Abstract
To address the limitations of low CuO loading and poor dispersion in conventional supported adsorbents, in this study, MOF (metal–organic framework)-derived CuO with Ce doping (CuxCeyO) was synthesized and used for the adsorption–oxidation of PH3 under low-temperature and low-oxygen conditions. The results demonstrated that Ce doping increased the PH3 capacity of the adsorbent from 75.54 mg·g−1 (MOF-derived CuO) to 226.87 mg·g−1 (Cu1Ce0.2O). The characterization results indicated that Ce doping significantly altered the physicochemical properties of CuO. Specifically, Cu1Ce0.2O exhibited optimal CuO dispersion, the highest adsorbed oxygen concentration, superior redox performance, an increased number of basic sites, and a larger specific surface area and pore volume, all contributing to its improved performance. Analysis of the exhausted adsorbent revealed the formation of Cu3P and phosphoric acid. And the deactivation of the adsorbent can be attributed to the consumption of CuO and the blockage of pore structure. Surprisingly, the exhausted adsorbent demonstrated considerable photocatalytic performance due to the formation of Cu3P, enabling the resource utilization of the waste adsorbent, making it a promising material for the adsorption–oxidation of PH3. This waste-to-resource conversion reduces hazardous solid waste while creating value-added photocatalysts, establishing a sustainable lifecycle from pollutant removal to functional material regeneration.
1. Introduction
Phosphine (PH3) is a gaseous pollutant in the environment [1,2,3], with a wide range of sources. Natural sources of PH3 include wetlands, marshes, volcanic activities, and biological decomposition, while anthropogenic sources primarily arise from chemical production activities [4]. PH3 is a highly toxic gas with an irritating odor. Even at low concentrations, it can cause harm to the health of animals and humans, potentially leading to death [5]. In industrial production, the exhaust gas emitted by the phosphorus chemical industry contains a certain concentration of PH3. If directly discharged into the air, it will cause damage to the environment and also affect the recovery and utilization of valuable resource gases such as CO [6]. Therefore, waste gas containing PH3 must be treated, and secondary pollution should be minimized as much as possible.
At present, the common methods for removing PH3 are mainly divided into dry and wet methods. The wet method removes PH3 through liquid-phase absorption or liquid-phase catalysis, offering the advantages of high efficiency and absorption capacity [7]. High-concentration PH3 is often removed using absorption towers. However, the wet method also presents challenges, such as complex absorption equipment, high water consumption, and the risk of secondary pollution. The dry method achieves the adsorption or decomposition and removal of PH3 through adsorbents or catalysts. This approach features a simple process, high efficiency, and low cost, making it a method with great potential. Common dry methods include gas–solid adsorption [8], catalytic decomposition [4], and adsorption–oxidation [9,10]. The gas–solid adsorption method can efficiently adsorb low-concentration PH3, but it has a limited adsorption capacity. Catalytic decomposition can decompose PH3 into P and H2, but it requires a high temperature, making it energy-intensive and subject to strict operational requirements. The adsorption–oxidation method can efficiently remove PH3 at low temperatures and convert PH3 to metal phosphide and phosphoric acid, this method is pollution-free and has the advantages of recycling, high adsorption capacity, and stability. The above characteristics made it be considered a highly promising approach.
The adsorbents used in the adsorption–oxidation method are mostly supported materials, typically prepared by loading strong oxidizing active components such as metals or metal oxides, onto common carriers such as carbon materials [11,12], molecular sieves [13,14], TiO2 [15], and γ-Al2O3 [16]. Previous studies have demonstrated that, among various metal oxides, CuO as the active component exhibits the best activity in PH3 removal [10,17]. However, many commonly used supported materials face issues such as CuO agglomeration and low loading amount. To further improve the adsorption capacity of PH3, increasing the loading and dispersion of CuO is crucial. In addition to the conventional loading methods, some studies have also explored obtaining high-loading CuO materials by calcining Cu-containing materials with a special structure as precursors. In recent years, metal–organic framework (MOF) materials have attracted considerable attention due to their advantages [18,19,20,21], such as large specific surface area, tunable pore structure and versatile surface chemistry. Some studies have used MOFs as precursors to synthesize metal oxide nanoparticles, including CuO materials using Cu-based MOFs. MOF-199 is a typical copper-based MOF material. Previous studies have shown that using MOF-199 as a precursor can obtain a kind of CuO material with the characteristics of high CuO loading, a well-developed porous structure, and highly dispersed CuO particles. Duan et al. [22] obtained a material with well-developed porous structure and highly dispersed CuO particles by carbonizing MOF-199 composite material. This material exhibited an SO2 adsorption capacity of 233.11 mg/g, surpassing previously reported adsorbents [22]. Yang et al. identified the best preparation conditions for CO oxidation by calcining Cu-BTC under various atmospheres, thereby altering the structure of the material and the composition of CuO/Cu2O [23]. This method enables the production of CuO materials with high loading and dispersion, while also offering a larger specific surface area compared to pure CuO, which enhances their adsorption or catalytic performance.
Additionally, research has explored the addition of bimetal [24,25,26,27], carbon nanotubes [28], SiO2 [29] and other additives into MOF-derived CuO materials to increase their specific surface area and enhance interaction between active components, thereby further improving their performance. Among these, Ce is frequently used to modify CuO materials due to its beneficial characteristics and strong interaction with Cu [30]. Zhang et al. used MOFs as the precursor to prepare a CuO/CeO2 catalyst with well-dispersed active sites and excellent oxidation performance for CO [31]. Zhang and Wu et al. quantitatively analyzed the oxygen vacancy concentration in Cu-Ce catalysts and found that the unique role of the Cu-Ce interface contributed to the material’s excellent stability and catalytic performance [32]. These studies indicate that Ce doping enhances the dispersion of CuO particles, while CeO2, after calcinating, increases the specific surface area and generates more oxygen vacancies [33]. Moreover, the interface between CuO and CeO2 facilitates unique interactions, including the presence of active sites with enhanced redox properties, which further improve the performance of the adsorbent [34,35].
In this study, a composite adsorbent of CuO/CeO2 was synthesized using MOFs as the precursor, which is mixed with Ce and then co-calcined. This adsorbent features a facile synthesis approach, with high CuO-loading while maintaining high dispersion, and abundant oxygen vacancies, leading to a considerable adsorption–oxidation performance for PH3 at low temperature. The superior performance of the adsorbent minimizes both the replacement frequency and the generation of industrial solid waste. Furthermore, its low-temperature operational efficiency significantly curtails energy consumption and carbon emissions. Collectively, these advancements position the solution as a paradigm of energy conservation, emission reduction, and sustainable development principles. The structure–activity relationship of the adsorbent and the adsorption–oxidation process were also analyzed using various characterization techniques. It is noteworthy that the deactivated adsorbent contains Cu3P, which can be utilized in photocatalytic reactions and holds potential for secondary reuse, thereby helping to prevent resource waste and reduce environmental pollution, embodying the core concept of “waste recycling”.
2. Materials and Methods
2.1. Preparation of Adsorbents
The copper nitrate (Cu(NO3)2·3H2O), trimesic acid (C9H6O6), Ce(NO3)3·6H2O, DMF (C3H7NO), anhydrous ethanol (C2H6O) and RhB (C28H31ClN2O3) were purchased from Macklin Biochemical Tech Co., Ltd. (Shanghai, China). All chemicals were analytical reagents (AR) and used without further purification. PH3 gas was purchased from Dalian Special Gases Co., Ltd. (Dalian, China). O2 and N2 were purchased from Pingxiang Jinchang Gas Co., Ltd. (Pingxiang, China).
