Next Article in Journal
A Multi-Trigger Mechanism Design for Rescheduling Decision Assistance in Smart Job Shops Based on Machine Learning
Previous Article in Journal
Evaluating Ecosystem Service Trade-Offs and Recovery Dynamics in Response to Urban Expansion: Implications for Sustainable Management Strategies
 
 
Font Type:
Arial Georgia Verdana
Font Size:
Aa Aa Aa
Line Spacing:
Column Width:
Background:
Article

Performance Prediction of a Water-Cooled Centrifugal Chiller in Standard Temperature Conditions Using In-Situ Measurement Data

1
Department of Architectural Engineering, Graduate School, Seoul National University of Science & Technology, Seoul 01811, Republic of Korea
2
School of Architectural, Seoul National University of Science & Technology, Seoul 01811, Republic of Korea
*
Author to whom correspondence should be addressed.
Sustainability 2025, 17(5), 2196; https://doi.org/10.3390/su17052196
Submission received: 9 January 2025 / Revised: 13 February 2025 / Accepted: 25 February 2025 / Published: 3 March 2025

Abstract

In this study, a regression model was developed using the thermo-regulated residual refinement regression model (TRRM) analysis method based on three years and four months of in situ data collected from two water-cooled centrifugal chillers installed in A Tower, Seoul, South Korea. The primary objective of this study was to predict the coefficient of performance (COP) of water-cooled chillers under various operating conditions using only the chilled water outlet temperature ( T 2 ) and the cooling water inlet temperature ( T 3 ). The secondary objective was to estimate the COP under standard temperature conditions, which is essential for the absolute performance evaluation of chillers. The collected dataset was refined through thermodynamic preprocessing, including the removal of missing values and outliers, to ensure high data reliability. Based on this refined dataset, regression analyses were conducted separately for four cases: daytime (09:00–21:00) and nighttime (21:00–09:00) operations of chiller #1 and chiller #2, resulting in the derivation of four final regression equations. The reliability of the final dataset was further validated by applying other regression models, including simple linear (SL), bi-quadratic (BQ), and multivariate polynomial (MP) regression. The performance of each model was evaluated by calculating the coefficient of determination ( R 2 ), coefficient of variation of root mean square error (CVRMSE), and the p-values of each coefficient. Additionally, the predicted COP values under the design and standard temperature conditions were compared with the measured COP values to assess the accuracy of the model. Error rates were also analyzed under scenarios where T 2 and T 3 were each varied by ±1 °C. To ensure robust validation, a final comparison was performed between the predicted and measured COP values. The results demonstrated that the TRRM exhibited high reliability and predictive accuracy, with most regression equations achieving R 2 values exceeding 90%, CVRMSE below 5%, and p-values below 0.05. Furthermore, the predicted COP values closely matched the actual measured COP values, further confirming the reliability of the regression model and equations. This study provides a practical method for estimating the COP of water-cooled chillers under standard temperature conditions or other operational conditions using only T 2 and T 3 . This methodology can be utilized for objective performance assessments of chillers at various sites, supporting the development of effective maintenance strategies and performance optimization plans.

1. Introduction

1.1. Background and Objectives

Water-cooled chillers play an essential role in maintaining indoor temperature and humidity in large-scale cooling applications. Water-cooled chillers play a crucial role in managing the majority of the cooling load in large buildings and have a substantial impact on overall energy consumption [1]. Recently, the need to improve the efficiency of chillers has become increasingly critical due to climate change. In particular, during the summers of 2023 and 2024, extreme heat waves and abnormal autumn weather led to a surge in cooling demand, highlighting the importance of enhancing chiller performance as a pressing issue [2].
Controlling the chilled water outlet temperature in water-cooled chillers directly affects COP and total power consumption, indicating that optimizing operating conditions can significantly reduce chiller energy consumption [3]. However, as conditions vary across sites, the measured COP may differ accordingly [4]. While various metrics such as EER, SEER, and IPLV exist for evaluating chiller efficiency, this study specifically focuses on COP conversion under standardized temperature conditions, as it provides a direct performance measure for optimizing chiller operation at different sites. Therefore, converting the measured COP to a standardized COP under standard temperature conditions is essential [3]. Centrifugal water-cooled chillers are widely used in large-scale commercial and industrial buildings due to their high efficiency, reliability, and ability to handle substantial cooling loads. These chillers play a crucial role in maintaining optimal cooling performance while minimizing energy consumption. Studies have shown that centrifugal chillers can maintain stable performance through appropriate operational strategies and can be effectively applied under various climatic and load conditions [5]. Given their significant role in cooling systems, accurately assessing the performance of centrifugal chillers under standardized conditions is essential for improving energy efficiency. This study aims to develop a regression model specifically designed for centrifugal chillers, providing a methodology for evaluating their performance under standard temperature conditions. In addition, the proposed approach can be effectively utilized for in situ COP evaluation, maintenance strategy development, and the formulation of energy-saving solutions.

1.2. Limitations of Previous Studies

Research on converting the COP of chillers to standardized temperature conditions has been conducted for many years. Most studies have relied on simulation-based methods. Notable examples include the analysis of the impact of chilled water outlet temperature control on water-cooled chiller performance [3], the application of an ANFIS model to predict the performance of vapor compression chillers [4], and the irreversibility analysis of a water-to-water mechanical compression heat pump to assess energy losses in chiller systems [5].
Some studies have focused on empirical modeling and field-measured data. Notable examples include the development of a COP prediction method for screw chillers used in cinemas [6], the proposal of an optimal configuration strategy for multi-chiller systems [7], and the enhancement of chiller performance prediction using advanced regression-based approaches, including ARIMA-regression models [8,9].
Unlike these simulation-based approaches, some studies have focused on improving empirical models using field-measured data. Notable examples include the development of a method for estimating the optimal cycle time of adsorption chillers [10], the application of machine learning and deep learning models to predict the power consumption of water-cooled chillers [11], and the proposal of a steady-state empirical model for evaluating centrifugal chiller performance while considering key factors such as energy efficiency and operational reliability [12].
This study utilizes an extensive dataset of 118,464 field-measured entries collected over three years, surpassing previous studies in terms of both data volume and diversity. While prior research often relied on datasets with fewer than 5000 entries and limited operational conditions, this study incorporates a broader range of real-world conditions, ensuring higher model generalizability [11,12,13].
Furthermore, this study does not merely emphasize the dataset size but also applies a rigorous preprocessing methodology to refine the data, improving analytical accuracy. A comparative analysis with existing models is conducted to validate the reliability and accuracy of the proposed approach, demonstrating its superiority in COP standardization. This structured methodology ensures that the results obtained in this study are not only based on large datasets but also hold significant analytical validity when compared to previous works.

1.3. Research Objectives and Scope

This study aims to develop a formula for predicting the performance of water-cooled chillers under standardized temperature conditions, enabling objective performance evaluation in field applications. The research utilizes 118,464 data points measured over three years under real operating conditions. A regression equation is derived through the application of a thermo-regulated residual refinement regression model (TRRM), which is based on the first law of thermodynamics. To validate the final TRRM, additional regression analyses, including simple linear regression (SL model), bi-quadratic regression (BQ model), and multivariate polynomial regression (MP model), are conducted for comparison. Furthermore, the predicted COP is compared with the actual measured COP to verify the model’s reliability.

1.4. Key Contributions of This Study

The proposed formula is divided into daytime and nighttime models, using T 2 and T 3 as input variables to predict the COP under standard temperature conditions. This approach is justified based on the physical principles of heat transfer and thermodynamic modeling of chillers. Water-cooled chiller performance is significantly influenced by the temperature difference between T 2 and T 3 , as these variables determine the heat exchange efficiency of the evaporator and condenser. Prior studies on empirically based chiller models have demonstrated that using these two temperatures as primary predictors can yield accurate COP estimations, as they directly correlate with the refrigerant cycle’s efficiency and energy consumption [13,14]. By focusing on T 2 and T 3 , the proposed model ensures a balance between computational efficiency and predictive accuracy, making it applicable for real-time monitoring and optimization of water-cooled chillers in diverse operational settings.
This enables chiller operators to objectively evaluate the performance of water-cooled chillers and optimize cooling efficiency by improving operational decision-making. The final regression equation provides practical and reliable insights for Heating, ventilation, and air conditioning (HVAC) professionals, offering a valuable tool for improving chiller performance and significantly contributing to the efficiency of water-cooled chiller systems.

2. Theoretical Considerations

2.1. Refrigeration Theory

2.1.1. COP of Chillers

The COP of a chiller is an indicator of how efficiently the chiller operates. The primary objective of a chiller is to supply the required refrigeration capacity (measured in tons of refrigeration) while minimizing the energy consumed during the heat transfer process. Therefore, the COP serves as a critical indicator for evaluating the energy efficiency of the chiller system. Additionally, a chiller operates based on heat transfer rather than merely heat removal. COP is expressed by the following equation [15]:
C O P = Q ˙ e W ˙ c

2.1.2. Thermodynamic Characteristics of Chillers

The thermodynamic characteristics of water-cooled chillers are defined by the interaction of heat and work within the refrigeration cycle. Heat and work are two fundamental modes of energy transfer in thermodynamics, each governed by distinct principles and mechanisms. Heat is the transfer of energy due to a temperature difference, whereas work is the transfer of energy resulting from a force acting over a distance. Unlike stored energy such as internal energy, both heat and work exist only when energy crosses the boundary of a system. This distinction highlights their transient nature energy in the form of heat or work can enter or leave a system but cannot be stored as heat or work itself. The first law of thermodynamics formalizes the relationship between heat and work, stating that energy cannot be created or destroyed but only transformed from one form to another. This principle is particularly relevant in refrigeration systems, where mechanical work applied by the compressor facilitates heat transfer from a lower temperature reservoir (evaporator) to a higher temperature reservoir (condenser). In this process, energy is absorbed as heat in the evaporator, requiring work input to drive the refrigerant through the cycle, and subsequently rejected as heat in the condenser. A critical aspect of the heat and work interaction is the role of entropy. Heat transfer is always associated with entropy transfer, whereas work transfer is not. This distinction underscores the fact that heat carries a measure of disorder, whereas work is a more structured form of energy transfer. The efficiency of refrigeration cycles is therefore dependent not only on the quantity of energy transferred but also on the nature of that transfer and its impact on system entropy. In practical refrigeration applications, understanding the interplay between heat and work is essential for optimizing system performance. The refrigeration cycle, consisting of evaporation, compression, condensation, and expansion, relies on the controlled interaction of heat absorption, mechanical work, and heat rejection. By effectively managing these energy transfers, the efficiency of refrigeration systems can be improved, reducing energy consumption while maintaining optimal cooling performance [16].
The refrigerant absorbs heat in the evaporator, releases heat in the condenser, and circulates through the system by consuming energy in the compressor. In the evaporator, the refrigerant cools the chilled water by utilizing the temperature difference between the inlet and outlet of the chilled water, thereby providing the cooling effect. The energy transfer process in the chiller is expressed by the following heat transfer equation [16]:
Q ˙ = ρ V ˙ c T
Q ˙ e = ρ b V ˙ 1 c b ( T 1 T 2 )
Q ˙ c = ρ w V ˙ 3 c w ( T 4 T 3 )
The thermodynamic characteristics of chillers can be explained through the correlation among various variables. Key variables for chilled water and cooling water include inlet and outlet temperatures ( T ) and flow rate ( V ˙ ) . These variables directly influence the thermal load and heat transfer rate of the chiller, affecting the heat transfer efficiency in the condenser and ultimately determining the overall system efficiency. Additionally, the power consumption of the compressor is proportional to the compression ratio of the refrigerant and varies with changes in ambient temperature and cooling water temperature [15].

2.1.3. Energy Balance Error

This study selected reliable data using thermal balance errors based on the first law of thermodynamics. Chang et al. [15] conducted measurements on a 200 RT centrifugal chiller installed at the Korea Institute of Science and Technology (KIST) under varying chilled water and cooling water conditions. They evaluated whether the first law of thermodynamics was satisfied by calculating the difference between Q ˙ e and Q ˙ c . This study considered data with thermal balance errors within ±5% to be reliable, as errors beyond this range could result from sensor inaccuracies, refrigerant flow variations, and partial load operation in real-world testing conditions. Shin et al. [17] analyzed an ice thermal storage system in a specific hotel, examining the chiller system by computing the discrepancy between Q ˙ e and Q ˙ c to verify compliance with the first law of thermodynamics. This study determined that thermal balance errors within ±5% are reliable, as this range accounts for minor variations due to sensor calibration and environmental fluctuations in the ice thermal storage system. Kim et al. [18] conducted an experimental study on a 300 RT centrifugal chiller using R134a. They measured the performance of the compressor, condenser, and evaporator separately using a chiller test apparatus and verified the thermal balance error. This study established a ±5% threshold for valid thermal balance data, aligning with ASHRAE standard 550/590 guidelines, to minimize errors due to calibration discrepancies and flow measurement inaccuracies in centrifugal chiller performance tests. Lee et al. [19] applied a ±5% thermal balance error threshold to filter out data influenced by abnormal operating conditions such as overloading and compressor oil imbalance in their state equation modeling study. Reddy and Andersen [20] demonstrated that excluding thermal balance errors beyond ±5% prevents distortions in regression analysis when applying off-line steady-state parameter estimation models to chiller performance data. Liu et al. [21] established a ±5% threshold for valid thermal balance data to maintain reliability in chiller performance evaluations and prevent distortions in energy efficiency analysis based on ASHRAE guideline 14. Only data with thermal balance errors within ±5% were considered reliable. This approach ensured data quality and significantly improved the reliability and predictive accuracy of the model. The thermal balance error is calculated as follows. In Equation (5), the numerator Q ˙ e + W ˙ c Q ˙ c represents the thermal balance deviation (the difference in energy balance). By dividing this by Q ˙ c , the relative error (ratio) can be calculated. That is, the EB value becomes a dimensionless quantity, allowing the system’s balance to be expressed as a percentage (%).
E B ( ± 5 % ) = Q ˙ e + W ˙ c Q ˙ c Q ˙ c

