Next Article in Journal
Quantitative Methods for Sustainable Product Development
Next Article in Special Issue
Clarification of Effluents Industry Using Nb2O5
Previous Article in Journal
Agro-Industrial Waste Upcycling into Activated Carbons: A Sustainable Approach for Dye Removal and Wastewater Treatment
Previous Article in Special Issue
Decarbonization of the Waste Industry in the U.S.A. and the European Union
 
 
Font Type:
Arial Georgia Verdana
Font Size:
Aa Aa Aa
Line Spacing:
Column Width:
Background:
Article

Impact of Combined Application of Swine Manure Liquid and Phosphorus Fertilizers on Soil Phosphorus and Microbial Communities

1
State Key Laboratory of Nutrient Use and Management, Beijing Key Laboratory of Farmland Soil Pollution Prevention and Remediation, Key Laboratory of Plant-Soil Interactions of Ministry of Education, College of Resources and Environmental Sciences, China Agricultural University, Beijing 100193, China
2
School of Agriculture Sciences, Shoolini University of Biotechnology and Management Sciences, Bajhol, PO Sultanpur, Solan 173229, Himachal Pradesh, India
3
Research and Innovation Department, The National Research and Development Center for Sustainable Agriculture, Riyadh 12373, Saudi Arabia
4
Centre for the Research and Technology of Agroenvironmental and Biological Sciences, CITAB, Inov4Agro, Universidadede Trás-os-Montes e Alto Douro, UTAD, Quinta de Prados, 5000-801 Vila Real, Portugal
5
Centre of Molecular and Environmental Biology (CBMA), Department of Biology, University of Minho, Campus of Gualtar, 4710-057 Braga, Portugal
6
Agronomy Department, Faculty of Agriculture, Assiut University, Assiut 71526, Egypt
*
Author to whom correspondence should be addressed.
Sustainability 2025, 17(5), 2037; https://doi.org/10.3390/su17052037
Submission received: 10 January 2025 / Revised: 12 February 2025 / Accepted: 20 February 2025 / Published: 27 February 2025
(This article belongs to the Special Issue Sustainable Waste Management Strategies for Circular Economy)

Abstract

The rapid increase in pig production has become a major contributor to environmental issues due to the mismanagement of organic waste. The sustainable and effective transformation of this waste into a fertilization resource has become an urgent topic for environmental protection, and new regulations have been imposed. The present study aimed to investigate the effects of different ratios of swine manure liquid (SML) and chemical fertilizers on soil phosphorus forms and microbial communities through field experiments cultivating spring wheat (cultivar “Jinqiang 10”) in Hebei, China. The results indicated that the application of SML in portions with traditional fertilizer can enhance soil pH and electrical conductivity (EC), as well as available phosphorus, particularly when the proportion of SML is high (SML ≥ 75%). Compared with CK, the available phosphorus content of group C3 increased by 22.3%. SML facilitated the transformation of stable phosphorus to unstable phosphorus, as well as the conversion of organic phosphorus to inorganic phosphorus. Additionally, SML increased the soil content of H2O-P, NaHCO3-Pi, and NaHCO3-Po, and promoted the conversion of NaOH-Po to NaHCO3-Po. Studies on bacterial diversity indicated that different fertilization treatments have no significant impact on the bacterial diversity in the 0–20 cm soil layer, whereas the dominant bacterial and fungal genera were positively correlated with the available phosphorus. The present study may facilitate the combined application of SML and chemical fertilizers for soil improvement and improve phosphorus availability.

Graphical Abstract

1. Introduction

Pig farming gained an intense rise in the livestock sector to meet the need of animal protein for human consumption. Despite major socio-economic activity, pig-raising farms produce significant amounts of organic waste material, raising concerns for environmental impacts and health [1]. The improper disposal and management practices of waste may contribute significantly to greenhouse gases emissions to the environment, eutrophication to water bodies, and zoonotic diseases like cysticercosis, tuberculosis, leptospirosis, influenza, and hepatitis E [2]. Proper storage and management methods are necessary to transform this hazardous waste produce toward reduced environmental concerns and regain a natural source of fertilizer for crops [3,4]. Keeping these facts in mind, new regulations were imposed for the treatment and management of waste produce from pig raising [1,5]; although the Food and Agriculture Organization (FAO) suggested to develop sustainable alternatives to improve soil properties and nutrient availability by using these organic waste products. Improved and sustainable management practices of these waste organic materials to address the environmental concerns were positioned in the directives of the Sustainable Development Goals (SDGs).
The exponential increase in pig farming in China has produced massive volumes of swine manure liquid (SML) that threatens aquatic and soil ecosystems [1]. This study focuses on optimizing sustainable SML management approaches—particularly anaerobic digestion for biogas production [6] and controlled fermentation for land application [7], which align with SDGs through dual environmental and agricultural benefits. When properly treated, SML application can simultaneously mitigate pollution risks, enhance crop yields by reducing chemical fertilizer overuse [4,8], and promote circular resource utilization. By establishing scientific criteria for safe SML utilization, our research directly contributes to developing evidence-based waste management frameworks that operationalize SDG targets in intensive livestock regions.
The recent new co-application method of SML and chemical fertilizers has become popular to improve soil fertility, improve microbial dynamics, and reduce chemical fertilizers, especially the superior phosphorous availability for crops [2,9,10]. Another report demonstrated that the application of SML not only improves soil aggregates but also facilitates the conversion of inorganic phosphorus to available phosphorus, which significantly enhances their availability in the soil [11]. Additionally, Ahmed et al. [12] reported that during the co-application of manure wastewater and chemical fertilizers, the combined fertilizer treatment significantly improved the fraction of moderately labile phosphorus and the suggested co-application can effectively improve the overall availability of phosphorus in the soil to mitigate the global issue of phosphorus loss.
Soil microorganisms are a crucial component of the soil ecosystem, playing a key role in soil nutrient cycling and soil biological health. SML, as an organic fertilizer, not only supplies essential nutrients for plant growth but also significantly improves soil structure and soil biological properties [13]. Gu et al. [14] reported that reducing the application of inorganic fertilizers while incorporating organic fertilizers can effectively influence the abundance and diversity of soil microorganisms, primarily by altering the soil’s physical and chemical properties, thereby affecting the diversity of soil microbial communities.
While existing research has demonstrated the benefits of swine manure liquid (SML) co-application with chemical fertilizers in enhancing soil fertility and microbial activity, the precise mechanisms governing phosphorus transformation dynamics and their correlation with microbial community responses remain insufficiently understood. This study uniquely investigates the interplay between SML/fertilizer ratios and phosphorus dynamics, along with microbial diversity, under field conditions in Hebei, China. The findings suggested the superior growth of spring wheat, soil phosphorus conversion rule, and the change in soil fractional phosphorus form content under different fertilization conditions during the process. In addition, we also focused on the effects of fertilization conditions on the abundance and species of soil microorganisms, explored the correlation between soil fractious phosphorus content under different fertilization conditions and bacteria and fungi, and predicted the structure and function of genes.

2. Materials and Methods

2.1. Materials

The experimental setup was performed in the DaBeiNong Science and Technology Park Experimental Station, located in Yutian County, Tangshan City, Hebei Province, situated in the North China Plain. It features an average annual sunshine duration of 2574.9 h, an average temperature of 11.2 °C, and falls within the warm temperate semi-humid monsoon climate zone. The average frost-free growth stage is 192 days, with an annual precipitation of 682.6 mm, of which 518.1 mm occurs from June to August.
The experiment utilized the wheat cultivar Jin Qiang 10 provided by Tianjin Guorui Grain Science and Technology Development Co., Ltd. (Tianjin, China), planted from March to June 2022 with a row spacing of 20 cm and a seeding rate of 14.16 kg/hectare (Jinqiang 10 has a whole growth period of 75 days, high heading rate, strong cold resistance, and adapts to the temperate monsoon climate in North China). The chemical fertilizers used were urea (with 46% nitrogen content), calcium superphosphate (with 14% P2O5 content), and potassium sulfate (with 54% K2O content), which were procured from DaBeiNong Green Agriculture Co. (China). SML met the safety standards for field application, in accordance with the Chinese agricultural standard. Analysis showed that SML contained 113.6 mg/L total nitrogen, 15.8 mg/L total phosphorus, 319.2 mg/L total potassium, and 126.6 mg/L total organic carbon (Table 1).

2.2. Methods

In order to effectively control the influence of the field on the experimental results [18], the experiment was conducted using the Randomized Complete Block Design (RCBD) over an area of 1277.5 m2, divided into 18 plots organized into 6 treatments with 3 replicates each. Each plot area was 40 m2, with a 1.5 m buffer zone around it, and the ridges were covered with waterproof cloth to avoid moisture loss. Different treatments are randomly assigned to blocks, the conditions within each block are as consistent as possible, and protection rows are set around the experimental field. Each district is equipped with a single inlet and outlet, drip irrigation is adopted, and uniform drip irrigation is ensured in each block, and other field management is the same as that of the local wheat field. Each plot was equipped with an independent irrigation system and was managed according to conventional wheat field practices.
Six treatments were established, i.e., the control (CK) treatment received no fertilization, the C1 treatment was treated with chemical fertilizer only, the C2 treatment was treated with SML only, the C3 treatment was treated with 75% SML + 25% chemical fertilizer (proportional distribution in total phosphorus, same as below), the C4 treatment was treated with 50% SML + 50% chemical fertilizer, and the C5 treatment was treated with 25% SML + 75% chemical fertilizer. The ratio is based on weight ratio. No base fertilizer was used; instead, fertilizers were applied twice during critical growth stages (jointing and heading), which provides in total 15.2 m3 at a 1:1 ratio. Detailed treatment and fertilization information are provided in Figure S1 and Table S1.

2.3. Analysis

2.3.1. Collection of Soil Samples

Soil samples were randomly collected using a 60 mm diameter soil auger at 0–40 cm depth before wheat sowing, at the tillering (T1), grain filling (T2), and maturity (T3) stages, separated into 0–20 cm and 20–40 cm layers, and debris were cleaned before packaging. For wheat fields, 0–20 cm is the conventional sampling depth, while the 20–40 cm layer is for the study of top-dressing effects. The samples were processed in two ways, i.e., the first portion was refrigerated for microbial analysis (16S rRNA and ITS sequencing), and the second portion was air-dried at room temperature (25 ± 5 °C), ground, sieved, and stored for subsequent analysis of relevant indices.

