Spatio-Temporal Distribution and Spatial Spillover Effects of Net Carbon Emissions: A Case Study of Shaanxi Province, China
Abstract
1. Introduction
2. Literature Review
3. Methods and Data
3.1. Study Area
3.2. Calculation Method of NCE
3.3. GeoDetector
3.3.1. Factor Detection
3.3.2. Interaction Detection
3.4. Spatial Econometrics Model
3.5. Data Source
4. Results
4.1. Spatial and Temporal Distributions of Carbon Source/Carbon Sink
4.2. Spatial and Temporal Distributions of NCE
4.3. Analysis of Influencing Factors of NCE in Shaanxi Province
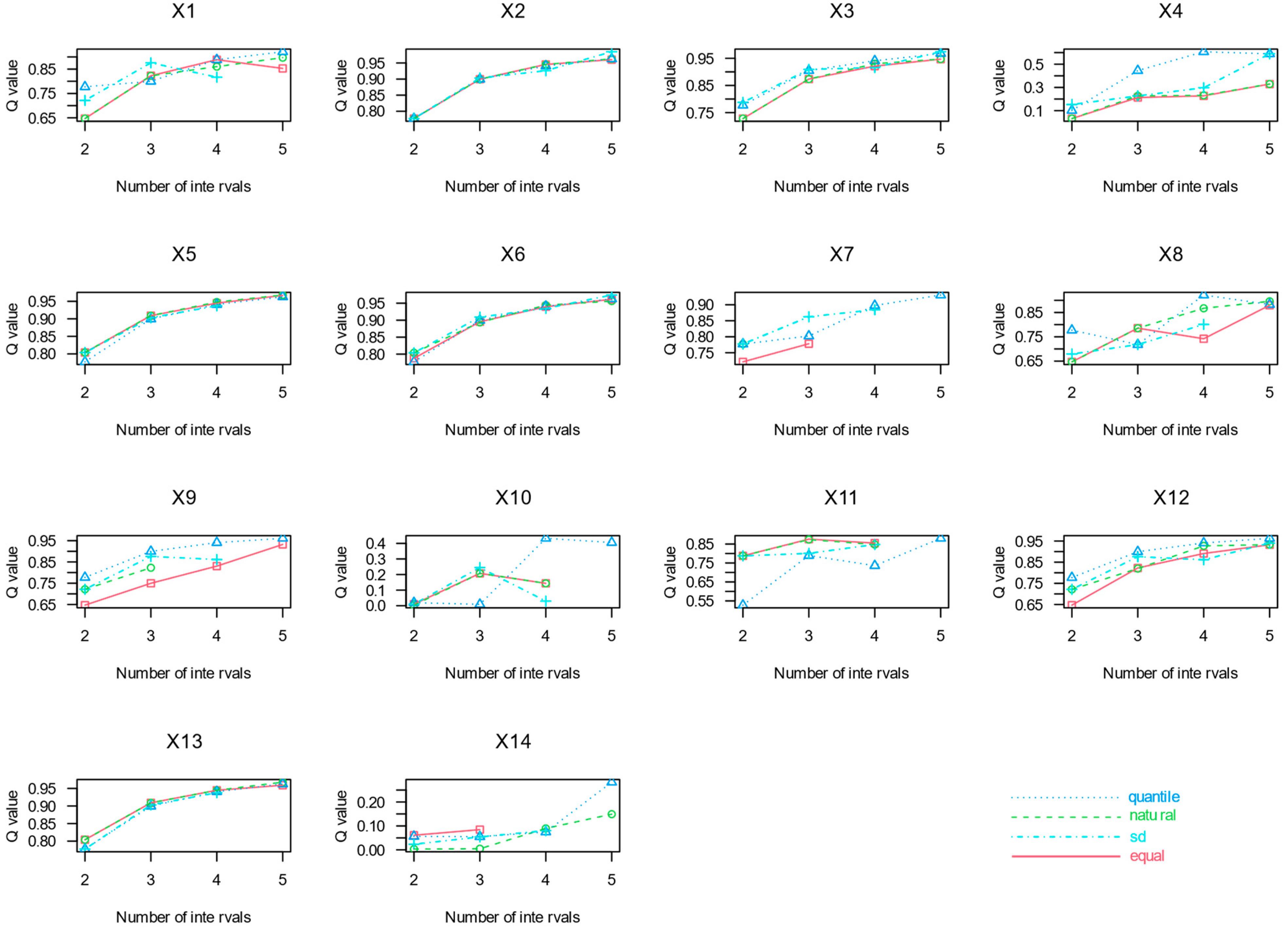
4.3.1. Selection of Influencing Factors and Optimal Discretization
4.3.2. Analysis of Detection Results of Influencing Factors of NCE
4.3.3. Interaction Analysis of NCE Factors
4.4. Spatial Spillover Effect of NCE in Shaanxi Province
4.4.1. Spatial Self-Correlation Test and Selection of Model Variables
4.4.2. Selection and Construction of Spatial Econometric Model
4.4.3. Spatial Effect Decomposition
5. Discussions
5.1. Develop Carbon Reduction Strategies Based on the Characteristics of Urban Regional Development
5.2. Enhancing Collaborative Strategies for Emission Reduction Among Cities
6. Conclusions and Shortcomings
6.1. Conclusions
6.2. Shortcomings and Prospects
Author Contributions
Funding
Institutional Review Board Statement
Informed Consent Statement
Data Availability Statement
Acknowledgments
Conflicts of Interest
References
- Wei, Z.; Tu, J.; Xiao, L.; Sun, W. Urbanization and carbon emissions in China: Analysis of dynamic relationships from 1978 to 2020. J. Geogr. Sci. 2024, 34, 1925–1952. [Google Scholar] [CrossRef]
- Liu, Y.; Yuan, Z.; Guo, L.; Feng, J.; Kong, W.; Dang, C. Spatio-temporal characteristics of urban green growth level and its influencing factors in Shaanxi province. J. Nat. Resour. 2022, 37, 200–220. [Google Scholar] [CrossRef]
- Zhang, X.; Cai, Z.; Song, W.; Yang, D. Mapping the spatial-temporal changes in energy consumption-related carbon emissions in the Beijing-Tianjin-Hebei region via nighttime light data. Sustain. Cities Soc. 2023, 94, 104476. [Google Scholar] [CrossRef]
- Chen, Y.; Ling, L.; Gu, Z.; Liu, J. Spatio-temporal Evolution and Influencing Factors of Carbon Emissions in Shaanxi Province. China Environ. Sci. 2024, 44, 1826–1839. [Google Scholar] [CrossRef]
- Pan, G.; Xu, Y.; Huang, B. Evaluating national and subnational CO2 mitigation goals in China’s thirteenth five-year plan from satellite observations. Environ. Int. 2021, 156, 106771. [Google Scholar] [CrossRef] [PubMed]
- Ke, N.; Lu, X.; Kuang, B.; Zhang, X. Regional disparities and evolution trend of city-level carbon emission intensity in China. Sustain. Cities Soc. 2023, 88, 104288. [Google Scholar] [CrossRef]