2.2. Analysis Methods

The data analysis methodology in this study builds upon established criteria from previous research [13], which include the following: (1) the predictive accuracy of the model, (2) the data requirements (quantity of data), (3) the effort required for analysis, (4) the generalizability of the model, (5) the computational demands, and (6) the ability to interpret model coefficients physically [22,23]. However, this study advances these criteria by incorporating an adaptive feature selection approach and validating the methodology with a comprehensive three-year dataset. These enhancements contribute to a more robust and scalable model for analyzing water-cooled chiller performance. The coefficient of variation of the root mean squared error (CVRMSE) is employed as a key performance metric to evaluate the accuracy of the water-cooled chiller models. This study utilizes a thermo-regulated residual refinement regression model (TRRM), which applies a thermodynamic residual adjustment linear regression equation based on a large dataset collected over three years. For validation, the study employs three regression models: (1) a simple linear regression model (SL) [24], (2) a quadratic regression model (BQ) [25], and (3) a multivariate polynomial regression model (MP) [26,27,28].
In this study, among the six empirical models evaluated by Reddy and Andersen [20], the SL, BQ, and MP models were selected for validating the TRRM approach. The SL model was chosen as it represents the most fundamental regression method, serving as a baseline for comparison. The BQ and MP models were selected due to their superior predictive accuracy, achieving CVRMSE values of 2.2% and 2.25%, respectively, making them the most suitable choices for performance evaluation.
The TRRM proposed in this study refines the dataset by eliminating missing values where COP and power consumption were not recorded and classifying data points with thermal balance errors outside ±5% as outliers for removal. Additionally, data points where COP decreases as T 2 increases while T 3 remains constant or where COP increases as T 3 increases while T 2 remains constant are also identified as outliers.
A regression analysis is conducted using T 2 and T 3 as independent variables and COP as the dependent variable. In this process, the data point with the largest residual square ( ε 2 ) is removed, and the regression analysis is subsequently re-executed. The final model that achieves the optimal coefficient of determination ( R 2 ) and CVRMSE is defined as the TRRM. In essence, TRRM encompasses the entire process of data refinement, outlier removal, and iterative regression optimization.
One distinguishing characteristic of TRRM is that it performs regression analysis using only T 2 and T 3 . Although incorporating additional variables in the regression analysis may lead to higher R 2 and CVRMSE values with a larger dataset, TRRM focuses solely on T 2 and T 3 to ensure that a reliable model can still be established with limited but high-quality data. The rationale behind this approach is that a substantial dataset is required to derive meaningful results using only these two variables. By employing a linear regression-based approach with only T 2 and T 3 , this study aims to develop a method that is practically applicable to real-world chiller system operations.
In this study, the partial load ratio (PLR) was not included as a parameter in the chiller performance prediction model for the following reasons:
  • Analysis Based on Actual Operating Data: PLR is a commonly used metric for evaluating chiller performance under partial load conditions; however, it is defined under specific design conditions and may differ from real-time operating data [29]. This study focuses on analyzing chiller performance based on actual operating data, where the relationship between T 2 , T 3 , and COP is directly examined as a more practical approach.
  • Challenges in Measuring and Calculating PLR: Incorporating PLR requires accurate measurement of the chiller’s rated cooling capacity and actual load, which is often subject to measurement errors and uncertainties in real-world conditions [30]. For instance, when building loads fluctuate significantly, PLR values may become inconsistent or inaccurate, reducing the reliability of the model. Therefore, this study prioritizes directly measurable variables ( T 2 , T 3 , and COP) to enhance data reliability and model applicability.
  • Generalization and Simplification of the Model: Previous studies that included PLR were often optimized under specific design conditions, which may limit their generalization across various operating environments [31]. By excluding PLR and instead utilizing more fundamental thermodynamic variables ( T 2 and T 3 ) in regression analysis, this study aims to develop a more universally applicable chiller performance prediction model that does not rely on specific load conditions.
  • Thermodynamics-Based Approach: This study investigates the impact of T 2 and T 3 on COP through a thermodynamic perspective, aligning with established research that identifies evaporator and condenser temperature variations as key determinants of chiller performance [32]. In contrast, PLR primarily serves as an auxiliary metric representing load variation rather than a direct determinant of COP. Therefore, it was excluded from the regression model.
  • Validation Through Data Analysis: The regression model developed using T 2 and T 3 as independent variables demonstrated strong predictive performance, with a high coefficient of determination ( R 2 > 0.8) and a low coefficient of variation of root mean square error (CVRMSE < 5%), indicating that chiller performance can be effectively modeled without incorporating PLR. Additionally, previous studies have proposed various approaches for evaluating chiller performance without using PLR [33].
This study developed a chiller performance prediction model without explicitly incorporating PLR, opting instead to utilize more direct and fundamental variables ( T 2 and T 3 ). The exclusion of PLR does not compromise model accuracy; rather, it facilitates a more realistic and data-driven evaluation of chiller performance based on actual operating conditions.

Thermo-Regulated Residual Refinement Regression Model (TRRM)

To predict the COP of chillers, this model applies the first law of thermodynamics and refrigeration principles, removing large ε 2 values based on standard deviation and employing linear regression [3]. The TRRM used in this study is based on the first law of thermodynamics and achieves superior reliability and accuracy with a lower CVRMSE compared to existing models. The input variables for this model are T 2 and T 3 . The mathematical form of this model is as follows:
C O P = β 0 + β 1 T 2 + β 2 T 3

2.3. Comparative Analysis Method

2.3.1. Simple Linear Regression Model (SL Model)

The simplest empirical model for predicting the COP of chillers is the SL model [13,24]. The input variables for this model include Q ˙ e , T 1 , T 3 . The mathematical form of this model is as follows:
C O P = β 0 + β 1 Q ˙ e + β 2 T 1 + β 3 T 3

2.3.2. Bi-Quadratic Regression Model (BQ Model)

The BQ model, among others, uses only two independent variables: Q ˙ e and T 3 . It includes nine regression parameters that do not carry direct physical significance [13,24,25]. The mathematical form of this model is as follows:
1 C O P = β 0 + β 1 1 Q ˙ e + β 2 Q ˙ e + β 3 T 3 Q ˙ e + β 4 T 3 2 Q ˙ e + β 5 T 3 + β 6 Q ˙ e T 3 + β 7 T 3 2 + β 8 Q ˙ e T 3 2

2.3.3. Multivariate Polynomial Regression Model (MP Model)

The MP model [13,20,27] is similar to the BQ model but incorporates T 1 as an additional independent variable. This model includes 10 regression parameters. The mathematical form of this model is as follows:
C O P = β 0 + β 1 Q ˙ e + β 2 T 1 + β 3 T 3 + β 4 Q ˙ 2 e + β 5 T 1 2 + β 6 T 3 2 + β 7 Q ˙ e T 1 + β 8 Q ˙ e T 3 + β 8 T 1 T 3

2.4. Review and Implications of Previous Studies

Various studies have been conducted on chiller performance prediction, including physics-based models, data-driven models, and hybrid approaches. While these existing studies demonstrate respective strengths, they exhibit certain limitations in terms of data utilization and practicality.
Physics-based models provide detailed thermodynamic representations but often require extensive system parameters and calibration, making them impractical for real-world implementation. Data-driven models, on the other hand, offer high predictive accuracy but lack physical consistency and may struggle with data limitations or sensor inaccuracies. Hybrid models attempt to integrate both approaches but frequently face challenges in balancing computational efficiency with robustness.
To address these issues, this study integrates the strengths of prior models while mitigating their weaknesses, leading to the development of the TRRM.
  • Utilization of physics-based principles: Unlike purely data-driven models, TRRM incorporates thermodynamic residual adjustments to ensure compliance with the first law of thermodynamics, improving model reliability and reducing unrealistic predictions.
  • Refinement of data-driven methodology: TRRM employs an iterative residual refinement process, systematically filtering out outliers caused by sensor noise, abnormal operating conditions, and measurement inaccuracies, which are common challenges in conventional regression-based models.
  • Balancing accuracy and practicality: By limiting input variables to T 2 and T 3 while iteratively refining the dataset, TRRM achieves high predictive accuracy without requiring excessive data or complex parameter calibration, making it suitable for real-world applications.
This novel approach leverages the benefits of physics-based and data-driven methods while overcoming their respective drawbacks, ensuring both predictive robustness and practical applicability in chiller performance forecasting.

2.4.1. Physics-Based Models

Physics-based models predict chiller performance using fundamental thermodynamic principles and mathematical modeling, making them useful for design optimization and control strategy development. However, these models fail to fully capture real-world complexities due to simplified assumptions, high computational demands, and limited adaptability to varying operating conditions.
Kim [3] utilized TRNSYS simulations to analyze the effects of chilled water outlet temperature, heat exchanger specifications, and water flow rates on COP and cooling capacity. However, this model did not account for fluctuating external conditions, transient operations, and sensor inaccuracies, limiting its practical application in dynamic chiller environments.
Wang et al. [5] focused on optimizing cooling water flow rates based on heat transfer characteristics and pressure loss calculations. While their model provided an optimal theoretical solution, it was restricted to specific refrigerants and fixed environmental conditions, limiting its applicability to different chiller systems.
Schurt et al. [28] developed a control-oriented model using evaporators, condensers, and variable-speed compressors, achieving up to 5% prediction accuracy. However, their approach was validated only under controlled experimental setups, which do not necessarily reflect real-world chiller operating conditions.
These limitations suggest that physics-based models, despite their theoretical strengths, struggle to generalize across real-world applications. As a result, an approach that integrates empirical field data is necessary to enhance model adaptability and accuracy.

2.4.2. Data-Driven Models

Data-driven models predict chiller performance by learning empirical relationships from real-world field data, making them flexible for different operating conditions. However, their generalizability is often limited due to dependence on pre-existing datasets, sensor accuracy, and data sparsity in certain operational regions.
Nisa et al. [11] combined machine learning (MLP) and deep learning (LSTM) to predict COP, achieving high predictive accuracy with R 2 and RMSE metrics. However, their study was based on a short data collection period, which restricted the model’s ability to generalize across long-term performance variations.
Ho et al. [34] employed k-nearest neighbor regression (kNN) with 19 variables, verifying model reliability through cross-validation. However, their study was constrained by existing design and operational constraints, limiting its applicability to new chiller technologies.
Jin et al. [35] analyzed operating conditions of large temperature differential chillers, focusing on circulation flow rate and COP. However, their study was limited to specific design conditions, making it difficult to apply their findings across different chiller types.
These limitations highlight the need for data-driven models that incorporate diverse, large-scale datasets to improve robustness and generalizability.

2.4.3. Hybrid Approaches

Hybrid approaches combine physics-based and data-driven models to enhance chiller performance predictions. While these methods offer improved accuracy, they often face limitations in data collection, system adaptability, and computational complexity.
Lyu et al. [7] optimized multi-chiller configurations using an enhanced genetic algorithm (GA), but their model lacked generalizability across different system configurations, making it difficult to apply their findings beyond the studied setups.
Shin et al. [4] applied an adaptive neuro-fuzzy inference system (ANFIS) to model nonlinear relationships in COP prediction. Although this model was effective under well-trained conditions, its predictive accuracy significantly decreased when training data were sparse, particularly in high-load regions.
Lee et al. [13] compared multiple empirical models, finding that quadratic regression and multivariate polynomial regression performed well. However, their reliance on specific datasets limited their applicability to varied operating conditions.
These findings suggest that hybrid models require large-scale, diverse datasets to enhance robustness and generalizability, reinforcing the need for an approach that integrates thermodynamic principles with field data-driven learning.

2.5. Improvements of This Study

Previous studies have primarily focused on design optimization under specific conditions or data-driven approaches. However, these studies often fail to incorporate both practical field data and diverse operating conditions, which limits their predictive reliability.
One major challenge in data-driven chiller modeling is the high percentage of missing or unreliable data, which must be carefully filtered to ensure accuracy. While the original dataset contained 118,464 data points, extensive preprocessing was necessary to remove sensor noise, missing values, and anomalies based on thermodynamic constraints. As a result, 3824 high-quality data points were used for model training and validation.
To overcome these limitations, this study introduces the TRRM, which integrates thermodynamic principles with large-scale empirical data to enhance robustness and generalizability. The TRRM improves upon conventional approaches in the following ways:
  • Refines raw data by filtering out sensor noise and anomalies through a residual refinement process.
  • Ensures thermodynamic consistency by applying energy balance constraints derived from the first law of thermodynamics.
  • Improves generalization by training the model on carefully selected, high-quality data that represents diverse operating conditions, reducing dependency on case-specific parameters.
Additionally, instead of focusing solely on data volume, this study emphasizes the selection and comparison of regression models to enhance predictive performance. The TRRM was benchmarked against traditional regression models, demonstrating high predictive reliability under real-world conditions.
These findings highlight the importance of data preprocessing, regression model selection, and thermodynamic consistency, rather than relying purely on data volume, ensuring that the TRRM provides meaningful contributions to energy efficiency analysis and chiller performance evaluation.

