Exploring Trade-Offs/Synergies and Drivers of Ecosystem Services in the Dongting Lake Area, China
Abstract
1. Introduction
2. Materials and Methods
2.1. Study Area
2.2. Data Collection and Processing
2.2.1. Topography and Soil Data
2.2.2. Vegetation Data
2.2.3. Climate Data
2.2.4. Socio-Economic Data
2.3. Methods
2.3.1. Quantitation of Ecosystem Services
FP
SC
HQ
EL
2.3.2. Identification of Trade-Offs and Synergies
2.3.3. Space Panel Data Models (SPDMs)
3. Results
3.1. Spatial–Temporal Variations of Ecosystem Services
3.2. Temporal Evolution of Ecosystem Service Trade-Offs and Synergies
3.3. Spatial Distribution of Ecosystem Service Trade-Offs and Synergies
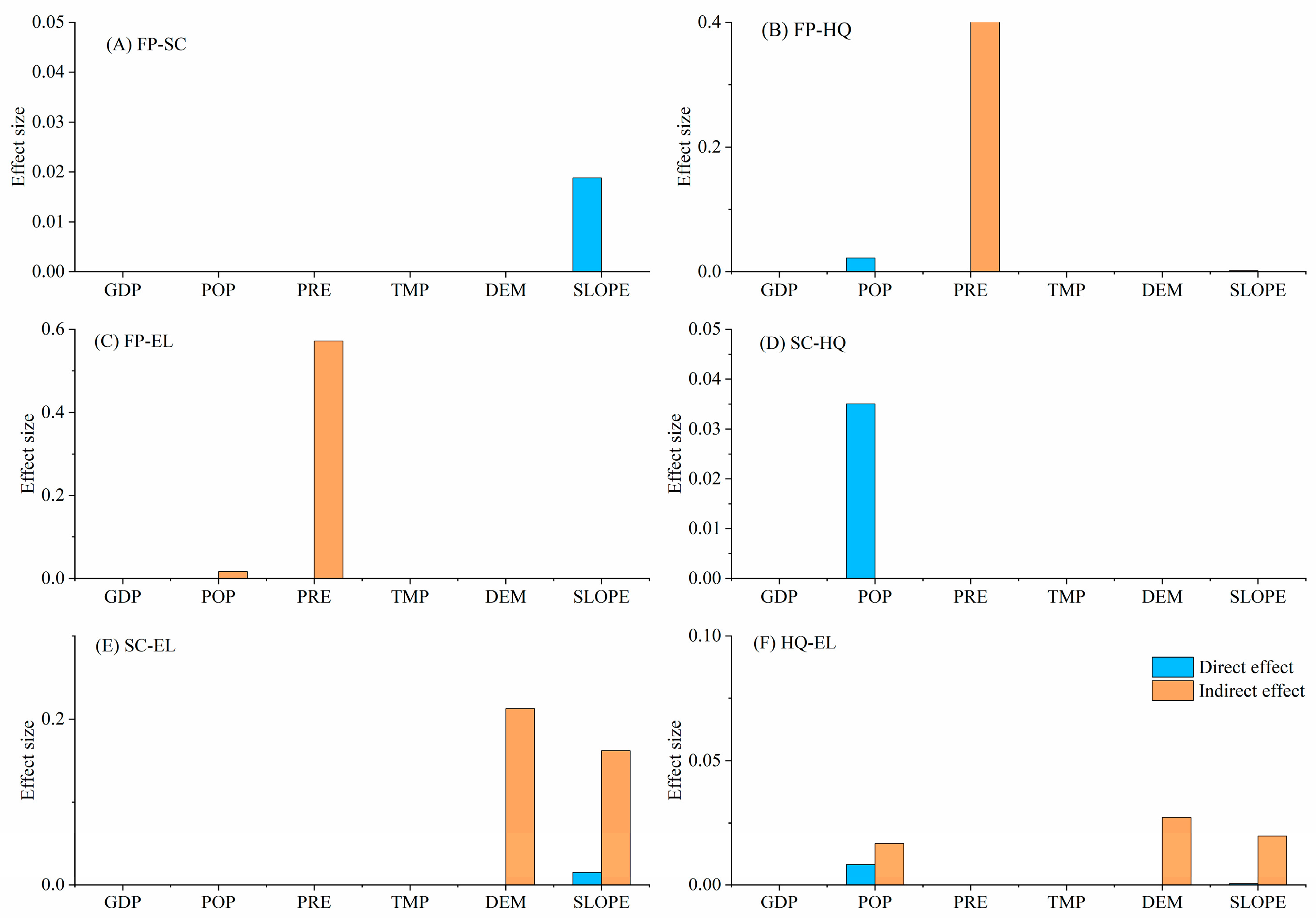
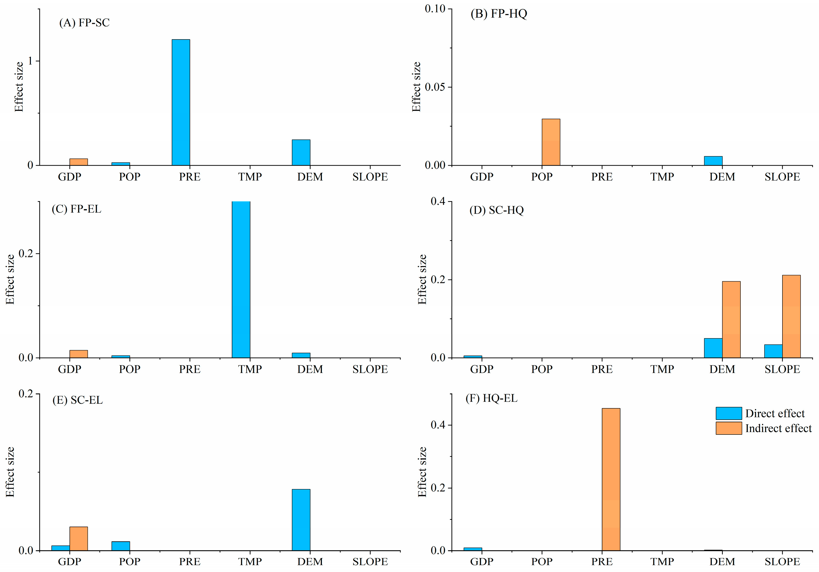
3.4. Drivers of Ecosystem Service Trade-Offs and Synergies
4. Discussion
4.1. Ecosystem Services Changes During 2000–2020
4.2. Analysis of Trade-Offs and Synergies Among Ecosystem Services
4.3. Spatiotemporal Drivers of Ecosystem Service Trade-Off/Synergy
4.4. Implications for Ecosystem Services Management
4.5. Limitations and Prospects
5. Conclusions
- (1)
