Approximate Adsorption Performance Indicator in Evaluating Sustainable Bamboo-Derived Adsorbents for Biogas Upgrading
Abstract
1. Introduction
2. Materials and Experimental Apparatuses
2.1. Raw Biomass, and the Preparation of Biochars and Activated Biochars
2.2. Physico-Chemical Characterizations of Bamboo Family
2.3. Adsorption Characteristics Set-Ups
2.3.1. Calorimetry Experiments
2.3.2. Gas Adsorption Isotherm
2.4. Approximate Adsorption Performance Indicator
3. Results and Discussions
3.1. Bamboo Family Characterization
3.1.1. SEM Analysis
3.1.2. EDX Analysis
3.1.3. TGA Analysis
3.1.4. XRD Analysis
3.1.5. Textural Characterization
3.2. Heat of Adsorption
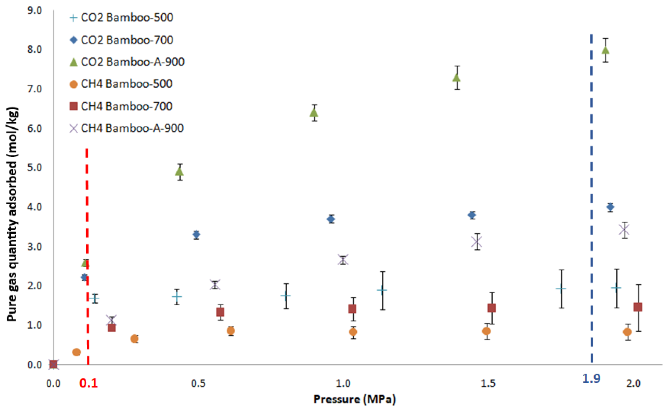
3.3. Adsorption Isotherms
3.4. Approximate Adsorption Performance Indicator
3.5. Comparative Analysis of CO2 Adsorption Capacities of All the Studied Biochars and Activated Biochars
| Samples | Tprocess (°C) | Activating Agent | C (wt.%) | O (wt.%) | (m2g−1) | (K) | AdC(CO2) (mol kg−1) | Ref. |
|---|---|---|---|---|---|---|---|---|
| Pristine biochars | ||||||||
| Bamboo-500 | 500 | - | 71.1 | 23.1 | n.a | 303 | 1.7 | This study |
| Bamboo-700 | 700 | - | 75.9 | 17.3 | 365 | 303 | 2.1 | This study |
| Bamboo | 500 | - | 66.2 | 24.8 | 92 | 298 | 2.1 | [98] |
| Bamboo | 600 | - | 66 | 29.2 | 89 | 298 | 2.2 | [98] |
| Sawdust | 450 | - | 82.3 | 14.1 | 8.8 | 303 | 0.4 | [101] |
| Sawdust | 750 | - | 97.3 | 1.53 | 11.4 | 303 | 1.0 | [101] |
| Sawdust | 850 | - | 93.4 | 5.2 | 182 | 303 | 1.1 | [101] |
| Walnut shell | 500 | - | 69.4 | 25.1 | 94.5 | 298 | 0.6 | [100] |
| Walnut shell | 700 | - | 80.3 | 17.5 | 265 | 298 | 1.3 | [100] |
| Walnut shell | 900 | - | 84.9 | 13.6 | 397 | 298 | 1.6 | [100] |
| Spent coffee grounds | 500 | - | 79.7 | 5.4 | 311 | 303 | 0.7 | [99] |
| Rambutan peel | 500 | - | 76.4 | 19.2 | 7.80 | 303 | 0.6 | [104] |
| Rambutan peel | 700 | - | 81.6 | 15.9 | 176 | 303 | 1.3 | [104] |
| Rambutan peel | 900 | - | 83.4 | 14.7 | 570 | 303 | 1.6 | [104] |
| Perilla leaf | 700 | - | 71.8 | 15.3 | 473.4 | 323 | 2.3 | [105] |
| Korean oak | 400 | - | 88.7 | 9.7 | 270.8 | 323 | 0.6 | [105] |
| Japanese oak | 500 | - | 89.9 | 7.5 | 475.6 | 323 | 0.4 | [105] |
| Soybean stover | 700 | - | 81.9 | 15.5 | 420.3 | 323 | 0.7 | [105] |
| Activated biochars | ||||||||
| Bamboo-A-900 | 900 | CO2 | 68.5 | 20.2 | 1220 | 303 | 2.6 | This study |
| Bamboo | 800 | CO2 | n.a | n.a | 637 | 298 | 2.0 | [38] |
| Bamboo | 873 | KOH | n.a | n.a | 1846 | 298 | 4.5 | [83] |
| Bamboo | 973 | KOH | n.a | n.a | 930 | 298 | 4.0 | [83] |
| Bamboo | 700 | KOH | n.a | n.a | 540 | 298 | 3.4 | [57] |
| Bamboo | 1073 | K2CO3 | 70.4 | n.a | 1802 | 298 | 3.4 | [37] |
| Bamboo | 500 | NaNH2 | 74.6 | n.a | 1286 | 298 | 3.5 | [39] |
| Sargassum | 800 | KOH | n.a | n.a | 292 | 298 | 1.1 | [106] |
| Almond shells | 750 | CO2 | n.a | n.a | 822 | 298 | 2.7 | [102] |
| Commercial kevlar | 1000 | CO2 | n.a | n.a | 1593 | 303 | 1.5 | [9] |
| Commercial kevlar | 1000 | CO2 | n.a | n.a | 1586 | 303 | 1.7 | [9] |
| Beech wood | 1087 | CO2 | n.a | n.a | 1586 | 303 | 2.1 | [103] |
4. Conclusions
5. Perspectives
Author Contributions
Funding
Institutional Review Board Statement
Informed Consent Statement
Data Availability Statement
Acknowledgments
Conflicts of Interest
Abbreviations
| CO2 | Carbon dioxide |
| CH4 | Methane |
| N2 | Nitrogen |
| CaO | calcium oxide |
| SiO2 | Silicon dioxide |
| CaCO3 | Calcium Carbonate |
| AAPI | Approximate Adsorption Performance Indicator |
| SDGs | Sustainable Development Goals |
| TGA | Thermogravimetric Analysis |
| COD | Crystallography Open Database |
| EDX | Energy Dispersive X-ray |