3. Research Methods

3.1. Measurement Target

The measured targets of this study are two 450 USRT centrifugal chillers installed on the third basement level of A Tower in Seoul (Figure 1). A Tower is a commercial building with three basement levels, 33 above-ground floors, and a total floor area of approximately 70,000 m2. Its diverse operating conditions under a central cooling system make it a suitable subject for this research. During the day, the building handles cooling loads through partial load operation of chillers and ice thermal storage, while at night, it utilizes a thermal storage system with capsule-type storage media to store ice. The system’s components and operation, including this thermal storage mechanism, are illustrated in Figure 2. The cooling system of the target building operates in four main modes:
  • Ice-making operation: This process involves freezing the capsule-type media in the thermal storage tank, with the chiller operating at an average design temperature of −4.5 °C. Ice is primarily stored during late-night hours, and the system halts after 10 h of operation or upon reaching 100% storage capacity;
  • Thermal storage-only operation: The chiller is not operated, and cooling loads are handled solely by the thermal storage tank. This mode is mainly used during transitional seasons or nighttime when cooling loads are minimal;
  • Parallel operation of chiller and thermal storage tank: To manage peak cooling loads, the chiller operates in conjunction with the ice thermal storage tank, with the chiller running at normal operating temperatures;
  • Chiller-only operation: The chiller independently handles cooling loads without utilizing the thermal storage tank. This mode is used in cases of thermal storage tank malfunction or after complete discharge of the stored ice.
The data were recorded in real-time over a period of 3 years and 4 months, from 16 March 2021, to 4 July 2024, in connection with the Building Energy Management System (BEMS). Sensors and flow meters were installed at the inlets and outlets of the chilled water and cooling water systems, and an AC power meter was installed on the chillers. The measurement points are illustrated in Figure 3.

3.2. Data Measurement

3.2.1. Data Measurement Method

This study measured and recorded data on the flow rate and temperature of chilled and cooling water, as well as the power consumption of the chillers. For flow rate measurements, the AUDS-100M ultrasonic flow meter from AutoFLO was used. This device is a time-difference ultrasonic flow meter specifically designed for BEMS. It employs a clamp-on transducer that can be installed on the external surface of pipes without requiring any cutting or modifications.
The temperature of the chilled and cooling water was measured using the NT-320G insertion-type temperature sensor from Hankyung Electric, which operates within a measurement range of −50 to 150 °C with an accuracy of ±0.5%. This sensor ensures precise temperature readings, which are crucial for accurate performance analysis of the chiller system.
The power consumption of the water-cooled chillers was measured using the GEMS3512 AC power meter from BMT. The measured data were transmitted to a Direct Digital Controller (DDC) via Modbus TCP communication and integrated with the Building Energy Management System (BEMS) for analysis. Flow rate, temperature, and power consumption data were transmitted in real-time through RS485 communication and stored on the server at 15 min intervals. Types and characteristics of measuring instruments are shown in Table 1.

3.2.2. Uncertainty Analysis

To reliably evaluate the COP of the chiller, it is essential to consider the measurement uncertainties of the instruments used. In this analysis, the uncertainties of the measurement equipment, as presented in Table 1, have been incorporated. Generally, when a function R is determined by multiple measured variables x 1 , x 2 , x n , the total uncertainty W R of the result R can be calculated as follows:
W R = R x i W x i 2
The daytime COP is 4.04 with a total uncertainty W R = ±0.073 at a 95% confidence level, while the nighttime COP is 2.26 with W R = ±0.036 at the same confidence level. These uncertainty values have been derived by accounting for the measurement errors of the instruments. It has been confirmed that temperature sensor and power meter errors remain the most significant contributors to COP uncertainty.

3.2.3. Flow Rate and Temperature Data Collection Results

A total of 118,464 data points were collected, of which 12,361 entries with missing T 2 and T 3 were excluded, leaving 106,103 data points (chiller #1: 53,045, chiller #2: 53,058) for analysis (Figure 4 and Figure 5). The temperature distribution showed that for chiller #1, T 2 ranged from −5.1 °C to 25.7 °C and T 3 ranged from 17.4 °C to 30.9 °C, while for chiller #2, T 2 ranged from −5.6 °C to 25.5 °C and T 3 ranged from 18 °C to 31.1 °C. According to the design temperature conditions, T 2 is 6.9 °C during the day and −4.5 °C at night, while T 3 is 31 °C during the day and 30 °C at night. Although the collected T 3 data slightly deviated from the design temperature conditions, a sufficient number of data were secured for analysis.
A total of 118,464 data points were collected, of which 88,267 entries lacking measurements for V ˙ 1 and V ˙ 3 were excluded, resulting in 30,197 data points (chiller #1: 13,604, chiller #2: 16,593) available for analysis (Figure 6). The excluded data are presumed to have primarily resulted from sensor transmission errors, intermittent communication failures in the building energy management system (BEMS), and temporary sensor malfunctions. To minimize bias, a thorough data validation process was conducted to ensure that the remaining data accurately reflect actual operating conditions. According to the design conditions, V ˙ 1 is 4736 L/min and V ˙ 3 is 5352 L/min, with V ˙ 3 being approximately 1.1 times greater than V ˙ 1 . In the actual measurements, for chiller #1, the average V ˙ 1 was 4554 L/min, and the average V ˙ 3 was 5178 L/min, maintaining a similar ratio of approximately 1.1 Similarly, for chiller #2, the average, V ˙ 1 was 4468 L/min, and the average V ˙ 3 was 5010 L/min, also showing a ratio of approximately 1.1. For chiller #1, the average actual flow rate values resulted in R V 1 being measured as 0.93 and R V 3 as 0.97, while for chiller #2, R V 1 was measured as 0.94 and R V 3 as 0.94. These results confirm that the flow rate measurements were consistent with the design conditions.
The chilled water circulation flow ratio ( R V 1 ) represents the ratio of the actual chilled water circulation flow ( V ˙ a 1 ) to the nominal(design) chilled water flow ( V ˙ o 1 ). This metric is used to evaluate whether the actual operating conditions align with the system’s design specifications. In this study, R V 1 was calculated to verify that the measured flow rates remained consistent with the design values, ensuring that the dataset accurately reflects real chiller operation. Similarly, the cooling water circulation flow ratio ( R V 3 ) was calculated to assess the consistency of cooling water flow with its design specifications. The measured values of R V 1 = 0.94 and R V 3 = 0.95 confirm that both chilled and cooling water flows closely followed the intended design conditions.
R V 1 = V ˙ a 1 V ˙ o 1
R V 3 = V ˙ a 3 V ˙ o 3
V ˙ 3 is greater than V ˙ 1 for the following reasons:
  • Difference in heat exchange processes
    In chiller systems, heat exchange occurs in both the evaporator and the condenser. Chilled water (brine) absorbs heat in the evaporator and cools down, while cooling water absorbs heat in the condenser and facilitates refrigerant condensation. The cooling water must remove the total heat rejection Q ˙ c , which is greater than the evaporator cooling load Q ˙ e . This phenomenon is dictated by the first law of thermodynamics, expressed as Q ˙ c = Q ˙ e + W ˙ c . Since the compressor work Q ˙ c is always positive, the total heat rejected Q ˙ c must be greater than the heat absorbed Q ˙ e , meaning the cooling water flow rate must be higher to remove this additional energy effectively.
  • Differences in thermal properties
    The specific heat of cooling water (approximately 4.18 kJ/kg·°C) is higher than that of chilled water (brine or antifreeze mixtures, approximately 3.895 kJ/kg·°C). Because cooling water has a higher specific heat, it can transfer more heat per unit mass. However, since the cooling water must remove both Q ˙ e and Q ˙ c , its volumetric flow rate must be set relatively higher than that of chilled water.
  • System design and efficiency considerations
    Maintaining a higher cooling water volumetric flow rate is essential for chiller performance and efficiency. If V ˙ 3 is lower than V ˙ 1 . Insufficient cooling water flow leads to inadequate heat rejection, increasing the condenser temperature and pressure. Higher condenser pressure results in increased compressor workload and energy consumption, reducing overall system efficiency. Excessive heat buildup can cause unstable operation and increase the risk of compressor overheating or damage. Thus, higher cooling water flow is critical to ensuring stable and efficient chiller operation.
  • Compliance with design standards
    According to industry design standards, the cooling water volumetric flow rate V ˙ 3 is typically set to be approximately 1.1 times the chilled water volumetric flow rate V ˙ 1 . Meet thermodynamic requirements, maximize system efficiency, ensure stable operation under varying conditions. However, this ratio may be adjusted depending on specific operating conditions, such as temperature differentials and heat transfer efficiency.
  • Empirical validation
    Analysis of the collected data revealed that V ˙ 3 was approximately 1.1 times greater than V ˙ 1 on average, which aligns with design standards. This consistency confirms the reliability of the measured data and supports the validity of the study’s methodology.
The difference between V ˙ 3 and V ˙ 1 is not arbitrary but is determined by thermodynamic principles, system efficiency considerations, and industry design standards. Ensuring V ˙ 3 is higher than V 1 is essential for achieving optimal chiller performance, preventing efficiency losses, and maintaining system stability. Review of average flow rate measurements for chilled and cooling water are shown in Table 2.
Out of the total 118,464 data points, 83,695 entries with missing values for T 2 , T 3 , V ˙ 1 , V ˙ 3 were excluded, leaving 34,769 data points for correlation analysis. A comparison with the distribution of the original 118,464 data points revealed a slight narrowing of the distribution range. For chiller #1, T 2 predominantly ranged between −5.1 °C and 16.1 °C, exhibiting a stable pattern, while T 3 was primarily concentrated between 20.5 °C and 30.9 °C. For chiller #2, T 2 predominantly ranged between −5.6 °C and 16.3 °C, exhibiting a stable pattern, while T 3 was primarily concentrated between 20.9 °C and 31.1 °C. These distributions are considered to effectively reflect the operating characteristics of ice thermal storage water-cooled centrifugal chillers. Specifically, this temperature distribution is attributed to the chiller’s primary use in nighttime ice-making operations.

3.2.4. Collection of Chiller Power Consumption

From the total collected dataset of 118,464 data points, the distribution of W ˙ c was analyzed by time of day and month. The designed power consumption values are 286.3 kW during the day and 268 kW at night. Most measured power consumption values fall within a similar range (200–300 kW) to the design values, indicating normal operating conditions. However, during certain time periods (e.g., daytime peak hours), power consumption occasionally exceeds the design values. These peak values do not necessarily indicate discrepancies between actual operation and design conditions. Instead, they reflect raw data before outlier removal and preprocessing. The purpose of this analysis is to illustrate the initial distribution of power consumption before refining the dataset. In subsequent steps, outliers such as extreme peaks are identified and filtered based on statistical and thermodynamic criteria to ensure the accuracy of the final dataset used for modeling and performance evaluation. The average power consumption in summer months (June–August) tends to exceed the design values, likely due to increased cooling demand.
Data with significantly higher power consumption than the design values are concentrated between 09:00 and 17:00, possibly caused by increased daytime loads, equipment overload, or rising outdoor temperatures. Instances of power consumption lower than the design values were also observed, suggesting partial operation or shutdown of equipment during nighttime hours. Outliers appear to be primarily related to changes in operating conditions and system load variations. Table 2 presents the design conditions and standard conditions. Table 3 provides an overview of the initially collected dataset. The scatter plot of hourly R W for chiller #1 and chiller #2 is shown in Figure 7.
The power consumption ratio ( R W ) represents the ratio of the actual power consumption ( W ˙ o ) to the nominal (design) power consumption ( W ˙ a ). This metric is used to evaluate whether the actual operating conditions align with the system’s design specifications.
R W = W ˙ a W ˙ o

