Next Article in Journal
The Role of Urban Greenery in Enhancing Thermal Comfort: Systematic Review Insights
Previous Article in Journal
Optimizing Physical Factors for the Ammonium Removal from Wastewater Using Bio-Electrochemical Systems
 
 
Font Type:
Arial Georgia Verdana
Font Size:
Aa Aa Aa
Line Spacing:
Column Width:
Background:
Article

Optimal LID Designs Based on SWMM Simulations Regarding the Sustainable Efficacy of Stormwater Management in Port Areas

1
Tianjin Research Institute of Water Transport Engineering, M.O.T., Tianjin 300456, China
2
School of Energy and Environmental Engineering, Hebei University of Technology, Tianjin 300401, China
*
Authors to whom correspondence should be addressed.
These authors contributed equally to this work.
Sustainability 2025, 17(6), 2544; https://doi.org/10.3390/su17062544
Submission received: 13 January 2025 / Revised: 20 February 2025 / Accepted: 11 March 2025 / Published: 13 March 2025

Abstract

Urbanization leads to increased stormwater runoff, placing enormous pressure on the drainage system, including that of port cities in Hunan Province. This increases the risk of urban flooding and threatens the sustainability of the urban ecosystem. In this study, we employed the Storm Water Management Model (SWMM) to assess surface runoff and pollutant accumulation (TSS, COD, TN, and TP) under varying storm conditions and evaluate the efficacy of low-impact development (LID) measures in mitigating these impacts. The results included a peak ratio of 0.45, indicating complex concentration dynamics and good agreement with the observed rainfall patterns. The installation of permeable paving, rainwater infiltration ditches, and rainwater storage tanks reduced the peak flows by 33.3%, 30%, and 50%, respectively, with the rainwater storage tanks also reducing the total phosphorus (TP) load by 29.17%. In addition, it was found that rainwater collected in cisterns could be used not only for resource recycling but also to replenish groundwater resources. This demonstrates that low-impact development (LID) measures significantly reduce peak flows and pollutant loads and effectively promote the sustainable use of urban stormwater resources. The cost–benefit analyses show that the long-term benefits of LID systems are superior to those of traditional stormwater management systems. Therefore, LID measures can not only effectively reduce the pressure on urban drainage systems and improve flood prevention and mitigation capabilities but also promote sustainable development and the green transformation of cities.

1. Introduction

Port cities along major rivers are becoming increasingly vulnerable to water-related disasters due to the increased frequency of extreme weather events; this is exacerbated by factors such as the plum rain season and the intensified urban heat island effect [1]. Rapid urbanization, which leads to the expansion of impervious surfaces and reduced subsurface drainage capacities, further strains urban drainage networks and increases the flood risk [2]. Therefore, enhancing the urban drainage capacity to enable flood prevention, drainage, and stormwater storage is crucial.
In recent years, numerical hydrological modeling has become the main method for evaluating and optimizing design solutions for urban stormwater risk management. At present, the most advanced, internationally recognized rainfall simulation models for stormwater management are the University of Cincinnati Urban Runoff Model (UCURM), the Info-Works Integrated Catchment Management (ICM) model, and the Storm Water Management Model (SWMM). However, it has been found that the Info-Works ICM model is both expensive and challenging to further develop. Meanwhile, the UCURM model exhibits significant limitations in its functionalities and is not suitable for the modeling of extensive, complex systems. In comparison, the SWMM demonstrates superior efficacy in simulating rainfall–runoff dynamics within conventional, smaller watersheds. Furthermore, its seamless integration with GIS facilitates advanced development applications [3]. For this reason, the SWMM was used in this study to simulate the rainfall–runoff process in the city under different rainfall intensities.
The SWMM was initially developed and released by the U.S. Environmental Protection Agency (EPA) in 1971. It is a dynamic hydrological simulation tool that incorporates both rainfall–runoff dynamics and modules for water quality analysis [4]. This model can be used to simulate the generation, accumulation, discharge, and transport dynamics of non-point-source pollution loads, in addition to modeling surface runoff processes during intense precipitation events in a specified area [5,6,7]. It is worth noting that the SWMM requires a considerable number of precise parameters to accurately represent the complex, non-linear correlation between precipitation and runoff. However, parameter specification is often challenging; there are two primary reasons for this. Firstly, the initial parameter values are typically based on empirical or theoretical assumptions, and detailed information about the drainage network’s structural and geometric characteristics is often lacking [8]. Secondly, the sensitivity of the model parameters influences the assumed parameter values. In this work, to address these challenges and improve the model’s validity and simulation accuracy, real rainfall–runoff and water quality data were used for parameter calibration. Because the parameter sensitivity affects the assumed values, a sensitivity analysis was conducted prior to calibration to identify key parameters. This approach minimized the computational effort required and improved the model’s operational efficiency.
In addition, conventional models based on the SWMM treat the drainage system as a simple network of pipes. This hinders the accurate simulation and evaluation of natural ecosystems in terms of their roles in reducing runoff and pollutants. In recent years, LID measures have attracted attention as a sustainable urban stormwater management option. LID facilities enable an effective response to water pollution problems in port cities, particularly those caused by extensive infrastructure and industrial activities. This is achieved through rainwater harvesting, infiltration, storage, and treatment technologies. For instance, the use of permeable paving, green roofs, and rain gardens allows rainwater to be absorbed and cleaned and the water quality to be improved. LID can reduce the environmental impacts of land development without affecting the quantity and quality of the runoff [9]. Moreover, LID facilitates ecological restoration and sustainable development, promoting harmonious economic, social, and environmental progress, thereby facilitating the green transformation of port cities.
Hunan’s port city is located on the eastern bank of the Xiangjiang River in the Yangtze River Basin, with unique water system connectivity and river characteristics. The city faces water hazards caused by urbanization and natural factors; these aspects are also observed in other port cities in the same basin and are important for the study of drainage and flood control in port cities under complex water system environments. The studied city also exhibits complex hydrological features. Between 2000 and 2020, it experienced 127 rainstorms, which caused approximately 1.423 billion in economic losses [10], highlighting the serious hydrological and environmental challenges in this area. Therefore, in this study, we developed a Storm Water Management Model (SWMM) for a new harbor construction project (Phase III) in Hunan Province. Furthermore, we investigated the effectiveness of low-impact development (LID) measures in reducing peak runoff and pollutant concentrations. In particular, in this study, we aimed to (1) enhance the simulation accuracy through the rate setting and sensitivity analyses of uncertain parameters and (2) model pollutant accumulation using a saturation function, allowing us to analyze the pollution levels across the catchment area; and (3) evaluate three low-impact development (LID) measures, focusing on permeable pavement designs suitable for the harbor area, in order to reduce the stress on the existing pipe network.

2. Materials and Methods

2.1. Overview of the SWMM Model

The SWMM is a dynamic rainfall–runoff simulation model comprising modules to model hydrological features and water quality [3]. The model’s operational methodology is based on three fundamental components: the runoff module, the catchment module, and the water quality module. The runoff module enables researchers to comprehensively address the issues of rainfall, runoff, and pollution loads in individual sub-basins. The catchment module enables researchers to determine the water transport status in pipelines, water storage structures, water treatment units, pumps, and other relevant facilities within the region. The water quality module is designed for the simulation of processes such as the scouring, dissolution, adsorption, and degradation of pollutants in the context of rainfall runoff [11]. The ground-produced flow models of the SWMM are primarily categorized into three main groups: the Horton, Green-Ampt, and Curve Number models. Additionally, the algorithmic module incorporates three distinct approaches: the constant flow, kinematic wave, and dynamic wave approaches [3]. In this study, we employed the Horton infiltration model to simulate the process of rainfall infiltration and the power wave method to simulate the evolution of the flow. This yields a complete solution to the underlying one-dimensional Saint Venant flow equations.

2.2. Overview of the Study Area

The maritime city of Hunan hosts the most expansive logistics hub in Central China. The research zone covers an area of 24.86 hectares and comprises a container yard, an empty container yard, a container washing facility, a parking area, an operational yard, various warehouses, and a comprehensive office space, collectively constituting 85% of the total area. The cumulative length of the coastline at both the southern and northern extremities is 878 m; it is complemented by a newly constructed harbor railway line spanning 2.64 km and an external liaison track spanning 3.1 km. In this work, the study region was divided into three distinct categories of flow-generating surface types: paved surfaces, roofing structures, and permeable materials. Specifically, previous brick-paved roads were categorized as permeable pavements, while asphalt surfaces and roofing materials were categorized as impervious surfaces. It was also established that wastewater and stormwater were directed into the municipal drainage system independently, with all stormwater inlets, connections, and conduits incorporated into the model.

2.3. Establishment of the SWMM

2.3.1. Generalization of Regional Hydrological Drainage Network

This research was intended to enable generalization beyond the study area. This was achieved by leveraging the SWMM’s application principles, wherein spatial and attribute data were seamlessly integrated into the model directly from the GIS. Following the generalization of the pipeline network framework, the simulation region was segmented into 52 drainage sub-regions comprising 35 nodes and 35 conduits. Comprehensive numerical simulations were employed; specifically, the analysis resulted in the identification of 52 sub-catchment areas, which were delineated according to the drainage areas associated with the rainwater outlets. Schematic representations of the generalized piping network and the corresponding adaptation of the SWMM for the specific study area are illustrated in Figure 1.

