Grazing Intensity Accelerates Surface Soil C and N Cycling in Alpine Pastures as Revealed by Soil Genes and δ15N Ratio
Abstract
1. Introduction
2. Materials and Methods
2.1. Study Area
2.2. Soil Sampling and Analysis
2.3. Molecular Analysis
2.4. Statistical Analysis
3. Results
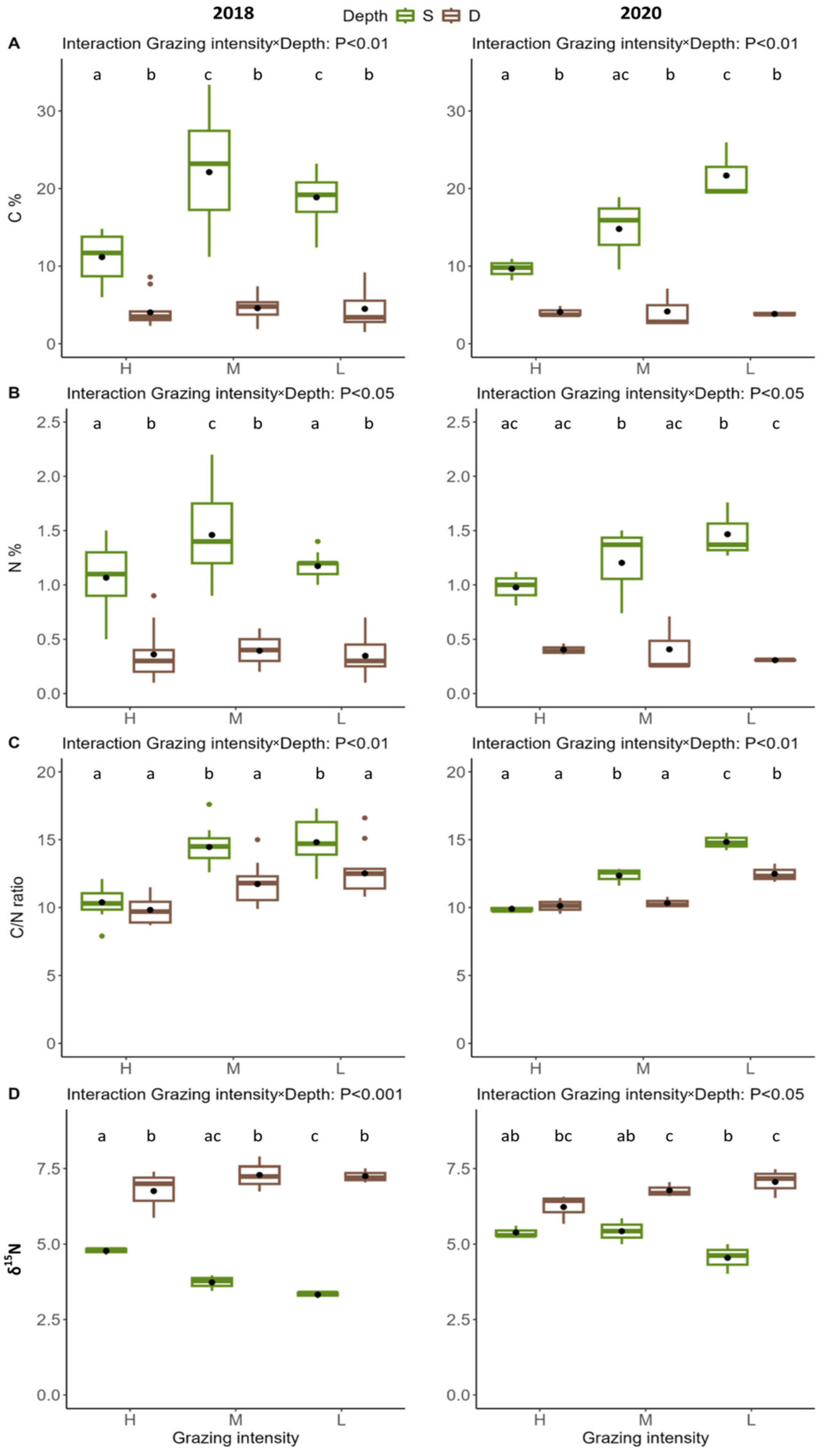
3.1. Bulk Density, C and N Concentration, N Pool, and δ15N Content
3.2. Nitrogen Genes Content Analysis
4. Discussion
4.1. General Aspects and Baseline Knowledge
4.2. Macro-Nutrient Chemistry
4.3. N Isotopic Analyses
4.4. Bacterial Gene Abundance
5. Conclusions
Supplementary Materials
Author Contributions
Funding
Institutional Review Board Statement
Informed Consent Statement
Data Availability Statement
Acknowledgments
Conflicts of Interest
References
- Bai, Y.; Cotrufo, M.F. Grassland soil carbon sequestration: Current understanding, challenges, and solutions. Science 2022, 377, 603–608. [Google Scholar] [CrossRef] [PubMed]
- Staerfl, S.M.; Zeitz, J.O.; Kreuzer, M.; Soliva, C.R. Methane conversion rate of bulls fattened on grass or maize silage as compared with the IPCC default values, and the long-term methane mitigation efficiency of adding acacia tannin, garlic, maca, and lupine. Agric. Ecosyst. Environ. 2012, 148, 111–120. [Google Scholar] [CrossRef]
- Jérôme, E.; Beckers, Y.; Bodson, B.; Heinesch, B.; Moureaux, C.; Aubinet, M. Impact of grazing on carbon dioxide exchanges in an intensively managed Belgian grassland. Agric. Ecosyst. Environ. 2014, 194, 7–16. [Google Scholar] [CrossRef]
- Lal, R. Soil carbon dynamics in cropland and rangeland. Environ. Pollut. 2002, 116, 353–362. [Google Scholar] [CrossRef]
- Zhou, G.; Zhou, X.; He, Y.; Shao, J. Grazing intensity significantly affects belowground carbon and nitrogen cycling in grassland ecosystems: A meta-analysis. Glob. Change Biol. 2017, 23, 1167–1179. [Google Scholar] [CrossRef] [PubMed]
- Rossignol, N.; Bonis, A.; Bouzillé, J.B. Consequence of grazing pattern and vegetation structure on the spatial variations of net N mineralisation in a wet grassland. Appl. Soil Ecol. 2006, 31, 62–72. [Google Scholar] [CrossRef]
- Szpak, P. Complexities of nitrogen isotope biogeochemistry in plant-soil systems: Implications for the study of ancient agricultural and animal management practices. Front. Plant Sci. 2014, 5, 288. [Google Scholar] [CrossRef] [PubMed]
- Bardgett, R.D.; Wardle, D.A. Herbivore-mediated linkages between aboveground and belowground communities. Ecology 2003, 84, 2258–2268. [Google Scholar] [CrossRef]
- Hooper, D.U.; Chapin, F.S., III; Ewel, J.J.; Hector, A.; Inchausti, P.; Lavorel, S.; Lawton, J.H.; Lodge, D.M.; Loreau, M.; Naeem, S.; et al. Effects of biodiversity on ecosystem functioning: A consensus of current knowledge. Ecol. Monogr. 2005, 75, 3–35. [Google Scholar] [CrossRef]
- Olofsson, J.; Kitti, H.; Rautiainen, P.; Stark, S.; Oksanen, L. Effects of summer grazing by reindeer on composition of vegetation, productivity and nitrogen cycling. Ecography 2001, 24, 13–24. [Google Scholar] [CrossRef]