- FP exhibited consistent growth, primarily concentrated in southeastern areas, whereas HQ declined significantly in peripheral regions due to human activities. The spatial distribution of SC was evident, with higher values mainly in the southwest, northwest, and southeast corners of the study area and showing an increasing trend over time. EL increased gradually over time, primarily concentrated in the northwest and east of the DTLA.
- (2)
- Temporally, FC–SC, FP–HQ and HQ–EL displayed a synergy before a trade-off during 2000–2020. Spatially, the trade-off ratios of FP–HQ, SC–HQ, and HQ–EL exceeded synergy ratios, and trade-off areas of FP–HQ, SC–HQ, and HQ–EL existed around Dongting Lake. The spatial synergy ratios of FP–SC, FP–EL, and SC–EL exceeded trade-off ratios. The trade-off area between FP–SC and FP–EL was predominantly in the southwest and southeast corner, and the SC–EL trade-off area was concentrated in the central region.
- (3)
- The drivers that influence the distribution and changes in ES trade-offs/synergies are different. The DEM and slope facilitated the FP–HQ, FP–EL and SC–EL synergies, and intensified the FP–SC, SC–EL, and HQ–EL trade-offs. Precipitation strengthened the FP–SC and HQ–EL synergies, while exacerbating FP–HQ and FP–EL trade-offs. GDP indirectly promoted FP–SC and FP–EL synergies. Population density promoted FP–SC and SC–EL synergies and directly aggravated FP–HQ, SC–HQ, and HQ–EL trade-offs.