2.3.2. Assessment of Variables

  • Determination of production flow surface parameters
In constructing the SWMM, it was found that the study area contained various flow-generating surface types, such as impervious surfaces (e.g., roads and roofs) and permeable surfaces (e.g., green spaces). The land use types of the port city exhibited negligible changes over a certain period, and there were several underlying surfaces with relatively stable properties. Consequently, it was concluded that runoff generation was relatively constant for impervious surfaces such as roads and roofs. Therefore, in this study, we employed the fixed runoff coefficient method for hydrological modeling, aiming to simplify the calculations and rapidly estimate the total runoff volume within a given catchment area using the following formula:
Q = φ × P × A
where Q is the runoff volume, φ is the runoff coefficient, P is the precipitation depth, and A is the watershed area.
For permeable surfaces (e.g., green areas), the Horton infiltration equation was used to estimate the infiltration rate. The Horton model describes the exponential decay of the infiltration rate from an initial maximum to a stable minimum, which is consistent with the characteristics of rainwater infiltration into green areas, as in the port area. It is calculated using the formula given below. This model allows for the adjustment of the maximum infiltration rate, minimum infiltration rate, and attenuation coefficient in accordance with the actual soil conditions. This enables researchers to identify how the soil infiltration properties influence rainwater infiltration, thereby significantly enhancing the accuracy of the obtained estimates. The parameter configurations are detailed in Table 1.
f = f + ( f 0 f ) e k t
where f is the infiltration rate, f is the stabilized infiltration rate, f 0 is the initial infiltration, t is the rainfall duration, and k is the infiltration attenuation coefficient.
  • Determination of parameters for the confluence model
The parameters used for confluence modeling include the surface slope, Manning’s coefficient at the surface, the pipe roughness, and the surface puddle storage. In this study, we referred to the parameters from a rainfall–runoff model created for three typical coasts in South Florida, USA. Among them, the Manning coefficient values of the surface and the roughness ratio of the pipeline were as detailed in Table 2.
In this study, the Manning coefficient was considered 0.2 for the permeable surfaces and 0.015 for the impermeable surfaces. Additionally, the slope of the catchment area was assumed to be 0.05%, taking into consideration the specific characteristics of the study area. Based on relevant studies, it was recommended to use a surface storage depth of h p = 2.1   m m . The average rate of infiltration loss f = 0.20   m m / m i n . In the simulation, when the intensity of rainfall was less than the average infiltration rate, the net rainfall intensity was considered to be zero [12].
  • Cumulative model selection and parameterization
In this study, the saturation function method was employed to simulate the accumulation of surface pollutants in the harbor area. Four pollutant factors, namely TSS, COD, TN, and TP, were selected based on the water quality indices of the river water body, aiming to represent the pollution of the entire drainage area. The experimental results regarding the cumulative loads of the surface pollutants in different functional areas of the city were also referred to in order to determine the values of the maximum accumulation, half-saturation, and cumulative time, as presented in Table 3.
  • Determination of scour model parameters
In this study, for the scour model, the scour coefficient, scour index, and scavenging removal rate were determined by monitoring the water quality of the rainfall runoff from the harbor area, as presented in Table 4.
  • Determination of additional parameters
The hydrological parameters were primarily derived from the SWMM’s user manual [13]. The values for the pipe diameter D and length L could be obtained from the design file. The surface accumulation was approximately 25% for values larger than 2 mm, around 75% within the [120 mesh, 2 mm] range, and negligible for particle sizes smaller than 80 mesh. The comprehensive model was designed to be utilized once a day, achieving 70% removal efficiency for surface accumulation.

2.3.3. Rate Setting for Model Parameters

This study was carried out by following the process of ‘parameter prediction–simulation–calibration’, seeking to assess the accuracy of the parameters selected for the SWMM. The rate-setting process was based on the measured flow/water level data from the outlet pipe corresponding to the rainfall event, and we combined these with information about the actual topography, soil types, land use, etc., to determine the appropriate parameter values for the model. The operational model was used to calculate the flow rates and ponding conditions for each pipe network and rainwater well. The calculated and measured values were then analyzed quantitatively and qualitatively to assess their agreement. If unreasonable nodes were identified, we adjusted the parameters and recalculated them in order to minimize the error, ensuring that the accuracy requirements were met. The functions for the volume relative error, dV, and the flood relative error, dP, were defined as distributions of the measured values (denoted by the subscript m) and simulated values (denoted by the subscript s):
d V = V m V s V m × 100
d P = P m P s P m × 100
According to the Specifications for the Application of Hydraulic Simulations of Drainage Systems, an acceptable relative error range for rainfall volume simulation results is −20%~+10%, and the permissible error range for runoff flood peaks is −25%~+15%. If both error rates fall within these ranges, the model is deemed reliable.

2.4. Scenario Setting Based on Heavy Rainfall

Stormwater information is essential and serves as the foundation for the hydraulic simulation of stormwater pipe networks. It also constitutes important basic data for flood prevention, drainage planning, and engineering design. By analyzing and organizing rainfall data, historical precipitation patterns can be summarized to provide fundamental data that facilitates model operation.

2.4.1. Analysis of Constant Rainfall Scenario

The formula used to calculate the intensity of the storm in the city is as follows:
q = 3920 ( 1 + 0.68 lg P ) ( t + 17 ) 0.86
where P represents the rainfall recurrence period, and t denotes the rainfall time. In accordance with the outdoor drainage code and based on the storm intensity formula and the actual conditions of the city, a total of 9 calendar hours was used for rainfall calculation every 5 min. This involved utilizing 10 different rainfall recurrence periods to calculate the storm intensity for each period, as detailed in Table 5.

2.4.2. Analysis of Synthetic Rainfall Scenarios

Simulations of the constant flow scenarios fail to account for the temporal and spatial variations in rainfall, leading to an inadequate representation of its spatial and temporal distribution. As a result, the calculated outcomes deviate from the actual rainfall situation due to this incomplete information. Therefore, in this study, we utilized the Chicago rainfall pattern in the simulations in order to enhance the validity of the results. The general formula for the storm intensity is
i = a ( t + b ) c
The formulae for the Chicago rainfall pattern are as follows.
Pre-peak rise:
i a = a t 1 r + b c 1 c t 1 t 1 + r b
Post-peak rise:
i b = a t 2 ( 1 r ) + b c 1 c t 2 t 2 + ( 1 r ) b
Here, i a represents the instantaneous storm intensity in the ascending section; i b represents the instantaneous storm intensity in the descending section; a , b , c denote the local parameters in the storm intensity formula; t 1 , t 2 indicate the pre-peak and post-peak times; r is the rain peak coefficient.
Based on the storm formula and the general formula for the storm intensity in the city, the values of the parameters a, b, and c can be determined as follows:
a = 3920 1 + 0 . 68 lgP / 167 , b = 17 , c = 0.86
The equation for the Chicago rainfall pattern, with a rainfall crest factor r = 0, is as follows:
i = A ( 1 + 0.68 lg P ) [ ( 1 n ) t + b ] ( t + 17 ) n + 1
The Chicago rainfall pattern at a crest factor of r = 0.45 is as follows:
0 t 45 min
i = 575.001 × 0.375 n ( 45 i + 0.6375 ) 0.86 + 55391.763 × 0.625 1.86 ( 45 i + 0.6375 ) 0.86 × ( 1 + 0.68 lg P )
45 t 120 min
i = 575.001 × 0.375 n ( 45 i + 10.625 ) 0.86 + 55391.763 × 0.625 1.86 ( 45 i + 10.625 ) 0.86 × ( 1 + 0.68 lg P )
Various Chicago rainfall process lines can be derived based on the formulae corresponding to different rainfall peak coefficients. These can be used to assess the compatibility between the results derived from synthetic rainfall scenarios and those from actual observations.

2.5. Stormwater Simulation Based on LID Scenarios

In recent years, there has been a significant increase in the impervious surface area within the studied city. This has led to limitations in the capacity for underlayment drainage and an increased risk of flooding. One of the aims of this study was to design rainwater harvesting and storage measures, as well as utilization strategies, based on the SWMM. These measures can be configured to simulate permeable pavements that are suitable for the port area. LID measures can be used to control the volume of stormwater runoff and provide detention, infiltration, and evapotranspiration functions. The rainwater harvesting and utilization methods examined in this study primarily included permeable roads, rainwater infiltration trenches, and rainwater storage ponds. These methods are effective in reducing the amount of rainwater runoff, mitigating the peak runoff and pollutant concentrations, alleviating the pressure on pipeline network systems, and facilitating the cycling and sustainable utilization of rainwater.

3. Results and Discussion

In this study, the SWMM was employed to conceptualize the pipeline network system within the study area and to establish the model parameters. We employed the Chicago rainfall pattern for the simulations, considering the present rainfall conditions. We also integrated LID control measures to manage the stormwater in the research area. The SWMM simulation produced the following results.