- Singer, F.J.; Schoenecker, K.A. Do ungulates accelerate or decelerate nitrogen cycling? For. Ecol. Manag. 2003, 181, 189–204. [Google Scholar] [CrossRef]
- Zhang, W.; Qiao, W.; Gao, D.; Dai, Y.; Deng, J.; Yang, G.; Han, X.; Ren, G. Relationship between soil nutrient properties and biological activities along a restoration chronosequence of Pinus tabulaeformis plantation forests in the Ziwuling Mountains, China. Catena 2018, 161, 85–95. [Google Scholar] [CrossRef]
- Yin, M.; Gao, X.; Tenuta, M.; Li, L.; Gui, D.; Li, X.; Zeng, F. Enhancement of N₂O emissions by grazing is related to soil physicochemical characteristics rather than nitrifier and denitrifier abundances in alpine grassland. Geoderma 2020, 375, 114511. [Google Scholar] [CrossRef]
- Qu, T.; Du, W.; Yuan, X.; Yang, Z.; Liu, D.; Wang, D.; Yu, L. Impacts of grazing intensity and plant community composition on soil bacterial community diversity in a steppe grassland. PLoS ONE 2016, 11, e0159680. [Google Scholar] [CrossRef] [PubMed]
- Stark, S.; Grellmann, D. Soil microbial responses to herbivory in an arctic tundra heath at two levels of nutrient availability. Ecology 2002, 83, 2736–2744. [Google Scholar] [CrossRef]
- Schimel, J.P.; Schaeffer, S.M. Microbial control over carbon cycling in soil. Front. Microbiol. 2012, 3, 348. [Google Scholar] [CrossRef] [PubMed]
- McSherry, M.E.; Ritchie, M.E. Effects of grazing on grassland soil carbon: A global review. Glob. Change Biol. 2013, 19, 1347–1357. [Google Scholar] [CrossRef] [PubMed]
- Cotrufo, M.F.; Ranalli, M.G.; Haddix, M.L.; Six, J.; Lugato, E. Soil carbon storage informed by particulate and mineral-associated organic matter. Nat. Geosci. 2019, 12, 989–994. [Google Scholar] [CrossRef]
- Kleinebecker, T.; Hölzel, N.; Prati, D.; Schmitt, B.; Fischer, M.; Klaus, V.H. Evidence from the real world: ¹⁵N natural abundances reveal enhanced nitrogen use at high plant diversity in Central European grasslands. J. Ecol. 2014, 102, 456–465. [Google Scholar] [CrossRef]
- Stark, S.; Männistö, M.K.; Eskelinen, A. When do grazers accelerate or decelerate soil carbon and nitrogen cycling in tundra? A test of theory on grazing effects in fertile and infertile habitats. Oikos 2015, 124, 593–602. [Google Scholar] [CrossRef]
- Coetsee, C.; Stock, W.D.; Craine, J.M. Do grazers alter nitrogen dynamics on grazing lawns in a South African savannah? Afr. J. Ecol. 2011, 49, 62–69. [Google Scholar] [CrossRef]
- Frank, D.A.; Evans, R.D.; Tracy, B.F. The role of ammonia volatilization in controlling the natural ¹⁵N abundance of a grazed grassland. Biogeochemistry 2004, 68, 169–178. [Google Scholar] [CrossRef]
- Wu, T.-X.; Huang, J.-H. Effects of grazing on the δ¹⁵N values of foliage and soil in a typical steppe ecosystem in Inner Mongolia, China. Chin. J. Plant Ecol. 2010, 34, 160–169. [Google Scholar] [CrossRef]