- Ren, Y.; Ren, X.; Hu, J. Driving factors of China’s city-level carbon emissions from the perspective of spatial spillover effect. Carbon Manag. 2019, 6, 551–566. [Google Scholar] [CrossRef]
- Xu, L.; Du, H.; Zhang, X. Driving forces of carbon dioxide emissions in China’s cities: An empirical analysis based on the geodetector method. J. Clean. Prod. 2021, 287, 125169. [Google Scholar] [CrossRef]
- Wang, M.; Zhu, C.; Cheng, Y.; Du, W.; Dong, S. The influencing factors of carbon emissions in the railway transportation industry based on extended LMDI decomposition method: Evidence from the BRIC countries. Environ. Sci. Pollut. Res. 2023, 30, 15490–15504. [Google Scholar] [CrossRef] [PubMed]
- Dong, J.; Li, C. Structure characteristics and influencing factors of China’s carbon emission spatial correlation network: A study based on the dimension of urban agglomerations. Sci. Total Environ. 2022, 853, 158613. [Google Scholar] [CrossRef]
- Wang, Q.; Zhang, F. The effects of trade openness on decoupling carbon emissions from economic growth – Evidence from 182 countries. J. Clean. Prod. 2021, 279, 123838. [Google Scholar] [CrossRef] [PubMed]
- Chen, L.; Yang, H.; Xiao, Y.; Tang, P.; Liu, S.; Chang, M.; Huang, H. Exploring spatial pattern optimization path of urban building carbon emission based on low-carbon cities analytical framework: A case study of Xi’an, China. Sustain. Cities Soc. 2024, 111, 105551. [Google Scholar] [CrossRef]
- Ren, H.; Wu, Q.; He, W.; Luo, X.; Li, Q.; Jiang, Z. Research on Regional low-carbon development path based on LEAP model: Taking the Lin-gang Special Area as an example. Energy Rep. 2022, 8, 327–335. [Google Scholar] [CrossRef]
- Yang, M.; Liu, Y. Research on the potential for China to achieve carbon neutrality: A hybrid prediction model integrated with elman neural network and sparrow search algorithm. J. Environ. Manag. 2023, 329, 117081. [Google Scholar] [CrossRef]
- De La Peña, L.; Guo, R.; Cao, X.; Ni, X.; Zhang, W. Accelerating the energy transition to achieve carbon neutrality. Resour. Conserv. Recycl. 2022, 177, 105957. [Google Scholar] [CrossRef]
- Wang, Z.; Li, X.; Mao, Y.; Li, L.; Wang, X.; Lin, Q. Dynamic simulation of land use change and assessment of carbon storage based on climate change scenarios at the city level: A case study of Bortala, China. Ecol. Indic. 2022, 134, 108499. [Google Scholar] [CrossRef]
- Zheng, Q.; Siman, K.; Zeng, Y.; Teo, H.C.; Sarira, T.V.; Sreekar, R.; Koh, L.P. Future land-use competition constrains natural climate solutions. Sci. Total Environ. 2022, 838, 156409. [Google Scholar] [CrossRef]
