Understanding the Relationships Between Co-Working Spaces and Regional Policies in China: An Empirical Study Based on Multiple DID Model
Abstract
1. Introduction
2. Literature Review and Theoretical Hypotheses
2.1. Location Patterns of CWSs
2.2. Impacts of Regional Policies on CWSs
2.3. Impacts of the National Independent Innovation Demonstration Zone Policy
3. Data and Methodology
3.1. Variables and Data Sources
3.1.1. Explained Variables
3.1.2. Core Explanatory Variables
3.1.3. Control Variables
3.2. Baseline Model
4. Results and Robustness Tests
4.1. Overview of CWS Distribution in China
4.2. Assessment of the Effects of CWS Growth in the Pilot Policy of NIDZ
4.2.1. Benchmark Regression Results
4.2.2. Heterogeneity Analysis
4.3. Robustness Analysis
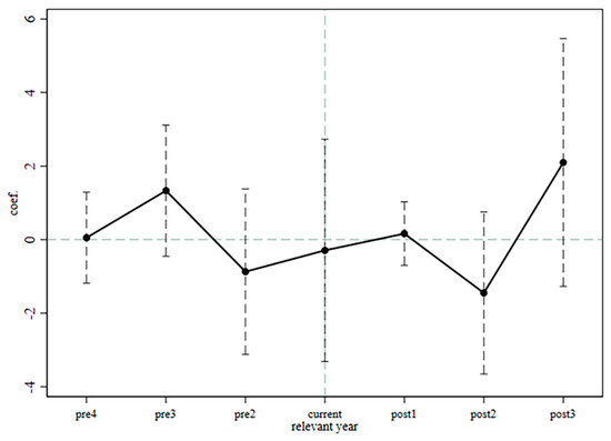
4.3.1. Parallel Trend Test
4.3.2. PSM Test
4.3.3. Exclusion of Other Relevant Policy Interference
4.3.4. Exclusion of Selected Key Innovative Cities
4.3.5. Placebo Test
5. Conclusions
Author Contributions
Funding
Institutional Review Board Statement
Informed Consent Statement
Data Availability Statement
Conflicts of Interest
References
- Berbegal-Mirabent, J. What do we know about co-working spaces? Trends and challenges ahead. Sustainability 2021, 13, 1416. [Google Scholar] [CrossRef]
- Boschma, R. Editorial: Role of Proximity in Interaction and Performance: Conceptual and Empirical Challenges. Reg. Stud. 2005, 39, 41–45. [Google Scholar]
- Ferreira, C.; Diogo, V. Co-working spaces in Porto, Portugal: Collaborative economy within capitalism reforms or anti-capitalist experiences? Rev. Nava 2018, 3, 44–58. [Google Scholar]
- Oldenburg, R. The Great Good Place: Cafes, Coffee Shops, Bookstores, Bars, Hair Salons, and Other Hangouts at the Heart of a Community; Da Capo Press: Boston, MA, USA, 1999. [Google Scholar]
- Sternberg, R. Entrepreneurship and geography—Some thoughts about a complex relationship. Ann. Reg. Sci. 2022, 69, 559–584. [Google Scholar]
- Spinuzzi, C. Working alone together: Coworking as emergent collaborative activity. J. Bus. Tech. Commun. 2012, 26, 399–441. [Google Scholar]
- Tiwari, A. Understanding the shared working spaces: A geography of co-working supply in Delhi. Geojournal 2023, 88, 3439–3453. [Google Scholar]
- Wang, W.; Liang, J.; Niu, J. Site selection of Co-working spaces under the influence of multiple factors: A case study in Hangzhou, China. Sustainability 2022, 14, 2676. [Google Scholar] [CrossRef]
- Van Holm, E.J. Makerspaces and local economic development. Econ. Dev. Q. 2017, 31, 164–173. [Google Scholar]
- Clifton, N.; Füzi, A.; Loudon, G. Coworking in the digital economy: Context, motivations, and outcomes. Futures 2022, 135, 102439. [Google Scholar]
- Micek, G. Studies of proximity in coworking spaces: The basic conceptual challenges. Eur. Spat. Res. Policy 2020, 27, 9–35. [Google Scholar]
- Nakano, D.; Shiach, M.; Koria, M.; Vasques, R.; Dos Santos, E.G.; Virani, T. Coworking spaces in urban settings: Prospective roles? Geoforum 2020, 115, 135–137. [Google Scholar] [CrossRef]
- Pirogova, O.; Temnova, N. Dynamics of Coworking Growth in the Real Estate Market Under Digitalization; E3S Web of Conferences; EDP Sciences: Les Ulis, France, 2021; p. 10052. [Google Scholar]