- Xu, Y.; He, J.; Cheng, W.; Xing, X.; Li, L. Natural ¹⁵N abundance in soils and plants in relation to N cycling in a rangeland in Inner Mongolia. J. Plant Ecol. 2010, 3, 201–207. [Google Scholar] [CrossRef]
- An, H.; Li, G. Effects of grazing on carbon and nitrogen in plants and soils in a semiarid desert grassland, China. J. Arid Land. 2015, 7, 341–349. [Google Scholar] [CrossRef]
- Dong, S.; Li, Y.; Ganjurjav, H.; Gao, Q.; Gao, X.; Zhang, J.; Li, S. Grazing promoted soil microbial functional genes for regulating C and N cycling in alpine meadow of the Qinghai-Tibetan Plateau. Agric. Ecosyst. Environ. 2020, 303, 107111. [Google Scholar] [CrossRef]
- Louca, S.; Polz, M.F.; Mazel, F.; Albright, M.B.; Huber, J.A.; O’Connor, M.I.; Ackermann, M.; Hahn, A.S.; Srivastava, D.S.; Crowe, S.A.; et al. Function and functional redundancy in microbial systems. Nat. Ecol. Evol. 2018, 2, 936–943. [Google Scholar] [CrossRef] [PubMed]
- Rocca, J.D.; Hall, E.K.; Lennon, J.T.; Evans, S.E.; Waldrop, M.P.; Cotner, J.B.; Nemergut, D.R.; Graham, E.B.; Wallenstein, M.D. Relationships between protein-encoding gene abundance and corresponding process are commonly assumed yet rarely observed. ISME J. 2015, 9, 1693–1699. [Google Scholar] [CrossRef]
- Pereira, P.; Bogunovic, I.; Muñoz-Rojas, M.; Brevik, E.C. Soil ecosystem services, sustainability, valuation and management. Curr. Opin. Environ. Sci. Health 2018, 5, 7–13. [Google Scholar] [CrossRef]
- Lindsay, E.A.; Colloff, M.J.; Gibb, N.L.; Wakelin, S.A. The abundance of microbial functional genes in grassy woodlands is influenced more by soil nutrient enrichment than by recent weed invasion or livestock exclusion. Appl. Environ. Microbiol. 2010, 76, 5547–5555. [Google Scholar] [CrossRef] [PubMed]
- Wallenstein, M.D.; Vilgalys, R.J. Quantitative analyses of nitrogen cycling genes in soils. Pedobiologia 2005, 49, 665–672. [Google Scholar] [CrossRef]
- Pauleta, S.R.; Dell’Acqua, S.; Moura, I. Nitrous oxide reductase. Coord. Chem. Rev. 2013, 257, 332–349. [Google Scholar] [CrossRef]
- Liu, B.; Mørkved, P.T.; Frostegård, Å.; Bakken, L.R. Denitrification gene pools, transcription and kinetics of NO, N₂O and N₂ production as affected by soil pH. FEMS Microbiol. Ecol. 2010, 72, 407–417. [Google Scholar] [CrossRef]
- Saarenheimo, J.; Rissanen, A.J.; Arvola, L.; Nykänen, H.; Lehmann, M.F.; Tiirola, M. Genetic and environmental controls on nitrous oxide accumulation in lakes. PLoS ONE 2015, 10, e0121201. [Google Scholar] [CrossRef]
- De Boer, W.; Kowalchuk, G.A. Nitrification in acid soils: Micro-organisms and mechanisms. Soil Biol. Biochem. 2001, 33, 853–866. [Google Scholar] [CrossRef]
- Di, H.J.; Cameron, K.C. Ammonia oxidisers and their inhibition to reduce nitrogen losses in grazed grassland: A review. J. R. Soc. N. Z. 2018, 48, 127–142. [Google Scholar] [CrossRef]