| XRD | X-ray Diffraction (XRD) |
| SEM | Scanning Electron Microscopy |
| BET | Brunauer–Emmett-Teller |
| AS | Approximate Selectivity |
References
- Mohammed, M.A.; Mohd Yunus, N.Z.; Hezmi, M.A.; Abang Hasbollah, D.Z.; Rashid, A.S.A. Ground improvement and its role in carbon dioxide reduction: A review. Environ. Sci. Pollut. Res. 2021, 28, 8968–8988. [Google Scholar] [CrossRef] [PubMed]
- Nguyen, T.T.H.; Phan, G.Q.; Tran, T.K.; Bui, H.M. The role of renewable energy technologies in enhancing human development: Empirical evidence from selected countries. Case Stud. Chem. Environ. Eng. 2023, 8, 100496. [Google Scholar] [CrossRef]
- Mao, C.; Feng, Y.; Wang, X.; Ren, G. Review on research achievements of biogas from anaerobic digestion. Renew. Sustain. Energy Rev. 2015, 45, 540–555. [Google Scholar] [CrossRef]
- Guo, M.; Song, W.; Buhain, J. Bioenergy and biofuels: History, status, and perspective. Renew. Sustain. Energy Rev. 2015, 42, 712–725. [Google Scholar] [CrossRef]
- Yentekakis, I.V.; Goula, G. Biogas Management: Advanced Utilization for Production of Renewable Energy and Added-value Chemicals. Front. Environ. Sci. 2017, 5, 7. [Google Scholar] [CrossRef]
- Angelidaki, I.; Treu, L.; Tsapekos, P.; Luo, G.; Campanaro, S.; Wenzel, H.; Kougias, P.G. Biogas upgrading and utilization: Current status and perspectives. Biotechnol. Adv. 2018, 36, 452–466. [Google Scholar] [CrossRef]
- Abd, A.A.; Naji, S.Z.; Hashim, A.S.; Othman, M.R. Carbon dioxide removal through physical adsorption using carbonaceous and non-carbonaceous adsorbents: A review. J. Environ. Chem. Eng. 2020, 8, 104142. [Google Scholar] [CrossRef]
- Abd, A.A.; Othman, M.R.; Kim, J. A review on application of activated carbons for carbon dioxide capture: Present performance, preparation, and surface modification for further improvement. Environ. Sci. Pollut. Res. 2021, 28, 43329–43364. [Google Scholar] [CrossRef]
- Kaliszewski, M.J.; Zgrzebnicki, M.; Kałamaga, A.; Pinjara, S.; Wróbel, R.J. Commercial Kevlar derived activated carbons for CO2 and C2H4 sorption. Pol. J. Chem. Technol. 2021, 23, 81–87. [Google Scholar] [CrossRef]
- Staudt, J.; Musial, C.M.; Canevesi, R.; Fierro, V.; Ribeiro, C.; Alves, H.J.; Borba, C.E. Evaluation of the CH4/CO2 separation by adsorption on coconut shell activated carbon: Impact of the gas moisture on equilibrium selectivity and adsorption capacity. Heliyon 2024, 10, e30368. [Google Scholar] [CrossRef]
- Saadi, W.; Ruiz, B.; Najar-Souissi, S.; Ouederni, A.; Fuente, E. High-pressure gas adsorption on activated carbons from pomegranate peels biochar: A promising approach for biogas purification. Biomass Bioenergy 2024, 186, 107258. [Google Scholar] [CrossRef]
- Chen, Y.; Yin, H.; Wen, S.; Zhang, W.; Hu, S.; Sun, K.; Jiang, J.; Ji, X. Biogas upgrading using aqueous bamboo-derived activated carbons. Bioresour. Technol. 2025, 419, 132055. [Google Scholar] [CrossRef] [PubMed]
- Wang, H.; Li, X.; Cui, Z.; Fu, Z.; Yang, L.; Liu, G.; Li, M. Coffee grounds derived N enriched microporous activated carbons: Efficient adsorbent for post-combustion CO2 capture and conversion. J. Colloid Interface Sci. 2020, 578, 491–499. [Google Scholar] [CrossRef]
- Abou Alfa, K.; Meza-Sepulveda, D.C.; Vaulot, C.; Le Meins, J.M.; Ghimbeu, C.M.; Tonini, L.; Cubillos, J.A.; Moynault, L.; Platel, V.; Paredes, D.; et al. Cocoa Pod Husk Carbon Family for Biogas Upgrading: Preliminary Assessment Using the Approximate Adsorption Performance Indicator. C 2024, 10, 100. [Google Scholar] [CrossRef]
- Mammarella, D.; Giuliano, A.D.; Freda, C.; Bari, I.D.; Gallucci, K. Upgrading of Biogas to Biomethane by Using Biochars as CO2 Sorbent in a Pressure Swing Adsorption Device. Chem. Eng. Trans. 2024, 109, 79–84. [Google Scholar] [CrossRef]