- Coll-Martínez, E.; Méndez-Ortega, C. Agglomeration and coagglomeration of co-working spaces and creative industries in the city. Eur. Plan. Stud. 2023, 31, 445–466. [Google Scholar] [CrossRef]
- Mariotti, I.; Pacchi, C.; Di Vita, S. Co-working spaces in Milan: Location patterns and urban effects. In New Urban Geographies of the Creative and Knowledge Economies; Routledge: Abingdon, UK, 2019; pp. 47–66. [Google Scholar]
- Kinsman, N.; Marris, N.; Oakman, J. The impact of coworking spaces on workers’ performance, mental and physical health: A scoping review. Work 2024, 77, 61–75. [Google Scholar] [CrossRef]
- Füzi, A.; Clifton, N.; Loudon, G. New in-house organizational spaces that support creativity and innovation: The co-working space. In Proceedings of the R & D Management Conference 2014, Stuttgart, Germany, 3–6 June 2014. [Google Scholar]
- Fan, C.C.; Scott, A.J. Industrial agglomeration and development: A survey of spatial economic issues in East Asia and a statistical analysis of Chinese regions. Econ. Geogr. 2003, 79, 295–319. [Google Scholar] [CrossRef]
- Marino, M.D.; Rehunen, A.; Tiitu, M.; Lapintie, K. New working spaces in the Helsinki Metropolitan Area: Understanding location factors and implications for planning. Eur. Plan. Stud. 2023, 31, 508–527. [Google Scholar] [CrossRef]
- Tisdell, C. Information technology’s impacts on productivity and welfare: A review. Int. J. Soc. Econ. 2017, 44, 400–413. [Google Scholar] [CrossRef]
- Curtis, C.; Olaru, D. The relevance of traditional town planning concepts for travel minimization. Plan. Pract. Res. 2010, 25, 49–75. [Google Scholar] [CrossRef]
- Audretsch, D.; Colombelli, A.; Grilli, L.; Minola, T.; Rasmussen, E. Innovative start-ups and policy initiatives. Res. Policy 2020, 49, 104027. [Google Scholar] [CrossRef]
- Howell, S.T. Financing innovation: Evidence from R&D grants. Am. Econ. Rev. 2017, 107, 1136–1164. [Google Scholar]
- Fai, F.M.; Tomlinson, P.R.; Barzotto, M. Coworking spaces and regional development: A role for policy. Reg. Stud. 2024, 1–16. [Google Scholar] [CrossRef]
- Sager, T. Neo-liberal urban planning policies: A literature survey 1990–2010. Prog. Plan. 2011, 76, 147–199. [Google Scholar]
- Girija, S.; Sharma, D.R.; Yeediballi, T.; Sriramneni, C. Factors influencing the intention to use co-working spaces in emerging markets: An analytic hierarchy process approach. Prop. Manag. 2024, 42, 235–255. [Google Scholar]
- Avdikos, V.; Papageorgiou, A. Public support for collaborative workspaces: Dispersed help to a place-based phenomenon? Local Econ. 2021, 36, 669–682. [Google Scholar]
- Christino, J.M.M.; Cardozo, É.A.A.; Petrin, R.; Carrieri, A.D.P.; Silva, J.O. Understanding the adoption of co-working spaces. Int. J. Serv. Oper. Manag. 2022, 42, 315–338. [Google Scholar]
- Huang, Y.; Pei, X.; Liu, J. The Influencing of the Government’s Entrepreneurial Support Policies Conducive to the Incubation of Maker Space. Sci. Technol. Prog. Policy 2019, 36, 111–116. [Google Scholar]