- Tan, M.; Cui, Y.; Ma, X.; Liu, P.; Fan, L.; Lu, Y.; Wen, W.; Chen, Z. Study on carbon sink estimation of cropland ecosystem in Henan province. J. Ecol. Rural Environ. 2022, 38, 1129–1137. [Google Scholar] [CrossRef]
- Xu, J. Study on spatiotemporal distribution characteristics and driving factors of carbon emission in Anhui Province. Sci. Rep. 2023, 13, 14400. [Google Scholar] [CrossRef] [PubMed]
- Han, J.; Dalaibaatar, E. A study on the influencing factors of china’s ecological footprint based on EEMD–GeoDetector. Sustainability 2023, 15, 6680. [Google Scholar] [CrossRef]
- Wang, W.; Yang, Y. Spatial-temporal differentiation characteristics and driving factors of China’s energy eco-efficiency based on geographical detector model. J. Clean. Prod. 2024, 434, 140153. [Google Scholar] [CrossRef]
- Zeng, C.; Chai, B.; Stringer, L.C.; Li, Y.; Wang, Z.; Deng, X.; Ma, B.; Ren, J. Land-based transportation influences carbon emission in urbanized China: A regional spatial spillover perspective. Sustain. Cities Soc. 2024, 100, 105008. [Google Scholar] [CrossRef]
- Li, Z.; Wu, H.; Wu, F. Impacts of urban forms and socioeconomic factors on CO2 emissions: A spatial econometric analysis. J. Clean. Prod. 2022, 372, 133722. [Google Scholar] [CrossRef]
- Su, L.; Wang, Y.; Yu, F. Analysis of regional differences and spatial spillover effects of agricultural carbon emissions in China. Heliyon 2023, 9, e16752. [Google Scholar] [CrossRef] [PubMed]
- Liu, F.; Liu, C. Regional disparity, spatial spillover effects of urbanisation and carbon emissions in China. J. Clean. Prod. 2019, 241, 118226. [Google Scholar] [CrossRef]
- Du, Q.; Deng, Y.; Zhou, J.; Wu, J.; Pang, Q. Spatial spillover effect of carbon emission efficiency in the construction industry of China. Environ. Sci. Pollut. Res. 2022, 29, 2466–2479. [Google Scholar] [CrossRef]
- Xing, P.; Wang, Y.; Ye, T.; Sun, Y.; Li, Q.; Li, X.; Li, M.; Chen, W. Carbon emission efficiency of 284 cities in China based on machine learning approach: Driving factors and regional heterogeneity. Energy Econ. 2024, 129, 107222. [Google Scholar] [CrossRef]
- Mardani, A.; Liao, H.; Nilashi, M.; Alrasheedi, M.; Cavallaro, F. A multi-stage method to predict carbon dioxide emissions using dimensionality reduction, clustering, and machine learning techniques. J. Clean. Prod. 2020, 275, 122942. [Google Scholar] [CrossRef]
- Khajavi, H.; Rastgoo, A. Predicting the carbon dioxide emission caused by road transport using a Random Forest (RF) model combined by Meta-Heuristic Algorithms. Sustain. Cities Soc. 2023, 93, 104503. [Google Scholar] [CrossRef]
