Verifying the “Porter Effect” of Green Credit Policy on Upstream Suppliers in the Green Supply Chain
Abstract
1. Introduction
2. Literature Review and Hypotheses
3. Research Design
3.1. Model Specification
3.2. Variables
3.3. Data
3.4. Descriptive Analysis
4. Results and Analysis
4.1. Baseline Regression
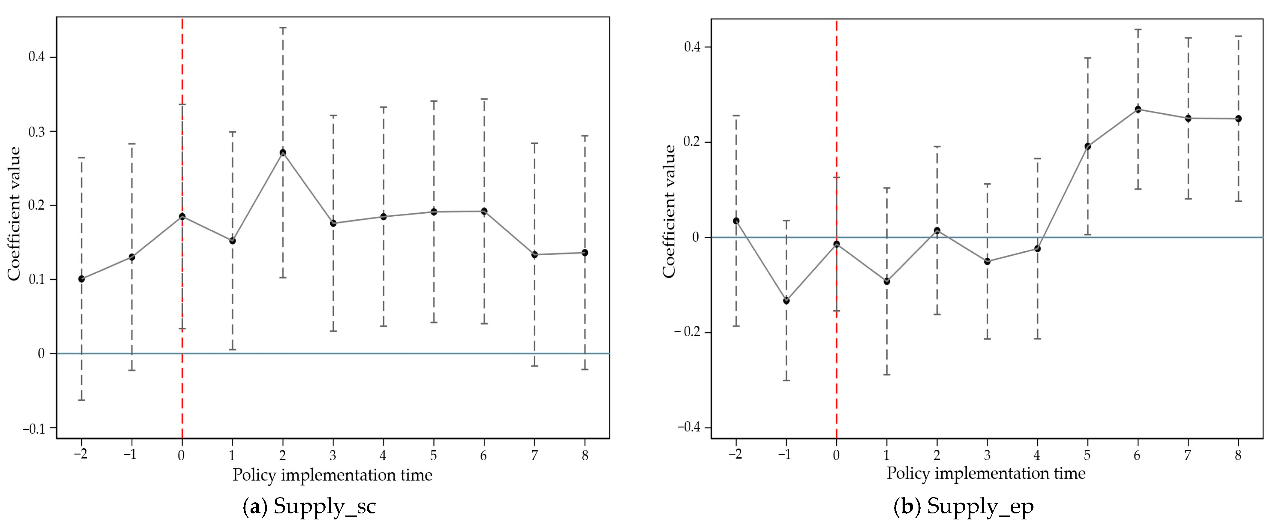
4.2. Parallel Trend Test
4.3. Robustness Test
4.4. Heterogeneity Analysis
5. Potential Pathways
5.1. Internal Environmental Concerns
5.2. Demand-Induced Trade Credits
6. Discussion
6.1. Conclusions and Implications
6.2. Limitations and Future Research Directions
Author Contributions
Funding
Institutional Review Board Statement
Informed Consent Statement
Data Availability Statement
Conflicts of Interest
References
- Samant, S.; Thakur-Wernz, P.; Hatfield, D.E. Does the Focus of Renewable Energy Policy Impact the Nature of Innovation? Evidence from Emerging Economies. Energy Policy 2020, 137, 111119. [Google Scholar] [CrossRef]
- Pan, X.; Wei, Z.; Han, B.; Shahbaz, M. The Heterogeneous Impacts of Interregional Green Technology Spillover on Energy Intensity in China. Energy Econ. 2021, 96, 105133. [Google Scholar] [CrossRef]
- Zhang, D.; Lucey, B.M. Sustainable Behaviors and Firm Performance: The Role of Financial Constraints’ Alleviation. Econ. Anal. Policy 2022, 74, 220–233. [Google Scholar] [CrossRef]
- He, W.; Li, S.; Si, R. Improvement of Firm’s Environmental Performance under the Background of Green Credit: The Role of Green Supplier Integration. Financ. Res. Lett. 2024, 59, 104770. [Google Scholar] [CrossRef]
- Song, M.; Wang, S.; Zhang, H. Could Environmental Regulation and R&D Tax Incentives Affect Green Product Innovation? J. Clean. Prod. 2020, 258, 120849. [Google Scholar] [CrossRef]
- Wen, H.; Lee, C.-C.; Zhou, F. Green Credit Policy, Credit Allocation Efficiency and Upgrade of Energy-Intensive Enterprises. Energy Econ. 2021, 94, 105099. [Google Scholar] [CrossRef]
- Tan, X.; Yan, Y.; Dong, Y. Peer Effect in Green Credit Induced Green Innovation: An Empirical Study from China’s Green Credit Guidelines. Resour. Policy 2022, 76, 102619. [Google Scholar] [CrossRef]
- Chen, Z.; Zhang, Y.; Wang, H.; Ouyang, X.; Xie, Y. Can Green Credit Policy Promote Low-Carbon Technology Innovation? J. Clean. Prod. 2022, 359, 132061. [Google Scholar] [CrossRef]
- Ge, S.; Luo, X.; Li, Y.; Zheng, L. The Impact of Green Credit Policy on Total Factor Productivity of Enterprises. Int. Rev. Econ. Financ. 2024, 95, 103480. [Google Scholar] [CrossRef]
- Lee, H.; Plambeck, E.L.; Yatsko, P. Embracing Green in China–with an NGO Nudge. Supply Chain Manag. Rev. 2012, 16. [Google Scholar]
- Li, X.; Wang, R.; Shen, Z.Y.; Song, M. Green Credit and Corporate Energy Efficiency: Enterprise Pollution Transfer or Green Transformation. Energy 2023, 285, 129345. [Google Scholar] [CrossRef]
- Zhang, D.; Kong, Q. Credit Policy, Uncertainty, and Firm R&D Investment: A Quasi-Natural Experiment Based on the Green Credit Guidelines. Pac.-Basin Financ. J. 2022, 73, 101751. [Google Scholar] [CrossRef]
- Aitken, J.; Harrison, A. Supply Governance Structures for Reverse Logistics Systems. Int. J. Oper. Prod. Manag. 2013, 33, 745–764. [Google Scholar] [CrossRef]
- Hu, G.; Wang, X.; Wang, Y. Can the Green Credit Policy Stimulate Green Innovation in Heavily Polluting Enterprises? Evidence from a Quasi-Natural Experiment in China. Energy Econ. 2021, 98, 105134. [Google Scholar] [CrossRef]
