Climate Emotions and Readiness to Change: Evidences from Generalized Additive Models
Abstract
1. Introduction
1.1. Emotions and Sustainability
1.2. Readiness to Change and Sustainability
1.3. Aim of the Study
2. Materials and Methods
2.1. Study Design
2.2. Instruments
2.3. Statistical Analysis
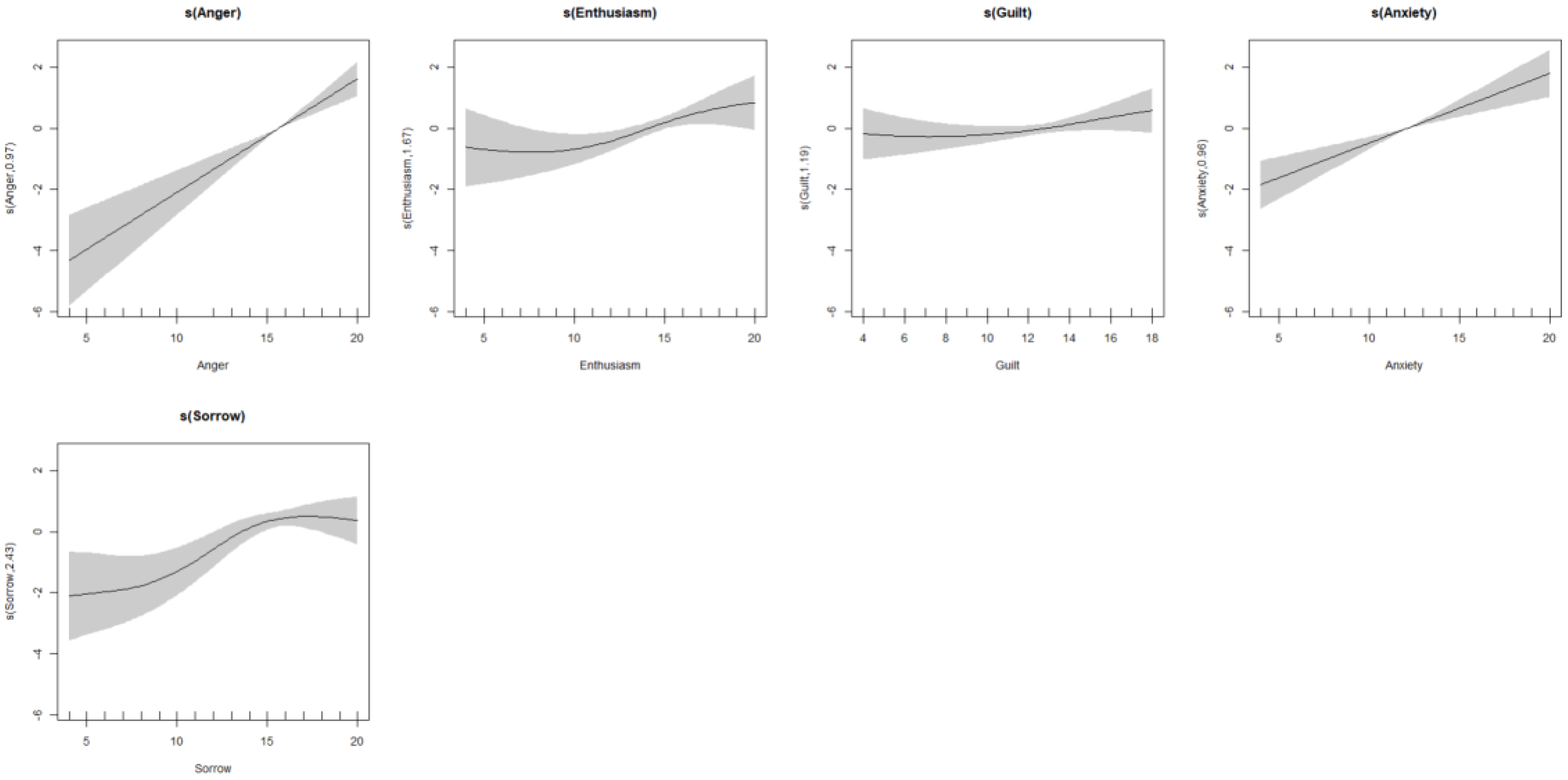
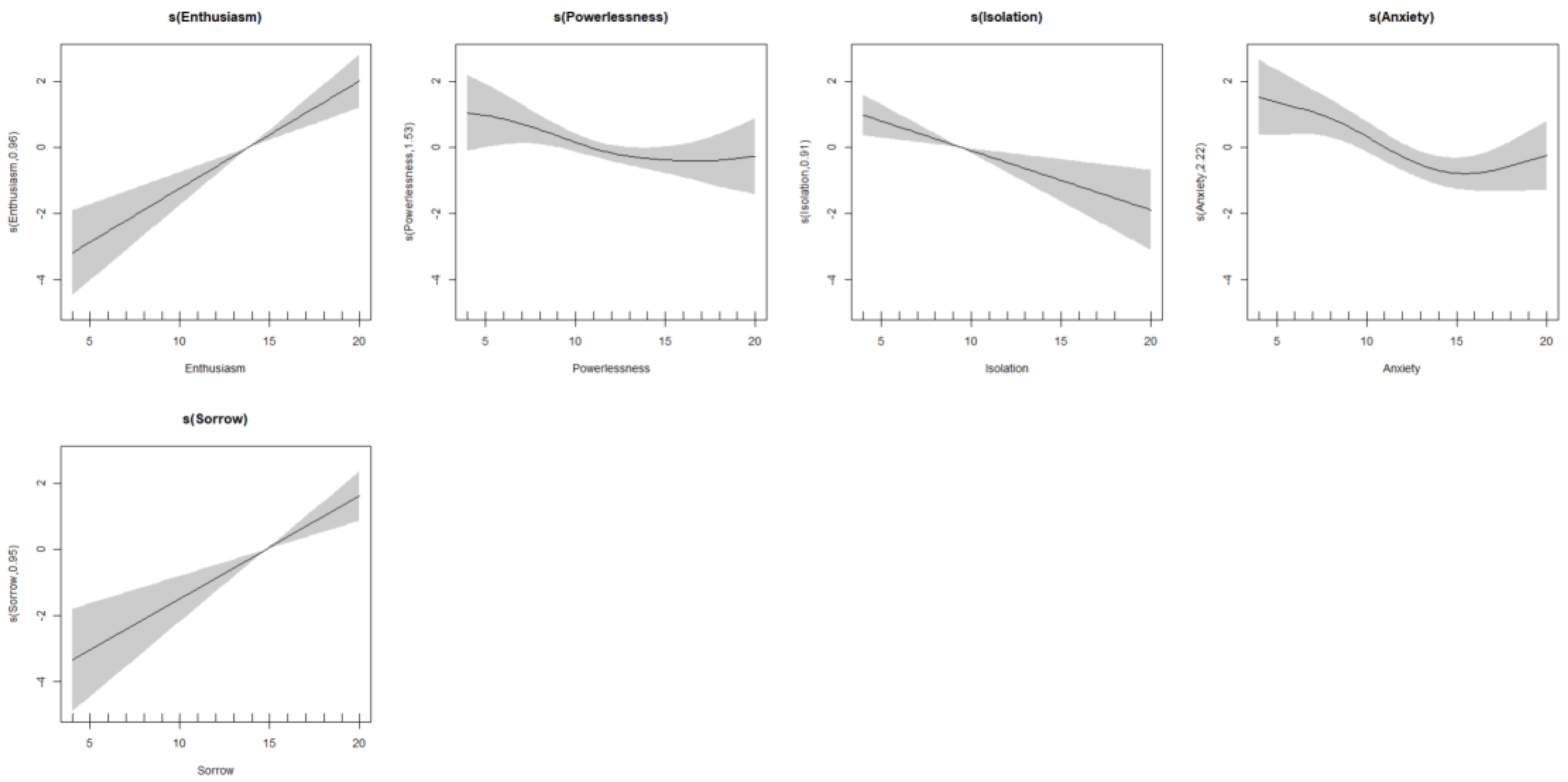
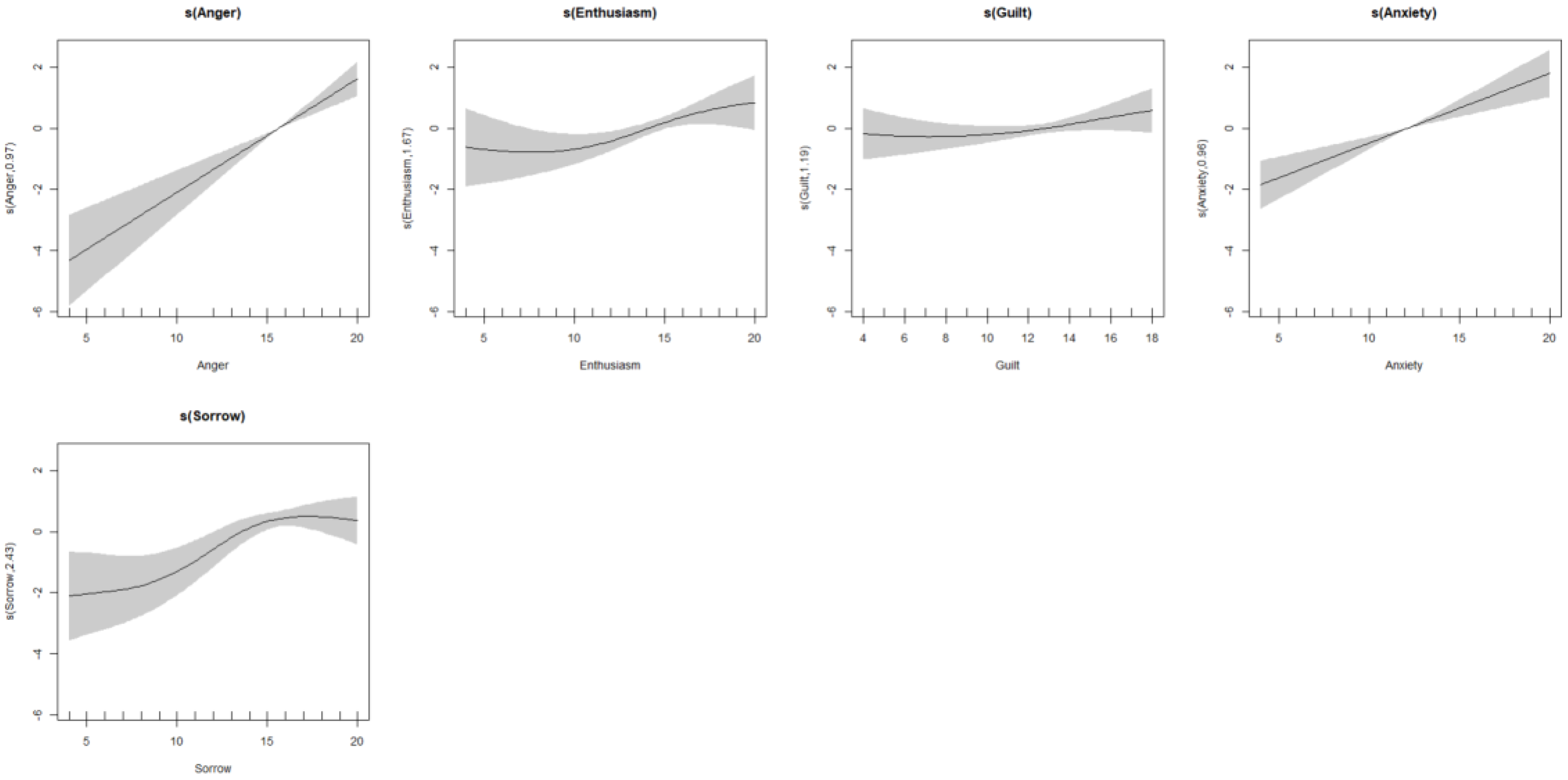
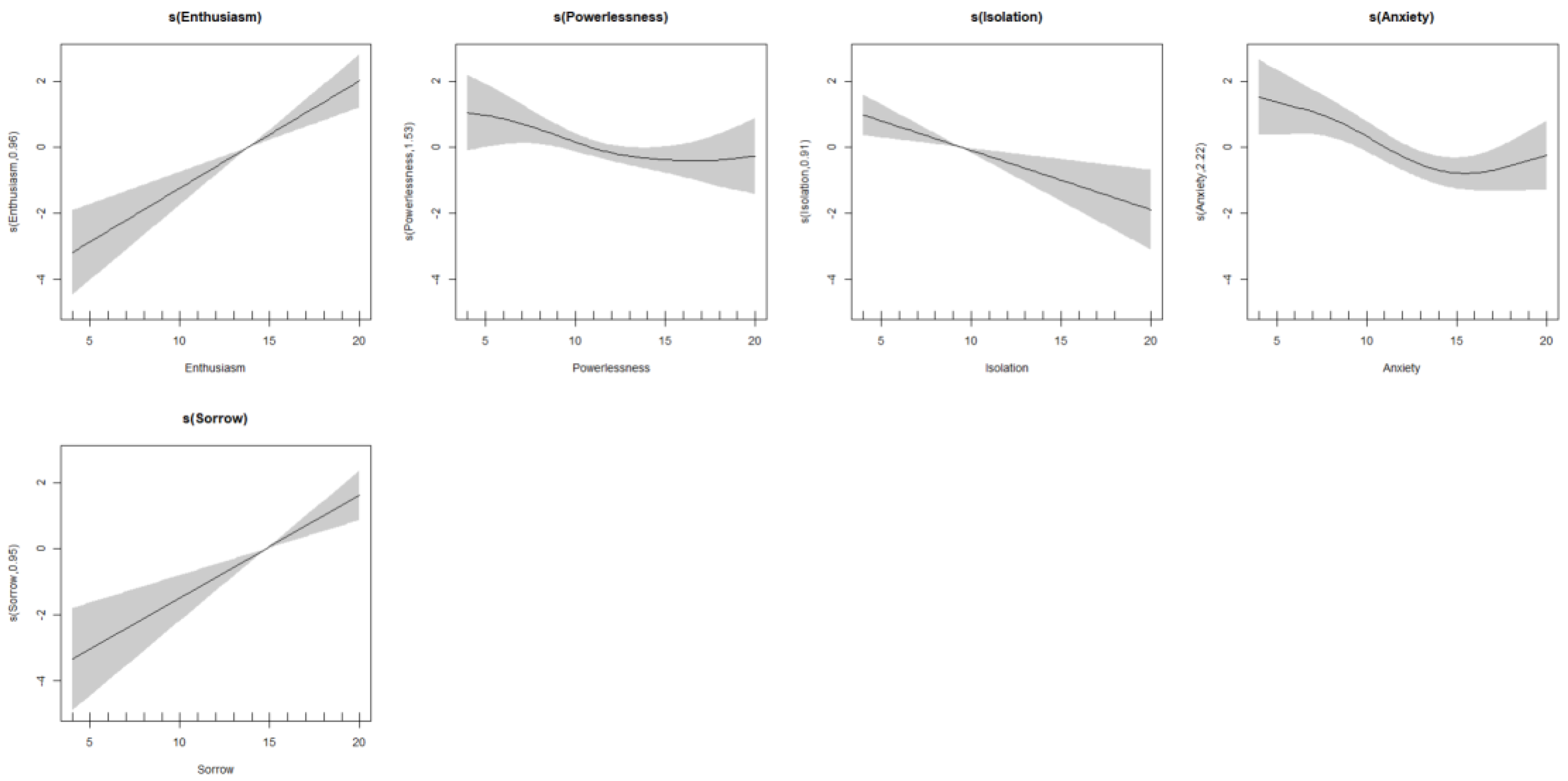
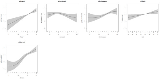
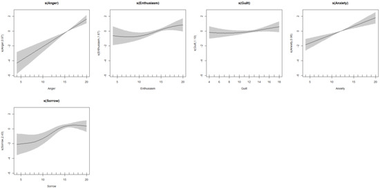
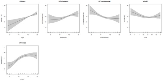
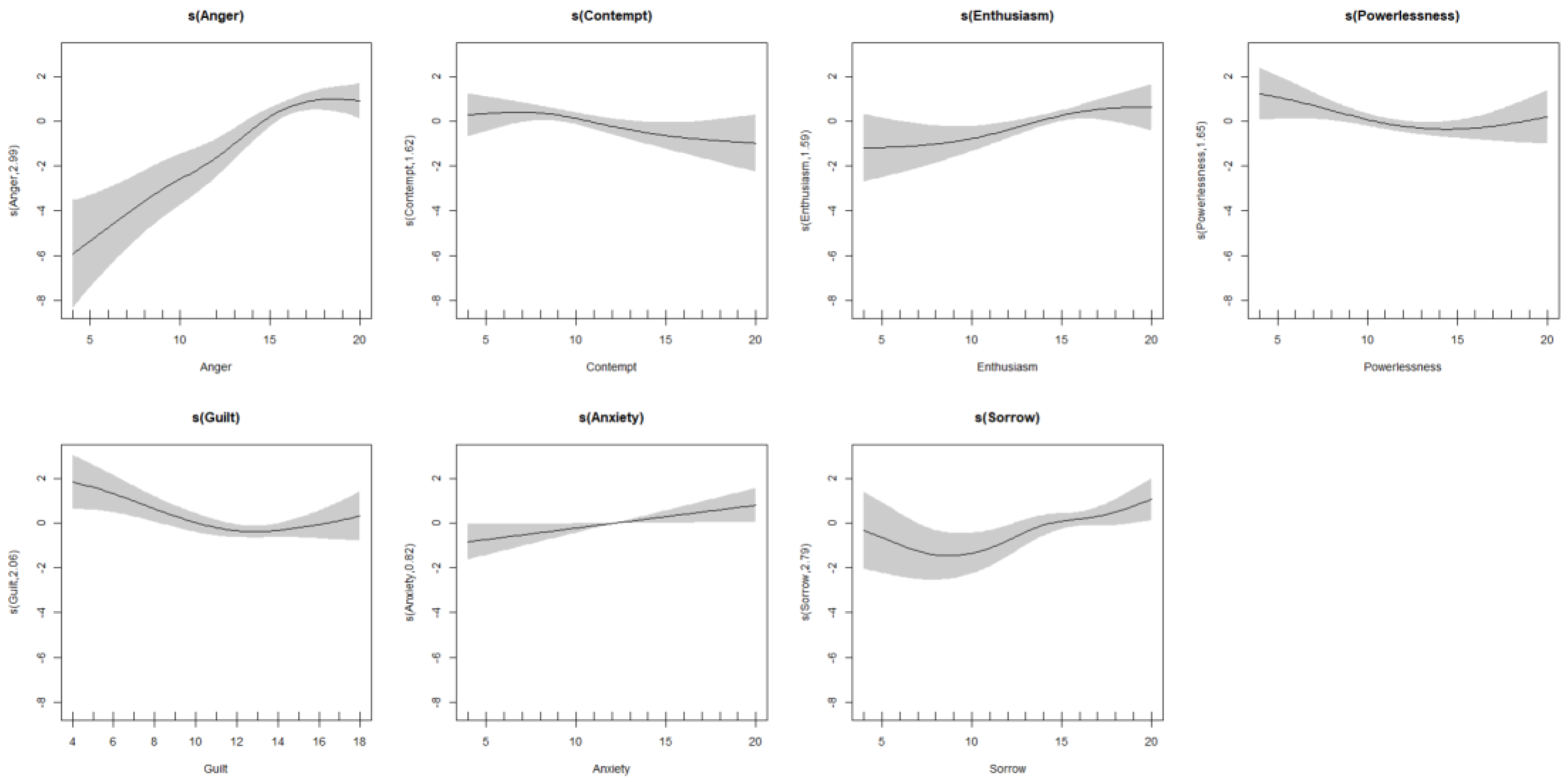
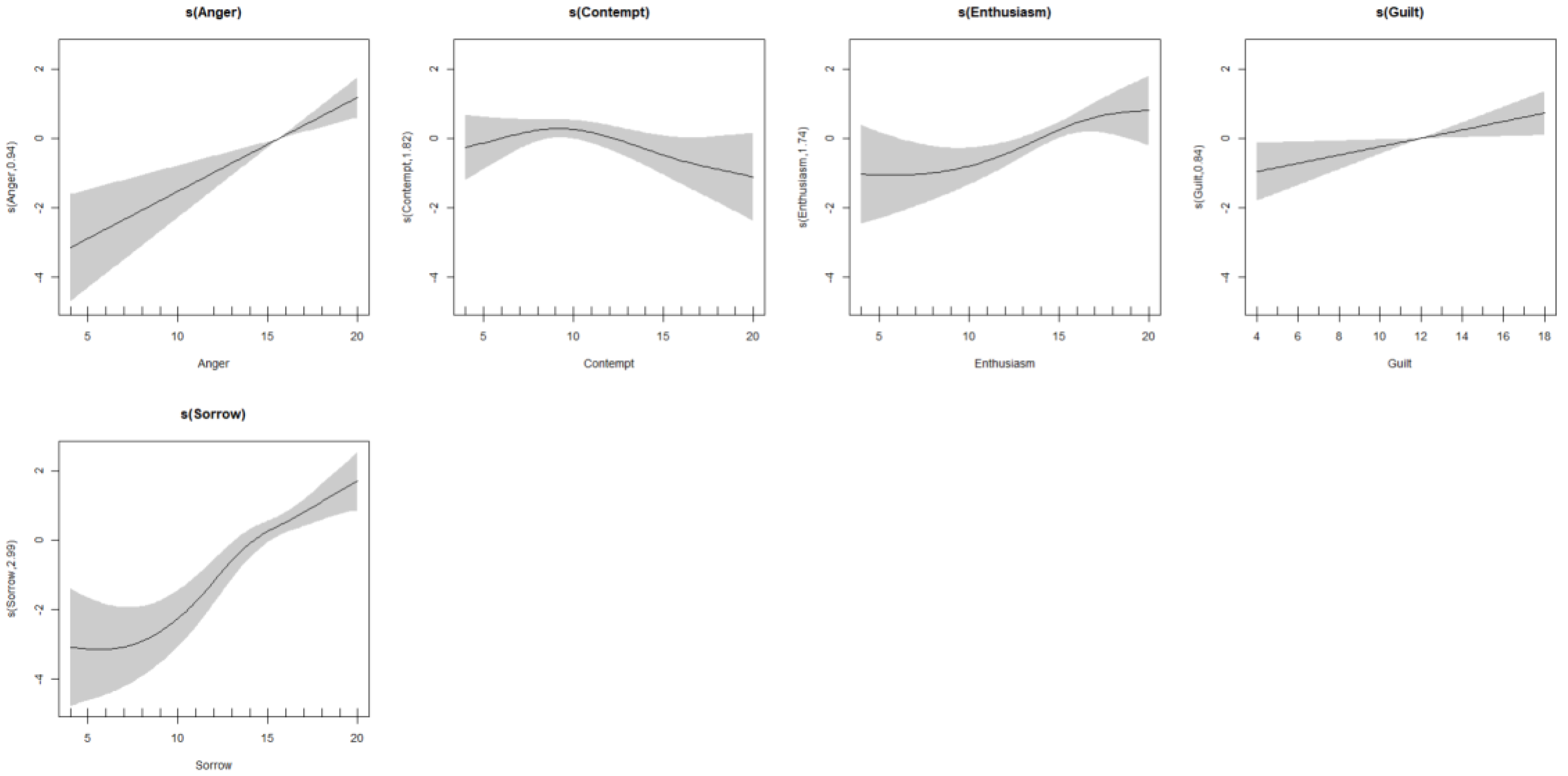
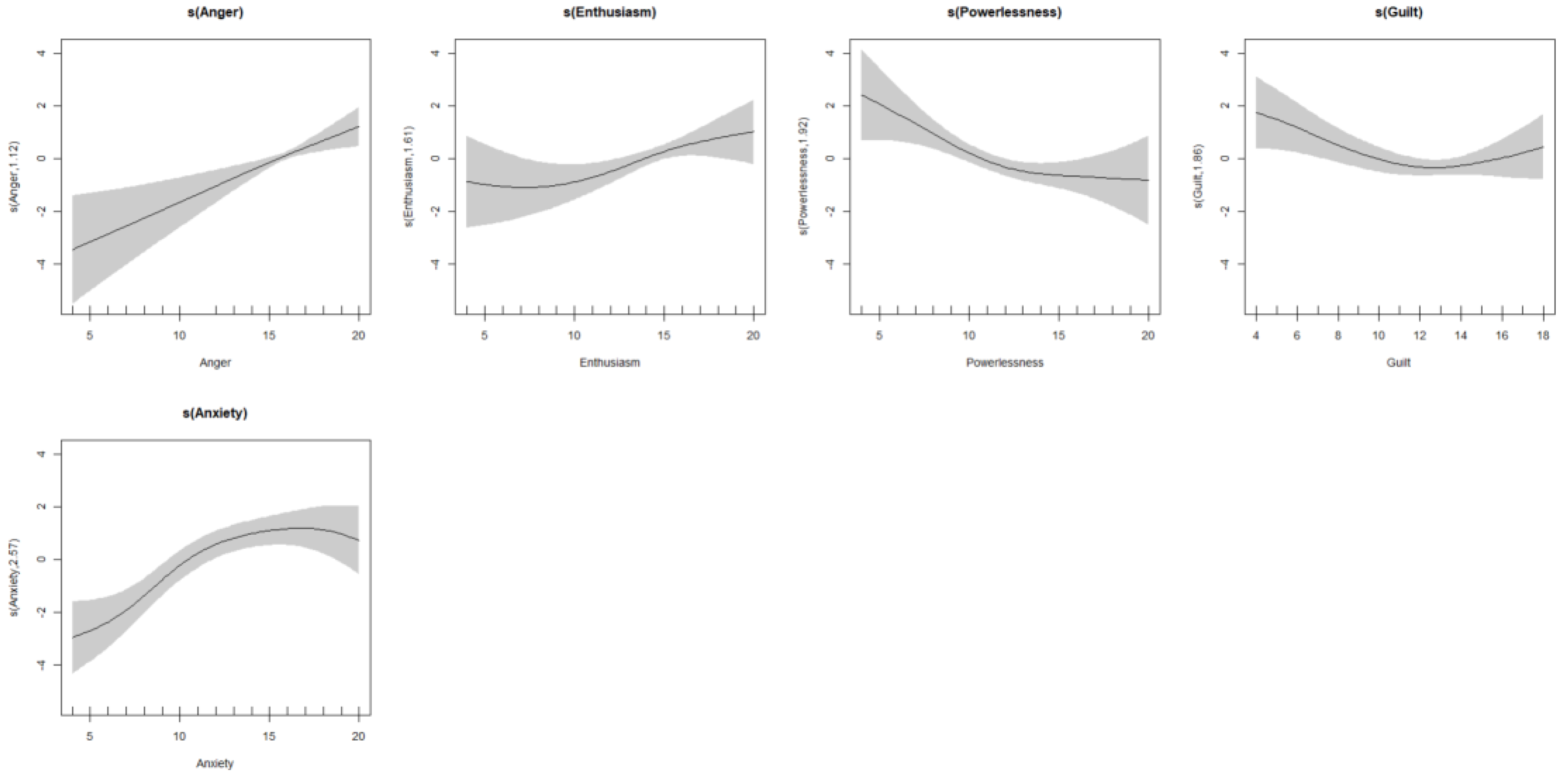
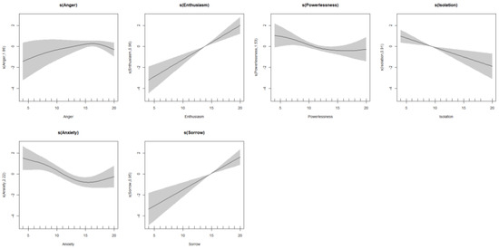
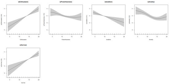
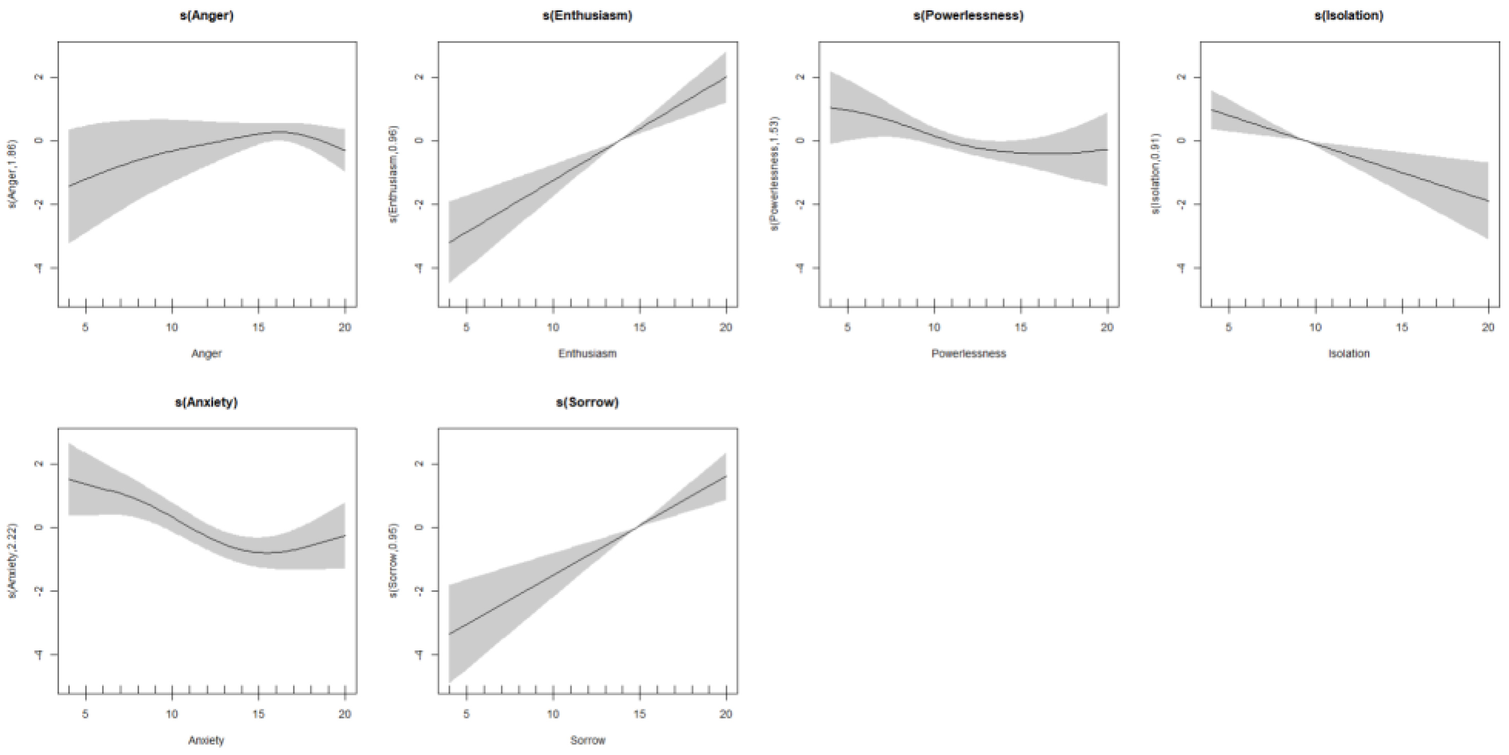
3. Results
4. Discussion
Climate Emotions and Readiness to Change: Through a Complex Perspective
5. Implications of the Study
6. Strengths and Limitations
7. Conclusions
Author Contributions
Funding
Institutional Review Board Statement
Informed Consent Statement
Data Availability Statement
Acknowledgments
Conflicts of Interest
References
- Moore, T.R.; Matthews, H.D.; Simmons, C.; Leduc, M. Quantifying Changes in Extreme Weather Events in Response to Warmer Global Temperature. Atmosphere-Ocean 2015, 53, 412–425. [Google Scholar] [CrossRef]
- Varghese, R.; Patel, P.; Kumar, D.; Sharma, R. Climate Change and Glacier Melting: Risks for Unusual Outbreaks? J. Travel Med. 2023, 30, taad015. [Google Scholar] [CrossRef] [PubMed]
- Hondula, D.M.; Balling, R.C.; Vanos, J.K.; Georgescu, M. Rising Temperatures, Human Health, and the Role of Adaptation. Curr. Clim. Chang. Rep. 2015, 1, 144–154. [Google Scholar] [CrossRef]
- Roy, P.; Pal, S.C.; Chakrabortty, R.; Chowdhuri, I.; Saha, A.; Shit, M. Effects of Climate Change and Sea-Level Rise on Coastal Habitat: Vulnerability Assessment, Adaptation Strategies and Policy Recommendations. J. Environ. Manag. 2023, 330, 117187. [Google Scholar] [CrossRef]
- Adger, W.N.; Barnett, J.; Heath, S.; Jarillo, S. Climate Change Affects Multiple Dimensions of Well-Being through Impacts, Information and Policy Responses. Nat. Hum. Behav. 2022, 6, 1465–1473. [Google Scholar] [CrossRef]
- United Nations Framework Convention on Climate Change. COP 28 Outcomes and Decision. Available online: https://unfccc.int/cop28/5-key-takeaways (accessed on 11 April 2025).
- Hogg, T.L.; Stanley, S.K.; O’Brien, L.V.; Watsford, C.R.; Walker, I. Clarifying the Nature of the Association between Eco-Anxiety, Wellbeing and pro-Environmental Behaviour. J. Environ. Psychol. 2024, 95, 102249. [Google Scholar] [CrossRef]
- Ma, T.; Moore, J.; Cleary, A. Climate Change Impacts on the Mental Health and Wellbeing of Young People: A Scoping Review of Risk and Protective Factors. Soc. Sci. Med. 2022, 301, 114888. [Google Scholar] [CrossRef]
- Proulx, K.; Daelmans, B.; Baltag, V.; Banati, P. Climate Change Impacts on Child and Adolescent Health and Well-Being: A Narrative Review. J. Glob. Health 2024, 14, 04061. [Google Scholar] [CrossRef] [PubMed]
- UNFCCC. Adoption of the Paris Agreement; United Nations Framework Convention on Climate Change: Paris, France, 2015. [Google Scholar]
- Pihkala, P. Anxiety and the Ecological Crisis: An Analysis of Eco-Anxiety and Climate Anxiety. Sustainability 2020, 12, 7836. [Google Scholar] [CrossRef]
- Martin, G.; Reilly, K.; Everitt, H.; Gilliland, J.A. Review: The Impact of Climate Change Awareness on Children’s Mental Well-being and Negative Emotions—A Scoping Review. Child Adolesc. Ment. Health 2022, 27, 59–72. [Google Scholar] [CrossRef]
- Searle, K.; Gow, K. Do Concerns about Climate Change Lead to Distress? Int. J. Clim. Chang. Strateg. Manag. 2010, 2, 362–379. [Google Scholar] [CrossRef]
- Ágoston, C.; Csaba, B.; Nagy, B.; Kőváry, Z.; Dúll, A.; Rácz, J.; Demetrovics, Z. Identifying Types of Eco-Anxiety, Eco-Guilt, Eco-Grief, and Eco-Coping in a Climate-Sensitive Population: A Qualitative Study. Int. J. Environ. Res. Public Health 2022, 19, 2461. [Google Scholar] [CrossRef] [PubMed]
- Marczak, M.; Wierzba, M.; Kossowski, B.; Marchewka, A.; Morote, R.; Klöckner, C.A. Emotional Responses to Climate Change in Norway and Ireland: A Validation of the Inventory of Climate Emotions (ICE) in Two European Countries and an Inspection of Its Nomological Span. Front. Psychol. 2024, 15, 1211272. [Google Scholar] [CrossRef]