3.3. Data Preprocessing

In this study, the collected dataset of 118,464 entries was processed using the TRRM to remove missing values and outliers while ensuring the physical consistency of the data. Unlike conventional statistical filtering methods that rely solely on deviation-based thresholds, this study employs a thermodynamics-based approach to refine the dataset while preserving the integrity of chiller performance data. Missing values were defined as instances where key parameters required for COP calculation, such as T 2 , T 3 , V ˙ 1 , V ˙ 3 , or W ˙ c , were not recorded due to sensor malfunctions, intermittent transmission failures in the BEMS, or disruptions in data logging. Since COP could not be accurately determined without these parameters, such incomplete data entries were excluded from further analysis.
Outliers were identified and removed based on thermodynamic consistency checks and operational validation rather than arbitrary statistical cutoffs. Specifically, data points with thermal balance errors within ±5% were deemed to violate the law of energy conservation (the first law of thermodynamics) and were consequently removed. Additionally, cases where COP increased despite an increase in T 2 while T 3 remained constant or where COP decreased despite an increase in T 3 while T 2 remained constant were flagged as operational inconsistencies and subsequently eliminated. These cases contradict the fundamental principles of the refrigeration cycle and are likely due to sensor inaccuracies, improper system operations, or transient measurement anomalies. Furthermore, a time-series analysis was conducted to detect and exclude temporary anomalies arising from equipment malfunctions or external environmental disturbances.
As a result of this filtering process, 13,275 entries were removed for chiller #1 and 16,098 for chiller #2, leading to the exclusion of approximately 75% of the initial dataset. After removing data points that failed to meet thermodynamic consistency criteria, the dataset was further refined, ultimately retaining 3824 high-quality data points, accounting for approximately 2% of the original dataset. Despite the substantial reduction in data volume, the remaining dataset effectively represents actual chiller performance under realistic load conditions, as it was collected during peak cooling periods from May to October. The final dataset ensures high reliability by eliminating physically inconsistent data while preserving critical information necessary for chiller performance evaluation.
This thermodynamics-based refinement approach builds upon the methodologies described in Ho and Yu [34], which leveraged k-nearest neighbor (kNN) regression to optimize chiller system operation while maintaining thermodynamic consistency. By integrating physical validation alongside statistical filtering, this study ensures that the final dataset is not only statistically refined but also thermodynamically meaningful. This preprocessing methodology enhances the robustness of the dataset, ensuring a reliable foundation for performance modeling, analysis, and optimization of chiller operations.
Figure 8 and Figure 9 illustrate the remaining dataset after preprocessing the raw data of T 2 and T 3 for each chiller. Table 4 presents the initially collected data, removed missing data, data excluded due to thermal balance errors (±5%), and final utilized data (categorized by daytime and nighttime) for each chiller.
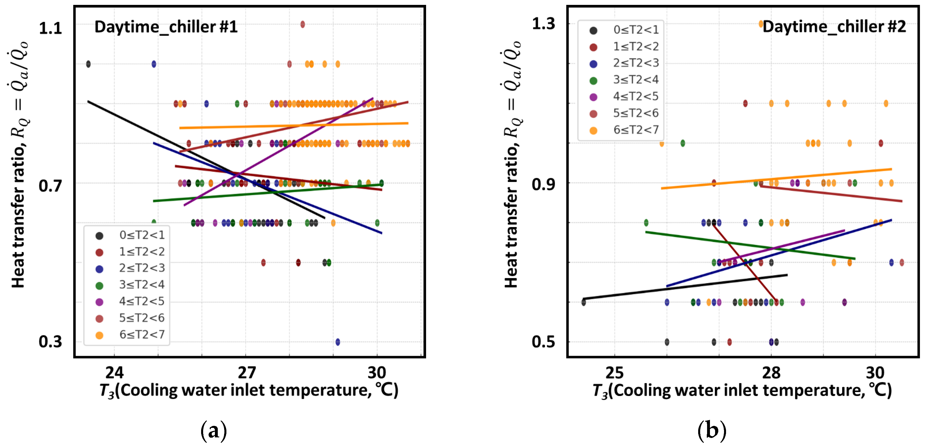
The heat transfer ratio ( R Q ) is defined as the ratio of the actual heat transfer rate ( Q ˙ a ) to the nominal (design) heat transfer rate ( Q ˙ o ). It is a key indicator for evaluating how well the chiller operates relative to its designed heat transfer under current operating conditions. The interpretation of the ratio is as follows [3]:
  • R Q > 1 : The actual heat transfer exceeds the nominal heat transfer, suggesting that the chiller may be operating beyond its design conditions. This is typically caused by high load situations or unexpected changes in external environmental conditions.
  • R Q = 1 : The actual heat transfer matches the nominal heat transfer, indicating that the system is operating normally according to its design conditions.
  • R Q < 1 : The actual heat transfer is less than the nominal heat transfer, signifying that the chiller is operating under partial load. This condition is commonly observed during energy-saving modes or low-load conditions.
R Q = Q ˙ a Q ˙ o
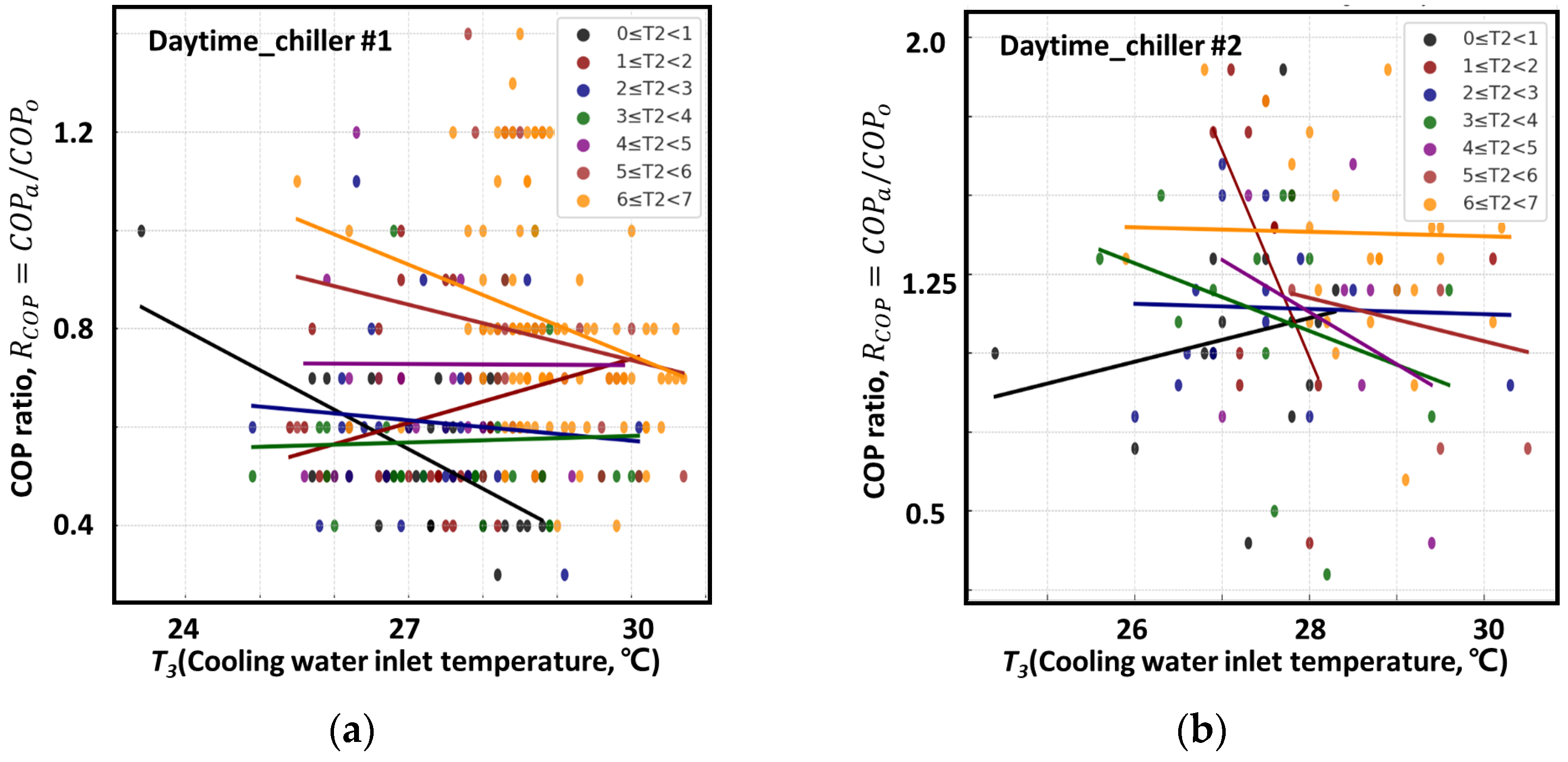
R C O P is defined as the ratio of the actual COP ( C O P a ) to the nominal (design) COP ( C O P o ). It is a key indicator for evaluating how efficiently the chiller operates relative to its designed COP under current operating conditions. The interpretation of this ratio is as follows [3]:
  • R C O P > 1 : The actual performance exceeds the nominal performance, indicating that the chiller is operating more efficiently than its design conditions. This suggests optimized operating environments or ideal system operation.
  • R C O P = 1 : The actual performance matches the nominal performance, signifying that the chiller is functioning normally according to its design conditions.
  • R C O P < 1 : The actual performance is lower than the nominal performance, potentially indicating inefficiencies in the system, changes in external conditions, insufficient maintenance, or variations in load conditions.
R C O P = C O P a C O P o
This approach enables a comparison of the system’s actual operating conditions with the design criteria, facilitating the development of effective strategies to enhance chiller performance. Specifically, R C O P analysis provides foundational data for maintenance planning, energy optimization policies, and compliance with environmental requirements. After the first round of preprocessing, the remaining 3824 (chiller #1: 3236, chiller #2: 588) data points were divided into 710 (chiller #1: 551, chiller #2: 159) daytime data points and 3114 (chiller #1: 2685, chiller #2: 429) nighttime data points. R Q and R C O P were then calculated. Subsequently, the relationship between R Q and R C O P was analyzed, with T 3 ranging from 22 °C to 31 °C, using T 2 as a function. All data were categorized into separate daytime and nighttime datasets for each chiller.
First, R Q was analyzed as a function of T 2 within T 3 range of 23 °C to 31 °C. As shown in Figure 10 and Figure 11, R Q exhibited an increasing trend with rising T 2 . Conversely, data showing a decrease in R Q with increasing T 2 were considered outliers.
Second, R Q was analyzed as a function of T 3 within the T 2 range of −6 °C to 12 °C. As shown in Figure 12 and Figure 13, R Q tended to decrease as T 3 increased. Data showing an increase in R Q with increasing T 3 were considered outliers.
Third, R C O P was analyzed as a function of T 2 within the T 3 range of 23 °C to 31 °C. As shown in Figure 14 and Figure 15, R C O P increased with rising T 2 . Conversely, data showing a decrease in R C O P with increasing T 2 were considered outliers.
Fourth, R C O P was analyzed as a function of T 3 within the T 2 range of −6 °C to 12 °C. As shown in Figure 16 and Figure 17, R C O P tended to decrease with rising T 3 . Data showing an increase in R C O P with increasing T 3 were considered outliers.

3.4. Derivation of Regression Equations

In this study, regression equations were developed to predict the performance of chillers. To achieve this, 3824 (chiller #1: 3236, chiller #2: 588) preprocessed data points were used to define the key independent and dependent variables and conduct regression analysis. The independent variables were set as T 2 and T 3 , while the dependent variable was set as COP. These variables are essential for explaining chiller performance and are widely used in the literature, ensuring the reliability of this selection.
The data used included all entries from the two chillers, which were divided into 710 (chiller #1: 551, chiller #2: 159) daytime data points (9:00–21:00) and 3114 (chiller #1: 2685, chiller #2: 429) nighttime data points (21:00–9:00) for separate regression analyses. The efficiency of the vapor compression refrigeration cycle is significantly influenced by the thermodynamic state of the refrigerant, which is affected by changes in T 2 and T 3 , subsequently impacting the COP [15]. Through this process, regression equations capable of accurately predicting chiller performance were derived, providing a foundation for evaluating performance under standard temperature conditions.

3.4.1. Least Squares Regression Method (LSRM)

The TRRM is derived by systematically identifying and removing outliers in the dataset through residual analysis and iterative refinement. In this study, T 2 and T 3 are considered as independent variables, while COP is the dependent variable. To ensure data reliability, thermal balance conditions were re-verified multiple times, and data exceeding the criteria were eliminated. Outliers in the dataset were detected by comparing residual squared errors between the regression model and the data.
The residual squared error is calculated by squaring the difference between the actual value of a data point and the predicted value, serving as a measure to evaluate the model’s predictive accuracy. Data points with residual squared errors exceeding the standard deviation range were classified as outliers. These outliers were considered to result from measurement errors, abnormal operating conditions, or sensor malfunctions.
This process focused on preserving critical data for ensuring the model’s reliability while eliminating anomalous data that could distort the actual system performance. The estimation error, defined as the difference between the actual value ( y ) and the predicted value ( y ^ ), is expressed as follows [31]:
ε = y y ^
A general empirical model based on the performance of water-cooled chillers can be expressed in the following form [32]:
y = β 0 + β 1 x 1 + β 2 x 2 + + β n x n + ε i = y ^ + ε
The variable x denotes the independent variables, while n refers to the total number of observations or data points for the independent variables.
y 1 y 2 y n = 1 x 11 1 x 21 1 x n 1     x 12 x 13 x 22 x 23 x n 2 x n 3     x 1 m x 2 m x n m     β 0 β 1 β m + ε 1 ε 2 ε n = y ^ 1 y ^ 2 y ^ n + ε 1 ε 2 ε n ( n × 1 ) ( n × m ) ( m × 1 ) ( n × 1 ) ( n × 1 ) ( n × 1 )
To express a regression model in matrix notation, four matrices are required. Using this approach, the empirical model can be represented in matrix form. This general expression involves n unknowns, requiring n pairs of x , y data points for determination. The residual, ε , represents the difference between the predicted value y ^ and the observed data value y for the same independent variable.
Curve fitting then becomes a problem of finding the m values of β based on known information. One estimation method is LSRM, which estimates the parameters by minimizing the sum of squared residuals (RSS). This ensures that the regression line fits the data as closely as possible, reducing the discrepancy between the observed and predicted values.

3.4.2. Significance Probability (p-Value)

In regression analysis, the p-value is a critical concept in hypothesis testing, used to determine whether the relationship between independent variables and the dependent variable is statistically significant. The p-value represents the probability of observing a statistic as extreme as, or more extreme than, the one obtained from the data, assuming the null hypothesis is true.
In regression analysis, the null hypothesis typically states that the coefficient of the independent variable is zero, meaning that the independent variable has no effect on the dependent variable. The smaller the p-value, the stronger the evidence against the null hypothesis, indicating that the independent variable is likely to have a significant effect on the dependent variable.
Interpretation of the p-value:
  • p-value < 0.05 (significance level);
  • The null hypothesis is rejected.
This indicates that the independent variable has a statistically significant effect on the dependent variable. In other words, the variable is related to the dependent variable.
  • p-value ≥ 0.05;
  • The null hypothesis is accepted.
This implies a lack of evidence to suggest that the independent variable has a significant effect on the dependent variable. Therefore, this variable is not statistically significant for the dependent variable.

