Climate Change and Assessing Thermal Comfort in Social Housing of Southeastern Mexico: A Prospective Study Using Machine Learning and Global Sensitivity Analysis
Abstract
1. Introduction
1.1. Thermal Comfort Challenges in Tropical Climates and Social Housing
1.2. Machine Learning and Sensitivity Analysis in Building Performance Assessment
1.3. Research Gaps and Scientific Contributions
- This study presents a machine learning framework specifically designed for thermal comfort prediction under systematic RCP climate scenarios (2.6, 4.5, and 8.5 for 2050 and 2100), enabling direct assessment of social housing thermal performance across multiple future climate pathways in tropical hot-humid regions.
- A multi-scenario computational approach is developed that simultaneously evaluates building performance across four distinct climatic locations, two housing typologies, and two construction systems (with and without roof insulation), creating a comprehensive parametric assessment framework for climate-adaptive design.
- This work represents the first systematic application of the PAWN global sensitivity analysis method to quantify the relative importance of climatic variables versus building design parameters across multiple RCP scenarios, enabling evidence-based prioritization of climate adaptation strategies.
- The research introduces an innovative database structure comprising seven distinct climate scenarios (current + six future RCP projections) as direct input variables in machine learning models, representing the most comprehensive climate-integrated dataset for thermal comfort analysis in Mexican social housing.
- The study establishes a highly accurate predictive framework (R2 > 0.98 for both comfort temperature and cooling degree days) that enables rapid assessment of thermal comfort under future climate conditions, thereby eliminating the need for individual building simulations across multiple climate scenarios.
2. Computational Methodology
2.1. Phase 1: Model Design of Case Study
2.2. Phase 2: Database Variables for Training
- City
- Climate Change Scenario
- Roof construction system
- Climatic Data
2.3. Phase 3: ML Model Training with Supervised Learning Algorithms and Global Sensitivity Analysis
- Output Variables
- Database preparation
- Coding of categorical variables
- Normalization of data
- Supervised ML algorithm training
- Statistical metrics for model evaluation
- Global Sensitivity Analysis with the PAWN method
3. Results and Discussion
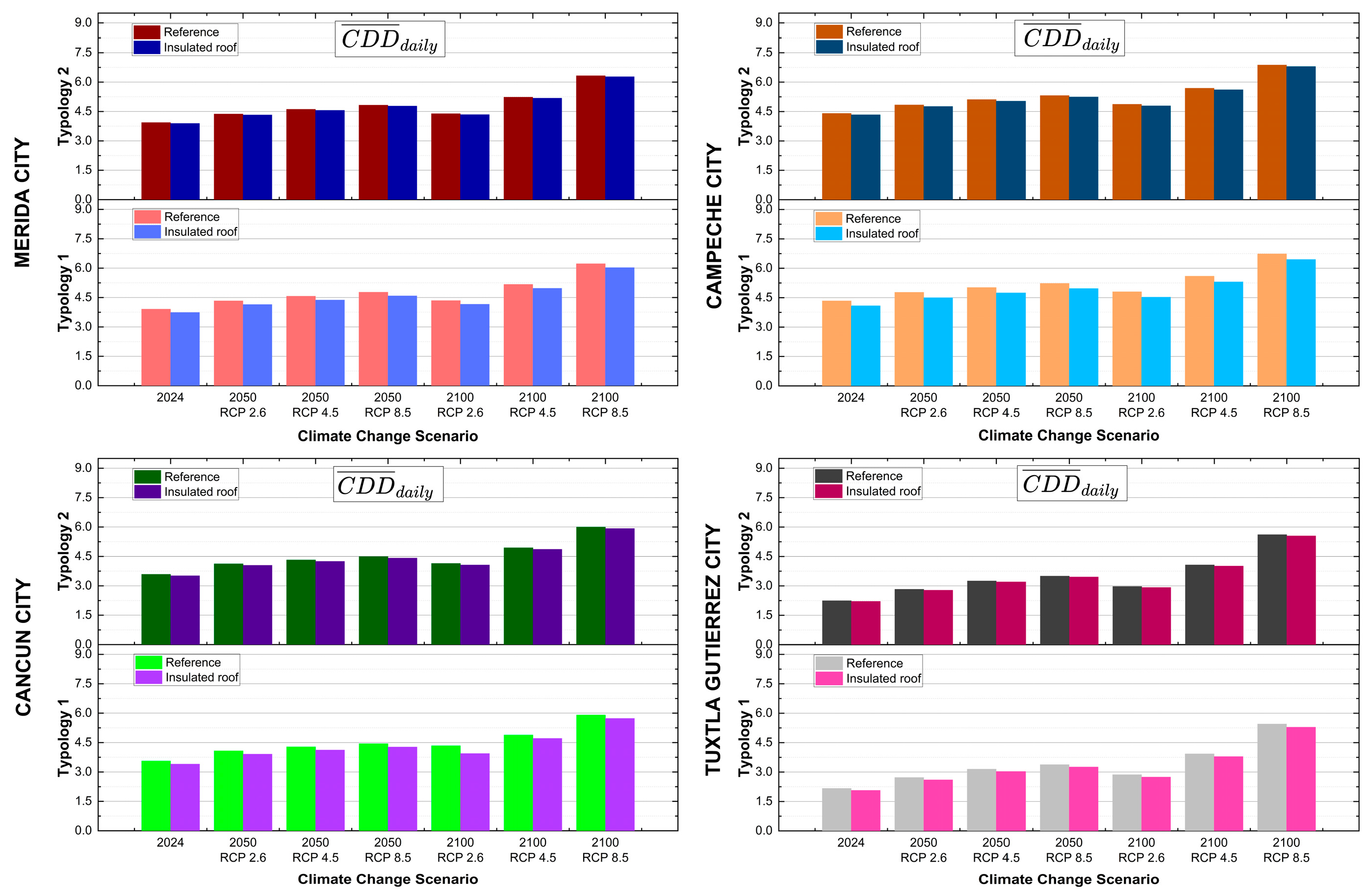
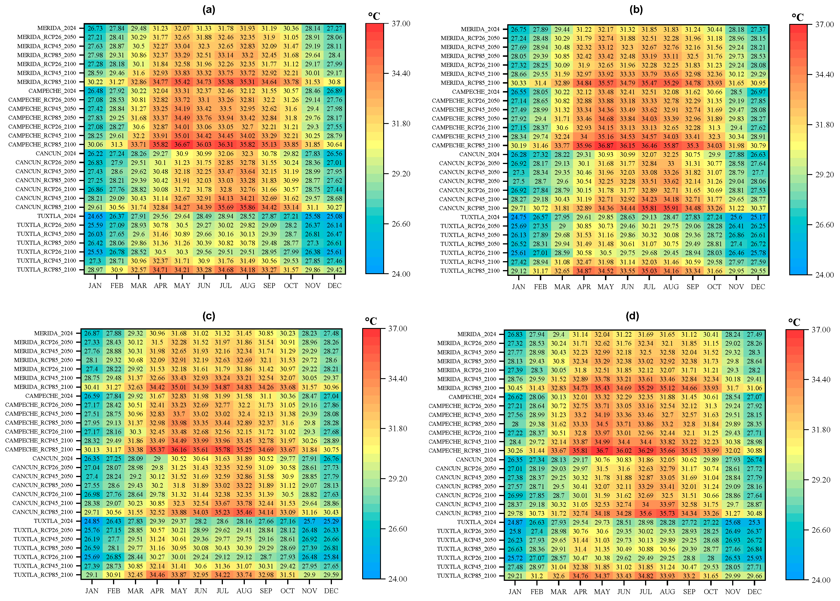
3.1. Comfort Temperature and Cooling Degree Day
3.2. Supervised Machine Learning Models
3.3. Global Sensitivity Analysis Using the PAWN Method