- Marczak, M.; Wierzba, M.; Zaremba, D.; Kulesza, M.; Szczypiński, J.; Kossowski, B.; Budziszewska, M.; Michałowski, J.M.; Klöckner, C.A.; Marchewka, A. Beyond Climate Anxiety: Development and Validation of the Inventory of Climate Emotions (ICE): A Measure of Multiple Emotions Experienced in Relation to Climate Change. Glob. Environ. Chang. 2023, 83, 102764. [Google Scholar] [CrossRef]
- Zaremba, D.; Kulesza, M.; Herman, A.M.; Marczak, M.; Kossowski, B.; Budziszewska, M.; Michałowski, J.M.; Klöckner, C.A.; Marchewka, A.; Wierzba, M. A Wise Person Plants a Tree a Day before the End of the World: Coping with the Emotional Experience of Climate Change in Poland. Curr. Psychol. 2023, 42, 27167–27185. [Google Scholar] [CrossRef] [PubMed]
- Marczak, M.; Winkowska, M.; Chaton-Østlie, K.; Morote Rios, R.; Klöckner, C.A. “When I Say I’m Depressed, It’s like Anger.” An Exploration of the Emotional Landscape of Climate Change Concern in Norway and Its Psychological, Social and Political Implications. Emot. Space Soc. 2023, 46, 100939. [Google Scholar] [CrossRef]
- Amsalem, E.; Zoizner, A. Real, but Limited: A Meta-Analytic Assessment of Framing Effects in the Political Domain. Br. J. Polit. Sci. 2022, 52, 221–237. [Google Scholar] [CrossRef]
- Gross, K.; D’Ambrosio, L. Framing Emotional Response. Polit. Psychol. 2004, 25, 1–29. [Google Scholar] [CrossRef]
- Liu, S.; Kuang, K. The Role of Emotions in Climate Change Communication: Examining the Effects of Strategy and Issue Framing on Emotional Responses and Online Climate Action Intentions. Curr. Psychol. 2024, 43, 27070–27083. [Google Scholar] [CrossRef]
- Baumeister, R.F.; Vohs, K.D.; Nathan DeWall, C.; Zhang, L. How Emotion Shapes Behavior: Feedback, Anticipation, and Reflection, Rather Than Direct Causation. Personal. Soc. Psychol. Rev. 2007, 11, 167–203. [Google Scholar] [CrossRef]
- Schneider, C.R.; Zaval, L.; Markowitz, E.M. Positive Emotions and Climate Change. Curr. Opin. Behav. Sci. 2021, 42, 114–120. [Google Scholar] [CrossRef]
- Skeirytė, A.; Liobikienė, G. Emotions Related to Climate Change, and Their Impact on Environmental Behaviour. J. Clean. Prod. 2025, 488, 144659. [Google Scholar] [CrossRef]
- Tapia-Fonllem, C.; Corral-Verdugo, V.; Gutiérrez-Sida, C.; Mireles-Acosta, J.; Tirado-Medina, H. Emotions and Pro-Environmental Behaviour. In Psychological Approaches to Sustainability; Nova Science Publishers, Inc.: Hauppauge, NY, USA, 2013; pp. 247–265. ISBN 978-1-62618-877-8. [Google Scholar]
- Bilandzic, H.; Kalch, A.; Soentgen, J. Effects of Goal Framing and Emotions on Perceived Threat and Willingness to Sacrifice for Climate Change. Sci. Commun. 2017, 39, 466–491. [Google Scholar] [CrossRef]
- Chen, J.; Yan, Y.; Leach, J. Are Emotion-Expressing Messages More Shared on Social Media? A Meta-Analytic Review. Rev. Commun. Res. 2022, 10, 59–79. [Google Scholar] [CrossRef]
- Davidson, D.J.; Kecinski, M. Emotional Pathways to Climate Change Responses. WIREs Clim. Chang. 2022, 13, e751. [Google Scholar] [CrossRef]
- Feldman, L.; Hart, P.S. Using Political Efficacy Messages to Increase Climate Activism: The Mediating Role of Emotions. Sci. Commun. 2016, 38, 99–127. [Google Scholar] [CrossRef]
- Cabanac, M. What Is Emotion? Behav. Process. 2002, 60, 69–83. [Google Scholar] [CrossRef] [PubMed]
- Grund, J.; Singer-Brodowski, M.; Büssing, A.G. Emotions and Transformative Learning for Sustainability: A Systematic Review. Sustain. Sci. 2024, 19, 307–324. [Google Scholar] [CrossRef]
- Scherer, K.R. What Are Emotions? And How Can They Be Measured? Soc. Sci. Inf. 2005, 44, 695–729. [Google Scholar] [CrossRef]
- González, M.; Coenders, G.; Casas, F. Using Non-Linear Models for a Complexity Approach to Psychological Well-Being. Qual. Quant. 2008, 42, 1–21. [Google Scholar] [CrossRef]
- Heino, M.T.J.; Knittle, K.; Noone, C.; Hasselman, F.; Hankonen, N. Studying Behaviour Change Mechanisms under Complexity. Behav. Sci. 2021, 11, 77. [Google Scholar] [CrossRef]
- Newman, M.E.J. Complex Systems: A Survey. Am. J. Phys. 2011, 79, 800–810. [Google Scholar] [CrossRef]
- Siegenfeld, A.F.; Bar-Yam, Y. An Introduction to Complex Systems Science and Its Applications. Complexity 2020, 2020, 6105872. [Google Scholar] [CrossRef]
- Meehl, P.E. Why Summaries of Research on Psychological Theories Are Often Uninterpretable. Psychol. Rep. 1990, 66, 195–244. [Google Scholar] [CrossRef]
- Rickles, D. Causality in Complex Interventions. Med. Health Care Philos. 2009, 12, 77–90. [Google Scholar] [CrossRef]
