Next Article in Journal
Comparative Assessment of the Economic Efficiency of the Afforestation Project in the North-West of Russia
Previous Article in Journal
Pistachio Shell Ash in Agro-Waste Cement Composites: A Pathway to Low-Carbon Binders
 
 
Font Type:
Arial Georgia Verdana
Font Size:
Aa Aa Aa
Line Spacing:
Column Width:
Background:
Article

Dynamic Simulation Modeling for Resilience Assessment of Coupled Water–Agriculture–Community Systems in a Semi-Arid Region

by
Hamid Balali
1,
Gholamreza Eslamifar
1,
Connie M. Maxwell
1 and
Alexander Fernald
1,2,*
1
New Mexico Water Resources Research Institute, New Mexico State University, Las Cruces, NM 88003, USA
2
College of Agricultural, and Environmental Sciences, New Mexico State University, Las Cruces, NM 88003, USA
*
Author to whom correspondence should be addressed.
Sustainability 2025, 17(9), 4006; https://doi.org/10.3390/su17094006
Submission received: 20 March 2025 / Revised: 26 April 2025 / Accepted: 27 April 2025 / Published: 29 April 2025

Abstract

Climate change presents serious threats to the sustainability of coupled Water–Agriculture–Community Systems (WACSs) in New Mexico’s Lower Rio Grande (LRG) region. Enhancing the resilience of WACSs is essential for ensuring the system’s long-term adaptability and sustainability. Although the importance of system feedback and dynamic behavior is increasingly acknowledged in resilience studies, many existing assessments fail to account for the complex interconnections and self-organizing nature of these systems. This study utilizes a System Dynamics (SD) simulation modeling and a function-based resilience framework to assess WACSs’ responses to climate change, specifically investigating whether improvements in Water Conveyance Efficiency (WCE) can enhance system resilience in the LRG. The analysis centers on the interaction of socioeconomic and hydrological dynamics, incorporating future climate projections derived from three models: UKMO, GFDL, and NCAR. Findings reveal that under the UKMO scenario, enhanced WCE leads to improved resilience in the groundwater system; however, agricultural-community resilience declines under both the UKMO and GFDL scenarios. While hydrological resilience shows improvement—particularly with increased WCE—the agriculture–community system consistently exhibits limited capacity to adapt or reorganize. The differing outcomes across climate models underscore the sensitivity of WACS resilience to varying climatic conditions.

1. Introduction

Climate change poses significant challenges to the sustainability of coupled Water–Agriculture–Community Systems (WACSs) in arid and semi-arid regions [1,2,3]. These systems are highly susceptible to climate-induced challenges, including water scarcity and reduced agricultural productivity [4]. Such climatic stressors not only threaten food security but also exacerbate existing socioeconomic vulnerabilities within the affected WACSs. In arid and semi-arid regions, climate-induced water insecurity is closely linked to diminished agricultural productivity and increased livelihood vulnerabilities [5]. Climate change has triggered shifts in agricultural practices and water accessibility, thereby influencing the long-term sustainability and resilience of WACSs [6].
Scholars recognize the resilience improvement of WACSs in coping with climate change [7]. Climate change is an exogenous challenge that impacts WACSs in different ways, depending on their resilience [8]. Resilient WACSs mitigate climate change impacts through their absorptive, adaptive, and transformative capacities.
Resilience is a relatively new concept in disaster risk management [9,10]. The definition and assessment of the resilience of WACSs is inherently complex [3,11], as it varies across disciplines and even within the same field [12,13,14] due to the intricate interactions among social, economic, and environmental dimensions. Various resilience theories have been developed in the literature to define and quantify resilience, complicating the analysis and modeling of resilience in specific real-world complex systems [15].
Since the inception of the resilience concept, the prevailing perspective has evolved from engineering resilience to ecological resilience and subsequently to evolutionary resilience [11,16]. Ecological resilience is the ability of a system to absorb disturbances and maintain its structure and function before undergoing a regime shift. This involves the system reorganizing around different structures, processes, and functions [17]. It reflects the system’s capacity for self-organization, learning, and adaptation [11]. Ecological resilience theory posits that systems can exist in multiple equilibria, or steady states, and can shift between different basins of attraction [11]. Thus, resilience not only accounts for the system’s ability to absorb disturbances but also incorporates indicators of its adaptive capacity, emphasizing the dynamic nature of resilience [18].
Attraction basin theory is widely used in various studies to define and assess ecological resilience. According to this theory, all systems, including Water–Agriculture–Community Systems (WACSs), have stable landscapes, which are multidimensional representations of possible system states [19,20] (Figure 1). These landscapes contain basins of attraction that indicate the resilience of different states, with their shapes and sizes being influenced by system perturbations and dynamics. These factors can lead to regime shifts, ultimately determining the stability or collapse of the system [16,21,22].
Holling’s concept of resilience in ecological systems paved the way for the adaptive cycle theory and panarchy theory, illustrating the dynamics within coupled ecological and social systems [23,24,25,26].
Figure 1. Ecological resilience as introduced by Holling (1973) [26,27].
Figure 1. Ecological resilience as introduced by Holling (1973) [26,27].
Sustainability 17 04006 g001
The adaptive cycle reflects the dynamics of a system in four phases associated with exploitation (r phase), conservation (K phase), release (Ω phase), and reorganization (α phase) (Figure 2), which Holling developed as a conceptual graphical representation known as the “lazy eight” model [27]. The exploitation phase (r) represents a period when the system experiences rapid growth driven by abundant resources and openness to new opportunities. The conservation phase (k) occurs when growth stops and the focus shifts to efficiency. The release phase (Ω) represents a period when a disturbance causes a loss of identity and breaks apart the system’s components. Finally, the reorganization phase (α) follows, during which new configurations and components of the system emerge after the disturbance, creating opportunities for adaptation and reconfiguration [23]. The combination of fore-loop (exploitation and conservation phases) and back-loop (release and reorganization phases) in the adaptive cycle illustrates how systems persist over time (i.e., their resilience) or how they evolve to become different systems [25]. During the fore-loop, the system grows in complexity and organization of connections between components, leading towards a stable state. During the back-loop, the system falls apart as the connections are broken, releasing the components and resources and making them available again for a new period of growth. The system may grow as it was before if it is resilient. Alternatively, parts of the system may be lost, or new parts may be added, and a new system of novel components and connections emerges from parts of the old [23,25].
Many studies conceptualize resilience as a multifaceted construct comprising absorptive, adaptive, and transformative capacities [16,18,29,30,31,32,33]. Other perspectives distinguish resilience from adaptive capacity while acknowledging their interconnected nature [13,34,35,36]. Recent resilience thinking, particularly in the context of complex adaptive systems, highlights the importance of incorporating uncertainty into analysis and planning [17,37,38]. However, uncertainty remains an underutilized aspect in many resilience assessments [17].
Some studies defined resilience as a system’s ability to cope with imposed shocks while maintaining its normal behavior, structure, and functioning [9], and others described resilience as the capacity of a system to absorb disturbances and reorganize while undergoing change so as to retain essentially the same function, structure, identity, and feedback [19]. They emphasized that these attributes should be conserved after shocks are imposed [7,39,40].
Functionality within a WACS, as a social–ecological system, is closely tied to service provision and can be conceptualized in terms of its ecological and social functions [40]. If WACS functionality does not persist following a disturbance, the system cannot absorb, adapt to, or recover its core structure. Therefore, the state of the system’s functionality after disturbance is a crucial factor in determining its resilience and indicates its capacities for absorption, adaptation, and transformation within a social–ecological system (SES). These capacities can be conceptualized through functionality to generate resilience measures [40,41,42].
Despite the growing recognition of the importance of feedback in SES resilience [7,38,40], many resilience studies fail to capture these dynamics, particularly those occurring between the social and ecological dimensions [43]. Assessing resilience without considering the dynamic structure and feedback loops misses the critical element of self-organization, which is essential for system resilience [38,44]. Most resilience assessments have been conducted from single-disciplinary perspectives, such as sociology, economics, or ecology [45], neglecting the dynamic interconnections that are vital in SES resilience assessments [46,47,48].
This study aims to assess the resilience of the Water–Agriculture–Community System (WACS) in the Lower Rio Grande (LRG) of Northern New Mexico and to explore whether improving water conveyance efficiency can enhance system-wide resilience. In the resilience assessment of this study, the emphasis is on system function rather than its original structure. Burgess et al. (2019) believed that, at a minimum, the emphasis on functional over structural characteristics of systems’ resilience is important because, fundamentally, it sets the criterion of success [15]. In this study, the attraction basin theory and adaptive cycle theory are used to assess the resilience of the water–agriculture–community system.
The Rio Grande supplies water for agriculture and other human activities, including drinking water, within its territory [49]. Therefore, assessing the resilience of water-related systems in this region in response to climate change should consider the entire system as a coupled WACS. In this study, the following two hypotheses were examined:
(1) The water–agriculture–community system (WACS) in the LRG is not resilient in response to climate change.
(2) Improving water conveyance efficiency enhances the resilience of WACSs in coping with climate change in the LRG.
The structure of the paper is as follows: Section 2 introduces the study area and provides background on the Lower Rio Grande. Section 3 describes the materials and methods, including the function-based resilience assessment framework, the system dynamics model, and water conveyance efficiency scenarios. Section 4 presents the results and discussion, and Section 5 offers the concluding remarks and key implications of the study.