4. Conclusions
Author Contributions
Funding
Institutional Review Board Statement
Informed Consent Statement
Data Availability Statement
Acknowledgments
Conflicts of Interest
Abbreviations
| CDD | Cooling Degree Day |
| COMF | Comfort |
| GSA | Global Sensitivity Analysis |
| MAE | Mean Absolute Error |
| ML | Machine Learning |
| RCP | Representative Concentration Pathway |
| RMSE | Root Mean Square Error |
| ScI | Scatter Index |
References
- Abam, F.I.; Nwachukwu, C.O.; Emodi, N.V.; Okereke, C.; Diemuodeke, O.E.; Owolabi, A.B.; Owebor, K.; Suh, D.; Huh, J.-S. A Systematic Literature Review on the Decarbonisation of the Building Sector—A Case for Nigeria. Front. Energy Res. 2023, 11, 1253825. [Google Scholar] [CrossRef]
- Jankovic, L. Designing Resilience of the Built Environment to Extreme Weather Events. Sustainability 2018, 10, 141. [Google Scholar] [CrossRef]
- Limmeechokchai, B.; Kongphunphin, C.; Winyuchakrit, P.; Pita, P.; Misila, P. Climate Change 2022 Mitigation of Climate Change: Urban System. Int. J. Build. Urban Inter. Landsc. Technol. 2024, 22, 21–22. [Google Scholar] [CrossRef]
- Babalola, O.; Ugah, U.U.K.; Ekeh, E. Tropical Building Sustainability and the Energy Regulations. Preptint 2024. [Google Scholar] [CrossRef]
- Gonçalves, E.L.S.; Braga, J.L.; de Oliveira Sampaio, A.; dos Santos Batista, V.; da Rocha Menezes, L.J.; Eli, L.G.; Barata, M.S.; Neto, R.d.S.V.; Zemero, B.R. Multiscale Modeling to Optimize Thermal Performance Design for Urban Social Housing: A Case Study. Appl. Therm. Eng. 2024, 236, 121379. [Google Scholar] [CrossRef]
- Ding, Z.; Li, J.; Wang, Z.; Xiong, Z. Multi-Objective Optimization of Building Envelope Retrofits Considering Future Climate Scenarios: An Integrated Approach Using Machine Learning and Climate Models. Romero 2024, 16, 8217. [Google Scholar] [CrossRef]
- Assymkhan, N.; Kartbaev, A.Z. THERMAL COMFORT PREDICTION USING SVM AND RANDOM FOREST MODEL. Вестник КазУТБ 2024, 4, 36–49. [Google Scholar] [CrossRef]
- Jain, H. Critical Insights into Thermal Comfort Optimization and Heat Resilience in Indoor Spaces. City Built Environ. 2024, 2, 14. [Google Scholar] [CrossRef]
- Sadeghi, M.; Chen, D.; Wright, A. A Critical Review of Overheating Risk Assessment Criteria in International and National Regulations—Gaps and Suggestions for Improvements. Energies 2024, 17, 6354. [Google Scholar] [CrossRef]
- Guzmán Hernández, I.A. Estrategias de Diseño Bioclimático Para Una Vivienda Popular En Clima Cálido-Húmedo de México: Protección Solar, Ventilación y Técnicas de Deshumidificación. Ph.D. Thesis, Universitat Politécnica de Catalunya, Barcelona, Spain, 2023. [Google Scholar]