- Ghanbarpour Mamaghani, Z.; Hawboldt, K.A.; MacQuarrie, S.; Katz, M.J. Wood biochar as a point source CO2 adsorbent-impact of humidity on performance. Fuel 2024, 361, 130737. [Google Scholar] [CrossRef]
- Tang, Z.; Gao, J.; Zhang, Y.; Du, Q.; Feng, D.; Dong, H.; Peng, Y.; Zhang, T.; Xie, M. Ultra-microporous biochar-based carbon adsorbents by a facile chemical activation strategy for high-performance CO2 adsorption. Fuel Process. Technol. 2023, 241, 107613. [Google Scholar] [CrossRef]
- Ghaemi, A.; Karimi Dehnavi, M.; Khoshraftar, Z. Exploring artificial neural network approach and RSM modeling in the prediction of CO2 capture using carbon molecular sieves. Case Stud. Chem. Environ. Eng. 2023, 7, 100310. [Google Scholar] [CrossRef]
- Rainone, F.; D’Agostino, O.; Erto, A.; Balsamo, M.; Lancia, A. Biogas upgrading by adsorption onto activated carbon and carbon molecular sieves: Experimental and modelling study in binary CO2/CH4 mixture. J. Environ. Chem. Eng. 2021, 9, 106256. [Google Scholar] [CrossRef]
- Luo, G.; Angelidaki, I. Integrated biogas upgrading and hydrogen utilization in an anaerobic reactor containing enriched hydrogenotrophic methanogenic culture. Biotechnol. Bioeng. 2012, 109, 2729–2736. [Google Scholar] [CrossRef]
- Grande, C.A. Biogas Upgrading by Pressure Swing Adsorption; IntechOpen: London, UK, 2011. [Google Scholar] [CrossRef]
- Suyitno; Rosyadi, I.; Arifin, Z.; Sutardi, T.; Sunaryo; Ilminnafik, N. Advanced modification of natural zeolites for optimized biogas, syngas, and hydrogen production and purification. Cogent Eng. 2024, 11, 2398912. [Google Scholar] [CrossRef]
- Sidabutar, R.; Trisakti, B.; Irvan; Michael, M.; Vanness, V.; Alexander, V.; Natasya, Y.; Pasaribu, D.S.K.; Alamsyah, V.; Zaiyat, M.Z.Z.; et al. Synergistic integration of zeolite engineering and fixed-bed column design for enhanced biogas upgrading: Adsorbent synthesis, CO2/CH4 separation kinetics, and regeneration assessment. Sep. Purif. Technol. 2025, 355, 129772. [Google Scholar] [CrossRef]
- Shafawi, A.N.; Mohamed, A.R.; Lahijani, P.; Mohammadi, M. Recent advances in developing engineered biochar for CO2 capture: An insight into the biochar modification approaches. J. Environ. Chem. Eng. 2021, 9, 106869. [Google Scholar] [CrossRef]
- Sabouni, R.; Kazemian, H.; Rohani, S. Carbon dioxide capturing technologies: A review focusing on metal organic framework materials (MOFs). Environ. Sci. Pollut. Res. 2014, 21, 5427–5449. [Google Scholar] [CrossRef] [PubMed]
- Adilina, I.B.; Widjaya, R.R.; Hidayati, L.N.; Supriadi, E.; Safaat, M.; Oemry, F.; Restiawaty, E.; Bindar, Y.; Parker, S.F. Understanding the Surface Characteristics of Biochar and Its Catalytic Activity for the Hydrodeoxygenation of Guaiacol. Catalysts 2021, 11, 1434. [Google Scholar] [CrossRef]
- Kuryntseva, P.; Karamova, K.; Galitskaya, P.; Selivanovskaya, S.; Evtugyn, G. Biochar Functions in Soil Depending on Feedstock and Pyrolyzation Properties with Particular Emphasis on Biological Properties. Agriculture 2023, 13, 2003. [Google Scholar] [CrossRef]
- Chen, J.; Lin, J.; Luo, J.; Tian, Z.; Zhang, J.; Sun, S.; Shen, Y.; Ma, R. Enhanced CO2 capture performance of N, S co-doped biochar prepared by microwave pyrolysis: Synergistic modulation of microporous structure and functional groups. Fuel 2025, 379, 132987. [Google Scholar] [CrossRef]
- Department of Economic and Social Affairs; Sustainable Development. The 17 GOALS |Sustainable Development. Available online: https://sdgs.un.org/goals (accessed on 9 January 2025).