- (4)
- The DTLA was divided into ecological imbalance, SC, HQ synergy, and EL areas. Near Dongting Lake, there are ecological imbalance areas. Dongting Lake is the HQ synergy area. The northwest and southwest corners of DTLA are soil conservation areas. The southeastern corner of DTLA is an EL area. Targeted ecosystem management measures should be implemented in each zone to address ecological issues, promote sustainable development, and achieve harmonious coexistence between humans and nature.
Author Contributions
Funding
Institutional Review Board Statement
Informed Consent Statement
Data Availability Statement
Conflicts of Interest
Abbreviations
References
- Bennett, E.M.; Peterson, G.D.; Gordon, L.J. Understanding relationships among multiple ecosystem services. Ecol. Lett. 2009, 12, 1394–1404. [Google Scholar] [CrossRef] [PubMed]
- Chaplin-Kramer, R.; Sharp, R.P.; Weil, C.; Bennett, E.M.; Pascual, U.; Arkema, K.K.; Brauman, K.A.; Bryant, B.P.; Guerry, A.D.; Haddad, N.M.; et al. Global modeling of nature’s contributions to people. Science 2019, 366, 255–258. [Google Scholar] [CrossRef]
- Zhang, C.; Su, B.; Beckmann, M.; Volk, M. Emergy-based evaluation of ecosystem services: Progress and perspectives. Renew. Sust. Energ. Rev. 2024, 192, 114201. [Google Scholar] [CrossRef]
- Daw, T.; Brown, K.; Rosendo, S.; Pomeroy, R. Applying the ecosystem services concept to poverty alleviation: The need to disaggregate human well-being. Environ. Conserv. 2011, 38, 370–379. [Google Scholar] [CrossRef]
- Peng, Z.; Wu, H.; Ding, M.; Li, M.; Huang, X.; Zheng, R.; Xu, L. Ecological compensation standard of a water-receiving area in an inter-basin water diversion based on ecosystem service value and public willingness: A case study of Beijing. Sustainability 2021, 13, 5236. [Google Scholar] [CrossRef]
- Howe, C.; Suich, H.; Vira, B.; Mace, G.M. Creating win-wins from trade-offs? Ecosystem services for human well-being: A meta-analysis of ecosystem service trade-offs and synergies in the real world. Glob. Environ. Change 2014, 28, 263–275. [Google Scholar] [CrossRef]
- Mouchet, M.A.; Lamarque, P.; Martín-López, B.; Crouzat, E.; Gos, P.; Byczek, C.; Lavorel, S. An interdisciplinary methodological guide for quantifying associations between ecosystem services. Glob. Environ. Change 2014, 28, 298–308. [Google Scholar] [CrossRef]
- Plantinga, A.J.; Millage, K.; O’Reilly, E.; Bieri, T.; Holmes, N.; Wilson, J.; Bradley, D. How to pay for ecosystem services Andrew. Front. Ecol. Environ. 2024, 22, e2680. [Google Scholar] [CrossRef]
- Liu, C.; Yang, M. An empirical analysis of dynamic changes in ecological sustainability and its relationship with urbanization in a coastal city: The case of Xiamen in China. J. Clean. Prod. 2020, 256, 120482. [Google Scholar] [CrossRef]
- Su, B.; Liu, M. An ecosystem service trade-off management framework based on key ecosystem services. Ecol. Indic. 2023, 154, 110894. [Google Scholar] [CrossRef]
- Dai, E.; Zhao, Z.; Jia, L.; Jiang, X. Contribution of ecosystem services improvement on achieving Sustainable development Goals under ecological engineering projects on the Qinghai-Tibet Plateau. Ecol. Eng. 2024, 199, 107146. [Google Scholar] [CrossRef]
- Primmer, E.; Furman, E. How have measuring, mapping and valuation enhanced governance of ecosystem services? Ecosyst. Serv. 2024, 67, 101612. [Google Scholar] [CrossRef]
