A Study on the Rule of Arsenic Precipitation by H2S in High Concentrations of H2SO4
Abstract
1. Introduction
2. Materials and Methods
2.1. Materials and Reagents
2.2. Experimental Procedure
2.3. Analysis and Characterization
2.4. Computational Method
3. Results and Discussion
3.1. Thermodynamic Analysis of As Sulfide Precipitation
3.2. Adaptability of H2S Sulfidation for As Removal
3.2.1. Effect of H2S Concentration
3.2.2. Effect of H2S Flow Rate
3.2.3. Effect of H2SO4 Concentration
3.2.4. Effect of Temperature
3.2.5. Characterization of Reaction Products
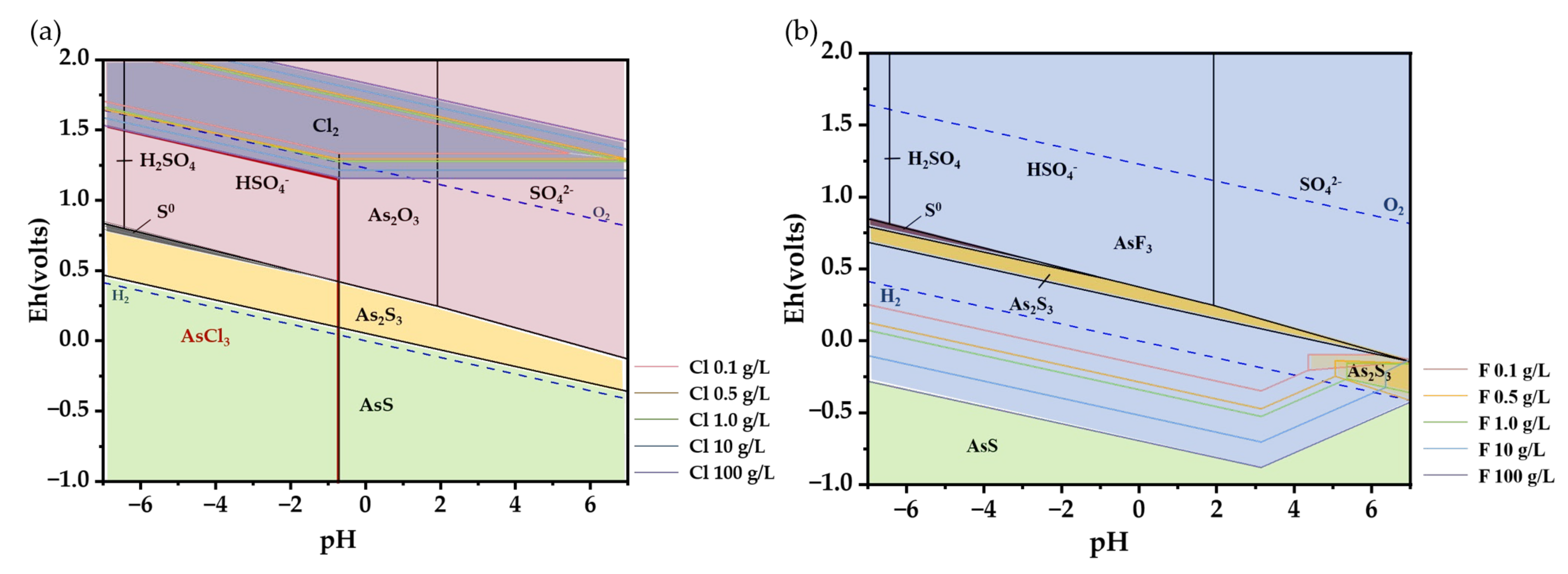
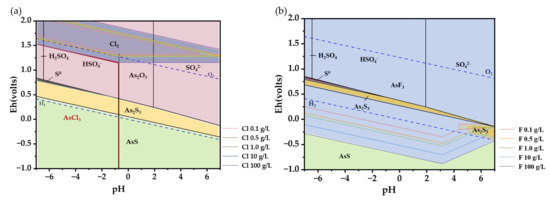
3.3. Mechanism of the Multi-Roles of Anions (Cl− and F−) for As Removal
3.3.1. Effects of Cl−
3.3.2. Effects of F−
4. Conclusions
- The optimal conditions for arsenic extraction were determined: delivering 500 ppm H2S gas at a flow rate of 400 mL/min and maintaining a temperature of 30 °C for a duration of 3 h, resulting in an impressive arsenic removal rate of 99.87%, with a residual concentration of 0.28 mg/L. The treated acid solution can be used to prepare industrial sulfuric acid, which can avoid the waste of acid resources.