Firstly, 1 g of trimesic acid was dissolved in 17 mL of DMF and 17 mL of anhydrous ethanol, while 2 g of Cu(NO3)2·3H2O was dissolved in 17 mL of deionized water. The above two solutions were then mixed and subjected to ultrasound for 30 min. The mixture was subsequently transferred to a 100 mL reactor for hydrothermal reaction at 85 °C for 24 h. Following the completion of the reaction, the reactor was cooled to room temperature. The obtained material was washed 3 times with a mixture of deionized water and anhydrous ethanol, then placed in a vacuum oven for drying at 160 °C for 5 h. After cooling to room temperature, sky-blue powder identified as MOF-199 was obtained. The obtained MOF-199 material was placed in a muffle furnace and heated at a rate of 5 °C/min from room temperature to 450 °C. After 2 h of calcination, a black solid material, designated as MOF-derived CuO was obtained.
A certain amount of MOF-199 material was placed in a beaker, while a certain amount of Ce(NO3)3·6H2O was dissolved in 20 mL of deionized water. The above two precursors were mixed in a magnetic mixer for 3 h, then dried in an oven at 100 °C. The obtained material was placed in a muffle furnace and calcined at a rate of 5 °C/min from room temperature to 450 °C for 2 h. Finally, a black solid material was obtained. Based on the mass ratio of MOF to Ce(NO3)3·6H2O, the resulting materials were denoted as Cu1Ce0.14O, Cu1Ce0.2O, Cu1Ce0.25O, Cu1Ce0.33O, Cu1Ce0.5O, and Cu1Ce1O, respectively. Meanwhile, Cu(NO3)2·3H2O and Ce(NO3)3·6H2O were calcined under the same conditions to obtain CuO and CeO2 for comparation.
2.2. Activity Tests
PH3 adsorption–oxidation experiments were carried out in a quartz tube reactor. First, 0.3 g of the adsorbent was loaded into a quartz tube, which was then placed in the reactor and heated to 90 °C. The simulated gas mixture containing 1000 ppm PH3 and 1% O2 was prepared by controlling the flow rate. The total volume flow rate was set to 100 mL·min−1, corresponding to a weight hourly space velocity (WSHV) of 20,000 mL·h−1·g−1. The mixed gas was introduced into the quartz tube, with the internal temperature of the reaction system maintained at 90 °C. The PH3 concentration in the outlet gas was measured by gas chromatography (FULI-9790 II), with samples collected every 30 min for analysis. All experiments were conducted until the removal efficiency dropped below 90%, containing an outlet gas PH3 concentration exceeding 100 ppm. Meanwhile, the breakthrough ability of PH3 was defined in the equation, and the performance of the adsorbent was evaluated more objectively. Each test was repeated at least twice for each adsorbent to ensure the reliability of the data collected.
Calculation formula of PH3 removal efficiency (Re):
Calculation formula of PH3 breakthrough capacity (BC):
where (PH3)in/(PH3)out is the phosphine concentration (ppm) in the inlet/outlet gas flow through the reaction system, m is the mass of the adsorbent involved in each experiment (g), t is the reaction time (min) at the breakthrough point of phosphine (1 ppm), and Q is the total flow rate (mL·min−1).
2.3. Characterization Methods
XRD (X-ray diffraction analysis), SEM (scanning electron microscopy), EDS (energy dispersive spectroscopy), TEM (transmission electron microscopy), N2 adsorption-desorption isotherms, TG (thermogravimetry), XPS (X-ray photoelectron energy spectrum), H2-TPR (hydrogen temperature-programmed reduction), CO2-TPD (CO2 temperature-programmed desorption), and EPR (electron paramagnetic resonance) were used to reveal the structural characteristics of the adsorbent. Specific details of the characterization methods are shown in the Supplementary Materials.
3. Results and Discussion
3.1. Characterization of Adsorbents
To investigate the effect of high-temperature calcination on the morphology of adsorbents, SEM was employed for characterization. Figure 1 presents the SEM and EDS mapping images of MOF-199 and the CuO derived from it. As illustrated in Figure 1a, the MOF-199 exhibits a typical octahedral structure with a smooth and regular surface [36]. The EDS images indicate that the C, Cu, and O elements in the adsorbent are evenly distributed across the surface. MOF-199 is formed by coordinating a Cu dimer with four trimeric acid ligands, which are interconnected to create a “cage-channel” structure [36,37,38]. This unique arrangement facilitates the orderly and uniform distribution of elements within the material. In contrast, as shown in Figure 1b, the CuO derived from the MOF has significantly changed compared to that of MOF-199. After high-temperature calcination, the octahedral structure transforms into spherical particles with smaller sizes and rough surfaces, likely due to the collapse of the MOF material’s skeleton, resulting in the formation of aggregated CuO and an increase in porosity. The EDS images reveal a significant decrease in C content following high-temperature calcination, which may be attributed to the reaction between C and O2 in the air, leading to the conversion of C into gaseous products that detach from the material.
Figure 1.
SEM and EDS-mapping images of (a) MOF-199, (b) MOF-derived CuO, (c) SEM image of CeO2, SEM and EDS-mapping images of (d) Cu1Ce0.2O, (e) Cu1Ce0.14O, (f) Cu1Ce1O.
To further investigate the effect of Ce doping on the morphology of the adsorbent, Cu1Ce0.14O, Cu1Ce0.2O, Cu1Ce1O, and CeO2 were characterized using SEM. As shown in Figure 1c, CeO2 exhibits an irregular blocky morphology with a rough and porous surface. In Figure 1d, the morphology of Cu1Ce0.2O has significantly changed compared to the MOF-derived CuO. Unlike the previous spherical particles, the Cu1Ce0.2O displays an irregular bulk morphology after Ce doping, in which the surface is porous and the particle size is larger than that of MOF-derived CuO. This indicates that Ce doping effectively alters the morphology of the adsorbent, imparting some morphological characteristics of CeO2. EDS-mapping images reveal that, compared to MOF-derived CuO, the Cu and Ce elements are uniformly dispersed across the surface of Cu1Ce0.2O, indicating successful Ce doping and improved dispersion of CuO. As shown in Figure 1e,f, the SEM images of Cu1Ce0.14O and Cu1Ce1O also appear as irregular blocks. However, EDS-mapping images indicate that, compared to Cu1Ce0.2O, there is significant agglomeration of Cu on the surfaces of Cu1Ce0.14O and Cu1Ce1O, suggesting that the amount of Ce doping affects the dispersion of CuO, which may influence the performance of the adsorbent.
Since the morphology of the adsorbent changed significantly after Ce doping, the physical properties were likely affected. Hence, N2 adsorption–desorption isotherms were employed to determine the pore structure characteristics of adsorbents, with the results presented in Table 1. MOF-199 exhibits a very large specific surface area and pore volume due to its unique structure, which is consistent with the typical characteristics of MOF materials. A large specific surface area typically indicates better adsorption properties. However, excellent redox properties are also crucial for adsorbents to effectively remove PH3. After high-temperature calcining, the specific surface area and pore volume of MOF-derived CuO decreased significantly, indicating the collapse of the MOF structure. In contrast, the specific surface area and pore volume of Cu1Ce0.14O, Cu1Ce0.2O, and Cu1Ce1O are all larger than those of MOF-derived CuO, suggesting that Ce doping can effectively enhance the specific surface area and pore volume of the adsorbent. Moreover, both the specific surface area and pore volume increase with the amount of Ce doping. Figure S1 presents the N2 adsorption isotherms and pore size distribution curves for several adsorbents. The adsorption isotherm of MOF-199 is classified as Type I, indicating that it is a microporous material, which is corroborated by the corresponding pore size distribution curve. In contrast, the adsorption isotherms of MOF-derived CuO and Cu1Ce0.2O are classified as Type II, with pore size distributions predominantly in the mesoporous range. This suggests that after high-temperature calcining, the adsorbents transformed into mesoporous materials due to the collapse of the MOF structure.
Table 1.
Textural properties of the prepared adsorbents.
