Spatiotemporal Heterogeneity of Eco-Efficiency of Cultivated Land Use and Its Influencing Factors: Evidence from the Yangtze River Economic Belt, China
Abstract
1. Introduction
2. Materials and Methods
2.1. Overview of the Research Area
2.2. Data Sources
2.3. Indicator Construction and Research Framework
2.3.1. Indicator Construction
- Calculation of carbon emissions from cultivated land use
- 2.
- Calculation of carbon sequestration from cultivated land use
2.3.2. Research Framework
- Construct a database of socio-economic factors, land use data, influencing factors, and geographical space;
- Determine the ECLU in the YREB using the Super-SBM model, then examine its features of temporal evolution across several scales;
- Apply the spatial autocorrelation model to examine the ECLU’s spatial aggregation features across the YREB’s cities;
- Analyze the evolution path of the ECLU in each city of the YREB using the standard deviational ellipse model.
- Employ geographic weighted regression to identify the influencing factors of ECLU.
2.4. Research Methods
2.4.1. Super-SBM Model
2.4.2. Spatial Autocorrelation Model
2.4.3. Standard Deviational Ellipse
2.4.4. Geographically Weighted Regression
3. Results
3.1. Temporal Characteristics of ECLU in the YREB
3.2. Spatial Characteristics of ECLU in the YREB
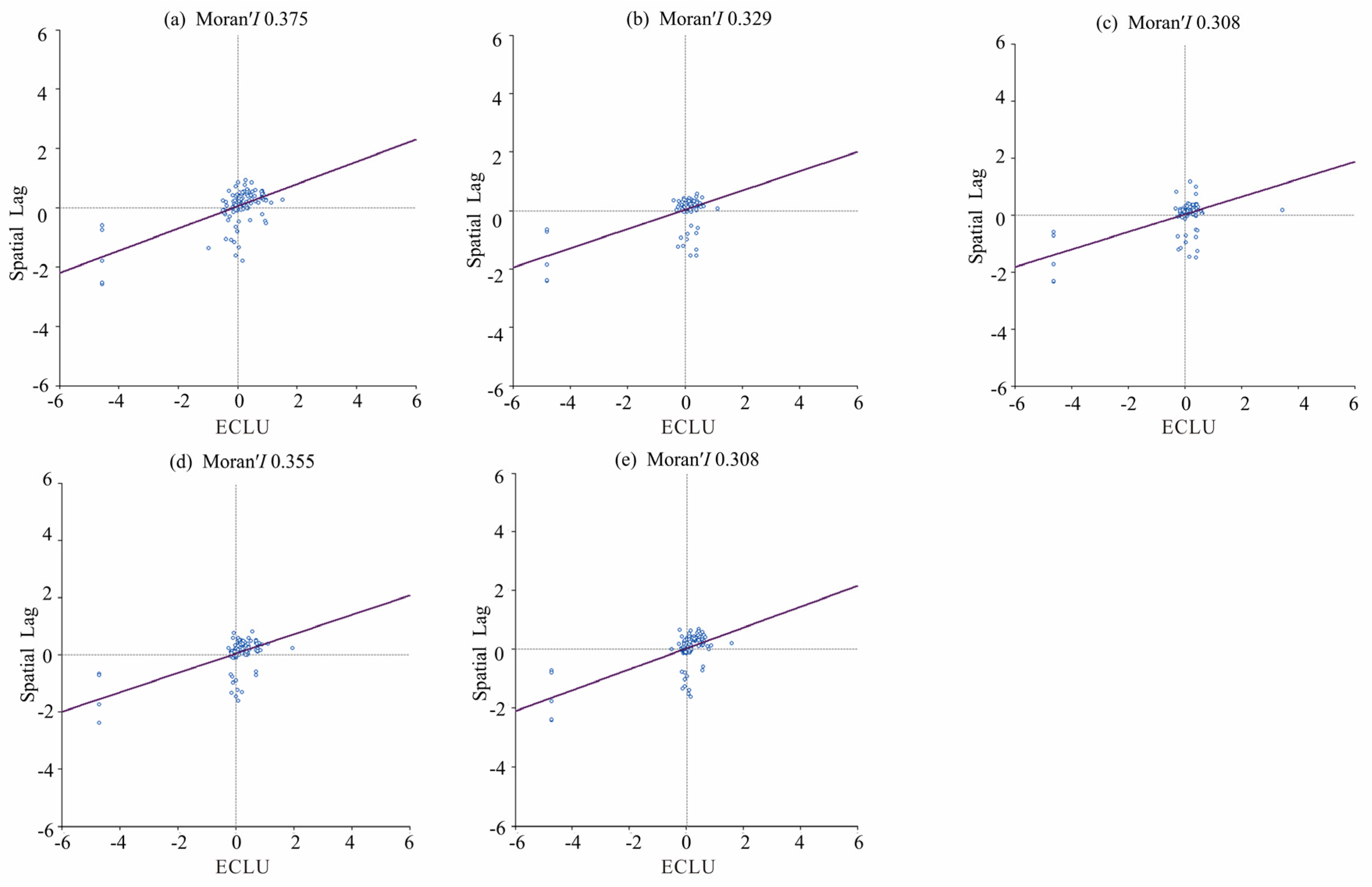
3.2.1. Spatial Correlation Analysis
3.2.2. Migration of Spatial Center of Gravity
3.3. Analysis of Influencing Factors on ECLU in the YREB
3.3.1. Impact of Natural Conditions on ECLU
3.3.2. Impact of Socio-Economic Factors on ECLU
3.3.3. Impact of Cultivation Intensity on ECLU
3.3.4. Impact of Resource Endowments on ECLU
3.3.5. Spatial Heterogeneity of Influencing Factors on ECLU by City
4. Discussion
4.1. Temporal and Spatial Evolution of ECLU and Regional Differences
4.2. Spatial Heterogeneity of Influencing Factors on ECLU
4.3. How Increased Agricultural Productivity Leads to Higher Carbon Emissions
4.4. Policy Recommendations
- Strengthen policy implementation and explore regional development paths. Leverage core cities to drive regional development, fully utilizing the exemplary role of high-high clustering cities such as Sichuan, Yunnan, and Jiangsu to stimulate neighboring areas through a trickle-down effect. For high-high clustering areas, implement a farmland protection compensation mechanism that expands the compensation scope, conducts special compensation, and integrates project compensation. This aims to incentivize farmers to protect farmland and promote green utilization. Additionally, through regional cooperation, facilitate technological exchange and resource sharing to drive joint development in surrounding areas. For low-low clustering areas, actively promote water-saving agricultural technologies, implement initiatives for creating green, high-yield, and efficient farming practices, and pursue zero growth in fertilizer and pesticide usage. Reasonable land use planning should be established, alongside