2.3.2. Determination of Soil–Chemical Parameters and Nutrient Status

(1)
Soil pH measurement: After the collected soil samples were naturally air-dried, impurities were removed through a 2 mm pore size sieve. Use distilled water or pure water boiled for 10 min to remove dissolved carbon dioxide, weigh 10.0 g of air-dried soil sample and place it in a 50 mL beaker, and add 25 mL of de-CO2 water at a water-to-soil ratio of 2.5:1. Stir with a glass rod for 1 min to fully disperse the soil particles, let stand for 30 min, gently pour the suspended suspension out of the supernatant into a 20 mL small beaker, and measure using a pH meter (PHS-25).
(2)
Soil electrical conductivity (EC) measurement: After the collected soil samples were naturally dried, impurities were removed through a 2 mm pore sieve. Weighed 5 g of the sieved soil sample, added 25 mL of deionized water according to the water-to-soil ratio of 5:1, and stirred fully to form a suspension. After mixing, it stood for 30 min, filtered through a 0.45 μm filter membrane to obtain a clear leach, and the EC was determined using a conductometer (PHS-3C).
(3)
Soil available phosphorus measurement: Extraction was performed using a 0.5 mol/L NaHCO3 solution, followed by the molybdenum-antimony anti-colorimetric method. In brief, 2.5 g of the soil sample was mixed with 50 mL of NaHCO3 in a conical glass flask. The samples were kept in a shaker for 15 min to mix properly and then filtered. Coloring reagents (ammonium molybdate solution and ascorbic acid solution) were added to the samples and measurements were recorded with a UV spectrophotometer (TU-1810, 700 nm). All the experiments were performed in triplicates and the mean values were calculated.
(4)
Total soil phosphorus determination: Following digestion with H2SO4-HClO4, the molybdenum-antimony colorimetric method was applied [19]. Accurately weigh 0.5 g of the air-dried soil sample passed through a 100-mesh sieve, place it in a 50 mL Kelva bottle, wet it with a small amount of water, add H2SO4 8 mL, shake well, add another 10 drops of 70–72% HClO4, shake well, and simmer for 60 min. Pour the cooled solution into a 100 mL volumeter bottle, rinse the Kelvin bottle with water, gently shake the volumeter bottle, and add water to set the volume after it is completely cooled. Let it sit overnight, and the next day carefully drain the upper layer of clarifying liquid for phosphorus determination. Absorb 5 mL of the clarifying liquid or filtrate, inject it into a 50 mL volumetric bottle, and dilute it with water to 30 mL. Add 2 drops of dinitrophenol indicator, add 4 mol/L NaOH solution until the solution turns yellow, and add 1 drop of 2 mol/L H2SO4 to make the yellow color of the solution just fade. Add 5 mL of molybdenum-antimony anti-reagent, then add water to 50 mL, and shake well. After 30 min, the color was compared at 700 nm wavelength, and the absorbance of the blank liquid was 0 to read out the transmittance or absorption value of the measured liquid.
(5)
Fractionated soil phosphorus determination [19]: Compared with other methods, the Hedley method reveals the transformation of phosphorus more comprehensively, which is more conducive to this study. Based on the Hedley method, the following steps were performed: Weigh 0.5 g of soil sample, add 30 mL of distilled water to a 50 mL centrifuge tube, shake for 16 h, centrifuge, and filter through a 0.45 μm membrane, preparing for H2O-P measurement. Add 30 mL of 0.5 mol/L NaHCO3 to the residue from step (a), shake for 16 h, centrifuge, filter, and prepare for NaHCO3-Po/Pi measurement. Add 30 mL of 0.1 mol/L NaOH to the residue from step (b), shake for 16 h, centrifuge, filter, and prepare for NaOH-Po/Pi measurement. Add 30 mL of 1 mol/L HCl to the residue from step (c), shake for 16 h, centrifuge, filter, and prepare for HCl-P measurement. Transfer the residue from the centrifuge tube to a 100 mL digestion tube, digest with H2SO4-HClO4, and determine the residual phosphorus using the molybdenum-antimony colorimetric method.

2.3.3. Determination of Soil Microbial Indices

The microbial analysis was performed in samples from all the treatments. Treatment R1 served as the CK treatment, while treatments R2 to R6 were the remaining 5 treatments, designated as C1, C2, C3, C4, and C5, respectively. Each experimental treatment was conducted in triplicates (n = 3). Please include here the bacterial and fungal DNA extraction methods and sample preparation for sequencing. Also include where sequencing was performed. A sequencing analysis of bacteria and fungi was performed on 18 soil samples collected after fertilizer application during the grain-filling stage. Bacterial 16S rRNA genes in the V4 region were amplified using PCR using the universal primers 515F (GTGCCAGCMGCCGCGGTAA) and 806R (GGACTACHVGGGTWTCTAAT). Please include here the PCR conditions. The fungal ITS1-5F regions were amplified using the universal primers ITS5-1737F (GGAAGTAAAAGTCGTAACAAGG) and ITS2-2043R (GCTGCGTTCTTCATCGATGC). A similarity level of 97% for which the ribosomal database project (RDP) classifier Bayesian algorithm was implemented to generate the operational taxonomic units (OTUs). The representative sequences of the OTUs were employed to perform taxonomic analysis, with a 0.7 confidence threshold, and the Silva 132/16 s bacteria database (https://www.arb-silva.de/, 1 May 2024) was employed for comparison. Based on the lowest number of reads, they were normalized before calculating the alpha diversity. The alpha diversity indices, i.e., abundance-based coverage estimators (ACE), Chao1, Shannon, and Simpson were calculated.

2.3.4. Data Analysis and Calculation

All the soil samples from each treatment were analyzed in triplicates. Soil physicochemical property data were compiled in Excel and the differences between the treatments were statistically analyzed using the SPSS software (SPSS Inc., version 26.0, Chicago, IL, USA). Graphs and charts were generated using the Origin software (Origin lab, version 8.0, Northampton, MA, USA), while microbial analysis was conducted on the Novo Magic platform.

3. Results and Discussion

3.1. Effects of Combined Application of SML and Phosphorus Fertilizer on Soil Phosphorus Forms

3.1.1. Effects on Soil pH and EC

The impact of the combined application of SML and phosphorus fertilizer on soil pH was investigated under field conditions cultivating spring wheat (Figure 1). Soil samples were collected at different growth stages (T1, T2, T3) and two soil depths (0–20 cm and 20–40 cm), with the background soil pH being 7.09. At the 0–20 cm depth during T1, the control treatment pH increased to 7.47 due to the alkaline nature of SML. Soil pH exhibited a proportional increase with rising SML application rates, as is consistent with findings by Aula et al. [20]. Specifically, the C2, C3, and C4 treatments showed pH increases of 2.2%, 1.4%, and 1.1%, respectively, while C1 (chemical fertilizer only) decreased by 5.1%, aligning with Laurent et al. [21]. The C5 treatment showed a slight pH decrease, indicating a stronger influence of chemical fertilizer over SML. Significant differences were observed only for C1 at T1. Similar trends continued at T2, with C1 and C5 showing pH decreases of 3.1% and 0.8%, respectively, while C2, C3, and C4 increased by 1.6%, 0.5%, and 0.2%. At T3, the control treatment’s pH remained stable, while C1 decreased by 0.303 and C2 increased by 0.086 compared to T2, further demonstrating the dominant effect of chemical fertilizer on soil pH. Throughout the growth stages, C1 consistently showed significant differences from other treatments in soil pH variation.
The pH of the 20–40 cm soil layer was 6.84, which is slightly lower than that of the 0–20 cm soil layer. Under the C1 treatment, pH decreased by 6%, while it increased by 2.2% under the C2 treatment, indicating that SML ameliorates soil acidification. Studies on China’s red soils have shown that straw and manure fertilization increased soil pH to the level of 5.63 [22]. At the T1 growth stage, the soil pH in the C1 treatment was significantly different from that in the other treatments. At the T2 growth stage, with increasing SML, the lowest pH recorded was 7.02 in the C1 treatment, and the highest was 7.61 in the C2 treatment. The soil pH in the C1 treatment was decreased by 2% from the T1 to T2 growth stages. At the T2 growth stage, the soil pH of the C1 and C5 treatments was significantly different from that of the other treatments.
During the T1 growth stage, EC values in the 0–20 cm soil layer ranged from 211.56 to 250.23 µS/cm, with no significant differences observed (Figure 2). When the chemical fertilizer proportion exceeded 50%, the EC values were higher than those in CK, indicating a significant impact of chemical fertilizer on soil EC. In the T2 growth stage, EC values in this soil layer increased to 205.73–522.33 µS/cm. Compared to CK, the EC values in the C1 to C5 treatments increased by 153.8%, 36.1%, 46.8%, 68.0%, and 128.1%, respectively. The EC value in the CK treatment was decreased by 15.26 µS/cm, while in the C1 to C5 treatments, it was increased by 281.66 µS/cm, 66.16 µS/cm, 90.73 µS/cm, 103.99 µS/cm, and 219.11 µS/cm, respectively. Eghball [23] demonstrated that the continuous application of phosphorus and nitrogen manure increased EC in clay soils, possibly due to the presence of high soluble salts in manure. In the T3 growth stage, the EC values decreased to 162.47–350.67 µS/cm, reflecting the absorption of soil nutrient ions by crops during wheat maturity. Overall, fertilization significantly affected soil EC, with chemical fertilizer having a major impact, while SML enhanced soil EC’s buffering capacity.
In the 20–40 cm soil layer, the trend in the EC value changed similarly to that in the 0–20 cm layer after fertilization, although the magnitude was smaller. During the T1 growth stage, the EC values ranged from 203.03 to 256.33 µS/cm, with C1 being the highest, 13.8% higher than CK, indicating a diminished effect of chemical fertilizer in the deeper soil layers. At the T2 growth stage, the EC values rose between 167.33 and 286.66 µS/cm, with all treatments from C1 to C5 showing an increase, though C1 was significantly different. At the T3 growth stage, the EC values ranged from 192.26 to 315.33 µS/cm, with C5 exceeding C1, suggesting a synergistic effect of SML and chemical fertilizer. In summary, changes in EC were predominantly driven by chemical fertilizer, while SML contributed to stabilizing the EC values.
The soil pH value after the first application of fertilizer showed an increasing trend with the increase in the proportion of pig manure water. The trend of change in period T2 was similar. The difference in the soil pH value between the two periods was not significant. In period T3, the application of chemical fertilizer had a significant impact on the soil pH value, significantly reducing it. For soil EC, the application of fertilizer would significantly increase the soil EC value, and the soil EC value also increased with the increase in the proportion of chemical fertilizer application. From period T1 to T2, the soil EC value increased; from period T2 to T3, the soil EC value decreased.