- Huang, Y.; Chen, X.S.; Zhu, L.L. Differential responses of ecosystem stability to climatic and anthropogenic factors in connected and isolated lake basins on the Yangtze River. J. Environ. Manag. 2024, 359, 121014. [Google Scholar] [CrossRef]
- Yuan, L.G.; Geng, M.M.; Li, F.; Xie, Y.; Tian, T.; Chen, Q. Spatiotemporal characteristics and drivers of ecosystem service interactions in the Dongting Lake Basin. Sci. Total Environ. 2024, 926, 172012. [Google Scholar] [CrossRef] [PubMed]
- Qiao, X.; Gu, Y.; Zou, C.; Xu, D.; Wang, L.; Ye, X.; Yang, Y.; Huang, X. Temporal variation and spatial scale dependency of the trade-offs and synergies among multiple ecosystem services in the Taihu Lake Basin of China. Sci. Total Environ. 2019, 651, 218–229. [Google Scholar] [CrossRef] [PubMed]
- Xu, Z.H.; Peng, J. Ecosystem services-based decision-making: A bridge from science to practice. Environ. Sci. Policy 2022, 135, 6–15. [Google Scholar] [CrossRef]
- Huang, Y.; Wu, J. Spatial and temporal driving mechanisms of ecosystem service trade-off/synergy in national key urban agglomerations: A case study of the Yangtze River Delta urban agglomeration in China. Ecol. Indic. 2023, 154, 110800. [Google Scholar] [CrossRef]
- Liu, Q.; Qiao, J.; Li, M.; Huang, M. Spatiotemporal heterogeneity of ecosystem service interactions and their drivers at different spatial scales in the Yellow River Basin. Sci. Total Environ. 2024, 908, 168486. [Google Scholar] [CrossRef]
- Xie, Y.H.; Chen, X.S. Effects of three-gorge project on succession of wetland vegetation in dongting Lake. Res. Agric. Modernization 2008, 29, 684–687. [Google Scholar]
- Wang, Z.; Zeng, L.H.; Wang, H.; Long, X.; Peng, J.; Chen, X. Different effects of natural siltation, damming and pollution on two adjacent lakes of Dongting Lake Wetland: Evidence from paleolimnology. J. Hydrol. 2024, 638, 131499. [Google Scholar] [CrossRef]
- Geng, M.M.; Wang, K.L.; Yang, N.; Li, F.; Zou, Y.; Chen, X.; Deng, Z.; Xie, Y. Spatiotemporal water quality variations and their relationship with hydrological conditions in Dongting Lake after the operation of the Three Gorges Dam, China. J. Clean. Prod. 2021, 283, 124644. [Google Scholar] [CrossRef]
- Xiang, J.; Tan, S.; Tan, X.; Long, J.; Xiao, T.; Wang, W. Spatiotemporal assessment of water security in the Dongting Lake region: Insights from projection pursuit method and sparrow search algorithm. J. Clean. Prod. 2022, 378, 134447. [Google Scholar] [CrossRef]
- Xiang, H.; Zhou, C.; Song, H. High-quality agricultural development in the central China: Empirical analysis based on the Dongting Lake area. Geomatica 2024, 76, 100010. [Google Scholar] [CrossRef]
- Huang, Y.; Chen, X.S.; Li, F.; Hou, Z.-Y.; Li, X.; Zeng, J.; Deng, Z.-M.; Zou, Y.-A.; Xie, Y.-H. Concurrent effects of flooding regimes and floodwater quality on sediment properties in a Yangtze River-connected floodplain wetland: Insights from field investigations during 2011–2020. Sci. Total Environ. 2022, 22, 154225. [Google Scholar] [CrossRef] [PubMed]
- Wang, W.Z.; Jiao, J.Y. Quantitative Evaluation of Soil Erosion Factors in China. Bull. Soil Water Conserv. 1996, 16, 1–20. [Google Scholar]
- Sharp, R.; Tallis, H.T.; Ricketts, T.; Guerry, A.D.; Wood, S.A.; Chapin-Kramer, R.; Nelson, E.; Ennaanay, D.; Wolny, S.; Olwero, N.; et al. InVEST3.2.0 User’s Guide; The Natural Capital Project: Stanford, CA, USA, 2016. [Google Scholar]