- Wang, H.; Shi, W.; He, W.; Xue, H.; Zeng, W. Simulation of urban transport carbon dioxide emission reduction environment economic policy in China: An integrated approach using agent-based modelling and system dynamics. J. Clean. Prod. 2023, 392, 136221. [Google Scholar] [CrossRef]
- Chen, Z.; Li, B.; Jia, S.; Ye, X. Modeling and simulation analysis of vehicle pollution and carbon reduction management model based on system dynamics. Environ. Sci. Pollut. Res. Int. 2022, 30, 14745–14759. [Google Scholar] [CrossRef] [PubMed]
- Luo, H.; Li, Y.; Gao, X.; Meng, X.; Yang, X.; Yan, J. Carbon emission prediction model of prefecture-level administrative region: A land-use-based case study of Xi’an city, China. Appl. Energy 2023, 348, 121488. [Google Scholar] [CrossRef]
- Bai, C.; Chen, Z.; Wang, D. Transportation carbon emission reduction potential and mitigation strategy in China. Sci. Total Environ. 2023, 873, 162074. [Google Scholar] [CrossRef]
- Wang, Y.; Yang, H.; Sun, R. Effectiveness of China’s provincial industrial carbon emission reduction and optimization of carbon emission reduction paths in “lagging regions”: Efficiency-cost analysis. J. Environ. Manag. 2020, 275, 111221. [Google Scholar] [CrossRef] [PubMed]
- Lin, B.; Ge, J. Carbon sinks and output of China’s forestry sector: An ecological economic development perspective. Sci. Total Environ. 2019, 655, 1169–1180. [Google Scholar] [CrossRef] [PubMed]
- Lin, B.; Ge, J. Valued forest carbon sinks: How much emissions abatement costs could be reduced in China. J. Clean. Prod. 2019, 224, 455–464. [Google Scholar] [CrossRef]
- Zhang, C.; Zhao, L.; Zhang, H.; Chen, M.; Fang, R.; Yao, Y.; Zhang, Q.; Wang, Q. Spatial-temporal characteristics of carbon emissions from land use change in Yellow River Delta region, China. Ecol. Indic. 2022, 136, 108623. [Google Scholar] [CrossRef]
- Xu, Q.; Dong, Y.; Yang, R.; Zhang, H.; Wang, C.; Du, Z. Temporal and spatial differences in carbon emissions in the Pearl River Delta based on multi-resolution emission inventory modeling. J. Clean. Prod. 2019, 214, 615–622. [Google Scholar] [CrossRef]
- Liu, G.; Zhao, Z. Analysis of carbon storage and its contributing factors—A case study in the Loess Plateau (China). Energies 2018, 11, 1596. [Google Scholar] [CrossRef]
- Official Website, Shaanxi Provincial People’s Government. Available online: https://www.shaanxi.gov.cn/sq/ (accessed on 21 January 2025).
- China Statistics Press, SHAANXI STATISTICAL YEARBOOK.; China Statistics Press: Beijing, China, 2023.
- IPCC. IPCC Guidelines for National Greenhouse Gas Inventories. 2006. Available online: https://www.ipcc-nggip.iges.or.jp/public/2006gl/index.html (accessed on 21 January 2025).