3.1. Calibration of Model Parameters

3.1.1. Calibration Results for the Model Parameters

In the analysis, we established two objective functions to determine the values of the hydrological parameters and production and sink model parameters. Table 6 and Table 7 present the results obtained after multiple rate determinations.
It can be seen that the amount of puddle storage within the impermeable and permeable zones is within an acceptable range, and the simulated surface water accumulation process is consistent with the actual situation. This is evidenced by the fact that there is a certain amount of time for water to accumulate at the beginning of the rainfall event, and the depth of water accumulation gradually increases. The maximum infiltration rate and the infiltration rate in the Horton model are 80 mm/h and 3 mm/h, respectively. This demonstrates that the infiltration parameters are consistent with the physical characteristics, such as the soil type and land cover. In the case of impervious surfaces, following the deduction of the initial losses from the total rainfall, it can be observed that 80% of the rainfall is transformed into runoff, while the remaining 20% may be lost through alternative means, including evaporation and the retention of water by vegetation. In the case of permeable surfaces, it is demonstrated that up to 80 mm of rainfall per hour can infiltrate into media, such as soil below the permeable surface at the onset of a rainfall event. It is also observed that the infiltration rate of the permeable surface will gradually stabilize after a period of sustained rainfall. The findings indicate that the flow-producing process is characterized by elevated net flow rates, rapid response times, and negligible initial losses. These characteristics can be attributed to the large proportion of impervious surfaces within the catchment area and their collective impact on the surface permeability.
Once the model parameters had been calibrated, the uncertainty inherent in the model could be reduced, thereby enhancing the precision of the simulation. To evaluate the sensitivity of the SWMM’s parameters and their suitability, a local sensitivity analysis was conducted.

3.1.2. Sensitivity Analysis of Model Parameters

In this research, a local sensitivity analysis was utilized to determine how variations in individual parameters influenced the simulation outcomes. Ten key parameters were determined by combining SWMM-simulated hydrological processes with field data. For impervious areas, these were the runoff coefficient (C), impervious depression storage (Iimp), impervious Manning’s n (Ns), and impervious depression storage depth (Dp). Meanwhile, for pervious areas, we included the initial infiltration loss (Fc), pervious depression storage (Wc), initial infiltration rate (F0), final infiltration rate (Fk), and pervious Manning’s n (Sc). The percentage of impervious areas (NP) and the pipe slope (Sp) were also considered. Minor variations in these parameters can substantially influence the accuracy of hydrological simulations. For example, in permeable areas, the runoff coefficients and infiltration parameters directly influence the partitioning of precipitation between surface runoff and infiltration, affecting the overall hydrological performance. Sensitivity analysis can be used to quantify each parameter’s influence, reducing the uncertainty and improving the model’s accuracy and efficiency. The simulation results of local sensitivity analysis can be viewed as shown in Figure 2. The sensitivity ranking of the parameter indicators affecting runoff volume and runoff flooding is shown in Table 8 and Table 9.
The parameters’ sensitivity was assessed via the steepness of the linear regression slope, with steeper slopes indicating greater sensitivity. The runoff coefficient (C), impervious depression storage (Iimp), initial infiltration loss (Fc), and impervious depression storage depth (Dp) had the greatest influences on the runoff volume and peak flow. An increase in the runoff coefficient directly increases the runoff volume for a given rainfall event. Similarly, a greater rainfall intensity led to faster runoff generation, resulting in rapid runoff accumulation and increased peak flows. Larger depression storage reduced the initial runoff volume, creating a lag and decreasing the peak flow. The percentage of impervious areas (NP) had the smallest influence, likely due to the extensive water areas (e.g., port terminals and waterways) and relatively flat topography typical of port cities, where rainfall often directly reaches water bodies without generating significant runoff.

3.2. Analysis of Synthetic Rainfall Scenarios

In this research, the Horton infiltration model was used to simulate the rainfall infiltration dynamics within the study region. In the simulation, we utilized the power wave method to analyze the flow evolution, as well as the Chicago synthetic rainfall pattern based on a generated rainfall scenario. Figure 3 illustrates the findings.
The runoff process exhibited consistent characteristics across varying return periods in each sub-catchment area. A singular peak was identified for rainfall coefficients of 0 and 0.45, and the intensity of a given storm event increased with the frequency of occurrence, which was consistent with the precipitation pattern of the rainfall design. As illustrated in Figure 3a, the peak of the flood is reached at the onset of the rainfall event; subsequently, the average rainfall intensity exhibits a gradual decline. This finding is consistent with the ’pre-peak rainfall’ phenomenon, which is characterized by a peak coefficient of r = 0. The occurrence of pre-peak rainfall is typically associated with the rapid progression of a cold front. The accelerated rate of rainfall runoff and the elevated volume of runoff during the initial stages of precipitation may contribute to the accumulation of water in streets. As Figure 3b illustrates, this is a typical generalized rainfall event, characterized by a gradual increase in the average rainfall intensity and a flood peak reached at 50–60 min of rainfall in different storm recurrence periods. This is followed by a gradual decrease in the rainfall intensity. However, in comparison to the r = 0 scenario, the drainage system is subjected to relatively moderate impacts of runoff, which may result in relatively slow street flooding.

3.3. Simulation of the Rainwater Pipe Network in the Port Area

In this study, the SWMM was employed to simulate the stormwater system within the study area during periods of intense rainfall. The simulation involved varying the rainfall crest coefficient and generating graphical representations illustrating the changes in the outlet flow for different rainfall intensities and patterns (refer to Figure 4).
Figure 4 illustrates that, at rainfall return periods of 0.5 years, 1 year, 2 years, and 5 years, the peak export flow of the single-rainfall peak rainfall pattern in the same rainfall period increases with an increase in the peak coefficient r. Furthermore, the peak total export flow is positively correlated with the rainfall period. When r = 0, the outlet flow rate exhibits a pronounced peak upon reaching 20 min of rainfall, followed by a decline and eventual stabilization. In the case of r = 0.45, the single-rainfall peak rainfall type reaches its maximum at approximately 60 min of rainfall and subsequently declines gradually.
Figure 4 illustrates the rainfall characteristics of two representative floods. Figure 4a depicts a rapid rise and subsequent rapid decline in precipitation, which can result in extensive flooding within a relatively short timeframe. However, the water level subsequently recedes at a similar rate. Figure 4b represents a slow-rise and slow-fall type of rainfall, wherein the flood peak occurs at the one-hour mark, and the duration of rainfall and ponding is longer than r = 0. The total rainfall is observed to increase. The findings of this study suggest that the increase in impervious surfaces, insufficient drainage pipe capacity, and deteriorating pipe infrastructure contribute to the observed phenomenon. It thus follows that relevant municipal departments can enhance the gray infrastructure by increasing the network of drainage pipes and expanding the diameter of the pipes [14], thereby reducing the incidence of urban flooding. In addition, the study area should be designated as a priority region in order to meet the requirements for flood prevention in the context of a rapid rise and fall in rainfall. Furthermore, the focus should be on reducing the peak total amount of waterlogging resulting from the implementation of the planning strategy when the rainfall lasts for 20 min.
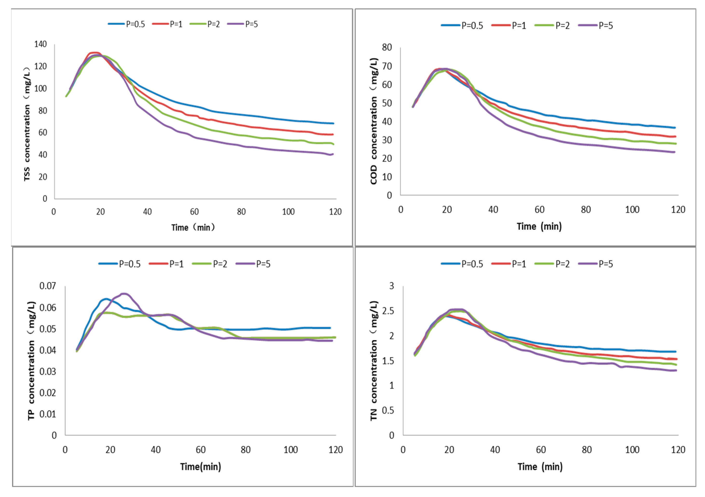
In this model, the saturation function method is utilized to simulate the accumulation of surface pollutants, including TSS, COD, TN, and TP. We analyzed the differences in the water quality resulting from variations in the rainfall intensity and pattern, focusing specifically on the rainfall crest coefficients (r) of 0 and 0.45. The findings are illustrated in Figure 5 and Figure 6.
From Figure 5, it can be seen that when the rain peak coefficient r = 0, the initial concentrations of TSS, COD, TN, and TP continually increase. The maximum concentrations of TSS, COD, TN, and TP appear at 15~21 min of rainfall; this can be attributed to the initial runoff scouring effect. In particular, during the early stages of urban rainfall, the initial runoff rapidly transports long-accumulated surface pollutants—such as litter, dust, and various solid and liquid contaminants—into the drainage system. Consequently, the pollutant concentrations in the initial runoff are significantly higher than those at later stages of the rainfall event. At the same time, the concentrations of TSS, COD, and TN decrease gradually after reaching the peak. The TP concentration fluctuates slightly during the runoff process, which may be related to the initial conditions of the model. For example, the small changes in the background concentration of TP and the material exchange coefficient during the simulation may be amplified in the initial stage of rainfall. Alternatively, the sediment in the surface or drainage system may release P into the water body via a biochemical reaction, which causes a fluctuation in the TP concentration.
When r = 0.45, the concentrations of the four pollutants exhibit more complex variations over the rainfall period. This is because there is still an initial scouring effect under this rainfall scenario, resulting in the peak concentrations of the pollutants. Then, with the increase in rainfall, the pollutants are continuously diluted, and their concentrations will gradually decrease—for example, see the low peak value at a rainfall duration of 20~40 min in Figure 6. However, if sewage leakage or enhanced pollutant scouring effects occur during rainfall, the pollutant concentration may reach the peak again, after which a high concentration may be maintained. Nevertheless, through the introduction of certain LID measures, the size of the permeable area can be increased, and the rainfall and pollutant concentrations can be effectively controlled.