- Cl− promoted As removal: Cl− facilitates the decomposition of H3AsO3, thereby accelerating the exposure of reactive sites. The surface properties of the particles have changed, which leads to the formation of arsenic sulfide particles that are more resistant to the adsorption of water molecules and quickly separated from the solution.
- In the presence of F−, As is inclined to form AsF3, a by-product, making As2S3 formation conditions more stringent. However, at sufficiently high F− concentrations, the repulsive forces among sediments gradually diminish, leading to increased hydrophobicity and easier precipitation.
Author Contributions
Funding
Institutional Review Board Statement
Informed Consent Statement
Data Availability Statement
Conflicts of Interest
References
- Shi, J.; Duan, X.; Qi, X.; Li, G.; Yan, G.; Wang, H. Removal of arsenic from copper smelting wastewater using zinc slag to synthesize scorodite. J. Mater. Sci. Mater. Electron. 2023, 34, 973. [Google Scholar] [CrossRef]
- Frank, D. Removing arsenic from copper smelter gases. JOM 1999, 51, 24–26. [Google Scholar] [CrossRef]
- Du, Y.; Lu, Q.; Chen, H.; Du, Y.; Du, D. A novel strategy for arsenic removal from dirty acid wastewater via CaCO3-Ca(OH)2-Fe(III) processing. J. Water Process ENG 2016, 12, 41–46. [Google Scholar] [CrossRef]
- Qi, X.; Li, Y.; Wei, L.; Hao, F.; Zhu, X.; Wei, Y.; Li, K.; Wang, H. Disposal of high-arsenic waste acid by the stepwise formation of gypsum and scorodite. RSC Adv. 2020, 10, 29–42. [Google Scholar] [CrossRef]
- Liu, W.; Zhao, Y.; Chen, J.; Azam, M.; Asubonteng, D.; Ngoie, M.; Lin, S.; Sun, W. Advancements in Removing Fluorine from Copper Concentrate. Min. Metall. Explor. 2023, 40, 1487–1497. [Google Scholar] [CrossRef]
- Souza Neto, H.F.D.; Pereira, W.V.D.S.; Dias, Y.N.; Souza, E.S.D.; Teixeira, R.A.; Lima, M.W.D.; Ramos, S.J.; Amarante, C.B.D.; Fernandes, A.R. Environmental and human health risks of arsenic in gold mining areas in the eastern Amazon. Environ. Pollut. 2020, 265, 114969. [Google Scholar] [CrossRef]
- Xu, D.-M.; Fu, R.-B.; Liu, H.-Q.; Guo, X.-P. Current knowledge from heavy metal pollution in Chinese smelter contaminated soils, health risk implications and associated remediation progress in recent decades: A critical review. J. Clean. Prod. 2021, 286, 124989. [Google Scholar] [CrossRef]
- Zhang, W.; Che, J.; Wen, P.; Xia, L.; Ma, B.; Chen, J.; Wang, C. Co-treatment of copper smelting flue dust and arsenic sulfide residue by a pyrometallurgical approach for simultaneous removal and recovery of arsenic. J. Hazard. Mater. 2021, 416, 126149. [Google Scholar] [CrossRef]
- Kanel, S.R.; Das, T.K.; Varma, R.S.; Kurwadkar, S.; Chakraborty, S.; Joshi, T.P.; Bezbaruah, A.N.; Nadagouda, M.N. Arsenic Contamination in Groundwater: Geochemical Basis of Treatment Technologies. ACS Environ. Au 2023, 3, 135–152. [Google Scholar] [CrossRef]