strengthened farmland protection. Furthermore, through policy guidance and financial support, agricultural industrial upgrading and transformation is promoted. In order to generate positive spillover effects from high-efficiency areas to neighboring cities, actively investigate sustainable agricultural development models for low-carbon emissions and high yields in low-low clustering areas in central Hubei, with a focus on cities like Chongqing, Yichang, and Xiangyang. Enhance regulatory oversight in low-high clustering areas and formulate corresponding policies to improve ECLU.
- Increase technological investment to enhance agricultural technology levels. Strengthen integrated technology research for controlling agricultural non-point source pollution, forming a diversified comprehensive management model. Promote the use of biological pesticides to replace chemical ones and organic fertilizers to replace conventional fertilizers, reducing their usage, decreasing carbon emissions, and addressing non-point source pollution. Increase agricultural technology investment, particularly in internal funding and experimental development expenditure, to drive technological progress in agriculture.
- Enhance awareness campaigns to improve farmers’ environmental awareness. Utilize multiple channels to promote sustainable land use practices among farmers, strengthening environmental awareness. Encourage reductions in the use of pesticides, fertilizers, and agricultural films through the establishment of environmental reward mechanisms. Promote green farming practices and provide agricultural technology and skill training to improve farmers’ production capabilities and environmental technology levels, thereby enhancing ECLU.
4.5. Research Outlook
5. Conclusions
- (1)
- The ECLU in the YREB demonstrates an “up-down-up” “N”-shaped trend, rising from 0.882 in 2005 to 0.934 in 2022. At the city level, there is a decline in the number of low-efficiency and medium-low efficiency cities, while high-efficiency and very high-efficiency cities are on the rise. At the basin level, the ECLU exhibits a pattern where the upper reaches are greater than the lower reaches, which in turn are greater than the middle reaches.
- (2)
- In the ECLU between the cities in the YREB, there are notable spatial clustering features. High-high clustering cities show a development trend of first decreasing and then increasing, overall reflecting a “multi-core clustering” feature. The number of low-low clustering cities is decreasing, forming a “single-core clustering” characteristic. The migration trajectory of the eco-efficiency center shows a southwest-northeast-southwest return path, with ellipses displaying a “southwest-northeast” spatial distribution direction.
- (3)
- Influencing factors from natural conditions, socio-economics, cultivation intensity, and resource endowments exhibit significant spatial heterogeneity in their impacts on the ECLU across different years and regions in the YREB.