2. Study Area

The Lower Rio Grande (LRG) Basin is a vital transboundary watershed that supports major urban and agricultural communities in southern New Mexico, western Texas, and northern Mexico. Key population centers include El Paso, Las Cruces, and Ciudad Juárez, which place significant demand on regional water resources [50]. Cities like El Paso and Las Cruces operate advanced sewage treatment plants with secondary and tertiary capabilities, facilitating treated wastewater reuse and supporting groundwater recharge [51,52]. The climate is semi-arid, and the annual precipitation ranges from 203 to 255 mm, depending on topography [53]. Average annual temperatures are around 16–24 °C [54]. This region extends from Elephant Butte Dam to the border of Texas and Mexico (Figure 3).
Prolonged droughts since 2002, along with reduced snowmelt runoff from upstream regions, have led to significant reductions in surface water supplies in the Lower Rio Grande (LRG) in New Mexico [55].
In the LRG, surface water availability for irrigation is becoming increasingly scarce due to low precipitation and snowfall, which have reduced runoff, increased evaporation, and prolonged drought conditions [54]. As a result, farmers have been compelled to rely more heavily on groundwater pumping, which has caused a decline in groundwater storage in the LRG. For instance, the Elephant Butte Irrigation District (EBID) could only provide farmers with 4 inches of water in 2021, down from a previous allocation of 3 feet due to water shortages [55].
In the LRG, surface water availability is highly variable, and in some years, as much as 80–90% of agricultural water use is derived from surface water [54,56].
The Rio Grande is the main water supply in the LRG, accounting for about 60% of the irrigation water used by agriculture, with groundwater making up the remaining 40% [56]. The Rio Grande, the fifth-longest river in North America, is a vital water source for the southwestern states of the United States, including Colorado, New Mexico, Texas, and Mexico [49,53,57]. It brings together cultures, societies, ecosystems, and economies, thereby forming a complex social–ecological system [49].
Several important reservoirs exist upstream of the Lower Rio Grande, including Elephant Butte, which regulates water flow and storage for downstream users [58]. Seasonal water levels in the river vary significantly, with peak flows occurring in late spring and early summer due to snowmelt from the Rocky Mountains and low flows in late summer and fall. These seasonal fluctuations are critical in shaping irrigation timing, agricultural productivity, and ecosystem dynamics in the region. Our model accounts for these hydrological dynamics through exogenous inflow variables and time-dependent flow patterns.
Water scarcity in the LRG has become a critical issue. Precipitation in the region is limited, making irrigation the main water source for crops [54]. Due to prolonged droughts and water scarcity, the LRG region relies on water availability for socioeconomic development [59]. In the Lower Rio Grande (LRG) basin, key agricultural crops include chile peppers, pecans, onions, cotton, and alfalfa, with chile peppers and pecans being particularly important for the region’s economy. These crops are heavily dependent on both surface water and groundwater for irrigation in the semi-arid climate. The irrigation ditch systems in New Mexico have a long history, serving as vital infrastructure for water distribution in agricultural communities [59,60]. These systems, consisting of unlined earthen ditches, cause water loss during conveyance by evaporation, seepage, and deep percolation. Although evaporation in the water conveyance loses available water, percolation as seepage during the conveyance has an important role in groundwater recharge and keeping surface water and groundwater connectivity [59,61].
Both surface water and groundwater in LRG are vital and hydrologically interconnected sources for agricultural and urban use. Groundwater recharge is significantly influenced by seepage from the Rio Grande and its associated irrigation canals, while excessive groundwater extraction can reduce streamflow, underscoring the strong interaction between surface and subsurface water systems. Changes in groundwater storage are positively correlated with surface water use in the LRG region. During dry seasons and droughts, groundwater often becomes the primary source of water, compensating for surface water shortages—though this shift increases energy demands due to the need for deeper pumping [53]. Recharge sources to groundwater have been classified as infiltration of precipitation, seepage from ditches, laterals, and the Rio Grande River, irrigation in fields, and groundwater flow from uplands. Among these sources, the majority of recharge is derived from seepage and deep percolation associated with irrigation [59].

3. Materials and Methods

3.1. Framework of Function-Based Resilience Assessment

Function-based resilience assessment allows for a more nuanced understanding of how the system responds to disturbances such as climate change by examining how well it can maintain its essential functions. This viewpoint in the resilience assessment of WACSs redirects attention towards the functions and services provided by the system.
The precision offered by function-based approaches lies in their targeted focus on specific functions, enabling insights into resilience dynamics. Capacities of absorption, adaptation, and transformation within SES can be aptly conceptualized in terms of functionality to generate resilience measures [40,41].
This study introduces a comprehensive framework for assessing the resilience of WACSs in the Lower Rio Grande. The framework integrates stakeholder inputs, participatory modeling, and system dynamics analysis (Figure 4). This framework involves gathering detailed information from a diverse group of stakeholders, including farmers, government officials, water supply firms, research institutes, and scholars. In the second step, we define WACS functions. In the next step within the SD model, we defined specific proxies that represent the key functions of the WACS. These proxies are quantitative indicators that capture the system’s essential capabilities, including groundwater storage as an indicator of water system function and agricultural income as an indicator for the agriculture–community system function of the WACS in the Lower Rio Grande. By focusing on these functional proxies, we assessed how well the WACS maintains its core functions under various conditions. By analyzing the system’s response to precipitation as a key factor for climate change, we assessed WACS resilience based on the defined functional proxies.
This function-based resilience assessment allowed us to understand the system’s ability to build and reorganize its functions in the face of climate change. The effectiveness of the water conveyance efficiency (WCE) strategy for improving WACS resilience is evaluated within the SD model to determine their impact on rebuilding the system’s functions. This comprehensive framework provides a systematic approach to assess and enhance the resilience of WACSs in the Lower Rio Grande. By focusing on functional capabilities, incorporating stakeholder perspectives, and using participatory modeling, we aimed to develop actionable assessment strategies that ensure the sustainability and robustness of the coupled water, agricultural, and community systems amidst the challenges posed by climate change.