3.4.3. Coefficient of Variation of Root Mean Square Error (CVRMSE)

Estimation errors in regression analysis can stem from various causes, including model incompleteness, measurement errors, randomness, insufficient data, and limitations in the model structure. Model incompleteness arises when the model fails to fully capture the complex patterns within the data, often due to underfitting, where the model is too simplistic to represent the underlying relationships accurately. Measurement errors occur when noise is present in the data or when inaccuracies arise during the data collection process.
Real-world data frequently exhibits non-deterministic characteristics, leading to errors caused by unpredictable random factors. Additionally, errors can occur when the training dataset is insufficient or when the sample fails to adequately represent the overall distribution of the data. Finally, limitations in the chosen model structure, such as an inability to reflect the inherent properties of the data or failure to meet essential assumptions like linearity or independence, can also contribute to estimation errors. These issues underscore the importance of careful model selection, robust data collection, and thorough validation to minimize errors and improve predictive accuracy [31].
Estimation errors can be classified into four types: bias, variance, random error, and total error. Bias refers to systematic deviations between the true value and the predicted value caused by model assumptions that do not align with the underlying data patterns. Variance represents the sensitivity of the model to fluctuations in the training data, which can result in inconsistent predictions across different datasets. Random error arises from unpredictable factors in the data, reflecting the inherent randomness of real-world processes. Total error is the cumulative impact of these components, combining bias, variance, and random error.
In regression analysis, residuals represent the difference between the actual value and the predicted value produced by the model. Residuals are crucial for evaluating the fit of a regression model, and their squared sum, known as the RSS, serves as a key metric for assessing how well the model explains the observed data. The RSS is calculated by squaring each residual and summing the results, providing a quantitative measure of estimation error.
Standard deviation is another important statistical measure, reflecting how much the data points deviate from the mean. It quantifies the variability of the data, indicating whether the data points are closely clustered around the mean (small standard deviation) or widely dispersed (large standard deviation). Standard deviation is the square root of variance, which itself is calculated as the sum of squared deviations from the mean divided by the total number of data points. These metrics are fundamental for understanding the spread and consistency of data and for evaluating the reliability and accuracy of a regression model [31].
σ = 1 n ( y μ ) 2  
s = 1 n 1 ( y y ¯ ) 2  
A large standard deviation indicates that the data points are widely spread from the mean, whereas a small standard deviation suggests that the data points are closely clustered around the mean. Standard deviation is calculated as the square root of variance, making it easier to interpret than variance as it uses the same unit as the data itself. However, standard deviation is sensitive to outliers; the presence of extreme values can distort its accuracy. Additionally, it works most effectively with data that follow a normal distribution. For skewed distributions, it is often necessary to consider other metrics alongside standard deviation.
To evaluate estimation errors and models, metrics such as the RSS, Mean squared error (MSE), and Coefficient of determination ( R 2 ) are commonly used. MSE is calculated by dividing the RSS by the number of data points, providing an average measure of estimation error. These metrics together offer comprehensive insights into the accuracy and reliability of regression models, ensuring a robust evaluation of their performance.
R 2 evaluates the explanatory power of a model, assessing how well it describes the variation in the data [31]. In regression analysis, R 2 measures how well the independent variables explain the variability of the dependent variable. It represents the proportion of the total variation in the dependent variable that the regression model can explain and takes values between 0 and 1.
The interpretation of R 2 is as follows:
  • R 2 = 1 : The model explains 100% of the variability in the data, indicating that the predicted values ( y ^ ) perfectly match the actual values ( y );
  • R 2 = 0 : The model explains none of the variability in the data, and y ^ are equal to the mean of the dependent variable ( y ¯ );
  • 0 < R 2 < 1 : The model explains part of the variability in the data, but residuals remain, indicating unexplained variability;
  • R 2 < 0 : This rare case occurs when the model performs worse than simply using the mean ( y ¯ ) of the dependent variable as the prediction. It often arises from applying a linear regression model to nonlinear data or when the data structure does not align with the model.
RMSE measures the average magnitude of the error between the predicted values and the actual values. It is calculated by squaring the residuals (differences between predicted and actual values), averaging them, and then taking the square root. RMSE provides a straightforward measure of the average prediction error.
For an R 2 value of 0.8 or higher, the model explains at least 80% of the variability in the response variable using the regression variables, which is typically considered an excellent fit. CVRMSE quantifies model uncertainty and is used to identify an optimal baseline model. If the measurement period is less than 12 months, a CVRMSE value below 20% indicates a reliable model [31,33].
C V R M S E = 100 × ( y y ^ ) 2 ( n 1 ) 1 / 2 y ¯

4. Experimental Results and Discussion

4.1. Data Analysis

The analysis of daytime and nighttime data for each chiller revealed a positive correlation between T 2 and COP, indicating that an increase in T 2 leads to a higher COP. This phenomenon occurs because as the evaporator refrigerant temperature increases, the evaporation pressure also rises, resulting in a reduction in the specific volume of the compressor. Consequently, the energy consumption of the compressor decreases. This behavior aligns with the thermodynamic principle that enhancing the management of energy differentials in the evaporator improves the performance of the vapor compression refrigeration cycle.
Conversely, when T 3 increases, COP exhibits a decreasing trend. This is because a higher condensing temperature in the condenser leads to an increase in the compression ratio of the compressor, thereby significantly increasing the work required by the compressor. As a result, the efficiency of the chiller decreases. This observation is consistent with previous studies, which indicate that thermodynamic inefficiencies increase in the high-temperature region of the refrigeration cycle.
The overall regression analysis results showed an R 2 value exceeding 0.8 and a CVRMSE below 5%, indicating a high level of model accuracy and reliability. Generally, a CVRMSE value below 5% is considered indicative of a high-performance model [33]. In a well-fitted linear regression model, the residuals should have a mean close to zero, indicating no systematic bias in predictions [34]. The regression results are given by Equations (21)–(24). The minimum, average, and maximum values for each coefficient of the final model are presented in Table 5.

4.1.1. Daytime Analysis Results of the TRRM for Chiller #1

After performing TRRM analysis on 551 data points, the regression results yielded R 2 = 0.044, CVRMSE = 30.05%, and a mean residual of ε ¯ = 6.83 × 10 15 . The largest ε 2 was 16.5, corresponding to the data point recorded on Tuesday, 6 July 2021 at 17:45, with T 2 = 1.6 °C and COP = 7.14, which significantly deviated from the standard design conditions. This data point was removed, and the TRRM analysis was re-executed. The iterative analysis was performed 451 times until R 2 exceeded 80% and CVRMSE remained below 5%. The final analysis dataset was confirmed to consist of 100 data points. The regression equation is presented in Equation (22), and the regression analysis results are summarized in Table 6.
C O P p = 6.484 + 0.111 T 2 0.134 T 3

4.1.2. Daytime Analysis Results of the TRRM for Chiller #2

After performing TRRM analysis on 159 data points, the regression results yielded R 2 = 0.023, CVRMSE = 30.01%, and a mean residual of ε ¯ = 5.17 × 10 15 . The largest ε 2 was 33.2, corresponding to the data point recorded on Wednesday, 4 October 2023, at 16:30, with T = 1.9 °C and COP = 1.95, which significantly deviated from the standard design conditions. This data point was removed, and the TRRM analysis was re-executed. The iterative analysis was performed 109 times until R 2 exceeded 80% and CVRMSE remained below 5%. The final analysis dataset was confirmed to consist of 50 data points. The regression equation is presented in Equation (23), and the regression analysis results are summarized in Table 6.
C O P p = 6.601 + 0.253 T 2 0.039 T 3

4.1.3. Nighttime Analysis Results of the TRRM for Chiller #1

After performing TRRM analysis on 2685 data points, the regression results yielded R 2 = 0.224, CVRMSE = 21.74%, and a mean residual of ε ¯ = 1.48 × 10 15 . The largest ε 2 was 10.6, corresponding to the data point recorded on Tuesday, 23 May 2023, at 22:00, with V ˙ 1 = 107 L/min and V ˙ 3 = 6402 L/min, which significantly deviated from the standard design conditions. This data point was removed, and the TRRM analysis was re-executed. The iterative analysis was performed 2185 times until R 2 exceeded 80% and CVRMSE remained below 5%. The final analysis dataset was confirmed to consist of 500 data points. The regression equation is presented in Equation (24), and the regression analysis results are summarized in Table 6.
C O P p = 4.575 + 0.317 T 2 0.041 T 3

4.1.4. Nighttime Analysis Results of the TRRM for Chiller #2

After performing TRRM analysis on 429 data points, the regression results yielded R 2 = 0.008, CVRMSE = 36.47%, and a mean residual of ε ¯ = 3.11 × 10 15 . The largest ε 2 was 35.1, corresponding to the data point recorded on Thursday, 16 September 2021, at 6:45, with T = 0.9 °C and COP = 1.23, which significantly deviated from the standard design conditions. This data point was removed, and the TRRM analysis was re-executed. The iterative analysis was performed 302 times until R 2 exceeded 80% and CVRMSE remained below 5%. The final analysis dataset was confirmed to consist of 127 data points. The regression equation is presented in Equation (25), and the regression analysis results are summarized in Table 6.
C O P p = 8.604 + 0.182 T 2 0.120 T 3

4.2. Validation and Comparison

To verify the reliability of the TRRM, it was compared with the SL model, BQ model, and MP model. Additionally, the R 2 , CVRMSE, and p-values for each model were calculated for validation.

4.2.1. Validation of the Regression Model for Daytime Chiller #1 and Comparison with Alternative Models

As a validation result of the TRRM, the final regression analysis achieved R 2 = 0.946 and CVRMSE = 1.93%, indicating a substantial improvement in model accuracy and reliability. The intercept and all coefficients had p-values below 0.05, confirming that all variables were statistically significant in predicting COP.
In comparison with the SL model, the R 2 value remained the same, while the CVRMSE was 0.01% higher. The p-values for all variables in the SL model were below 0.05, indicating statistical significance in COP prediction. Notably, T 1 and T 3 had a considerable impact. However, the coefficient β 1 for Q ˙ e exhibited a slightly higher p-value than other variables.
In comparison with the BQ model, the TRRM demonstrated a significantly higher R 2 value and a much lower CVRMSE. The p-values for all variables in the BQ model exceeded 0.05, indicating that they were not statistically significant. This suggests that the BQ model is likely unsuitable for accurate COP prediction.
In comparison with the MP model, the R 2 value was slightly lower, while the CVRMSE was also slightly lower. Among the eight coefficients in the MP model, five had p-values exceeding 0.05, indicating that they were not statistically significant.
Overall, the MP model exhibited the highest R 2 and the lowest CVRMSE. However, its performance was nearly equivalent to that of the TRRM. Additionally, since five of its coefficients had p-values exceeding 0.05, rendering them statistically insignificant, the TRRM is considered the most reliable model for COP prediction (Table 6).

4.2.2. Validation of the Regression Model for Daytime Chiller #2 and Comparison with Alternative Models

As a validation result of the TRRM, the final regression analysis achieved R 2 = 0.840 and CVRMSE = 4.16%, indicating a substantial improvement in model accuracy and reliability. While the p-values for β 0 and β 1 were below 0.05, the p-value for β 2 exceeded 0.05, suggesting that T 3 has a relatively minor impact on COP.
In comparison with the SL model, the TRRM exhibited a higher R 2 and a lower CVRMSE. The SL model had two coefficients with p-values exceeding 0.05, indicating their lack of statistical significance. This suggests that Q ˙ e and T 3 have a limited influence on COP.
In comparison with the BQ model, the TRRM achieved a higher R 2 and a lower CVRMSE. In the BQ model, the p-values for seven variables were below 0.05, while one variable slightly exceeded the threshold at 0.056.
In comparison with the MP model, the TRRM demonstrated superior performance, as the MP model exhibited a lower R 2 and a higher CVRMSE. Additionally, most coefficients in the MP model had p-values exceeding 0.05, indicating a lack of statistical significance.
Overall, while the MP model achieved the highest R 2 and the lowest CVRMSE, all regression models for daytime chiller #2 had at least one coefficient with a p-value exceeding 0.05. Among these models, the TRRM is identified as the most reliable, given its balanced performance in both predictive accuracy and statistical significance (Table 6).

4.2.3. Validation of the Regression Model for Nighttime Chiller #1 and Comparison with Alternative Models

As a validation result of the TRRM, the final regression analysis achieved R 2 = 0.916 and CVRMSE = 1.90%, indicating a substantial improvement in model accuracy and reliability. The intercept and all coefficients had p-values below 0.05, confirming that all variables were statistically significant in predicting COP.
In comparison with the SL model, the TRRM exhibited a higher R 2 and a lower CVRMSE. The p-values for all coefficients in the SL model were below 0.05, indicating statistical significance, suggesting that the SL model is a reliable predictive model.
In comparison with the BQ model, the TRRM demonstrated superior performance, with a higher R 2 and a lower CVRMSE. However, in the BQ model, the p-values for all variables exceeded 0.05, indicating that none of the variables were statistically significant. This suggests that the BQ model may not be suitable for accurately predicting COP.
In comparison with the MP model, the TRRM achieved a higher R 2 and a lower CVRMSE. However, in the MP model, four coefficients had p-values exceeding 0.05, indicating a lack of statistical significance for those variables.
Overall, the TRRM outperformed the other models, achieving the highest R2R^2R2, the lowest CVRMSE, and statistical significance for all coefficients (p-values below 0.05). These results indicate that the TRRM is the most reliable among the evaluated models for COP prediction (Table 6).

4.2.4. Validation of the Regression Model for Nighttime Chiller #2 and Comparison with Alternative Models

As a validation result of the TRRM, the final regression analysis achieved R 2 = 0.915 and CVRMSE = 1.74%, indicating a substantial improvement in model accuracy and reliability. The intercept and all coefficients had p-values below 0.05, confirming that all variables were statistically significant in predicting COP.
In comparison with the SL model, the TRRM exhibited a higher R 2 while maintaining the same CVRMSE. The p-values for all coefficients in the SL model were below 0.05, indicating statistical significance.
In comparison with the BQ model, the TRRM demonstrated superior performance, with a higher R 2 and a lower CVRMSE. However, the p-values for all variables in the BQ model exceeded 0.05, indicating that they were not statistically significant. This suggests that the BQ model may not be appropriate for accurately predicting COP.
In comparison with the MP model, the TRRM achieved a lower R 2 and a higher CVRMSE. However, in the MP model, all coefficients had p-values exceeding 0.05, indicating a lack of statistical significance for those variables.
Overall, while the MP model achieved the highest R 2 and the lowest CVRMSE, its performance was very similar to that of the TRRM. However, as all parameters in the MP model had p-values exceeding 0.05, the TRRM remains the most reliable among the evaluated models for COP prediction (Table 6).