- Yu, C.-H.; Wu, X.; Zhang, D.; Chen, S.; Zhao, J. Demand for Green Finance: Resolving Financing Constraints on Green Innovation in China. Energy Policy 2021, 153, 112255. [Google Scholar] [CrossRef]
- Liu, S.; Xu, R.; Chen, X. Does Green Credit Affect the Green Innovation Performance of High-Polluting and Energy-Intensive Enterprises? Evidence from a Quasi-Natural Experiment. Env. Sci. Pollut. Res. 2021, 28, 65265–65277. [Google Scholar] [CrossRef]
- Andersen, D.C. Do Credit Constraints Favor Dirty Production? Theory and Plant-Level Evidence. J. Environ. Econ. Manag. 2017, 84, 189–208. [Google Scholar] [CrossRef]
- Huergo, E.; Moreno, L. Subsidies or Loans? Evaluating the Impact of R&D Support Programmes. Res. Policy 2017, 46, 1198–1214. [Google Scholar] [CrossRef]
- Xu, X.; Li, J. Asymmetric Impacts of the Policy and Development of Green Credit on the Debt Financing Cost and Maturity of Different Types of Enterprises in China. J. Clean. Prod. 2020, 264, 121574. [Google Scholar] [CrossRef]
- Cao, S.; Leung, D. Credit Constraints and Productivity of SMEs: Evidence from Canada. Econ. Model. 2020, 88, 163–180. [Google Scholar] [CrossRef]
- Männasoo, K.; Meriküll, J. Credit Constraints and R&D over the Boom and Bust: Firm-Level Evidence from Central and Eastern Europe. Econ. Syst. 2020, 44, 100747. [Google Scholar] [CrossRef]
- Song, M.; Ai, H.; Li, X. Political Connections, Financing Constraints, and the Optimization of Innovation Efficiency among China’s Private Enterprises. Technol. Forecast. Soc. Change 2015, 92, 290–299. [Google Scholar] [CrossRef]
- Wang, E.-Z.; Lee, C.-C. The Impact of Commercial Bank Branch Expansion on Energy Efficiency: Micro Evidence from China. China Econ. Rev. 2023, 80, 102019. [Google Scholar] [CrossRef]
- Tan, W.; Yan, E.H.; Yip, W.S. Go Green: How Does Green Credit Policy Promote Corporate Green Transformation in China. J. Int. Financ. Manag. Account. 2024, 36, 3867. [Google Scholar] [CrossRef]
- Song, M.; Zhou, P.; Si, H. Financial Technology and Enterprise Total Factor Productivity—Perspective of “Enabling” and Credit Rationing. China Ind. Econ. 2021, 138–155. [Google Scholar] [CrossRef]
- Zhang, B.; Wang, Y. The Effect of Green Finance on Energy Sustainable Development: A Case Study in China. Emerg. Mark. Financ. Trade 2021, 57, 3435–3454. [Google Scholar] [CrossRef]
- Cheng, Y.; Zhou, X.; Li, Y. The Effect of Digital Transformation on Real Economy Enterprises’ Total Factor Productivity. Int. Rev. Econ. Financ. 2023, 85, 488–501. [Google Scholar] [CrossRef]
- Piao, Z.; Wu, C.; Su, N.; Lin, Y.; Zheng, Z. Financial Constraints, Capital Misallocation and Firm’s Total Factor Productivity (TFP) Loss—Empirical Evidence from Listed Manufacturing Companies in China. Appl. Econ. 2023, 55, 4572–4585. [Google Scholar] [CrossRef]
- Herzer, D. The Impact of Domestic and Foreign R&D on TFP in Developing Countries. World Dev. 2022, 151, 105754. [Google Scholar] [CrossRef]
- Abudureheman, A. Design of a User Comment Management System Based on Text Mining: Innovative Organization Management for E-Commerce. J. Organ. End User Comput. 2023, 35, 1–14. [Google Scholar] [CrossRef]