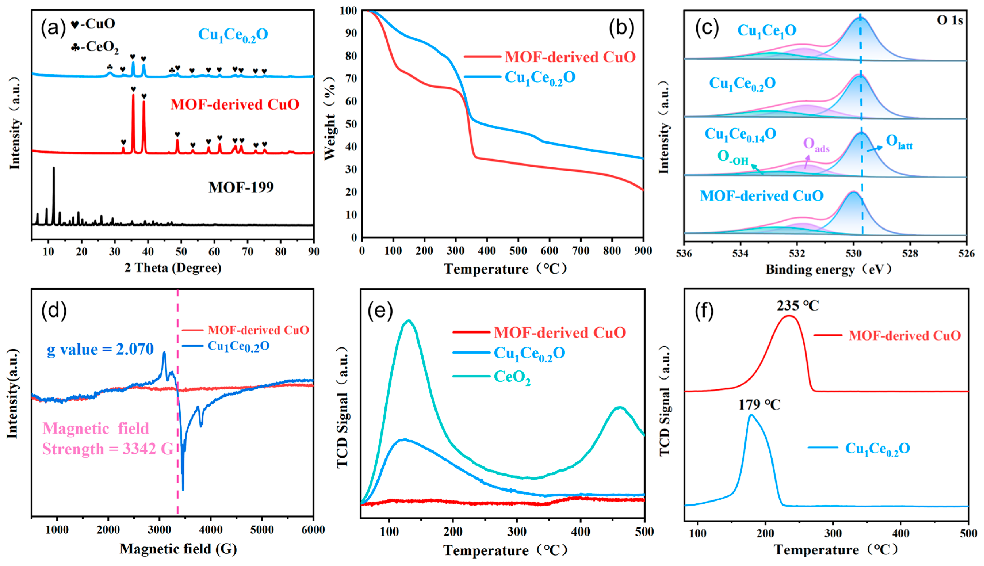
To investigate the composition and crystalline phases of all samples, the prepared sorbent was analyzed using XRD. As shown in Figure 2a, the characteristic diffraction peaks of MOF-199 at 2θ = 6.7°, 9.4°, 11.6°, 13.4°, 17.4°, 18.9° are consistent with those reported in the literature [36], indicating that MOF-199 was successfully synthesized. After high-temperature calcination, the characteristic peaks of MOF-199 disappeared, and a series of characteristic diffraction peaks belonging to CuO were observed in the XRD pattern of MOF-derived CuO [23,39,40,41] (2θ = 32.5°, 35.5°, 38.7°, 48.7°, 61.5°). This result indicates that high-temperature calcination led to the collapse of the MOF structure and the formation of CuO, consistent with the SEM results. However, compared to MOF-derived CuO, the XRD pattern of Cu1Ce0.2O did not change significantly, indicating that Ce doping did not substantially affect the formation of CuO crystalline phases. Meanwhile, characteristic peaks corresponding to CeO2 were observed, confirming the successful Ce doping. Additionally, the characteristic peaks of CuO were significantly weakened, suggesting that Ce doping enhances the dispersion of CuO, which may favor the adsorption–oxidation of PH3. Figure S2 shows the XRD patterns of adsorbents with varying Ce doping amounts (Cu1Ce0.14O, Cu1Ce0.2O, Cu1Ce1O). It can be observed that as the Ce doping amount increases, the intensity of the CuO characteristic peak gradually decreases. The decreased intensity of the CuO characteristic peak may indicate higher dispersion of CuO, which could be beneficial for the adsorption–oxidation of PH3. However, the intensity of the CuO characteristic peak is significantly weakened in Cu1Ce1O, likely due to an overproduction of CeO2, which may obscure CuO and affect the adsorption–oxidation performance of the adsorbent. To explore the changes occurring during calcination in the preparation of the adsorbent, TG analysis of MOF-derived CuO and Cu1Ce0.2O is shown in Figure 2b. Two distinct weight loss stages can be observed in the thermal weight curve during the heating process. The first phase (30–200 °C) can be attributed to the desorption and volatilization of adsorbed water, while the second phase (210–400 °C) corresponds to the decomposition of the organic framework and the formation of the active component CuO, resulting in a significant loss of carbon, consistent with previous EDS mapping results. Additionally, it can be observed that Cu1Ce0.2O exhibits significant weight loss at 200 °C compared to MOF-derived CuO, which may be attributed to the decomposition of Ce(NO3)3·6H2O, resulting in the formation of CeO2. The samples continued to lose mass gradually as the temperature increased, likely due to further carbon loss.
Figure 2.
(a) XRD pattern, (b) TG curves, (c) O 1s XPS spectra, (d) EPR curves, (e) CO2-TPD, and (f) H2-TPR profiles of different adsorbents.
To obtain the chemical composition and valence state information of the adsorbent, XPS was employed for analysis. Figure 2c presents the O 1s spectra of MOF-derived CuO, Cu1Ce0.14O, Cu1Ce0.2O, and Cu1Ce1O. The peaks in the O 1s spectra at 530.0 eV, 531.8 eV, and 532.9 eV correspond to lattice oxygen [42,43] (Olatt), adsorbed oxygen (Oads), and hydroxyl oxygen (O-OH), respectively. Table 2 displays the relative content of Olatt, Oads, and O-OH for each adsorbent. Compared to MOF-derived CuO, Cu1Ce0.14O, Cu1Ce0.2O, and Cu1Ce1O exhibit higher adsorbed oxygen content, indicating that Ce doping enhances the formation of adsorbed oxygen. The presence of adsorbed oxygen, which is more active in redox reactions [43,44], may facilitate the adsorption–oxidation of PH3. Furthermore, an increased amount of adsorbed oxygen typically signifies a greater number of oxygen vacancies on the material’s surface. This suggests that Ce doping may lead to an increase in oxygen vacancies, thereby enhancing the adsorbed oxygen content. Additionally, Figure 2c indicates that Ce doping shifts the O peak to a lower binding energy (529.8 eV), likely due to the interaction between Cu and Ce [32,45,46]. To further demonstrate that Ce doping resulted in increased oxygen vacancies, EPR was employed to analyze the oxygen vacancy of MOF-derived CuO and Cu1Ce0.2O. As shown in Figure 2d, no signal was detected in MOF-derived CuO, while a distinct signal corresponding to oxygen vacancies was observed in Cu1Ce0.2O at a g value of approximately 2.07 [47]. This finding indicates that Ce doping significantly increased the number of oxygen vacancies on the adsorbent surface. Previous studies have established that the unique fluorite structure and excellent oxygen storage and release capacity of CeO2 facilitate the formation of oxygen vacancies [46,47].
Table 2.
The relative content of lattice oxygen (Olatt), adsorbed oxygen (Oads), and hydroxy oxygen (O-OH) of MOF-derived CuO, Cu1Ce0.14O, Cu1Ce0.2O, and Cu1Ce1O.
Additionally, PH3 is an acidic gas that is more readily captured by adsorbents with stronger basicity. To investigate the effect of Ce doping on the intensity and quantity of basic sites, CO2-TPD was utilized to analyze MOF-derived CuO, Cu1Ce0.2O, and CeO2. As illustrated in Figure 2e, Ce doping had a substantial impact on the basic sites. Generally, the desorption peak area and temperature in the CO2-TPD profile correspond to the number and intensity of basic sites, respectively. No basic sites were observed in the MOF-derived CuO. In contrast, the Cu1Ce0.2O exhibited a distinct CO2 desorption peak at 122 °C, indicating the presence of weak basic sites [48]. Furthermore, the CO2-TPD curves of CeO2 revealed two distinct CO2 release peaks at 130 °C and 460 °C, corresponding to weak and strong basic sites, respectively [49]. This suggests that Ce doping enhances the generation of basic sites and increases their strength in Cu1Ce0.2O compared to MOF-derived CuO. These basic sites not only increase the basicity of the adsorbent but also serve as active sites, potentially enhancing the adsorption and activity towards PH3. In the adsorption–oxidation of PH3, oxidation reaction may occur, making the redox properties of the adsorbent crucial. To explore the redox properties of the adsorbents, MOF-derived CuO and Cu1Ce0.2O were analyzed using H2-TPR. The results, shown in Figure 2f, indicate that a reduction peak is present in the H2-TPR curves of both MOF-derived CuO and Cu1Ce0.2O, attributed to the reduction of CuO, with peak positions at 235 °C and 179 °C, respectively. The lower peak position suggests that Cu1Ce0.2O exhibits superior redox properties, demonstrating stronger oxidation capabilities and a more effective performance in removing the reducing gas PH3 [50,51].