- Daza Montaño, C.; Dam, J. Potential of Bamboo for Renewable Energy: Main Issues and Technology Options; International Bamboo and Rattan Organisation (INBAR): Beijing, China, 2021. [Google Scholar]
- Sharma, R.; Wahono, J.; Baral, H. Bamboo as an Alternative Bioenergy Crop and Powerful Ally for Land Restoration in Indonesia. Sustainability 2018, 10, 4367. [Google Scholar] [CrossRef]
- Zhao, Y.; Hao, R.; Qi, M. Integrative process of preoxidation and absorption for simultaneous removal of SO2, NO and Hg0. Chem. Eng. J. 2015, 269, 159–167. [Google Scholar] [CrossRef]
- Ren, Q.; Zeng, Z.; Xie, M.; Jiang, Z. Cement-based composite with humidity adsorption and formaldehyde removal functions as an indoor wall material. Constr. Build. Mater. 2020, 247, 118610. [Google Scholar] [CrossRef]
- Yue, X.; Ma, N.L.; Sonne, C.; Guan, R.; Lam, S.S.; Van Le, Q.; Chen, X.; Yang, Y.; Gu, H.; Rinklebe, J.; et al. Mitigation of indoor air pollution: A review of recent advances in adsorption materials and catalytic oxidation. J. Hazard. Mater. 2021, 405, 124138. [Google Scholar] [CrossRef] [PubMed]
- Ismail, I.S.; Rashidi, N.A.; Yusup, S. Production and characterization of bamboo-based activated carbon through single-step H3PO4 activation for CO2 capture. Environ. Sci. Pollut. Res. 2022, 29, 12434–12440. [Google Scholar] [CrossRef] [PubMed]
- Wang, Y.; Liu, C.; Zhou, Y. Preparation and adsorption performances of mesopore-enriched bamboo activated carbon. Front. Chem. Eng. China 2008, 2, 473–477. [Google Scholar] [CrossRef]
- Khuong, D.A.; Trinh, K.T.; Nakaoka, Y.; Tsubota, T.; Tashima, D.; Nguyen, H.N.; Tanaka, D. The investigation of activated carbon by K2CO3 activation: Micropores- and macropores-dominated structure. Chemosphere 2022, 299, 134365. [Google Scholar] [CrossRef]
- Khuong, D.A.; Nguyen, H.N.; Tsubota, T. Activated carbon produced from bamboo and solid residue by CO2 activation utilized as CO2 adsorbents. Biomass Bioenergy 2021, 148, 106039. [Google Scholar] [CrossRef]
- Ying, W.; Tian, S.; Liu, H.; Zhou, Z.; Kapeso, G.; Zhong, J.; Zhang, W. In Situ Dry Chemical Synthesis of Nitrogen-Doped Activated Carbon from Bamboo Charcoal for Carbon Dioxide Adsorption. Materials 2022, 15, 763. [Google Scholar] [CrossRef]
- Kalderis, D.; Seifi, A.; Kieu Trang, T.; Tsubota, T.; Anastopoulos, I.; Manariotis, I.; Pashalidis, I.; Khataee, A. Bamboo-derived adsorbents for environmental remediation: A review of recent progress. Environ. Res. 2023, 224, 115533. [Google Scholar] [CrossRef]
- Abou Alfa, K.; Peredo-Mancilla, D.; Platel, V.; Hort, C. Evaluation of the Performance of an Activated Carbon’s family for Biogas Upgrading using the Adsorption Performance Indicator. In Trends in Clean Energy Research. Green Energy and Technology; Springer: Cham, Switzerland, 2024. [Google Scholar]
- Binte Razzak, N.R.; Milne, N.A.; Moon, E.M. Conversion of municipal garden waste to activated carbon: Laboratory production and characterization comparing production parameters. Chem. Eng. Sci. 2024, 299, 120487. [Google Scholar] [CrossRef]
- Chatterjee, R.; Sajjadi, B.; Chen, W.Y.; Mattern, D.L.; Hammer, N.; Raman, V.; Dorris, A. Effect of Pyrolysis Temperature on PhysicoChemical Properties and Acoustic-Based Amination of Biochar for Efficient CO2 Adsorption. Front. Energy Res. 2020, 8, 85. [Google Scholar] [CrossRef]
- Zhang, T.; Walawender, W.P.; Fan, L.T.; Fan, M.; Daugaard, D.; Brown, R.C. Preparation of activated carbon from forest and agricultural residues through CO2 activation. Chem. Eng. J. 2004, 105, 53–59. [Google Scholar] [CrossRef]
- Chen, Y.; Zhang, X.; Chen, W.; Yang, H.; Chen, H. The structure evolution of biochar from biomass pyrolysis and its correlation with gas pollutant adsorption performance. Bioresour. Technol. 2017, 246, 101–109. [Google Scholar] [CrossRef] [PubMed]
- Peredo-Mancilla, D.; Ghouma, I.; Hort, C.; Ghimbeu, C.M.; Jeguirim, M.; Bessieres, D. CO2 and CH4 Adsorption Behavior of Biomass-Based Activated Carbons. Energies 2018, 11, 3136. [Google Scholar] [CrossRef]
- Ho, B.N.; Pino-Perez, D.; Matei Ghimbeu, C.; Diaz, J.; Peredo-Mancilla, D.; Hort, C.; Bessieres, D. Determination of methane, ethane and propane on activated carbons by experimental pressure swing adsorption method. J. Nat. Gas Sci. Eng. 2021, 95, 104124. [Google Scholar] [CrossRef]