- Andrade-Velázquez, M.; Medrano-Pérez, O.R.; Montero-Martínez, M.J.; Alcudia-Aguilar, A. Regional Climate Change in Southeast Mexico-Yucatan Peninsula, Central America and the Caribbean. Appl. Sci. 2021, 11, 8284. [Google Scholar] [CrossRef]
- INEGI Climatologia. Available online: https://www.inegi.org.mx/temas/climatologia/ (accessed on 8 March 2025).
- CONUEE. Clasificación de Climas y Su Aplicación a La Norma Para La Envolvente de Viviendas: Notas Para Discusión; CONUEE: Ciudad de México, Mexico, 2020. [Google Scholar]
- Rincón-Martínez, J.C.; García-Gómez, C.; González-Trevizo, M.E. Estimación Del Rango de Confort Higrotérmico Para Exteriores En Dos Bioclimas Extremos de México. Ing. Investig. Tecnol. 2022, 23, 14. [Google Scholar] [CrossRef]
- Adaji, M.U. Thermal Comfort in a Hot-Humid Climate Through Passive Cooling in Low-Income Residential Buildings in Abuja, Nigeria; University of Kent (United Kingdom): Canterbury, UK, 2017; ISBN 9798790680748. [Google Scholar]
- Dowou, K.; Nougbléga, Y.; Toka, K.A.; Amou, K.A. Numerical Study of Integrating Thermal Insulation Local Bio-Sourced Materials into Walls and Roofs for Thermal Comfort Improvement in Buildings in a Tropical Climate. Constr. Mater. 2025, 5, 4. [Google Scholar] [CrossRef]
- Aidi, M.; Harnane, Y.; Bordja, L. Thermal Performance and Energy Efficiency of Bio-Sourced Insulated Roofs. Stud. Eng. Exact Sci. 2024, 5, e8239. [Google Scholar] [CrossRef]
- Cunha, L.F.; Barbosa, J.A.d.S.; Sampaio, A.d.O.; Gonçalves, E.L.S.; Menezes, L.; Barata, M.S.; Zemero, B.R. Impacts of Local and Global Climate Change on the Thermal Performance of Social Interest Housing in Hot and Humid Climates. Available SSRN 4719210 2024. [Google Scholar] [CrossRef]
- Luo, K.; Zong, Z.; Yin, X.; Zuo, Y.; Fu, Y.; Zhan, W. Shale Pore Pressure Seismic Prediction Based on the Hydrogen Generation and Compaction-Based Rock-Physics Model and Bayesian Hamiltonian Monte Carlo Inversion Method. Geophysics 2025, 90, M15–M30. [Google Scholar] [CrossRef]
- Liu, Q.Q.; Zhuang, M.; Zhan, W.; Liu, N.; Liu, Q.H. An Efficient Thin Layer Equivalent Technique of SETD Method for Thermo-Mechanical Multi-Physics Analysis of Electronic Devices. Int. J. Heat Mass Transf. 2022, 192, 122816. [Google Scholar] [CrossRef]
- Arnesano, M. Development and Application of EEG Signal Pattern Analysis and Artificial Neural Network for Indoor Comfort Measurement. In Proceedings of the 2024 IEEE International Workshop on Metrology for Living Environment (MetroLivEnv), Chania, Greece, 12–14 June 2024; IEEE: Chania, Greece, 2024; pp. 11–15. [Google Scholar]
- Dogan, A.; Kayaci, N.; Bacak, A. Machine Learning-Based Predictive Model for Temperature and Comfort Parameters in Indoor Enviroment Using Experimantal Data. Appl. Therm. Eng. 2025, 259, 124852. [Google Scholar] [CrossRef]