- Zheng, S.; Zhang, X.; Wang, H. Green Credit Policy and the Stock Price Synchronicity of Heavily Polluting Enterprises. Econ. Anal. Policy 2023, 77, 251–264. [Google Scholar] [CrossRef]
- He, Y.; Liu, R. The Impact of the Level of Green Finance Development on Corporate Debt Financing Capacity. Financ. Res. Lett. 2023, 52, 103552. [Google Scholar] [CrossRef]
- Li, S.; Liu, Q.; Lu, L.; Zheng, K. Green Policy and Corporate Social Responsibility: Empirical Analysis of the Green Credit Guidelines in China. J. Asian Econ. 2022, 82, 101531. [Google Scholar] [CrossRef]
- Wu, W.; Ji, Z.; Liu, J. Impact of Green Financing on CSR and Environmental Policies and Procedures. Heliyon 2024, 10, e31101. [Google Scholar] [CrossRef]
- Kang, H.; Jung, S.-Y.; Lee, H. The Impact of Green Credit Policy on Manufacturers’ Efforts to Reduce Suppliers’ Pollution. J. Clean. Prod. 2020, 248, 119271. [Google Scholar] [CrossRef]
- Yao, S.; Zhang, X.; Zheng, W. On Green Credits and Carbon Productivity in China. Env. Sci. Pollut. Res. 2022, 29, 44308–44323. [Google Scholar] [CrossRef]
- Zhang, S.; Wu, Z.; He, Y.; Hao, Y. How Does the Green Credit Policy Affect the Technological Innovation of Enterprises? Evidence from China. Energy Econ. 2022, 113, 106236. [Google Scholar] [CrossRef]
- Lian, Y.; Gao, J.; Ye, T. How Does Green Credit Affect the Financial Performance of Commercial Banks? ——Evidence from China. J. Clean. Prod. 2022, 344, 131069. [Google Scholar] [CrossRef]
- Yin, W.; Zhu, Z.; Kirkulak-Uludag, B.; Zhu, Y. The Determinants of Green Credit and Its Impact on the Performance of Chinese Banks. J. Clean. Prod. 2021, 286, 124991. [Google Scholar] [CrossRef]
- Gollop, F.M.; Roberts, M.J. Environmental Regulations and Productivity Growth: The Case of Fossil-Fueled Electric Power Generation. J. Political Econ. 1983, 91, 654–674. [Google Scholar] [CrossRef]
- Gray, W.B.; Shadbegian, R.J. Plant Vintage, Technology, and Environmental Regulation. J. Environ. Econ. Manag. 2003, 46, 384–402. [Google Scholar] [CrossRef]
- Rubashkina, Y.; Galeotti, M.; Verdolini, E. Environmental Regulation and Competitiveness: Empirical Evidence on the Porter Hypothesis from European Manufacturing Sectors. Energy Policy 2015, 83, 288–300. [Google Scholar] [CrossRef]
- Wagner, M. Empirical Influence of Environmental Management on Innovation: Evidence from Europe. Ecol. Econ. 2008, 66, 392–402. [Google Scholar] [CrossRef]
- Stucki, T.; Woerter, M.; Arvanitis, S.; Peneder, M.; Rammer, C. How Different Policy Instruments Affect Green Product Innovation: A Differentiated Perspective. Energy Policy 2018, 114, 245–261. [Google Scholar] [CrossRef]
- Bartram, S.M.; Hou, K.; Kim, S. Real Effects of Climate Policy: Financial Constraints and Spillovers. J. Financ. Econ. 2022, 143, 668–696. [Google Scholar] [CrossRef]
- Johnson, D.K.; Moore, J.; Acri née Lybecker, K.M. Where Are the Eco-Innovators? Analysis of the Knowledge Flows Between Successive Generations of Green Technology Innovations. 2012. Available online: https://papers.ssrn.com/sol3/papers.cfm?abstract_id=2025625 (accessed on 22 December 2024). [CrossRef]
- Ghisetti, C.; Mazzanti, M.; Mancinelli, S.; Zoli, M. Do Financial Constraints Make the Environment Worse off? Understanding the Effects of Financial Barriers on Environmental Innovations. SEEDS Working Paper Series. 2015. 19p. Available online: www.researchgate.net/publication/287203120 (accessed on 20 October 2024).