3.4. Rainfall Gradient

3.4.1. Permeable Pavements

The construction of a permeable pavement necessitates a permeable surface layer, a leveling layer, and a permeable cushion to ensure its functionality. Permeable pavements are composed of a porous surface layer accompanied by a 25 mm sand substrate, a 12 mm gravel layer, and underlying soil. The leveling layer is calibrated to a thickness of 35 mm, while the permeable layer measures 180 mm in thickness. The designated porosity level is maintained at 0.2. In this study, permeable pavements were implemented in the box washing yard, assorted warehouses, parking areas, and similar locations, covering 12% of the overall subsurface area within the port zone. The simulation outcomes are illustrated in Figure 7.
As shown in Figure 7, integrating permeable pavements reduced the peak runoff by 33.3% compared to the case with conventional impervious surfaces. The area beneath the red curve is notably smaller than that under the blue curve, indicating that the incorporation of permeable pavements significantly enhances rainwater’s infiltration into the ground. This increased infiltration efficiency leads to a reduction in the total surface runoff of approximately 35%. A reduction in the runoff volume alleviates the pressure on the urban drainage system and reduces the risk of urban flooding. Additionally, it aids in replenishing the groundwater resources and improving the urban water cycle. The permeable pavement also resulted in a rapid post-peak runoff decline, with the flow rate dropping below 0.1 m3/s within one hour of the rainfall event, effectively controlling the surface runoff. Implementing permeable paving in squares and on residential roads enhances subsurface infiltration. A drainage pipe at the pavement’s base allows direct discharge to the municipal network, further reducing the surface runoff and mitigating the risk of flooding during extreme rainfall, particularly in areas with extensive impervious surfaces, such as ports. The efficacy of permeable pavements in controlling runoff depends on factors such as the permeability coefficient, porosity, and pavement thickness [15]. Doubling the permeability coefficient enables further reductions in surface runoff. Therefore, permeable pavements should be designed and implemented while considering the local rainfall characteristics and soil conditions. Maintaining subgrade stability is crucial in ensuring the long-term safety and effectiveness of this green infrastructure and minimizing the flood risk.

3.4.2. Rainwater Infiltration Ditches

Stormwater infiltration systems typically take the form of vegetated bioswales or infiltration basins constructed by filling a concave trench with gravel or aggregate materials. These structures fulfill numerous roles, such as the capture, treatment, and absorption of stormwater runoff. The materials and parameters of the infiltration ditch used in this study are listed in Table 10, and the simulation results are presented in Figure 8.
Figure 8 illustrates the impact of rainwater infiltration ditches on runoff. In this study, the peak runoff was reduced by 30% with the implementation of the ditch. The runoff from the infiltration ditch rapidly declined after reaching its peak, dropping below 0.1 m³/s within 65 min of the rainfall event. After integrating the area under the flow–time curve, it was found that the installation of infiltration facilities reduced the total runoff by approximately 28%, and they exhibited infiltration efficiency of approximately 37%. This indicates that these facilities significantly decrease surface runoff, enhance rainwater infiltration, mitigate the urban flooding risk, and replenish groundwater resources. This effect is due to the ditch’s unique structure and the use of permeable filling materials (e.g., gravel and sand). The surface runoff converges in the ditch and is then infiltrated into the ground, resulting in enhanced infiltration and evaporation and thus reducing the runoff volume. The ditch’s effectiveness depends on the permeability coefficient, aquifer depth, and Manning’s n [16]. The permeability and aquifer depth are directly correlated. Increasing the value of Manning’s n increases the extent of infiltration but also extends the retention time, ultimately further reducing the level of runoff. Additionally, infiltration ditches can intercept pollutants, purify rainwater, and enhance the resilience of the urban ecological system. Therefore, ditch design should take into consideration the local rainfall characteristics and soil conditions, including the permeability and slope, in order to reduce urban waterlogging, shorten the flood duration, alleviate pipe overflow, and mitigate urban flooding.

3.4.3. Rainwater Storage Tanks

In recent years, the utilization of storage ponds to mitigate runoff flows and reduce pollution loads has gained significant popularity [4]. The primary types of stormwater storage tanks include overflow weirs, bottom flow channels, and pump lift systems. In this study, given the relatively flat topography of the Changsha port area and the significant pipeline burial depth (approximately 2 m), it was preferable to adopt a bottom flow channel structure for the stormwater storage tanks. These tanks were located at the end of the pipeline network system, aiming to effectively store and retain stormwater runoff. For the rainwater storage tanks, we employed circular, steel-reinforced concrete underground structures with an internal diameter of 5 m that were situated adjacent to the rainwater network outlet. The top elevation of the tanks was set at 0.8 m below ground level, and three such tanks were installed at the outlet of the pipework system. The bottom of each tank sloped towards the pool at a gradient of 1:6. The pump pit had a depth of 2 m, with an edge water depth of 4.2 m and a central water depth of 6.5 m. Water entered the tank tangentially and exited from the center, facilitating automatic cleaning. The inlet pipe had a diameter of DN1200; it was 80 m long, and its bottom was set at 2.0 m below ground level. The outlet pipe was a DN1000 steel pipe and was 50 m in length. Detailed information regarding the design and characteristics of the reservoirs is provided in Table 11, while the simulation outcomes are illustrated in Figure 9.
Figure 9 compares the runoff situations with and without rainwater regulation and storage. Prior to the installation of the rainwater storage tank, the peak flow occurred approximately 27 min after the onset of rainfall, with a peak flow rate of approximately 0.625 m³/s. After installation, the flow was reduced to approximately 0.2 m3/s, representing a 68% decrease. This indicates that this measure is effective in preventing early surface water accumulation and mitigating urban flooding. Additionally, the peak flow occurred at around 50 min, with a 50% reduction in the peak flow magnitude and a delay of approximately 20 min. These findings suggest that rainwater storage tanks play a significant role in buffering and regulating runoff flows, delaying peak occurrence, and reducing peak flow rates. The post-peak flow declines are also more gradual, eventually stabilizing. After integrating the area under the flow–time curve, it was found that the installation of the rainwater storage tanks reduced the total runoff by approximately 48%, significantly improved the infiltration efficiency, enhanced the system’s stability and reliability, and effectively reduced the risk of urban flooding. The findings of this study show that rainwater regulation and storage significantly impact all aspects of the urban drainage system [17]. Therefore, regional personnel should carefully consider the layout of regulation and storage facilities and precisely control the storage pool’s opening times so as to effectively manage the rainwater resources and reduce the risk of urban waterlogging. Adjusting the opening time based on the rainfall intensity could result in enhanced flood control and disaster reduction.
Furthermore, we evaluated the impact of rainwater on the Xiangjiang River basin’s open water bodies, both with and without the rainwater storage pool. The findings are illustrated in Figure 10, Figure 11, Figure 12 and Figure 13. It can be observed that the maximum concentrations of total suspended solids (TSS) at the outlet node before and after the addition of the storage pool are 280 mg/L and 215 mg/L, respectively. Additionally, the maximum reduction rate is 23.21%. The maximum reduction rates for the chemical oxygen demand (COD) and total nitrogen (TN) at the exit nodes before and after storage are 29.03% and 23.53%, respectively. Following the implementation of the regulatory and storage procedures, the TP removal efficiency is at the optimal level. Its concentration at the outlet node of the pipe network is 0.085 mg/L, and the maximum reduction rate is 29.17%. This is due to the fact that the storage tank is capable of reducing the concentrations of pollutants through the precipitation of suspended solids and the dilution of dissolved pollutants. Moreover, in this study, it was found that the effective volume of the storage tank is a significant factor in reducing runoff pollutants from rainwater [18]. An excessive volume will result in increased economic costs, whereas an overly small volume will result in a reduction in the amounts of rainwater and pollutants captured. It can be observed that the regulation measures and storage tanks have a beneficial impact in terms of reducing the levels of pollutants in the runoff from the outlet node of the basin. These results demonstrate that the economic advantages and the decontamination performance of the studied rainwater storage tanks are superior. Furthermore, the earlier the storage tank begins to discharge the rainwater, the stronger its regulatory effect and the greater the pollutant reduction rate.