- Dawid, A.P. Beware of the DAG! In Proceedings of the Workshop on Causality: Objectives and Assessment at NIPS 2008, Whistler, BC, Canada, 12 December 2008; pp. 59–86. [Google Scholar]
- Eiler, B.A.; Kallen, R.W.; Richardson, M.J. Interaction-Dominant Dynamics, Timescale Enslavement, and The Emergence of Social Behavior. In Computational Social Psychology; Vallacher, R.R., Read, S.J., Nowak, A., Eds.; Taylor & Francis: New York, NY, USA, 2017. [Google Scholar]
- Thorson, J.T. Measuring Complexity for Hierarchical Models Using Effective Degrees of Freedom. Ecology 2024, 105, e4327. [Google Scholar] [CrossRef]
- Baayen, R.H.; Linke, M. An Introduction to the Generalized Additive Model. Available online: https://quantling.org/~hbaayen/publications/BaayenLinke2020.pdf (accessed on 11 April 2025).
- Hastie, T.J. Generalized Additive Models. In Statistical Models in S; Routledge: New York, NY, USA, 2017; pp. 249–307. [Google Scholar]
- Wood, S.N. Generalized Additive Models: An Introduction with R, 2nd ed.; Chapman and Hall/CRC: New York, NY, USA, 2017. [Google Scholar] [CrossRef]
- Wood, S.N. Generalized Additive Models. Annu. Rev. Stat. Its Appl. 2025, 12, 497–526. [Google Scholar] [CrossRef]
- Huang, Y. A Theory of Emotion Based on a Universal Model. Humanit. Soc. Sci. Commun. 2024, 11, 362. [Google Scholar] [CrossRef]
- Qiao-Tasserit, E.; Corradi-Dell’Acqua, C.; Vuilleumier, P. Influence of Transient Emotional Episodes on Affective and Cognitive Theory of Mind. Soc. Cogn. Affect. Neurosci. 2024, 19, nsae016. [Google Scholar] [CrossRef] [PubMed]
- Zeier, P.; Wessa, M. Measuring Eco-Emotions: A German Version of Questionnaires on Eco-Guilt, Ecological Grief, and Eco-Anxiety. Discov. Sustain. 2024, 5, 29. [Google Scholar] [CrossRef]
- Baroni, M.; Valdrighi, G.; Guazzini, A.; Duradoni, M. Eco-Sensitive Minds: Clustering Readiness to Change and Environmental Sensitivity for Sustainable Engagement. Sustainability 2025, 17, 5662. [Google Scholar] [CrossRef]
- Baroni, M.; Valdrighi, G.; Guazzini, A.; Duradoni, M. “More than a Feeling”: How Eco-Anxiety Shapes Pro-Environmental Behaviors and the Role of Readiness to Change. Sustainability 2025, 17, 6154. [Google Scholar] [CrossRef]
- Middleton, J.; Cunsolo, A.; Jones-Bitton, A.; Wright, C.J.; Harper, S.L. Indigenous Mental Health in a Changing Climate: A Systematic Scoping Review of the Global Literature. Environ. Res. Lett. 2020, 15, 053001. [Google Scholar] [CrossRef]
- McCaffery, J.; Boetto, H. Eco-Emotional Responses to Climate Change: A Scoping Review of Social Work Literature. Br. J. Soc. Work 2025, 55, 120–140. [Google Scholar] [CrossRef]
- Hofstede, G.; Hofstede, G. Culturas y Organizaciones: El Software Mental; la Cooperación Internacional y su Importancia para la Supervivencia; El Libro Universitario Ciencias Sociales; Alianza: Madrid, Spain, 1999; ISBN 978-84-206-6726-3. [Google Scholar]
- Higueras-Castillo, E.; Liébana-Cabanillas, F.J.; Muñoz-Leiva, F.; Molinillo, S. The Role of Collectivism in Modeling the Adoption of Renewable Energies: A Cross-Cultural Approach. Int. J. Environ. Sci. Technol. 2019, 16, 2143–2160. [Google Scholar] [CrossRef]
- Ajzen, I. From Intentions to Actions: A Theory of Planned Behavior. In Action Control; Kuhl, J., Beckmann, J., Eds.; Springer: Berlin/Heidelberg, Germany, 1985; pp. 11–39. ISBN 978-3-642-69748-7. [Google Scholar]
- Ajzen, I. The Theory of Planned Behavior. Organ. Behav. Hum. Decis. Process. 1991, 50, 179–211. [Google Scholar] [CrossRef]
- DiClemente, C.C.; Prochaska, J.O. Self-Change and Therapy Change of Smoking Behavior: A Comparison of Processes of Change in Cessation and Maintenance. Addict. Behav. 1982, 7, 133–142. [Google Scholar] [CrossRef]
- Prochaska, J.O.; DiClemente, C.C. Stages and Processes of Self-Change of Smoking: Toward an Integrative Model of Change. J. Consult. Clin. Psychol. 1983, 51, 390–395. [Google Scholar] [CrossRef]
- Rogers, R.W. Cognitive and Physiological Processes in Fear Appeals and Attitude Change: A Revised Theory of Protection Motivation. In Social Psychophysiology; Cacioppo, J., Petty, R., Eds.; Guilford Press: New York, NY, USA, 1983. [Google Scholar]
- Bandura, A. Cultivate Self-Efficacy for Personal and Organizational Effectiveness. In Principles of Organizational Behavior; Locke, E., Pearce, C., Eds.; Wiley: Hoboken, NJ, USA, 2023; pp. 113–135. ISBN 978-1-119-82854-9. [Google Scholar]
- Schwarzer, R. Modeling Health Behavior Change: How to Predict and Modify the Adoption and Maintenance of Health Behaviors. Appl. Psychol. 2008, 57, 1–29. [Google Scholar] [CrossRef]