- Noailly, J.; Smeets, R. Financing Energy Innovation: The Role of Financing Constraints for Directed Technical Change from Fossil-Fuel to Renewable Innovation; European Investment Bank (EIB): Luxembourg, 2016. [Google Scholar]
- Porter, M.; Van der Linde, C. Green and Competitive: Ending the Stalemate. Dyn. Eco-Effic. Econ. Environ. Regul. Compet. Advant. 1995, 33, 120–134. [Google Scholar]
- Hu, Y.; Liu, J.; Ahmed, M. Does Emission Trading Policy Restrain Economy? A County-Scale Empirical Assessment from Zhejiang Province of China. Energy Policy 2022, 168, 113138. [Google Scholar] [CrossRef]
- Li, K.; Yan, Y.; Zhang, X. Carbon-Abatement Policies, Investment Preferences, and Directed Technological Change: Evidence from China. Technol. Forecast. Soc. Change 2021, 172, 121015. [Google Scholar] [CrossRef]
- Berrone, P.; Fosfuri, A.; Gelabert, L.; Gomez-Mejia, L.R. Necessity as the Mother of ‘Green’ Inventions: Institutional Pressures and Environmental Innovations. Strateg. Manag. J. 2013, 34, 891–909. [Google Scholar] [CrossRef]
- Ford, J.A.; Steen, J.; Verreynne, M.-L. How Environmental Regulations Affect Innovation in the Australian Oil and Gas Industry: Going beyond the Porter Hypothesis. J. Clean. Prod. 2014, 84, 204–213. [Google Scholar] [CrossRef]
- Hu, D.; Wang, Y.; Huang, J.; Huang, H. How Do Different Innovation Forms Mediate the Relationship between Environmental Regulation and Performance? J. Clean. Prod. 2017, 161, 466–476. [Google Scholar] [CrossRef]
- Shen, C.; Li, S.; Wang, X.; Liao, Z. The Effect of Environmental Policy Tools on Regional Green Innovation: Evidence from China. J. Clean. Prod. 2020, 254, 120122. [Google Scholar] [CrossRef]
- Mi, K.; Cui, Z.; Zhu, X.; Zhuang, R. Can Green Credit Improve the Innovation of Enterprise Green Technology: Evidence from 271 Cities in China. Systems 2024, 12, 63. [Google Scholar] [CrossRef]
- Wang, X.; Zhang, C.; Zhang, Z. Pollution Haven or Porter? The Impact of Environmental Regulation on Location Choices of Pollution-Intensive Firms in China. J. Environ. Manag. 2019, 248, 109248. [Google Scholar] [CrossRef] [PubMed]
- Wang, Y.; Li, M. Credit Policy and Its Heterogeneous Effects on Green Innovations. J. Financ. Stab. 2022, 58, 100961. [Google Scholar] [CrossRef]
- Gao, D.; Mo, X.; Duan, K.; Li, Y. Can Green Credit Policy Promote Firms’ Green Innovation? Evidence from China. Sustainability 2022, 14, 3911. [Google Scholar] [CrossRef]
- Amores-Salvadó, J.; Martin-de Castro, G.; Navas-López, J.E. The Importance of the Complementarity between Environmental Management Systems and Environmental Innovation Capabilities: A Firm Level Approach to Environmental and Business Performance Benefits. Technol. Forecast. Soc. Change 2015, 96, 288–297. [Google Scholar] [CrossRef]
- King, A.; Lenox, M. Exploring the Locus of Profitable Pollution Reduction. Manag. Sci. 2002, 48, 289–299. [Google Scholar] [CrossRef]
- Eiadat, Y.; Kelly, A.; Roche, F.; Eyadat, H. Green and Competitive? An Empirical Test of the Mediating Role of Environmental Innovation Strategy. J. World Bus. 2008, 43, 131–145. [Google Scholar] [CrossRef]
- Vachon, S. Green Supply Chain Practices and the Selection of Environmental Technologies. Int. J. Prod. Res. 2007, 45, 4357–4379. [Google Scholar] [CrossRef]