4.3. Prediction and Validation of COP and Error Under Standard Conditions

The final regression equation was used to predict the COP by substituting the design temperature conditions and standard temperature conditions. The predicted COP values were then compared with the actual measured COP to validate the accuracy of this study’s predictions. The design temperature conditions refer to the temperature specifications outlined in the chiller’s design documentation at the measurement site (Table 2). The standard temperature conditions are defined as T 1 = 12 °C, T 2 = 7 °C, T 3 = 32 °C, and T 4 = 37 °C [35]. Since there are no established standard temperature conditions for nighttime thermal storage operation, only the design temperature conditions were applied in the nighttime regression equation. Additionally, the error values were examined under conditions where T 2 was increased by 1 °C and T 3 was increased by 1 °C for both the design and standard temperature conditions. The verification equation is as follows:
E r r o r % = C O P p C O P m C O P m × 100
E r r o r T 2 ( % ) = C O P p ( T 2 + 1   ° C ) C O P p C O P p × 100
E r r o r T 3 ( % ) = C O P p ( T 3 + 1   ° C ) C O P p C O P p × 100
The design temperature conditions and standard temperature conditions were substituted into Equations (21)–(24) to calculate COPp, and the error percentage (%) was subsequently computed using Equation (25). The error rate compared to the design values was found to be 5–6.9% for chiller #1 and 4–16.4% for chiller #2. Under standard temperature conditions, the error rate was 10.8% for chiller #1 and 4.6% for chiller #2. The lowest error rates were observed for chiller #2 during daytime operation and chiller #1 during nighttime operation. Among case 1–4, chiller #2 exhibited the lowest error rate in both daytime and nighttime conditions, as summarized in Table 7.
The data analysis results are as follows:
First, R C O P was analyzed as a function of T 2 within the T 3 range of 23 °C to 31 °C. As shown in Figure 18 and Figure 19  R C O P increased with rising T 2 .
Second, R C O P was analyzed as a function of T 3 within the T 2 range of −6 °C to 12 °C. As shown in Figure 20 and Figure 21  R C O P tended to decrease with rising T 3 .
Third, as illustrated in Figure 22 and Figure 23 the measured and predicted COP values were compared for the TRRM, SL, BQ, and MP models. The results indicate that all models closely matched the measured values.

5. Discussion

This study was conducted to develop a performance prediction model for water-cooled chillers and to evaluate it under standard temperature conditions. However, several limitations and constraints were identified during the research process, serving as valuable reference points for proposing improvements in future studies.
This study was based on data collected from a specific building in Seoul, Korea. The data were collected through the BEMS and relevant sensors. The COP calculations were based on the temperature and flow rate data of chilled and cooling water from the chiller.
Additionally, in accordance with the first law of thermodynamics, data with a thermal balance error outside ±5%, totaling 25,549 entries (21.6% of the dataset), were excluded. However, the possibility of data loss, including variability, cannot be ruled out in this process. These limitations, which arose under specific conditions and constraints, highlight the need for new approaches to address them in future studies.
Future studies can be directed as follows:
  • Diversify data collection to achieve a balance between daytime and nighttime load conditions and gather data from various buildings and regions;
  • Develop thermodynamically precise models by incorporating the measurement of physical variables, such as refrigerant states (pressure and temperature);
  • Introduce advanced modeling approaches, such as nonlinear regression or machine learning-based models (e.g., neural networks, ensemble learning), to enhance model accuracy and predictive capability.
Such research directions will further enhance the reliability of chiller performance prediction models, contributing significantly to practical energy efficiency improvements and the development of effective maintenance strategies.

6. Conclusions

In this study, three years of operational data were collected from two centrifugal chillers operating in real-world conditions. After removing missing values and outliers, a correlation equation was derived with T 2 and T 3 as independent variables and COP as the dependent variable. Based on this, the COP of water-cooled chillers was predicted, and additionally, the COP under standard conditions was estimated and its error rate was evaluated. The key findings of this study are as follows:
Missing values were defined as instances where any of the following were not recorded: chilled water temperature, cooling water temperature, flow rate, or power consumption. These cases were removed from the dataset. Additionally, outliers were eliminated based on thermodynamic principles. Since the post-processed dataset consists of actual measured values without any adjustments, its reliability is significantly high. The data refinement process can be likened to sifting flour through a fine sieve to retain only the fine particles that pass through. Through this process, 89,091 missing values (75.2%) and 25,549 outliers (21.6%) were removed from the original dataset of 118,464 entries, leaving 3824 data points (chiller #1: 3236; chiller #2: 588).
Considering the operational characteristics of the facility, the remaining dataset was classified into daytime (09:00–21:00) and nighttime (21:00–09:00) data for each chiller. Regression analyses were performed separately for each dataset, using T 2 and T 3 as independent variables and COP as the dependent variable. During the regression analysis, residuals with the highest ε 2 were iteratively removed, leading to the derivation of final regression equations. The regression models demonstrated that COP increases as T 2 increases and decreases as T 3 increases, confirming that the analysis effectively reflects thermodynamic principles.
To validate the analysis results, key statistical indicators such as R 2 , CVRMSE, and p-values of regression coefficients were calculated for comparison with other regression models (SL, BQ, MP). Additionally, the predicted COP values under design and standard temperature conditions were compared with actual measured values, and error rates were evaluated. Furthermore, the error rates were examined for cases where T 2 and T 3 varied by ±1 °C, comparing these predictions with the COP values under design and standard temperature conditions.
The TRRM exhibited R 2 values exceeding 90% for all cases except chiller #2 daytime, where R 2 was 84%. Similarly, CVRMSE remained below 2% in all cases except chiller #2 daytime, where it was 4.16%. The p-value of all variables was below 0.05, except for the T 2 coefficient in chiller #2 daytime, confirming the statistical significance of the regression equations. Other regression models also demonstrated R 2 values mostly above 80%, CVRMSE values below 5%, and p-values below 0.05, further verifying the high reliability of the final dataset.
In comparing the predicted COP with the measured COP under design temperature conditions, the highest error rate was observed for chiller #2 nighttime at 16.4%, while the lowest error rate was recorded for chiller #2 daytime at 4.8%. Under standard temperature conditions, the highest error rate was 10.8% for chiller #1 daytime, while the lowest was 4.6% for chiller #2 daytime. Among the case studies, the following can be noted:
  • Case 1 showed the lowest error at 3.5% for chiller #1–2 daytime, while the highest error was 16.7% for chiller #1 nighttime;
  • Case 2 had the lowest error at 0.6% for chiller #2 daytime and the highest at 4.5% for chiller #1 daytime;
  • Case 3 exhibited an error rate of 3.7% for both chiller #1 and chiller #2;
  • Case 4 recorded an error of 0.4% for chiller #2 and 4.4% for chiller #1.
Additionally, all regression models demonstrated strong agreement between the predicted and measured COP values, further supporting the high reliability of the regression analysis.
Overall, the regression equations for chiller #2 in both daytime and nighttime exhibited the lowest error rates. However, the regression equation for chiller #1 in daytime also maintained an error rate below 5%, indicating high reliability. In contrast, the regression equation for chiller #1 nighttime exhibited an error rate of 16.7% in T 2 variation, suggesting that caution is needed when applying this model for predicting COP under standard conditions.
This study utilized the TRRM to predict the performance of water-cooled chillers using easily measurable T 2 and T 3 values in real-world applications. Furthermore, a framework was established for objectively and efficiently estimating COP under standard temperature conditions. The derived regression equations were designed to estimate chiller COP under standard conditions based solely on T 2 and T 3 . The findings of this study are expected to contribute to the efficiency assessment of water-cooled chillers, the development of maintenance strategies, and the formulation of energy-saving solutions.

Author Contributions

Conceptualization, S.W.K.; methodology, S.W.K.; experiment, S.W.K.; software, S.W.K., Y.I.K. and S.W.K.; verification, Y.I.K.; formal analysis, S.W.K.; investigation, S.W.K.; resources, S.W.K.; data Curation, S.W.K. and S.W.K.; writing—original draft preparation, S.W.K. and S.W.K.; writing—review and editing, Y.I.K.; visualization, S.W.K.; director, Y.I.K.; project management, Y.I.K.; funding, S.W.K. All authors have read and agreed to the published version of the manuscript.

Funding

This study was supported by the Research Program funded by Seoul National University of Science and Technology.

Data Availability Statement

The original contributions presented in the study are included in the article, further inquiries can be directed to the corresponding author.

Conflicts of Interest

The authors declare no conflicts of interest.

Nomenclature

COPCoefficient of performance (-)
COPaActual COP (-)
COPoNominal COP (-)
COPpPredicted daytime COP (-)
COPmMean COP (-)
C O P p ( T 2 + 1   ° C ) When   T 2 increases by 1 °C, the predicted COP (-)
C O P p ( T 3 + 1   ° C ) When   T 3 increases by 1 °C, the predicted COP (-)
TRRMThermo-regulated residual refinement regression model
EBEnergy balance (%)
SL modelSimple linear regression model
BQ modelBi-quadratic regression model
MP modelMultivariate polynomial regression model
BEMSBuilding energy management system
RSSResidual sum of squares
MSEMean squared error
RMSERoot mean square error
CVRMSECoefficient of variation of the root mean squared error
R 2 Coefficient of determination
R Q Heat transfer ratio (-)
R W Power consumption ratio (-)
R C O P COP ratio (-)
R V 1 Chilled water circulation flow ratio (-)
R V 3 Cooling water circulation flow ratio (-)
s Standard deviation
Q ˙ Rate of heat transfer (kW)
Q ˙ e Rate of heat transfer on the evaporator side (kW)
Q ˙ c Rate of heat transfer on the condenser side (kW)
Q ˙ a Actual heat transfer (kW)
Q ˙ o Nominal heat transfer (kW)
W ˙ c Power consumed by the compressor (kW)
W ˙ o Actual power consumption (kW)
W ˙ a Nominal power consumption (kW)
ρ Fluid density (kg/m3)
c p Specific heat of fluid (kJ/kg°C)
c w Specific heat of water (kJ/kg°C)
c b Specific heat of brine (kJ/kg°C)
V ˙ Volumetric flow rate (L/min)
V ˙ 1 Chilled water volumetric flow rate (L/min)
V ˙ 3 Cooling water volumetric flow rate (L/min)
V ˙ a 1 Actual chilled water circulation volumetric flow (L/min)
V ˙ o 1 Nominal chilled water circulation volumetric flow (L/min)
V ˙ a 3 Actual cooling water circulation volumetric flow (L/min)
V ˙ o 3 Nominal cooling water circulation volumetric flow (L/min)
T Fluid temperature difference (°C)
T 1 Chilled water inlet temperature (°C)
T 2 Chilled water outlet temperature (°C)
T 3 Cooling water inlet temperature (°C)
T 4 Cooling water outlet temperature (°C)
y Actual value (observed value)
y ^ Model’s estimated value (predicted value)
y ¯ Mean of the measured values
x Independent variables
β Regression coefficients
ε Estimation error (residuals)
n Number of data points
μ Mean of the data
W R Total uncertainty