- Wrage-Mönnig, N.; Horn, M.A.; Well, R.; Müller, C.; Velthof, G.; Oenema, O. The role of nitrifier denitrification in the production of nitrous oxide revisited. Soil Biol. Biochem. 2018, 123, A3–A16. [Google Scholar] [CrossRef]
- Rösch, C.; Mergel, A.; Bothe, H. Biodiversity of denitrifying and dinitrogen-fixing bacteria in an acid forest soil. Appl. Environ. Microbiol. 2002, 68, 3818–3829. [Google Scholar] [CrossRef] [PubMed]
- Henry, S.; Baudoin, E.; López-Gutiérrez, J.C.; Martin-Laurent, F.; Brauman, A.; Philippot, L. Quantification of denitrifying bacteria in soils by nirK gene targeted real-time PCR. J. Microbiol. Methods 2004, 59, 327–335. [Google Scholar] [CrossRef] [PubMed]
- Morales, S.E.; Cosart, T.; Holben, W.E. Bacterial gene abundances as indicators of greenhouse gas emission in soils. ISME J. 2010, 4, 799–808. [Google Scholar] [CrossRef] [PubMed]
- Jones, C.M.; Spor, A.; Brennan, F.P.; Breuil, M.C.; Bru, D.; Lemanceau, P.; Griffiths, B.; Hallin, S.; Philippot, L. Recently identified microbial guild mediates soil N2O sink capacity. Nat. Clim. Change 2014, 4, 801–805. [Google Scholar] [CrossRef]
- Verhamme, D.T.; Prosser, J.I.; Nicol, G.W. Ammonia concentration determines differential growth of ammonia-oxidising archaea and bacteria in soil microcosms. ISME J. 2011, 5, 1067–1071. [Google Scholar] [CrossRef]
- Yang, Y.; Gao, Y.; Wang, S.; Xu, D.; Yu, H.; Wu, L.; Lin, Q.; Hu, Y.; Li, X.; He, Z.; et al. The microbial gene diversity along an elevation gradient of the Tibetan grassland. ISME J. 2014, 8, 430–440. [Google Scholar] [CrossRef] [PubMed]
- Wakelin, S.A.; Gregg, A.L.; Simpson, R.J.; Li, G.D.; Riley, I.T.; McKay, A.C. Pasture management clearly affects soil microbial community structure and N-cycling bacteria. Pedobiologia 2009, 52, 237–251. [Google Scholar] [CrossRef]
- Beule, L.; Corre, M.D.; Schmidt, M.; Göbel, L.; Veldkamp, E.; Karlovsky, P. Conversion of monoculture cropland and open grassland to agroforestry alters the abundance of soil bacteria, fungi, and soil-N-cycling genes. PLoS ONE 2019, 14, e0218779. [Google Scholar] [CrossRef] [PubMed]
- Colloff, M.J.; Wakelin, S.A.; Gomez, D.; Rogers, S.L. Detection of nitrogen cycle genes in soils for measuring the effects of changes in land use and management. Soil Biol. Biochem. 2008, 40, 1637–1645. [Google Scholar] [CrossRef]
- Raniolo, S.; Maretto, L.; del Rio, E.B.; Cournut, S.; Cremilleux, M.; Nowak, B.; Michaud, A.; Lind, V.; Stevanato, P.; Squartini, A.; et al. Soil pH dominance over livestock management in determining bacterial assemblages through a latitudinal gradient of European meadows and pastures. Ecol. Indic. 2023, 155, 111063. [Google Scholar] [CrossRef]
- Tattoni, C.; Ciolli, M.; Ferretti, F.; Cantiani, M.G. Monitoring spatial and temporal pattern of Paneveggio forest (Northern Italy) from 1859 to 2006. iForest 2010, 3, 72–80. [Google Scholar] [CrossRef]
- Raniolo, S.; Sturaro, E.; Ramanzin, M. Human choices, slope, and vegetation productivity determine patterns of traditional alpine summer grazing. Ital. J. Anim. Sci. 2022, 21, 1126–1139. [Google Scholar] [CrossRef]