3.2. System Dynamics Model

This study built on an SD model developed by Langarudi et al. [59] (the full details of the model’s parameters and specifications are provided in the supplementary materials associated with Langarudi et al. [59]) and adopted a function-based resilience assessment approach to evaluate system stability. The SD approach is an appropriate technique for simulating complex problems in integrated water resources [61]. SD facilitates understanding the feedback relationships of the factors that drive the behavior of a complex system, quantifying their magnitudes in simulations to assess potential alternative future scenarios [59,62,63].
The methodology included feedback and delay mechanisms that are inherent within and among the water, agriculture, and community systems, visualizing system behaviors and mechanisms (Appendix A: Figure A1).
The model integrated eight subsystems to assess the resilience of the WACSs in the Lower Rio Grande. We considered three main systems of water, agriculture, and community and included the social and economic components that are fundamental to the framework of coupled water—agriculture—community systems. This SD model included the sub-models of hydrology, water use, agriculture, economy, wage, labor allocation, and population. These sub-models contained the variables, connections, feedback, and dynamic hypothesis for resilience assessment of WACSs in the Lower Rio Grande, and the variables of groundwater storage and agricultural income were chosen as proxies for reflecting the system’s function behavior.
For the validation of the model, the calibration and validation processes were conducted over the period from early 1969 to the end of 2011 (Figure A2). The validation involved both qualitative and quantitative methods. Qualitative techniques included structure verification and boundary adequacy testing. Additionally, quantitative indicators, such as behavior reproduction, were employed to evaluate the model’s performance. The model specifications are detailed in Appendix A (Figure A3), adapted from Langarudi et al. [59].
The model captures the dynamic interactions between groundwater and surface water while also representing the complex processes and feedback within the social–hydrologic system. The model uses several real-world data for parameter estimation, confidence-building tests, and driving exogenous variables. The model relies on a range of well-established data sources, including the U.S. Geological Survey (USGS) National Land Cover Dataset, the New Mexico Dynamic Statewide Water Budget, the Bureau of Economic Analysis (BEA), the Federal Reserve Bank, and the U.S. Bureau of Labor Statistics (BLS). We used statistical data sources, including climate projections generated by sources such as the Geophysical Fluid Dynamics Laboratory (GFDL), United Kingdom Met Office (UKMO), and National Center for Atmospheric Research (NCAR) for parameter estimation, confidence-building tests, and exogenous driving variables.
The model incorporates climate scenarios and statistical data to assess future system behaviors. In this model, future climate scenarios are fed by outputs of the climate models, including GFDL, UKMO, and NCAR, which represent high, moderate, and low emissions scenarios. We adopted the function-based resilience assessment approach, emphasizing the system’s capacity to maintain its functionality even under stress. To assess the resilience of the WACS system, we modeled the impacts of a precipitation shock, a key indicator of drought, as a crucial exogenous variable on the WACS function and behavior in different climate scenarios, including UKMO, GFDL, and NCAR. Additionally, we integrated the adaptive cycle theory into our resilience assessment. The adaptive cycle reflects system dynamics in four phases, including exploitation, conservation, release, and reorganization. The combination of the fore-loop and back-loop in the adaptive cycle shows how systems persist or evolve over time in response to disturbances [25].

3.3. Water Conveyance Efficiency

The irrigation ditch systems of New Mexico play a vital role in agricultural water distribution. These systems, composed of unlined earthen ditches, experience conveyance losses due to seepage and evaporation.
In this study, water conveyance efficiency (WCE) is defined as a function of water distribution for agriculture (WD), conveyance loss fraction (CLF) (including water lost due to evaporation), and recharge from conveyance (RC) (Equation (1)).
W C E = 1 C L F R C W D ,
C L F = C W L W D ,
where:
  • WCE: Water conveyance efficiency;
  • CLW: Conveyance water loss (including evaporation);
  • CLF: Conveyance loss fraction;
  • RC: Recharge from conveyance loss;
  • WD: Water distribution for agriculture.
By decreasing conveyance water loss, including evaporation, the available water in ditches and laterals for recharge and irrigation increases.

4. Results

4.1. WACS Behavior on the Baseline Status

This study focuses on key variables to assess the resilience of the WACSs in response to precipitation changes. For the water system function, we focused on groundwater storage, while for both the agricultural and community systems, agricultural income was used as the key variable, serving as a proxy for the system functions to assess the WACSs’ resilience in response to the precipitation changes.
Figure 5 displays the simulation results for WACSs in lower Rio Grande for the baseline scenario, which assumes no additional strategies, policies, or interventions. The simulation extends to the year 2099 and is based on historical trends. The analysis simulates the behavior of the system of three distinct climate scenarios—GFDL, UKMO, and NCAR—on groundwater storage and agricultural income from 2017 to 2099.
Under the UKMO climate scenario, groundwater storage is projected to decrease from 649,364 thousand acre-feet (KAF) in 2017 to 647,440 KAF by 2099, while agricultural income is expected to increase from 55,706 k$/yr to 82,675 k$/yr over the same period (Figure 5a,d).
In the GFDL scenario, groundwater storage will decline from 649,612 KAF to 641,864 KAF, with agricultural income rising from 106,591 k$/yr to 97,884 k$/yr.
The NCAR scenario, which represents low emission scenario for climate, anticipates an increase in groundwater storage from 648,796 KAF in 2017 to 653,506 KAF in 2099, although agricultural income is projected to decrease from 104,899 k$/yr to 61,244 k$/yr. The simulation results under the UKMO and GFDL climate scenarios confirm this trend, indicating a significant reduction in groundwater storage. However, the NCAR scenario presents an increase in groundwater storage starting from 2011.

4.2. Resilience Assessment of WACSs

The impact of precipitation changes on the resilience of the WACSs in the Lower Rio Grande was assessed in different climate scenarios, including UKMO, GFDL, and NCAR.
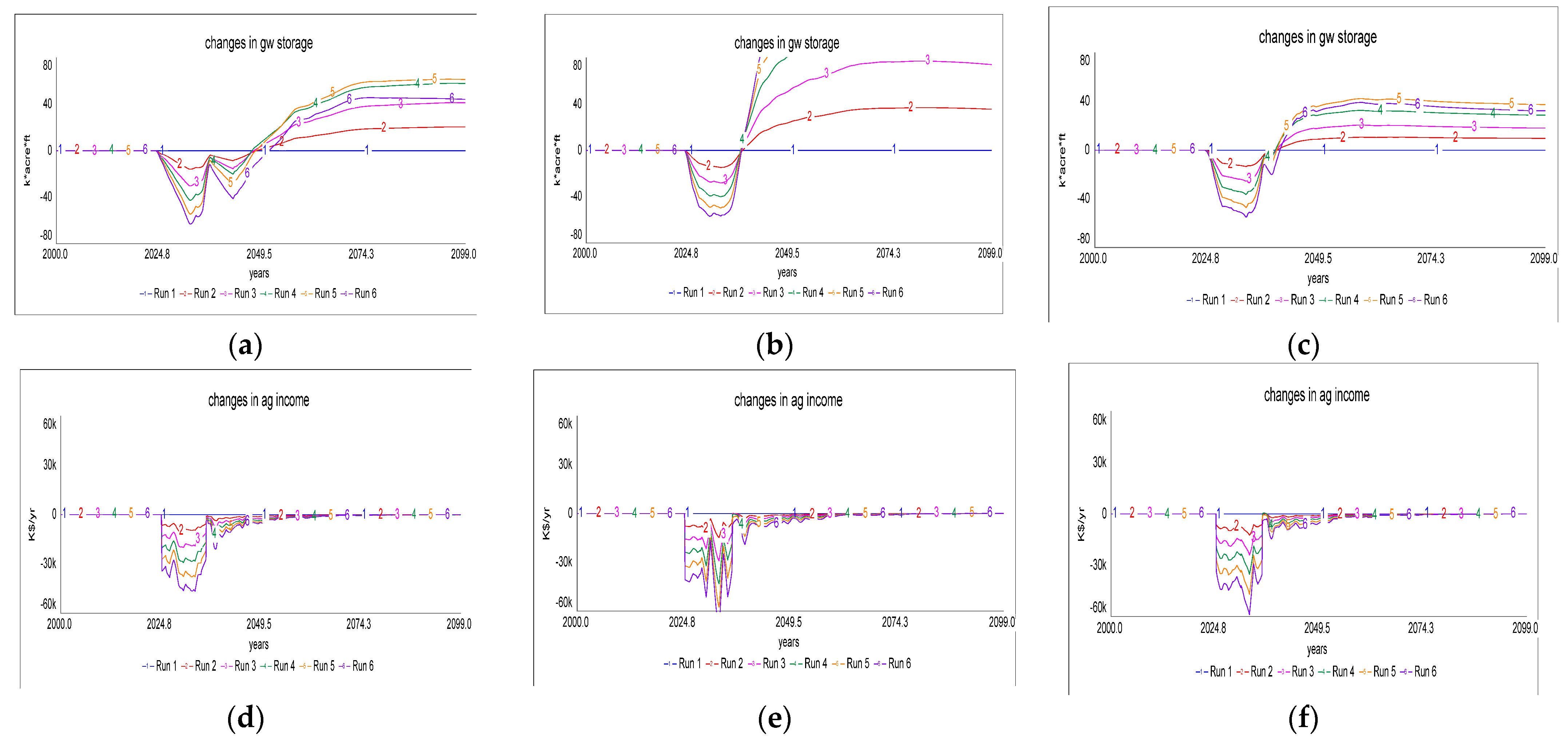
Figure 6 shows the simulated behavior of groundwater storage and agricultural income changes as selected functions of WACSs in response to the decline in precipitation. The imposed shock reflects a reduction ranging from 10% to 50% over a period of 10 years from 2025 to 2035.
Findings reveal that in the UKMO scenario, agricultural income changes—a key indicator of the functions of agricultural and community systems—significantly increase between 2025 and 2035 following a precipitation shock. After the shock, it initially bounces back to its previous trend in the baseline scenario, where there was no precipitation shock (Figure 6d). Although this variable bounces back to its origin trend, that trend is diminishing and does not behave in normal and desirable function. However, despite this partial recovery, the overall trend remains downward, which is inconsistent with expected or normal behavior (Figure A4d). This suggests that the agricultural sector and related community systems in the study area lack resilience under the UKMO scenario. Following the precipitation shocks, groundwater storage continues its declining trend(Figure A4a). This indicates that both the hydrological and agricultural-related community systems in the Lower Rio Grande are not currently resilient nor coping with precipitation reduction shocks under the UKMO scenario.
In the NCAR scenario, a precipitation shock due to decreased rainfall significantly alters groundwater storage. Even after the shock period ends, these changes persist, leading to a shift in the system’s baseline function. Meanwhile, agricultural income follows a different pattern, initially declining after the shock but gradually recovering to its pre-shock behavior and function. (Figure 6f).
Analysis of adaptive cycle theory showed another aspect of limitations to WACS resilience. Figure 7 illustrates the groundwater storage behavior over time, depicting the four phases of the adaptive cycle: exploitation (r phase), conservation (K phase), release (Ω phase), and reorganization (α phase).
However, the critical issue shown in this graph is that in each dynamic cycle, the fore-loop process, including the reorganization (α phase) and release (Ω phase), is insufficiently robust to fully rebuild and self-organize the groundwater storage system. As a result, the system does not recover to the same level of resilience or storage capacity seen in the previous cycle. This diminishing recovery means that with each new adaptive cycle, the groundwater storage starts at a lower point, indicating a trend of long-term depletion. The decreasing trajectory reflects the system’s lack of capacity to fully adapt or regenerate, suggesting also that external pressures (such as over-extraction or insufficient recharge) are further overwhelming the natural capacity for renewal, leading to a progressively worsening state of groundwater availability. This declining pattern underscores the vulnerability of the groundwater system of WACSs in the Lower Rio Grande.
The adaptive cycle analysis reveals varying resilience of the WACSs in the Lower Rio Grande across different climate scenarios. Using the adaptive cycle analysis for WACSs in the GFDL and NCAR climate scenarios indicates that the resilience of the WACSs in the Lower Rio Grande varies across different climate scenarios. The UKMO and GFDL scenarios indicate a general lack of resilience in both the water system and agriculture–community systems: in contrast, the NCAR scenario shows some resilience in the water system according to the adaptive cycle theory but not in the agriculture–community system. These findings highlight the need for targeted adaptation strategies to enhance system resilience under changing climate conditions.