- Sun, H.; Liang, H.; Chang, X.; Cui, Q.; Tao, Y. Land Use Patterns on Carbon Emission and Spatial Association in China. Econ. Geogr. 2015, 35, 154–162. [Google Scholar] [CrossRef]
- Wang, J.; Xu, C. Geodetector: Principle and prospective. Acta Geogr. Sin. 2017, 72, 116–134. [Google Scholar] [CrossRef]
- Fang, W.; Luo, P.; Luo, L.; Zha, X.; Nover, D. Spatiotemporal characteristics and influencing factors of carbon emissions from land-use change in Shaanxi Province, China. Environ. Sci. Pollut. Res. 2023, 30, 123480–123496. [Google Scholar] [CrossRef] [PubMed]
- Anselin, L.; Getis, A. Spatial statistical analysis and geographic information systems. An. Reg. Sci. 1992, 1, 275–278. [Google Scholar] [CrossRef]
- Chen, Q. Advanced Econometrics and Stata Application, 2nd ed.; Higher Education Press: Beijing, China, 2014; pp. 575–598. [Google Scholar]
- Yang, J.; Huang, X. The 30m annual land cover datasets and its dynamics in China from 1990 to 2021(1.0.0) [Data set]. Zenodo 2022. [Google Scholar] [CrossRef]
- Yang, J.; Huang, X. The 30 m annual land cover dataset and its dynamics in China from 1990 to 2019. Earth Syst. Sci. Data 2021, 13, 3907–3925. [Google Scholar] [CrossRef]
- Zhang, P.; Zhou, Y.; Luan, K.; Jia, B. Spatiotemporal evolution and driving factors of carbon emissions in Qingdao city based on GeoDetector. Glob. Nest J. 2023, 25, 170–177. [Google Scholar] [CrossRef]
- Yao, Z.; Liu, J.; Zhao, X.; Long, D.; Wang, L. Spatial dynamics of aboveground carbon stock in urban green space: A case study of Xi’an, China. J. Arid Land 2015, 7, 350–360. [Google Scholar] [CrossRef]
- Liu, R.; Fang, Y.; Peng, S.; Benani, N.; Wu, X.; Chen, Y.; Wang, T.; Chai, Q.; Yang, P. Study on factors influencing carbon dioxide emissions and carbon peak heterogenous pathways in Chinese provinces. J. Environ. Manag. 2024, 365, 121667. [Google Scholar] [CrossRef]
- Feng, C.; Zheng, C.; Shan, M. The clarification for the features, temporal variations, and potential factors of global carbon dioxide emissions. J. Clean. Prod. 2020, 255, 120250. [Google Scholar] [CrossRef]
- Li, Z.; Zhou, Y.; Zhang, C. The impact of population factors and low-carbon innovation on carbon dioxide emissions: A Chinese city perspective. Environ. Sci. Pollut. Res. 2022, 29, 72853–72870. [Google Scholar] [CrossRef] [PubMed]
- Zhao, H.; Hu, J.; Hao, F.; Zhang, H. Determinants of carbon dioxide emissions and their peaking prospect: Evidence from China. Front. Environ. Sci. 2022, 10, 913835. [Google Scholar] [CrossRef]
- Yu, S.; Zhang, Q.; Hao, J.; Ma, W.; Sun, Y.; Wang, X.; Song, Y. Development of an extended STIRPAT model to assess the driving factors of household carbon dioxide emissions in China. J. Environ. Manag. 2023, 325, 116502. [Google Scholar] [CrossRef] [PubMed]
- Jia, W.; Jia, X.; Wu, L.; Guo, Y.; Yang, T.; Wang, E.; Xiao, P. Research on regional differences of the impact of clean energy development on carbon dioxide emission and economic growth. Humanit. Soc. Sci. Commun. 2022, 9, 25. [Google Scholar] [CrossRef]
- Ma, Q.; Tariq, M.; Mahmood, H.; Khan, Z. The nexus between digital economy and carbon dioxide emissions in China: The moderating role of investments in research and development. Technol. Soc. 2022, 68, 101910. [Google Scholar] [CrossRef]
- He, J.; Li, Z.; Zhang, X.; Wang, H.; Dong, W.; Du, E.; Chang, S.; Ou, X.; Guo, S.; Tian, Z.; et al. Towards carbon neutrality: A study on China’s long-term low-carbon transition pathways and strategies. Environ. Sci. Ecotechnology 2022, 9, 100134. [Google Scholar] [CrossRef] [PubMed]