3.2. Adsorbents Performance
All prepared adsorbents were subjected to PH3 adsorption–oxidation experiments at 90 °C, with the test results presented in Figure 3. The results indicate that MOF-199 can maintain complete removal of PH3 for approximately 30 min, corresponding to a breakthrough capacity of 17.69 mg·g−1. This finding demonstrates that specific surface area is not the most critical factor for PH3 removal. In contrast, the activity of MOF-derived CuO was significantly enhanced compared to MOF-199, with a breakthrough capacity increasing to 75.54 mg·g−1. This suggests that utilizing MOF material as a precursor to obtain CuO particles is a viable strategy. After Ce doping, the activity of the adsorbent was significantly enhanced, but varying amounts of Ce doping can lead to substantial differences in activity. The breakthrough time of Cu1Ce0.14O reached 270 min, corresponding to a breakthrough capacity of 136.53 mg·g−1. The performance of the adsorbent increased with the amount of Ce doping until Cu1Ce0.2O exhibited the highest performance, with a breakthrough time of 420 min and a breakthrough capacity of 226.87 mg·g−1. However, the continuous increase in Ce doping amount led to a decline in adsorbent performance, as evidenced by the breakthrough capacity of Cu1Ce1O, which reached only 121.31 mg·g−1. As evidenced by EDS mapping (Figure 1f) and quantitative analysis in Table 2, excessive Ce doping significantly reduced both the dispersion degree of CuO nanoparticles and the relative concentration of adsorbed oxygen species, thereby leading to a marked decline in PH3 adsorption–oxidation capacity. Previous characterization results indicate that Cu1Ce0.2O possesses optimal CuO dispersion, the highest adsorbed oxygen concentration, superior redox properties, an increased number of basic sites, and a larger specific surface area and pore volume. These characteristics are speculated to contribute to its enhanced performance. Additionally, it is evident that CeO2 exhibits negligible adsorption activity towards PH3, indicating that the primary active component of the adsorbent is CuO. Figure S3 shows the PH3 adsorption–oxidation performance of Cu1Ce0.2O prepared at different calcination temperatures. As the calcination temperature increases, the adsorbent’s performance initially improves and then declines. As mentioned previously, Figure 2b shows that the samples progressively lose mass with increasing temperature, likely due to additional carbon loss. Therefore, it is speculated that the residual carbon may provide a supporting role. As the calcination temperature increases, excessive carbon loss leads to a pronounced collapse of the adsorbent’s structure, which consequently diminishes its performance. To investigate the effect of PH3 concentrations, humidity, and oxygen levels on the adsorption–oxidation performance of Cu1Ce0.2O for PH3, a series experiments were carried out. Figures S4–S6 show the adsorption–oxidation performance of Cu1Ce0.2O for PH3 at varying PH3 concentrations, humidity, and oxygen levels, respectively. It can be seen from Figure S4 that as the PH3 concentration decreased, the adsorbent’s performance improved, attributed to the active sites on the adsorbent being able to fully contact and completely react with the PH3 molecules. As shown in Figure S5 (RH corresponds to the relative humidity), higher humidity can enhance the performance of the adsorbent, this may be because the appropriate humidity leads to the enhancement of surface hydroxyl activity and promotes the production of reactive oxygen species. According to Figure S6, the presence of trace oxygen facilitates the reaction process, while excessive oxygen leads to a decline in the performance of the adsorbent; the cause may be that excessive oxygen changes the selectivity of the reaction, leading to the formation of excessive H3PO4 and covering the active site of the adsorbent.
Figure 3.
(a) The adsorption–oxidation performance of each adsorbent for PH3; (b) the breakthrough capacity of each adsorbent for PH3.
3.3. Mechanism of PH3 Adsorption–Oxidation over Cu1Ce0.2O
Ce doping significantly enhanced the adsorption–oxidation performance of MOF-derived CuO. However, continuous dephosphorization leads to the accumulation of oxidation products, which deactivates the adsorbent. A series of characterizations were conducted to investigate the reaction products and mechanisms of PH3 adsorption–oxidation over Cu1Ce0.2O. As shown in Figure 4a, XRD patterning compares the fresh and exhausted Cu1Ce0.2O adsorbent. The peak intensity corresponding to CuO in the exhausted adsorbent is significantly decreased, indicating that CuO is the main active component in the adsorption–oxidation of PH3 and that a substantial amount of CuO was consumed during the reaction. Additionally, the characteristic diffraction peaks of Cu3P (2θ = 41.6°, 45.1°, 46.2°) were observed, confirming that a redox reaction occurred between CuO and PH3 and Cu3P was formed [52]. Figure S3 presents a TEM image of the exhausted adsorbent, revealing a lattice spacing of approximately 0.20 nm, which corresponds to crystalline Cu3P and is consistent with the XRD results [53].
Figure 4.
(a) XRD pattern of fresh and exhausted absorbent, XPS spectra of (b) Cu 2p of fresh and exhausted absorbent, (c) P 2p of exhausted absorbent, (d) O 1s of fresh and exhausted absorbent, (e) Ce 3d of fresh and exhausted absorbent, and (f) TEM image of fresh absorbent.
The chemical composition and elemental valence states of fresh and exhausted adsorbents were confirmed using XPS. Figure 4b presents the Cu 2p spectra for the fresh and exhausted adsorbents. For the fresh adsorbent, distinct signal peaks were detected at 933.8 eV and 953.8 eV, corresponding to the binding energy of Cu2+ (CuO), while the peak at 942.7 eV represents the strong satellite peak of Cu2+ [54]. In contrast, the exhausted adsorbent exhibited new signal peaks at 933.1 eV and 952.9 eV, which correspond to the binding energy of Cu+ [55], presumed to be associated with Cu3P [56]. This observation is consistent with the XRD and TEM results, further confirming that CuO participated in the reaction and transformed into Cu3P. Figure 4c displays the P 2p spectra for the exhausted adsorbent, revealing two signal peaks at 133.7 eV and 129.6 eV. The peak at 133.7 eV corresponds to P5+ (P2O5 or H3PO4) [50], while the peak at 129.6 eV corresponds to P3− (Cu3P), further confirming the presence of Cu3P [56]. The detection of P2O5 or H3PO4 in the products indicates that, in addition to chemisorption, oxidation of PH3 also occurred. As shown in Figure 4d, the O 1s spectra for fresh and exhausted adsorbents were analyzed. For the exhausted adsorbent, the signal peak corresponding to lattice oxygen (Olatt) was nearly absent, indicating significant consumption of CuO. Figure 4e presents the Ce 3d spectra for both fresh and exhausted adsorbents, revealing seven signal peaks in the fresh adsorbent. The peaks at 882.9 eV, 889.4 eV, 898.7 eV, and 907.9 eV were attributed to Ce3+, while those at 886.1 eV, 901.3 eV, and 917.2 eV corresponded to Ce4+ [57]. After the reaction, the relative contents of Ce3+ and Ce4+ changed significantly, with an increase in the relative content of Ce3+, suggesting that some Ce4+ was reduced to Ce3+ during the reaction. This transformation can be attributed to the interaction between Cu and Ce. Previous studies have shown that Ce4+ and Cu+ at the interface of CuO and CeO2 can be converted into Ce3+ and Cu2+, leading to the generation of more oxygen vacancies and increased adsorbed oxygen [32], which facilitates the reaction. To further demonstrate the presence of the CuO and CeO2 interface, the TEM image of the fresh adsorbent is shown in Figure 4f, where lattice stripe spacings of approximately 0.23 nm and 0.31 nm correspond to CuO and CeO2 [39,57], respectively, confirming the existence of the CuO and CeO2 interface.