- Zanella, A.; Tattoni, C.; Ciolli, M. Studio della variazione temporale della quantità e qualità del bestiame nel Parco di Paneveggio Pale di San Martino e influenza sui cambiamenti del paesaggio forestale. Dendronatura 2010, 1, 24–33. [Google Scholar]
- Mueller, C.W.; Koegel-Knabner, I. Soil organic carbon stocks, distribution, and composition affected by historic land use changes on adjacent sites. Biol. Fertil. Soils 2009, 45, 347–359. [Google Scholar] [CrossRef]
- Jurgensen, M.F.; Page-Dumroese, D.S.; Brown, R.E.; Tirocke, J.M.; Miller, C.A.; Pickens, J.B.; Wang, M. Estimating carbon and nitrogen pools in a forest soil: Influence of soil bulk density methods and rock content. Soil Sci. Soc. Am. J. 2017, 81, 1689–1696. [Google Scholar] [CrossRef]
- Rodeghiero, M.; Heinemeyer, A.; Schrumpf, M. Determination of soil carbon stocks and changes. In Soil Carbon Dynamics: An Integrated Methodology; Kutsch, W.L., Bahn, M., Heinemeyer, A., Eds.; Cambridge University Press: Cambridge, UK, 2009; p. 286. [Google Scholar] [CrossRef]
- Brodie, C.R.; Leng, M.J.; Casford, J.S.L.; Kendrick, C.P.; Lloyd, J.M.; Yongqiang, Z.; Bird, M.I. Evidence for bias in C and N concentrations and δ13C composition of terrestrial and aquatic organic materials due to pre-analysis acid preparation methods. Chem. Geol. 2011, 282, 67–83. [Google Scholar] [CrossRef]
- Smith, R.T.; Atkinson, K. Techniques in Pedology: A Handbook for Environmental and Resource Studies; Paul Elek (Scientific Books) Ltd.: London, UK, 1975. [Google Scholar]
- Colombo, C.; Miano, T. Metodi di Analisi Chimica del Suolo. Società Italiana della Scienza del Suolo (SISS), 3rd ed.; SISS: Milan, Italy, 2015; p. 470. [Google Scholar]
- Coplen, T.B. Guidelines and recommended terms for expression of stable-isotope-ratio and gas-ratio measurement results. Rapid Commun. Mass Spectrom. 2011, 25, 2538–2560. [Google Scholar] [CrossRef]
- R Core Team. R: A Language and Environment for Statistical Computing; The R Foundation for Statistical Computing: Vienna, Austria, 2016. [Google Scholar]
- Oksanen, J. Vegan: Ecological Diversity. R Package, Version 2.4-4, 1, 11. 2017. Available online: https://github.com/vegandevs/vegan (accessed on 10 January 2024).
- Wheeler, R.E.; Torchiano, M. Permutation tests for linear models in R. CRAN Repos. 2010, 1. [Google Scholar]
- de Mendiburu, F.; de Mendiburu, M.F. Package ‘agricolae.’ R Package, Version 1(3); CRAN-R: Vienna, Austria, 2019. Available online: https://CRAN.R-project.org/package=agricolae (accessed on 10 January 2024).
- Wood, S. Generalized Additive Models: An Introduction with R, 2nd ed.; Chapman and Hall/CRC: Boca Raton, FL, USA, 2017. [Google Scholar] [CrossRef]
- Gelman, A. Arm: Data Analysis Using Regression and Multilevel/Hierarchical Models. 2011. Available online: http://cran.r-project.org/web/packages/arm (accessed on 10 January 2024).