Author Contributions
Funding
Institutional Review Board Statement
Informed Consent Statement
Data Availability Statement
Acknowledgments
Conflicts of Interest
Abbreviations
| YREB | Yangtze River Economic Belt |
| ELCU | eco-efficiency of cultivated land use |
| SDE | standard deviational ellipse |
| GWR | geographically weighted regression |
References
- Viana, C.M.; Freire, D.; Abrantes, P.; Rocha, J.; Pereira, P. Agricultural land systems importance for supporting food security and sustainable development goals: A systematic review. Sci. Total Environ. 2022, 806, 150718. [Google Scholar] [CrossRef]
- Wang, Y.; Cheng, L.; Zheng, Y. An Adjusted Landscape Ecological Security of Cultivated Land Evaluation Method Based on the Interaction between Cultivated Land and Surrounding Land Types. Land 2023, 12, 833. [Google Scholar] [CrossRef]
- Jiang, G.; Wang, M.; Qu, Y.; Zhou, D.; Ma, W. Towards cultivated land multifunction assessment in China: Applying the “influencing factors-functions-products-demands” integrated framework. Land Use Policy 2020, 99, 104982. [Google Scholar] [CrossRef]
- Ma, L.; Long, H.; Tu, S.; Zhang, Y.; Zheng, Y. Farmland transition in China and its policy implications. Land Use Policy 2020, 92, 104470. [Google Scholar] [CrossRef]
- Lai, Z.; Chen, M.; Liu, T. Changes in and prospects for cultivated land use since the reform and opening up in China. Land Use Policy 2020, 97, 104781. [Google Scholar] [CrossRef]
- Li, X.; Wu, K.; Yang, Q.; Hao, S.; Feng, Z.; Ma, J. Quantitative assessment of cultivated land use intensity in Heilongjiang Province, China, 2001–2015. Land Use Policy 2023, 125, 106505. [Google Scholar] [CrossRef]
- Yang, B.; Wang, Z.; Zou, L.; Zou, L.; Zhang, H. Exploring the eco-efficiency of cultivated land utilization and its influencing factors in China’s Yangtze River Economic Belt, 2001–2018. J. Environ. Manag. 2021, 294, 112939. [Google Scholar] [CrossRef]
- Wang, X. Managing Land Carrying Capacity: Key to Achieving Sustainable Production Systems for Food Security. Land 2022, 11, 484. [Google Scholar] [CrossRef]
- Zhang, Z.; Zheng, L.; Yu, D. Non-Grain Production of Cultivated Land in Hilly and Mountainous Areas at the Village Scale: A Case Study in Le’an Country, China. Land 2023, 12, 1562. [Google Scholar] [CrossRef]
- Huang, D.; Lu, Y.; Liu, Y.; Liu, Y.; Tong, Z.; Xing, L.; Dou, C. Multifunctional evaluation and multiscenario regulation of non-grain farmlands from the grain security perspective: Evidence from the Wuhan Metropolitan Area, China. Land Use Policy 2024, 146, 107322. [Google Scholar] [CrossRef]
- Li, Q.; Chen, W.; Shi, H.; Zhang, S. Assessing the environmental impact of agricultural production structure transformation—Evidence from the non-grain production of cropland in China. Environ. Impact Assess. Rev. 2024, 106, 107489. [Google Scholar] [CrossRef]
- Qu, Y.; Zhan, L.; Wei, C.; Zhang, Q.; Wang, J. Interactive transition of cultivated land and construction land during china’s urbanization: A coordinated analytical framework of explicit and implicit forms. Land Use Policy 2024, 138, 107049. [Google Scholar] [CrossRef]
- Liang, C.; Penghui, J.; Wei, C.; Manchun, L.; Liyan, W.; Yuan, G.; Yuzhe, P.; Nan, X.; Yuewei, D.; Qiuhao, H. Farmland protection policies and rapid urbanization in China: A case study for Changzhou City. Land Use Policy 2015, 48, 552–566. [Google Scholar] [CrossRef]
- Wang, X.; Hao, J.-Q.; Dai, Z.-Z.; Haider, S.; Chang, S.; Zhu, Z.-Y.; Duan, J.-J.; Ren, G.-X. Spatial-temporal characteristics of cropland distribution and its landscape fragmentation in China. Farming Syst. 2024, 2, 100078. [Google Scholar] [CrossRef]
- Li, X.; Zhang, X.; Jin, X. Spatio-temporal characteristics and driving factors of cultivated land change in various agricultural regions of China: A detailed analysis based on county-level data. Ecol. Indic. 2024, 166, 112485. [Google Scholar] [CrossRef]