- Cañas Kurz, E.E.; Hellriegel, U.; Figoli, A.; Gabriele, B.; Bundschuh, J.; Hoinkis, J. Small-scale membrane-based arsenic removal or decentralized applications–Developing a conceptual approach for future utilization. Water Res. 2021, 196, 116978. [Google Scholar] [CrossRef]
- Kumar, A.; Kumari, S.; Parmanand; Sharma, S.K. Constructing the nanomixture of guar gum and Fe3O4 for photocatalytic degradation of dyes and heavy metal. J. Mater. Sci. Mater. Electron. 2022, 33, 2643–2653. [Google Scholar] [CrossRef]
- Hamood Altowayti, W.A.; Almoalemi, H.; Shahir, S.; Othman, N. Comparison of culture-independent and dependent approaches for identification of native arsenic-resistant bacteria and their potential use for arsenic bioremediation. Ecotox. Environ. Saf. 2020, 205, 111267. [Google Scholar] [CrossRef] [PubMed]
- Lin, S.; Zhang, T.; Cao, X.; Liu, X. Recovery of converter steel slag to prepare catalytic H2O2 degradation of dye wastewater as a catalyst. J. Mater. Sci. Mater. Electron. 2021, 32, 24889–24901. [Google Scholar] [CrossRef]
- Soignard, E.; Tsiok, O.B.; Tverjanovich, A.S.; Bytchkov, A.; Sokolov, A.; Brazhkin, V.V.; Benmore, C.J.; Bychkov, E. Pressure-Driven Chemical Disorder in Glassy As2S3 up to 14.7 GPa, Postdensification Effects, and Applications in Materials Design. J. Phys. Chem. B 2020, 124, 430–442. [Google Scholar] [CrossRef]
- Patel, A.; Singh, D.; Sonvane, Y.; Thakor, P.B.; Ahuja, R. Bulk and monolayer As2S3 as promising thermoelectric material with high conversion performance. Comp. Mater. Sci. 2020, 183, 109913. [Google Scholar] [CrossRef]
- Li, Y.; Qi, X.; Li, G.; Wang, H. Double-pathway arsenic removal and immobilization from high arsenic-bearing wastewater by using nature pyrite as in situ Fe and S donator. Chem. Eng. J. 2020, 410, 128303. [Google Scholar] [CrossRef]
- Ostermeyer, P.; Bonin, L.; Folens, K.; Verbruggen, F.; García-Timermans, C.; Verbeken, K.; Rabaey, K.; Hennebel, T. Effect of speciation and composition on the kinetics and precipitation of arsenic sulfide from industrial metallurgical wastewater. J. Hazard. Mater. 2021, 409, 124418. [Google Scholar] [CrossRef]
- Liang, Q.; Jiang, L.; Duan, N.; Xu, F.; He, H. Exploration of the arsenic removal performance fluctuation using H2S from highly acidic wastewater in copper smelting. J. Clean. Prod. 2022, 376, 134311. [Google Scholar] [CrossRef]
- Gim-Krumm, M.; Quilaqueo, M.; Rojas, V.; Seriche, G.; Ruby-Figueroa, R.; Cortés-Arriagada, D.; Romero, J.; Troncoso, E.; Estay, H. Impact of precipitate characteristics and precipitation conditions on the settling performance of a sulfide precipitation process: An exhaustive characterization of the aggregation behavior. Hydrometallurgy 2019, 189, 105150. [Google Scholar] [CrossRef]
- Haidi, L.; Bing, C.; Xiaole, M.; Weiman, L.; Yunfa, C.; Yongchun, L. Research on Sulfurizing Sulphuric Acid (55%) with H2S for Arsenic Removal. Nonferr. Metall. Equip. 2023, 37, 6–12. [Google Scholar] [CrossRef]