- Mangiafico, S.; Mangiafico, M.S. Package ‘rcompanion’. CRAN Repos. 2017, 20, 1–71. [Google Scholar]
- Henderson, S.L.; Dandie, C.E.; Patten, C.L.; Zebarth, B.J.; Burton, D.L.; Trevors, J.T.; Goyer, C. Changes in denitrifier abundance, denitrification gene mRNA levels, nitrous oxide emissions, and denitrification in anoxic soil microcosms amended with glucose and plant residues. Appl. Environ. Microbiol. 2010, 76, 2155–2164. [Google Scholar] [CrossRef]
- Wang, H.T.; Su, J.Q.; Zheng, T.L.; Yang, X.R. Impacts of vegetation, tidal process, and depth on the activities, abundances, and community compositions of denitrifiers in mangrove sediment. Appl. Microbiol. Biotechnol. 2014, 98, 9375–9387. [Google Scholar] [CrossRef] [PubMed]
- Kabacoff, R. R in Action: Data Analysis and Graphics with R and Tidyverse; Simon and Schuster: New York, NY, USA, 2022. [Google Scholar]
- Legendre, P.; Legendre, L. Numerical Ecology, 2nd ed.; Elsevier: Amsterdam, The Netherlands, 2012. [Google Scholar]
- Wang, Y.; Wesche, K. Vegetation and soil responses to livestock grazing in Central Asian grasslands: A review of Chinese literature. Biodivers. Conserv. 2016, 25, 2401–2420. [Google Scholar] [CrossRef]
- Zhang, Z.; Zhao, Y.; Lin, H.; Li, Y.; Fu, J.; Wang, Y.; Sun, J.; Zhao, Y. Comprehensive analysis of grazing intensity impacts on alpine grasslands across the Qinghai-Tibetan Plateau: A meta-analysis. Front. Plant Sci. 2023, 13, 1083709. [Google Scholar] [CrossRef] [PubMed]
- Mikola, J.; Setälä, H.; Virkajärvi, P.; Saarijärvi, K.; Ilmarinen, K.; Voigt, W.; Vestberg, M. Defoliation and patchy nutrient return drive grazing effects on plant and soil properties in a dairy cow pasture. Ecol. Monogr. 2009, 79, 221–244. [Google Scholar] [CrossRef]
- Haynes, R.J.; Williams, P.H. Changes in soil solution composition and pH in urine-affected areas of pasture. J. Soil Sci. 1992, 43, 323–334. [Google Scholar] [CrossRef]
- Semmartin, M.; Di Bella, C.; de Salamone, I.G. Grazing-induced changes in plant species composition affect plant and soil properties of grassland mesocosms. Plant Soil 2010, 328, 471–481. [Google Scholar] [CrossRef]
- Chang, Q.; Xu, T.; Ding, S.; Wang, L.; Liu, J.; Wang, D.; Wang, Y.; Li, Z.; Zhao, X.; Song, X.; et al. Herbivore assemblage as an important factor modulating grazing effects on ecosystem carbon fluxes in a meadow steppe in Northeast China. J. Geophys. Res. Biogeosci. 2020, 125, e2020JG005652. [Google Scholar] [CrossRef]
- Staddon, P.L.; Faghihinia, M. Grazing intensity is key to global grassland carbon sequestration potential. Sustain. Environ. 2021, 7, 1895474. [Google Scholar] [CrossRef]
- Bardgett, R.D.; Bullock, J.M.; Lavorel, S.; Manning, P.; Schaffner, U.; Ostle, N.; Chomel, M.; Durigan, G.; Fry, E.L.; Johnson, D.; et al. Combatting global grassland degradation. Nat. Rev. Earth Environ. 2021, 2, 720–735. [Google Scholar] [CrossRef]
- Byrnes, R.C.; Eastburn, D.J.; Tate, K.W.; Roche, L.M. A global meta-analysis of grazing impacts on soil health indicators. J. Environ. Qual. 2018, 47, 758–765. [Google Scholar] [CrossRef]
- McDonald, S.E.; Badgery, W.; Clarendon, S.; Orgill, S.; Sinclair, K.; Meyer, R.; Butchart, D.B.; Eckard, R.; Rowlings, D.; Grace, P.; et al. Grazing management for soil carbon in Australia: A review. J. Environ. Manag. 2023, 347, 119146. [Google Scholar] [CrossRef] [PubMed]
- Eskelinen, A.; Harpole, W.S.; Jessen, M.T.; Virtanen, R.; Hautier, Y. Light competition drives herbivore and nutrient effects on plant diversity. Nature 2022, 611, 301–305. [Google Scholar] [CrossRef]