4.3. Strategy for Improving WACS Resilience—Surface Water Conveyance Efficiency Improvement

Implementing the WCE strategy will increase the amount of surface water delivered to fields. Additionally, with greater surface water availability, groundwater withdrawals in the same area can decrease, which is expected to positively impact groundwater storage over the long term.
In the UKMO climate scenario, we find a 10% improvement in conveyance efficiency increases groundwater storage from 647,440 to 647,900 KAF by 2099. A 20% improvement leads to an increase from 647,440 to 649,942 KAF in the same scenario. In the GFDL climate scenario (Figure 8a), a 10% improvement raises groundwater storage from 641,864 to 643,009 KAF, while a 20% improvement boosts it to 646,144 KAF.
Conversely, the NCAR climate scenario shows different outcomes. With a 10% improvement in conveyance efficiency, groundwater storage changes slightly from 653,506 KAF to 653,441 KAF, and with a 20% improvement, it adjusts to 653,685 KAF. Although there is slight variation, the overall trend remains positive, demonstrating some resilience in groundwater storage. In contrast to the improvements observed in groundwater storage, agricultural income—an indicator of agriculture–community functions—follows a different trend. The proposed infrastructure under the WEC strategy requires substantial, long-term investment, leading to an expected initial decline in agricultural income. While these negative effects diminish significantly over time, agricultural income remains consistently lower than in the base case [53].
As shown in Figure 8a, improving surface water conveyance efficiency in the UKMO scenario results in decreased agricultural income. A 10% increase in conveyance efficiency leads to a reduction in agricultural income from 82,675 k$/yr to 67,773 k$/yr, representing a decrease of approximately 18%. A 20% improvement results in a decrease to 25,156 k$/yr, a reduction of about 70%.
In the GFDL climate scenario, improvements in conveyance efficiency also lead to reductions in agricultural income. A 10% improvement reduces agricultural income from 99,300 k$/yr to 97,884 k$/yr, while a 20% improvement decreases it to 35,545 k$/yr, reflecting decreases of approximately 1.4% and 63.7%, respectively. The NCAR climate scenario shows a more pronounced effect. A 10% improvement in conveyance efficiency reduces agricultural income from 61,244 k$/yr to 31,219 k$/yr, and a 20% improvement lowers it further to 6810.22 k$/yr, representing decreases of approximately 49% and 89%, respectively.
Overall, the results of improving surface water conveyance efficiency highlight a trade-off between the hydrological and economic benefits. Enhancing conveyance efficiency improves groundwater storage, which is beneficial for the water and ecological functions of the system in the study area. This trade-off underscores the need for careful consideration when implementing this strategy aimed at improving WACS resilience in the Lower Rio Grande.

4.4. Resilience Assessment After Strategy Implementation

To assess the impact of conveyance efficiency on WACSs in LRG, we analyzed scenarios with a 20% increase in efficiency under varying precipitation shocks (Figure 9a–f). Our analysis introduced the effects of precipitation shocks, which ranged from a 10% to 50% decrease in precipitation.
The results show that while improved water conveyance efficiency enhances groundwater storage resilience, it does not restore agricultural income resilience under the UKMO climate scenario. In the UKMO climate scenario, Figure 9d illustrates that, despite improvements in water conveyance efficiency, the agricultural income variable—representing agriculture–community system function—remains non-resilient. Although agricultural income shows some recovery from its pre-shock trend, it fails to reorganize effectively. This behavior is inconsistent with normal expectations for system resilience, indicating that the agriculture–community systems do not achieve resilience even with improved conveyance efficiency. In contrast, the groundwater storage variable, an indicator of the water system, demonstrates improved resilience with enhanced conveyance efficiency in the UKMO scenario (Figure 9a). After imposing precipitation shocks, groundwater storage shows the ability to bounce back to its original equilibrium or “attractive basin”. The system not only conserves its recovery capacity but also returns to its expected behavior, suggesting that the water system achieves resilience under these conditions. Similarly, in the GFDL climate scenario, improving conveyance efficiency results in agriculture–community systems that remain non-resilient.
The enhanced conveyance efficiency allows the groundwater storage to recover more effectively from precipitation shocks. It does not, however, lead to a resilient system (Figure 9b).
In the NCAR climate scenario, the pattern remains consistent. The agriculture–community systems do not exhibit resilience despite improvements in conveyance efficiency, while the water system shows enhanced resilience. Improved conveyance efficiency helps the groundwater storage system to better withstand and recover from precipitation shocks, indicating that the hydrological system benefits from increased resilience under these conditions. Overall, our findings reveal a clear trade-off: while improvements in conveyance efficiency bolster the resilience of the water system, they do not translate to increased resilience for the agriculture–community system. This trade-off underscores the complexity of managing water resources and highlights the need for targeted strategies that consider water and agriculture–community system resilience.