- Mourad, H.; Shafik, Z.; El-Husseiny, M. Space-time mapping of co-working spaces in Cairo: Shifting paradigms from openness to technologically controlled spaces. J. Eng. Appl. Sci. 2021, 68, 39. [Google Scholar]
- Orel, M.; Mayerhoffer, M.; Fratricova, J.; Pilkova, A.; Starnawska, M.; Horvath, D. Coworking spaces as talent hubs: The imperative for community building in the changing context of new work. Rev. Manag. Sci. 2022, 16, 1503–1531. [Google Scholar]
- Jackson, D.; Shan, H.; Meek, S. Enhancing graduates’ enterprise capabilities through work-integrated learning in co-working spaces. High. Educ. 2022, 84, 101–120. [Google Scholar] [CrossRef]
- Ayodele, T.O.; Kajimo-Shakantu, K.; Gbadegesin, J.T.; Babatunde, T.O.; Ajayi, C.A. Exploring investment paradigm in urban office space management: Perspectives from coworking space investors in Nigeria. J. Facil. Manag. 2022, 20, 19–31. [Google Scholar]
- Kojo, I.; Nenonen, S. Evolution of co-working places: Drivers and possibilities. Intell. Build. Int. 2017, 9, 164–175. [Google Scholar]
- Anselin, L. Lagrange multiplier test diagnostics for spatial dependence and spatial heterogeneity. Geogr. Anal. 1988, 20, 1–17. [Google Scholar]






| Variables | Indicators | Mean | Std.Dev | Max | Min | t-Value |
|---|---|---|---|---|---|---|
| CWS | The number of CWSs (CWSs) | 4.38 | 12.64 | 158 | 0 | 17.19 |
| Level of openness to the outside world Human capital | The proportion of import and export trade to the regional GDP (IMP&EXP) | 0.17 | 0.19 | 2.49 | 0 | 39.61 |
| The number of university students per ten thousand people in the population (Pop_stu) | 198.66 | 206.72 | 1311.24 | 4.79 | 43.73 | |
| The year-end number of employed personnel (Pop_emy) | 12.83 | 0.75 | 16.1 | 10.16 | 780.25 | |
| Level of research and development investment | Number of patent applications for inventions (IP) | 930.95 | 3454.38 | 45,091 | 0 | 13.09 |
| Proportion of research and development expenditure to the regional GDP (R&D) | 10.57 | 1.53 | 15.53 | 6.25 | 315.1 | |
| Proportion of scientific and technological expenditures to the regional GDP | 9.63 | 1.97 | 15.53 | 3 | 222.61 | |
| Level of digitization | The number of broadband internet access users per hundred people (Dig_net) | 4.85 | 22.42 | 466.71 | 0 | 9.84 |
| The proportion of employed personnel in the information transmission, computer services, and software industry (Dig_pop) | 0.01 | 0.01 | 0.11 | 0 | 68.7 |
| Year | Moran’s I | z |
|---|---|---|
| 2015 | 0.002 | 0.2997 |
| 2016 | 0.011 | 0.8668 |
| 2017 | 0.039 *** | 3.2059 |
| 2018 | 0.029 ** | 2.0323 |
| 2019 | 0.029 ** | 2.0593 |
| 2020 | 0.033 ** | 2.2316 |
| 2021 | 0.038 *** | 2.5837 |
| 2022 | 0.034 ** | 2.3457 |
| (1) | (2) | (3) | (4) | |
|---|---|---|---|---|
| DID | 14.184 *** | 5.100 *** | 2.491 ** | 3.258 * |
| (2.115) | (1.692) | (1.152) | (1.937) | |
| IMP&EXP | 6.288 ** | 7.492 ** | ||
| (3.124) | (3.349) | |||
| Pop_stu | −0.000 | −0.009 ** | ||
| (0.002) | (0.004) | |||
| R&D | 1.199 *** | 0.238 | ||
| (0.313) | (0.314) | |||
| STE | 0.723 *** | 0.209 | ||
| (0.204) | (0.188) | |||
| Pop_emy | −2.273 *** | −1.789 ** | ||
| (0.599) | (0.837) | |||
| Dig_net | 0.005 | −0.003 | ||
| (0.011) | (0.006) | |||
| Dig_pop | 115.879 ** | 110.524 | ||
| (47.590) | (67.540) | |||