- Klassen, R.D.; Whybark, D.C. The Impact of Environmental Technologies on Manufacturing Performance. Acad. Manag. J. 1999, 42, 599–615. [Google Scholar] [CrossRef]
- Geng, R.; Mansouri, S.A.; Aktas, E.; Yen, D.A. The Role of Guanxi in Green Supply Chain Management in Asia’s Emerging Economies: A Conceptual Framework. Ind. Mark. Manag. 2017, 63, 1–17. [Google Scholar] [CrossRef]
- Zhang, D. Green Credit Regulation, Induced R&D and Green Productivity: Revisiting the Porter Hypothesis. Int. Rev. Financ. Anal. 2021, 75, 101723. [Google Scholar] [CrossRef]
- Geffen, C.A.; Rothenberg, S. Suppliers and Environmental Innovation: The Automotive Paint Process. Int. J. Oper. Prod. Manag. 2000, 20, 166–186. [Google Scholar] [CrossRef]
- Bowen, F.E.; Cousins, P.D.; Lamming, R.C.; Farukt, A.C. The Role of Supply Management Capabilities in Green Supply. Prod. Oper. Manag. 2001, 10, 174–189. [Google Scholar] [CrossRef]
- De Medeiros, J.F.; Ribeiro, J.L.D.; Cortimiglia, M.N. Success Factors for Environmentally Sustainable Product Innovation: A Systematic Literature Review. J. Clean. Prod. 2014, 65, 76–86. [Google Scholar] [CrossRef]
- Beck, T.; Demirguc-Kunt, A. Small and Medium-Size Enterprises: Access to Finance as a Growth Constraint. J. Bank. Financ. 2006, 30, 2931–2943. [Google Scholar] [CrossRef]
- Megginson, W.L.; Ullah, B.; Wei, Z. State Ownership, Soft-Budget Constraints, and Cash Holdings: Evidence from China’s Privatized Firms. J. Bank. Financ. 2014, 48, 276–291. [Google Scholar] [CrossRef]
- D’Souza, J.; Nash, R. Private Benefits of Public Control: Evidence of Political and Economic Benefits of State Ownership. J. Corp. Financ. 2017, 46, 232–247. [Google Scholar] [CrossRef]
- Chen, Y.; Wang, S.S.; Li, W.; Sun, Q.; Tong, W.H.S. Institutional Environment, Firm Ownership, and IPO First-Day Returns: Evidence from China. J. Corp. Financ. 2015, 32, 150–168. [Google Scholar] [CrossRef]
- Testa, F.; Iraldo, F.; Frey, M. The Effect of Environmental Regulation on Firms’ Competitive Performance: The Case of the Building & Construction Sector in Some EU Regions. J. Environ. Manag. 2011, 92, 2136–2144. [Google Scholar] [CrossRef]
- Hao, F.; Xie, Y.; Liu, X. The Impact of Green Credit Guidelines on the Technological Innovation of Heavily Polluting Enterprises: A Quasi-Natural Experiment from China. Math. Probl. Eng. 2020, 2020, 1–13. [Google Scholar] [CrossRef]
- Jin, D.; Mengqi, N. The Paradox of Green Credit in China. Energy Procedia 2011, 5, 1979–1986. [Google Scholar] [CrossRef]
- Chiou, T.-Y.; Chan, H.K.; Lettice, F.; Chung, S.H. The Influence of Greening the Suppliers and Green Innovation on Environmental Performance and Competitive Advantage in Taiwan. Transp. Res. Part E Logist. Transp. Rev. 2011, 47, 822–836. [Google Scholar] [CrossRef]
- Schwartz, R.A. An Economic Model of Trade Credit. J. Financ. Quant. Anal. 1974, 9, 643. [Google Scholar] [CrossRef]
- Repullo, R.; Suarez, J. Entrepreneurial Moral Hazard and Bank Monitoring: A Model of the Credit Channel. Eur. Econ. Rev. 2000, 44, 1931–1950. [Google Scholar] [CrossRef]
- Mateut, S.; Bougheas, S.; Mizen, P. Trade Credit, Bank Lending and Monetary Policy Transmission. Eur. Econ. Rev. 2006, 50, 603–629. [Google Scholar] [CrossRef]
- Meltzer, A.H. Mercantile Credit, Monetary Policy, and Size of Firms. Rev. Econ. Stat. 1960, 42, 429. [Google Scholar] [CrossRef]