3.1.2. Impact on Soil Available Phosphorus Content

The impact of seasonal soil available phosphorus content on wheat growth indicated the supply condition of soil phosphorus. Effects of the combined application of SML and chemical phosphorus fertilizer on the available soil phosphorus content was demonstrated in Figure 3. The soil available phosphorus increased from the T1 to T2 growth stages; however, it decreased from the T2 to T3 growth stages. Song et al. [24] reported that the continuous application of organic and chemical fertilizers for five years can increase the available soil phosphorus concentrations by 56.56% and 30.85%, respectively. During the T1 growth stage, the available phosphorus content in the 0–20 cm soil layer ranged from 25.46 to 27.98 mg/kg, increasing in response to the proportion of SML. In the T3 growth stage, the C2 treatment exhibited the highest available phosphorus content, which was increased in response to the proportion of SML. SML was more efficient than chemical fertilizers in enhancing available soil phosphorus, as is consistent with the findings of Arif et al. [25].
In the 20–40 cm layer, the available phosphorus content was lower than that in the 0–20 cm layer, ranging between 5.6 and 11.54 mg/kg. During the T1 growth stage, the phosphorus content was highest in the C2 treatment and was increased in response to increasing the proportion of SML. At the T2 growth stage, phosphorus content was raised between 7.78 and 11.55 mg/kg in the C1–C5 treatments, showing an increase of 14.8% to 34.8% compared to the T1 growth stage; however, the difference in the available phosphorus content between the T1 and T2 growth stages was not significant. At the T3 growth stage, phosphorus content was decreased, with the C2 treatment being significantly different from the other treatments. Overall, the fertilization effect in the 20–40 cm soil layer was limited and was less significant compared to that in the 0–20 cm layer.
In general, the application of pig manure water is conducive to the conversion of stable phosphorus to non-stable phosphorus in the soil. At the same time, the content of inorganic phosphorus in the soil dominates. The application of pig manure water can help the conversion of organic phosphorus to inorganic phosphorus.

3.1.3. Effect on Soil Phosphorus Fractions

Soil phosphorus fractions were determined using the Hedley fractionation method, with total inorganic phosphorus (H2O-Pi, NaHCO3-Pi, NaOH-Pi, and HCl-Pi), total organic phosphorus (NaHCO3-Po, NaOH-Po), and Residual-P.
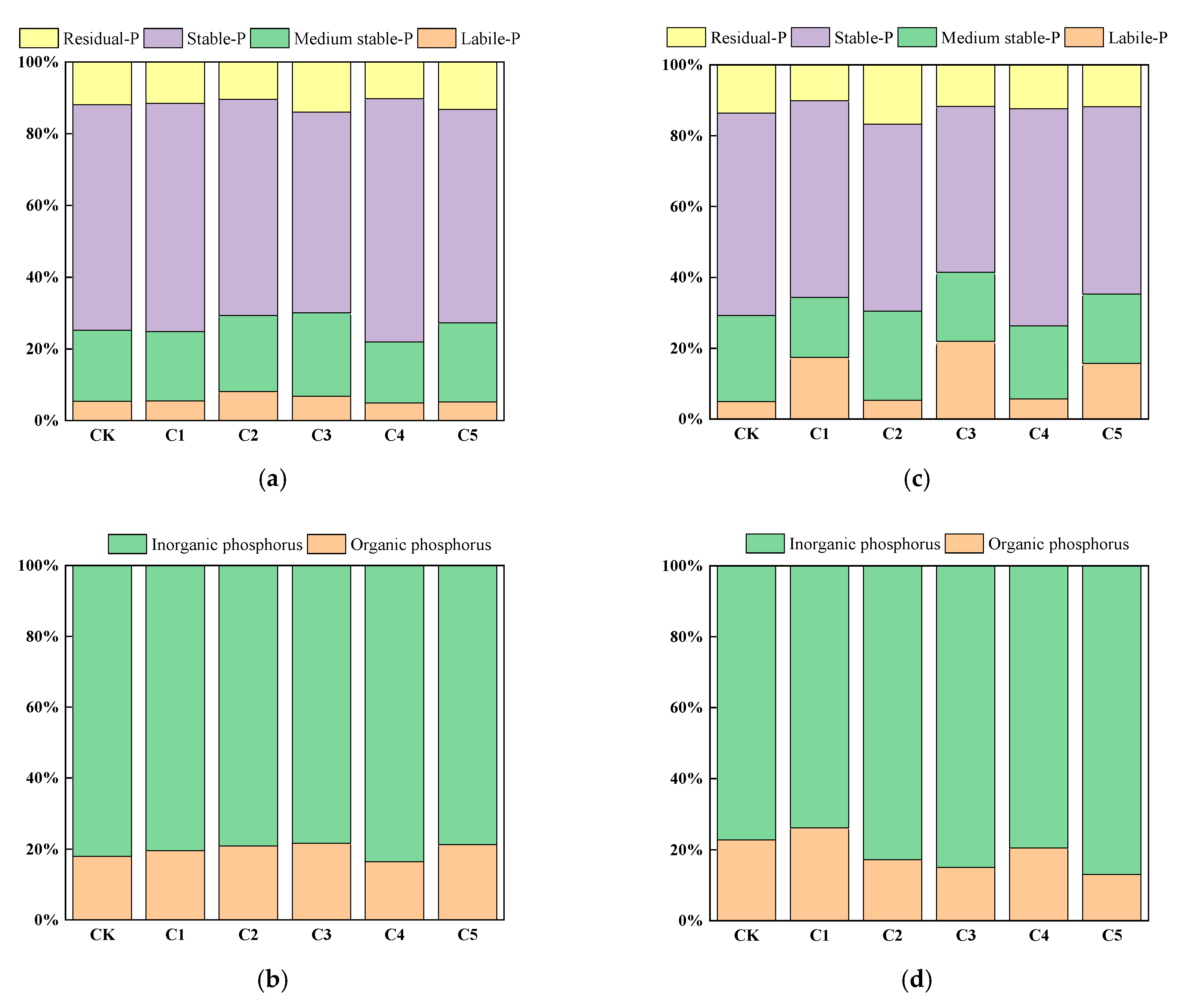
In Figure 4a,b, during the T1 growth stage, the total phosphorus content in the 0–20 cm soil layer was significantly higher due to the combined application of SML and chemical fertilizer, whereas it remained low in the control treatment. The total phosphorus content in the fertilizer treatments was approximately 1100 mg/kg, which is not significantly different from the control treatment. In the CK treatment, the labile phosphorus content was 52.14 mg/kg, moderately stable phosphorus was 192.32 mg/kg, stable phosphorus was 611.79 mg/kg, and residual phosphorus was 115.4 mg/kg (Table 2). In the fertilized treatments, the labile phosphorus content was highest in the C2 treatment (82.2 mg/kg), indicating that SML can increase soil labile phosphorus content. Studies reported that the combined application of chemical fertilizers can increase the proportion of moderate labile phosphorus [12], while SML can increase the content of organic phosphorus, with the C3 treatment having the highest organic phosphorus proportion of 21.7%. The use of SML facilitates the transformation of stable phosphorus to labile forms, thereby improving the soil environment.
During the T1 growth stage, fertilization treatments significantly affected the H2O-P content in the 0–20 cm soil layer, with the highest contents observed in the C2 and C3 treatments. The H2O-P content in the C1 treatment was between that of the C5 and C4 treatments, indicating the need to find the optimal ratio from the combined use of SML and chemical fertilizers. Soil H2O-P content was increased when the proportion of SML application reached or exceeded 50%. With increasing fertilization ratio, the NaHCO3-Pi content also increased, especially when the proportion of SML exceeded 75%, although no significant differences were observed among the treatments according to the ANOVA analysis. The C2 treatment revealed the highest NaHCO3-Po content due to the higher proportion of the applied SML. Overall, the application of SML promoted an increase in the soil organic phosphorus and labile phosphorus content, particularly in the C2 and C3 treatments, with application ratios between 75 and 100% of SML the most beneficial for the long-term utilization of soil.
In Figure 4c,d, during the T2 growth stage, the total phosphorus content in the 0–20 cm soil layer ranged between 972 and 1160 mg/kg, with minor differences found among the fertilization treatments. Among them, the C2 and C5 treatments exhibited the highest proportion of labile phosphorus in total phosphorus. Studies indicated that 22% of the loss phosphorus in total phosphorus was organic phosphorus, while 52% was stable phosphorus. The SML treatment reduced the proportion of moderately stable phosphorus and converted it into labile phosphorus, with the C5 treatment exhibiting the highest proportion of stable phosphorus. Compared to the C1 and the CK treatments, the soil organic phosphorus content and its proportion in the SML treatments were reduced, possibly due to the conversion of organic to inorganic phosphorus for wheat utilization. During the T2 growth stage, the greatest reduction in labile phosphorus was observed in the C2 treatment (2.4%), followed by the C3 treatment (1.8%), with the CK and C1 treatments also showing a reduction in the labile phosphorus. Compared to T1, the proportion of organic phosphorus decreased during the T2 growth stage, especially in the C5 and C3 treatments, reflecting the conversion of organic to inorganic phosphorus for wheat utilization.
During the T2 growth stage, fertilization significantly influenced the H2O-P content in the 0–20 cm soil layer, with the C2 treatment revealing the highest H2O-P content (8.80 mg/kg), which is significantly higher than those of the CK and C1 treatments. The H2O-P content was increased in the SML treatments, while it was decreased in the CK and C1 treatments, indicating that SML enhanced the accumulation of more H2O-P in the soil. The NaHCO3-Pi content ranged from 27.91 to 43.72 mg/kg. Compared to the CK treatments, the C2 treatment resulted in significantly high NaHCO3-Pi content, followed by the C4 and C5 treatments. The NaHCO3-Po content of the SML treatments was lower than that of the CK treatment, indicating the conversion of organic phosphorus to inorganic phosphorus. The NaOH-Po content was highest in the CK and C1 treatments, whereas it was reduced in the SML-containing treatments. The application of SML facilitated the conversion of organic to inorganic phosphorus, hence favoring the transformation from non-labile to labile phosphorus. However, the relationship between this conversion effect and the concentration of SML was not evident, possibly due to insufficient experimental duration. Overall, SML promoted the conversion of soil phosphorus into forms that are available to wheat plants.
In Figure 4e,f, during the T3 growth stage, the total phosphorus content in the 0–20 cm soil layer ranged from 862 to 1092 mg/kg. Compared to the T2 growth stage, the content of available phosphorus decreased, with the fertilized treatments showing an increase ranging from 10.22 to 24.49 mg/kg over the CK treatment. The proportion of stable phosphorus increased, while the proportion of residual phosphorus remained unchanged. Among all the treatments, the highest proportion of the available phosphorus was observed in the C4 treatment (6.3%), followed by the C2 treatment (5.3%). The reduction in the C2 treatment could be attributed to wheat consumption and the lack of replenishment with chemical phosphorus fertilizers. The lowest proportion of stable phosphorus observed in the C4 treatment may be due to the conversion of stable phosphorus to a more labile form. The proportion of organic phosphorus was below 20% across all treatments, with no significant differences observed; however, it was high in the C2 treatment, likely due to the high content of organic phosphorus in the applied SML.
During the T3 growth stage, the H2O-P content in the 0–20 cm soil layer ranged from 4.45 to 9.06 mg/kg. The C2 treatment exhibited significant differences compared to the other treatments, while no significant differences were observed among the other treatments. The pattern of fertilization effects was not apparent, possibly due to the short duration of the planting growth stage. Increasing the proportion of SML in the fertilization treatment led to a significant increase in the NaHCO3-Po content, although it was lower in the C3 treatment due to the reduction in its total phosphorus content. The proportion of SML applied was positively correlated with the NaHCO3-Po content, and significant differences were observed between the C2 treatment and the treatments that received only chemical fertilizers. The NaOH-Po content in the SML treatments received twice as much as the non-SML treatments, indicating that the NaOH-Po content is promoted by the application of SML. Compared to the T2 growth stage, the NaOH-Po content was decreased, with larger reductions observed in the CK and C1 treatments compared to the treatments treated with SML, suggesting that the application of SML contributes to stabilizing the soil environment [26]. During the T3 growth stage, there were no significant differences in NaOH-Po content among the treatments.
In Figure 4g,h, during the T1 growth stage, the phosphorus content in the 20–40 cm soil layer ranged from 473 to 774 mg/kg, which was lower than that in the 0–20 cm soil layer. The total phosphorus content was highest in the C2 treatment, likely related to the proportion of SML applied. The proportion of stable phosphorus ranged from 62 to 78%, and that of labile phosphorus from 3.1 to 6.6%, like the proportions in the surface soil layers. The relationship between phosphorus forms in the subsoil and fertilization treatments was not significant, indicating SML’s limited impact. The organic phosphorus content ranged from 80 to 120 mg/kg, with inorganic phosphorus content approximately 6 to 7 times that of organic phosphorus, with no clear pattern observed among the different treatments.
During the T1 growth stage, the H2O-P content was highest in the C2 treatment, with levels in the C1 to C5 treatments exceeding those of the control treatment by 0.77 to 2.415 mg/kg. In the 20–40 cm soil layer, the NaHCO3-P content was highest in the C2 treatment, and showed significant differences compared to other treatments. The differences in NaOH-Po content among the treatments were not significant, possibly due to the slower effects of fertilization on the subsoil. Overall, the impact of fertilization on phosphorus content in the 20–40 cm soil layer was not remarkable.
In Figure 4i,j, during the T2 growth stage, the proportion of labile phosphorus in the 20–40 cm soil layer ranged from 3.4 to 6.2%, with stable phosphorus having the highest proportion (61.9 to 80.7%). This suggests that phosphorus in the subsoil predominantly exists in a stable form. The effects of fertilization on different phosphorus forms did not exhibit a clear pattern. The proportion of organic phosphorus was approximately 12.2 to 17.0%, indicating a decrease compared to the surface soil layers. In the C2 treatment, the content of inorganic phosphorus was highest and increased with the increasing proportion of SML in the fertilization treatment. Conversely, in the C3 treatment, the content of inorganic phosphorus was decreased due to the lower total phosphorus level.
During the T2 growth stage, the total phosphorus content in the 20–40 cm soil layer was approximately 410 to 530 mg/kg, which is less than in the 0–20 cm layer. Given that the wheat root system was primarily distributed in the shallow soil layers, hence the phosphorus content in the deeper soil layer had a minimal impact on its growth. The C2 treatment exhibited the highest H2O-P content, which showed a fluctuating upward trend in response to the increasing proportion of SML in the fertilization treatment. In the 20–40 cm soil layer, the relationship between NaHCO3-P content and the fertilization method was not evident. When a 50% SML proportion was used, the NaOH-Po content in the soil reached its peak; however, NaOH-Po content was decreased in response to either increasing or reducing the SML proportion from this level. The C4 treatment showed significant differences compared to other treatments.
In Figure 4k,l, at the T3 growth stage (maturity stage), the total phosphorus content in the 20–40 cm soil layer was decreased compared to the T2 growth stage. The proportion of stable phosphorus was the highest, while that of labile phosphorus was lowest, indicating that fertilization had an insignificant impact on phosphorus content. Inorganic phosphorus constituted approximately 83.7–87.0% of the total phosphorus, with the organic phosphorus content in the C2 treatment increased at the fastest rate. This suggests that SML can enhance the organic phosphorus content in the subsoil. The impact of fertilization on phosphorus content in the 20–40 cm soil layer was limited [27].
In the T3 growth stage, the soil H2O-P content was highest in the C2 treatment and was increased in response to increasing the proportion of SML in the fertilization treatment, indicating that SML promotes the elevation of H2O-P content. The impact patterns of NaHCO3-P and NaOH-P contents were unclear, with no significant differences observed among the treatments. Overall, different fertilization treatments had a minimal impact on the phosphorus content in the 20–40 cm soil layer, possibly due to the short duration of cultivation.