Based on the experiments and characterization results presented above, a possible mechanism of the PH3 adsorption–oxidation process over the Cu1Ce0.2O was proposed and illustrated in Figure 5. A series of reactions occurred between PH3 and the Cu1Ce0.2O during the adsorption–oxidation process, resulting in the formation of Cu3P and H3PO4 or P2O5. Therefore, the chemical equation for the adsorption–oxidation process is inferred as follows:
PH3 + 3CuO + 3e− → Cu3P + 3H+ + 3O2−
P2O5 + 3H2O → 2H3PO4
Figure 5.
Mechanism diagram of adsorption–oxidation of PH3 by adsorbent.
It is hypothesized that the adsorption–oxidation of PH3 by the adsorbents involves both catalytic oxidation and chemisorption. Additionally, as indicated by the results in Table 1, the specific surface area and pore volume of Cu1Ce0.2O decreased after the adsorption–oxidation of PH3. This decrease is attributed to the accumulation of products and the blockage of pore diameters. Once the active component CuO is fully consumed, or if the products cover the surface and obstruct the pore structure, preventing PH3 from contacting the active component, the adsorbent becomes deactivated.
3.4. Recycling of the Exhausted Adsorbents
The reaction product is highly crystalline Cu3P, a typical P-type semiconductor that may be utilized for the resource conversion of exhausted adsorbents. According to the literature, Cu3P is frequently employed in photocatalytic reactions, such as the degradation of organic pollutants and the decomposition of aquatic hydrogen [58,59]. Therefore, exhausted Cu1Ce0.2O may be reused in photocatalysis. Rhodamine B (RhB) is a common organic pollutant in the printing and dyeing industry, posing significant threats to animals, plants, and human health. It is challenging to degrade naturally, necessitating treatment [60,61]. Various methods are available for its remediation, among which photocatalytic degradation of RhB is a promising approach. Consequently, an experiment to test the photocatalytic degradation activity of the deactivated adsorbents was designed. Initially, 30 mg of catalyst was placed in 50 mL of an aqueous Rhodamine B solution (50 mg/L), achieving adsorption equilibrium after 30 min in a dark environment. The photocatalytic degradation reaction was then conducted under visible light, with the concentration of RhB in the solution measured every 15 min. The experimental results are presented in Figure 6. After 30 min of dark adsorption, all materials adsorbed approximately 5% to 10% of RhB. Following visible light irradiation, the exhausted adsorbent exhibited significantly enhanced photocatalytic degradation of RhB, with degradation reaching about 80% after 180 min, while the fresh adsorbent achieved only about 15% degradation. This indicates that the fresh adsorbent lacks photocatalytic degradation capability, whereas Cu3P in the exhausted adsorbent effectively facilitates photocatalytic degradation. Additionally, a series of experiments were conducted on the catalytic degradation of RhB under dark conditions using the exhausted adsorbent. The results, shown in Figure S4, indicated that the degradation rate of RhB was 40% lower than under visible light conditions, confirming the photocatalytic activity of this material. The photocatalytic degradation performance of different catalysts toward RhB are summarized in Table 3. Considering the experimental conditions, the exhausted Cu1Ce0.2O exhibited commendable photocatalytic degradation activity. To investigate the photocatalytic stability of exhausted adsorbent, Figure S9 shows the XRD pattern of exhausted adsorbent after RhB catalytic degradation (designated as exhausted adsorbent-AR). Compared with exhausted adsorbent, the composition of the exhausted adsorbent-AR remained unchanged. Figure S10 illustrates the cyclic performance of the exhausted adsorbent in the catalytic degradation of RhB under visible light conditions. After one cycle, the exhausted adsorbent maintained its performance, indicating excellent stability. However, after two and three cycles, some of the adsorbent was lost, which resulted in a reduction of the photocatalytic degradation performance to 60%. These experimental findings demonstrate that exhausted adsorbents possess commendable photocatalytic activity and can be reused effectively. In a word, the application of exhausted adsorbent in photocatalytic degradation not only achieves resource recovery from waste but also aligns with the principles of a circular economy.
Figure 6.
Effect of RhB catalytic degradation under visible light condition of fresh adsorbent and exhausted adsorbent.
Table 3.
The photocatalytic degradation performance of different catalysts toward RhB.
4. Conclusions
In conclusion, Cu1Ce0.2O adsorbent was synthesized using MOF-199 as the precursor and applied to the adsorption–oxidation of PH3 under low-temperature and low-oxygen conditions. Due to its optimal CuO dispersion, high adsorbed oxygen concentration, superior redox performance, abundant basic sites, and well-developed pore structure, Cu1Ce0.2O exhibited a PH3 capacity of up to 226.87 mg·g−1. Furthermore, experimental results and a series of characterizations indicated that adsorption and oxidation reactions occurred simultaneously. CuO chemically adsorbed PH3, resulting in the formation of high-value p-type semiconductor Cu3P. Concurrently, O2 was catalyzed by CuO to undergo a redox reaction with PH3, producing P2O5 and H3PO4. Additionally, the exhausted adsorbent demonstrates excellent photocatalytic performance and significant potential for recycling.
Supplementary Materials
The following supporting information can be downloaded at https://www.mdpi.com/article/10.3390/su17094084/s1: Figure S1: (a) N2 adsorption isotherm of different adsorbents. Pore size distribution curves of (b) MOF-199, (c) MOF-derived CuO, (d) Cu1Ce0.2O; Figure S2: XRD pattern of Cu1Ce0.14O, Cu1Ce0.2O, and Cu1Ce1O; Figure S3: The PH3 adsorption–oxidation performance of Cu1Ce0.2O prepared at different calcination temperatures; Figure S4: The PH3 adsorption–oxidation performance of Cu1Ce0.2O at varying PH3 concentrations; Figure S5: The PH3 adsorption–oxidation performance of Cu1Ce0.2O at varying humidity; Figure S6: The PH3 adsorption–oxidation performance of Cu1Ce0.2O at varying oxygen levels; Figure S7: TEM of exhausted adsorbent; Figure S8: Effect of RhB catalytic degradation under visible light or dark conditions of exhausted adsorbent; Figure S9: XRD pattern of exhausted adsorbent after RhB catalytic degradation; Figure S10: Cyclic performance of the exhausted adsorbent in the catalytic degradation of RhB under visible light conditions.
Author Contributions
Methodology, H.Y. and B.L.; Validation, C.W.; Investigation, H.Y.; Resources, K.L. (Kai Li) and C.W.; Data curation, H.Y.; Writing—original draft, H.Y. and K.L. (Kunlin Li); Writing—review & editing, K.L. (Kunlin Li); Supervision, P.N.; Project administration, K.L. (Kai Li); Funding acquisition, K.L. (Kai Li) and P.N. All authors have read and agreed to the published version of the manuscript.
Funding
This research was funded by the National Natural Science Foundation of China, grant number 52260013, 52470119, 22466023 and 22306192, and the Major Academic and Technical Leaders Training Program of Jiangxi Province, grant number 20212BCJ23029.
Institutional Review Board Statement
Not applicable.
Informed Consent Statement
Not applicable.
Data Availability Statement
Dataset available on request from the authors.
Conflicts of Interest
The authors declare no conflicts of interest.