- Ren, S.; Cao, Y.; Li, J. Nitrogen availability constrains grassland plant diversity in response to grazing. Sci. Total Environ. 2023, 896, 165273. [Google Scholar] [CrossRef]
- Mason, R.E.; Craine, J.M.; Lany, N.K.; Jonard, M.; Ollinger, S.V.; Groffman, P.M.; Fulweiler, R.W.; Angerer, J.; Read, Q.D.; Reich, P.B.; et al. Evidence, causes, and consequences of declining nitrogen availability in terrestrial ecosystems. Science 2022, 376, eabh3767. [Google Scholar] [CrossRef]
- Li, C.; Peng, F.; Lai, C.; Xue, X.; You, Q.; Chen, X.; Liao, J.; Ma, S.; Wang, T. Plant community changes determine the vegetation and soil δ13C and δ15N enrichment in degraded alpine grassland. Land Degrad. Dev. 2021, 32, 2371–2382. [Google Scholar] [CrossRef]
- Craine, J.M.; Brookshire, E.N.J.; Cramer, M.D.; Hasselquist, N.J.; Koba, K.; Marin-Spiotta, E.; Wang, L. Ecological interpretations of nitrogen isotope ratios of terrestrial plants and soils. Plant Soil 2015, 396, 1–26. [Google Scholar] [CrossRef]
- Harrison, K.A.; Bol, R.; Bardgett, R.D. Preferences for different nitrogen forms by coexisting plant species and soil microbes. Ecology 2007, 88, 989–999. [Google Scholar] [CrossRef] [PubMed]
- Wang, R.; Peñuelas, J.; Li, T.; Liu, H.; Wu, H.; Zhang, Y.; Sardans, J.; Jiang, Y. Natural abundance of 13C and 15N provides evidence for plant–soil carbon and nitrogen dynamics in a N-fertilized meadow. Ecology 2021, 102, e03348. [Google Scholar] [CrossRef]
- Song, Z.; Wang, J.; Liu, G.; Zhang, C. Changes in nitrogen functional genes in soil profiles of grassland under long-term grazing prohibition in a semiarid area. Sci. Total Environ. 2019, 673, 92–101. [Google Scholar] [CrossRef] [PubMed]
- Stępniewski, W.; Stępniewska, Z.; Rożej, A. Gas exchange in soils. In Soil Management: Building a Stable Base for Agriculture; Hatfield, J.L., Sauer, T.J., Eds.; ASA, CSSA, SSSA: Madison, WI, USA, 2011; pp. 117–144. [Google Scholar]
- Millar, N.; Baggs, E.M. Relationships between N2O emissions and water-soluble C and N contents of agroforestry residues after their addition to soil. Soil Biol. Biochem. 2005, 37, 605–608. [Google Scholar] [CrossRef]
- Muema, E.K.; Cadisch, G.; Musyoki, M.K.; Rasche, F. Dynamics of bacterial and archaeal amoA gene abundance after additions of organic inputs combined with mineral nitrogen to an agricultural soil. Nutr. Cycl. Agroecosystems 2016, 104, 143–158. [Google Scholar] [CrossRef]
- El Moujahid, L.; Le Roux, X.; Michalet, S.; Bellvert, F.; Weigelt, A.; Poly, F. Effect of plant diversity on the diversity of soil organic compounds. PLoS ONE 2017, 12, e0170494. [Google Scholar] [CrossRef] [PubMed]
- Zak, D.R.; Holmes, W.E.; White, D.C.; Peacock, A.D.; Tilman, D. Plant diversity, soil microbial communities, and ecosystem function: Are there any links? Ecology 2003, 84, 2042–2050. [Google Scholar] [CrossRef]
- Chroňáková, A.; Radl, V.; Čuhel, J.; Šimek, M.; Elhottová, D.; Engel, M.; Schloter, M. Overwintering management on upland pasture causes shifts in abundance of denitrifying microbial communities, their activity and N2O-reducing ability. Soil Biol. Biochem. 2009, 41, 1132–1138. [Google Scholar] [CrossRef]
- Wessén, E.; Hallin, S.; Philippot, L. Differential responses of bacterial and archaeal groups at high taxonomical ranks to soil management. Soil Biol. Biochem. 2010, 42, 1759–1765. [Google Scholar] [CrossRef]