3.2. Impact of Combined SML and Chemical Phosphorus Fertilizer on Soil Microbes

3.2.1. The Effect on Soil Bacteria

Following top-dressing fertilization in the T2 growth stage, 18 soil samples were analyzed using high-throughput sequencing (Table 3). The results indicated that the coverage for all treatments exceeded 0.99. In the 0–20 cm soil layer, the number of the effective bands ranged from 110,786 to 116,999, with the operational taxonomic unit (OTU) counts ranging between 4408 and 4750, the highest of which was observed in the C5 treatment. As the proportion of SML was increased, a decreasing trend in the OTU counts was observed. The Shannon index revealed that diversity was highest in CK, with minor differences found among the fertilized treatments. The Chao1 index indicated that the total number of species fluctuated and decreased in response to the increasing proportion of SML in the fertilization treatments. The Simpson index, assessing diversity and evenness [28], found that the impact of fertilization was not significant, particularly for the 100% SML treatment, which was detrimental to the bacterial diversity. The abundance-based coverage estimator (ACE) index showed that bacterial diversity was decreased in response to the reduction in the proportion of SML in the fertilization treatments. Chemical NPK fertilization was found to increase bacterial diversity by approximately 1.45–1.87% [29]. A comprehensive analysis indicated that fertilization had a limited effect on bacterial α-diversity in the 0–20 cm soil layer, with high proportions of SML being unfavorable for the increase in bacterial species.
In Figure 5, bacterial beta diversity was assessed using the Unweighted-Unifrac distance metric, with dissimilarity coefficients ranging from 0.370 to 0.470. The greatest difference was observed between 100% SML phosphorus (C2.1) and 25% SML phosphorus (C5.2), indicating that an increase in the proportion of SML leads to greater species diversity differences. In contrast, the smallest difference resulted from 100% chemical fertilizer phosphorus (C1.1) and 25% SML phosphorus (C5.1). Fertilization significantly affected the soil bacterial community structure, with chemical fertilizers and SML revealing opposite effects. Additionally, studies have found that different fertilization treatments resulted in variations in soil microbial biomass and diversity, with manure and compost having a more pronounced effect on increasing soil microbial diversity than mineral fertilizers [30,31]. Manure and compost can significantly increase soil microbial diversity. Group R3 exhibited the highest beta diversity, while group R2 showed the lowest. The differences in dissimilarity coefficients among the treatment groups were not significant, indicating that fertilization has a marginal overall impact on bacterial beta diversity. These findings underscored the limited impact of fertilization on soil bacterial diversity, particularly when considering the proportion of SML and the use of chemical fertilizers.
Principal Coordinates Analysis (PCoA), based on Bray–Curtis distance, was utilized to investigate the impact of fertilization on the similarity of soil bacterial communities. In Figure 6a, the first principal coordinate axis accounted for 21.65% of the variance, and the second axis accounted for 19.16%, together contributing to 40.81% of the total variance explained. Studies indicated that substituting mineral phosphorus with organic fertilizers can improve the structure of bacterial communities and enhance phosphorus utilization [32]. Sample analysis revealed that samples from group R1 were stable, while those from group R3 exhibited greater variability. As the proportion of SML increased, inter-group variability also increased, showing significant differences from the control group at high proportions of SML, with an increase in intra-group variability.
In Figure 6b, the bacterial community structure at the phylum level is predominantly composed of Proteobacteria, Acidobacteriota, and Actinobacteria, which are the most abundant phyla. Proteobacteria constituted the most dominant bacterial group, followed by Acidobacteriota and Actinobacteria. Specifically, in treatments R1–R6, Proteobacteria accounted for 23.9–28.5%, Acidobacteriota accounted for 10.9–14.2%, Actinobacteria accounted for 8.4–9.8%, and Crenarchaeota accounted for 3.1–6.0%. The proportions of all other phyla were less than 5%.
In Figure 6c, an analysis at the genus level revealed that the relative abundance of all genera, i.e., RB41, Sphingomonas, and Arthrobacter, exceeded 1%, with RB41 being the most dominant genus, followed by Arthrobacter and Sphingomonas. The relative abundance of the RB41 genus ranged from 2.4 to 4.9% across all the treatments, with Arthrobacter ranging from 2.5 to 2.9%, and Sphingomonas from 2.0 to 3.2%. The bacterial community abundance in the CK, C2, and C3 treatments showed high similarity compared to the C1, C4, and C5 treatments. The application of SML increased the abundance of the RB41 genus, whereas the bacterial abundance across different fertilization treatments did not follow a clear pattern.
Investigating the relationship between soil phosphorus forms and the relative abundance at the phylum level, Spearman correlation analysis revealed the significant effects of soil pH and total phosphorus on the bacterial community structure. Previous studies have also corroborated the above findings after conducting correlation analyses between environmental factors and bacterial diversity [33]. This experiment further conducted a correlation analysis between soil phosphorus forms and bacteria. In Figure 7a, the correlation between Proteobacteria, Actinobacteria, and the available phosphorus was not significant, but a positive correlation was observed with H2O-P and NaHCO3-Pi/Po. Proteobacteria showed a positive correlation with NaOH-Pi, while Actinobacteria were positively correlated with NaOH-Po. Actinobacteria and similar phyla exhibited a negative correlation with HCl-P. Bacteria secrete organic acids to lower soil pH, thereby increasing soluble phosphorus, and helping in microbial phosphorus solubilization [34].
In the top 10 species by relative abundance at the genus level, correlation analysis revealed that MND1 and Massilia genera were positively correlated with the available phosphorus. In Figure 7b, Sphingomonas and other genres positively correlated with H2O-P and NaHCO3-Pi/Po, with Nocardia also positively correlating with H2O-P and NaHCO3-Pi. Sphingomonas were positively correlated with NaOH-Pi, while RB41 and similar genera were positively correlated with NaOH-Po. The RB41 and MND1 genera exhibited a positive correlation with HCl-P. Notably, Sphingomonas and Arenimonas genera were positively correlated with NaHCO3-Pi (p < 0.05), while Gaiella was negatively correlated with NaHCO3-Po (p < 0.005).
Analysis of bacterial functional gene abundance was conducted to investigate the primary functions of soil bacteria [35]. The analysis of bacterial functional gene abundance revealed that the predominant activity of soil bacteria is metabolism, with metabolic function genes accounting for over 50% of the total, and proportions across different treatments approximately ranging from 51.3 to 51.5%, indicating that the primary function of bacteria is metabolic processes (Figure 8). The abundance of genes associated with genetic information processing represented approximately 16.1–16.4%, while those related to environmental information processing comprised about 12.9–13.2%. Meanwhile, the abundance of genes related to cellular processes, human diseases, and organism systems was below 5% for all.