5. Discussion

Results revealed that while improvements in conveyance efficiency enhance the resilience of the water system, the agriculture–community systems continue to lack resilience, highlighting a disparity in system responses. To explore this further, we simulated the system’s behavior under three climate scenarios—GFDL, UKMO, and NCAR—and evaluated the effects of enhancing surface water conveyance efficiency. Specifically, the study assessed the resilience of the Water–Agriculture–Community System (WACS) in the Lower Rio Grande by modeling precipitation shocks ranging from 10% to 50% over a decade across these climate scenarios. The analysis showed that in the UKMO, the moderate emissions scenario (MED), agricultural income significantly declined during the precipitation shock period, with a slight recovery that ultimately failed to revert to normal levels, indicating a lack of resilience in the agricultural sector and related community systems. Groundwater storage continued its downward trend, further highlighting the system’s inability to adapt or reorganize effectively under these conditions. In the GFDL scenario, high emissions scenario (HIGH), the systems exhibited increased fluctuations in response to precipitation shocks, yet neither the hydrological nor agricultural components demonstrated resilience, as they failed to return to their previous states or adapt effectively. Conversely, the NCAR, low emissions scenario (LOW), showed a different outcome: while groundwater storage initially declined, it began to recover and reorganize after the shock, suggesting a degree of resilience in the hydrological system. However, agricultural income did not follow this trend, as it struggled to recover from the impacts of the precipitation shock.
To understand the impacts of conveyance efficiency improvement on the resilience of water and agriculture–community systems, we analyzed scenarios where conveyance efficiency was improved. The finding of this study builds on and extends the findings of Langarudi et et al. [59], providing a more nuanced understanding of the interplay between water system resilience and agricultural-community dynamics under climate variability and management interventions. While Bai et al. [53] demonstrated that irrigation efficiency (IE) policies could reduce groundwater dependency in the short term, they also revealed critical limitations. This aligns with our findings that improved conveyance efficiency enhances hydrological resilience to some extent but fails to address broader system vulnerabilities, particularly in agriculture–community systems.
Our results also highlighted that while improving surface water conveyance efficiency enhances the functionality of the water system, indicating an increase in its resilience, the agriculture–community system simultaneously experiences a decline in performance and a reduction in resilience. In this regard, Herrera et al. (2022) showed that system resilience may vary depending on the conditions, including the type of disturbance it faces [64]. In this study, the adaptive capacity of the system, including its ability to reorganize in response to disturbances, was analyzed in addition to the system’s ability to bounce back to its original state. In contrast, other function-based resilience assessments have primarily focused only on the system’s return to its initial condition [8,64]. This broader approach contributes to a more comprehensive understanding of the resilience of Water–Agriculture–Community Systems (WACSs).
Our results further illustrated that under scenarios such as MED and High, the agriculture–community system remains non-resilient despite enhanced conveyance efficiency, while groundwater resilience varies depending on the climate scenario. These findings support the argument presented by Bai et al. [53], which employed a system dynamics model to simulate the hydrologic and economic impacts of irrigation efficiency (IE) policies in the Lower Rio Grande region of New Mexico under three climate scenarios. Their study showed that while IE policies can enhance water availability at the field level, they often lead to reduced hydrologic connectivity and adverse economic outcomes, particularly under increased evapotranspiration and climate variability.
Table 1 presents specific advantages of the current study and highlights areas for further development in comparison with other studies in the existing literature. To enhance the comprehensiveness of our resilience assessment, future extensions of the model should consider incorporating a broader set of socioeconomic and ecological indicators. While our current model includes essential socioeconomic variables such as employment, income, population, and labor force, as well as system-level metrics like agricultural production and water availability, additional indicators such as crop diversity, soil quality, and community well-being would provide a more holistic understanding of resilience in the Water–Agriculture–Community System (WACS). Crop diversity is increasingly recognized as a critical factor in enhancing agroecosystem adaptability to shocks and stressors [65]. Similarly, soil quality is foundational for sustaining agricultural productivity and long-term ecological resilience [66]. Furthermore, indicators of community well-being—including access to healthcare, education, and social capital—can offer deeper insights into the capacity of communities to adapt to socio-environmental changes [67]. Due to data limitations and to maintain model simplicity and interpretability, these indicators were not included in the present version of the model; however, their inclusion is proposed as a valuable direction for future research. In addition, incorporating non-linear relationships and threshold effects—characteristic features of social–ecological systems—enhances the model’s ability to simulate abrupt shifts and complex feedback dynamics under stress conditions such as prolonged droughts or economic disruptions. Integrating such system complexity, along with the potential influences of technological innovations (e.g., precision irrigation, water reuse systems) and policy mechanisms (e.g., economic incentives, regulatory reforms), contributes to a more comprehensive and realistic assessment of resilience trajectories within the water–agriculture–community system.
Understanding the long-term dynamics of social–ecological systems like the water–agriculture–community system (WACS) requires extended temporal analysis to capture delayed effects, feedback loops, and potential regime shifts under sustained climate stress [18,21]. Therefore, future work should extend the simulation period beyond 2099 and incorporate compound and prolonged precipitation shocks to better evaluate long-term resilience and adaptive capacity in the Lower Rio Grande.
The results highlighted a significant trade-off between water and agriculture–community systems. Improvements in conveyance efficiency enhanced groundwater storage as a function of the water system but did not extend the same benefits to the agriculture–community system.
This trade-off underscores the complexity of water resource management and the need for targeted strategies that address the resilience of both hydrological and agriculture–community systems.

6. Summary and Conclusions

This study assessed the resilience of the water-agriculture–community system (WACS) in the Lower Rio Grande (LRG) through a function-based approach that focuses on groundwater storage and agricultural income. While the hydrological system, represented by groundwater storage, exhibited signs of resilience, particularly under enhanced water conveyance efficiency, the agricultural-community system consistently struggled to adapt or reorganize effectively in response to climate shocks or efficiency improvements. The varying outcomes across the MED, LOW, and HIGH scenarios illustrate the sensitivity of WACSs to climatic conditions and interventions. Groundwater storage generally benefitted from increased surface water conveyance efficiency, highlighting the potential of infrastructure improvements to mitigate some hydrological risks. However, these benefits did not extend to the agriculture–community system, which remained vulnerable across all scenarios. This persistent lack of resilience in the agricultural sector raises concerns about the socioeconomic stability of the region, as the community heavily relies on agriculture for livelihoods and economic sustenance.
The trade-off between hydrological and agricultural resilience highlights the critical need for integrated management approaches, which could be a future research priority in this field. Ultimately, our findings emphasize that resilience-building in WACSs requires a system approach that addresses both environmental and socioeconomic dimensions. Policymakers and resource managers must prioritize interventions that balance water resource sustainability with agricultural productivity, ensuring long-term resilience for both the hydrological and community systems in the face of climate change.
There are some limitations to this research that present valuable opportunities for future exploration. One key area is the temporal scope of the analysis. While this study provides important insights into the resilience of the Water–Agriculture–Community System (WACS), extending the simulation period beyond 2099 could enable a deeper evaluation of long-term dynamics, delayed feedback effects, and potential regime shifts under sustained climate stress. Additionally, incorporating compound and prolonged precipitation shocks would offer a more comprehensive understanding of how the system responds to complex and realistic climate scenarios. Furthermore, applying and adapting the model framework to other semi-arid regions could facilitate cross-regional comparisons and support the development of tailored strategies for sustainable water and agricultural management in the face of climate change.

Author Contributions

Conceptualization, H.B.; Methodology, H.B.; Software, H.B.; Resources, H.B.; Writing—original draft, H.B.; Writing—review and editing, A.F., G.E. and C.M.M.; Visualization, H.B.; Supervision, A.F.; Project administration, A.F.; Funding acquisition, A.F. All authors have read and agreed to the published version of the manuscript.

Funding

This material is based upon work supported by the National Science Foundation under Grant No. 2308358 and the New Mexico State Legislature through the State General Fund FY24-26.

Institutional Review Board Statement

Not applicable.

Informed Consent Statement

Not applicable.

Data Availability Statement

Data are contained within the article.

Conflicts of Interest

The authors declare no conflicts of interest.