- Peredo-Mancilla, D.; Hort, C.; Jeguirim, M.; Ghimbeu, C.M.; Limousy, L.; Bessieres, D. Experimental Determination of the CH4 and CO2 Pure Gas Adsorption Isotherms on Different Activated Carbons. J. Chem. Eng. Data 2018, 63, 3027–3034. [Google Scholar] [CrossRef]
- Iragena Dushime, G.; Bachelart, J.; Abou Alfa, K.; Ghimbeu, C.; Hort, C.; Platel, V. New Promising Modified Activated Carbons for CH4 and CO2 Adsorption. In Proceedings of the 4th International Conference on Environment Sciences and Renewable Energy, Chengdu, China, 27–29 May 2022; Springer: Berlin/Heidelberg, Germany, 2022. [Google Scholar]
- Knaebel, K.S. For your next separation consider adsorption. Chem. Eng. 1995, 102, 92. [Google Scholar]
- Rege, S.U.; Yang, R.T. A Simple Parameter for Selecting an Adsorbent for Gas Separation by Pressure Swing Adsorption. Sep. Sci. Technol. 2001, 36, 3355–3365. [Google Scholar] [CrossRef]
- Ackley, M.W. Multilayer Adsorbent Beds for Psa Gas Separation. CA CA2234924C, 17 October 1998. [Google Scholar]
- Baksh, M.S.A.; Notaro, F. Method for Production of Nitrogen Using Oxygen Selective Adsorbents. EP EP0853968A1, 22 July 1998. [Google Scholar]
- Wiersum, A.D.; Chang, J.S.; Serre, C.; Llewellyn, P.L. An Adsorbent Performance Indicator as a First Step Evaluation of Novel Sorbents for Gas Separations: Application to Metal-Organic Frameworks. Langmuir 2013, 29, 3301–3309. [Google Scholar] [CrossRef]
- Wei, M.; Zhao, Q.; Liu, Q.; Li, L.; Zhong, Z. A new comprehensive evaluation indicator of adsorbent for gas separation. Environ. Technol. 2022, 43, 1624–1633. [Google Scholar] [CrossRef]
- Sahoo, S.S.; Vijay, V.K.; Chandra, R.; Kumar, H. Production and characterization of biochar produced from slow pyrolysis of pigeon pea stalk and bamboo. Clean. Eng. Technol. 2021, 3, 100101. [Google Scholar] [CrossRef]
- Ji, Y.; Zhang, C.; Zhang, X.J.; Xie, P.F.; Wu, C.; Jiang, L. A high adsorption capacity bamboo biochar for CO2 capture for low temperature heat utilization. Sep. Purif. Technol. 2022, 293, 121131. [Google Scholar] [CrossRef]
- Korus, A.; Gutierrez, J.P.; Szlęk, A.; Jagiello, J.; Hornung, A. Pore development during CO2 and H2O activation associated with the catalytic role of inherent inorganics in sewage sludge char and its performance during the reforming of volatiles. Chem. Eng. J. 2022, 446, 137298. [Google Scholar] [CrossRef]
- Steiner, C. Considerations in Biochar Characterization. In Agricultural and Environmental Applications of Biochar: Advances and Barriers; John Wiley & Sons, Ltd.: Hoboken, NJ, USA, 2016; pp. 87–100. [Google Scholar]
- Tsai, W.T.; Hsu, C.H.; Lin, Y.Q.; Tsai, C.H.; Chen, W.S.; Chang, Y.T. Enhancing the Pore Properties and Adsorption Performance of Cocoa Pod Husk (CPH)-Derived Biochars via Post-Acid Treatment. Processes 2020, 8, 144. [Google Scholar] [CrossRef]
- Zhang, K.; Li, H.; Xiao, L.P.; Wang, B.; Sun, R.C.; Song, G. Sequential utilization of bamboo biomass through reductive catalytic fractionation of lignin. Bioresour. Technol. 2019, 285, 121335. [Google Scholar] [CrossRef] [PubMed]
- Kujawska, J.; Wojtaś, E.; Charmas, B. Biochar Derived from Sewage Sludge: The Impact of Pyrolysis Temperature on Chemical Properties and Agronomic Potential. Sustainability 2024, 16, 8225. [Google Scholar] [CrossRef]
- Seow, Y.X.; Tan, Y.H.; Mubarak, N.M.; Kansedo, J.; Khalid, M.; Ibrahim, M.L.; Ghasemi, M. A review on biochar production from different biomass wastes by recent carbonization technologies and its sustainable applications. J. Environ. Chem. Eng. 2022, 10, 107017. [Google Scholar] [CrossRef]
- Mukome, F.N.D.; Zhang, X.; Silva, L.C.R.; Six, J.; Parikh, S.J. Use of Chemical and Physical Characteristics to Investigate Trends in Biochar Feedstocks. J. Agric. Food Chem. 2013, 61, 2196–2204. [Google Scholar] [CrossRef]
- Liu, G.; Xu, Q.; Dong, X.; Yang, J.; Pile Knapp, L.; Wang, G.; Wang, F. Effect of Protective Gas and Pyrolysis Temperature on the Biochar Produced from Three Plants of Gramineae: Physical and Chemical Characterization. Waste Biomass Valorization 2016, 7, 1469–1480. [Google Scholar] [CrossRef]