3.4.4. Sensitivity Analysis

In this study, we identified the key variables related to the LID measures using local sensitivity analysis, seeking to optimize the design of LID facilities. We selected six parameters, namely the annual rainfall, rainfall intensity, permeable pavement infiltration rate, rainwater reuse rate, land use type, and soil infiltration coefficient, and conducted sensitivity analyses to determine the extent of each factor’s influence on the effectiveness of the LID measures’ implementation. We used the peak flow rate, the total runoff volume, and the degree of reduction in the pollutant concentration as evaluation indicators. The results of the local sensitivity analysis are shown in Table 12.
According to the data in Table 12, the sensitivity of the effects of the LID measures to the different parameters exhibits the following order: rainfall intensity, annual precipitation, permeable pavement infiltration performance, soil infiltration coefficient, land use type, and rainwater reuse rate. Increases in the storm intensity significantly increase the peak flood flows, so LID facilities (e.g., storage ponds) should be designed with a large return period. An increase in annual precipitation will lead to an increase in the total runoff, which must be managed by increasing the capacity of storage ponds or increasing the infiltration facility’s coverage. Although increasing the infiltration rates of permeable pavements helps to reduce the runoff volume, the effect is limited by soil saturation, and it has a limited effect in terms of reducing the flood peaks. When the percentage of impervious surfaces is high, the initial pollution load is high, and enhanced flow abandonment and filtration measures are required. While increasing the rate of stormwater reuse can reduce the amount of external drainage, the impact on flood and runoff control is not significant. Therefore, when configuring LID measures, several key parameters need to be considered together to improve their performance.

3.5. Cost–Benefit Analysis Comparing Traditional Stormwater Systems to LID Measures

As key hubs for economic development, port cities can enhance the quality of urban ecosystems through the use of low-impact development (LID) measures, promoting long-term sustainable growth. However, LID implementation requires significant initial and maintenance costs, raising questions about its economic sustainability. In this study, we compared conventional stormwater management systems with LID systems in terms of stormwater reuse, flood control, and the costs and benefits in order to assess the economic viability of LID measures.
Based on the hydrological data, Phase III of this port city covered 372.847 acres (24.86 hectares), with an average annual rainfall quantity of 1413.5 mm. The existing stormwater network included 52 sub-catchment areas and 35 pipes. The traditional stormwater management system costs approximately 500 CNY/m2 and includes concrete pipes, pumping stations, and storage tanks. In contrast, the LID system’s costs were as follows: permeable paving at 800 CNY/m2, covering 12% of the area; infiltration trenches at 2000 CNY/m; and three storage tanks at CNY 2 million each. The benefits of LID measures are summarized in Table 13.
Based on Table 13, the stormwater management system based on low-impact development (LID) offers significant benefits in terms of stormwater reuse. Rainwater collected in facilities such as cisterns can be used for urban green space irrigation and road surface spraying, achieving multiple goals, such as reducing stormwater runoff, conserving water resources, and lowering the costs of urban management. Permeable pavements provide slightly improved flood protection compared to conventional systems, while stormwater retention ponds offer significantly greater flood protection. Although the LID system’s initial construction cost is approximately 50% higher, its long-term benefits are substantial. Additionally, permeable pavements and infiltration trenches do not significantly impact port logistics, and storage tanks can be integrated into the landscape to promote sustainable development and green transformation.

3.6. The Potential Long-Term Performance of LID Systems

The simulation results show that permeable roads, rainwater infiltration trenches, and rainwater storage ponds can be effectively used to manage and utilize stormwater runoff, thereby mitigating the adverse effects of urbanization on the water system. The performance of LID systems tends to improve initially as vegetation grows and the soil structure develops, enhancing the water retention and purification capabilities. However, their long-term performance is constrained by factors such as material aging, clogging issues, climate change, and land use changes. Wu et al. [19] found that the prolonged use of permeable pavements can lead to sediment accumulation, reducing their permeability and affecting rainwater infiltration and storage. The increase in impervious surfaces due to land use changes can alter the runoff flow and catchment areas, reducing the long-term effectiveness of the implemented measures in terms of runoff control and pollution reduction.
Additionally, studies [20,21] have shown that dry–wet conditions, the intermittency of precipitation, and the balance between precipitation (P) and potential evapotranspiration (PET) significantly influence runoff reduction, deep drainage, and evapotranspiration in LID systems. In wet regions, infiltration-based LID measures effectively reduce runoff and increase deep drainage; in dry regions, while less effective, they still provide benefits by increasing evapotranspiration. Less intense rainfall is extremely beneficial for the infiltration functionalities of permeable roads and infiltration trenches. Under these conditions, rainwater can slowly infiltrate and facilitate continued groundwater recharge while the soil effectively filters out the pollutants in the rainwater, significantly improving the groundwater recharge quality. Rainwater storage ponds improve the precipitation and purification of pollutants and maintain the water quality and ecological functions while facilitating the reasonable use of water resources. In contrast, high rainfall intensities can lead to the overloading of LID measures, such as permeable pavements, rainwater infiltration ditches, and rainwater storage ponds, resulting in ponding and overflow; this decreases the flood reduction capacity and increases the difficulty of water treatment. In the long term, frequent rainfall increases the frequency of water storage in rainwater storage ponds; if drainage and treatment systems are not properly designed, this may lead to long-term high water levels in rainwater storage ponds, affecting the surrounding ecological environment and water quality and reducing their overall effectiveness.
In order to address the negative effects of heavy rainfall on LID measures and increase their effectiveness, a number of optimization strategies can be adopted in line with the local rainfall and runoff conditions. These include increasing the sizes of permeable pavements and infiltration trenches, increasing the volumes of storage ponds, optimizing the layout to form a systematic network, constructing a multi-stage storage system, and reducing the pressure on the main storage ponds by using small-scale facilities for front-loaded storage. It is worth mentioning that several studies—e.g., Yang et al. [9], Wang et al. [22], Lü et al. [23], and others—have confirmed the feasibility of these strategies, providing strong theoretical support and practical references for the application of LID measures in response to heavy rainfall.

3.7. Strengths, Weaknesses, and Optimization of the Model

3.7.1. The SWMM Itself

  • Advantages: This research focused on using the SWMM to simulate precipitation and flooding within the harbor region while also assessing the model’s parameters through a dual evaluation function. This methodology exhibits scientific rigor and an innovative perspective while offering high simulation accuracy.
  • Weaknesses: The SWMM requires a more comprehensive set of parameters to be established. The parameters and information regarding the study area were primarily derived from previous experience, leading to insufficient real-world data. As a result, the calculated outcomes may deviate from the actual rainfall situation. In the process of pipeline network generalization and catchment zoning, it is necessary to allocate more time for reasonable division. Additionally, the model itself lacks an automated analysis module [24], indicating the need for a more comprehensive and rigorous approach.
  • Optimization: The current international integration of models based on the SWMM with optimization algorithms enhances the automated analysis capabilities of such models. This enhancement can lead to improved efficiency in determining the parameter rates, as well as globally optimal characteristics, ultimately reducing the time and cost requirements associated with the SWMM. Currently, the most frequently employed optimization methods and tools include ant colony optimization, genetic algorithms, and neural network-based methods [25].

3.7.2. LID Measures Based on SWMM Research

  • Advantages: In this study, significant reductions in the total runoff, peak flow, and pollution load were achieved through the implementation of low-impact development (LID) measures for rainwater collection and storage in the study area. The rainwater storage pond was found to be particularly effective, achieving a nearly 50% reduction in peak runoff and a nearly 30% reduction in the pollution load.
  • Weaknesses: This work focused solely on the implementation of permeable pavements, stormwater infiltration trenches, and stormwater storage basins in a singular deployment strategy. Low-impact development (LID) measures do not fully optimize the allocation of different types of green infrastructure, and the complex functional layout of the port area (e.g., facilities such as container yards) limits the space for the application of LID facilities, thus reducing their effectiveness in controlling stormwater runoff. In addition, regular maintenance is required to ensure the long-term performance of green infrastructure, resulting in higher long-term costs. As a result, it is difficult to fully weigh the technical effectiveness, cost-effectiveness and environmental impacts of the implementation of LID measures, representing an obstacle to the green transformation of port cities.
  • Optimization: At present, a multitude of factors impact the implementation of low-impact development (LID) measures, and advanced machine learning methods have been posited as a potential solution. For example, the layout of LID facilities (e.g., rain gardens, permeable pavements) in a limited space can be optimized using reinforcement learning or genetic algorithms, seeking to maximize the rainwater infiltration efficiency and reduce the footprint, drawing on the ideas of nanopore structure design [26,27]. Moreover, a combination of geographic information systems (GISs) and machine learning models (e.g., convolutional neural networks (CNNs)) [26] could be utilized to predict the hydrological responses in different areas and adjust the configuration of LID facilities accordingly so as to ensure optimal results in complex environments.
The coupling of the SWMM and genetic algorithm (GA) is primarily employed to assess the cost-effectiveness of low-impact development (LID) from a financial standpoint [28]. This process involves quantifying the benefits and thoroughly evaluating the comprehensive life cycle costs to identify the most efficient solution regarding the economic viability of LID. Meanwhile, future LID system designs for harbors could incorporate near-field dilution models calibrated with on-site monitoring data to quantify the efficiency of the facilities in terms of pollutant reduction [29]. At the same time, it may be possible to stratify the assessment at the near-field and far-field scales [30] to avoid conflicts between local improvements and overall pollution migration.
Additionally, in order to promote LID, a database of environmental parameters related to the harbor area could be established in the future, and a user-friendly machine-learning chain could be developed. Subsequently, a comprehensive evaluation system consisting of the aspects of ’performance–cost–sustainability’ could be constructed to ensure the maximum hydrological benefits while enhancing the economic benefits, in turn promoting the comprehensive optimization and application of LID measures.