- Tudi, M.; Daniel Ruan, H.; Wang, L.; Lyu, J.; Sadler, R.; Connell, D.; Chu, C.; Phung, D.T. Agriculture Development, Pesticide Application and Its Impact on the Environment. Int. J. Environ. Res. Public Health 2021, 18, 1112. [Google Scholar] [CrossRef]
- Penuelas, J.; Coello, F.; Sardans, J. A better use of fertilizers is needed for global food security and environmental sustainability. Agric. Food Secur. 2023, 12, 5. [Google Scholar] [CrossRef]
- Li, Y.-l.; Yi, F.-j.; Yuan, C.-j. Influences of large-scale farming on carbon emissions from cropping: Evidence from China. J. Integr. Agric. 2023, 22, 3209–3219. [Google Scholar] [CrossRef]
- Nurse, J.; Basher, D.; Bone, A.; Bird, W. An ecological approach to promoting population mental health and well-being—A response to the challenge of climate change. Perspect. Public Health 2010, 130, 27–33. [Google Scholar] [CrossRef]
- Dong, X.; Zheng, L.; Lian, H.; Tian, B.; Chen, Z. Temporal and spatial dynamics and drivers of China’s agriculture net carbon sink. J. Soil Water Conserv. 2024, 38, 198–208. [Google Scholar] [CrossRef]
- Wen, T.; Sun, P.; Zhang, L. Dynamic Evolution and Regional Pattern of Agricultural Carbon Emissions in China. Econ. Geogr. 2024, 44, 165–175. [Google Scholar] [CrossRef]
- Schaltegger, S.; Sturm, A. Ökologische Rationalität: Ansatzpunkte zur Ausgestaltung von ökologieorientierten Managementinstrumenten. Die Unternehm. 1990, 44, 273–290. [Google Scholar]
- Fu, J.; Ding, R.; Zhu, Y.-Q.; Du, L.-Y.; Shen, S.-W.; Peng, L.-N.; Zou, J.; Hong, Y.-X.; Liang, J.; Wang, K.-X.; et al. Analysis of the spatial-temporal evolution of Green and low carbon utilization efficiency of agricultural land in China and its influencing factors under the goal of carbon neutralization. Environ. Res. 2023, 237, 116881. [Google Scholar] [CrossRef] [PubMed]
- Wang, G.; Shi, R.; Mi, L.; Hu, J. Agricultural Eco-Efficiency: Challenges and Progress. Sustainability 2022, 14, 1051. [Google Scholar] [CrossRef]
- Keating, B.A.; Carberry, P.S.; Bindraban, P.S.; Asseng, S.; Meinke, H.; Dixon, J. Eco-efficient Agriculture: Concepts, Challenges, and Opportunities. Crop Sci. 2010, 50, S-109–S-119. [Google Scholar] [CrossRef]
- Wilkins, R.J. Eco-efficient approaches to land management: A case for increased integration of crop and animal production systems. Philos. Trans. R. Soc. London Ser. B Biol. Sci. 2008, 363, 517–525. [Google Scholar] [CrossRef]
- Gössling, S.; Peeters, P.; Ceron, J.-P.; Dubois, G.; Patterson, T.; Richardson, R.B. The eco-efficiency of tourism. Ecol. Econ. 2005, 54, 417–434. [Google Scholar] [CrossRef]
- Cheng, Y.; Zhu, K.; Zhou, Q.; El Archi, Y.; Kabil, M.; Remenyik, B.; Dávid, L.D. Tourism Ecological Efficiency and Sustainable Development in the Hanjiang River Basin: A Super-Efficiency Slacks-Based Measure Model Study. Sustainability 2023, 15, 6159. [Google Scholar] [CrossRef]
- Wu, Y.; Xu, A.; Wang, C.; Shi, Y. Spatial and temporal evolution and influencing factors of tourism eco-efficiency in Fujian province under the target of carbon peak. Sci. Rep. 2023, 13, 23074. [Google Scholar] [CrossRef]
- Zhang, L.; Xiao, Y.; Guo, Y.; Qian, X. Spatial–temporal distribution and key factors of urban land use ecological efficiency in the Loess Plateau of China. Sci. Rep. 2023, 13, 22306. [Google Scholar] [CrossRef]
- Zheng, H.; Wu, Y.; He, H.; Delang, C.O.; Qian, J.; Lu, J.; Yao, Z.; Li, G. Urban land use eco-efficiency and improvement in the western region of China. J. Clean. Prod. 2023, 412, 137385. [Google Scholar] [CrossRef]
- Deng, X.; Gibson, J. Sustainable land use management for improving land eco-efficiency: A case study of Hebei, China. Ann. Oper. Res. 2020, 290, 265–277. [Google Scholar] [CrossRef]
- Ma, L.; Zhang, R.; Pan, Z.; Wei, F. Analysis of the Evolution and Infuencing Factors of Temporal and Spatial Pattern ofEco-efficiency of Cultivated Land Use among Provinces in China: Based on Panel Data from 2000 to 2019. China Land Sci. 2020, 36, 74–85. [Google Scholar] [CrossRef]