- Tsai, W.T.; Liu, S.C.; Chen, H.R.; Chang, Y.M.; Tsai, Y.L. Textural and chemical properties of swine-manure-derived biochar pertinent to its potential use as a soil amendment. Chemosphere 2012, 89, 198–203. [Google Scholar] [CrossRef]
- Waqas, M.; Aburizaiza, A.; Miandad, R.; Rehan, M.; Barakat, M.; Nizami, D.A.S. Development of Biochar as Fuel and Catalyst in Energy Recovery Technologies. J. Clean. Prod. 2018, 188, 477–488. [Google Scholar] [CrossRef]
- Mašek, O.; Brownsort, P.; Cross, A.; Sohi, S. Influence of production conditions on the yield and environmental stability of biochar. Fuel 2013, 103, 151–155. [Google Scholar] [CrossRef]
- Yu, S.; Park, J.; Kim, M.; Ryu, C.; Park, J. Characterization of biochar and byproducts from slow pyrolysis of hinoki cypress. Bioresour. Technol. Rep. 2019, 6, 217–222. [Google Scholar] [CrossRef]
- Qiu, C.; Jiang, L.; Gao, Y.; Sheng, L. Effects of oxygen-containing functional groups on carbon materials in supercapacitors: A review. Mater. Des. 2023, 230, 111952. [Google Scholar] [CrossRef]
- Waters, C.L.; Janupala, R.R.; Mallinson, R.G.; Lobban, L.L. Staged thermal fractionation for segregation of lignin and cellulose pyrolysis products: An experimental study of residence time and temperature effects. J. Anal. Appl. Pyrolysis 2017, 126, 380–389. [Google Scholar] [CrossRef]
- Park, J.; Hung, I.; Gan, Z.; Rojas, O.J.; Lim, K.H.; Park, S. Activated carbon from biochar: Influence of its physicochemical properties on the sorption characteristics of phenanthrene. Bioresour. Technol. 2013, 149, 383–389. [Google Scholar] [CrossRef]
- Palniandy, L.K.; Yoon, L.W.; Wong, W.Y.; Yong, S.T.; Pang, M.M. Application of Biochar Derived from Different Types of Biomass and Treatment Methods as a Fuel Source for Direct Carbon Fuel Cells. Energies 2019, 12, 2477. [Google Scholar] [CrossRef]
- Qiu, T.; Yang, J.G.; Bai, X.J.; Wang, Y.L. The preparation of synthetic graphite materials with hierarchical pores from lignite by one-step impregnation and their characterization as dye absorbents. RSC Adv. 2019, 9, 12737–12746. [Google Scholar] [CrossRef]
- Li, W.; Zhu, Y. Structural Characteristics of Coal Vitrinite during Pyrolysis. Energy Fuels 2014, 28, 3645–3654. [Google Scholar] [CrossRef]
- Jena, L.; Soren, D.; Deheri, P.K.; Pattojoshi, P. Preparation, characterization and optical properties evaluations of bamboo charcoal. Curr. Res. Green Sustain. Chem. 2021, 4, 100077. [Google Scholar] [CrossRef]
- Pusarapu, V.; Narayana Sarma, R.; Ochonma, P.; Gadikota, G. Sustainable co-production of porous graphitic carbon and synthesis gas from biomass resources. NPJ Mater. Sustain. 2024, 2, 16. [Google Scholar] [CrossRef]
- Katuwal, S.; Ashworth, A.J.; Rafsan, N.A.S.; Kolar, P. Characterization of Poultry Litter Biochar and Activated Biochar as a Soil Amendment for Valorization. Biomass 2022, 2, 209–223. [Google Scholar] [CrossRef]
- Değermenci, G.D.; Değermenci, N.; Ayvaoğlu, V.; Durmaz, E.; Çakır, D.; Akan, E. Adsorption of reactive dyes on lignocellulosic waste; characterization, equilibrium, kinetic and thermodynamic studies. J. Clean. Prod. 2019, 225, 1220–1229. [Google Scholar] [CrossRef]
- Donohue, M.; Aranovich, G. Classification of Gibbs adsorption isotherms. Adv. Colloid Interface Sci. 1998, 76, 137–152. [Google Scholar] [CrossRef]
- Liu, Z.; Zhang, F.S. Removal of copper (II) and phenol from aqueous solution using porous carbons derived from hydrothermal chars. Desalination 2011, 267, 101–106. [Google Scholar] [CrossRef]
- Derylo-Marczewska, A.; Buczek, B.; Swiatkowski, A. Effect of oxygen surface groups on adsorption of benzene derivatives from aqueous solutions onto active carbon samples. Appl. Surf. Sci. 2011, 257, 9466–9472. [Google Scholar] [CrossRef]
- Wei, H.; Deng, S.; Hu, B.; Chen, Z.; Wang, B.; Huang, J.; Yu, G. Granular Bamboo-Derived Activated Carbon for High CO2 Adsorption: The Dominant Role of Narrow Micropores. ChemSusChem 2012, 5, 2354–2360. [Google Scholar] [CrossRef]
- Sevilla, M.; Fuertes, A.B. CO2 adsorption by activated templated carbons. J. Colloid Interface Sci. 2012, 366, 147–154. [Google Scholar] [CrossRef]
- Negara, D.N.K.P.; Nindhia, T.G.T.; Surata, I.W.; Hidajat, F.; Sucipta, M. Nanopore structures, surface morphology, and adsorption capacity of tabah bamboo-activated carbons. Surf. Interfaces 2019, 16, 22–28. [Google Scholar] [CrossRef]