- Zhu, F.; Kong, L.; He, M.; Fang, D.; Hu, X.; Peng, X. Effective reduction and recovery of As(III) and As(V) from alkaline wastewater by thiourea dioxide: Efficiency and mechanism. Water Res. 2023, 243, 120355. [Google Scholar] [CrossRef] [PubMed]
- Xu, H.; Wang, Y.; Yao, L.; Ke, Y.; Luo, Y.; Zhang, L.; Du, J.; Yu, L.; Cao, J.; Min, X. Treatment of Acidic Solutions Containing As(III) and As(V) by Sulfide Precipitation: Comparison of Precipitates and Sulfurization Process. Metals 2023, 13, 794. [Google Scholar] [CrossRef]
- Perdew, J.P.; Burke, K.; Ernzerhof, M. Generalized Gradient Approximation Made Simple. Phys. Rev. Lett. 1996, 77, 18–28. [Google Scholar] [CrossRef]
- Jia, L.; Song, X.; Sun, L.; Zhang, S.; Li, K.; Ning, P. Catalytic effect of phosphorus on SO2 oxidation in liquid phase: Experimental and theoretical studies. Chem. Eng. J. 2022, 429, 132376. [Google Scholar] [CrossRef]
- Hu, P.; Weng, Q.; Li, D.; Lv, T.; Wang, S.; Zhuo, Y. Effects of O2, SO2, H2O and CO2 on As2O3 adsorption by γ-Al2O3 based on DFT analysis. J. Hazard. Mater. 2021, 403, 123866. [Google Scholar] [CrossRef]
- Zhang, R.; Fu, D.; Ni, J.; Sun, C.; Song, S. Adsorption for SO2 gas molecules on B, N, P and Al doped MoS2: The DFT study. Chem. Phys. Lett. 2019, 715, 273–277. [Google Scholar] [CrossRef]
- Yang, J.-Q.; Chai, L.-Y.; Li, Q.-Z.; Shu, Y.-D. Redox behavior and chemical species of arsenic in acidic aqueous system. Trans. Nonferr. Metal. Soc. 2017, 27, 2063–2072. [Google Scholar] [CrossRef]
- Zeng, W.; Guo, W.; Li, B.; Wei, Z.; Dionysiou, D.D.; Xiao, R. Kinetics and mechanistic aspects of removal of heavy metal through gas-liquid sulfide precipitation: A computational and experimental study. J. Hazard. Mater. 2021, 408, 124868. [Google Scholar] [CrossRef]
- Zhiliang, S.; Qichao, C.; Haodong, S. Arsenic Chemistry and Technology; Chemical Industry Press Co., Ltd.: Beijing, China, 2014; Volume 22. [Google Scholar]
- Guo, W.; Lin, H.; Zhu, H.; Mo, W.; Su, X.; Yang, J.; Ma, S.; Feng, J.; Lei, M. Efficient removal of fluorine by carbon fiber supported Mg-Fe binary metal oxide composite adsorbent and mechanism analysis based on DFT. Sep. Purif. Technol. 2024, 330, 125320. [Google Scholar] [CrossRef]
- Zhu, F.; Peng, X.; Hu, X.; Kong, L. H2S release rate strongly affects particle size and settling performance of metal sulfides in acidic wastewater: The role of homogeneous and heterogeneous nucleation. J. Hazard. Mater. 2022, 438, 129484. [Google Scholar] [CrossRef]
- Hu, B.; Yang, T.-Z.; Liu, W.-F.; Zhang, D.-C.; Chen, L. Removal of arsenic from acid wastewater via sulfide precipitation and its hydrothermal mineralization stabilization. Trans. Nonferr. Metal. Soc. 2019, 29, 2411–2421. [Google Scholar] [CrossRef]
- Han, Y.-S.; Demond, A.H.; Gallegos, T.J.; Hayes, K.F. Dependence of particle concentration effect on pH and redox for arsenic removal by FeS-coated sand under anoxic conditions. Chemosphere 2015, 134, 499–503. [Google Scholar] [CrossRef] [PubMed]
- GB/T 534-2002; Industrial Sulfuric Acid. Standards Press of China: Beijing, China, 2002.