- Fang, L.L.; Wang, L.C.; Chen, W.X.; Sun, J.; Cao, Q.; Wang, S.; Wang, L. Identifying the impacts of natural and human factors on ecosystem service in the Yangtze and Yellow River Basins. J. Clean. Prod. 2021, 314, 127995. [Google Scholar] [CrossRef]
- Loiselle, A.; Proulx, R.; Larocque, M.; Pellerin, S. Synergies and trade-offs among ecosystems functions and services for three types of lake-edge wetlands. Ecol. Indic. 2023, 154, 110547. [Google Scholar] [CrossRef]
- Li, B.; Yang, G.; Wan, R.; Lai, X.; Wagner, P.D. Impacts of hydrological alteration on ecosystem services changes of a large river-connected lake (Poyang Lake), China. J. Environ. Manag. 2022, 310, 114750. [Google Scholar] [CrossRef] [PubMed]
- Xu, J.; Wang, Y.; Teng, M.; Wang, P.; Yan, Z.; Wang, H. Ecosystem services of lake-wetlands exhibit significant spatiotemporal heterogeneity and scale effects in a multi-lake megacity. Ecol. Indic. 2023, 154, 110843. [Google Scholar] [CrossRef]
- Peng, J.; Wang, X.Y.; Zheng, H.; Xu, Z. Applying production-possibility frontier based ecosystem services trade-off to identify optimal scenarios of Grain-for-Green Program. Landsc. Urban Plan. 2024, 242, 104956. [Google Scholar] [CrossRef]
- Jiang, S.; Cheng, X.; Yu, S.; Zhang, H.; Xu, Z.; Peng, J. Elevation dependency of ecosystem services supply efficiency in great lake watershed. J. Environ. Manag. 2022, 318, 115476. [Google Scholar] [CrossRef] [PubMed]
- Tang, H.; Halike, A.; Yao, K.; Wei, Q.; Yao, L.; Tuheti, B.; Luo, J.; Duan, Y. Ecosystem service valuation and multi-scenario simulation in the Ebinur Lake Basin using a coupled GMOP-PLUS model. Sci. Rep. 2024, 14, 5071. [Google Scholar] [CrossRef]
- Qin, J.; Ye, H.; Lin, K.; Qi, S.; Hu, B.; Luo, J. Assessment of water-related ecosystem services based on multi-scenario land use changes: Focusing on the Poyang Lake Basin of southern China. Ecol. Indic. 2024, 158, 111549. [Google Scholar] [CrossRef]
- Wang, L.; Li, Z.; Wang, D.; Chen, J.; Liu, Y.; Nie, X.; Zhang, Y.; Ning, K.; Hu, X. Unbalanced social-ecological development within the Dongting Lake basin: Inspiration from evaluation of ecological restoration projects. J. Clea. Prod. 2021, 315, 128161. [Google Scholar] [CrossRef]
- Liu, J.; Dietz, T.; Carpenter, S.R.; Alberti, M.; Folke, C.; Moran, E.; Pell, A.N.; Deadman, P.; Kratz, T.; Lubchenco, J.; et al. Complexity of coupled human and natural systems. Science 2007, 317, 1513–1516. [Google Scholar] [CrossRef] [PubMed]
- Huang, Y.; Gan, X.; Feng, Y.; Li, J.; Niu, S.; Zhou, B. A new framework for assessing ecosystem health with consideration of the sustainable supply of ecosystem services. Landsc. Ecol. 2024, 39, 37. [Google Scholar] [CrossRef]
- Hasan, S.S.; Zhen, L.; Miah, M.G.; Ahamed, T.; Samie, A. Impact of land use change on ecosystem services: A review. Environ. Dev. 2020, 34, 100527. [Google Scholar] [CrossRef]
- Yang, Y.; Yuan, X.; An, J.; Su, Q.; Chen, B. Drivers of ecosystem services and their trade-offs and synergies in different land use policy zones of Shaanxi Province, China. J. Clean. Prod. 2024, 452, 142077. [Google Scholar] [CrossRef]
- Zhang, P.; Zhang, S.; Zou, Y.; Wu, T.; Li, F.; Deng, Z.; Zhang, H.; Song, Y.; Xie, Y. Integrating suitable habitat dynamics under typical hydrological regimes as guides for the conservation and restoration of different waterbird groups. J. Environ. Manag. 2023, 345, 118451. [Google Scholar] [CrossRef]