- Liu, S.-C.; Lin, Y.-B.; Ye, Y.-M.; Xiao, W. Spatial-temporal characteristics of industrial land use efficiency in provincial China based on a stochastic frontier production function approach. J. Clean. Prod. 2021, 295, 126432. [Google Scholar] [CrossRef]
- Maulidiyah, R.; Salam, M.; Jamil, M.H.; Tenriawaru, A.N.; Rahmadanih, S. Examining the effects of input allocation on potato production, production efficiency, and technical inefficiency in potato farming: Evidence from the Stochastic Frontier Model in search of sustainable farming practices. Sustain. Futures 2024, 7, 100218. [Google Scholar] [CrossRef]
- Kuang, B.; Lu, X.; Zhou, M.; Chen, D. Provincial cultivated land use efficiency in China: Empirical analysis based on the SBM-DEA model with carbon emissions considered. Technol. Forecast. Soc. Change 2020, 151, 119874. [Google Scholar] [CrossRef]
- Zhang, N.; Sun, F.; Hu, Y. Carbon emission efficiency of land use in urban agglomerations of Yangtze River Economic Belt, China: Based on three-stage SBM-DEA model. Ecol. Indic. 2024, 160, 111922. [Google Scholar] [CrossRef]
- Macpherson, A.J.; Principe, P.P.; Mehaffey, M. Using Malmquist Indices to evaluate environmental impacts of alternative land development scenarios. Ecol. Indic. 2013, 34, 296–303. [Google Scholar] [CrossRef]
- Zhao, Z.; Bai, Y.; Wang, G.; Chen, J.; Yu, J.; Liu, W. Land eco-efficiency for new-type urbanization in the Beijing-Tianjin-Hebei Region. Technol. Forecast. Soc. Change 2018, 137, 19–26. [Google Scholar] [CrossRef]
- Lin, X.; Zhang, L.; Wang, M.; Li, J.; Qin, J.; Lin, J. The ecological utility study on carbon metabolism of cultivated land: A case study of Hubei Province, China. J. Environ. Manag. 2024, 365, 121531. [Google Scholar] [CrossRef]
- Cao, W.; Zhou, W.; Wu, T.; Wang, X.; Xu, J. Spatial-temporal characteristics of cultivated land use eco-efficiency under carbon constraints and its relationship with landscape pattern dynamics. Ecol. Indic. 2022, 141, 109140. [Google Scholar] [CrossRef]
- Yin, Z.; Liu, Y.; Tang, L.; Zhou, W.; Pan, Y. Spatial-temporal evolution of agricultural land utilization benefits and tradeoffs/synergies in the Beijing-Tianjin-Hebei region. Ecol. Indic. 2023, 156, 111110. [Google Scholar] [CrossRef]
- Zhou, X.; Wu, D.; Li, J.; Liang, J.; Zhang, D.; Chen, W. Cultivated land use efficiency and its driving factors in the Yellow River Basin, China. Ecol. Indic. 2022, 144, 109411. [Google Scholar] [CrossRef]
- Li, X.; Zhao, L.; Chang, X.; Yu, J.; Song, X.; Zhang, L. Spatial and temporal evolution of the eco-efficiency of cultivated land use in the region around Beijing–Tianjin based on the Super-EBM model. Front. Ecol. Evol. 2023, 11, 1297570. [Google Scholar] [CrossRef]
- Liu, Q.; Qiao, J.; Han, D.; Li, M.; Shi, L. Spatiotemporal Evolution of Cultivated Land Use Eco-Efficiency and Its Dynamic Relationship with Landscape Pattern Change from the Perspective of Carbon Effect: A Case Study of Henan, China. Agriculture 2023, 13, 1350. [Google Scholar] [CrossRef]
- Ke, X.; Zhang, Y.; Zhou, T. Spatio-temporal characteristics and typical patterns of eco-efficiency of cultivated land use in the Yangtze River Economic Belt, China. J. Geogr. Sci. 2023, 33, 357–372. [Google Scholar] [CrossRef]
- Zou, X.; Xie, M.; Li, Z.; Duan, K. Spatial Spillover Effect of Rural Labor Transfer on the Eco-Efficiency of Cultivated Land Use: Evidence from China. Int. J. Environ. Res. Public Health 2022, 19, 9660. [Google Scholar] [CrossRef]
- Song, G.; Ren, G. Spatial response of cultivated land use efficiency to the maize structural adjustment policy in the “Sickle Bend” region of China: An empirical study from the cold area of northeast. Land Use Policy 2022, 123, 106421. [Google Scholar] [CrossRef]
- Wang, H.; Li, Z. Can the digitalization level of agriculture improve its ecological efficiency under carbon constraints: Evidence from China. Heliyon 2024, 10, e26750. [Google Scholar] [CrossRef]