- Olu-Ajayi, R.; Alaka, H.; Sulaimon, I.; Sunmola, F.; Ajayi, S. Building Energy Consumption Prediction for Residential Buildings Using Deep Learning and Other Machine Learning Techniques. J. Build. Eng. 2022, 45, 103406. [Google Scholar] [CrossRef]
- Esrafilian-Najafabadi, M.; Haghighat, F. Impact of Occupancy Prediction Models on Building HVAC Control System Performance: Application of Machine Learning Techniques. Energy Build. 2022, 257, 111808. [Google Scholar] [CrossRef]
- Rožman, M.; Kišić, A.; Oreški, D. Comparative Analysis of Nonlinear Models Developed Using Machine Learning Algorithms. WSEAS Trans. Inf. Sci. Appl. 2024, 21, 303–307. [Google Scholar] [CrossRef]
- Bist, A.S.; Rawat, B.; Joshi, Y.; Aini, Q.; Santoso, N.P.L.; Kusumawardhani, D.A.R. Harnessing Deep Learning for Accurate Climate Change Predictions. In Proceedings of the 2024 3rd International Conference on Creative Communication and Innovative Technology (ICCIT), Tangerang, Indonesia, 7–8 August 2024; pp. 1–6. [Google Scholar]
- Rane, N.; Choudhary, S.P.; Rane, J. Ensemble Deep Learning and Machine Learning: Applications, Opportunities, Challenges, and Future Directions. Stud. Med. Heal. Sci. 2024, 1, 18–41. [Google Scholar]
- Zhu, C.; Shen, X.; Zhu, G.; |Li, B. Prediction of Thermal Conductance of Complex Networks with Deep Learning. Chin. Phys. Lett. 2023, 40, 124402. [Google Scholar] [CrossRef]
- Mazo, G. A New Paradigm for Global Sensitivity Analysis. arXiv 2024, arXiv:2409.06271. [Google Scholar] [CrossRef]
- Alsharif, R.; Arashpour, M.; Golafshani, E.M.; Hosseini, M.R.; Chang, V.; Zhou, J. Machine Learning-Based Analysis of Occupant-Centric Aspects: Critical Elements in the Energy Consumption of Residential Buildings. J. Build. Eng. 2022, 46, 103846. [Google Scholar] [CrossRef]
- Cetina-Quiñones, A.J.; Bassam, A.; Quintal-Palomo, R.E.; Pérez-Fargallo, A. Surrogate Model of Adaptive Thermal Comfort of a Social Housing in the Dominican Republic Micro-Climates: A Predictive Approach toward Sustainable Buildings. Energy Sources Part A Recover. Util. Environ. Eff. 2023, 46, 804–819. [Google Scholar] [CrossRef]
- Boutahri, Y.; Tilioua, A. Machine Learning-Based Predictive Model for Thermal Comfort and Energy Optimization in Smart Buildings. Results Eng. 2024, 22, 102148. [Google Scholar] [CrossRef]
- Karimi, A.; Mohajerani, M.; Alinasab, N.; Akhlaghinezhad, F. Integrating Machine Learning and Genetic Algorithms to Optimize Building Energy and Thermal Efficiency Under Historical and Future Climate Scenarios. Sustainability 2024, 16, 9324. [Google Scholar] [CrossRef]