References
- Widera, A.; Thöny, D.; Aebli, M.; Oppenheim, J.J.; Andrews, J.L.; Eiler, F.; Wörle, M.; Schönberg, H.; Weferling, N.; Dinca, M.; et al. Solid-State Investigation, Storage, and Separation of Pyrophoric PH3 and P2H4 with α-Mg Formate. Angew. Chem.-Int. Ed. 2023, 62, e202217534. [Google Scholar] [CrossRef] [PubMed]
- Li, T.; Liu, S.G.; Yao, X.F. Addition of reactive oxygen scavenger to enhance PH3 biopurification: Process and mechanism. Process Saf. Environ. Prot. 2020, 142, 118–125. [Google Scholar] [CrossRef]
- Ma, J.L.; Chen, W.Y.; Niu, X.J.; Fan, Y.M. The relationship between phosphine, methane, and ozone over paddy field in Guangzhou, China. Glob. Ecol. Conserv. 2019, 17, e00581. [Google Scholar] [CrossRef]
- Huang, B.Y.; Wang, F.; Li, H.Y.; Li, Y.; Li, K. Synergistic role of Co and CoP on highly dispersed cobalt nanoparticles embeded in porous carbon for efficient PH3 decomposition. Sep. Purif. Technol. 2024, 348, 10. [Google Scholar] [CrossRef]
- Yi, H.H.; Yang, L.P.; Tang, X.L.; Yu, Q.F.; Yang, L. Adsorption of Phosphine in Yellow Phosphorus Tail Gas by Impregnated Activated Carbon. In Proceedings of the Asia-Pacific Power and Energy Engineering Conference (APPEEC), Chengdu, China, 28–31 March 2010. [Google Scholar]
- Lin, T.; Chen. Oxidative Removal of PH3 and H2S from Yellow Phosphorus Tail Gas by JC Series Catalysts. Nat. Gas Chem. Ind. 2004, 29, 19–23. [Google Scholar]
- Yi, H.H.; Yang, L.N.; Tang, X.L.; Yu, L.L.; Wang, H.Y. Purifying PH3 with Cu2+ Absorption Solution. In Proceedings of the Asia-Pacific Power and Energy Engineering Conference (APPEEC), Chengdu, China, 28–31 March 2010. [Google Scholar]
- Hsu, J.N.; Bai, H.L.; Li, S.N.; Tsai, C.J. Copper Loaded on Sol-Gel-Derived Alumina Adsorbents for Phosphine Removal. J. Air Waste Manag. Assoc. 2010, 60, 629–635. [Google Scholar] [CrossRef]
- Feng, J.Y.; Wang, F.; Wang, C.; Li, K.; Ning, P.; Sun, X.; Jia, L.J. Ce-doping CuO/HZSM-5 as a regenerable sorbent for Adsorption-Oxidation removal of PH3 at low temperature. Sep. Purif. Technol. 2021, 277, 10. [Google Scholar] [CrossRef]
- Tang, Y.; Feng, J.Y.; Ning, P.; Wang, F.; Sun, X.; Li, K. Low-temperature efficient removal of PH3 over novel Cu-based adsorbent in an anaerobic environment. Chem. Eng. J. 2023, 461, 11. [Google Scholar] [CrossRef]
- Wang, Y.W.; Ning, P.; Zhao, R.H.; Li, K.; Wang, C.; Sun, X.; Song, X.; Lin, Q. A Cu-modified active carbon fiber significantly promoted H2S and PH3 simultaneous removal at a low reaction temperature. Front. Env. Sci. Eng. 2021, 15, 10. [Google Scholar] [CrossRef]
- Yu, Q.F.; Li, M.; Ning, P.; Yi, H.H.; Tang, X.L. Characterization of Metal Oxide-modified Walnut-shell Activated Carbon and Its Application for Phosphine Adsorption: Equilibrium, Regeneration, and Mechanism Studies. J. Wuhan Univ. Technol.-Mat. Sci. Edit. 2019, 34, 487–495. [Google Scholar] [CrossRef]
- Song, X.; Li, S.; Li, K.; Ning, P.; Wang, C.; Sun, X.; Wang, Y.W. Preparation of Cu-Fe composite metal oxide loaded SBA-15 and its capacity for simultaneous catalytic oxidation of hydrogen sulfide and phosphine. Microporous Mesoporous Mat. 2018, 259, 89–98. [Google Scholar] [CrossRef]
- Li, S.; Li, K.; Hao, J.M.; Ning, P.; Tang, L.H.; Sun, X. Acid modified mesoporous Cu/SBA-15 for simultaneous adsorption/oxidation of hydrogen sulfide and phosphine. Chem. Eng. J. 2016, 302, 69–76. [Google Scholar] [CrossRef]
- Luo, Z.; Liang, Q.X.; Qi, Y.S.; Huang, G.Q. The Cu/TiO2 adsorbent modified by Ce-doping removes trace phosphorus impurities from circular hydrogen of a polysilicon chemical vapor deposition furnace. Sep. Purif. Technol. 2024, 344, 11. [Google Scholar] [CrossRef]
- Xu, B.W.; Qu, J.X.; Wang, X.Q.; Wang, L.L.; Pu, Y.; Ning, P.; Xie, Y.B.; Ma, Y.X.; Ma, Q. Unravelling the nature of the active species as well as the Mn doping effect over γ-Al203 catalyst for eliminating AsH3 and PH3. J. Environ. Sci. 2024, 136, 213–225. [Google Scholar] [CrossRef]
- Ren, Z.D.; Quan, S.S.; Zhu, Y.C.; Chen, L.; Deng, W.X.; Zhang, B.A. Purification of yellow phosphorus tail gas for the removal of PH3 on the spot with flower-shaped CuO/AC. Rsc Adv. 2015, 5, 29734–29740. [Google Scholar] [CrossRef]
- Bhoria, N.; Basina, G.; Pokhrel, J.; Reddy, K.S.K.; Anastasiou, S.; Balasubramanian, V.V.; AlWahedi, Y.F.; Karanikolos, G.N. Functionalization effects on HKUST-1 and HKUST-1/graphene oxide hybrid adsorbents for hydrogen sulfide removal. J. Hazard. Mater. 2020, 394, 11. [Google Scholar] [CrossRef] [PubMed]
- Zhang, H.Y.; Yang, C.; Geng, Q.; Fan, H.L.; Wang, B.J.; Wu, M.M.; Tian, Z. Adsorption of hydrogen sulfide by amine-functionalized metal organic framework (MOF-199): An experimental and simulation study. Appl. Surf. Sci. 2019, 497, 10. [Google Scholar] [CrossRef]
- Peng, Z.W.; Wang, S.X.; Wu, Y.H.; Liu, X.; Liu, H.L.; Zhang, D.K.; Fu, L.K. Synthesis of novel MOF for adsorption of germanium: Kinetics, isotherm and thermodynamics. Microporous Mesoporous Mat. 2024, 363, 11. [Google Scholar] [CrossRef]
- Jiang, N.; Du, B.Y.; Gao, D.; Chai, Z.B.; Liu, C.; Zhu, X. Effective As(V) removal using in situ grown Ti-based MOFs on ZnAl-LDHs. Mater. Sci. Eng. B-Adv. Funct. Solid-State Mater. 2024, 303, 12. [Google Scholar] [CrossRef]
- Duan, R.D.; Feng, Y.J.; Gu, J.L.; Wang, M.H.; He, B.N.; Liu, L.L.; Zhu, B.J.; Wang, X.D. Ultralow loading of Cu2O/CuO nanoparticles on metal-organic framework-derived carbon octahedra and activated semi-coke for highly efficient SO2 removal. J. Clean. Prod. 2022, 341, 11. [Google Scholar] [CrossRef]
- Yang, Y.; Dong, H.; Wang, Y.; He, C.; Wang, Y.; Zhang, X. Synthesis of octahedral like Cu-BTC derivatives derived from MOF calcined under different atmosphere for application in CO oxidation. J. Solid State Chem. 2018, 258, 582–587. [Google Scholar] [CrossRef]