- Tumelero, C.; Sbragia, R.; Evans, S. Cooperation in R & D and Eco-Innovations: The Role in Companies’ Socioeconomic Performance. J. Clean. Prod. 2019, 207, 1138–1149. [Google Scholar] [CrossRef]
- Wang, Y.; Yao, J. Innovation or Introduction? Impacts of the Low-Carbon City Pilot Policy on the Pathways toward Green Technology Progress. Heliyon 2024, 10, e28745. [Google Scholar] [CrossRef] [PubMed]
- Hu, Y.; Jin, S.; Ni, J.; Peng, K.; Zhang, L. Strategic or Substantive Green Innovation: How Do Non-Green Firms Respond to Green Credit Policy? Econ. Model. 2023, 126, 106451. [Google Scholar] [CrossRef]
- Van Wijk, R.; Jansen, J.J.P.; Van Den Bosch, F.A.J.; Volberda, H.W. How Firms Shape Knowledge to Explore and Exploit: A Study of Knowledge Flows, Knowledge Stocks and Innovative Performance across Units. Technol. Anal. Strateg. Manag. 2012, 24, 929–950. [Google Scholar] [CrossRef]
- Bennett, B.; Bettis, J.C.; Gopalan, R.; Milbourn, T. Compensation Goals and Firm Performance. J. Financ. Econ. 2017, 124, 307–330. [Google Scholar] [CrossRef]
- Dang, C.; Li, Z.; Yang, C. Measuring Firm Size in Empirical Corporate Finance. J. Bank. Financ. 2018, 86, 159–176. [Google Scholar] [CrossRef]
- Jiang, F.; Kim, K.A. Corporate Governance in China: A Survey. Rev. Financ. 2020, 24, 733–772. [Google Scholar] [CrossRef]
- Ludwig, P.; Sassen, R. Which Internal Corporate Governance Mechanisms Drive Corporate Sustainability? J. Environ. Manag. 2022, 301, 113780. [Google Scholar] [CrossRef] [PubMed]
- Wang, C.; Wang, L. Green Credit and Industrial Green Total Factor Productivity: The Impact Mechanism and Threshold Effect Tests. J. Environ. Manag. 2023, 331, 117266. [Google Scholar] [CrossRef]
- Ferrara, E.L.; Chong, A.; Duryea, S. Soap Operas and Fertility: Evidence from Brazil. Am. Econ. J. Appl. Econ. 2012, 4, 1–31. [Google Scholar] [CrossRef]
- Lewbel, A. Constructing Instruments for Regressions With Measurement Error When No Additional Data Are Available, with An Application to Patents and R&D. Econometrica 1997, 65, 1201. [Google Scholar] [CrossRef]





| Variables | Supply_sc (N = 2434) | Supply_ep (N = 635) | Untreated Group (N = 18,302) | |||||||||
|---|---|---|---|---|---|---|---|---|---|---|---|---|
| Mean | SD | Min | Max | Mean | SD | Min | Max | Mean | SD | Min | Max | |
| LnGI | 0.893 | 1.085 | 0 | 4.775 | 1.678 | 1.408 | 0 | 4.762 | 0.761 | 1.112 | 0 | 4.762 |
| Size | 12.22 | 0.989 | 9.965 | 16.122 | 12.646 | 1.111 | 9.878 | 15.894 | 12.572 | 1.241 | 9.878 | 16.487 |
| Age | 2.775 | 0.352 | 1.099 | 3.555 | 2.849 | 0.301 | 1.792 | 3.434 | 2.821 | 0.374 | 1.099 | 3.555 |
| Labor | 7.358 | 0.964 | 4.673 | 10.574 | 7.115 | 1.079 | 4.407 | 10.716 | 7.532 | 1.221 | 4.094 | 10.716 |
| Lev | 0.378 | 0.187 | 0.028 | 0.892 | 0.478 | 0.185 | 0.044 | 0.905 | 0.42 | 0.208 | 0.028 | 0.905 |
| Growth | 0.174 | 0.371 | −0.657 | 3.541 | 0.237 | 0.434 | −0.633 | 3.133 | 0.178 | 0.427 | −0.657 | 3.978 |
| Roa | 0.04 | 0.069 | −0.506 | 0.233 | 0.039 | 0.042 | −0.272 | 0.176 | 0.039 | 0.064 | −0.506 | 0.233 |
| Cashflow | 0.039 | 0.064 | −0.199 | 0.291 | 0.032 | 0.065 | −0.191 | 0.291 | 0.046 | 0.072 | −0.222 | 0.291 |
| Top1 | 34.003 | 13.607 | 8.352 | 75.734 | 38.14 | 14.891 | 11.369 | 75.104 | 34.695 | 15.109 | 8.352 | 75.734 |