- Karyono, K.; Abdullah, B.M.; Cotgrave, A.; Bras, A.; Cullen, J. Field Studies of the Artificial Intelligence Model for Defining Indoor Thermal Comfort to Acknowledge the Adaptive Aspect. Eng. Appl. Artif. Intell. 2024, 133, 108381. [Google Scholar] [CrossRef]
- Hussien, A.; Maksoud, A.; Al-Dahhan, A.; Abdeen, A.; Baker, T. Machine Learning Model for Predicting Long-Term Energy Consumption in Buildings. Discov. Internet Things 2025, 5, 18. [Google Scholar] [CrossRef]
- Burgos, E.M. Incorporating Climate Projections into Infrastructure Planning and Design; National Institute of Standards and Technology: Gaithersburg, MD, USA, 2024. [Google Scholar] [CrossRef]
- Lucay, F.A. Accelerating Global Sensitivity Analysis via Supervised Machine Learning Tools: Case Studies for Mineral Processing Models. Minerals 2022, 12, 750. [Google Scholar] [CrossRef]
- Sánchez, J.F.P.; Fernández, P.M.E. Propuestas de Mejora Para Incrementar La Calidad Del Hábitat En Viviendas de Interés Social En México: Caso de Estudio Las Dunas. Master’s Thesis, Universidad de Sevilla, Sevilla, Spain, 2021. [Google Scholar]
- Alrasheed, M.; Mourshed, M. Domestic Overheating Risks and Mitigation Strategies: The State-of-the-Art and Directions for Future Research. Indoor Built Environ. 2023, 32, 1057–1077. [Google Scholar] [CrossRef]
- Hernández, G.; Cetina-Quiñones, A.J.; Bassam, A.; Carrillo, J.G. Passive Strategies towards Energy Efficient Social Housing: A Parametric Case Study and Decision-Making Framework in the Mexican Tropical Climate. J. Build. Eng. 2024, 82, 108282. [Google Scholar] [CrossRef]
- Gurney, K.R.; Kılkış, Ş.; Seto, K.C.; Lwasa, S.; Moran, D.; Riahi, K.; Keller, M.; Rayner, P.; Luqman, M. Greenhouse Gas Emissions from Global Cities under SSP/RCP Scenarios, 1990 to 2100. Glob. Environ. Change 2022, 73, 102478. [Google Scholar] [CrossRef]
- Vázquez-Torres, C.E.; Beizaee, A.; Bienvenido-Huertas, D. The Impact of Human Occupancy in Thermal Performance of a Historic Religious Building in Sub-Humid Temperate Climate. Energy Build. 2022, 259, 111912. [Google Scholar] [CrossRef]
- Cengel, Y. Heat and Mass Transfer: Fundamentals and Applications; McGraw-Hill Higher Education: Columbus, OH, USA, 2014; ISBN 0077654765. [Google Scholar]
- Meteonorm Meteonorm: World Irradiation Data. Available online: https://meteonorm.com/en/ (accessed on 6 June 2025).
- Simmonds, P. Using ASHRAE Standard 55 Adaptive Comfort Method for Practical Applications. In Proceedings of the REHVA 14th HVAC World Congress, Rotterdam, The Netherlands, 22–25 May 2022; pp. 1–8. [Google Scholar]
- ANSI/ASHRAE, 55; Thermal Environmental Conditions for Human Occupancy. American Society of Heating, Refrigerating and Air-Conditioning Engineers: Peachtree Corners, GA, USA, 1992.