4. Conclusions

In this study, we used the SWMM to simulate stormwater runoff and evaluate the effectiveness of LID measures for the New Harbor Construction Project (Phase III). The runoff processes were consistent across all sub-catchment areas for design storms with return periods of 0.5, 1, 2, and 5 years and peak coefficients (r) of 0 and 0.45. The storm intensity and single-peak discharge increased with the return period and peak coefficient, respectively. The initial pollutant concentrations (TSS, COD, TN, and TP) were high due to initial scouring; they then decreased due to rainwater dilution. At r = 0, the TP concentration showed minor fluctuations during runoff; at r = 0.45, the concentrations of all four pollutants varied more significantly, exhibiting multiple peaks before converging. This was consistent with the designed rainfall pattern (with some delay), indicating good model performance in this region.
The findings of this study show that low-impact development (LID) measures such as rainwater harvesting and storage based on the SWMM can yield significant results in urban stormwater management. The use of permeable paving reduced the peak runoff by 33.3% and the total runoff by approximately 35%. The gully system reduced the peak flows by 30% and exhibited an infiltration efficiency of 37%. The stormwater storage tanks had the most significant effect, reducing the peak flows by almost 50% and significantly decreasing the pollutant concentrations (with the following maximum reductions: COD, 29.03%; TN, 23.53%; TSS, 23.21%; and TP, 29.17%). By facilitating the absorption, infiltration, and reuse of rainwater, this green infrastructure effectively reduces stormwater runoff, delays flood peaks, relieves the pressure on urban drainage systems, and reduces the risk of flooding.
In addition, LID facilities can be used to purify the initial rainwater; they were found to reduce the amounts of pollutants entering the Xiangjiang River and protect the water ecosystem. Through the temporary storage of flood flows, LID measures enable rainwater recycling, improve the use of water resources, and alleviate the urban water shortage, and they are strongly aligned with the concept of sustainable development. Overall, LID facilities not only promote ecological restoration and sustainable development but also facilitate coordinated progress within the economy, society, and the environment, providing strong support for the green transformation of port cities.

Author Contributions

F.Q.: Writing—Original Draft and Conceptualization; L.H.: Writing—Review and Editing, Investigation, and Visualization; X.Q.: Investigation and Visualization; L.S.: Visualization; J.C.: Writing—Review and Editing and Supervision; Y.W.: Writing—Review and Editing, Supervision, and Funding. All authors have read and agreed to the published version of the manuscript.

Funding

This research was funded by the National Natural Science Foundation of China, grant number 52370038, the Natural Science Foundation of Hebei Province, grant number E2024202058, and the Key R & D Program of Tianjin, grant number No. 22YFYSHZ00060.

Institutional Review Board Statement

Ethical approval is not applicable to this article as it does not involve any studies with human or animal subjects. Since there are no human subjects in this work, the need for obtaining informed consent does not arise.

Informed Consent Statement

Not applicable.

Data Availability Statement

The original contributions presented in this study are included in the article. Further inquiries can be directed to the corresponding author.

Acknowledgments

The authors appreciate the National Natural Science Foundation of China (52370038), the Natural Science Foundation of Hebei Province (E2024202058), and the Key R & D Program of Tianjin (Grant No. 22YFYSHZ00060).

Conflicts of Interest

The authors declare no conflicts of interest.

Abbreviations

The following abbreviations are used in this manuscript:
MDPIMultidisciplinary Digital Publishing Institute
DOAJDirectory of open-access journals
TLAThree letter acronym
LDLinear dichroism