Abbreviations

LRGLower Rio Grande
WACSWater–Agriculture–Community Systems
SDSystem Dynamics
FBAFunction-Based Model
GFDLGeophysical Fluid Dynamics Laboratory
UKMOUnited Kingdom Met Office
NCARNational Center for Atmospheric Research
KAFThousands of Acre-Feet
EBIDElephant Butte Irrigation District
WCEWater Conveyance Efficiency
SESSocial–Ecological System

Appendix A

Figure A1. Major components and flows of SD model adapted from Bai et al [53].
Figure A1. Major components and flows of SD model adapted from Bai et al [53].
Sustainability 17 04006 g0a1
Figure A2. Behavior reproduction results (water variables) [53].
Figure A2. Behavior reproduction results (water variables) [53].
Sustainability 17 04006 g0a2
Figure A3. Behavior reproduction results (socioeconomic variables) [53].
Figure A3. Behavior reproduction results (socioeconomic variables) [53].
Sustainability 17 04006 g0a3
Figure A4. Groundwater storage and agriculture income simulation in different climate scenarios, including UKMO, GFDL, and NCAR after imposed shock (precipitation reduction from 0.1 to 0.5). (a) Groundwater storage in UKMO; (b) Groundwater storage in GFDL; (c) Groundwater storage in NCAR; (d) Agricultural Income in UKMO; (e) Agricultural Income in GFDL; (f) Agricultural Income in NCAR.
Figure A4. Groundwater storage and agriculture income simulation in different climate scenarios, including UKMO, GFDL, and NCAR after imposed shock (precipitation reduction from 0.1 to 0.5). (a) Groundwater storage in UKMO; (b) Groundwater storage in GFDL; (c) Groundwater storage in NCAR; (d) Agricultural Income in UKMO; (e) Agricultural Income in GFDL; (f) Agricultural Income in NCAR.
Sustainability 17 04006 g0a4