3.2.2. The Effect on Fungus

High-throughput sequencing revealed the α-diversity of soil fungi, with effective band numbers ranging from 109,297 to 115,544 and OTU counts ranging from 782 to 1101. The C1 treatment revealed the highest species count; however, the application of SML led to a significant decrease in the OTU numbers, which was detrimental to species increase. In contrast, the Shannon index for the C2 treatment was 0.243, which is higher than that of the control treatment, indicating that the 100% SML treatment could slightly enhance diversity. The Chao1 index was the highest in applying SML in the C1 treatment and lowest in the C4 treatment, suggesting no clear relationship between the proportion of SML and the Chao1 index. The Simpson index was highest in the C2 treatment, increasing by 0.02.
Beta diversity was assessed using the Unweighted-UniFrac distance metric, which ranged from 0.460 to 0.702, reflecting the diversity differences among the samples (Figure 9). The minimum dissimilarity (0.480) was observed between C2.3 and C5.1, corresponding to 100 and 25% SML phosphorus treatments, respectively, while the maximum dissimilarity (0.702) was observed between C1.1 and C5.3, representing the 100% chemical phosphorus fertilizer and 25% SML treatments, indicating the greatest diversity difference. The treatments with a larger dissimilarity coefficient were C1.1–C5.3, while those with a smaller coefficient were C2.3–C5.1. Fertilization appears to reduce fungal beta diversity, potentially having a detrimental effect on soil fungal diversity, a viewpoint supported by research [36]. No clear pattern was observed in the dissimilarity coefficients among the treatments, and tests for differences in beta diversity among the treatments showed no significant differences.
In Figure 10a, PCoA based on Bray–Curtis distance revealed that the first and second principal axes accounted for 25.09 and 17.03% of the variation in soil fungal community similarity, respectively, together contributing to 42.12% of the total variation. The R1 and R3 sample treatments exhibited smaller internal differences, indicating stability; in contrast, the R5 sample treatment showed greater internal variability. Among the treatments, the difference between R1 and R5 was the most significant, indicating that the variations among fertilization treatments followed no clear pattern, and fertilization did not significantly enhance community stability.
In Figure 10b, at the phylum level, Ascomycota, Mortierellomycota, and Basidiomycota constitute the most predominant phyla, with Ascomycota representing 31.9 to 51.7%, Mortierellomycota representing 9.5 to 27.6%, and Basidiomycota representing 4.0 to 9.0% of the community composition. Fertilization had a minimal impact on the abundance of Ascomycota, but manure or chemical fertilizers could increase the abundance of Mortierellomycota. An increase in manure concentration also elevated the abundance of Chytridiomycota.
In Figure 10c, at the genus level, Mortierella, Fusarium, and Blumeria exhibited the highest abundance. The abundance of Mortierella ranged from 9.3 to 27.1%, Fusarium from 1.1 to 13.4%, and Blumeria from 0.3 to 15.6%. R2 with R3 and R4 with R5 showed high similarity. The application of SML increased the abundance of Mortierella and decreased the abundance of Fusarium.
In Figure 11a, Spearman’s analysis revealed correlations between soil phosphorus forms and the relative abundance of the top 10 fungal phyla: Ascomycota and Basidiomycota showed positive correlations with the available phosphorus; Zygomycota and Chytridiomycota with H2O-P; Basidiomycota and Chytridiomycota with NaHCO3-Pi; Zygomycota and Basidiomycota with NaHCO3-Po; Zygomycota and Oomycota with NaOH-Pi; Ascomycota and Zygomycota with NaOH-Po; Zygomycota and Mucoromycota with HCl-P; and Glomeromycota exhibited negative correlations with all phosphorus forms.
In Figure 11b, correlation analysis at the genus level between the relative abundance of the top 10 species and phosphorus forms revealed that Blumeria and Piloderma were positively correlated with the available phosphorus; Zygomycetes and Cladosporium with H2O-P; Zygomycetes and Cladosporium with NaHCO3-Pi; Piloderma and Zygomycetes with NaHCO3-Po; Blumeria and Zygomycetes with NaOH-Pi; Blumeria and Piloderma with NaOH-Po; Piloderma and Zygomycetes with HCl-P; and Fusarium exhibited negative correlations with all forms of phosphorus.
Utilizing FUNGuild for functional prediction, we identified the 20 most abundant fungal species and conducted cluster analysis via heat map visualization [37]. The analysis revealed that plant-pathogenic fungi had the highest abundance, followed by saprotrophic fungi and fungi possessed both plant-pathogenic and saprotrophic traits (Figure 12). Comparative analysis of locations R3 and R1 indicated a decrease in pathotrophic fungal populations at R3, with a predominance of saprotrophic fungi, notably wood and soil saprotrophs, whereas R1 was primarily characterized by leaf saprotrophs. These findings suggest that fungi predominantly acquire nutrients by damaging or degrading host cells [38]. Available phosphorus is a key driving factor and has a positive correlation with some bacterial and fungal species, which may affect community composition by regulating intracellular energy metabolism (such as ATP synthesis).
This study investigated the effects of the combined application of SML and phosphorus fertilizer on soil phosphorus forms and microbiota.
Following the application of SML, soil pH values were increased in response to rising the proportion of SML. The application of fertilizers significantly increased the soil EC values, which further escalated with an increasing proportion of chemical fertilizer. Compared to the other treatments, the EC values of the C1 and C5 treatments were further increased to about 300 μS/cm because, when fertilizer was applied to the soil, the ions and salts in the fertilizer were absorbed by the soil or dissolved in the soil water, thereby increasing the soluble salt concentration in the soil, with these ions and salts enhancing the electrical conductivity of the soil. Between the T1 and T2 growth stages, the overall soil available phosphorus content was increased; however, between the T2 and T3 growth stages, it was generally decreased. Compared to chemical fertilizer, SML more significantly enhanced the available soil phosphorus content, with the effect becoming more pronounced at high application ratios. SML facilitated the conversion of stable phosphorus to labile phosphorus in the soil and assisted in the transformation of organic phosphorus to inorganic phosphorus. Furthermore, applying SML increased the content of H2O-P, NaHCO3-Pi, and NaHCO3-Po in the soil and promoted the conversion of NaOH-Po to NaHCO3-Po.
The impact of different fertilization treatments on bacterial diversity in the 0–20 cm soil layer was not significant, and the use of high proportions of SML was not conducive in increasing bacterial species. The dominant bacterial genus was RB41. In fungi, the most dominant genus was Mortierella. In the bacterial community, Proteobacteria and Actinobacteria were positively correlated with the available phosphorus. Similarly, in the fungal community, Ascomycota and Basidiomycota showed a positive correlation with the available phosphorus. Bacteria are primarily responsible for metabolic activities, while fungi mainly obtain nutrients through invading host cells.
Organic materials such as fertilizers are good and natural resources to improve and restore the soil’s physical properties by the addition of essential nutrients [1,6,10]. Soil also has nutrient reserves like nitrogen and phosphorous but not in available forms; although, treated organic material applications to soil improve nutrient arability for crops [39]. Natural organic materials also have adsorption capacity to reduce nutrient loss and further improve the nutrient status, availability, and uptake by crops [1,40,41]. Additionally, organic material additions may positively impact soil enzymes and thus improve the microbial dynamics in soil to restore the soil properties indirectly [42]; although, more detailed research is needed to investigate the mechanism. The nature-based organic matters in soil facilitate pH correction and ensure the activity of organic P hydrolases enzyme and phosphatases activities [43]. These certain enzymes are very important to the soil system for the pursuit of nutrients for the microbial community to balance the microbial biomass phosphorus [44]. It is worth mentioning that the analysis of soil microorganisms in this experiment has not been further explored, and variables such as phosphorus-solving microorganisms can be added for exploration in the subsequent study, which provides a certain database for the subsequent corresponding experiments. Soil enzymes can also be explored to further advance the co-application of swine manure liquids, especially concerning the molecular mechanism behind it. The holistic approach of organic biomaterial co-application ensures ecosystem multifunctionality by improving the nutrient balance, pH, and microbial dynamics, thus improving the overall soil properties.

4. Conclusions

In conclusion, the combined co-application of chemical fertilizer and swine manure liquid upon treatment demonstrated superior phosphorous availability and improved soil microbial and fungal dynamics in the present study under field conditions. These findings suggest that the alternative co-application of swine manure liquid to restores soil properties, reduces the quantity of chemical fertilizers, better manages pig farm residues, provides better sustainable practices to meet the demands of new regulations, and also aligns with the Sustainable Development Goals. Future research could explore the effects of SML applications in different soil and climatic conditions to further validate its sustainability and versatility. Additionally, long-term studies assessing the cumulative effects of SML over multiple growing seasons are recommended to ensure its sustainability and resilience under various field conditions.

Supplementary Materials

The following supporting information can be downloaded at: https://www.mdpi.com/article/10.3390/su17052037/s1. Figure S1: Distribution of experimental plots. Table S1: Nutrient inputs for different treatments (kg/hm2).

Author Contributions

M.P.: Performing experiments, investigation, analysis, data collection and curation, methodology, creating Figures, formal analysis, and writing the draft manuscript. Y.Z.: Data curation, validation, visualization, and editing the manuscript. S.M., S.F.A., R.K.S., S.F.A.-E., and H.T.: Conceptualization, guiding, writing, editing, and proofreading for the entire manuscript. T.Z.: Conceptualization, research ideas, supervision, foundation, experimental guiding, technical facilities, methodology, investigation, visualization, writing the draft, editing and proofreading the manuscript, and corresponding. All authors have read and agreed to the published version of the manuscript.