References

  1. IPCC. Climate Change 2021: The Physical Science Basis; Cambridge University Press: Cambridge, UK, 2021; pp. 5–6. [Google Scholar]
  2. Zhang, J.Y.; Wang, Y.T.; He, R.M. Analysis of urban flooding problems and causes in China. Adv. Water Sci. 2016, 27, 7. [Google Scholar]
  3. Xu, D. A review of SWMM models. J. Environ. Sci. 2014, 33, 23–26. [Google Scholar]
  4. Behrouz, M.S.; Zhu, Z.; Matott, L.S.; Rabideau, A.J. A new tool for automatic calibration of the Storm Water Management Model (SWMM). J. Hydrol. 2020, 581, 124436. [Google Scholar] [CrossRef]
  5. Su, F.F.; Liu, C.Y.; Zhong, Y.B. Study on the reduction countermeasures of primary rainfall surface source pollution in Longxi River Basin based on SWMM model. Water Supply Drain. 2024, 1–6. [Google Scholar] [CrossRef]
  6. Cong, X.Y.; Ni, G.H.; Hui, S.B.; Tian, F.Q.; Zhang, T. Simulation and Analysis of Storm Flood in Typical Urban Areas of Beijing Based on SWMM. Water Resour. Hydropower Eng. 2006, 2006, 64–67. [Google Scholar]
  7. Dell, T.; Razzaghmanesh, M.; Sharvelle, S.; Arabi, M. Development and Application of a Simulation Model for Municipal-Scale Hydrological Evaluation Based on SWMM. Water 2021, 13, 12. [Google Scholar] [CrossRef]
  8. Wan, O.; Scheidegger, A.; Carbajal, J.P.; Rieckermann, J.; Blumensaat, F. Parameter estimation of hydrologic models using a likelihood function for censored and binary observations. Water Res. 2017, 121, 290–301. [Google Scholar] [CrossRef]
  9. Yang, B.; Zhang, T.; Li, J.; Feng, P.; Miao, Y. Optimal designs of LID based on LID experiments and SWMM for a small-scale community in Tianjin, north China. J. Environ. Manag. 2023, 334, 117442. [Google Scholar] [CrossRef]
  10. Su, T.; Zhao, E.R.; Yao, R.; Chen, J.J.; Chen, H.Z.; Jiang, W.T. Study on Hazard Assessment and Zoning of Heavy Rainfall Disaster in Changsha County, Hunan Province. Hydropower Energy Sci. 2023, 41, 1–5. [Google Scholar]
  11. Zuo, L.; Zhao, Y.; Li, J. Simulation on the Impact of Typical Sponge City Measures on the Rainfall and Flood Process. Water Resour. Dev. Manag. 2022, 8, 42–49. [Google Scholar]
  12. Ren, A.; Deng, B.; Li, C. SWMM model principle and its application in Xianing port area. Water Transp. Eng. 2006, 41–44. [Google Scholar] [CrossRef]
  13. Beijing Water Conservancy Planning and Design Institute. Research, Design and Demonstration of Water System and Rainwater Utilization System in Beijing Olympic Park; China Water Conservancy and Hydropower Press: Beijing, China, 2008. [Google Scholar]
  14. Tao, W.H.; Li, Y.S.; Ran, X.Q.; Zhan, S.F.; Chen, Z. Effect assessment of non-point source of pollution load reduction on sponge road based on storm water management model. J. Wuhan Inst. Technol. 2022, 44, 219–225. [Google Scholar]
  15. Gao, Z.; Zhang, Q.H.; Xie, Y.D.; Wang, Q.; Dzakpasu, M.; Xiong, J.Q.; Wang, X.C. A novel multi-objective optimization framework for urban green-gray infrastructure implementation under impacts of climate change. Sci. Total Environ. 2022, 825, 153954. [Google Scholar] [CrossRef]
  16. Yu, Q.; Li, N. Research Progress on the Rainfall Runoff Control Effect of Low-Impact Development under Different Rainfall Characteristics. Water Resour. Power 2021, 39, 18–21+9. [Google Scholar]
  17. Zeng, M.H.; Xie, X.L. Application of Initial Rainwater Storage Tank in a Lake Comprehensive Renovation Project in Wuhan City. China Water Supply Drain. 2021, 37, 93–97. [Google Scholar]
  18. Liu, X.Z. Discussion on the Comprehensive Treatment Design for Waterlogging and Ponding in Urban Underpass Bridges. Water Supply Drain. China 2019, 35, 47–53. [Google Scholar]
  19. Wu, J.S. Research on the Stormwater Runoff Control Effect of Low Impact Development Measures for Roads. Ph.D. Thesis, Southeast University, Nanjing, China, 2020. [Google Scholar]
  20. Voter, C.B.; Loheide, S.P. Climatic controls on the hydrologic effects of urban low impact development practices. Environ. Res. Lett. 2021, 16, 064021. [Google Scholar] [CrossRef]
  21. Chen, B.Y. Research on Runoff Volume and Carbon Emission Control of the Low Impact Development Facilities Based on Climate Change. Ph.D. Thesis, Guangzhou University, Guangzhou, China, 2022. [Google Scholar]
  22. Wang, H.; Zeng, P.; Liu, Z.; Li, W.; Zhou, J. Optimization of LID Strategies for Urban CSO Reduction and Cost Efficiency: A Beijing Case Study. Water 2024, 16, 965. [Google Scholar] [CrossRef]
  23. Lü, Y.P.; Yang, K.; Che, Y.; Shang, Z.Y.; Zhu, H.F.; Jian, Y. Cost-effectiveness-based multi-criteria optimization for sustainable rainwater utilization: A case study in Shanghai. Urban Water J. 2013, 10, 127–143. [Google Scholar] [CrossRef]
  24. Tang, S.P. Analysis on the Optimization of Rainwater Storage Tank and the Situation of Pollutant Reduction. Shaanxi Water Resour. 2023, 65–67. [Google Scholar] [CrossRef]
  25. Yang, Y.Y. Calibration and Optimization of District Rainwater Pipe Network Based on SWMM Model. People’s City, Empowered by Planning; In Proceedings of the Annual Conference of the Urban Planning Society of China 2022 (05 Application of New Technologies in Urban Planning); Kunming Planning and Design Institute Co., Ltd.: Kunming, China, 2023; p. 14. [Google Scholar]
  26. Yang, L.; Wang, H.; Leng, D.Y.; Fang, S.P.; Yang, Y.N.; Du, Y.R. Machine Learning Applications in Nanomaterials: Recent Advances and Future Perspectives. Chem. Eng. J. 2024, 500, 156687. [Google Scholar] [CrossRef]
  27. Wang, H.; Cao, H.Y.; Yang, L. Machine Learning-Driven Multidomain Nanomaterial Design: From Bibliometric Analysis to Applications. ACS Appl. Nano Mater. 2024, 7, 26579–26600. [Google Scholar] [CrossRef]
  28. Shi, L.M.; Zhou, Y.; Sun, T.R.; Zhao, C.; Lu, Z.; Zhou, H.; Liu, J. Optimal Layout of LID Facilities Based on Genetic Algorithm. Rural Water Conserv. Hydropower China 2024, 105–112+121. [Google Scholar] [CrossRef]
  29. Akpan, O.O.; Francisco, K.; Miskewitz, R. Circulation Dynamics and Dilution in Shallow Estuaries Case Study (1): Dilution Factor Calculations. J. Mar. Environ. Eng. 2024, 11, 157–171. [Google Scholar] [CrossRef]
  30. Akpan, O.O.; Barone, D.; Miskewitz, R. Circulation Dynamics and Dilution in Shallow Estuaries Case Study (2): Numerical Modeling of Plume Dynamics. J. Mar. Environ. Eng. 2024, 11, 327–350. [Google Scholar] [CrossRef]
Figure 1. (a) Pipe network layout diagram; (b) SWMM diagram for the study area. The black lines with nodes (labelled J1, J2, etc.) and connections represent the structural framework of the system. Red indicates specific flow paths or important connections within the system. Purple lines indicate different types of flow paths or special features in the system. The green text ‘Subcatchment S4’ clearly identifies specific subcatchments within the larger system.
Figure 1. (a) Pipe network layout diagram; (b) SWMM diagram for the study area. The black lines with nodes (labelled J1, J2, etc.) and connections represent the structural framework of the system. Red indicates specific flow paths or important connections within the system. Purple lines indicate different types of flow paths or special features in the system. The green text ‘Subcatchment S4’ clearly identifies specific subcatchments within the larger system.
Sustainability 17 02544 g001
Figure 2. The results of the parameter sensitivity analyses. (a) The relative error in runoff volume, and (b) the relative error in runoff peak discharge. The number of parameter variations is plotted on the x-axis, while the corresponding equilibrium function values are plotted on the y-axis. A linear regression curve was generated to analyze the data.
Figure 2. The results of the parameter sensitivity analyses. (a) The relative error in runoff volume, and (b) the relative error in runoff peak discharge. The number of parameter variations is plotted on the x-axis, while the corresponding equilibrium function values are plotted on the y-axis. A linear regression curve was generated to analyze the data.
Sustainability 17 02544 g002
Figure 3. Chicago synthetic rainfall process lines for different rainfall intensities: (a) rainfall process line for rainfall intensity r = 0, and (b) rainfall process line for rainfall intensity r = 0.45.
Figure 3. Chicago synthetic rainfall process lines for different rainfall intensities: (a) rainfall process line for rainfall intensity r = 0, and (b) rainfall process line for rainfall intensity r = 0.45.
Sustainability 17 02544 g003
Figure 4. Flow process line at the outlet under different rainfall intensities: (a) flow process line at the outlet for rainfall intensity r = 0, and (b) flow process line at the outlet for rainfall intensity r = 0.45.
Figure 4. Flow process line at the outlet under different rainfall intensities: (a) flow process line at the outlet for rainfall intensity r = 0, and (b) flow process line at the outlet for rainfall intensity r = 0.45.
Sustainability 17 02544 g004
Figure 5. The pattern of pollutant concentration changes at the outlet of the pipe network for rainfall intensity r = 0.
Figure 5. The pattern of pollutant concentration changes at the outlet of the pipe network for rainfall intensity r = 0.
Sustainability 17 02544 g005
Figure 6. The pattern of pollutant concentration changes at the outlet of the pipe network for rainfall intensity r = 0.45.
Figure 6. The pattern of pollutant concentration changes at the outlet of the pipe network for rainfall intensity r = 0.45.
Sustainability 17 02544 g006
Figure 7. Changes in outlet flow before and after implementing permeable pavements and ditches. The red line represents the rainfall–runoff curve for the Chicago rainfall pattern with permeable pavements, while the blue line represents the rainfall–runoff curve for the case without a permeable pavement.
Figure 7. Changes in outlet flow before and after implementing permeable pavements and ditches. The red line represents the rainfall–runoff curve for the Chicago rainfall pattern with permeable pavements, while the blue line represents the rainfall–runoff curve for the case without a permeable pavement.
Sustainability 17 02544 g007
Figure 8. Comparison of the flow process lines of the egress nodes before and after implementing the infiltration ditch. The red line represents the runoff without ditches, while the blue line represents the runoff with ditches.
Figure 8. Comparison of the flow process lines of the egress nodes before and after implementing the infiltration ditch. The red line represents the runoff without ditches, while the blue line represents the runoff with ditches.
Sustainability 17 02544 g008
Figure 9. Changes in outlet flow before and after implementing the storage tank. The red line represents the runoff process with regulation and storage, while the blue line represents the runoff without these measures.
Figure 9. Changes in outlet flow before and after implementing the storage tank. The red line represents the runoff process with regulation and storage, while the blue line represents the runoff without these measures.
Sustainability 17 02544 g009
Figure 10. The TSS concentration before and after adding the storage tank: (a) the maximum TSS concentration at the outlet node before adding the storage tank is 280 mg/L, and (b) the maximum TSS concentration at the outlet node after adding the storage tank is 215 mg/L.
Figure 10. The TSS concentration before and after adding the storage tank: (a) the maximum TSS concentration at the outlet node before adding the storage tank is 280 mg/L, and (b) the maximum TSS concentration at the outlet node after adding the storage tank is 215 mg/L.
Sustainability 17 02544 g010
Figure 11. The COD concentration before and after adding the storage tank: (a) the COD concentration at the outlet node before adding the storage tank is 155 mg/L, and (b) the COD concentration at the outlet node after adding the storage tank is 110 mg/L.
Figure 11. The COD concentration before and after adding the storage tank: (a) the COD concentration at the outlet node before adding the storage tank is 155 mg/L, and (b) the COD concentration at the outlet node after adding the storage tank is 110 mg/L.
Sustainability 17 02544 g011
Figure 12. The TP concentration before and after adding the storage tank: (a) the TP concentration at the outlet node before adding the storage tank is 0.12 mg/L, and (b) the TP concentration at the outlet node after adding the storage tank is 0.085 mg/L.
Figure 12. The TP concentration before and after adding the storage tank: (a) the TP concentration at the outlet node before adding the storage tank is 0.12 mg/L, and (b) the TP concentration at the outlet node after adding the storage tank is 0.085 mg/L.
Sustainability 17 02544 g012
Figure 13. The TN concentration before and after adding the storage tank: (a) the TN concentration at the outlet node before adding the storage tank is 3.4 mg/L, and (b) the TN concentration at the outlet node after adding the storage tank is 2.6 mg/L.
Figure 13. The TN concentration before and after adding the storage tank: (a) the TN concentration at the outlet node before adding the storage tank is 3.4 mg/L, and (b) the TN concentration at the outlet node after adding the storage tank is 2.6 mg/L.
Sustainability 17 02544 g013
Table 1. Modeled production flow surface delineation and parameters.
Table 1. Modeled production flow surface delineation and parameters.
Division of Production Flow SurfaceRoadsRoofsGreenery
Constant runoff coefficient0.80.9-
Confluence parameter7710
Initial loss (m)0.0020.0020.012
Initial penetration rate (mm/h)--76.2
Stable permeability (mm/h)--3.18
Attenuation rate (h − 1)--6
Table 2. Typical ranges of parameter values in runoff model simulations.
Table 2. Typical ranges of parameter values in runoff model simulations.
Type of Land UsePermeable SurfaceImpervious SurfacePlumbing
Low-density residential area0.10–0.200.010–0.0150.011–0.013
High-density residential area0.10–0.200.010–0.0150.020–0.036
Freeway0.10–0.200.010–0.0150.011–0.013
Table 3. Pollutant accumulation modeling on diverse land use surfaces.
Table 3. Pollutant accumulation modeling on diverse land use surfaces.
ParameterTSSCODTNTP
Maximum road accumulation (kg/ha)
Road half-saturation and cumulative time (d)
2701706.00.2
10101010
Maximum roof accumulation (kg/ha)
Roof half-saturation cumulative time (d)
140804.00.2
10101010
Maximum greenfield accumulation (kg/ha)
Greenfield half-saturation and cumulative time (d)
6040100.6
10101010
Table 4. Pollutant flushing coefficients on diverse land surfaces.
Table 4. Pollutant flushing coefficients on diverse land surfaces.
ItemTSSCODTNTP
RoadsScrub coefficient0.0080.0070.0040.002
Washout index1.81.81.71.7
Sweeping removal rate70707070
RoofingScrub coefficient0.0070.0060.0040.002
Washout index1.81.81.71.7
Sweeping removal rate0000
GreeneryScrub coefficient0.0040.00350.0020.001
Washout index1.21.21.21.2
Sweeping removal rate0000
Table 5. Calculation of storm intensity for the harbor area.
Table 5. Calculation of storm intensity for the harbor area.
tP = 0.25P = 0.33P = 0.5P = 1P = 2
5162.26184.736218.440274.664330.888
10136.01154.904183.165230.310277.454
15117.50133.846158.266199.001239.737
20103.75118.136139.689175.643211.598
3084.44196.1683113.713142.982172.250
4566.54075.784389.6107112.675135.740
6055.23762.900574.376393.5199112.663
9041.62647.398656.046270.471984.8975
12033.65138.322745.31456.977868.6412
tP = 3P = 5P = 10P = 20P = 50
5363.777405.212461.436517.660591.984
10305.032339.776386.921434.065496.387
15263.566293.587334.323375.058428.908
20232.63259.127295.081331.035378.564
30189.371210.941240.210269.478308.169
45149.232166.23189.294212.359242.849
60123.861137.969157.113176.257201.563
9093.3359103.967118.392132.818151.888
12075.463984.059495.7228107.386122.804
Table 6. Calibration results for hydrological parameters.
Table 6. Calibration results for hydrological parameters.
Model ParameterPhysical SignificanceRate Determination Outcome
N-impervManning coefficient of impermeable area0.02
N-pervManning coefficient of permeable area0.4
S-impervDepression storage in impermeable area1 mm
S-pervPuddle storage in permeable area 10 mm
Max. infilMaximum infiltration rate of Horton model80 mm/h
Min. infilMinimum infiltration rate of Horton model3 mm/h
αAttenuation constant2 h−1
iLandmark slope0.01
Table 7. Parameterization of production and sink models.
Table 7. Parameterization of production and sink models.
Impervious SurfaceInitial loss Dp/mmConstant runoff coefficient CManning’s coefficient Ns
10.80.02
Permeable SurfaceInitial loss Dp/mmPrimary filtration f0Stable percolation fcAttenuation constant kManning’s coefficient Ns
1080320.4
Table 8. Sensitivity rankings of parameter indices affecting runoff volume.
Table 8. Sensitivity rankings of parameter indices affecting runoff volume.
Sensitivity Ranking12345
IndicatorCIimpFcDPFk
Slope−0.885−0.6820.3630.216−0.185
Sensitivity Ranking678910
IndicatorNsWcF0ScNP
Slope0.137−0.1350.115−0.0040.003
Table 9. Sensitivity rankings of parameter indices affecting runoff flood peak.
Table 9. Sensitivity rankings of parameter indices affecting runoff flood peak.
Sensitivity Ranking12345
IndicatorCIimpFcDPFk
Slope−0.863−0.5450.174−0.1620.149
Sensitivity Ranking678910
IndicatorNsWcF0ScNP
Slope−0.0970.0820.0600.052−0.004
Table 10. Parameters of rainwater infiltration ditch.
Table 10. Parameters of rainwater infiltration ditch.
ItemDimension
Surface section sizeWidth × height = 1200 mm × 800 mm
Reinforced concrete cover plateThick = 60 mm.
Internal sand-free concrete rectangular ditch300 mm × 300 mm
Thick = 50 mm
Gravel filled externallyParticle size = 10~20 mm
The total length of the infiltration trench240 m
The slope of the underlying surface0.3%
Table 11. Parameters of rainwater storage tanks.
Table 11. Parameters of rainwater storage tanks.
ItemDataItemData
Cylindrical steel–concrete substructuresInner diameter 5 mPool edge water depth4.2 m
Top elevation0.8 m below the surfaceDepth of water in the pond6.5 m
Pipe alignment bottom elevation2.0 m below the surfaceDN1200 Water inlet pipe diameter80 m
Pump pit depth2 mDN1000 Outlet pipe diameter50 m
Table 12. Results of the sensitivity analysis of LID facilities.
Table 12. Results of the sensitivity analysis of LID facilities.
ParameterPeak Flood FlowVolume of RunoffConcentration of PollutantsCombined Sensitivity
Rainfall intensityExtremely highHighMedium1
Annual rainfallHighHighLow2
Permeable pavement permeabilityMediumHighLow3
Soil permeability coefficientLowMediumLow4
Land use typeLowMediumHigh5
Stormwater reuse rateNo direct effectLowMedium6
Table 13. Analysis of the benefits of traditional stormwater management systems versus the LID systems.
Table 13. Analysis of the benefits of traditional stormwater management systems versus the LID systems.
ItemTraditional Rainwater Management SystemLID Rainwater Management System
Stormwater reuse benefits/The annual rainwater collection amount is 1.82 × 106 m3, replacing 30% of tap water and bringing a water cost reduction of CNY 50 million.
Flood control benefitsFlood flow reduction rate: 30%Permeable pavements, ditch systems, and stormwater reservoirs reduce peak flows by 33.3%, 30%, and 50%.
Cost-effectivenessInitial investment costCNY 12 millionCNY 1800 million
Annual maintenance costCNY 50 millionCNY 80 million
Combined annual benefitsCNY 30 millionCNY 150 million
Net present value (NPV)CNY 200 millionCNY 1400 million
Disclaimer/Publisher’s Note: The statements, opinions and data contained in all publications are solely those of the individual author(s) and contributor(s) and not of MDPI and/or the editor(s). MDPI and/or the editor(s) disclaim responsibility for any injury to people or property resulting from any ideas, methods, instructions or products referred to in the content.