References

  1. Maxwell, C.M.; Langarudi, S.P.; Fernald, A.G. Simulating a watershed-scale strategy to mitigate drought, flooding, and sediment transport in drylands. Systems 2019, 7, 53. [Google Scholar] [CrossRef]
  2. Sarami-Foroushani, T.; Balali, H.; Movahedi, R.; Partelow, S. Indicator assessment of groundwater resource sustainability: Using the framework of socio-ecological systems in Hamedan-Bahar Plain, Iran. J. Hydrol. Reg. Stud. 2024, 54, 101889. [Google Scholar] [CrossRef]
  3. Tibangayuka, N.; Mulungu, D.M.; Izdori, F. Evaluating future climate-driven changes in agricultural water resilience: Insights from CMIP6 model simulations for the Kagera River sub-basin. J. Environ. Manag. 2025, 378, 124745. [Google Scholar] [CrossRef] [PubMed]
  4. Dzvene, A.R.; Zhou, L.; Slayi, M.; Dirwai, T.L. A scoping review on challenges and measures for climate change in arid and semi-arid agri-food systems. Discov. Sustain. 2025, 6, 151. [Google Scholar] [CrossRef]
  5. Dinko, D.H.; Bahati, I. A Review of the Impact of Climate Change on Water Security and Livelihoods in Semiarid Africa: Cases From Kenya, Malawi, and Ghana. J. Clim. Resil. Justice 2023, 1, 107–118. [Google Scholar] [CrossRef]
  6. Medellín-Azuara, J.; Escriva-Bou, A.; Gaudin, A.C.; Schwabe, K.A.; Sumner, D.A. Cultivating climate resilience in California agriculture: Adaptations to an increasingly volatile water future. Proc. Natl. Acad. Sci. USA 2024, 121, e2310079121. [Google Scholar] [CrossRef]
  7. Vinals, E.; Maneja, R.; Rufí-Salís, M.; Martí, M.; Puy, N. Reviewing social-ecological resilience for agroforestry systems under climate change conditions. Sci. Total Environ. 2023, 869, 161763. [Google Scholar] [CrossRef]
  8. Ioannou, A.E.; Laspidou, C.S. Resilience analysis framework for a water–energy–food nexus system under climate change. Front. Environ. Sci. 2022, 10, 820125. [Google Scholar] [CrossRef]
  9. Wassie, S.B.; Mengistu, D.A.; Birlie, A.B. Agricultural livelihood resilience in the face of recurring droughts: Empirical evidence from northeast Ethiopia. Heliyon 2023, 9, e16422. [Google Scholar] [CrossRef] [PubMed] [PubMed Central]
  10. Talubo, J.; Morse, S.; Saroj, D. Whose resilience matters? A socio-ecological systems approach to defining and assessing disaster resilience for small islands. Environ. Chall. 2022, 7, 100511. [Google Scholar] [CrossRef]
  11. Nikinmaa, L.; Lindner, M.; Cantarello, E.; Jump, A.S.; Seidl, R.; Winkel, G.; Muys, B. Reviewing the use of resilience concepts in forest sciences. Curr. For. Rep. 2020, 6, 61–80. [Google Scholar] [CrossRef]
  12. Meerow, S.; Newell, J.P.; Stults, M. Defining urban resilience: A review. Landsc. Urban Plan. 2016, 147, 38–49. [Google Scholar] [CrossRef]
  13. Norris, F.H.; Stevens, S.P.; Pfefferbaum, B.; Wyche, K.F.; Pfefferbaum, R.L. Community resilience as a metaphor, theory, set of capacities, and strategy for disaster readiness. Am. J. Community Psychol. 2008, 41, 127–150. [Google Scholar] [CrossRef]
  14. Sharifi, A. A critical review of selected tools for assessing community resilience. Ecol. Indic. 2016, 69, 629–647. [Google Scholar] [CrossRef]
  15. Burgess, R.; Horbatuck, K.; Beruvides, M. From mosaic to systemic redux: The conceptual foundation of resilience and its operational implications for water resource management. Systems 2019, 7, 32. [Google Scholar] [CrossRef]
  16. Folke, C. Resilience: The emergence of a perspective for social–ecological systems analyses. Glob. Environ. Chang. 2006, 16, 253–267. [Google Scholar] [CrossRef]
  17. Sundstrom, S.M.; Angeler, D.G.; Allen, C.R. Resilience theory and coerced resilience in agriculture. Agric. Syst. 2023, 206, 103612. [Google Scholar] [CrossRef]
  18. Folke, C.; Carpenter, S.R.; Walker, B.; Scheffer, M.; Chapin, T.; Rockström, J. Resilience thinking: Integrating resilience, adaptability and transformability. Ecol. Soc. 2010, 15. Available online: https://www.jstor.org/stable/26268226 (accessed on 11 October 2024). [CrossRef]
  19. Walker, B.; Holling, C.S.; Carpenter, S.R.; Kinzig, A. Resilience, adaptability and transformability in social–ecological systems. Ecol. Soc. 2004, 9, 5. [Google Scholar] [CrossRef]
  20. Hattam, C.; Evans, L.; Morrissey, K.; Hooper, T.; Young, K.; Khalid, F.; Bryant, M.; Thani, A.; Slade, L.; Perry, C.; et al. Building resilience in practice to support coral communities in the Western Indian Ocean. Environ. Sci. Policy 2020, 106, 182–190. [Google Scholar] [CrossRef]
  21. Scheffer, M.; Carpenter, S.; Foley, J.A.; Folke, C.; Walker, B. Catastrophic shifts in ecosystems. Nature 2001, 413, 591–596. [Google Scholar] [CrossRef] [PubMed]
  22. Menck, P.J.; Heitzig, J.; Marwan, N.; Kurths, J. How basin stability complements the linear-stability paradigm. Nat. Phys. 2013, 9, 89–92. [Google Scholar] [CrossRef]
  23. Holling, C.S. Understanding the complexity of economic, ecological, and social systems. Ecosystems 2001, 4, 390–405. [Google Scholar] [CrossRef]
  24. Holling, C.S.; Gunderson, L.H. Resilience and adaptive cycles. In Panarchy: Understanding Transformations in Human and Natural Systems; Island Press: Washington, DC, USA, 2002; pp. 25–62. [Google Scholar]
  25. Escamilla Nacher, M.; Ferreira, C.S.S.; Jones, M.; Kalantari, Z. Application of the Adaptive Cycle and Panarchy in La Marjaleria Social-Ecological System: Reflections for Operability. Land 2021, 10, 980. [Google Scholar] [CrossRef]
  26. Gunderson, L.H.; Holling, C.S. Panarchy: Understanding Transformations in Human and Natural Systems; Island Press: Washington, DC, USA, 2002. [Google Scholar]
  27. Keane, R.E.; Loehman, R.A.; Holsinger, L.M.; Falk, D.A.; Higuera, P.; Hood, S.M.; Hessburg, P.F. Useof landscape simulation modeling to quantify resilience for ecological applications. Ecosphere 2018, 9, e02414. [Google Scholar] [CrossRef]
  28. Espeso-Molinero, P.; Pastor-Alfonso, M.J. Governance, community resilience, and indigenous tourism in Nahá, Mexico. Sustainability 2020, 12, 5973. [Google Scholar] [CrossRef]
  29. Miller, F.; Osbahr, H.; Boyd, E.; Thomalla, F.; Bharwani, S.; Ziervogel, G.; Walker, B.; Birkmann, J.; Van der Leeuw, S.; Rockström, J.; et al. Resilience and vulnerability: Complementary or conflicting concepts? Ecol. Soc. 2010, 15, 11. [Google Scholar] [CrossRef]
  30. Béné, C.; Headey, D.; Haddad, L.; von Grebmer, K. Is resilience a useful concept in the context of food security and nutrition programmes? Some conceptual and practical considerations. Food Secur. 2016, 8, 123–138. [Google Scholar] [CrossRef]
  31. Roy, R.; Gain, A.K.; Samat, N.; Hurlbert, M.; Tan, M.L.; Chan, N.W. Resilience of coastal agricultural systems in Bangladesh: Assessment for agroecosystem stewardship strategies. Ecol. Indic. 2019, 106, 105525. [Google Scholar] [CrossRef]
  32. Mulrennan, M.E.; Bussières, V. Social-ecological resilience in indigenous coastal edge contexts. Ecol. Soc. 2018, 23, 18. [Google Scholar] [CrossRef]
  33. Huang, H.; Zhuo, L.; Wang, W.; Wu, P. Resilience assessment of blue and green water resources for staple crop production in China. Agric. Water Manag. 2023, 288, 108485. [Google Scholar] [CrossRef]
  34. Nelson, D.R. Adaptation and resilience: Responding to a changing climate. Wiley Interdiscip. Rev. Clim. Chang. 2011, 2, 113–120. [Google Scholar] [CrossRef]
  35. Smith, L.C.; Frankenberger, T.R. Does resilience capacity reduce the negative impact of shocks on household food security? Evidence from the 2014 floods in Northern Bangladesh. World Dev. 2018, 102, 358–376. [Google Scholar] [CrossRef]
  36. Ferro-Azcona, H.; Espinoza-Tenorio, A.; Calderón-Contreras, R.; Ramenzoni, V.C.; País, M.D.L.M.G.; Mesa-Jurado, M.A. Adaptive capacity and social-ecological resilience of coastal areas: A systematic review. Ocean Coast. Manag. 2019, 173, 36–51. [Google Scholar] [CrossRef]
  37. Allen, C.R.; Birgé, H.; Angeler, D.G.; Arnold, C.A.; Chaffin, B.C.; DeCaro, D.; Garmestani, A.S.; Gunderson, L.H. Quantifying uncertainty and trade-offs in resilience assessments. Ecol. Soc. 2018, 23, 3. [Google Scholar] [CrossRef]
  38. Carper, J.M.; Alizadeh, M.R.; Adamowski, J.F.; Inam, A.; Malard, J.J. Quantifying the transient shock response of dynamic agroecosystem variables for improved socio-environmental resilience. Ecol. Soc. 2021, 26, 17. [Google Scholar] [CrossRef]
  39. Gunderson, L.H. Ecological resilience—In theory and application. Annu. Rev. Ecol. Syst. 2000, 31, 425–439. [Google Scholar] [CrossRef]
  40. Franco -Gaviria, F.; Amador-Jiménez, M.; Millner, N.; Durden, C.; Urrego, D.H. Quantifying resilience of socio-ecological systems through dynamic Bayesian networks. Front. For. Glob. Chang. 2022, 5, 889274. [Google Scholar] [CrossRef]
  41. Renschler, C.S.; Frazier, A.E.; Arendt, L.A.; Cimellaro, G.P.; Reinhorn, A.M.; Bruneau, M. A Framework for Defining and Measuring Resilience at the Community Scale: The PEOPLES Resilience Framework; U.S. Department of Commerce, National Institute of Standards and Technology: Gaithersburg, MD, USA, 2010; p. 10. Available online: https://www.researchgate.net/publication/284507306 (accessed on 11 October 2024).
  42. Rocha, J.; Lanyon, C.; Peterson, G. Upscaling the resilience assessment through comparative analysis. Glob. Environ. Chang. 2022, 72, 102419. [Google Scholar] [CrossRef]
  43. Van Oudenhoven, F.J.; Mijatović, D.; Eyzaguirre, P.B. Social-ecological indicators of resilience in agrarian and natural landscapes. Manag. Environ. Qual. Int. J. 2011, 22, 154–173. [Google Scholar] [CrossRef]
  44. Berkes, F. Can cross-scale linkages increase the resilience of social-ecological systems. In Proceedings of the RCSD International Conference, Politics of the Commons, Chiang Mai, Thailand, 1–14 July 2003. [Google Scholar]
  45. Li, T.; Dong, Y.; Liu, Z. A review of social-ecological system resilience: Mechanism, assessment, and management. Sci. Total Environ. 2020, 723, 138113. [Google Scholar] [CrossRef] [PubMed]
  46. Retallack, M. The intersection of economic demand for ecosystem services and public policy: A watershed case study exploring implications for social-ecological resilience. Ecosyst. Serv. 2021, 50, 101322. [Google Scholar] [CrossRef]
  47. Soriano, B.; Garrido, A.; Bertolozzi-Caredio, D.; Accatino, F.; Antonioli, F.; Krupin, V.; Meuwissen, M.P.; Ollendorf, F.; Rommel, J.; Spiegel, A.; et al. Actors and their roles for improving resilience of farming systems in Europe. J. Rural Stud. 2023, 98, 134–146. [Google Scholar] [CrossRef]
  48. Liu, R.; Zhang, L.; Tang, Y.; Jiang, Y. Understanding and evaluating the resilience of rural human settlements with a social-ecological system framework: The case of Chongqing Municipality, China. Land Use Policy 2024, 136, 106966. [Google Scholar] [CrossRef]
  49. Sandoval-Solis, S.; Paladino, S.; Garza-Diaz, L.; Nava, L.; Friedman, J.; Ortiz-Partida, J.P.; Plassin, S.; Gomez-Quiroga, G.; Koch, J.; Fleming, J.; et al. Environmental flows in the rio grande-rio bravo basin. Ecol. Soc. 2022, 27, art20. [Google Scholar] [CrossRef]
  50. U.S. Census Bureau. QuickFacts: El Paso, Texas; Las Cruces, New Mexico. 2023. Available online: https://www.census.gov (accessed on 20 November 2024).
  51. IBWC (International Boundary and Water Commission). Rio Grande Canalization Project. 2020. Available online: https://www.ibwc.gov (accessed on 11 October 2024).
  52. El Paso Water. Water Conservation and Water Reuse Programs. 2021. Available online: https://www.epwater.org (accessed on 18 December 2024).
  53. Bai, Y.; Langarudi, S.P.; Fernald, A.G. System dynamics modeling for evaluating regional hydrologic and economic effects of irrigation efficiency policy. Hydrology 2021, 8, 61. [Google Scholar] [CrossRef]
  54. Mokari, E.; Samani, Z.; Heerema, R.; Ward, F. Evaluation of long-term climate change impact on the growing season and water use of mature pecan in Lower Rio Grande Valley. Agric. Water Manag. 2021, 252, 106893. [Google Scholar] [CrossRef]
  55. Eslamifar, G.; Balali, H.; Fernald, A. Fallowing Strategy and Its Impact on Surface Water and Groundwater Withdrawal, and Agricultural Economics: A System Dynamics Approach in Southern New Mexico. Water 2024, 16, 181. [Google Scholar] [CrossRef]
  56. Office of the State Engineer of New Mexico. In the Matter of the Requirements for Metering Groundwater Withdrawals in the Lower Rio Grande Watermaster District, New Mexico. Available online: http://www.ose.state.nm.us/PDF/ActiveWater/LowerRioGrande/LRG,MeterRequirementsOrder (accessed on 8 February 2025).
  57. Wheat, E. Groundwater Challenges of the Lower Rio Grande: A Case Study of Legal Issues in Texas and New Mexico. Resources 2015, 4, 172–184. [Google Scholar] [CrossRef]
  58. Fernald, A.G.; Cevik, S.Y.; Ochoa, C.G.; Tidwell, V.C.; King, J.P.; Guldan, S.J. River hydrograph retransmission functions of irrigated valley surface water–groundwater interactions. J. Irrig. Drain. Eng. 2010, 136, 823–835. [Google Scholar] [CrossRef]
  59. Langarudi, S.P.; Maxwell, C.M.; Bai, Y.; Hanson, A.; Fernald, A. Does socioeconomic feedback matter for water models? Ecol. Econ. 2019, 159, 35–45. [Google Scholar] [CrossRef]
  60. Neal, A. Irrigation Systems in the Mesilla Valley: An Historical Overview; Center for Anthropological Research New Mexico State University: Las Cruces, NM, USA, 1992. [Google Scholar]
  61. Balali, H.; Viaggi, D. Applying a system dynamics approach for modeling groundwater dynamics to depletion under different economical and climate change scenarios. Water 2015, 7, 5258–5271. [Google Scholar] [CrossRef]
  62. Forrester, J.W. System dynamics—The next fifty years. Syst. Dyn. Rev. 2007, 23, 359–370. [Google Scholar] [CrossRef]
  63. Fernald, A.; Tidwell, V.; Rivera, J.; Rodríguez, S.; Guldan, S.; Steele, C.; Ochoa, C.; Hurd, B.; Ortiz, M.; Boykin, K. Modeling sustainability of water, environment, livelihood, and culture in traditional irrigation communities and their linked watersheds. Sustainability 2012, 4, 2998–3022. [Google Scholar] [CrossRef]
  64. Herrera, H.; Schütz, L.; Paas, W.; Reidsma, P.; Kopainsky, B. Understanding resilience of farming systems: Insights from system dynamics modelling for an arable farming system in the Netherlands. Ecol. Model. 2022, 464, 109848. [Google Scholar] [CrossRef]
  65. Lin, B.B. Resilience in agriculture through crop diversification: Adaptive management for environmental change. BioScience 2011, 61, 183–193. [Google Scholar] [CrossRef]
  66. Lal, R. Restoring soil quality to mitigate soil degradation. Sustainability 2015, 7, 5875–5895. [Google Scholar] [CrossRef]
  67. Cutter, S.L.; Burton, C.G.; Emrich, C.T. Disaster resilience indicators for benchmarking baseline conditions. J. Homel. Secur. Emerg. Manag. 2010, 7, 1–24. [Google Scholar] [CrossRef]
Figure 2. The adaptive cycle theory [28]. In this figure, capital shows the resources in the system, and connectedness shows how strongly parts of the system are linked together.
Figure 2. The adaptive cycle theory [28]. In this figure, capital shows the resources in the system, and connectedness shows how strongly parts of the system are linked together.
Sustainability 17 04006 g002
Figure 3. Location of Lower Rio Grande Region and its land cover [53] (the Lower Rio Grande region in south-central New Mexico has a geographic center at 32.353° N, −106.830° W).
Figure 3. Location of Lower Rio Grande Region and its land cover [53] (the Lower Rio Grande region in south-central New Mexico has a geographic center at 32.353° N, −106.830° W).
Sustainability 17 04006 g003
Figure 4. The framework of function-based resilience assessment for coupled Water–Agriculture–Community Systems (WACSs).
Figure 4. The framework of function-based resilience assessment for coupled Water–Agriculture–Community Systems (WACSs).
Sustainability 17 04006 g004
Figure 5. Groundwater Storage and agriculture income simulation in different climate scenarios, including UKMO, GFDL, and NCAR. (a) Groundwater storage in UKMO; (b) Groundwater storage in GFDL; (c) Groundwater storage in NCAR; (d) Agricultural Income in UKMO; (e) Groundwater storage in GFDL; (f) Groundwater storage in NCAR.
Figure 5. Groundwater Storage and agriculture income simulation in different climate scenarios, including UKMO, GFDL, and NCAR. (a) Groundwater storage in UKMO; (b) Groundwater storage in GFDL; (c) Groundwater storage in NCAR; (d) Agricultural Income in UKMO; (e) Groundwater storage in GFDL; (f) Groundwater storage in NCAR.
Sustainability 17 04006 g005
Figure 6. Groundwater Storage and Agriculture Income change simulation in different climate scenarios, including UKMO, GFDL, and NCAR after imposed shock (precipitation reduction from 0.1 to 0.5). (a) Groundwater storage changes in UKMO; (b) Groundwater storage changes GFDL; (c) Groundwater storage changes NCAR; (d) Agricultural Income changes in UKMO; (e) Agricultural Income changes in GFDL; (f) Agricultural Income changes in NCAR.
Figure 6. Groundwater Storage and Agriculture Income change simulation in different climate scenarios, including UKMO, GFDL, and NCAR after imposed shock (precipitation reduction from 0.1 to 0.5). (a) Groundwater storage changes in UKMO; (b) Groundwater storage changes GFDL; (c) Groundwater storage changes NCAR; (d) Agricultural Income changes in UKMO; (e) Agricultural Income changes in GFDL; (f) Agricultural Income changes in NCAR.
Sustainability 17 04006 g006
Figure 7. Dynamics of groundwater storage on the basis of adaptive cycle theory, model simulation on baseline scenario, UKMO.
Figure 7. Dynamics of groundwater storage on the basis of adaptive cycle theory, model simulation on baseline scenario, UKMO.
Sustainability 17 04006 g007
Figure 8. Groundwater Storage and Agriculture Income simulation after improving conveyance efficiency in different climate scenarios, including UKMO, GFDL, and NCAR. (a) Groundwater storage in UKMO; (b) Groundwater storage in GFDL; (c) Groundwater storage in NCAR; (d) Agricultural Income in UKMO; (e) Groundwater storage in GFDL; (f) Groundwater storage in NCAR.
Figure 8. Groundwater Storage and Agriculture Income simulation after improving conveyance efficiency in different climate scenarios, including UKMO, GFDL, and NCAR. (a) Groundwater storage in UKMO; (b) Groundwater storage in GFDL; (c) Groundwater storage in NCAR; (d) Agricultural Income in UKMO; (e) Groundwater storage in GFDL; (f) Groundwater storage in NCAR.
Sustainability 17 04006 g008
Figure 9. Impacts of imposing precipitation decreasing shocks on groundwater storage and agriculture income after improving conveyance efficiency (20%) in different climate scenarios, including UKMO, GFDL, and NCAR. (a) Groundwater storage in UKMO; (b) Groundwater storage in GFDL; (c) Groundwater storage in NCAR; (d) Agricultural Income in UKMO; (e) Agricultural Income in GFDL; (f) Agricultural Income in NCAR.
Figure 9. Impacts of imposing precipitation decreasing shocks on groundwater storage and agriculture income after improving conveyance efficiency (20%) in different climate scenarios, including UKMO, GFDL, and NCAR. (a) Groundwater storage in UKMO; (b) Groundwater storage in GFDL; (c) Groundwater storage in NCAR; (d) Agricultural Income in UKMO; (e) Agricultural Income in GFDL; (f) Agricultural Income in NCAR.
Sustainability 17 04006 g009
Table 1. Particular advantages of the study and areas for further development in the future.
Table 1. Particular advantages of the study and areas for further development in the future.
Particular AdvantageAreas for Further Development for the Future
Consideration Coupled Water–Agriculture–Community SystemsIncorporating a broader set of socioeconomic and ecological indicators
Quantification of both Adaptive Cycle and Attraction Basins for Resilience AssessmentCapturing the characteristic features of social–ecological systems
Integration of Dynamics of the System for Resilience AssessmentExtending the simulation period beyond 2099
Disclaimer/Publisher’s Note: The statements, opinions and data contained in all publications are solely those of the individual author(s) and contributor(s) and not of MDPI and/or the editor(s). MDPI and/or the editor(s) disclaim responsibility for any injury to people or property resulting from any ideas, methods, instructions or products referred to in the content.