- De Dear, R.J.; Brager, G.S. Thermal Comfort in Naturally Ventilated Buildings: Revisions to ASHRAE Standard 55. Energy Build. 2002, 34, 549–561. [Google Scholar] [CrossRef]
- Pérez-Fargallo, A.; Pulido-Arcas, J.A.; Rubio-Bellido, C.; Trebilcock, M.; Piderit, B.; Attia, S. Development of a New Adaptive Comfort Model for Low Income Housing in the Central-South of Chile. Energy Build. 2018, 178, 94–106. [Google Scholar] [CrossRef]
- Castaño-Rosa, R.; Barrella, R.; Sánchez-Guevara, C.; Barbosa, R.; Kyprianou, I.; Paschalidou, E.; Thomaidis, N.S.; Dokupilova, D.; Gouveia, J.P.; Kádár, J.; et al. Cooling Degree Models and Future Energy Demand in the Residential Sector. A Seven-Country Case Study. Sustainability 2021, 13, 2987. [Google Scholar] [CrossRef]
- Tran, T.N.; Lam, B.M.; Nguyen, A.T.; Le, Q.B. Load Forecasting with Support Vector Regression: Influence of Data Normalization on Grid Search Algorithm. Int. J. Electr. Comput. Eng. 2022, 12, 3410–3420. [Google Scholar] [CrossRef]
- Huang, L.; Qin, J.; Zhou, Y.; Zhu, F.; Liu, L.; Shao, L. Normalization Techniques in Training Dnns: Methodology, Analysis and Application. IEEE Trans. Pattern Anal. Mach. Intell. 2023, 45, 10173–10196. [Google Scholar] [CrossRef]
- Hrehova, S.; Husár, J. Selected Application Tools for Creating Models in the Matlab Environment. In Proceedings of the International Conference on Future Access Enablers of Ubiquitous and Intelligent Infrastructures, Virtual, 4 May 2022; Springer: Berlin/Heidelberg, Germany, 2022; pp. 181–192. [Google Scholar]
- Jiang, Y. Personalized Thermal Comfort Model with Decision Tree. Intell. Control Autom. 2019, 10, 168–177. [Google Scholar] [CrossRef]
- Zhou, X.; Xu, L.; Zhang, J.; Niu, B.; Luo, M.; Zhou, G.; Zhang, X. Data-Driven Thermal Comfort Model via Support Vector Machine Algorithms: Insights from ASHRAE RP-884 Database. Energy Build. 2020, 211, 109795. [Google Scholar] [CrossRef]
- Deng, Z.; Chen, Q. Artificial Neural Network Models Using Thermal Sensations and Occupants’ Behavior for Predicting Thermal Comfort. Energy Build. 2018, 174, 587–602. [Google Scholar] [CrossRef]
- Seraj, A.; Mohammadi-Khanaposhtani, M.; Daneshfar, R.; Naseri, M.; Esmaeili, M.; Baghban, A.; Habibzadeh, S.; Eslamian, S. Cross-Validation. In Handbook of Hydroinformatics; Elsevier: Amsterdam, The Netherlands, 2023; pp. 89–105. [Google Scholar]
- Ahmad, M.W.; Mourshed, M.; Rezgui, Y. Trees vs Neurons: Comparison between Random Forest and ANN for High-Resolution Prediction of Building Energy Consumption. Energy Build. 2017, 147, 77–89. [Google Scholar] [CrossRef]
- Walker, S.; Khan, W.; Katic, K.; Maassen, W.; Zeiler, W. Accuracy of Different Machine Learning Algorithms and Added-Value of Predicting Aggregated-Level Energy Performance of Commercial Buildings. Energy Build. 2020, 209, 109705. [Google Scholar] [CrossRef]
- Shi, P.; Shi, R.; Zhang, L. Regression Tree-Based Predictive Control with Variable Separation for Airport Terminal HVAC Optimization. Build. Serv. Eng. Res. Technol. 2025. [Google Scholar] [CrossRef]
- Zileska Pancovska, V.; Petrusheva, S.; Sekovska, B. Prediction of Energy Consumption in Buildings Using Support Vector Machine. Teh. Vjesn. 2021, 28, 649–656. [Google Scholar]
- Pianosi, F.; Wagener, T. A Simple and Efficient Method for Global Sensitivity Analysis Based Oncumulative Distribution Functions. Environ. Model. Softw. 2015, 67, 1–11. [Google Scholar] [CrossRef]
- Pianosi, F.; Wagener, T. Distribution-Based Sensitivity Analysis from a Generic Input-Output Sample. Environ. Model. Softw. 2018, 108, 197–207. [Google Scholar] [CrossRef]
- Zadeh, F.K.; Nossent, J.; Sarrazin, F.; Pianosi, F.; Van Griensven, A.; Wagener, T.; Bauwens, W. Comparison of Variance-Based and Moment-Independent Global Sensitivity Analysis Approaches by Application to the SWAT Model. Environ. Model. Softw. 2017, 91, 210–222. [Google Scholar] [CrossRef]
- Berger, V.W.; Zhou, Y. Kolmogorov–Smirnov Test: Overview. Wiley Statsref Stat. Ref. Online 2014. [Google Scholar] [CrossRef]
- Chaturvedi, S.; Rajasekar, E. Application of a Probabilistic LHS-PAWN Approach to Assess Building Cooling Energy Demand Uncertainties. In Proceedings of the Building Simulation, Chambery, France, 25–28 August 2013; Springer: Amsterdam, The Netherlands, 2022; Volume 15, pp. 373–387. [Google Scholar]