Share and Cite

MDPI and ACS Style

Qin, F.; Huang, L.; Qi, X.; Sun, L.; Cui, J.; Wei, Y. Optimal LID Designs Based on SWMM Simulations Regarding the Sustainable Efficacy of Stormwater Management in Port Areas. Sustainability 2025, 17, 2544. https://doi.org/10.3390/su17062544

AMA Style

Qin F, Huang L, Qi X, Sun L, Cui J, Wei Y. Optimal LID Designs Based on SWMM Simulations Regarding the Sustainable Efficacy of Stormwater Management in Port Areas. Sustainability. 2025; 17(6):2544. https://doi.org/10.3390/su17062544

Chicago/Turabian Style

Qin, Feifei, Liuyang Huang, Xiaonan Qi, Li Sun, Jixian Cui, and Yanjie Wei. 2025. "Optimal LID Designs Based on SWMM Simulations Regarding the Sustainable Efficacy of Stormwater Management in Port Areas" Sustainability 17, no. 6: 2544. https://doi.org/10.3390/su17062544

APA Style

Qin, F., Huang, L., Qi, X., Sun, L., Cui, J., & Wei, Y. (2025). Optimal LID Designs Based on SWMM Simulations Regarding the Sustainable Efficacy of Stormwater Management in Port Areas. Sustainability, 17(6), 2544. https://doi.org/10.3390/su17062544

Note that from the first issue of 2016, this journal uses article numbers instead of page numbers. See further details here.

Article Metrics

Back to TopTop