| Description | Interaction |
|---|---|
| q (X1 ∩ X2) < Min (q (X1), q (X2)) | Weaken, nonlinear |
| Min (q (X1), q (X2)) < q (X1 ∩ X2) < Max (q (X1), q (X2)) | Weaken, uni- |
| q (X1 ∩ X2) > Max (q (X1), q (X2)) | Enhance, bi- |
| q (X1 ∩ X2) = q (X1) + q (X2) | Independent |
| q (X1 ∩ X2) > q (X1) + q (X2) | Enhance, nonlinear |
| Xi’an | Tongchuan | Baoji | Xianyang | Weinan | Yan’an | Hanzhong | Yulin | Ankang | Shangluo | |
|---|---|---|---|---|---|---|---|---|---|---|
| Xi’an | 0.000 | 0.008 | 0.007 | 0.012 | 0.007 | 0.004 | 0.005 | 0.002 | 0.007 | 0.009 |
| Tongchuan | 0.008 | 0.000 | 0.005 | 0.013 | 0.013 | 0.007 | 0.003 | 0.003 | 0.004 | 0.005 |
| Baoji | 0.007 | 0.005 | 0.000 | 0.008 | 0.004 | 0.003 | 0.007 | 0.002 | 0.004 | 0.004 |
| Xianyang | 0.012 | 0.013 | 0.008 | 0.000 | 0.007 | 0.005 | 0.004 | 0.003 | 0.004 | 0.005 |
| Weinan | 0.007 | 0.013 | 0.004 | 0.007 | 0.000 | 0.006 | 0.003 | 0.003 | 0.004 | 0.007 |
| Yan’an | 0.004 | 0.007 | 0.003 | 0.005 | 0.006 | 0.000 | 0.002 | 0.006 | 0.002 | 0.003 |
| Hanzhong | 0.005 | 0.003 | 0.007 | 0.004 | 0.003 | 0.002 | 0.000 | 0.002 | 0.006 | 0.004 |
| Yulin | 0.002 | 0.003 | 0.002 | 0.003 | 0.003 | 0.006 | 0.002 | 0.000 | 0.002 | 0.002 |
| Ankang | 0.007 | 0.004 | 0.004 | 0.004 | 0.004 | 0.002 | 0.006 | 0.002 | 0.000 | 0.007 |
| Shangluo | 0.009 | 0.005 | 0.004 | 0.005 | 0.007 | 0.003 | 0.004 | 0.002 | 0.007 | 0.000 |
| City | Shaanxi | Xi’an | Tongchuan | Baoji | Xianyang | Weinan |
|---|---|---|---|---|---|---|
| carbon source | 23,137.848 | 5659.778 | 628.401 | 2371.025 | 2259.595 | 4579.827 |
| carbon sink | 537.522 | 28.005 | 10.137 | 62.927 | 9.414 | 12.309 |
| City | Yan’an | Hanzhong | Yulin | Ankang | Shangluo | |
| carbon source | 1507.969 | 1631.375 | 5409.744 | 852.578 | 512.694 | |
| carbon sink | 82.385 | 119.398 | 7.232 | 110.987 | 94.727 |
| Variables | Abbreviation | Unit | Variables | Abbreviation | Unit |
|---|---|---|---|---|---|
| Resident Population (RP) | X1 | 104 persons | Investment in Electric Power, Heat Production, and Supply (EPH Investment) | X8 | 104 yuan |
| Gross Domestic Product, adjusted to 2005 prices (GDP) | X2 | 108 yuan | Park Area (PA) | X9 | hm2 |
| Primary Industry Value-Added Proportion (PIVAP) | X3 | % | Passenger Transport Turnover (PTT) | X10 | 104 passenger-kilometer |
| Secondary Industry Value-Added Proportion (SIVAP) | X4 | % | Freight Transport Turnover (FTT) | X11 | 104 ton-kilometer |
| Energy Consumption (EC) | X5 | 104 standard coals * | Foreign Investment (FDI) | X12 | 104 dollars |
| Forest and Grassland Area (FGA) | X6 | km2 | Per Capita Construction Land Area (PLCA) | X13 | m2/person |
| Fixed Asset Investment in Scientific Research and Technical Services (Sci-Tech FAI) | X7 | 104 yuan | Comprehensive Index of Land Use Intensity (CLUI) | X14 |
| X1 | X2 | X3 | X4 | X5 | X6 | X7 |
|---|---|---|---|---|---|---|
| 393 | 1583.247 | 0.080017 | 0.480239 | 1398.267 | 14,872.39 | 222,937.6 |
| X8 | X9 | X10 | X11 | X12 | X13 | X14 |
| 784,290.3 | 952.7 | 148,459.8 | 1,826,503 | 88,026.1 | 131.2482 | 240.0535 |
| Variables | Moran’s I | z | Variables | Moran’s I | z |
|---|---|---|---|---|---|
| NCE | −0.053 | −1.145 | EPH Investment | 0.179 *** | 4.519 |
| RP | −0.219 *** | −5.193 | PA | 0.222 *** | 5.573 |
| GDP | 0.103 *** | 2.665 | PTT | −0.045 | −0.956 |