- Sheeran, P. Intention—Behavior Relations: A Conceptual and Empirical Review. Eur. Rev. Soc. Psychol. 2002, 12, 1–36. [Google Scholar] [CrossRef]
- Sutton, S. Predicting and Explaining Intentions and Behavior: How Well Are We Doing? J. Appl. Soc. Psychol. 1998, 28, 1317–1338. [Google Scholar] [CrossRef]
- Weinstein, N.D.; Rothman, A.J.; Sutton, S.R. Stage Theories of Health Behavior: Conceptual and Methodological Issues. Health Psychol. 1998, 17, 290–299. [Google Scholar] [CrossRef] [PubMed]
- Crites, S.L.; Fabrigar, L.R.; Petty, R.E. Measuring the Affective and Cognitive Properties of Attitudes: Conceptual and Methodological Issues. Pers. Soc. Psychol. Bull. 1994, 20, 619–634. [Google Scholar] [CrossRef]
- Dalton, C.C.; Gottlieb, L.N. The Concept of Readiness to Change. J. Adv. Nurs. 2003, 42, 108–117. [Google Scholar] [CrossRef]
- Holt, D.T.; Armenakis, A.A.; Feild, H.S.; Harris, S.G. Readiness for Organizational Change: The Systematic Development of a Scale. J. Appl. Behav. Sci. 2007, 43, 232–255. [Google Scholar] [CrossRef]
- Miller, W.R.; Tonigan, J.S. Assessing Drinkers’ Motivation for Change: The Stages of Change Readiness and Treatment Eagerness Scale (SOCRATES). In Addictive Behaviors: Readings on Etiology, Prevention, and Treatment; Marlatt, G.A., VandenBos, G.R., Eds.; American Psychological Association: Washington, DC, USA, 1997; pp. 355–369. ISBN 978-1-55798-468-5. [Google Scholar]
- Rafferty, A.E.; Jimmieson, N.L.; Armenakis, A.A. Change Readiness: A Multilevel Review. J. Manag. 2013, 39, 110–135. [Google Scholar] [CrossRef]
- Prescott, P.A.; Soeken, K.L.; Griggs, M. Identification and Referral of Hospitalized Patients in Need of Home Care. Res. Nurs. Health 1995, 18, 85–95. [Google Scholar] [CrossRef]
- Rogan, F.; Shimed, V.; Barclay, L.; Everitt, L.; Wylli, A. ‘Becoming a Mother’—Developing a New Theory of Early Motherhood. J. Adv. Nurs. 1997, 25, 877–885. [Google Scholar] [CrossRef] [PubMed]
- Duradoni, M.; Valdrighi, G.; Donati, A.; Fiorenza, M.; Puddu, L.; Guazzini, A. Development and Validation of the Readiness to Change Scale (RtC) for Sustainability. Sustainability 2024, 16, 4519. [Google Scholar] [CrossRef]
- Duradoni, M.; Baroni, M.; Valdrighi, G.; Guazzini, A. Readiness to Change and Pro-Environmental Transportation Behaviors: A Multidimensional and Gender-Sensitive Analysis. Sustainability 2025, 17, 3021. [Google Scholar] [CrossRef]
- Duradoni, M.; Baroni, M.; Fiorenza, M.; Bellotti, M.; Neri, G.; Guazzini, A. Readiness to Change and the Intention to Consume Novel Foods: Evidence from Linear Discriminant Analysis. Sustainability 2025, 17, 4902. [Google Scholar] [CrossRef]
- Guazzini, A.; Baroni, M.; Fiorenza, M.; Sprugnoli, S.; Valdrighi, G.; Duradoni, M. Development and Validation of the New Environmental Locus of Control (NE-LOC) Scale: A Novel Measure of Internal, External, and Community Locus of Control for Sustainability. Sustainability 2025, 17, 6162. [Google Scholar] [CrossRef]
- Pihkala, P. Toward a Taxonomy of Climate Emotions. Front. Clim. 2022, 3, 738154. [Google Scholar] [CrossRef]
- Stanley, S.K.; Hogg, T.L.; Leviston, Z.; Walker, I. From Anger to Action: Differential Impacts of Eco-Anxiety, Eco-Depression, and Eco-Anger on Climate Action and Wellbeing. J. Clim. Chang. Health 2021, 1, 100003. [Google Scholar] [CrossRef]
- Cianconi, P.; Hanife, B.; Grillo, F.; Betro’, S.; Lesmana, C.B.J.; Janiri, L. Eco-Emotions and Psychoterratic Syndromes: Reshaping Mental Health Assessment Under Climate Change. Yale J. Biol. Med. 2023, 96, 211–226. [Google Scholar] [CrossRef] [PubMed]
- FeldmanHall, O.; Son, J.-Y.; Heffner, J. Norms and the Flexibility of Moral Action. Personal. Neurosci. 2018, 1, e15. [Google Scholar] [CrossRef]
- Williamson, K.A.; Thulin, E. Leveraging Emotion-Behavior Pathways to Support Environmental Behavior Change. Ecol. Soc. 2022, 27, art27. [Google Scholar] [CrossRef]
- Ballew, M.T.; Uppalapati, S.S.; Myers, T.; Carman, J.; Campbell, E.; Rosenthal, S.A.; Kotcher, J.E.; Leiserowitz, A.; Maibach, E. Climate Change Psychological Distress Is Associated with Increased Collective Climate Action in the U.S. Npj Clim. Action 2024, 3, 88. [Google Scholar] [CrossRef]
- Moreira, J.D.; Haack, K.; White, V.; Bates, M.L.; Gopal, D.M.; Roepke, T.A. Importance of Survey Demographic Questions to Foster Inclusion in Medicine and Research and Reduce Health Inequities for LGBTQIA2S+ Individuals. Am. J. Physiol.-Heart Circ. Physiol. 2023, 324, H856–H862. [Google Scholar] [CrossRef]