Funding

The research was sustained by a grant from the National Key Research and Development Program of China “Intergovernmental Cooperation in International Science and Technology Innovation” [Grant number 2023YFE0104700], and the National Natural Science Foundation of China [Grant Number 31401944].

Data Availability Statement

The data presented in this study are available on request from the corresponding author.

Conflicts of Interest

The authors declare that they have no known competing financial interest or personal relationships that could have appeared to influence the work reported in this paper.

References

  1. Xu, Q.; Zhang, T.; Niu, Y.Q.; Mukherjee, S.; Abou-Elwafa, S.F.; Nguyen, N.S.H.; Al Aboud, N.M.; Wang, Y.K.; Pu, M.J.; Zhang, Y.R.; et al. A comprehensive review on agricultural waste utilization through sustainable conversion techniques, with a focus on the additives effect on the fate of phosphorus and toxic elements during composting process. Sci. Total Environ. 2024, 942, 173567. [Google Scholar] [CrossRef] [PubMed]
  2. Hollas, C.E.; Do Amaral, K.; Lange, M.V.; Higarashi, M.M.; Steinmetz, R.; Barros, E.C.; Mariani, L.F.; Nakano, V.; Kunz, A.; Sanches-Pereira, A.; et al. Life cycle assessment of waste management from the Brazilian pig chain residues in two perspectives: Electricity and biomethane production. J. Clean. Prod. 2022, 354, 131654. [Google Scholar] [CrossRef]
  3. Polley, S.; Biswas, S.; Kesh, S.S.; Maity, A.; Batabyal, S. The link between animal manure and zoonotic disease. Anim. Manure 2022, 64, 297–333. [Google Scholar]
  4. Zhang, T.; Xu, H.Y.; Li, H.H.; He, X.Y.; Shi, Y.J.; Kruse, A. Microwave digestion-assisted HFO/biochar adsorption to recover phosphorus from swine manure. Sci. Total Environ. 2018, 621, 1512–1526. [Google Scholar] [CrossRef]
  5. Varma, V.S.; Parajuli, R.; Scott, E.; Canter, T.; Lim, T.T.; Popp, J.; Thoma, G. Dairy and swine manure management-Challenges and perspectives for sustainable treatment technology. Sci. Total Environ. 2021, 778, 146319. [Google Scholar] [CrossRef]
  6. Zhang, T.; Wu, X.S.; Shaheen, S.M.; Zhao, Q.; Liu, X.J.; Rinklebe, J.; Ren, H.Q. Ammonium nitrogen recovery from digestate by hydrothermal pretreatment followed by activated hydrochar sorption. Chem. Eng. J. 2020, 379, 122254. [Google Scholar] [CrossRef]
  7. Candido, D.; Bolsan, A.C.; Hollas, C.E.; Venturin, B.; Tápparo, D.C.; Bonassa, G.; Antes, F.G.; Steinmetz, R.; Bortoli, M.; Kunz, A. Integration of swine manure anaerobic digestion and digestate nutrients removal/recovery under a circular economy concept. J. Environ. Manag. 2022, 301, 113825. [Google Scholar] [CrossRef]
  8. Fang, C.; Zhang, T.; Jiang, R.F.; Ohtake, H. Phosphate enhance recovery from wastewater by mechanism analysis and optimization of struvite settleability in fluidized bed reactor. Sci. Rep. 2016, 6, 32215. [Google Scholar] [CrossRef]
  9. Deng, Y.; Zhang, T.; Clark, J.; Aminabhavi, T.; Kruse, A.; Tsang, D.C.W.; Sharma, B.K.; Zhang, F.S.; Ren, H.Q. Mechanisms and modelling of phosphorus solid–liquid transformation during the hydrothermal processing of swine manure. Green Chem. 2020, 22, 5628–5638. [Google Scholar] [CrossRef]
  10. He, X.M.; Zhang, T.; Ren, H.Q.; Li, G.X.; Ding, L.L.; Pawlowski, L. Phosphorus recovery from biogas slurry by ultrasound/H2O2 digestion coupled with HFO/biochar adsorption process. Waste Manag. 2017, 60, 219–229. [Google Scholar] [CrossRef]
  11. Duan, Y.H.; Yang, H.B.; Shi, T.H.; Zhang, W.J.; Xu, M.G.; Gao, S.D. Long-term manure application to improve soil macroaggregates and plant-available nitrogen in a mollisol. Soil Till. Res. 2021, 211, 105035. [Google Scholar] [CrossRef]
  12. Ahmed, W.; Huang, J.; Kaillou, L.; Qaswar, M.; Khan, M.N.; Chen, J.; Sun, G.; Huang, Q.H.; Liu, Y.R.; Liu, G.R.; et al. Changes in phosphorus fractions associated with soil chemical properties under long-term organic and inorganic fertilization in paddy soils of southern China. PLoS ONE 2019, 14, 0216881. [Google Scholar] [CrossRef] [PubMed]
  13. Yang, Z.Y.; Zhang, Y.P.; Wang, Y.Z.; Zhang, H.F.; Zhu, Q.R.; Yan, B.J.; Fei, J.C.; Rong, X.M.; Peng, J.W.; Luo, G.W. Intercropping regulation of soil phosphorus composition and microbially-driven dynamics facilitates maize phosphorus uptake and productivity improvement. Field Crop. Res. 2022, 287, 108666. [Google Scholar] [CrossRef]
  14. Gu, Y.; Zhang, X.; Tu, S.; Lindstrom, K. Soil microbial biomass, crop yields, and bacterial community structure as affected by long-term fertilizer treatments under wheat-rice cropping. Eur. J. Soil Biol. 2009, 45, 239–246. [Google Scholar] [CrossRef]
  15. Liao, J.C. Environmental Quality Evaluation of Soil and Irrigation Water of Tea Garden in Anxi County, China. J. Agric. Resour. Environ. 2013, 30, 72. [Google Scholar]
  16. Zhang, Q.M.; Xiang, R.J.; Zhan, L.; Wan, Y.; Zhong, Z.Y.; You, X.Y.; Qi, Y. Content and morphology characteristics of heavy metals in phosphate fertilizers in Hunan province. Nonferr. Met. Sci. Eng. 2016, 7, 125–130. [Google Scholar]
  17. Zhou, Y.R.; Ni, T.; Wei, L.U.; Yu, Z.; Guang, W.; Shi, H.; Gang, Z.; Gao, Q. Mechanism of heterogeneous distribution of Cr-containing dispersoids in DC casting 7475 aluminum alloy. Trans. Nonferr. Met. Soc. China 2022, 32, 1416–1427. [Google Scholar] [CrossRef]
  18. Coutu, A.; Mottelet, S.; Guérin, S.; Rocher, V.; Pauss, A.; Ribeiro, T. Methane yield optimization using mix response design and bootstrapping: Application to solid-state anaerobic co-digestion process of cattle manure and damp grass. Bioresour. Tech. Rep. 2022, 17, 100883. [Google Scholar] [CrossRef]
  19. Su, X.H.; Zhang, T.; Zhao, J.Y.; Mukherjee, S.; Alotaibi, N.M.; Abou-Elwafa, S.F.; Tran, H.T.; Bolan, N.S. Phosphorus fraction in hydrochar from co-hydrothermal carbonization of swine manure and rice straw: An optimization analysis based on response surface methodology. Water 2024, 16, 2208. [Google Scholar] [CrossRef]
  20. Aula, L.; Omara, P.; Dhillon, J.S.; Fornah, A.; Raun, W.R. Influence of applied cattle manure on winter wheat (Triticumaestivum L.) Grain yield, soil pH and soil organic carbon. Commun. Soil Sci. Plan. 2019, 50, 2056–2064. [Google Scholar] [CrossRef]
  21. Laurent, C.; Bravin, M.N.; Crouzet, O.; Pelosi, C.; Tillard, E.; Lecomte, P.; Lamy, I. Increased soil pH and dissolved organic matter after a decade of organic fertilizer application mitigates copper and zinc availability despite contamination. Sci. Total Environ. 2020, 709, 135927. [Google Scholar] [CrossRef] [PubMed]
  22. Dong, W.; Zhang, X.; Wang, H.; Dai, X.Q.; Sun, X.M.; Qiu, W.W.; Yang, F.T. Effect of different fertilizer application on the soil fertility of paddy soils in red soil region of southern China. PLoS ONE 2012, 7, 0044504. [Google Scholar] [CrossRef] [PubMed]
  23. Eghball, B. Soil properties as influenced by phosphorus- and nitrogen-based manure and compost applications. Agron. J. 2022, 94, 128–135. [Google Scholar]
  24. Song, K.; Xue, Y.; Zheng, X.Q.; Lv, W.G.; Qiao, H.X.; Qin, Q.; Yang, J.J. Effects of the continuous use of organic manure and chemical fertilizer on soil inorganic phosphorus fractions in calcareous soil. Sci. Rep. 2017, 7, 1164. [Google Scholar] [CrossRef] [PubMed]
  25. Arif, M.; Ali, S.; Ilyas, M.; Riaz, M.; Akhtar, K.; Ali, K.; Adnan, M.; Fahad, S.; Khan, I.; Shah, S.H.; et al. Enhancing phosphorus availability, soil organic carbon, maize productivity and farm profitability through biochar and organic-inorganic fertilizers in an irrigated maize agroecosystem under semi-arid climate. Soil Use Manag. 2021, 37, 104–119. [Google Scholar] [CrossRef]
  26. Xun, W.B.; Xiong, W.; Huang, T.; Ran, W.; Li, D.C.; Shen, Q.R.; Li, Q.; Zhang, R.F. Swine manure and quicklime have different impacts on chemical properties and composition of bacterial communities of an acidic soil. Appl. Soil Ecol. 2016, 100, 38–44. [Google Scholar] [CrossRef]
  27. Qaswar, M.; Li, D.C.; Huang, J.; Han, T.F.; Ahmed, W.; Ali, S.; Khan, M.N.; Khan, Z.H.; Xu, Y.M.; Li, Q.; et al. Dynamics of organic carbon and nitrogen in deep soil profile and crop yields under long-term fertilization in wheat-maize cropping system. J. Integr. Agric. 2022, 21, 826–839. [Google Scholar] [CrossRef]
  28. Gil-Sotres, F.; Trasar-Cepeda, C.; Leirós, M.C.; Seoane, S. Different approaches to evaluating soil quality using biochemical properties. Soil Boil. Biochem. 2005, 37, 877–887. [Google Scholar] [CrossRef]
  29. Cui, X.W.; Zhang, Y.Z.; Gao, J.S.; Peng, F.Y.; Gao, P. Long-term combined application of manure and chemical fertilizer sustained higher nutrient status and rhizospheric bacterial diversity in reddish paddy soil of central south China. Sci. Rep. 2018, 8, 16554. [Google Scholar] [CrossRef]
  30. Wang, Q.F.; Jiang, X.; Guan, D.W.; Wei, D.; Zhao, B.S.; Ma, M.C.; Chen, S.F.; Li, L.; Cao, F.M.; Li, J. Long-term fertilization changes bacterial diversity and bacterial communities in the maize rhizosphere of Chinesemollisols. Appl. Soil Ecol. 2018, 125, 88–96. [Google Scholar] [CrossRef]
  31. Zhu, M.; Xu, D.; Si, G.; Peng, C.; Yuan, J.; Zhao, S. Effects of different organic fertilisers on the microbial functional diversity and bacterial communities in a tobacco soil. Arch. Agron. Soil Sci. 2022, 69, 1566–1578. [Google Scholar] [CrossRef]
  32. Bi, Q.F.; Li, K.J.; Zheng, B.X.; Liu, X.P.; Li, H.Z.; Jin, B.J.; Ding, K.; Yang, X.R.; Lin, X.Y.; Zhu, Y.G. Partial replacement of inorganic phosphorus (P) by organic manure reshapes phosphate mobilizing bacterial community and promotes P bioavailability in a paddy soil. Sci. Total Environ. 2020, 703, 134977. [Google Scholar] [CrossRef] [PubMed]
  33. Li, Y.; Liu, X.M.; Zhang, L.; Xie, Y.H.; Cai, X.L.; Wang, S.J.; Lian, B. Effects of short-term application of chemical and organic fertilizers on bacterial diversity of cornfield soil in a karst area. J. Soil Sci. Plant Nut. 2020, 20, 2048–2058. [Google Scholar] [CrossRef]
  34. Rahman, M.S.; Schefe, C.; Weatherley, A. The combined addition of citric and aromatic organic acids to an acid soil prolongs phosphorus availability. Soil Sci. Soc. Am. J. 2023, 87, 797–807. [Google Scholar] [CrossRef]
  35. Wakelin, S.A.; Colloff, M.J.; Harvey, P.R.; Marschner, P.; Gregg, A.L.; Rogers, S.L. The effects of stubble retention and nitrogen application on soil microbial community structure and functional gene abundance under irrigated maize. FEMS Microbiol. Ecol. 2007, 59, 661–670. [Google Scholar] [CrossRef]
  36. Wu, L.N.; Jiang, Y.; Zhao, F.Y.; He, X.F.; Liu, H.F.; Yu, K. Increased organic fertilizer application and reduced chemical fertilizer application affect the soil properties and bacterial communities of grape rhizosphere soil. Sci. Rep. 2020, 10, 9568. [Google Scholar] [CrossRef]
  37. Tanunchai, B.; Ji, L.; Schroeter, S.A.; Wahdan, S.; Hossen, S.; Delelegn, Y.; Buscot, F.; Lehnert, A.S.; Alves, E.G.; Hilke, I.; et al. Fungaltraits vs. Funguild: Comparison of ecological functional assignments of leaf- and needle-associated fungi across 12 temperate tree species. Microb. Ecol. 2023, 85, 411–428. [Google Scholar] [CrossRef]
  38. Mukherjee, P.K.; Mendoza-Mendoza, A.; Zeilinger, S.; Horwitz, B.A. Mycoparasitism as a mechanism of trichoderma-mediated suppression of plant diseases. Fungal Biol. Rev. 2022, 39, 15–33. [Google Scholar] [CrossRef]
  39. Ibrahim, M.M.; Zhang, H.X.; Guo, L.M.; Chen, Y.L.; Heiling, M.; Zhou, B.Q.; Mao, Y.L. Biochar interaction with chemical fertilizer regulates soil organic carbon mineralization and the abundance of key C-cycling-related bacteria in rhizosphere soil. Eur. J. Soil Biol. 2021, 106, 103350. [Google Scholar] [CrossRef]
  40. Xie, S.Y.; He, X.Y.; Ali Alshehri, M.; Abou-Elwafa, S.F.; Zhang, T. Elevated effect of hydrothermal treatment on phosphorus transition between solid-liquid phase in swine manure. Results Eng. 2024, 24, 102887. [Google Scholar] [CrossRef]
  41. Liu, G.; Xu, Q.; Abou-Elwafa, S.F.; Ali Alshehri, M.; Zhang, T. Hydrothermal carbonization technology for wastewater treatment under the “Dual Carbon” goals: Current status, trends, and challenges. Water 2024, 16, 1749. [Google Scholar] [CrossRef]
  42. Dominchin, M.F.; Verdenelli, R.A.; Berger, M.G.; Aoki, A.; Meriles, J.M. Impact of N-fertilization and peanut shell biochar on soil microbial community structure and enzyme activities in a Typic Haplustoll under different management practices. Eur. J. Soil Biol. 2021, 104, 103298. [Google Scholar] [CrossRef]
  43. Neina, D. The role of soil pH in plant nutrition and soil remediation. Appl. Environ. Soil Sci. 2019, 5794869. [Google Scholar] [CrossRef]