- Soma, M.; Tanaka, A.; Seyama, H.; Satake, K. Characterization of arsenic in lake sediments by X-ray photoelectron spectroscopy. Geochim. Cosmochim. Acta 1994, 58, 2743–2745. [Google Scholar] [CrossRef]
- Kim, E.J.; Batchelor, B. Macroscopic and X-ray photoelectron spectroscopic investigation of interactions of arsenic with synthesized pyrite. Environ. Sci. Technol. 2009, 43, 2899. [Google Scholar] [CrossRef]
- Han, D.S.; Song, J.K.; Batchelor, B.; Abdel-Wahab, A. Removal of arsenite(As(III)) and arsenate(As(V)) by synthetic pyrite (FeS2): Synthesis, effect of contact time, and sorption/desorption envelopes. J. Colloid Interface Sci. 2013, 392, 311–318. [Google Scholar] [CrossRef]
- Shen, F.; Liu, J.; Dong, Y.; Gu, C. Insights into the effect of chlorine on arsenic release during MSW incineration: An on-line analysis and kinetic study. Waste Manag. 2018, 75, 327–332. [Google Scholar] [CrossRef]
- Bahl, M.K.; Woodall, R.O.; Watson, R.L.; Irgolic, K.J. Relaxation during photoemission and LMM Auger decay in arsenic and some of its compounds. J. Chem. Phys. 1976, 64, 1210–1218. [Google Scholar] [CrossRef]
- Han, Y.S.; Jeong, H.Y.; Demond, A.H.; Hayes, K.F. X-ray absorption and photoelectron spectroscopic study of the association of As(III) with nanoparticulate FeS and FeS-coated sand. Water Res. 2011, 45, 5727–5735. [Google Scholar] [CrossRef]
- Lewis, A.; van Hille, R. An exploration into the sulphide precipitation method and its effect on metal sulphide removal. Hydrometallurgy 2006, 81, 197–204. [Google Scholar] [CrossRef]
- Miao, Y.; Qi, S.; Chen, G.; Wang, X.; Zhao, W.; Wang, J.; Zhang, S.; Xin, B. Efficient removal of As, Cu and Cd and synthesis of photo-catalyst from Cu-smelting waste acid through sulfide precipitation by biogenic gaseous H2S produced by anaerobic membrane bioreactor. Chem. Eng. J. 2023, 451, 138096. [Google Scholar] [CrossRef]
- Lőrinczi, A.; Sava, F.; Simandan, I.-D.; Velea, A.; Popescu, M. Photoexpansion in amorphous As2S3: A new explanation. J. Non-Cryst. Solids 2016, 447, 123–125. [Google Scholar] [CrossRef]
- Liu, F.; Xu, Q.; Liang, H.; Wang, H.; Zhong, C.; Min, X.; Zhang, L. Stabilization mechanism of arsenic-sulfide slag by density functional theory calculation of arsenic-sulfide clusters. J. Hazard. Mater. 2020, 410, 124567. [Google Scholar] [CrossRef] [PubMed]
- Mokone, T.P.; van Hille, R.P.; Lewis, A.E. Effect of solution chemistry on particle characteristics during metal sulfide precipitation. J. Colloid. Interface Sci. 2010, 351, 10–18. [Google Scholar] [CrossRef] [PubMed]















Disclaimer/Publisher’s Note: The statements, opinions and data contained in all publications are solely those of the individual author(s) and contributor(s) and not of MDPI and/or the editor(s). MDPI and/or the editor(s) disclaim responsibility for any injury to people or property resulting from any ideas, methods, instructions or products referred to in the content. |
© 2025 by the authors. Licensee MDPI, Basel, Switzerland. This article is an open access article distributed under the terms and conditions of the Creative Commons Attribution (CC BY) license (https://creativecommons.org/licenses/by/4.0/).
Share and Cite
Zhu, Y.; Hao, X.; Sun, X.; Wang, F.; Li, K.; Ning, P.; Shi, L. A Study on the Rule of Arsenic Precipitation by H2S in High Concentrations of H2SO4. Sustainability 2025, 17, 2359. https://doi.org/10.3390/su17062359
Zhu Y, Hao X, Sun X, Wang F, Li K, Ning P, Shi L. A Study on the Rule of Arsenic Precipitation by H2S in High Concentrations of H2SO4. Sustainability. 2025; 17(6):2359. https://doi.org/10.3390/su17062359
Chicago/Turabian StyleZhu, Ying, Xingguang Hao, Xin Sun, Fei Wang, Kai Li, Ping Ning, and Lei Shi. 2025. "A Study on the Rule of Arsenic Precipitation by H2S in High Concentrations of H2SO4" Sustainability 17, no. 6: 2359. https://doi.org/10.3390/su17062359
APA StyleZhu, Y., Hao, X., Sun, X., Wang, F., Li, K., Ning, P., & Shi, L. (2025). A Study on the Rule of Arsenic Precipitation by H2S in High Concentrations of H2SO4. Sustainability, 17(6), 2359. https://doi.org/10.3390/su17062359

