram of the original and predicted value of climate regulation in Chengdu (b); histogram of the original and predicted value of water purification in Chengdu (c); histogram of the original and predicted value of water purification in Chengdu (d).
Figure 8. Histogram of the original and predicted value of agriculture, forestry, animal husbandry, and fishery in Chengdu (a); histogram of the original and predicted value of climate regulation in Chengdu (b); histogram of the original and predicted value of water purification in Chengdu (c); histogram of the original and predicted value of water purification in Chengdu (d).
Sustainability 17 04138 g008
Figure 9. Histogram of the original and predicted value of fresh air in Chengdu (a); histogram of the original and predicted value of soil conservation in Chengdu (b); histogram of the original and predicted value of pest control in Chengdu (c); histogram of the original and predicted value of open space services in Chengdu (d).
Figure 9. Histogram of the original and predicted value of fresh air in Chengdu (a); histogram of the original and predicted value of soil conservation in Chengdu (b); histogram of the original and predicted value of pest control in Chengdu (c); histogram of the original and predicted value of open space services in Chengdu (d).
Sustainability 17 04138 g009
Table 1. Main data sources for the study of value measurement and forecasting in Chengdu City.
Table 1. Main data sources for the study of value measurement and forecasting in Chengdu City.
Data TypeInitial DataData Sources
DEMChengdu Elevation DataSpatial Data Cloud for Geography Classes (https://www.gscloud.cn/, accessed on 24 October 2024)
Administrative division dataData on administrative divisions in Sichuan ProvinceNational Geographic Information Public Service Platform (Sky Map) (https://cloudcenter.tianditu.gov.cn/administrativeDivision, accessed on 23 October 2024)
Table 2. Table of GM(1,1) model level ratios.
Table 2. Table of GM(1,1) model level ratios.
VintagesOriginal Value (Billion CNY)Grade Ratio λRaw Value Translation Shift Value (Shift = 0)The Value of the Converted Stage Ratio λ
201560.89-60.89-
201767.8410.89867.8410.898
201978.2350.86778.2350.867
Table 3. Results of model construction.
Table 3. Results of model construction.
Development FactoraGray VolumebA Posteriori Difference Ratio C-ValueSmall Error Probability p-Value
−0.1423543.48570.00011
Table 4. Forecast results of agriculture, forestry and fisheries value volumes.
Table 4. Forecast results of agriculture, forestry and fisheries value volumes.
YearsOriginal Value (Billion CNY)Forecast (Billion CNY)
201560.89 60.89
201767.84 67.72
201978.24 78.07
2021-90.01
2023-103.78
2025-119.65
2027-137.95
Table 5. Model test table.
Table 5. Model test table.
Serial NumberOriginal Value (Billion CNY)Forecast
(Billion CNY)
ResidualRelative ErrorGradation Deviation
160.8960.8900.000 per cent-
267.8467.721.230.181 per cent−0.035
378.2478.071.6070.205 per cent0
Table 6. Results of ecological value prediction.
Table 6. Results of ecological value prediction.
VintagesValue of Agriculture, Forestry, and Fisheries (Billion CNY)Regulating the Value of the Climate (Billion CNY)Value of Hydrologic Stagnation (Billion CNY)Value of Water Purification (Billion CNY)
Original ValueProjected ValueOriginal ValueProjected ValueOriginal ValueProjected ValueOriginal ValueProjected Value
201560.8960.8918.2318.2327.3827.381.611.61
201767.84167.722019.9230.5130.411.571.57
201978.23578.0724.5524.4436.6436.511.701.70
2021-90.01-29.98-43.83-1.85
2023-103.78-36.77-52.61-2.01
2025-119.65-45.11-63.16-2.18
2027-137.95-55.33-75.82-2.36
Table 7. Ecological value prediction results.
Table 7. Ecological value prediction results.
VintagesClean Air Value Volume
(Billion CNY)
Soil Conservation Value Volume (Billion CNY)Pest Control Value Volume
(Billion CNY)
Value of Leisure Services
(Billion CNY)
Original ValueProjected ValueOriginal ValueProjected ValueOriginal ValueProjected ValueOriginal ValueProjected Value
20156.166.162.072.071.751.75142.80142.80
20175.965.922.352.341.681.68208.79204.90
20197.917.832.712.701.561.56321.30313.25
2021 10.37 3.11 1.45 478.91
2023 13.72 3.58 1.35 732.17
2025 18.16 4.12 1.25 1119.37
2027 24.04 4.74 1.16 1711.34
Disclaimer/Publisher’s Note: The statements, opinions and data contained in all publications are solely those of the individual author(s) and contributor(s) and not of MDPI and/or the editor(s). MDPI and/or the editor(s) disclaim responsibility for any injury to people or property resulting from any ideas, methods, instructions or products referred to in the content.

Share and Cite

MDPI and ACS Style

Li, R.; Chen, W.; Xu, K.; Qi, X.; Zhou, J. Ecological Value Measurement Assessment and Forecasting in Chengdu City, Sichuan Province, China. Sustainability 2025, 17, 4138. https://doi.org/10.3390/su17094138

AMA Style

Li R, Chen W, Xu K, Qi X, Zhou J. Ecological Value Measurement Assessment and Forecasting in Chengdu City, Sichuan Province, China. Sustainability. 2025; 17(9):4138. https://doi.org/10.3390/su17094138

Chicago/Turabian Style

Li, Ran, Wende Chen, Kening Xu, Xuan Qi, and Jiali Zhou. 2025. "Ecological Value Measurement Assessment and Forecasting in Chengdu City, Sichuan Province, China" Sustainability 17, no. 9: 4138. https://doi.org/10.3390/su17094138

APA Style

Li, R., Chen, W., Xu, K., Qi, X., & Zhou, J. (2025). Ecological Value Measurement Assessment and Forecasting in Chengdu City, Sichuan Province, China. Sustainability, 17(9), 4138. https://doi.org/10.3390/su17094138

Note that from the first issue of 2016, this journal uses article numbers instead of page numbers. See further details here.

Article Metrics

Back to TopTop