  44. Azeem, M.; Hayat, R.; Hussain, Q.; Tahir, M.I.; Imran, M.; Abbass, Z.; Sajid, M.; Latif, A.; Irfan, M. Effects of biochar and NPK on soil microbial biomass and enzyme activity during 2 years of application in the arid region. Arab. J. Geosci. 2019, 12, 311. [Google Scholar] [CrossRef]
Figure 1. Soil pH values under different fertilization treatments at two soil layers. (a) depicts 0–20 cm soil depth, and (b) depicts 20–40 cm soil depth. CK, control treatment that received no fertilization; C1, treated with chemical fertilizer only; C2, treated with SML only; C3, treated with 75% SML + 25% chemical fertilizer; C4, treated with 50% SML + 50% chemical fertilizer; C5, treated with 25% SML + 75% chemical fertilizer. A group labeled “a” is significantly different from a group labeled “b”. A group labeled “ab” overlaps in significance with both “a” and “b” groups (i.e., it is not statistically distinct from either).
Figure 1. Soil pH values under different fertilization treatments at two soil layers. (a) depicts 0–20 cm soil depth, and (b) depicts 20–40 cm soil depth. CK, control treatment that received no fertilization; C1, treated with chemical fertilizer only; C2, treated with SML only; C3, treated with 75% SML + 25% chemical fertilizer; C4, treated with 50% SML + 50% chemical fertilizer; C5, treated with 25% SML + 75% chemical fertilizer. A group labeled “a” is significantly different from a group labeled “b”. A group labeled “ab” overlaps in significance with both “a” and “b” groups (i.e., it is not statistically distinct from either).
Sustainability 17 02037 g001aSustainability 17 02037 g001b
Figure 2. Soil EC values under different fertilization treatments at two soil layers. (a) depicts 0–20 cm soil depth, and (b) depicts 20–40 cm soil depth. CK, control treatment that received no fertilization; C1, treated with chemical fertilizer only; C2, treated with SML only; C3, treated with 75% SML + 25% chemical fertilizer; C4, treated with 50% SML + 50% chemical fertilizer; C5, treated with 25% SML + 75% chemical fertilizer. A group labeled “a” is significantly different from a group labeled “b”. A group labeled “ab” overlaps in significance with both “a” and “b” groups (i.e., it is not statistically distinct from either). The order of the letters (e.g., a, b, c, d) reflects the magnitude of the group means, with “a” representing the highest mean and “d” representing the lowest mean.
Figure 2. Soil EC values under different fertilization treatments at two soil layers. (a) depicts 0–20 cm soil depth, and (b) depicts 20–40 cm soil depth. CK, control treatment that received no fertilization; C1, treated with chemical fertilizer only; C2, treated with SML only; C3, treated with 75% SML + 25% chemical fertilizer; C4, treated with 50% SML + 50% chemical fertilizer; C5, treated with 25% SML + 75% chemical fertilizer. A group labeled “a” is significantly different from a group labeled “b”. A group labeled “ab” overlaps in significance with both “a” and “b” groups (i.e., it is not statistically distinct from either). The order of the letters (e.g., a, b, c, d) reflects the magnitude of the group means, with “a” representing the highest mean and “d” representing the lowest mean.
Sustainability 17 02037 g002
Figure 3. Effective phosphorus content in soil under different fertilization treatments at two soil layers. (a) depicts 0–20 cm soil depth, and (b) depicts 20–40 cm soil depth. CK, control treatment that received no fertilization; C1, treated with chemical fertilizer only; C2, treated with SML only; C3, treated with 75% SML + 25% chemical fertilizer; C4, treated with 50% SML + 50% chemical fertilizer; C5, treated with 25% SML + 75% chemical fertilizer. A group labeled “a” is significantly different from a group labeled “b”. A group labeled “ab” overlaps in significance with both “a” and “b” groups (i.e., it is not statistically distinct from either).
Figure 3. Effective phosphorus content in soil under different fertilization treatments at two soil layers. (a) depicts 0–20 cm soil depth, and (b) depicts 20–40 cm soil depth. CK, control treatment that received no fertilization; C1, treated with chemical fertilizer only; C2, treated with SML only; C3, treated with 75% SML + 25% chemical fertilizer; C4, treated with 50% SML + 50% chemical fertilizer; C5, treated with 25% SML + 75% chemical fertilizer. A group labeled “a” is significantly different from a group labeled “b”. A group labeled “ab” overlaps in significance with both “a” and “b” groups (i.e., it is not statistically distinct from either).
Sustainability 17 02037 g003aSustainability 17 02037 g003b
Figure 4. Phosphorus composition of different forms and proportion of organic phosphorus and inorganic phosphorus content in soil under different fertilization treatments two soil layers, i.e., 0–20 cm soil depth (af), and 20–40 cm soil depth (gl), at three growth stages: T1, tillering stage; T2, grain filling stage; and T3, maturity stage. CK, control treatment that received no fertilization; C1, treated with chemical fertilizer only; C2, treated with SML only; C3, treated with 75% SML + 25% chemical fertilizer; C4, treated with 50% SML + 50% chemical fertilizer; C5, treated with 25% SML + 75% chemical fertilizer.
Figure 4. Phosphorus composition of different forms and proportion of organic phosphorus and inorganic phosphorus content in soil under different fertilization treatments two soil layers, i.e., 0–20 cm soil depth (af), and 20–40 cm soil depth (gl), at three growth stages: T1, tillering stage; T2, grain filling stage; and T3, maturity stage. CK, control treatment that received no fertilization; C1, treated with chemical fertilizer only; C2, treated with SML only; C3, treated with 75% SML + 25% chemical fertilizer; C4, treated with 50% SML + 50% chemical fertilizer; C5, treated with 25% SML + 75% chemical fertilizer.
Sustainability 17 02037 g004aSustainability 17 02037 g004b
Figure 5. Effect of different fertilization treatments on beta diversity of soil bacteria.
Figure 5. Effect of different fertilization treatments on beta diversity of soil bacteria.
Sustainability 17 02037 g005
Figure 6. Community structure of bacteria under different fertilization treatments (a) with horizontal community composition of bacterial phylum (b) and bacterial genera (c).
Figure 6. Community structure of bacteria under different fertilization treatments (a) with horizontal community composition of bacterial phylum (b) and bacterial genera (c).
Sustainability 17 02037 g006
Figure 7. Correlation analysis of bacterial gate levels with graded phosphorus (a) and bacterial genus levels and graded phosphorus (b) under different fertilization treatments. (* indicates that the significance level reaches p < 0.05. ** indicates that the significance level reaches p < 0.01).
Figure 7. Correlation analysis of bacterial gate levels with graded phosphorus (a) and bacterial genus levels and graded phosphorus (b) under different fertilization treatments. (* indicates that the significance level reaches p < 0.05. ** indicates that the significance level reaches p < 0.01).
Sustainability 17 02037 g007aSustainability 17 02037 g007b
Figure 8. Predicted bacterial community functions under different fertilization treatments.
Figure 8. Predicted bacterial community functions under different fertilization treatments.
Sustainability 17 02037 g008
Figure 9. Effect of different fertilization treatments on beta diversity of soil fungi.
Figure 9. Effect of different fertilization treatments on beta diversity of soil fungi.
Sustainability 17 02037 g009
Figure 10. Community structure of fungi under different fertilization treatments (a) with horizontal community composition of fungi phylum (b) and fungi genera (c).
Figure 10. Community structure of fungi under different fertilization treatments (a) with horizontal community composition of fungi phylum (b) and fungi genera (c).
Sustainability 17 02037 g010
Figure 11. Correlation analysis of phylum level (a) and genus level (b) and graded phosphorus of fungi under different fertilization treatments. (* indicates that the significance level reaches p < 0.05).
Figure 11. Correlation analysis of phylum level (a) and genus level (b) and graded phosphorus of fungi under different fertilization treatments. (* indicates that the significance level reaches p < 0.05).
Sustainability 17 02037 g011
Figure 12. Predicted fungal community functions under different fertilizer treatments.
Figure 12. Predicted fungal community functions under different fertilizer treatments.
Sustainability 17 02037 g012
Table 1. Composition of swine manure liquid compared to national standard.
Table 1. Composition of swine manure liquid compared to national standard.
ParametersMeasured ValueAgricultural StandardDetection Basis
pH8.25.5–8.5GB/T 6920 [15]
Cadmium0.00014 mg/kg≤0.04 mg/kgGB/T 23349 [16]
Mercury<0.00004 mg/kg≤0.4 mg/kgGB/T 23349 [16]
Arsenic0.0028 mg/kg≤0.3 mg/kgGB/T 23349 [16]
Lead0.0153 mg/kg≤1.2 mg/kgGB/T 23349 [16]
Copper0.1 mg/kg≤1 mg/kgGB 7475 [17]
Zinc0.666 mg/kg≤2 mg/kgGB 7475 [17]
Note: The agricultural standard adopts the Chinese standard, and the testing method is the same as that stipulated in the Chinese national standard.
Table 2. Changes in phosphorus fraction in soil under different fertilization treatments.
Table 2. Changes in phosphorus fraction in soil under different fertilization treatments.
Soil LayerGroupTreatmentH2O-P (mg/kg)NaHCO3-P (mg/kg)NaOH-P (mg/kg)HCl-P (mg/kg)Residual-P (mg/kg)
PiPoPiPo
0–20 cmT1CK3.30 c34.67 a14.17 b147.2 a45.12 a611.79 a115.4 bc
C14.45 ab31.23 a24.64 ab151.2 a64.12 a706.05 a128.2 b
C25.75 a40.24 a36.21 a145.6 a71.40 a615.06 a106.2 c
C35.82 a41.4 a27.47 ab198.4 a57.92 a616.64 a153.8 a
C44.49 ab30.37 a22.61 ab150.7 a50.48 a798.24 a120.7 bc
C53.68 c30.33 a24.40 ab181.4 a65.80 a668.63 a148.3 a
T2CK2.99 b27.91 b17.28 a164.56 c72.04 a555.54 b132.41 b
C12.39 b41.03 a15.15 a219.36 ab89.27 a585.06 ab185.18 a
C28.80 a43.72 a12.47 a194.68 bc43.40 ab706.63 ab142.87 b
C36.38 a38.86 ab10.75 a175.36 bc33.60 b722.83 ab125.39 b
C46.06 a43.52 a12.63 a265.92 a41.40 ab606.48 ab184.40 a
C57.24 a42.43 a13.68 a177.01 bc17.68 b759.30 a116.80 b
T3CK4.45 b29.71 b7.20 b177.48 bc11.48 a519.07 b113.36 ab
C17.28 b34.37 ab9.93 b195.64 abc11.28 a647.01 ab124.14 ab
C29.06 a30.76 ab17.06 a233.80 ab28.76 a591.43 ab157.55 a
C35.43 b27.58 b12.01 ab150.44 b23.12 a604.75 ab104.15 b
C46.03 b45.18 a14.64 ab259.64 a21.08 a536.44 b163.64 a
C55.69 b34.24 ab13.73 ab178.64 bc26.96 a709.52 a123.36 ab
20–40 cmT1CK0.285 c9.86 b10.02 b48.9 bc23.76 a434.64 abc46.85 a
C11.055 b14.5 b13.41 b64.18 abc26.54 a378.37 bc58.72 a
C22.7 a27.02 a21.37 a82.83 a26.64 a542.31 a71.21 a
C30.86 bc10.03 b10.14 b48.47 bc25.01 a490.90 ab47.32 a
C40.635 bc8.07 b10.01 b44.29 c23.67 a467.98 ab43.73 a
C51.345 a11.85 b11.04 b76.97 ab16.51 a295.01 c61.22 a
T2CK1.535 ab7.27 b14.92 a58.32 bcd17.64 b402.72 a57.31 b
C10.51 b12.84 b25.71 a87.02 ab10.42 b389.98 a64.97 b
C24.70 a8.27 b13.01 a33.18 d26.09 ab521.39 a39.52 b
C31.99 ab8.50 b10.74 a40.93 cd24.66 ab451.92 a43.73 b
C42.22 ab13.97 a7.08 b115.72 a30.66 a432.82 a77.61 a
C51.33 b14.63 a6.41 b76.96 bc19.94 b449.03 a57.94 b
T3CK0.645 a11.94 a6.70 a58.95 ab11.23 a378.41 a60.12 ab
C11.225 a16.45 a5.95 a67.12 ab34.77 a428.19 a67.93 ab
C22.475 a9.36 a4.14 ab76.75 a34.53 a389.45 a54.19 ab
C32.165 a10.75 a9.57 a28.15 b25.03 a425.88 a35.46 b
C41.94 a9.93 a8.11 a96.87 a16.96 a455.39 a75.89 a
C50.715 a15.42 a3.90 b83.25 a17.16 a385.35 a60.28 ab
Note: The different letters indicate significant differences among the different treatments (p < 0.05), and the data are the means of the triplicates.
Table 3. Effect of different fertilization treatments on alpha diversity of soil bacteria and fungi.
Table 3. Effect of different fertilization treatments on alpha diversity of soil bacteria and fungi.
BacterialTreatmentOTUsDiversity indexEffective strip numberACE
Shannon indexChao1 indexSimpson index
R1471910.045162.260.9971.14 × 1055245
R245649.975040.420.9971.12 × 1055111
R344089.814823.250.9961.11 × 1054892
R4463710.015113.220.9971.14 × 1055191
R546429.995085.440.9971.17 × 1055195
R6475010.025204.740.9971.16 × 1055279
FungiTreatmentOTUsDiversity indexEffective strip numberACE
Shannon indexChao1 indexSimpson index
R19925.4861098.840.9351.14 × 1051116
R211015.4371214.370.9271.09 × 1051229
R38435.729926.710.9551.11 × 105942
R48095.416901.750.9361.11 × 105923
R57824.683877.650.8721.16 × 105903
R68235.092927.110.9181.11 × 105948
Disclaimer/Publisher’s Note: The statements, opinions and data contained in all publications are solely those of the individual author(s) and contributor(s) and not of MDPI and/or the editor(s). MDPI and/or the editor(s) disclaim responsibility for any injury to people or property resulting from any ideas, methods, instructions or products referred to in the content.