- Li, Z.H.; Wang, X.; Yao, Y.; Xin, J.G.; Xie, L.L.; Han, Y.T.; Zhu, Z.G. Preparation of a high-performance H2S gas sensor based on CuO/Co3O4 composite derived from bimetallic MOF. Nanotechnology 2024, 35, 10. [Google Scholar] [CrossRef] [PubMed]
- Zamaro, J.M.; Pérez, N.C.; Miró, E.E.; Casado, C.; Seoane, B.; Téllez, C.; Coronas, J. HKUST-1 MOF: A matrix to synthesize CuO and CuO-CeO2 nanoparticle catalysts for CO oxidation. Chem. Eng. J. 2012, 195, 180–187. [Google Scholar] [CrossRef]
- Feng, C.; Xiong, G.; Wang, Y.; Pan, Y.; Liu, Y. Synthesis of CuO-Cu1.5Mn1.5O4 Composite Oxide by Using a Bimetallic Organic Framework for Catalytic Propane Total Oxidation. Environ. Eng. 2022, 40, 69–77. [Google Scholar]
- Hoot, N.; Sheikhhosseini, E.; Ahmadi, S.A.; Ghazizadeh, M.; Malekshahi, M.; Yahyazadehfar, M. Synthesis of pyridone derivatives using 2D rod like bifunctional Fe based MOF and CuO nanocomposites as a novel heterogeneous catalyst. Sci. Rep. 2023, 13, 14. [Google Scholar] [CrossRef]
- Salehi, S.; Anbia, M. High CO2 Adsorption Capacity and CO2/CH4 Selectivity by Nanocomposites of MOF-199. Energy Fuels 2017, 31, 5376–5384. [Google Scholar] [CrossRef]
- Yang, X.; Liu, W.; Tan, F.H.; Zhang, Z.X.; Chen, X.D.; Liang, T.D.; Wu, C.D. A robust strategy of homogeneously hybridizing silica and Cu3(BTC)2 to in situ synthesize highly dispersed copper catalyst for furfural hydrogenation. Appl. Catal. A-Gen. 2020, 596, 11. [Google Scholar] [CrossRef]
- Maciel, C.G.; Silva, T.D.; Hirooka, M.I.; Belgacem, M.N.; Assaf, J.M. Effect of nature of ceria support in CuO/CeO2 catalyst for PROX-CO reaction. Fuel 2012, 97, 245–252. [Google Scholar] [CrossRef]
- Zhang, F.; Chen, C.; Xiao, W.M.; Xu, L.; Zhang, N. CuO/CeO2 catalysts with well-dispersed active sites prepared from Cu3(BTC)2 metal-organic framework precursor for preferential CO oxidation. Catal. Commun. 2012, 26, 25–29. [Google Scholar] [CrossRef]
- Zhang, J.; Wu, K.; Xiong, J.X.; Ren, Q.M.; Zhong, J.P.; Cai, H.D.; Huang, H.M.; Chen, P.R.; Wu, J.L.; Chen, L.M.; et al. Static and dynamic quantification tracking of asymmetric oxygen vacancies in copper-ceria catalysts with superior catalytic activity. Appl. Catal. B-Environ. 2022, 316, 13. [Google Scholar] [CrossRef]
- Li, L.; Zhan, Y.Y.; Zheng, Q.; Zheng, Y.H.; Chen, C.Q.; She, Y.S.; Lin, X.Y.; Wei, K.M. Water-Gas Shift Reaction over CuO/CeO2 Catalysts: Effect of the Thermal Stability and Oxygen Vacancies of CeO2 Supports Previously Prepared by Different Methods. Catal. Lett. 2009, 130, 532–540. [Google Scholar] [CrossRef]
- Martínez-Arias, A.; Fernández-García, M.; Gálvez, O.; Coronado, J.M.; Anderson, J.A.; Conesa, J.C.; Soria, J.; Munuera, G. Comparative study on redox properties and catalytic behavior for CO oxidation of CuO/CeO2 and CuO/ZrCeO4 catalysts. J. Catal. 2000, 195, 207–216. [Google Scholar] [CrossRef]
- Wang, F.; Büchel, R.; Savitsky, A.; Zalibera, M.; Widmann, D.; Pratsinis, S.E.; Lubitz, W.; Schüth, F. In Situ EPR Study of the Redox Properties of CuO-CeO2 Catalysts for Preferential CO Oxidation (PROX). ACS Catal. 2016, 6, 3520–3530. [Google Scholar] [CrossRef]
- Wang, Y.; Yang, C.; Zhang, C.; Duan, M.; Wang, H.; Fan, H.; Li, Y.; Shangguan, J.; Lin, J. Effect of hierarchical porous MOF-199 regulated by PVP on their ambient desulfurization performance. Fuel 2022, 319, 123845. [Google Scholar] [CrossRef]
- Zhang, H.-Y.; Zhang, Z.-R.; Yang, C.; Ling, L.-X.; Wang, B.-J.; Fan, H.-L. A Computational Study of the Adsorptive Removal of H2S by MOF-199. J. Inorg. Organomet. Polym. Mater. 2018, 28, 694–701. [Google Scholar] [CrossRef]
- Das, R.; Pachfule, P.; Banerjee, R.; Poddar, P. Metal and metal oxide nanoparticle synthesis from metal organic frameworks (MOFs): Finding the border of metal and metal oxides. Nanoscale 2012, 4, 591–599. [Google Scholar] [CrossRef]
- Banerjee, A.; Singh, U.; Aravindan, V.; Srinivasan, M.; Ogale, S. Synthesis of CuO nanostructures from Cu-based metal organic framework (MOF-199) for application as anode for Li-ion batteries. Nano Energy 2013, 2, 1158–1163. [Google Scholar] [CrossRef]
- Liu, G.; Mba Wright, M.; Zhao, Q.; Brown, R.C. Engineering, Hydrocarbon and ammonia production from catalytic pyrolysis of sewage sludge with acid pretreatment. ACS Sustain. Chem. 2016, 4, 1819–1826. [Google Scholar] [CrossRef]
- Gupta, N.K.; Bae, J.; Kim, K.S. From MOF-199 Microrods to CuO Nanoparticles for Room-Temperature Desulfurization: Regeneration and Repurposing Spent Adsorbents as Sustainable Approaches. ACS Omega 2021, 6, 25631–25641. [Google Scholar] [CrossRef]
- Li, R.; Huang, Y.; Zhu, D.D.; Ho, W.K.; Cao, J.J.; Lee, S.C. Improved Oxygen Activation over a Carbon/Co3O4 Nanocomposite for Efficient Catalytic Oxidation of Formaldehyde at Room Temperature. Environ. Sci. Technol. 2021, 55, 4054–4063. [Google Scholar] [CrossRef]
- Cheng, W.W.; Guan, W.J.; Lin, Y.J.; Lu, C. Rapid Discrimination of Adsorbed Oxygen and Lattice Oxygen in Catalysts by the Cataluminescence Method. Anal. Chem. 2022, 94, 1382–1389. [Google Scholar] [CrossRef] [PubMed]
- Worayingyong, A.; Kangvansura, P.; Ausadasuk, S.; Praserthdam, P. The effect of preparation:: Pechini and Schiff base methods, on adsorbed oxygen of LaCoO3 perovskite oxidation catalysts. Colloids Surf. A-Physicochem. Eng. Asp. 2008, 315, 217–225. [Google Scholar] [CrossRef]
- Zhu, H.J.; Chen, Y.Y.; Gao, Y.B.; Liu, W.X.; Wang, Z.P.; Cui, C.C.; Liu, W.; Wang, L.G. Catalytic oxidation of CO on mesoporous codoped ceria catalysts: Insights into correlation of physicochemical property and catalytic activity. J. Rare Earths 2019, 37, 961–969. [Google Scholar] [CrossRef]