Share and Cite

MDPI and ACS Style

Balali, H.; Eslamifar, G.; Maxwell, C.M.; Fernald, A. Dynamic Simulation Modeling for Resilience Assessment of Coupled Water–Agriculture–Community Systems in a Semi-Arid Region. Sustainability 2025, 17, 4006. https://doi.org/10.3390/su17094006

AMA Style

Balali H, Eslamifar G, Maxwell CM, Fernald A. Dynamic Simulation Modeling for Resilience Assessment of Coupled Water–Agriculture–Community Systems in a Semi-Arid Region. Sustainability. 2025; 17(9):4006. https://doi.org/10.3390/su17094006

Chicago/Turabian Style

Balali, Hamid, Gholamreza Eslamifar, Connie M. Maxwell, and Alexander Fernald. 2025. "Dynamic Simulation Modeling for Resilience Assessment of Coupled Water–Agriculture–Community Systems in a Semi-Arid Region" Sustainability 17, no. 9: 4006. https://doi.org/10.3390/su17094006

APA Style

Balali, H., Eslamifar, G., Maxwell, C. M., & Fernald, A. (2025). Dynamic Simulation Modeling for Resilience Assessment of Coupled Water–Agriculture–Community Systems in a Semi-Arid Region. Sustainability, 17(9), 4006. https://doi.org/10.3390/su17094006

Note that from the first issue of 2016, this journal uses article numbers instead of page numbers. See further details here.

Article Metrics

Back to TopTop