| IP | 0.002 *** | 0.004 *** | ||
| (0.000) | (0.001) | |||
| N | 2448 | 2448 | 2071 | 2071 |
| R2 | 0.520 | 0.753 | 0.754 | 0.870 |
| Control variables | No | No | Yes | Yes |
| Year fixed effect | Yes | Yes | Yes | Yes |
| Individual fixed effect | No | Province | Province | City |
| Standard error clustered level | City | City | City | City |
| (1) | (2) | (3) | (4) | |
|---|---|---|---|---|
| Eastern | Central | Western | Northwestern | |
| DID | 2.273 * | 0.646 | 9.787 *** | 7.404 *** |
| (1.346) | (0.740) | (3.291) | (2.433) | |
| N | 616 | 559 | 657 | 238 |
| R2 | 0.785 | 0.659 | 0.727 | 0.782 |
| Control variables | Yes | Yes | Yes | Yes |
| Year fixed effect | Yes | Yes | Yes | Yes |
| Individual fixed effect | Province | Province | Province | Province |
| Standard error clustered in city level | Individual | Individual | Individual | Individual |
| (1) | (2) | (3) | (4) | (5) | (6) | |
|---|---|---|---|---|---|---|
| DID | 5.605 *** | 1.462 * | 8.855 *** | 2.606 ** | 12.227 *** | 2.543 ** |
| (1.029) | (0.776) | (2.047) | (1.130) | (2.117) | (1.091) | |
| N | 1767 | 1767 | 2448 | 2071 | 2400 | 2029 |
| R2 | 0.295 | 0.469 | 0.600 | 0.759 | 0.372 | 0.675 |
| Control variables | No | Yes | No | Yes | No | Yes |
| Year fixed effect | Yes | Yes | Yes | Yes | Yes | Yes |
| Individual fixed effect | Province | Province | Province | Province | Province | Province |
| Standard error clustered level | City | City | City | City | City | City |
| PSM | Yes | Yes | ||||
| Exclusion of other policies | Yes | Yes | ||||
| Exclusion of other innovative cities | Yes | Yes |
Disclaimer/Publisher’s Note: The statements, opinions and data contained in all publications are solely those of the individual author(s) and contributor(s) and not of MDPI and/or the editor(s). MDPI and/or the editor(s) disclaim responsibility for any injury to people or property resulting from any ideas, methods, instructions or products referred to in the content. |
© 2025 by the authors. Licensee MDPI, Basel, Switzerland. This article is an open access article distributed under the terms and conditions of the Creative Commons Attribution (CC BY) license (https://creativecommons.org/licenses/by/4.0/).
Share and Cite
Xu, X.; Wang, M. Understanding the Relationships Between Co-Working Spaces and Regional Policies in China: An Empirical Study Based on Multiple DID Model. Sustainability 2025, 17, 3017. https://doi.org/10.3390/su17073017
Xu X, Wang M. Understanding the Relationships Between Co-Working Spaces and Regional Policies in China: An Empirical Study Based on Multiple DID Model. Sustainability. 2025; 17(7):3017. https://doi.org/10.3390/su17073017
Chicago/Turabian StyleXu, Xin, and Mingfeng Wang. 2025. "Understanding the Relationships Between Co-Working Spaces and Regional Policies in China: An Empirical Study Based on Multiple DID Model" Sustainability 17, no. 7: 3017. https://doi.org/10.3390/su17073017
APA StyleXu, X., & Wang, M. (2025). Understanding the Relationships Between Co-Working Spaces and Regional Policies in China: An Empirical Study Based on Multiple DID Model. Sustainability, 17(7), 3017. https://doi.org/10.3390/su17073017