- Pachauri, R.K.; Allen, M.R.; Barros, V.R.; Broome, J.; Cramer, W.; Christ, R.; Church, J.A.; Clarke, L.; Dahe, Q.; Dasgupta, P. Climate Change 2014: Synthesis Report. Contribution of Working Groups I, II and III to the Fifth Assessment Report of the Intergovernmental Panel on Climate Change; IPCC: Geneva, Switzerland, 2014; ISBN 9291691437. [Google Scholar]
- Meinshausen, M.; Smith, S.J.; Calvin, K.; Daniel, J.S.; Kainuma, M.L.T.; Lamarque, J.-F.; Matsumoto, K.; Montzka, S.A.; Raper, S.C.B.; Riahi, K. The RCP Greenhouse Gas Concentrations and Their Extensions from 1765 to 2300. Clim. Change 2011, 109, 213–241. [Google Scholar] [CrossRef]









| Research Study | Location | Climate Type | AI Techniques | Variables of Interest | Main Findings |
|---|---|---|---|---|---|
| Alsharif et al. (2022) [30] | Australia | Maritime temperate climate | Linear Genetic Programming (LGP) and sensitivity analysis (SA) using orthogonal experiment design | Metabolic rate, clothing level, infiltration rate, and building envelope factors. | Machine learning, coupled with orthogonal design, quantified thermal occupant factors. The infiltration rate was the most critical factor (0.66), followed by metabolic rate (−0.48) and clothing level (−0.38), for achieving energy-efficient and comfortable houses. |
| Cetina-Quiñones et al. (2023) [31] | Dominican Republic | Tropical rainforest, monsoon, savanna, hot semi-arid and oceanic | Artificial neural networks (ANN) and SA | Indoor temperature | Developed adaptive thermal comfort and ANN models for comfort temperature prediction. A hot semi-arid climate largely falls outside the comfort range, with radiant temperature as the key variable impacting comfort. |
| Boutahri & Tilioua (2024) [32] | Morocco | It ranges from a Mediterranean to a semi-arid climate | Support Vector Machine (SVM), ANN, Random Forest (RF), and EXtreme Gradient Boosting (XGBOOST) | Thermal comfort levels, energy consumption, indoor temperature, air velocity, relative humidity, mean radiant temperature, clothing insulation, and metabolic rate. | Machine learning algorithms (SVM, ANN, RF, XGBOOST) effectively predicted PMV values and optimized HVAC energy consumption, enhancing occupant thermal comfort while reducing energy demands. |
| Karimi et al. (2024) [33] | Spain | Hot-summer Mediterranean climate (Csa), characterized by hot, dry summers and mild, wet winters | Bayesian optimization, XGBoost algorithms, multi-objective genetic algorithms, and SHAP (SHapley Additive exPlanations) analysis | Total energy, indoor overheating degree, predicted percentage dissatisfaction, window-to-wall ratio, indoor temperature, and outdoor temperature. | ML models with genetic algorithms optimized building performance across climate scenarios (2020–2080). The effects of the window-to-wall ratio and open areas on energy consumption become more pronounced as climate conditions evolve. |
| Karyono et al. (2024) [34] | UK | Maritime temperate climate characterized by mild temperatures and moderate rainfall throughout the year | ANN trained with ASHRAE using multiple databases for accuracy. | Occupants’ presence, scheduling, and activities for comfort probability | ANN model trained with ASHRAE databases achieved 96.1% accuracy, effectively adapting to UK dwelling environments and enabling energy savings through optimized temperature control. |
| Hussien et al. (2025) [35] | United Arab Emirates (UAE) | Hot climate | XGBoost, Support Vector Regression (SVR), and Long Short-Term Memory (LSTM) networks | Building envelope characteristics, thermal transmittance, thermal resistance, decrement factor, and energy consumption. | XGBoost, SVR, and LSTM models were used to predict long-term energy consumption in hot climates. Key factors included thermal mass, decrement factor, U-value, and R-value for energy-efficient building designs. |