- Cheng, C.; Liu, Y.; Liu, Y.; Yang, R.; Hong, Y.; Lu, Y.; Pan, J.; Chen, Y. Cropland use sustainability in Cheng–Yu Urban Agglomeration, China: Evaluation framework, driving factors and development paths. J. Clean. Prod. 2020, 256, 120692. [Google Scholar] [CrossRef]
- Pang, A.; Wang, D. Evaluation of agricultural and rural pollution under environmental measures in the Yangtze River Economic Belt, China. Sci. Rep. 2023, 13, 15495. [Google Scholar] [CrossRef] [PubMed]
- Chen, T.; Lu, J.; Lu, T.; Yang, X.; Zhong, Z.; Feng, H.; Wang, M.; Yin, J. Agricultural non-point source pollution and rural transformation in a plain river network: Insights from Jiaxing city, China. Environ. Pollut. 2023, 333, 121953. [Google Scholar] [CrossRef] [PubMed]
- Wen, G.; Liu, M.; Hu, X.; Zhao, J. Spatial correlation and spatial effect of cultivated land use ecological efficiency in the Dongting Lake Plain. Sci. Geogr. Sin. 2022, 42, 1102–1112. [Google Scholar] [CrossRef]
- Wang, J.; Su, D.; Wu, Q.; Li, G.; Cao, Y. Study on eco-efficiency of cultivated land utilization based on the improvement of ecosystem services and emergy analysis. Sci. Total Environ. 2023, 882, 163489. [Google Scholar] [CrossRef]
- Zhang, R.; JIao, H. Spatial-temporal pattern differentiation and its mechanism analysis of using efficiency for provincial cultivated land in China. Trans. Chin. Soc. Agric. Eng. 2015, 31, 277–287. [Google Scholar] [CrossRef]
- Hou, M.; Yao, S. Spatial-temporal evolution and trend prediction of agricultural eco-efficiency in China: 1978–2016. Acta Geogr. Sin. 2018, 73, 2168–2183. [Google Scholar] [CrossRef]
- Li, M.; Tan, L.; Yang, X. The Impact of Environmental Regulation on Cultivated Land Use Eco-Efficiency: Evidence from China. Agriculture 2023, 13, 1723. [Google Scholar] [CrossRef]
- Xue, X.; Xie, Y. The Spatial-Temporal Differences and Spatial Convergence of Ecological Efficiency in Cultivated Land Utilization in the Main Grain-Producing Areas of the Yellow River Basin—Evidence from 60 Prefecture-Level Cities. Chin. J. Agric. Resour. Reg. Plan. 2024, 45, 52–65. [Google Scholar] [CrossRef]
- Feng, Y.; Peng, J.; Deng, Z.; Wang, J. Spatial-temporal Variation of Cultivated Land’s Utilization Efficiency in China Based n the Dual Perspective of Non-point Source Pollution and Carbon Emission. China Popul. Resour. Environ. 2015, 25, 18–25. [Google Scholar] [CrossRef]
- Shang, J.; Ji, X.; Chen, X. Study on the impact of China’s urbanization on agricultural ecological efficiency: Based on panel data of 13 major grain-producing regions in China from 2009 to 2018. Chin. J. Eco-Agric. 2020, 28, 1265–1276. [Google Scholar] [CrossRef]
- Wu, X.; Wang, Y.; He, L.; Lu, G. Agricultural Eco-Efficiency Evaluation based on AHP and DEA Model—A Case of Wuxi City. Resour. Environ. Yangtze Basin 2012, 21, 714–719. [Google Scholar]
- Tian, Y.; Zhang, J.B. Regional differentiation research on net carbon effect of agricultural production in China. J. Nat. Resour. 2013, 28, 1298–1309. [Google Scholar]
- Fan, Z.; Deng, C.; Fan, Y.; Liu, M.; Lu, H.; Zhang, P. Measurement of Eco-Efficiency for Cultivated Land Use and Its Spatial-Temporal Characteristics from the Perspective of “Double Carbon” Target: Taking the Main Grain Producing Areas in the Mid and Lower Reaches of the Yangtze River as an Example. Ecol. Econ. 2023, 39, 119–127. [Google Scholar]
- Tone, K. A slacks-based measure of super-efficiency in data envelopment analysis. Eur. J. Oper. Res. 2002, 143, 32–41. [Google Scholar] [CrossRef]
- Liu, G.; Najmuddin, O.; Zhang, F. Evolution and the drivers of water use efficiency in the water-deficient regions: A case study on Ω-shaped Region along the Yellow River, China. Environ. Sci. Pollut. Res. 2022, 29, 19324–19336. [Google Scholar] [CrossRef]
- Huang, H.; Wang, T. The Total-Factor Energy Efficiency of Regions in China: Based on Three-Stage SBM Model. Sustainability 2017, 9, 1664. [Google Scholar] [CrossRef]