- Karatekin, T.; Sancak, S.; Celik, G.; Topcuoglu, S.; Karatekin, G.; Kirci, P.; Okatan, A. Interpretable Machine Learning in Healthcare through Generalized Additive Model with Pairwise Interactions (GA2M): Predicting Severe Retinopathy of Prematurity. In Proceedings of the 2019 International Conference on Deep Learning and Machine Learning in Emerging Applications (Deep-ML), Istanbul, Turkey, 26–28 August 2019; IEEE: Piscataway, NJ, USA, 2019; pp. 61–66. [Google Scholar]
- de Micheaux, P.L.; Drouilhet, R.; Liquet, B. The R Software: Fundamentals of Programming and Statistical Analysis; Springer Science & Business: New York, NY, USA, 2014; ISBN 978-1-4614-9020-3. [Google Scholar]
- Kovács, L. Feature Selection Algorithms in Generalized Additive Models under Concurvity. Comput. Stat. 2024, 39, 461–493. [Google Scholar] [CrossRef]
- Gregersen, T.; Andersen, G.; Tvinnereim, E. The Strength and Content of Climate Anger. Glob. Environ. Chang. 2023, 82, 102738. [Google Scholar] [CrossRef]
- Lomas, T. Anger as a Moral Emotion: A “Bird’s Eye” Systematic Review. In A Second-Wave Positive Psychology in Counselling Psychology; Routledge: Abingdon, UK, 2023. [Google Scholar]
- Williams, M.N.; Jaftha, B.A. Perceptions of Powerlessness Are Negatively Associated with Taking Action on Climate Change: A Preregistered Replication. Ecopsychology 2020, 12, 257–266. [Google Scholar] [CrossRef]
- Lam, J.; Li, A. Effects of Climate-Related Disasters on Loneliness, Social Support, Social Functioning, and Social Contacts: Longitudinal Analyses of Impact and Recovery. Sci. Rep. 2025, 15, 10799. [Google Scholar] [CrossRef]
- Parrott, W.G. Role of Emotions in Risk Perception. In Consumer Perception of Product Risks and Benefits; Emilien, G., Weitkunat, R., Lüdicke, F., Eds.; Springer International Publishing: Cham, Switzerland, 2017; pp. 221–232. ISBN 978-3-319-50528-2. [Google Scholar]
- Reese, G.; Rueff, M.; Wullenkord, M.C. No Risk, No Fun…ctioning? Perceived Climate Risks, but Not Nature Connectedness or Self-Efficacy Predict Climate Anxiety. Front. Clim. 2023, 5, 1158451. [Google Scholar] [CrossRef]
- Parreira, N.; Mouro, C. Living by the Sea: Place Attachment, Coastal Risk Perception, and Eco-Anxiety When Coping with Climate Change. Front. Psychol. 2023, 14, 1155635. [Google Scholar] [CrossRef]
- Gunzenhauser, C.; Heikamp, T.; Gerbino, M.; Alessandri, G.; Von Suchodoletz, A.; Di Giunta, L.; Caprara, G.V.; Trommsdorff, G. Self-Efficacy in Regulating Positive and Negative Emotions: A Validation Study in Germany. Eur. J. Psychol. Assess. 2013, 29, 197–204. [Google Scholar] [CrossRef]
- Antadze, N. Moral Outrage as the Emotional Response to Climate Injustice. Environ. Justice 2020, 13, 21–26. [Google Scholar] [CrossRef]
- Van Zomeren, M.; Spears, R.; Fischer, A.H.; Leach, C.W. Put Your Money Where Your Mouth Is! Explaining Collective Action Tendencies Through Group-Based Anger and Group Efficacy. J. Pers. Soc. Psychol. 2004, 87, 649–664. [Google Scholar] [CrossRef]
- Deffenbacher, J.L.; Oetting, E.R.; Lynch, R.S.; Morris, C.D. The Expression of Anger and Its Consequences. Behav. Res. Ther. 1996, 34, 575–590. [Google Scholar] [CrossRef]
- Melamed, S.; Ugarten, U.; Shirom, A.; Kahana, L.; Lerman, Y.; Froom, P. Chronic Burnout, Somatic Arousal and Elevated Salivary Cortisol Levels. J. Psychosom. Res. 1999, 46, 591–598. [Google Scholar] [CrossRef]
- Miceli, M.; Castelfranchi, C. Contempt and Disgust: The Emotions of Disrespect. J. Theory Soc. Behav. 2018, 48, 205–229. [Google Scholar] [CrossRef]
- Van Doorn, J.; Verhoef, P.C.; Bijmolt, T.H.A. The Importance of Non-Linear Relationships between Attitude and Behaviour in Policy Research. J. Consum. Policy 2007, 30, 75–90. [Google Scholar] [CrossRef]
- Geiger, N.; Dwyer, T.; Swim, J.K. Hopium or Empowering Hope? A Meta-Analysis of Hope and Climate Engagement. Front. Psychol. 2023, 14, 1139427. [Google Scholar] [CrossRef] [PubMed]
- Geiger, N.; Swim, J.K.; Fraser, J. With a Little Help from My Friends: Social Support, Hope and Climate Change Engagement. Br. J. Soc. Psychol. 2025, 64, e12837. [Google Scholar] [CrossRef]
- Marlon, J.R.; Bloodhart, B.; Ballew, M.T.; Rolfe-Redding, J.; Roser-Renouf, C.; Leiserowitz, A.; Maibach, E. How Hope and Doubt Affect Climate Change Mobilization. Front. Commun. 2019, 4, 20. [Google Scholar] [CrossRef]
- Aitken, C.; Chapman, R.; McClure, J. Climate Change, Powerlessness and the Commons Dilemma: Assessing New Zealanders’ Preparedness to Act. Glob. Environ. Chang. 2011, 21, 752–760. [Google Scholar] [CrossRef]