| Present study | Southeastern Mexico (Mérida, Campeche, Cancún, Tuxtla Gutiérrez) | Tropical hot-humid climate | Regression Trees, Support Vector Machines, Artificial Neural Networks, and PAWN sensitivity analysis | Building typology, location, climate change scenarios, roof construction system (with/without insulation), ambient temperature, relative humidity, solar radiation, wind velocity, comfort temperature, and cooling degree day | The study developed machine learning (ML) models to predict thermal comfort indicators in social housing units, finding that regression trees were the best-performing algorithm (R2 > 0.98). Sensitivity analysis revealed ambient temperature (45–49%) as the dominant variable affecting thermal comfort, with roof insulation showing modest but consistent benefits. |
| Material of Construction | Typology | Thickness (m) | Thermal Conductivity (W/m-K) | Density (kg/m3) | Specific Heat (J/kg-K) |
|---|---|---|---|---|---|
| Waterproofing | 1 and 2 | 0.025 | 0.16 | 1121 | 1460 |
| EPS insulation * | 2 | 0.08 | 0.04 | 15 | 1400 |
| Mortar | 1 and 2 | 0.025 | 0.80 | 1800 | 1000 |
| Concrete | 1 and 2 | 0.1 | 2.15 | 2400 | 900 |
| Plaster | 1 and 2 | 0.025 | 0.42 | 1200 | 837 |
| Algorithm | Hyperparameters | Description |
|---|---|---|
| Regression Trees (RT) |
| Tree-based algorithm utilizing hierarchical decision rules to partition data into predictive regions. Employs recursive binary splitting to identify optimal thresholds, providing interpretable decision pathways and effective handling of nonlinear relationships. |
| Support Vector Machines (SVM) |
| Kernel-based method that maps input data to high-dimensional feature spaces to identify optimal separating hyperplanes. Utilizes kernel functions to capture complex nonlinear patterns while maintaining computational efficiency through support vector identification. |
| Artificial Neural Networks (ANN) |
| Multi-layer perceptron architecture with interconnected neurons organized in sequential layers. Learns complex mappings through backpropagation training, with activation functions introducing nonlinearity and regularization preventing overfitting. |
| Output Variable | ML Model | Statistical Metrics | |||
|---|---|---|---|---|---|
| RMSE (°C) | MAE (°C) | ScI (%) | R2 | ||
| Comfort temperature | Regression Trees | 0.0095 | 0.0075 | 0.036 | 0.9999 |
| Support Vector Machine | 0.0302 | 0.0253 | 0.115 | 0.9991 | |
| Artificial Neural Networks | 0.0183 | 0.0144 | 0.070 | 0.9997 | |
| Cooling Degree Day | Regression Trees | 0.2613 | 0.1783 | 5.91 | 0.9845 |
| Support Vector Machine | 0.9211 | 0.7261 | 20.7 | 0.8074 | |
| Artificial Neural Networks | 0.2767 | 0.1885 | 6.26 | 0.9826 | |
Disclaimer/Publisher’s Note: The statements, opinions and data contained in all publications are solely those of the individual author(s) and contributor(s) and not of MDPI and/or the editor(s). MDPI and/or the editor(s) disclaim responsibility for any injury to people or property resulting from any ideas, methods, instructions or products referred to in the content. |
© 2025 by the authors. Licensee MDPI, Basel, Switzerland. This article is an open access article distributed under the terms and conditions of the Creative Commons Attribution (CC BY) license (https://creativecommons.org/licenses/by/4.0/).
Share and Cite
Romero, D.; Torres, K.A.; Gonzalez, J.; Cetina-Quiñones, A.J.; Acosta, C.; Sadoqi, M.; Bassam, A. Climate Change and Assessing Thermal Comfort in Social Housing of Southeastern Mexico: A Prospective Study Using Machine Learning and Global Sensitivity Analysis. Sustainability 2025, 17, 9596. https://doi.org/10.3390/su17219596
Romero D, Torres KA, Gonzalez J, Cetina-Quiñones AJ, Acosta C, Sadoqi M, Bassam A. Climate Change and Assessing Thermal Comfort in Social Housing of Southeastern Mexico: A Prospective Study Using Machine Learning and Global Sensitivity Analysis. Sustainability. 2025; 17(21):9596. https://doi.org/10.3390/su17219596
Chicago/Turabian StyleRomero, Diana, Karla A. Torres, Joanny Gonzalez, A. J. Cetina-Quiñones, Cesar Acosta, M. Sadoqi, and A. Bassam. 2025. "Climate Change and Assessing Thermal Comfort in Social Housing of Southeastern Mexico: A Prospective Study Using Machine Learning and Global Sensitivity Analysis" Sustainability 17, no. 21: 9596. https://doi.org/10.3390/su17219596
APA StyleRomero, D., Torres, K. A., Gonzalez, J., Cetina-Quiñones, A. J., Acosta, C., Sadoqi, M., & Bassam, A. (2025). Climate Change and Assessing Thermal Comfort in Social Housing of Southeastern Mexico: A Prospective Study Using Machine Learning and Global Sensitivity Analysis. Sustainability, 17(21), 9596. https://doi.org/10.3390/su17219596