- Peredo-Mancilla, D.; Ghouma, I.; Hort, C.; Bessieres, D.; Ghimbeu, C.M. 9—Gas storage. In Char and Carbon Materials Derived from Biomass; Jeguirim, M., Limousy, L., Eds.; Elsevier: Amsterdam, The Netherlands, 2019; pp. 341–382. [Google Scholar] [CrossRef]
- Ahmad, M.; Rajapaksha, A.U.; Lim, J.E.; Zhang, M.; Bolan, N.; Mohan, D.; Vithanage, M.; Lee, S.S.; Ok, Y.S. Biochar as a sorbent for contaminant management in soil and water: A review. Chemosphere 2014, 99, 19–33. [Google Scholar] [CrossRef]
- Singh, V.K.; Anil Kumar, E. Measurement and analysis of adsorption isotherms of CO2 on activated carbon. Appl. Therm. Eng. 2016, 97, 77–86. [Google Scholar] [CrossRef]
- Rashidi, N.A.; Yusup, S.; Lam, H.L. Kinetic Studies on Carbon Dioxide Capture using Activated Carbon. Chem. Eng. Trans. 2013, 35, 361–366. [Google Scholar] [CrossRef]
- Gunawan, T.; Wijiyanti, R.; Widiastuti, N. Adsorption-desorption of CO2 on zeolite-Y-templated carbon at various temperatures. RSC Adv. 2018, 8, 41594–41602. [Google Scholar] [CrossRef] [PubMed]
- Dong, K.; Zhai, Z.; Guo, A. Effects of Pore Parameters and Functional Groups in Coal on CO2/CH4 Adsorption. ACS Omega 2021, 6, 32395–32407. [Google Scholar] [CrossRef] [PubMed]
- Rallapalli, P.; Prasanth, K.P.; Patil, D.; Somani, R.S.; Jasra, R.V.; Bajaj, H.C. Sorption studies of CO2, CH4, N2, CO, O2 and Ar on nanoporous aluminum terephthalate [MIL-53(Al)]. J. Porous Mater. 2011, 18, 205–210. [Google Scholar] [CrossRef]
- Wang, S.; Lu, L.; Wu, D.; Lu, X.; Cao, W.; Yang, T.; Zhu, Y. Molecular Simulation Study of the Adsorption and Diffusion of a Mixture of CO2/CH4 in Activated Carbon: Effect of Textural Properties and Surface Chemistry. J. Chem. Eng. Data 2016, 61, 4139–4147. [Google Scholar] [CrossRef]
- Zhang, X.; Zhang, S.; Yang, H.; Feng, Y.; Chen, Y.; Wang, X.; Chen, H. Nitrogen enriched biochar modified by high temperature CO2—Ammonia treatment: Characterization and adsorption of CO2. Chem. Eng. J. 2014, 257, 20–27. [Google Scholar] [CrossRef]
- Zhang, X.; Wu, J.; Yang, H.; Shao, J.; Wang, X.; Chen, Y.; Zhang, S.; Chen, H. Preparation of nitrogen-doped microporous modified biochar by high temperature CO2–NH3 treatment for CO2 adsorption: Effects of temperature. RSC Adv. 2016, 6, 98157–98166. [Google Scholar] [CrossRef]
- Blanco, A.A.G.; de Oliveira, J.C.A.; López, R.; Moreno-Piraján, J.C.; Giraldo, L.; Zgrablich, G.; Sapag, K. A study of the pore size distribution for activated carbon monoliths and their relationship with the storage of methane and hydrogen. Colloids Surf. Physicochem. Eng. Asp. 2010, 357, 74–83. [Google Scholar] [CrossRef]
- Zheng, H.; He, Y.; Zhu, Y.; Liu, L.; Cui, X. Novel procedure of CO2 capture of the CaO sorbent activator on the reaction of one-part alkali-activated slag. RSC Adv. 2021, 11, 12476–12483. [Google Scholar] [CrossRef]
- Xie, X.; Li, M.; Lin, D.; Li, B.; Li, C.; Liu, D. CO2 Adsorption by Bamboo Biochars Obtained via a Salt-Assisted Pyrolysis Route. Separations 2024, 11, 48. [Google Scholar] [CrossRef]
- Mukherjee, A.; Borugadda, V.B.; Dynes, J.J.; Niu, C.; Dalai, A.K. Carbon dioxide capture from flue gas in biochar produced from spent coffee grounds: Effect of surface chemistry and porous structure. J. Environ. Chem. Eng. 2021, 9, 106049. [Google Scholar] [CrossRef]
- Lahijani, P.; Mohammadi, M.; Mohamed, A.R. Metal incorporated biochar as a potential adsorbent for high capacity CO2 capture at ambient condition. J. CO2 Util. 2018, 26, 281–293. [Google Scholar] [CrossRef]
- Madzaki, H.; KarimGhani, W.A.W.A.; NurZalikhaRebitanim; AzilBahariAlias. Carbon Dioxide Adsorption on Sawdust Biochar. Procedia Eng. 2016, 148, 718–725. [Google Scholar] [CrossRef]
- González, A.S.; Plaza, M.G.; Rubiera, F.; Pevida, C. Sustainable biomass-based carbon adsorbents for post-combustion CO2 capture. Chem. Eng. J. 2013, 230, 456–465. [Google Scholar] [CrossRef]
- Zgrzebnicki, M.; Kałamaga, A.; Wrobel, R. Sorption and Textural Properties of Activated Carbon Derived from Charred Beech Wood. Molecules 2021, 26, 7604. [Google Scholar] [CrossRef]
- Zubbri, N.A.; Mohamed, A.R.; Kamiuchi, N.; Mohammadi, M. Enhancement of CO2 adsorption on biochar sorbent modified by metal incorporation. Environ. Sci. Pollut. Res. 2020, 27, 11809–11829. [Google Scholar] [CrossRef] [PubMed]