- Pickering, G.J.; Dale, G. The Role of Perceived Powerlessness and Other Barriers to Climate Action. Can. Geogr. Géographies Can. 2024, 68, 560–573. [Google Scholar] [CrossRef]
- Lea, E.; Worsley, A. Australian Consumers’ Food-Related Environmental Beliefs and Behaviours. Appetite 2008, 50, 207–214. [Google Scholar] [CrossRef] [PubMed]
- Pickering, G.J.; Schoen, K.; Botta, M.; Fazio, X. Exploration of Youth Knowledge and Perceptions of Individual-Level Climate Mitigation Action. Environ. Res. Lett. 2020, 15, 104080. [Google Scholar] [CrossRef]
- Tobler, C.; Visschers, V.H.M.; Siegrist, M. Eating Green. Consumers’ Willingness to Adopt Ecological Food Consumption Behaviors. Appetite 2011, 57, 674–682. [Google Scholar] [CrossRef]
- Mallett, R.K. Eco-Guilt Motivates Eco-Friendly Behavior. Ecopsychology 2012, 4, 223–231. [Google Scholar] [CrossRef]
- Moore, M.M.; Yang, J.Z. Using Eco-Guilt to Motivate Environmental Behavior Change. Environ. Commun. 2020, 14, 522–536. [Google Scholar] [CrossRef]
- Rees, J.H.; Klug, S.; Bamberg, S. Guilty Conscience: Motivating pro-Environmental Behavior by Inducing Negative Moral Emotions. Clim. Chang. 2015, 130, 439–452. [Google Scholar] [CrossRef]
- Nielsen, R.S.; Gamborg, C. The Moral Potential of Eco-Guilt and Eco-Shame: Emotions That Hinder or Facilitate Pro-Environmental Change? J. Agric. Environ. Ethics 2024, 37, 17. [Google Scholar] [CrossRef]
- Kretz, L. Emotional Solidarity: Ecological Emotional Outlaws Mourning Environmental Loss and Empowering Positive Change. In Mourning Nature: Hope at the Heart of Ecological Loss & Grief; McGill-Queen’s University Press: Montreal, QC, Canada; Kingston, ON, Canada, 2017; pp. 258–291. [Google Scholar]
- Asbrand, J.; Spirkl, N.; Reese, G.; Spangenberg, L.; Shibata, N.; Dippel, N. Understanding Coping with the Climate Crisis: An Experimental Study with Young People on Agency and Mental Health. Anxiety Stress Coping 2025, 38, 1–16. [Google Scholar] [CrossRef]
- Hickman, C.; Marks, E.; Pihkala, P.; Clayton, S.; Lewandowski, R.E.; Mayall, E.E.; Wray, B.; Mellor, C.; Van Susteren, L. Climate Anxiety in Children and Young People and Their Beliefs about Government Responses to Climate Change: A Global Survey. Lancet Planet. Health 2021, 5, e863–e873. [Google Scholar] [CrossRef] [PubMed]
- Nieminen, V.; Palmo, S.; Hyvönen, K.; Paakkolanvaara, J.-V.; Raatikainen, K.J.; Muotka, J. Social Support as Coping Mechanism Mediates the Relationship between Eco-Anxiety and pro-Environmental Behavior. PLoS ONE 2025, 20, e0326931. [Google Scholar] [CrossRef]
- Coates, Z.; Kelly, M.; Brown, S. The Relationship between Climate Anxiety and Pro-Environment Behaviours. Sustainability 2024, 16, 5211. [Google Scholar] [CrossRef]
- Maduneme, E. Some Slice of Climate Anxiety … Is Good: A Cross-Sectional Survey Exploring the Relationship Between College Students Media Exposure and Perceptions About Climate Change. J. Health Commun. 2024, 29, 45–56. [Google Scholar] [CrossRef]
- Clayton, S. Climate Anxiety: Psychological Responses to Climate Change. J. Anxiety Disord. 2020, 74, 102263. [Google Scholar] [CrossRef]
- Vecina, M.L.; Alonso-Ferres, M.; Díaz-Silveira, C. Eco-Anxiety or Simply Eco-Worry? Incremental Validity Study in a Representative Spanish Sample. Front. Psychol. 2025, 16, 1560024. [Google Scholar] [CrossRef] [PubMed]
- Pihkala, P. The Process of Eco-Anxiety and Ecological Grief: A Narrative Review and a New Proposal. Sustainability 2022, 14, 16628. [Google Scholar] [CrossRef]
- Latkin, C.; Dayton, L.; Scherkoske, M.; Countess, K.; Thrul, J. What Predicts Climate Change Activism?: An Examination of How Depressive Symptoms, Climate Change Distress, and Social Norms Are Associated with Climate Change Activism. J. Clim. Chang. Health 2022, 8, 100146. [Google Scholar] [CrossRef] [PubMed]
- Contreras, A.; Blanchard, M.A.; Mouguiama-Daouda, C.; Heeren, A. When Eco-Anger (but Not Eco-Anxiety nor Eco-Sadness) Makes You Change! A Temporal Network Approach to the Emotional Experience of Climate Change. J. Anxiety Disord. 2024, 102, 102822. [Google Scholar] [CrossRef]
- Sorman, A.H.; Galende-Sánchez, E. Eco-Emotions in Climate Deliberation: A Deliberative Mini-Public on Consumption and Mobility in Spain. Emot. Space Soc. 2025, 55, 101094. [Google Scholar] [CrossRef]
- Gjylbegaj, V. Storytelling in Public Health Campaigns: Lessons Learned from Successful UAE Initiatives. Kurd. Stud. 2024, 12, 3596–3608. [Google Scholar]