References

  1. Korean Society of Air-Conditioning and Refrigerating Engineers (SAREK). Handbook of Air-Conditioning and Refrigeration, 4th ed.; SAREK: Seoul, Republic of Korea, 2007. [Google Scholar]
  2. Korean Meteorological Administration. 2023 Abnormal Climate Report; Korea Meteorological Administration: Daejeon, Republic of Korea, 2024.
  3. Kim, Y.I. Performance of a Water-Cooled Chiller by Controlling Chilled Water Exit Temperature. In Proceedings of the SAREK 2010 Summer Annual Conference, Pyeongchang, Republic of Korea, 23–25 June 2010; pp. 1136–1141. [Google Scholar]
  4. Shin, Y.G.; Chang, Y.S.; Kim, Y.I. Prediction of Vapor-Compressed Chiller Performance Using ANFIS Model. Trans. Korean Soc. Mech. Eng. B 2001, 89–95. [Google Scholar]
  5. Wang, H.D. A Steady-State Empirical Model for Evaluating Energy Efficient Performance of Centrifugal Water Chillers. Energy Build. 2017, 154, 415–429. [Google Scholar] [CrossRef]
  6. Tian, C.C.; Xing, Z.X.; Pan, X.; Tian, Y.F. A Method for COP Prediction of an On-Site Screw Chiller Applied in Cinema. Int. J. Refrig. 2019, 98, 459–467. [Google Scholar] [CrossRef]
  7. Lyu, Y.; Jin, X.Q.; Xue, Q.; Jia, Z.Y.; Du, Z.M. An Optimal Configuration Strategy of Multi-Chiller System Based on Overlap Analysis and Improved GA. Build. Environ. 2024, 266, 112117. [Google Scholar] [CrossRef]
  8. Ho, W.T.; Yu, F.W. Improved Model and Optimization for the Energy Performance of Chiller System with Diverse Component Staging. Energy 2021, 217, 119376. [Google Scholar] [CrossRef]
  9. Ho, W.T.; Yu, F.W. Predicting Chiller System Performance Using ARIMA-Regression Models. J. Build. Eng. 2021, 33, 101871. [Google Scholar] [CrossRef]
  10. Iguchi, K.; Nakayama, M.; Akisawa, A. Method for Estimating Optimum Cycle Time Based on Adsorption Chiller Parameters. Int. J. Refrig. 2019, 105, 66–71. [Google Scholar] [CrossRef]
  11. Nisa, E.C.; Kuan, Y.D. Comparative Assessment to Predict and Forecast Water-Cooled Chiller Power Consumption Using Machine Learning and Deep Learning Algorithms. Sustainability 2021, 13, 744. [Google Scholar] [CrossRef]
  12. Wang, H.D. Empirical Model for Evaluating Power Consumption of Centrifugal Chillers. Energy Build. 2017, 140, 359–370. [Google Scholar] [CrossRef]
  13. Lee, T.S.; Lu, W.C. An Evaluation of Empirically-Based Models for Predicting Energy Performance of Vapor-Compression Water Chillers. Appl. Energy 2010, 87, 3486–3493. [Google Scholar] [CrossRef]
  14. Hong, S.E. Refrigeration Engineering; Sejin Publishing: Seoul, Republic of Korea, 2018. [Google Scholar]
  15. Chang, Y.S.; Shin, Y.; Kim, Y.I.; Baik, Y.J. In-Situ Performance Analysis of Centrifugal Chiller According to Varying Conditions of Chilled and Cooling Water. Trans. Korean Soc. Mech. Eng. B 2002, 26, 482–490. [Google Scholar]
  16. Çengel, Y.A. Fundamentals of Thermal-Fluid Sciences, 5th ed.; McGraw Hill Education: New York, NY, USA, 2015; p. 253. [Google Scholar]
  17. Shin, Y.G.; Yang, H.C.; Tae, C.S.; Cho, S.; Kim, Y.I. In-Situ Measurement of Chiller Performance and Thermal Storage Density of an Ice Thermal Storage System. J. Korean Soc. Mech. Eng. 2005, 17, 1204–1209. [Google Scholar]
  18. Kim, C.D.; Lee, H.K.; Lee, Y.D.; Jeong, J.H. Performance Test of R134a Turbochiller—Part 1: Test Process. In Proceedings of the Summer Annual Conference of the Society of Air-Conditioning and Refrigerating Engineers of Korea, Pyeongchang, Republic of Korea, June 1999; pp. 1048–1053. Available online: https://www.auric.or.kr/user/search/site/sarek2016/doc_rdoc.asp?usernum=0&seid=&QU=R134a%20%C5%CD%BA%B8%B3%C3%B5%BF%B1%E2&PrimaryKey=59742&BrsDataBaseName=RDOC&DBNM=RD_R (accessed on 31 December 2024).
  19. Lee, D.B.; Jeong, S.K. State Equation Modeling for the Optimum Control of the Refrigeration Cycle. In Proceedings of the Society of Air-Conditioning and Refrigerating Engineers of Korea 2012 Winter Conference, Pyeongchang, Republic of Korea, November 2012; pp. 424–427. [Google Scholar]
  20. Reddy, T.A.; Andersen, K.K. An Evaluation of Classical Steady-State Off-Line Linear Parameter Estimation Methods Applied to Chiller Performance Data. HVAC Res. 2002, 8, 101–124. [Google Scholar] [CrossRef]
  21. Liu, P.L.; Chuang, B.S.; Lee, W.S.; Yeh, P.L. An Analytical Solution of the Optimal Chillers Operation Problems Based on ASHRAE Guideline 14. J. Build. Eng. 2022, 46, 103800. [Google Scholar] [CrossRef]
  22. Jiang, W.; Reddy, T.A. Reevaluation of the Gordon–Ng Performance Models for Water-Cooled Chillers. ASHRAE Trans. 2003, 109, 272–287. [Google Scholar]
  23. Sreedharan, P.; Haves, P. Comparison of Chiller Models for Use in Model-Based Fault Detection; LBNL-48149; Lawrence Berkeley National Laboratory: Austin, TX, USA, 2001.
  24. Swider, D.J. A Comparison of Empirically Based Steady-State Models for Vapor-Compression Liquid Chillers. Appl. Therm. Eng. 2003, 23, 539–552. [Google Scholar] [CrossRef]
  25. Yik, F.H.W.; Lam, V.K.C. Chiller Model for Plant Design Studies. Build. Serv. Eng. Res. Technol. 1998, 19, 233–247. [Google Scholar] [CrossRef]
  26. Reddy, T.A.; Niebur, D.; Andersen, K.K.; Pericolo, P.P.; Cabrera, G. Evaluation of the Suitability of Different Chiller Performance Models for On-Line Training Applied to Automated Fault Detection and Diagnosis. HVAC Res. 2003, 9, 385–408. [Google Scholar] [CrossRef]
  27. Department of Energy. DOE 2 Reference Manual, Part 1, Version 2.1; Lawrence Berkeley National Laboratories: Berkeley, CA, USA, 1980.
  28. Schurt, L.C.; Hermes, C.J.L.; Neto, A.T. A Model-Driven Multivariable Controller for Vapor Compression Refrigeration Systems. Int. J. Refrig. 2009, 32, 1672–1682. [Google Scholar] [CrossRef]
  29. Kim, H.; Park, C.; Lee, S. Detailed Analysis on Part Load Ratio Characteristics and Cooling Energy Saving of Chiller Staging in an Office Building under Korean Climatic Conditions. Energy Build. 2016, 127, 1012–1022. [Google Scholar]
  30. Palacios-Lorenzo, M.E.; Marcos, J.D. Analysis of Internal Heat Recovery Capability in Air-Cooled Indirect Fired GAX-Based Absorption Chiller in Part-Load Operation. Heliyon 2024, 10, e25656. [Google Scholar] [CrossRef] [PubMed]
  31. Wang, S.; Chen, Y. Online Chiller Loading Strategy Based on the Near-Optimal Performance Map for Energy Conservation. Energy Build. 2019, 183, 635–645. [Google Scholar] [CrossRef]
  32. ASHRAE. Guideline 14-2002. Measurement of Energy and Demand Savings; ASHRAE: Atlanta, GA, USA, 2002. [Google Scholar]
  33. Zhao, H.; Li, N.; Wang, S. Energy Performance Analysis of Multi-Chiller Cooling Systems for Data Centers. Build. Simul. 2022, 15, 789–802. [Google Scholar]
  34. Ho, W.T.; Yu, F.W. Chiller System Optimization Using k-Nearest Neighbour Regression. J. Clean. Prod. 2021, 303, 127050. [Google Scholar] [CrossRef]
  35. Jin, J.T.; Seok, Y.J.; Cho, H.J.; Choi, S.G.; Hwang, D.K. Design of Chilled Water Temperature Condition of Large Temperature Differential Chiller for Saving Building Energy. Korean J. Air-Cond. Refrig. Eng. 2023, 35, 90–98. [Google Scholar]
Figure 1. Measurement target: two water-cooled centrifugal chillers with ice thermal storage.
Figure 1. Measurement target: two water-cooled centrifugal chillers with ice thermal storage.
Sustainability 17 02196 g001
Figure 2. Schematic of a vapor compression water chiller.
Figure 2. Schematic of a vapor compression water chiller.
Sustainability 17 02196 g002
Figure 3. Schematic of the thermal storage system and its sensors for data logging.
Figure 3. Schematic of the thermal storage system and its sensors for data logging.
Sustainability 17 02196 g003
Figure 4. (a) Scatter plot of T 3 versus T 2 for chiller #1 using the initially collected 53,045 data points. (b) Scatter plot of T 3 versus T 2 for chiller #2 using the initially collected 53,058 data points.
Figure 4. (a) Scatter plot of T 3 versus T 2 for chiller #1 using the initially collected 53,045 data points. (b) Scatter plot of T 3 versus T 2 for chiller #2 using the initially collected 53,058 data points.
Sustainability 17 02196 g004
Figure 5. (a) Scatter plot of V ˙ 1 versus V ˙ 3 for chiller #1 using the initially collected 13,604 data points. (b) Scatter plot of V ˙ 1 versus V ˙ 3 for chiller #2 using the initially collected 16,593 data points.
Figure 5. (a) Scatter plot of V ˙ 1 versus V ˙ 3 for chiller #1 using the initially collected 13,604 data points. (b) Scatter plot of V ˙ 1 versus V ˙ 3 for chiller #2 using the initially collected 16,593 data points.
Sustainability 17 02196 g005
Figure 6. (a) Scatter plot of T 3 versus T 2 for chiller #1 using the initially collected 13,799 data points. (b) Scatter plot of T 3 versus T 2 for chiller #2 using the initially collected 13,799 data points.
Figure 6. (a) Scatter plot of T 3 versus T 2 for chiller #1 using the initially collected 13,799 data points. (b) Scatter plot of T 3 versus T 2 for chiller #2 using the initially collected 13,799 data points.
Sustainability 17 02196 g006
Figure 7. (a) Scatter plot of hourly R W for chiller #1 using the initially collected 53,045 data points. (b) Scatter plot of hourly R W for chiller #1 using the initially collected 53,058 data points.
Figure 7. (a) Scatter plot of hourly R W for chiller #1 using the initially collected 53,045 data points. (b) Scatter plot of hourly R W for chiller #1 using the initially collected 53,058 data points.
Sustainability 17 02196 g007
Figure 8. (a) Comparison of T 2 data before and after preprocessing for chiller #1. (b) Comparison of T 3 data before and after preprocessing for chiller #1.
Figure 8. (a) Comparison of T 2 data before and after preprocessing for chiller #1. (b) Comparison of T 3 data before and after preprocessing for chiller #1.
Sustainability 17 02196 g008
Figure 9. (a) Comparison of T 2 data before and after preprocessing for chiller #2. (b) Comparison of T 3 data before and after preprocessing for chiller #2.
Figure 9. (a) Comparison of T 2 data before and after preprocessing for chiller #2. (b) Comparison of T 3 data before and after preprocessing for chiller #2.
Sustainability 17 02196 g009
Figure 10. (a) Scatter plot of R Q as a function of T 2 for daytime data (551 points) of chiller #1. (b) Scatter plot of R Q as a function of T 2 for daytime data (159 points) of chiller #2.
Figure 10. (a) Scatter plot of R Q as a function of T 2 for daytime data (551 points) of chiller #1. (b) Scatter plot of R Q as a function of T 2 for daytime data (159 points) of chiller #2.
Sustainability 17 02196 g010
Figure 11. (a) Scatter plot of R Q as a function of T 2 for nighttime data (2685 points) of chiller #1. (b) Scatter plot of R Q as a function of T 2 for nighttime data (429 points) of chiller #2.
Figure 11. (a) Scatter plot of R Q as a function of T 2 for nighttime data (2685 points) of chiller #1. (b) Scatter plot of R Q as a function of T 2 for nighttime data (429 points) of chiller #2.
Sustainability 17 02196 g011
Figure 12. (a) Scatter plot of R Q as a function of T 3 for daytime data (551 points) of chiller #1. (b) Scatter plot of R Q as a function of T 3 for daytime data (159 points) of chiller #2.
Figure 12. (a) Scatter plot of R Q as a function of T 3 for daytime data (551 points) of chiller #1. (b) Scatter plot of R Q as a function of T 3 for daytime data (159 points) of chiller #2.
Sustainability 17 02196 g012
Figure 13. (a) Scatter plot of R Q as a function of T 3 for nighttime data (2685 points) chiller #1. (b) Scatter plot of R Q as a function of T 3 for nighttime data (429 points) chiller #2.
Figure 13. (a) Scatter plot of R Q as a function of T 3 for nighttime data (2685 points) chiller #1. (b) Scatter plot of R Q as a function of T 3 for nighttime data (429 points) chiller #2.
Sustainability 17 02196 g013
Figure 14. (a) Scatter plot of R C O P as a function of T 2 for daytime data (551 points) of chiller #1. (b) Scatter plot of R C O P as a function of T 2 for daytime data (159 points) of chiller #2.
Figure 14. (a) Scatter plot of R C O P as a function of T 2 for daytime data (551 points) of chiller #1. (b) Scatter plot of R C O P as a function of T 2 for daytime data (159 points) of chiller #2.
Sustainability 17 02196 g014