| Capital | 2.533 | 1.386 | 0.412 | 14.595 | 3.703 | 2.333 | 0.412 | 14.595 | 2.593 | 2.242 | 0.386 | 16.066 |
| R&D_invest | 8.475 | 1.302 | 0.000 | 13.347 | 7.295 | 2.235 | 0.000 | 17.448 | 7.212 | 3.239 | 0.000 | 24.391 |
| R&D_sub | 7.227 | 6.616 | 0.000 | 18.379 | 4.744 | 6.155 | 0.000 | 16.206 | 5.047 | 6.399 | 0.000 | 21.318 |
| Variables | Supply_sc | Supply_ep | ||
|---|---|---|---|---|
| (1) | (2) | (3) | (4) | |
| GCP | 0.0732 | 0.0890 ** | 0.1856 ** | 0.1300 * |
| (0.0511) | (0.0423) | (0.0869) | (0.0771) | |
| Size | 0.2208 *** | 0.2271 *** | ||
| (0.0191) | (0.0195) | |||
| Age | 0.1224 * | 0.1448 ** | ||
| (0.0703) | (0.0733) | |||
| Labor | 0.0489 *** | 0.0514 *** | ||
| (0.0122) | (0.0122) | |||
| Lev | −0.0364 | 0.0099 | ||
| (0.0513) | (0.0511) | |||
| Growth | −0.0327 *** | −0.0285 ** | ||
| (0.0119) | (0.0117) | |||
| Roa | 0.0841 | 0.1040 | ||
| (0.0911) | (0.0992) | |||
| Cashflow | −0.1128 | −0.1177 | ||
| (0.0718) | (0.0750) | |||
| Top1 | −0.0001 | 0.0003 | ||
| (0.0008) | (0.0008) | |||
| Capital | −0.0122 *** | −0.0126 *** | ||
| (0.0037) | (0.0037) | |||
| R&d_invest | 0.0526 *** | 0.0522 *** | ||
| (0.0050) | (0.0049) | |||
| R&D_sub | 0.0020 ** | 0.0022 ** | ||
| (0.0009) | (0.0009) | |||
| Constant | 0.4996 *** | −3.3286 *** | 0.5257 *** | −3.4932 *** |
| (0.0086) | (0.2705) | (0.0081) | (0.2737) | |
| Firm FE | YES | YES | YES | YES |
| Industry FE | YES | YES | YES | YES |
| Year FE | YES | YES | YES | YES |
| Observations | 20,090 | 20,073 | 18,356 | 18,339 |
| R2_Adj | 0.6804 | 0.6999 | 0.6898 | 0.7105 |
| Variables | PSM-DID | Policy Interference | Lagging Effect | |||
| Supply_sc | Supply_ep | Supply_sc | Supply_ep | Supply_sc | Supply_ep | |
| GCP | 0.1023 * | 0.3445 ** | 0.0918 ** | 0.1788 ** | 0.0822 ** | 0.1598 ** |
| (0.0588) | (0.1582) | (0.0450) | (0.0833) | (0.0406) | (0.0729) | |
| Constant | −3.1248 *** | −2.9552 | −3.3350 *** | −3.5041 *** | −2.8063 *** | −2.8358 *** |
| (0.7185) | (2.3031) | (0.2707) | (0.2753) | (0.2826) | (0.2721) | |
| Controls | YES | YES | YES | YES | YES | YES |
| Firm FE | YES | YES | YES | YES | YES | YES |
| Industry FE | YES | YES | YES | YES | YES | YES |
| Year FE | YES | YES | YES | YES | YES | YES |
| Observations | 3619 | 805 | 18,920 | 17,278 | 18,694 | 18,594 |
| R2_Adj | 0.7210 | 0.7608 | 0.7029 | 0.7142 | 0.7145 | 0.7191 |
| Variables | GI_Transfers | IV_2SLS | ||||
| Supply_sc | Supply_ep | Supply_sc Stage 1 | Supply_sc Stage 2 | Supply_ep Stage 1 | Supply_ep Stage 2 | |
| GCP | 0.0390 ** | 0.0719 *** | 0.0991 ** | 0.3112 *** | ||
| (0.0187) | (0.0267) | (0.0462) | (0.1139) | |||
| GCP_mean | 0.9257 *** | 0.8721 *** | ||||
| (0.0163) | (0.1311) | |||||
| Constant | −0.6152 *** | −0.5876 *** | 0.0274 | −3.9505 *** | 0.0530 *** | −3.8875 *** |
| (0.0906) | (0.0959) | (0.0364) | (0.2043) | (0.0158) | (0.2203) | |
| Controls | YES | YES | YES | YES | YES | YES |
| Firm FE | YES | YES | YES | YES | YES | YES |
| Industry FE | YES | YES | YES | YES | YES | YES |
| Year FE | YES | YES | YES | YES | YES | YES |
| Kleibergen–Paap rk LM | 10.759 *** | 11.243 *** | ||||
| Cragg–Donald Wald F | 2981.649 | 42.150 | ||||
| Observations | 18,697 | 17,148 | 20,373 | 20,073 | 18,596 | 18,339 |