- Mencel, J.; Mocek-Płóciniak, A.; Kryszak, A. Soil microbial community and enzymatic activity of grasslands under different use practices: A review. Agronomy 2022, 12, 1136. [Google Scholar] [CrossRef]
- Bárta, J.; Melichová, T.; Vaněk, D.; Picek, T.; Šantrůčková, H. Effect of pH and dissolved organic matter on the abundance of nirK and nirS denitrifiers in spruce forest soil. Biogeochemistry 2010, 101, 123–132. [Google Scholar] [CrossRef]
- Leigh, M.B.; Pellizari, V.H.; Uhlìk, O.; Sutka, R.; Rodrigues, J.; Ostrom, N.E.; Zhou, J.; Tiedje, J.M. Biphenyl-utilizing bacteria and their functional genes in a pine root zone contaminated with polychlorinated biphenyls (PCBs). ISME J. 2007, 1, 134–148. [Google Scholar] [CrossRef] [PubMed]
- Francis, C.A.; Roberts, K.J.; Beman, J.M.; Santoro, A.E.; Oakley, B.B. Ubiquity and diversity of ammonia-oxidizing archaea in water columns and sediments of the ocean. Proc. Natl. Acad. Sci. USA 2005, 102, 14683–14688. [Google Scholar] [CrossRef]
- Rotthauwe, J.H.; Witzel, K.P.; Liesack, W. The ammonia monooxygenase structural gene amoA as a functional marker: Molecular fine-scale analysis of natural ammonia-oxidizing populations. Appl. Environ. Microbiol. 1997, 63, 4704–4712. [Google Scholar] [CrossRef] [PubMed]






| Area | Grazing Intensity (GPS Positions/625 m2) * | Stocking Rate (LU/ha) ** | 
|---|---|---|
| 1 | 250 (Heavy—H) | 8.19 | 
| 2 | 70 (Moderate—M) | 0.59 | 
| 3 | 30 (Light—L) | 0.06 | 
| Disclaimer/Publisher’s Note: The statements, opinions and data contained in all publications are solely those of the individual author(s) and contributor(s) and not of MDPI and/or the editor(s). MDPI and/or the editor(s) disclaim responsibility for any injury to people or property resulting from any ideas, methods, instructions or products referred to in the content. | 
© 2025 by the authors. Licensee MDPI, Basel, Switzerland. This article is an open access article distributed under the terms and conditions of the Creative Commons Attribution (CC BY) license (https://creativecommons.org/licenses/by/4.0/).
Share and Cite
Raniolo, S.; Da Ros, L.; Maretto, L.; Gianelle, D.; Camin, F.; Bontempo, L.; Stevanato, P.; Sturaro, E.; Squartini, A.; Rodeghiero, M. Grazing Intensity Accelerates Surface Soil C and N Cycling in Alpine Pastures as Revealed by Soil Genes and δ15N Ratio. Sustainability 2025, 17, 2165. https://doi.org/10.3390/su17052165
Raniolo S, Da Ros L, Maretto L, Gianelle D, Camin F, Bontempo L, Stevanato P, Sturaro E, Squartini A, Rodeghiero M. Grazing Intensity Accelerates Surface Soil C and N Cycling in Alpine Pastures as Revealed by Soil Genes and δ15N Ratio. Sustainability. 2025; 17(5):2165. https://doi.org/10.3390/su17052165
Chicago/Turabian StyleRaniolo, Salvatore, Luca Da Ros, Laura Maretto, Damiano Gianelle, Federica Camin, Luana Bontempo, Piergiorgio Stevanato, Enrico Sturaro, Andrea Squartini, and Mirco Rodeghiero. 2025. "Grazing Intensity Accelerates Surface Soil C and N Cycling in Alpine Pastures as Revealed by Soil Genes and δ15N Ratio" Sustainability 17, no. 5: 2165. https://doi.org/10.3390/su17052165
APA StyleRaniolo, S., Da Ros, L., Maretto, L., Gianelle, D., Camin, F., Bontempo, L., Stevanato, P., Sturaro, E., Squartini, A., & Rodeghiero, M. (2025). Grazing Intensity Accelerates Surface Soil C and N Cycling in Alpine Pastures as Revealed by Soil Genes and δ15N Ratio. Sustainability, 17(5), 2165. https://doi.org/10.3390/su17052165
 
        





 
       