Figure 15. (a) Scatter plot of R C O P as a function of T 2 for nighttime data (2685 points) of chiller #1. (b) Scatter plot of R C O P as a function of T 2 for nighttime data (429 points) of chiller #2.
Figure 15. (a) Scatter plot of R C O P as a function of T 2 for nighttime data (2685 points) of chiller #1. (b) Scatter plot of R C O P as a function of T 2 for nighttime data (429 points) of chiller #2.
Sustainability 17 02196 g015
Figure 16. (a) Scatter plot of R C O P as a function of T 3 for daytime data (551 points) chiller #1. (b) Scatter plot of R C O P as a function of T 3 for daytime data (159 points) chiller #2.
Figure 16. (a) Scatter plot of R C O P as a function of T 3 for daytime data (551 points) chiller #1. (b) Scatter plot of R C O P as a function of T 3 for daytime data (159 points) chiller #2.
Sustainability 17 02196 g016
Figure 17. (a) Scatter plot of R C O P as a function of T 3 for nighttime data (2685 points) chiller #1. (b) Scatter plot of R C O P as a function of T 3 for nighttime data (429 points) chiller #2.
Figure 17. (a) Scatter plot of R C O P as a function of T 3 for nighttime data (2685 points) chiller #1. (b) Scatter plot of R C O P as a function of T 3 for nighttime data (429 points) chiller #2.
Sustainability 17 02196 g017
Figure 18. (a) Scatter plot of R C O P as a function of T 2 for daytime data (100 points) of chiller #1. (b) Scatter plot of R C O P as a function of T 2 for daytime data (50 points) of chiller #2.
Figure 18. (a) Scatter plot of R C O P as a function of T 2 for daytime data (100 points) of chiller #1. (b) Scatter plot of R C O P as a function of T 2 for daytime data (50 points) of chiller #2.
Sustainability 17 02196 g018
Figure 19. (a) Scatter plot of R C O P as a function of T 2 for nighttime data (500 points) of chiller #1. (b) Scatter plot of R C O P as a function of T 2 for nighttime data (127 points) of chiller #2.
Figure 19. (a) Scatter plot of R C O P as a function of T 2 for nighttime data (500 points) of chiller #1. (b) Scatter plot of R C O P as a function of T 2 for nighttime data (127 points) of chiller #2.
Sustainability 17 02196 g019
Figure 20. (a) Scatter plot of R C O P as a function of T 3 for daytime data (100 points) chiller #1. (b) Scatter plot of R C O P as a function of T 3 for daytime data (50 points) chiller #2.
Figure 20. (a) Scatter plot of R C O P as a function of T 3 for daytime data (100 points) chiller #1. (b) Scatter plot of R C O P as a function of T 3 for daytime data (50 points) chiller #2.
Sustainability 17 02196 g020
Figure 21. (a) Scatter plot of R C O P as a function of T 3 for nighttime data (500 points) chiller #1. (b) Scatter plot of R C O P as a function of T 3 for nighttime data (127 points) chiller #2.
Figure 21. (a) Scatter plot of R C O P as a function of T 3 for nighttime data (500 points) chiller #1. (b) Scatter plot of R C O P as a function of T 3 for nighttime data (127 points) chiller #2.
Sustainability 17 02196 g021
Figure 22. (a) Comparison between measured and predicted COP for chiller #1 during daytime. (b) Comparison between measured and predicted COP for chiller #2 during daytime.
Figure 22. (a) Comparison between measured and predicted COP for chiller #1 during daytime. (b) Comparison between measured and predicted COP for chiller #2 during daytime.
Sustainability 17 02196 g022
Figure 23. (a) Comparison between measured and predicted COP for chiller #1 during nighttime. (b) Comparison between measured and predicted COP for chiller #2 during nighttime.
Figure 23. (a) Comparison between measured and predicted COP for chiller #1 during nighttime. (b) Comparison between measured and predicted COP for chiller #2 during nighttime.
Sustainability 17 02196 g023
Table 1. Types and characteristics of measuring instruments.
Table 1. Types and characteristics of measuring instruments.
CategoryUltrasonic Flow
Meter
Temperature SensorAC Power Meter
ManufacturerAutoFLOHankyung electricBMT
ModelAUDS-100MNT-320GGEMS3512
Measurement
principle
Transit timeInsertion typeCT or Rogowski coil
Measurement range±0.02~15 m/s−50~150 °C0~415 VAC
Error±1%±0.5%±0.5%
Table 2. Design conditions and standard temperature conditions.
Table 2. Design conditions and standard temperature conditions.
CategoryDaytimeNighttime
Design ConditionsStandard ConditionsDesign ConditionsStandard Conditions
T 1 (°C)1212−0.76-
T 2 (°C)6.97−4.5-
T 3 (°C)313230-
T 4 (°C)363733.8-
V ˙ 1 (L/min)4736-4878-
V ˙ 3 (L/min)5196-5352-
W ˙ c (kW)286.3-268-
Q ˙ e (kW)1583-1161-
COP5.54-4.32-
Table 3. Initially collected parameter ranges and total datasets of chillers #1–2.
Table 3. Initially collected parameter ranges and total datasets of chillers #1–2.
ParametersChiller #1Chiller #2
59,232 (710) Datasets59,232 (3114) Datasets
MinMeanMaxMinMeanMax
T 1 (°C)−3.7 (2.6)5.1 (9.8)25.1 (14.9)−3.7 (−3.6)5.4 (−2.2)25.3 (3.8)
T 2 (°C)−5.1 (0.1)4.2 (5.8)25.7 (11.7)−5.6 (−5.4)4.1 (−4.4)25.5 (−0.1)
T 3 (°C)17.4 (23.4)25.2 (28.4)30.9 (30.8)18 (21.8)25.4 (26.5)31.1 (28.7)
T 4 (°C)17.7 (27.6)26.2 (32.7)35.6 (35.3)18.6 (24.4)26.2 (29.1)35.6 (32.3)
V ˙ 1 (L/min)70 (3495)4421 (4806)188,598 (8930)3903 (2930)4468 (4619)179,800 (6070)
V ˙ 3 (L/min)66 (3846)5178 (5472)226,200 (10,164)4020 (4188)5010 (5502)207,067 (6936)
W ˙ c (kW)1.0 (90)146.4 (318)11,284 (537)1.0 (46)149.3 (300)14,801 (459)
Q ˙ e (kW)−575.9721.23569.6−922.7905.224,849.4
COPa130.2 (1.63)18.7 (4.50)1979.2 (10.97)−288.9 (10.97)24.6 (1.11)24,849.4 (2.70)
Table 4. Data preprocessing.
Table 4. Data preprocessing.
CategoryInitial Data
Collection
Removed Data Containing Missing Values and OutliersRemoved Data with Energy
Balance Error (±5%)
Used DataDaytime Data (9:00–21:00)Nighttime Data (21:00–9:00)
Chiller #159,23245,95710,03932365512685
Chiller #259,23243,13415,510588159429
Total118,46489,09125,54938247103114
Table 5. Parameter ranges and total datasets of chillers #1–2 (after TRRM completion).
Table 5. Parameter ranges and total datasets of chillers #1–2 (after TRRM completion).
ParametersChiller #1 Chiller #2
100 Datasets500 Datasets50 Datasets127 Datasets
DaytimeNighttimeDaytimeNighttime
MinMeanMaxMinMeanMaxMinMeanMaxMinMeanMax
T 1 (°C)3.49.812.8−3.5−2.41.63.29.412.7−3.2−2.03.8
T 2 (°C)0.15.58.7−5.0−4.6−2.10.15.29.9−5.4−4.6−0.2
T 3 (°C)24.928.230.423.326.628.524.428.430.324.327.028.6
T 4 (°C)29.532.735.225.329.332.027.932.534.826.929.732.1
V ˙ 1 (L/min)367050565534393248525266406650215534439851155400
V ˙ 3 (L/min)373255986066466856586468447053645802507056825868
W ˙ c (kW)222.0408.1456.0250.0341.9441.098.0205.94225.0140.0179.5222.0
Q ˙ e (kW)858.21359.91590.8454.6693.461286.5801.41407.21718.1720.7903.01356.0
Q ˙ c (kW)1040.31740.12028.8715.21036.41667.0902.51568.11877.2829.11044.91517.7
COPa2.693.334.031.792.022.955.176.818.414.655.016.11
COPTRRM,p2.783.333.941.832.022.885.536.818.104.705.016.03
COPSL,p2.763.333.901.812.022.845.476.817.794.695.016.02
COPBQ,p2.973.323.611.872.022.935.666.808.264.685.016.10
COPMP,p2.783.333.991.822.022.955.476.818.454.715.016.07
Table 6. Coefficient COP correlation.
Table 6. Coefficient COP correlation.
ParameterCoefficient
Chiller #1Chiller #2
DaytimeNighttimeDaytimeNighttime
TRRM β 0 Coefficient6.4844.5756.6018.604
p-value9.79 × 10⁻640.00008.29 × 10⁻⁹5.26×10−70
β 1 Coefficient0.1110.3170.2530.182
p-value8.33 × 10⁻641.42 × 10⁻2591.52 × 10⁻186.44 × 10−67
β 2 Coefficient−0.134−0.041−0.039−0.120
p-value8.16 × 10⁻424.27 × 10⁻1030.26463.71 × 10−28
R 2 0.9460.9160.8400.915
CVRMSE1.93%1.90%4.16%1.74%
SL β 0 Coefficient6.1593.6066.25398.7983
p-value1.29 × 10⁻603.95 × 10⁻2228.89 × 10−83.16 × 10−59
β 1 Coefficient−0.0002−0.000088−0.00014−0.000149
p-value9.87 × 10⁻50.02720.6110.2753
β 2 Coefficient0.1100.19870.23020.1952
p-value3.10 × 10⁻552.53 × 10⁻1133.65 × 10⁻134.15 × 10−30
β 3 Coefficient0.130−0.0390−0.0496−0.1209
p-value1.08 × 10⁻391.96 × 10⁻740.2073.89 × 10−28
R 2 0.9460.8790.8270.916
CVRMSE1.94%2.27%4.50%1.74%
BQ β 0 Coefficient65.63029.481475.849−18.8377
p-value0.46790.16880.034>0.4
β 1 Coefficient−50,250.208−11,452.88−0.02839906.8719
p-value0.36970.12560.038>0.4
β 2 Coefficient−0.022−0.0196−5.27660.0086
p-value0.54110.19820.042>0.4
β 3 Coefficient3750.860897.23−48,198.0345−738.8523
p-value0.35660.11720.031>0.4
β 4 Coefficient−70.242−17.593378.422513.6068
p-value0.34120.10800.038>0.4
β 5 Coefficient−4.93−2.27−59.30911.4089
p-value0.45240.16570.046>0.4
β 6 Coefficient0.00170.001520.00197−0.0006
p-value0.52110.19180.047>0.4
β 7 Coefficient0.09360.04480.0922−0.0256
p-value0.43160.15220.050>0.4
β 8 Coefficient−0.000032−0.00003−0.00003420.000011
p-value0.49710.17920.056>0.4
R 2 0.4760.7060.7810.857
CVRMSE6.51%3.17%5.72%2.13%
MP β 0 Coefficient12.725.5581.64552.5429
p-value0.0000070.0001040.8815>0.16
β 1 Coefficient−0.0007860.00250−0.0035200.0087
p-value0.41390.07680.2947>0.16
β 2 Coefficient0.1971−0.0339−0.2371−0.8841
p-value0.00910.85710.4988>0.16
β 3 Coefficient−0.6165−0.28760.4633−0.0519
p-value0.00120.00030.5859>0.16
β 4 Coefficient8.69 × 10⁻77.73 × 10⁻80.000007679−0.000002
p-value0.00030.88800.00000001909>0.16
β 5 Coefficient0.004380.02190.009683−0.0152
p-value0.00090.00470.09659>0.16
β 6 Coefficient0.010660.00674−0.0044420.0015
p-value0.00180.0000010.7884>0.16
β 7 Coefficient−3.08 × 10⁻5−8.83 × 10⁻5−0.00057800.0005
p-value0.12520.48060.0000008350>0.16
β 8 Coefficient−4.61 × 10⁻5−1.04 × 10⁻4−0.0003702−0.0001
p-value0.12680.00190.02270>0.16
β 9 Coefficient−0.004530.01350.033360.0190
p-value0.08760.01290.03521>0.16
R 2 0.9630.8940.9420.922
CVRMSE1.66%2.15%2.79%1.72%
Table 7. Summary of regression analysis results for daytime data.
Table 7. Summary of regression analysis results for daytime data.
CategoryDaytimeNighttime
Design ConditionsStandard ConditionsDesign Conditions
Design
Temp’
2 Case 1
( T 2 + 1   ° C )
3 Case 2
( T 3 + 1   ° C )
Standard
Temp’
4 Case 3
( T 2 + 1   ° C )
5 Case 4
( T 3 + 1   ° C )
Design
Temp’
2 Case 1
( T 2 + 1   ° C )
3 Case 2
( T 3 + 1   ° C )
T 2 (°C)6.97.96.9787−4.5−3.5−4.5
T 3 (°C)313132323233303031
Chiller #11 COPp3.103.212.962.973.082.841.922.241.88
E r r o r (%)−6.9%--−10.8%--−5.0%--
E r r o r T 2 (%)-3.5%--3.7%--16.7%-
E r r o r T 3 (%)--−4.5%--−4.4%--−2.1%
Chiller #21 COPp7.147.397.107.127.387.094.194.374.07
E r r o r (%)4.8%--4.6%--−16.4%--
E r r o r T 2 (%)-3.5% -3.7%--4.3%-
E r r o r T 3 (%)--−0.6%--−0.4%--−2.9%
1 COPp: Predicted COP calculated by substituting T 2 , T 3 into Equations (21)–(24); 2 Case 1: When T 2 in the design conditions is increased by +1 °C; 3 Case 2: When T 3 in the design conditions is increased by +1 °C; 4 Case 3: When T 2 in the standard temperature conditions is increased by +1 °C; 5 Case 4: When T 3 in the standard temperature conditions is increased by +1 °C.
Disclaimer/Publisher’s Note: The statements, opinions and data contained in all publications are solely those of the individual author(s) and contributor(s) and not of MDPI and/or the editor(s). MDPI and/or the editor(s) disclaim responsibility for any injury to people or property resulting from any ideas, methods, instructions or products referred to in the content.

Share and Cite

MDPI and ACS Style

Kim, S.W.; Kim, Y.I. Performance Prediction of a Water-Cooled Centrifugal Chiller in Standard Temperature Conditions Using In-Situ Measurement Data. Sustainability 2025, 17, 2196. https://doi.org/10.3390/su17052196

AMA Style

Kim SW, Kim YI. Performance Prediction of a Water-Cooled Centrifugal Chiller in Standard Temperature Conditions Using In-Situ Measurement Data. Sustainability. 2025; 17(5):2196. https://doi.org/10.3390/su17052196

Chicago/Turabian Style

Kim, Sung Won, and Young Il Kim. 2025. "Performance Prediction of a Water-Cooled Centrifugal Chiller in Standard Temperature Conditions Using In-Situ Measurement Data" Sustainability 17, no. 5: 2196. https://doi.org/10.3390/su17052196

APA Style

Kim, S. W., & Kim, Y. I. (2025). Performance Prediction of a Water-Cooled Centrifugal Chiller in Standard Temperature Conditions Using In-Situ Measurement Data. Sustainability, 17(5), 2196. https://doi.org/10.3390/su17052196

Note that from the first issue of 2016, this journal uses article numbers instead of page numbers. See further details here.

Article Metrics

Back to TopTop