| R2_Adj | 0.4425 | 0.4520 | 0.9490 | 0.0603 | 0.9361 | 0.0657 |
| Variables | Supply_sc | Supply_ep | ||
|---|---|---|---|---|
| (1) | (2) | (3) | (4) | |
| Concerns_sc | LnGI | Concerns_ep | LnGI | |
| GCP | 0.1436 *** | 0.0700 * | 0.1774 ** | 0.1394 * |
| (0.0461) | (0.0404) | (0.0746) | (0.0807) | |
| Concerns_sc | 0.0180 * | |||
| (0.0094) | ||||
| Concerns_ep | 0.0164 * | |||
| (0.0099) | ||||
| Constant | 0.3149 | −3.6403 *** | 0.3414 | −3.7026 *** |
| (0.2525) | (0.2974) | (0.2676) | (0.2941) | |
| Controls | YES | YES | YES | YES |
| Firm FE | YES | YES | YES | YES |
| Industry FE | YES | YES | YES | YES |
| Year FE | YES | YES | YES | YES |
| Observations | 17,969 | 17,672 | 16,314 | 16,060 |
| R2_Adj | 0.6445 | 0.6961 | 0.6565 | 0.7113 |
| Variables | Supply_sc | Supply_ep | Demand_HPEs | ||||
|---|---|---|---|---|---|---|---|
| (1) | (2) | (3) | (4) | (5) | (6) | (7) | |
| Credit_sc | LnGI | Credit_ep | LnGI | HCredit_sc | HCredit_ep | LnGI | |
| GCP | 0.0668 *** | 0.0751 * | 0.0236 ** | 0.1281 * | 0.6717 * | 0.3314 *** | −0.0992 ** |
| (0.0127) | (0.0418) | (0.0111) | (0.0766) | (0.3486) | (0.0859) | (0.0441) | |
| Credit_sc | 0.2058 *** | ||||||
| (0.0345) | |||||||
| Credit_ep | 0.1630 *** | ||||||
| (0.0370) | |||||||
| Constant | −0.1185 ** | −3.2934 *** | −0.0385 | −3.4568 *** | 19.0281 *** | 0.0790 | −3.0795 *** |
| (0.0580) | (0.2709) | (0.0404) | (0.2744) | (6.6364) | (0.4545) | (0.2456) | |
| Controls | YES | YES | YES | YES | YES | YES | YES |
| Firm FE | YES | YES | YES | YES | YES | YES | YES |
| Industry FE | YES | YES | YES | YES | YES | YES | YES |
| Year FE | YES | YES | YES | YES | YES | YES | YES |
| Observations | 20,332 | 20,032 | 18,555 | 18,298 | 537 | 25,073 | 24,755 |
| R2_Adj | 0.8098 | 0.7011 | 0.8381 | 0.7113 | 0.8671 | 0.3765 | 0.6879 |
Disclaimer/Publisher’s Note: The statements, opinions and data contained in all publications are solely those of the individual author(s) and contributor(s) and not of MDPI and/or the editor(s). MDPI and/or the editor(s) disclaim responsibility for any injury to people or property resulting from any ideas, methods, instructions or products referred to in the content. |
© 2025 by the authors. Licensee MDPI, Basel, Switzerland. This article is an open access article distributed under the terms and conditions of the Creative Commons Attribution (CC BY) license (https://creativecommons.org/licenses/by/4.0/).
Share and Cite
Yao, J.; Yu, Z.; Yan, Z.; Wang, Y. Verifying the “Porter Effect” of Green Credit Policy on Upstream Suppliers in the Green Supply Chain. Sustainability 2025, 17, 1306. https://doi.org/10.3390/su17031306
Yao J, Yu Z, Yan Z, Wang Y. Verifying the “Porter Effect” of Green Credit Policy on Upstream Suppliers in the Green Supply Chain. Sustainability. 2025; 17(3):1306. https://doi.org/10.3390/su17031306
Chicago/Turabian StyleYao, Jingmin, Zhihui Yu, Zhenjun Yan, and Yanfang Wang. 2025. "Verifying the “Porter Effect” of Green Credit Policy on Upstream Suppliers in the Green Supply Chain" Sustainability 17, no. 3: 1306. https://doi.org/10.3390/su17031306
APA StyleYao, J., Yu, Z., Yan, Z., & Wang, Y. (2025). Verifying the “Porter Effect” of Green Credit Policy on Upstream Suppliers in the Green Supply Chain. Sustainability, 17(3), 1306. https://doi.org/10.3390/su17031306