- Varma, K. Exploring How Storytelling and Emotional Appeals Influence Purchase Decisions. Exploresearch 2025, 1, 65–72. [Google Scholar] [CrossRef]
- Bocci Benucci, S.; Di Gesto, C. Persuasive Communication and Emotional Appeals: The Contribution of Psychology. In Sustainable Digital Marketing for Fashion and Luxury Brands; Ozuem, W., Ranfagni, S., Millman, C., Eds.; Springer Nature: Cham, Switzerland, 2025; pp. 165–188. ISBN 978-3-031-82466-1. [Google Scholar]
- Jackson, T. Facing Eco-Anxiety in Education: Empowering Educators with Collective Action, Emotionality, and Transformative Pedagogical Practices. Master’s Thesis, West Chester University, West Chester, PA, USA, 2023. [Google Scholar]
- Mosca, O.; Manunza, A.; Manca, S.; Vivanet, G.; Fornara, F. Digital Technologies for Behavioral Change in Sustainability Domains: A Systematic Mapping Review. Front. Psychol. 2024, 14, 1234349. [Google Scholar] [CrossRef]
- Ong, A.D.; Weiss, D.J. The Impact of Anonymity on Responses to Sensitive Questions1. J. Appl. Soc. Psychol. 2000, 30, 1691–1708. [Google Scholar] [CrossRef]
- Yang, Y.; Yuan, Y.; Liu, P.; Wu, W.; Huo, C. Crucial to Me and My Society: How Collectivist Culture Influences Individual pro-Environmental Behavior through Environmental Values. J. Clean. Prod. 2024, 454, 142211. [Google Scholar] [CrossRef]
- Tam, K.-P. Culture and Pro-Environmental Behavior. Curr. Opin. Psychol. 2025, 62, 101986. [Google Scholar] [CrossRef] [PubMed]
- Joy, M.; Mathew, A. Emotional Maturity and General Well-Being of Adolescents. IOSR J. Pharm. 2018, 8, 01–06. [Google Scholar]
- El Damaty, S.; Darcey, V.L.; McQuaid, G.A.; Picci, G.; Stoianova, M.; Mucciarone, V.; Chun, Y.; Laws, M.L.; Campano, V.; Van Hecke, K.; et al. Introducing an Adolescent Cognitive Maturity Index. Front. Psychol. 2022, 13, 1017317. [Google Scholar] [CrossRef] [PubMed]







| RTC Subscales | McDonald’s ω | 
|---|---|
| Perceived importance of the problem | 0.78 | 
| Motivation to change | 0.83 | 
| Self-efficacy | 0.87 | 
| Effectiveness of the proposed solution | 0.81 | 
| Social support | 0.74 | 
| Action | 0.83 | 
| Perceived readiness | 0.82 | 
| Cronbach’s Alpha | ||
|---|---|---|
| ICE Subscales | Marczak et al. [16] | Present Study | 
| Anger | 0.95 | 0.951 | 
| Contempt | 0.92 | 0.826 | 
| Enthusiasm | 0.91 | 0.860 | 
| Powerlessness | 0.81 | 0.729 | 
| Guilt | 0.93 | 0.819 | 
| Isolation | 0.92 | 0.869 | 
| Anxiety | 0.94 | 0.912 | 
| Sorrow | 0.91 | 0.924 | 
| Edf | Ref.df | T | p | Effect Range | 95% CI Lower | 95% CI Upper | Adj-R2 (%) | DE (%) | |
|---|---|---|---|---|---|---|---|---|---|
| Anger | 0.971 | 9 | 3.714 | <0.001 | 5.964 | −5.797 | 2.189 | 65.5 | 65.5 | 
| Contempt | 0.000 | 9 | 0.000 | 0.528 | 0.000 | −0.011 | 0.011 | ||
| Enthusiasm | 1.665 | 9 | 0.958 | 0.00310 | 1.624 | −1.870 | 1.729 | ||
| Powerlessness | 0.000 | 9 | 0.000 | 0.580 | 0.000 | −0.009 | 0.009 | ||
| Guilt | 1.194 | 9 | 0.320 | 0.0817 | 0.849 | −1.007 | 1.302 | ||
| Isolation | 0.227 | 9 | 0.033 | 0.248 | 0.209 | −0.638 | 0.362 | ||
| Anxiety | 0.956 | 9 | 2.434 | <0.001 | 3.650 | −2.622 | 2.557 | ||
| Sorrow | 2.434 | 9 | 1.759 | 0.000215 | 2.612 | −3.530 | 1.146 | 
| Edf | Ref.df | T | p | Effect Range | 95% CI Lower | 95% CI Upper | Adj-R2 (%) | DE (%) | |
|---|---|---|---|---|---|---|---|---|---|
| Anger | 0.943 | 9 | 1.844 | 0.000021 | 4.356 | −4.684 | 1.768 | 61.5 | 62.9 | 
| Contempt | 1.815 | 9 | 0.577 | 0.0346 | 1.405 | −2.369 | 0.673 | ||
| Enthusiasm | 1.735 | 9 | 1.153 | 0.00114 | 1.871 | −2.434 | 1.796 | ||
| Powerlessness | 0.924 | 9 | 0.211 | 0.1135 | 0.645 | −0.876 | 1.220 | ||
| Guilt | 0.843 | 9 | 0.588 | 0.0114 | 1.696 | −1.781 | 1.361 | ||
| Isolation | 0.000 | 9 | 0.000 | 0.6423 | 0.000 | −0.008 | 0.008 | ||
| Anxiety | 0.000 | 9 | 0.000 | 0.3497 | 0.000 | −0.015 | 0.014 | ||
| Sorrow | 2.991 | 9 | 4.294 | <0.000001 | 4.866 | −4.772 | 2.562 | 
| Edf | Ref.df | T | p | Effect Range | 95% CI Lower | 95% CI Upper | Adj-R2 (%) | DE (%) | |
|---|---|---|---|---|---|---|---|---|---|
| Anger | 0.821 | 9 | 0.511 | 0.01354 | 3.013 | −4.186 | 1.58 | 25.2 | 27.3 | 
| Contempt | 0.188 | 9 | 0.026 | 0.25312 | 0.258 | −0.926 | 0.951 | ||
| Enthusiasm | 0.883 | 9 | 0.836 | 0.00288 | 3.574 | −0.537 | 0.771 | ||
| Powerlessness | 1.131 | 9 | 0.261 | 0.10976 | 1.063 | −3.761 | 2.366 | ||
| Guilt | 0.704 | 9 | 0.264 | 0.06309 | 1.480 | −1.455 | 1.906 | ||
| Isolation | 2.047 | 9 | 0.832 | 0.01257 | 3.238 | −0.787 | 5.012 | ||
| Anxiety | 0.325 | 9 | 0.053 | 0.20988 | 0.489 | −1.179 | 2.004 | ||
| Sorrow | 0.883 | 9 | 0.839 | 0.00205 | 3.752 | −4.340 | 2.089 | 