- Willis, C. The contribution of cultural ecosystem services to understanding the tourism-nature-wellbeing nexus. J. Outdoor Rec. Tour. 2015, 10, 38–43. [Google Scholar] [CrossRef]
- Maes, J.; Hauck, J.; Paracchini, M.L.; Ratamäki, O.; Hutchins, M.; Termansen, M.; Furman, E.; Pérez-Soba, M.; Braat, L.; Bidoglio, G. Mainstreaming ecosystem services into EU policy. Curr. Opin. Environ. Sustain. 2013, 5, 128–134. [Google Scholar]
- Zhao, T.; Pan, J. Ecosystem service trade-offs and spatial non-stationary responses to influencing factors in the Loess hilly-gully region: Lanzhou City, China. Sci. Total Environ. 2022, 846, 157422. [Google Scholar] [CrossRef] [PubMed]
- Zhang, Y.; Ding, X.; Dong, L.; Yu, S. Research on spatiotemporal patterns and influencing factors of county-level urban shrinkage in urbanizing China. Sustain. Cities Soc. 2024, 109, 105544. [Google Scholar] [CrossRef]
- Huang, J.; Zheng, F.; Dong, X.; Wang, X.-C. Exploring the complex trade-offs and synergies among ecosystem services in the Tibet autonomous region. J. Clean. Prod. 2023, 384, 135483. [Google Scholar] [CrossRef]
- Feng, Q.; Zhao, W.; Duan, B.; Hu, X.; Cherubini, F. Coupling trade-offs and supply-demand of ecosystem services (ES): A new opportunity for ES management. Geo. Sus. 2021, 2, 275–280. [Google Scholar] [CrossRef]
- Zhang, B.; MacKenzie, A. Trade-offs and synergies in urban green infrastructure: A systematic review. Urban For. Urban Gree. 2024, 94, 128262. [Google Scholar] [CrossRef]
- Erlwein, S.; Pauleit, S. Trade-offs between urban green space and densification: Balancing outdoor thermal comfort, mobility, and housing demand. Urban Plan. 2021, 6, 5–19. [Google Scholar] [CrossRef]
- Cuthbert, M.O.; Rau, G.C.; Ekstrom, M.; O’carroll, D.M.; Bates, A.J. Global climate-driven trade-offs between the water retention and cooling benefits of urban greening. Nat. Commun. 2022, 13, 518. [Google Scholar] [CrossRef]
- Zhang, H.; Tang, Q.; He, X.; Yang, Q. Land use function changes and trade-offs/synergies across topographic gradients in the Three Gorges Reservoir Area, China. J. Clean. Prod. 2024, 469, 143233. [Google Scholar] [CrossRef]
- Zhu, S.; Zhao, Y.; Huang, J.; Wang, S. Analysis of spatial-temporal differentiation and influencing factors of ecosystem services in resource-based cities in semiarid regions. Remote Sens. 2023, 15, 871. [Google Scholar] [CrossRef]
- Wang, J.; Wu, W.; Yang, M.; Gao, Y.; Shao, J.; Yang, W.; Ma, G.; Yu, F.; Yao, N.; Jiang, H. Exploring the complex trade-offs and synergies of global ecosystem services. Environ. Sci. Ecotechnol. 2024, 21, 100391. [Google Scholar] [CrossRef] [PubMed]
- Shen, J.; Zhao, M.; Tan, Z.; Zhu, L.; Guo, Y.; Li, Y.; Wu, C. Ecosystem service trade-offs and synergies relationships and their driving factor analysis based on the Bayesian belief Network: A case study of the Yellow River Basin. Ecol. Indic. 2024, 163, 112070. [Google Scholar] [CrossRef]
- Ran, P.; Hu, S.; Frazier, A.E.; Yang, S.; Song, X.; Qu, S. The dynamic relationships between landscape structure and ecosystem services: An empirical analysis from the Wuhan metropolitan area, China. J. Environ. Manag. 2023, 325, 116575. [Google Scholar] [CrossRef] [PubMed]