- Zhou, Z.J.; Zhang, J.B.; Liu, Y.J. Promoted low-temperature CO oxidation activity of CeO2 by Cu doping: The important role of oxygen vacancies. Fuel 2024, 359, 10. [Google Scholar] [CrossRef]
- Liang, X.; Zhang, J.; Tian, J.T.; Xie, Z.H.; Liu, Y.; Liu, P.; Ye, D.Q. Insight into catalytic performance and reaction mechanism for toluene total oxidation over Cu-Ce supported catalyst. J. Environ. Sci. 2025, 149, 476–487. [Google Scholar] [CrossRef]
- Yu, L.Z.; Sun, X.H.; Wang, F.; Xue, B.; Xu, J. Acid-base bifunctional ZnNbCl/eg-C3N4 materials towards catalytic synthesis of dimethyl carbonate via transesterification of ethylene carbonate. Appl. Catal. A-Gen. 2023, 666, 119432. [Google Scholar] [CrossRef]
- Zhao, L.; Kang, Q.; Guan, X.F.; Martyniuk, C.J. Hydrotalcite-based CeNiAl mixed oxides for SO2 adsorption and oxidation. Environ. Technol. 2019, 40, 3678–3688. [Google Scholar] [CrossRef]
- Feng, R.M.; Yang, X.J.; Ji, W.J.; Chen, Y.; Au, C.T. VPO catalysts supported on H3PO4-treated ZrO2 highly active for n-butane oxidation. J. Catal. 2007, 246, 166–176. [Google Scholar] [CrossRef]
- Zhang, H.L.; Wang, J.L.; Zhang, Y.H.; Jiao, Y.; Ren, C.J.; Gong, M.C.; Chen, Y.Q. A study on H2-TPR of Pt/Ce0.27Zr0.73O2 and Pt/Ce0.27Zr0.70La0.03Ox for soot oxidation. Appl. Surf. Sci. 2016, 377, 48–55. [Google Scholar] [CrossRef]
- Shi, H.C.; Zheng, T.; Zuo, Y.H.; Wu, Q.M.; Zhang, Y.; Fan, Y.; Tontiwachwuthikul, P. Synthesis of Cu3P/SnO2 composites for degradation of tetracycline hydrochloride in wastewater. RSC Adv. 2021, 11, 33471–33480. [Google Scholar] [CrossRef]
- Zhao, R.B.; Geng, Q.; Chang, L.; Wei, P.P.; Luo, Y.L.; Shi, X.F.; Asiri, A.M.; Lu, S.Y.; Wang, Z.M.; Sun, X.P. Cu3P nanoparticle-reduced graphene oxide hybrid: An efficient electrocatalyst to realize N2-to-NH3conversion under ambient conditions. Chem. Commun. 2020, 56, 9328–9331. [Google Scholar] [CrossRef] [PubMed]
- Zhang, X.L.; Zhan, Z.B.; Li, Z.; Di, L.B. Thermal Activation of CuBTC MOF for CO Oxidation: The Effect of Activation Atmosphere. Catalysts 2017, 7, 11. [Google Scholar] [CrossRef]
- Liu, H.Y.; Xie, J.W.; Liu, P.; Dai, B. Effect of Cu+/Cu2+ Ratio on the Catalytic Behavior of Anhydrous Nieuwland Catalyst during Dimerization of Acetylene. Catalysts 2016, 6, 120. [Google Scholar] [CrossRef]
- Vineesh, T.V.; Yarmiayev, V.; Zitoun, D. Tailoring the electrochemical hydrogen evolution activity of Cu3P through oxophilic surface modification. Electrochem. Commun. 2020, 113, 106691. [Google Scholar] [CrossRef]
- Wang, L.; Peng, H.; Shi, S.L.; Hu, Z.; Zhang, B.Z.; Ding, S.M.; Wang, S.H.; Chen, C. Metal-organic framework derived hollow CuO/CeO2 nano-sphere: To expose more highly dispersed Cu-O-Ce interface for enhancing preferential CO oxidation. Appl. Surf. Sci. 2022, 573, 12. [Google Scholar] [CrossRef]
- Cai, W.Q.; Zhang, F.J.; Wang, Y.R.; Li, D.C. A novel I-type 0D/0D ZnS@Cu3P heterojunction for photocatalytic hydrogen evolution. Inorg. Chem. Commun. 2021, 134, 8. [Google Scholar] [CrossRef]
- Ge, G.Y.; Yuan, S.T.; Liu, Q.Z.; Yang, D.F.; Shi, J.S.; Lan, X.F.; Xiao, K.F. Insight into the function of noble-metal free Cu3P decorated Zn0.5Cd0.5S for enhanced photocatalytic hydrogen evolution under visible light irradiation-mechanism for continuous increasing activity. Appl. Surf. Sci. 2022, 597, 9. [Google Scholar] [CrossRef]
- Slimani, Y.; Khan, A.; Sivakumar, R.; Nawaz, M.; Thakur, A. Synergistic impact of lanthanum and cerium co-doping ZnO for improved photocatalytic rhodamine B degradation efficiency under UV light. J. Mol. Struct. 2025, 1322, 17. [Google Scholar] [CrossRef]
- Thi, L.N.; Phan, T.T.T.; Tan, L.N.; Le, T.L.T.; Nguyen, L.; Hoang, N.T.; Vo, V.; Khieu, D.Q. Activated carbon/g-C3N4/H2O2 system with enhanced photocatalytic activity for Rhodamine-B degradation under the visible light. Environ. Eng. Res. 2025, 30, 11. [Google Scholar] [CrossRef]
- Bekchanov, D.; Mukhamediev, M.; Inkhonova, A.; Eshtursunov, D.; Babojonova, G.; Rajabov, O.; Khalilov, U.; Yusupov, M.; Lieberzeit, P. Magnetic and reusable Fe3O4/PPE-2 functional material for efficient photodegradation of organic dye. Environ. Res. 2025, 269, 13. [Google Scholar] [CrossRef]
- Shi, K.R.; Li, X.Y.; Tian, Z.Q.; Luo, Y.R.; Ding, R.M.; Zhu, Y.S.; Yao, H.Q. Synergistic and efficient photocatalytic degradation of rhodamine B and tetracycline in wastewater based on novel S-scheme heterojunction phosphotungstic Acid@MIL-101(Cr). J. Environ. Manag. 2025, 373, 12. [Google Scholar] [CrossRef] [PubMed]
- Raguram, T.; Rajni, K.S.; Kanchana, D.; Jose, S.-E.; Granados-Tavera, K.; Cardenas-Jiron, G.; Shobana, M.; Meher, S.R. Exploring structural and optical properties of iodine-doped TiO2 nanoparticles in Rhodamine-B dye degradation: Experimental and theoretical investigation. Chemosphere 2024, 364, 143183. [Google Scholar] [CrossRef] [PubMed]
- Lu, Y.K.; Zhang, Y.J.; Zhang, J.L.; Li, Z.Y.; Hu, F.Y.; Pan, D.; Melhi, S.; Shi, X.T.; Amin, M.A.; El-Bahy, Z.M.; et al. Electrochemically synthesized Tin micro-nanometer powders for visible light photocatalytic degradation of Rhodamine B dye from polluted water. Adv. Compos. Hybrid Mater. 2024, 7, 12. [Google Scholar] [CrossRef]
Disclaimer/Publisher’s Note: The statements, opinions and data contained in all publications are solely those of the individual author(s) and contributor(s) and not of MDPI and/or the editor(s). MDPI and/or the editor(s) disclaim responsibility for any injury to people or property resulting from any ideas, methods, instructions or products referred to in the content. |
© 2025 by the authors. Licensee MDPI, Basel, Switzerland. This article is an open access article distributed under the terms and conditions of the Creative Commons Attribution (CC BY) license (https://creativecommons.org/licenses/by/4.0/).