- Sethupathi, S.; Zhang, M.; Rajapaksha, A.U.; Lee, S.R.; Mohamad Nor, N.; Mohamed, A.R.; Al-Wabel, M.; Lee, S.S.; Ok, Y.S. Biochars as Potential Adsorbers of CH4, CO2 and H2S. Sustainability 2017, 9, 121. [Google Scholar] [CrossRef]
- Ding, S.; Liu, Y. Adsorption of CO2 from flue gas by novel seaweed-based KOH-activated porous biochars. Fuel 2020, 260, 116382. [Google Scholar] [CrossRef]
- Bedia, J.; Peñas-Garzón, M.; Gómez-Avilés, A.; Rodriguez, J.J.; Belver, C. A Review on the Synthesis and Characterization of Biomass-Derived Carbons for Adsorption of Emerging Contaminants from Water. C 2018, 4, 63. [Google Scholar] [CrossRef]









| Biochars | Biochar Yield (%) | Tars Yield (%) | Gas Yield (%) |
|---|---|---|---|
| Bamboo-500 | 29.4 | 32.3 | 38.3 |
| Bamboo-700 | 27.5 | 59.6 | 12.9 |
| Elemental Analysis by EDX (wt.%) | Raw Biomass | Bamboo-500 | Bamboo-700 | Bamboo-A-900 |
|---|---|---|---|---|
| Carbon | n.a | 71.1 | 75.9 | 68.5 |
| Oxygen | n.a | 23.1 | 17.3 | 20.2 |
| Silicon | n.a | 3 | 4.1 | 7.5 |
| Potassium | n.a | 1.7 | 1.4 | 2.2 |
| Calcium | n.a | 0.3 | 0.6 | 0.4 |
| Sulfur | n.a | 0.2 | 0.3 | 0.5 |
| Magnesium | n.a | 0.3 | 0.2 | 0.4 |
| Phosphorus | n.a | 0.1 | 0.1 | 0.1 |
| Aluminium | n.a | 0.2 | - | - |
| Copper | n.a | - | 0.1 | 0.1 |
| Manganese | n.a | - | - | 0.1 |
| Total Organic Elements | n.a | 94.5 | 93.6 | 89.3 |
| Total Inorganic Elements | n.a | 5.5 | 6.4 | 10.7 |
| Proximate analysis (wt.%) | ||||
| Moisture | 7.2 | 5.2 | 7.4 | n.a |
| Volatiles | 75.1 | 16.1 | 5.1 | n.a |
| Fixed carbon | 13.4 | 65 | 74.5 | n.a |
| Ash | 4.3 | 13.7 | 13 | 34.1 |
| Textural properties | ||||
| (N2) (m2g−1) | n.a | n.a | 365 | 1220 |
| Vt (cm3 g−1) | n.a | n.a | 0.16 | 0.6 |
| (cm3g−1) | n.a | n.a | 0.09 | 0.34 |
| (cm3g−1) | n.a | n.a | 0.07 | 0.26 |
| (nm) | n.a | n.a | 0.96 | 0.73 |
| Parameter | Bamboo-500 | Bamboo-700 | Bamboo-A-900 |
|---|---|---|---|
| Carbon (wt.%) | 71.1 | 75.9 | 68.5 |
| Oxygen (wt.%) | 23.1 | 17.3 | 20.2 |
| SBET (m2 g−1) | n.a | 365 | 1220 |
| AdC (CO2) (mol kg−1) | 1.9 ± 0.3 | 3.8 ± 0.1 | 8.0 ± 0.3 |
| AS | 2.4 ± 0.3 | 2.6 ± 0.1 | 2.4 ± 0.2 |
| (kJ mol−1) | 14.7 ± 1.1 | 14.2 ± 1.3 | 16 ± 1 |
| AAPI | 0.4 ± 0.1 | 1.6 ± 0.2 | 5.4 ± 0.2 |
Disclaimer/Publisher’s Note: The statements, opinions and data contained in all publications are solely those of the individual author(s) and contributor(s) and not of MDPI and/or the editor(s). MDPI and/or the editor(s) disclaim responsibility for any injury to people or property resulting from any ideas, methods, instructions or products referred to in the content. |
© 2025 by the authors. Licensee MDPI, Basel, Switzerland. This article is an open access article distributed under the terms and conditions of the Creative Commons Attribution (CC BY) license (https://creativecommons.org/licenses/by/4.0/).
Share and Cite
Abou Alfa, K.; Abou Saleh, N.; Beda, A.; Matei Ghimbeu, C.; Iragena Dushime, G.; Marias, F.; Moynault, L.; Platel, V.; Hort, C. Approximate Adsorption Performance Indicator in Evaluating Sustainable Bamboo-Derived Adsorbents for Biogas Upgrading. Sustainability 2025, 17, 1445. https://doi.org/10.3390/su17041445
Abou Alfa K, Abou Saleh N, Beda A, Matei Ghimbeu C, Iragena Dushime G, Marias F, Moynault L, Platel V, Hort C. Approximate Adsorption Performance Indicator in Evaluating Sustainable Bamboo-Derived Adsorbents for Biogas Upgrading. Sustainability. 2025; 17(4):1445. https://doi.org/10.3390/su17041445
Chicago/Turabian StyleAbou Alfa, Khaled, Nour Abou Saleh, Adrian Beda, Camélia Matei Ghimbeu, Grace Iragena Dushime, Frederic Marias, Laurent Moynault, Vincent Platel, and Cecile Hort. 2025. "Approximate Adsorption Performance Indicator in Evaluating Sustainable Bamboo-Derived Adsorbents for Biogas Upgrading" Sustainability 17, no. 4: 1445. https://doi.org/10.3390/su17041445
APA StyleAbou Alfa, K., Abou Saleh, N., Beda, A., Matei Ghimbeu, C., Iragena Dushime, G., Marias, F., Moynault, L., Platel, V., & Hort, C. (2025). Approximate Adsorption Performance Indicator in Evaluating Sustainable Bamboo-Derived Adsorbents for Biogas Upgrading. Sustainability, 17(4), 1445. https://doi.org/10.3390/su17041445