- Wang, Y.; Lv, W.; Wang, M.; Chen, X.; Li, Y. Application of improved Moran’s I in the evaluation of urban spatial development. Spat. Stat. 2023, 54, 100736. [Google Scholar] [CrossRef]
- Westerholt, R. A Simulation Study to Explore Inference about Global Moran’s I with Random Spatial Indexes. Geogr. Anal. 2023, 55, 621–650. [Google Scholar] [CrossRef]
- Moran, P.A.P. Notes on Continuous Stochastic Phenomena. Biometrika 1950, 37, 17–23. [Google Scholar]
- Anselin, L. Local Indicators of Spatial Association—LISA. Geogr. Anal. 1995, 27, 93–115. [Google Scholar]
- Lefever, D.W. Measuring Geographic Concentration by Means of the Standard Deviational Ellipse. Am. J. Sociol. 1926, 32, 88–94. [Google Scholar] [CrossRef]
- Khalid, W.; Kausar Shamim, S.; Ahmad, A. Exploring urban land surface temperature with geospatial and regression modelling techniques in Uttarakhand using SVM, OLS and GWR models. Evol. Earth 2024, 2, 100038. [Google Scholar] [CrossRef]
- Brunsdon, C.; Fotheringham, A.S.; Charlton, M.E. Geographically Weighted Regression: A Method for Exploring Spatial Nonstationarity. Geogr. Anal. 1996, 28, 281–298. [Google Scholar] [CrossRef]
- Liu, M.; Zhang, A.; Wen, G. Temporal and Spatial Pattern and Evolution Trend of Cultivated Land Use Ecological Efficiency in the Main Grain Producing Areas in the Lower Yangtze Region. China Land Sci. 2021, 35, 50–59. [Google Scholar] [CrossRef]
- Tu, Z. The Coordination of Industrial Growth with Environment and Resource. Econ. Res. J. 2008, 2, 93–104. [Google Scholar]
- Lee, C.-C.; Qian, A. Regional differences, dynamic evolution, and obstacle factors of cultivated land ecological security in China. Socio-Econ. Plan. Sci. 2024, 94, 101970. [Google Scholar] [CrossRef]
- Zhang, L.; Zhu, D.; Xie, B.; Du, T.; Wang, X. Spatiotemporal pattern evolvement and driving factors of cultivated land utilization efficiency of the major grain producing area in China. Resour. Sci. 2017, 39, 608–619. [Google Scholar] [CrossRef][Green Version]
- Zhu, M.; Li, J. Regional Differences in Cultivated Land Utilization Efficiency and ItsInfluencing Factors for Major Grain Producing Areas in China. Bull. Soil Water Conserv. 2024, 44, 206–217. [Google Scholar] [CrossRef]
- Zhang, H.; He, Z.; Zhang, L.; Wen, W.; Wang, S.; Ma, Q. Spatiotemporal Evolution Pattern and Influencing Factors of Low CarbonUtilization Efficiency of Cultivated Land in Songnen Plain, Heilongiiang Province During 2005–2020. Bull. Soil Water Conserv. 2024, 44, 335–346. [Google Scholar] [CrossRef]
- Li, M.; Xu, J.; Zhang, H.; Zhou, J. Study on the Temporal and Spatial Diferentiation of the Green Utilization Elficiency of CultivateaLand in Rocky Desertilication Area of Guangxi Under ‘Dual Carbon’ Goals. Res. Soil Water Conserv. 2024, 31, 365–374. [Google Scholar] [CrossRef]
- Wang, H.; Han, G.; Xie, X. Spatiotemporal Pattern Evolvement Based on the DEA Model and Its Driving Factors of Arable Land Utilization Efficiency of the Southwest Region in China. Resour. Environ. Yangtze Basin 2018, 27, 2784–2795. [Google Scholar] [CrossRef]
- Ren, S.; Li, E.; Zhao, J.; Xu, Y. Spatial-temporal Characteristics of Carbon Emissions from Cultivated Land Use in the Yellow River Basin and the Influencing Factors. China Land Sci. 2023, 37, 102–113. [Google Scholar] [CrossRef]
- Ji, Z.; Wang, X.; Li, L.; Guan, X.; Yu, L.; Xu, Y. The evolution of cultivated land utilization efficiency and its influencing factors in Nanyang Basin. J. Nat. Resour. 2021, 36, 688–701. [Google Scholar] [CrossRef]
- Zhao, Q.; Pan, P.; Wang, X.; Wang, X.; Wang, X.; Li, N.; Wang, X. A study of cultivated land utilization efficiency and its influencing factors in Hebei Province based on DEA-Malmquist index. Arid Zone Res. 2021, 38, 1162–1171. [Google Scholar] [CrossRef]








| Classes | Dimension | Variable | Specific Index | Unit |
|---|---|---|---|---|
| Cultivated land input | Land factor | Cultivated land input | Area of crop sown | hm2 |
| Labor factor | Labor input cost | Agricultural labor productivity | Yuan/Person | |