| Edf | Ref.df | T | p | Effect Range | 95% CI Lower | 95% CI Upper | Adj-R2 (%) | DE (%) | |
|---|---|---|---|---|---|---|---|---|---|
| Anger | 2.744 | 9 | 2.532 | <0.001 | 3.791 | −4.898 | 1.014 | 60.6 | 62.3 | 
| Contempt | 0.0001 | 9 | 0.000 | 0.767 | 0.000 | −1.454 | 1.368 | ||
| Enthusiasm | 0.978 | 9 | 4.021 | <0.001 | 5.443 | −0.010 | 0.011 | ||
| Powerlessness | 1.618 | 9 | 0.921 | 0.0043 | 1.384 | −4.435 | 2.788 | ||
| Guilt | 0.0011 | 9 | 0.000 | 0.314 | 0.001 | −0.026 | 0.027 | ||
| Isolation | 3.275 | 9 | 1.171 | 0.0099 | 3.764 | −0.794 | 5.938 | ||
| Anxiety | 1.536 | 9 | 0.683 | 0.0123 | 1.281 | −1.357 | 1.92 | ||
| Sorrow | 0.956 | 9 | 2.369 | <0.001 | 4.473 | −4.302 | 2.07 | 
| Edf | Ref.df | T | p | Effect Range | 95% CI Lower | 95% CI Upper | Adj-R2 (%) | DE (%) | |
|---|---|---|---|---|---|---|---|---|---|
| Anger | 1.864 | 9 | 0.518 | 0.0552 | 1.706 | −3.196 | 0.64 | 40.5 | 42.6 | 
| Contempt | 0.000 | 9 | 0.000 | 0.6504 | 0.000 | −1.319 | 2.639 | ||
| Enthusiasm | 0.961 | 9 | 2.761 | <0.001 | 5.202 | −0.005 | 0.005 | ||
| Powerlessness | 1.528 | 9 | 0.663 | 0.0156 | 1.449 | −4.448 | 2.799 | ||
| Guilt | 0.340 | 9 | 0.048 | 0.259 | 0.210 | −0.649 | 0.431 | ||
| Isolation | 0.908 | 9 | 1.100 | <0.001 | 2.867 | −3.071 | 1.583 | ||
| Anxiety | 2.216 | 9 | 1.457 | <0.001 | 2.308 | −1.394 | 2.169 | ||
| Sorrow | 0.949 | 9 | 2.069 | <0.001 | 4.963 | −4.873 | 2.345 | 
| Edf | Ref.df | T | p | Effect Range | 95% CI Lower | 95% CI Upper | Adj-R2 (%) | DE (%) | |
|---|---|---|---|---|---|---|---|---|---|
| Anger | 1.121 | 9 | 1.404 | 0.000110 | 4.670 | −5.467 | 1.950 | 49.5 | 51.9 | 
| Contempt | 0.415 | 9 | 0.064 | 0.216074 | 0.339 | −0.929 | 0.680 | ||
| Enthusiasm | 1.605 | 9 | 0.830 | 0.004720 | 2.112 | −2.577 | 2.220 | ||
| Powerlessness | 1.925 | 9 | 1.385 | 0.000506 | 3.224 | −2.452 | 4.119 | ||
| Guilt | 1.856 | 9 | 0.826 | 0.010189 | 2.096 | −0.761 | 3.097 | ||
| Isolation | 1.619 | 9 | 0.434 | 0.068845 | 1.664 | −0.633 | 3.106 | ||
| Anxiety | 2.565 | 9 | 2.972 | <0.001 | 4.148 | −4.302 | 2.026 | ||
| Sorrow | 1.071 | 9 | 0.234 | 0.112313 | 1.058 | −1.917 | 1.165 | 
| Edf | Ref.df | T | p | Effect Range | 95% CI Lower | 95% CI Upper | Adj-R2 (%) | DE (%) | |
|---|---|---|---|---|---|---|---|---|---|
| Anger | 2.993 | 9 | 3.854 | <0.001 | 6.943 | −8.309 | 1.711 | 58.8 | 61 | 
| Contempt | 1.621 | 9 | 0.645 | 0.01730 | 1.391 | −1.604 | 1.563 | ||
| Enthusiasm | 1.590 | 9 | 0.886 | 0.00374 | 1.802 | −2.239 | 1.241 | ||
| Powerlessness | 1.648 | 9 | 0.676 | 0.01566 | 1.590 | −2.66 | 1.633 | ||
| Guilt | 2.057 | 9 | 1.264 | 0.00146 | 2.225 | −0.754 | 3.046 | ||
| Isolation | 0.001 | 9 | 0.000 | 0.39354 | 0.000 | −0.032 | 0.033 | ||
| Anxiety | 0.817 | 9 | 0.495 | 0.01746 | 1.642 | −0.982 | 2.397 | ||
| Sorrow | 2.795 | 9 | 1.195 | 0.00478 | 2.522 | −2.516 | 2.009 | 
| Disclaimer/Publisher’s Note: The statements, opinions and data contained in all publications are solely those of the individual author(s) and contributor(s) and not of MDPI and/or the editor(s). MDPI and/or the editor(s) disclaim responsibility for any injury to people or property resulting from any ideas, methods, instructions or products referred to in the content. | 
© 2025 by the authors. Licensee MDPI, Basel, Switzerland. This article is an open access article distributed under the terms and conditions of the Creative Commons Attribution (CC BY) license (https://creativecommons.org/licenses/by/4.0/).
Share and Cite
Baroni, M.; Tosti, A.E.; Colombini, G.; Braschi, S.; Guazzini, A.; Duradoni, M. Climate Emotions and Readiness to Change: Evidences from Generalized Additive Models. Sustainability 2025, 17, 9627. https://doi.org/10.3390/su17219627
Baroni M, Tosti AE, Colombini G, Braschi S, Guazzini A, Duradoni M. Climate Emotions and Readiness to Change: Evidences from Generalized Additive Models. Sustainability. 2025; 17(21):9627. https://doi.org/10.3390/su17219627
Chicago/Turabian StyleBaroni, Marina, Anna Enrica Tosti, Giulia Colombini, Silvia Braschi, Andrea Guazzini, and Mirko Duradoni. 2025. "Climate Emotions and Readiness to Change: Evidences from Generalized Additive Models" Sustainability 17, no. 21: 9627. https://doi.org/10.3390/su17219627
APA StyleBaroni, M., Tosti, A. E., Colombini, G., Braschi, S., Guazzini, A., & Duradoni, M. (2025). Climate Emotions and Readiness to Change: Evidences from Generalized Additive Models. Sustainability, 17(21), 9627. https://doi.org/10.3390/su17219627
 
        




 
       