| PIVAP | −0.005 | 0.03 | FTT | 0.218 *** | 5.45 |
| SIVAP | 0.051 | 1.397 | FDI | 0.051 | 1.41 |
| EC | −0.06 | −1.314 | PLCA | 0.089 ** | 2.312 |
| FGA | 0.068 * | 1.794 | CLUI | −0.025 | −0.454 |
| Sci-Tech FAI | 0.313 *** | 7.781 |
| Test | Statistic | H0 |
|---|---|---|
| LM Spatial error | 9.761 *** | The model error term has no spatial dependence. |
| Robust LM Spatial error | 12.102 *** | The model error term has no spatial dependence. |
| LM Spatial lag | 21.128 *** | The model error term has no spatial lag. |
| Robust LM Spatial lag | 23.469 *** | The model error term has no spatial lag. |
| Wald Spatial error | 63.99 *** | SDM model can be simplified to SEM model. |
| Wald Spatial lag | 55.02 *** | SDM model can be simplified to SAR model. |
| Hausman | 85.77 *** | Random effect model is better than fixed effect model. |
| LR both-ind | 57.10 *** | Individual effect model is better than mixed effect model. |
| LR both-time | 400.92 *** | Time effect model is better than mixed effect model. |
| GDP | Sci-Tech FAI | EPH Investment | PA | FTT | PLCA | ||
|---|---|---|---|---|---|---|---|
| Main | coefficient | 1.074 *** | −0.019 *** | 0.014 | 0.006 | −0.008 | −0.196 * |
| z | 11.650 | −3.360 | 1.300 | 1.040 | −0.540 | −1.820 | |
| Wx | coefficient | 3.388 *** | −0.140 *** | 0.084 | −0.005 | −0.135 | −1.589 ** |
| z | 5.480 | −4.190 | 1.380 | −0.140 | −1.460 | −2.790 |
| Variables | Direct Effect | Indirect Effect | Total Effect |
|---|---|---|---|
| GDP | 0.973 *** | 2.355 *** | 3.328 *** |
| Sci-Tech FAI | −0.014 *** | −0.106 *** | −0.120 *** |
| EPH Investment | 0.012 | 0.067 | 0.079 |
| PA | 0.006 | −0.005 | 0.001 |
| FTT | −0.003 | −0.104 | −0.107 |
| PLCA | −0.138 | −1.127 ** | −1.295 ** |
Disclaimer/Publisher’s Note: The statements, opinions and data contained in all publications are solely those of the individual author(s) and contributor(s) and not of MDPI and/or the editor(s). MDPI and/or the editor(s) disclaim responsibility for any injury to people or property resulting from any ideas, methods, instructions or products referred to in the content. |
© 2025 by the authors. Licensee MDPI, Basel, Switzerland. This article is an open access article distributed under the terms and conditions of the Creative Commons Attribution (CC BY) license (https://creativecommons.org/licenses/by/4.0/).
Share and Cite
Sun, Y.-J.; Guo, Z.-Y.; Zhu, C.-Z.; Shao, Y.; Yang, F.-P. Spatio-Temporal Distribution and Spatial Spillover Effects of Net Carbon Emissions: A Case Study of Shaanxi Province, China. Sustainability 2025, 17, 1205. https://doi.org/10.3390/su17031205
Sun Y-J, Guo Z-Y, Zhu C-Z, Shao Y, Yang F-P. Spatio-Temporal Distribution and Spatial Spillover Effects of Net Carbon Emissions: A Case Study of Shaanxi Province, China. Sustainability. 2025; 17(3):1205. https://doi.org/10.3390/su17031205
Chicago/Turabian StyleSun, Yi-Jie, Zi-Yu Guo, Chang-Zheng Zhu, Yang Shao, and Fei-Peng Yang. 2025. "Spatio-Temporal Distribution and Spatial Spillover Effects of Net Carbon Emissions: A Case Study of Shaanxi Province, China" Sustainability 17, no. 3: 1205. https://doi.org/10.3390/su17031205
APA StyleSun, Y.-J., Guo, Z.-Y., Zhu, C.-Z., Shao, Y., & Yang, F.-P. (2025). Spatio-Temporal Distribution and Spatial Spillover Effects of Net Carbon Emissions: A Case Study of Shaanxi Province, China. Sustainability, 17(3), 1205. https://doi.org/10.3390/su17031205