| Agricultural materials factor | Fertilizer input | Pure amount of fertilizers | t | |
| Pesticide input | Pesticide use | t | ||
| Plastic film input | Agricultural plastic film use | t | ||
| Irrigation input | Effective irrigation area | hm2 | ||
| Mechanization input | Agricultural mechanization | kw | ||
| Cultivated land output | Expected output | Economic output | Total agricultural output value | 104 Yuan |
| Social output | Total grain yield | t | ||
| Ecological output | Total carbon sequestration of cultivated land | t | ||
| Non-expected output | Carbon source | Carbon emissions from cultivated land use | t | |
| Pollution emissions | Non-point source pollution from cultivated land use | t |
| Variable | 2005 | 2010 | 2015 | 2020 | 2022 |
|---|---|---|---|---|---|
| X1 | −0.034~0.021 | −0.097~−0.051 | −0.274~0.111 | −0.171~0.025 | −0.196~0.086 |
| −0.003 | −0.070 | −0.045 | −0.051 | −0.035 | |
| X2 | −0.163~−0.086 | −0.113~−0.066 | −0.226~0.072 | −0.224~−0.109 | −0.485~−0.018 |
| −0.140 | −0.081 | −0.134 | −0.175 | −0.215 | |
| X3 | 0.193~0.721 | 0.164~0.233 | −0.136~0.283 | −0.096~−0.174 | −0.033~0.206 |
| 0.557 | 0.185 | 0.134 | 0.065 | 0.112 | |
| X4 | −1.310~−0.419 | −0.088~0.186 | −0.494~−0.008 | −0.071~−0.016 | −0.153~−0.006 |
| −1.054 | 0.082 | −0.185 | −0.055 | −0.060 | |
| X5 | −0.113~−0.011 | −0.062~0.015 | −0.132~0.389 | −0.058~−0.241 | −0.153~0.084 |
| −0.063 | −0.027 | 0.024 | 0.066 | −0.055 | |
| X6 | 0.031~0.101 | −0.201~0.112 | −0.683~0.164 | 0.035~0.104 | −0.186~0.124 |
| 0.063 | 0.024 | −0.199 | 0.061 | −0.053 | |
| X7 | 0.035~0.117 | 0.100–0.157 | −0.022~0.260 | 0.001~0.148 | 0.045~0.239 |
| 0.075 | 0.127 | 0.091 | 0.064 | 0.129 | |
| X8 | 0.001~0.133 | −0.049–0.242 | −0.158~1.025 | −0.141~−0.022 | −0.146~0.006 |
| 0.083 | 0.043 | 0.280 | −0.079 | −0.049 | |
| X9 | 0.096~0.205 | −0.022–0.267 | −0.184~1.154 | −0.052~0.040 | −0.080~0.09 |
| 0.143 | 0.061 | 0.286 | −0.004 | 0.010 | |
| R2 | 0.317 | 0.237 | 0.525 | 0.436 | 0.459 |
| Residual squares | 0.497 | 0.183 | 0.306 | 0.258 | 0.219 |
| Effective number | 12.182 | 12.178 | 14.745 | 12.396 | 15.860 |
| Sigma | 0.068 | 0.041 | 0.049 | 0.049 | 0.046 |
| AICc | −299.800 | −424.739 | −350.936 | −380.879 | −388.753 |
Disclaimer/Publisher’s Note: The statements, opinions and data contained in all publications are solely those of the individual author(s) and contributor(s) and not of MDPI and/or the editor(s). MDPI and/or the editor(s) disclaim responsibility for any injury to people or property resulting from any ideas, methods, instructions or products referred to in the content. |
© 2025 by the authors. Licensee MDPI, Basel, Switzerland. This article is an open access article distributed under the terms and conditions of the Creative Commons Attribution (CC BY) license (https://creativecommons.org/licenses/by/4.0/).
Share and Cite
Zeng, K.; Duan, X.; Chen, B.; Jia, L. Spatiotemporal Heterogeneity of Eco-Efficiency of Cultivated Land Use and Its Influencing Factors: Evidence from the Yangtze River Economic Belt, China. Sustainability 2025, 17, 3070. https://doi.org/10.3390/su17073070
Zeng K, Duan X, Chen B, Jia L. Spatiotemporal Heterogeneity of Eco-Efficiency of Cultivated Land Use and Its Influencing Factors: Evidence from the Yangtze River Economic Belt, China. Sustainability. 2025; 17(7):3070. https://doi.org/10.3390/su17073070
Chicago/Turabian StyleZeng, Kun, Xiong Duan, Bin Chen, and Lanxi Jia. 2025. "Spatiotemporal Heterogeneity of Eco-Efficiency of Cultivated Land Use and Its Influencing Factors: Evidence from the Yangtze River Economic Belt, China" Sustainability 17, no. 7: 3070. https://doi.org/10.3390/su17073070
APA StyleZeng, K., Duan, X., Chen, B., & Jia, L. (2025). Spatiotemporal Heterogeneity of Eco-Efficiency of Cultivated Land Use and Its Influencing Factors: Evidence from the Yangtze River Economic Belt, China. Sustainability, 17(7), 3070. https://doi.org/10.3390/su17073070