- Lyu, F.; Tang, J.; Olhnuud, A.; Hao, F.; Gong, C. The impact of large-scale ecological restoration projects on trade-offs/synergies and clusters of ecosystem services. J. Environ. Manag. 2024, 365, 121591. [Google Scholar] [CrossRef] [PubMed]







| Types | FP–SC | FP–HQ | FP–EL | SC–HQ | SC–EL | HQ–EL |
|---|---|---|---|---|---|---|
| 2000 | 0.235 | 0.255 | 0.378 | 0.365 | 0.268 | 0.067 |
| 2005 | 0.106 | 0.087 | 0.304 | 0.299 | 0.202 | −0.030 |
| 2010 | 0.025 | 0.016 | 0.276 | 0.300 | 0.242 | −0.004 |
| 2015 | −0.085 | −0.018 | 0.141 | 0.299 | 0.208 | −0.031 |
| 2020 | −0.039 | 0.027 | 0.120 | 0.285 | 0.197 | 0.03 |
| Ecosystem Service | Spatial Panel Model Test | Value | p-Value | |
|---|---|---|---|---|
| FP | LM test | Moran’s I | 0.7134 | 0.010 |
| Hausman test | Fe/Re | (71.69, 33.56, 17.30) | (0, 0, 0.002) | |
| Space–time test | both/ind | (44.82, 32.88, 34.99) | (0, 0, 0) | |
| both/time | (85.32, 68.55, 88.63) | (0, 0, 0) | ||
| LR test | SDM/SEM | 64.42 | 0.000 | |
| SDM/SAR | 130.72 | 0.000 | ||
| SC | LM test | Moran’s I | 0.7686 | 0.010 |
| Hausman test | Fe/Re | (4.91, 6.43, 10.56) | (0.296, 0.094, 0.032) | |
| Space–time test | both/ind | (3.72, 2.19, 1.19) | (0.959, 0.901, 0.996) | |
| both/time | (32.56, 53.24, 35.82) | (0, 0, 0) | ||
| LR test | SDM/SEM | 62.59 | 0.000 | |
| SDM/SAR | 28.97 | 0.001 | ||
| HQ | LM test | Moran’s I | 0.3444 | 0.01 |
| Hausman test | Fe/Re | (134.89, 88.93, 11.37) | (0, 0, 0.022) | |
| Space–time test | both/ind | (5.29, 7.65, 6.40) | (0.507, 0.332, 0.171) | |
| both/time | (22.68, 35.64, 43.34) | (0, 0, 0) | ||
| LR test | SDM/SEM | 71.34 | 0.000 | |
| SDM/SAR | 29.60 | 0.000 | ||
| EL | LM test | Moran’s I | 0.1318 | 0.05 |
| Hausman test | Fe/Re | (19.28, 18.22, 21.75) | (0, 0, 0) | |
| Space–time test | both/ind | (146.71, 67.92, 60.15) | (0, 0, 0) | |
| both/time | (76.48, 85.65, 47.75) | (0, 0, 0) | ||
| LR test | SDM/SEM | 93.66 | 0.000 | |
| SDM/SAR | 51.51 | 0.000 | ||
Disclaimer/Publisher’s Note: The statements, opinions and data contained in all publications are solely those of the individual author(s) and contributor(s) and not of MDPI and/or the editor(s). MDPI and/or the editor(s) disclaim responsibility for any injury to people or property resulting from any ideas, methods, instructions or products referred to in the content. |
© 2025 by the authors. Licensee MDPI, Basel, Switzerland. This article is an open access article distributed under the terms and conditions of the Creative Commons Attribution (CC BY) license (https://creativecommons.org/licenses/by/4.0/).
Share and Cite
Huang, Y.; Chen, X.; Zhu, L. Exploring Trade-Offs/Synergies and Drivers of Ecosystem Services in the Dongting Lake Area, China. Sustainability 2025, 17, 1650. https://doi.org/10.3390/su17041650
Huang Y, Chen X, Zhu L. Exploring Trade-Offs/Synergies and Drivers of Ecosystem Services in the Dongting Lake Area, China. Sustainability. 2025; 17(4):1650. https://doi.org/10.3390/su17041650
Chicago/Turabian StyleHuang, Ying, Xinsheng Chen, and Lianlian Zhu. 2025. "Exploring Trade-Offs/Synergies and Drivers of Ecosystem Services in the Dongting Lake Area, China" Sustainability 17, no. 4: 1650. https://doi.org/10.3390/su17041650
APA StyleHuang, Y., Chen, X., & Zhu, L. (2025). Exploring Trade-Offs/Synergies and Drivers of Ecosystem Services in the Dongting Lake Area, China. Sustainability, 17(4), 1650. https://doi.org/10.3390/su17041650