Share and Cite

MDPI and ACS Style

Pu, M.; Zhang, Y.; Mukherjee, S.; Alharbi, S.F.; Singh, R.K.; Abou-Elwafa, S.F.; Trindade, H.; Zhang, T. Impact of Combined Application of Swine Manure Liquid and Phosphorus Fertilizers on Soil Phosphorus and Microbial Communities. Sustainability 2025, 17, 2037. https://doi.org/10.3390/su17052037

AMA Style

Pu M, Zhang Y, Mukherjee S, Alharbi SF, Singh RK, Abou-Elwafa SF, Trindade H, Zhang T. Impact of Combined Application of Swine Manure Liquid and Phosphorus Fertilizers on Soil Phosphorus and Microbial Communities. Sustainability. 2025; 17(5):2037. https://doi.org/10.3390/su17052037

Chicago/Turabian Style

Pu, Mingjun, Yingyu Zhang, Santanu Mukherjee, Saif F. Alharbi, Rupesh Kumar Singh, Salah F. Abou-Elwafa, Henrique Trindade, and Tao Zhang. 2025. "Impact of Combined Application of Swine Manure Liquid and Phosphorus Fertilizers on Soil Phosphorus and Microbial Communities" Sustainability 17, no. 5: 2037. https://doi.org/10.3390/su17052037

APA Style

Pu, M., Zhang, Y., Mukherjee, S., Alharbi, S. F., Singh, R. K., Abou-Elwafa, S. F., Trindade, H., & Zhang, T. (2025). Impact of Combined Application of Swine Manure Liquid and Phosphorus Fertilizers on Soil Phosphorus and Microbial Communities. Sustainability, 17(5), 2037. https://doi.org/10.3390/su17052037

Note that from the first issue of 2016, this journal uses article numbers instead of page numbers. See further details here.

Article Metrics

Back to TopTop