Spatiotemporal Dynamics and Future Trajectories of Coupling Coordination Between Net Ecosystem Productivity and Human Activity Intensity: A Case Study of the Zhangjiakou–Chengde Region, Northern China
Abstract
1. Introduction
2. Materials and Methods
2.1. Study Area
2.2. Data Sources and Processing
2.3. Estimation of NEP
2.4. Estimation of HAI
2.5. Coupling Coordination Analysis of NEP and HAI
2.6. Driver Impact Analysis Based on Geodetector
2.7. Trend and Sustainability Analysis of Coupling Coordination
2.7.1. MK Trend Test
2.7.2. Hurst Exponent Analysis
2.7.3. Combined Classification
3. Results and Analysis
3.1. Spatiotemporal Variations in NEP
3.2. Spatiotemporal Variations in HAI
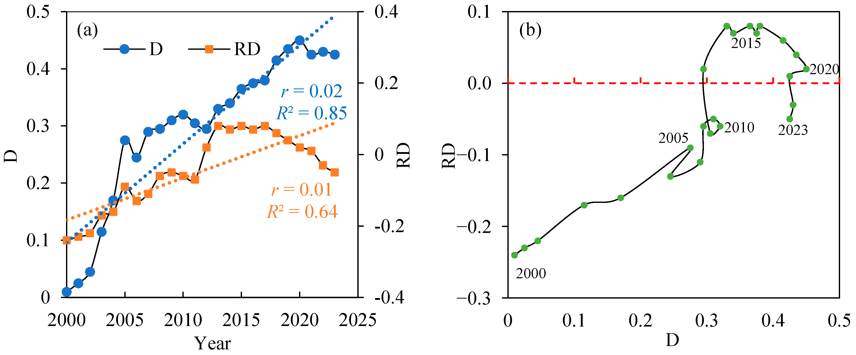
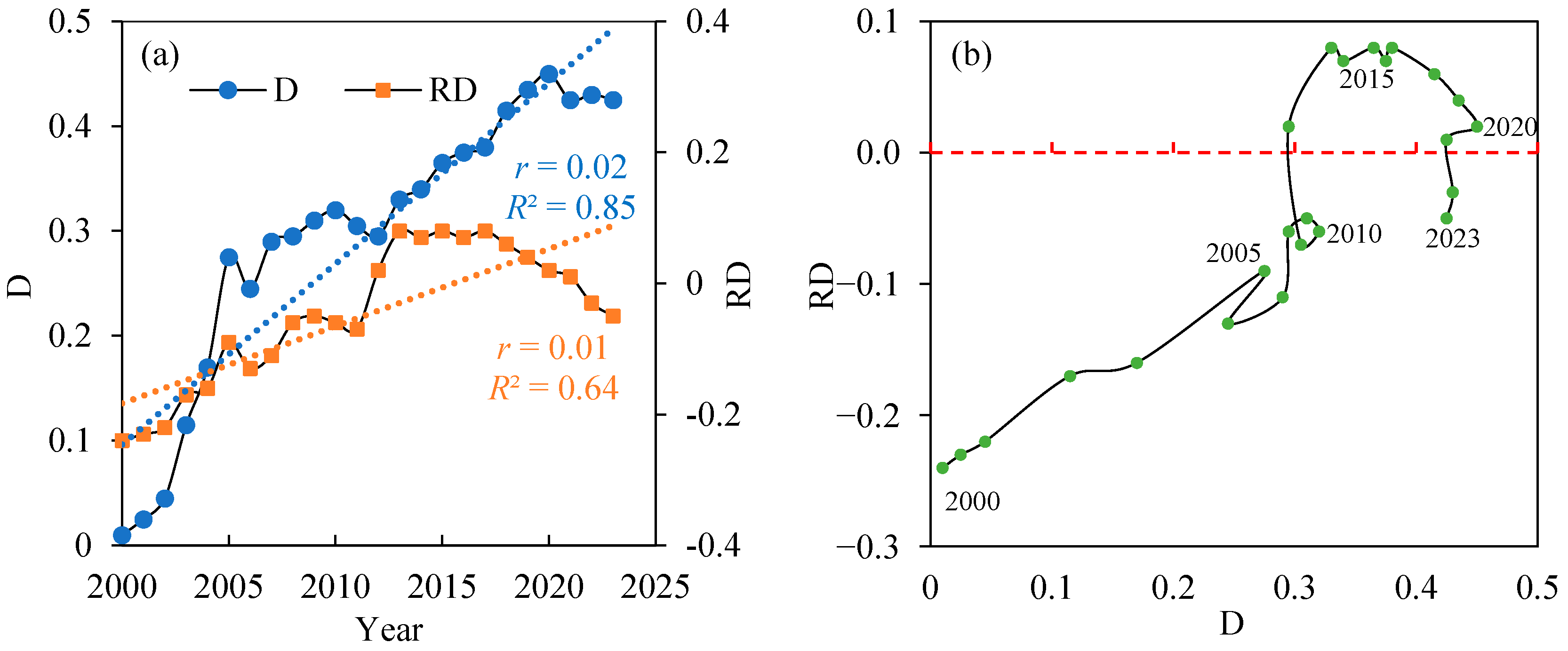
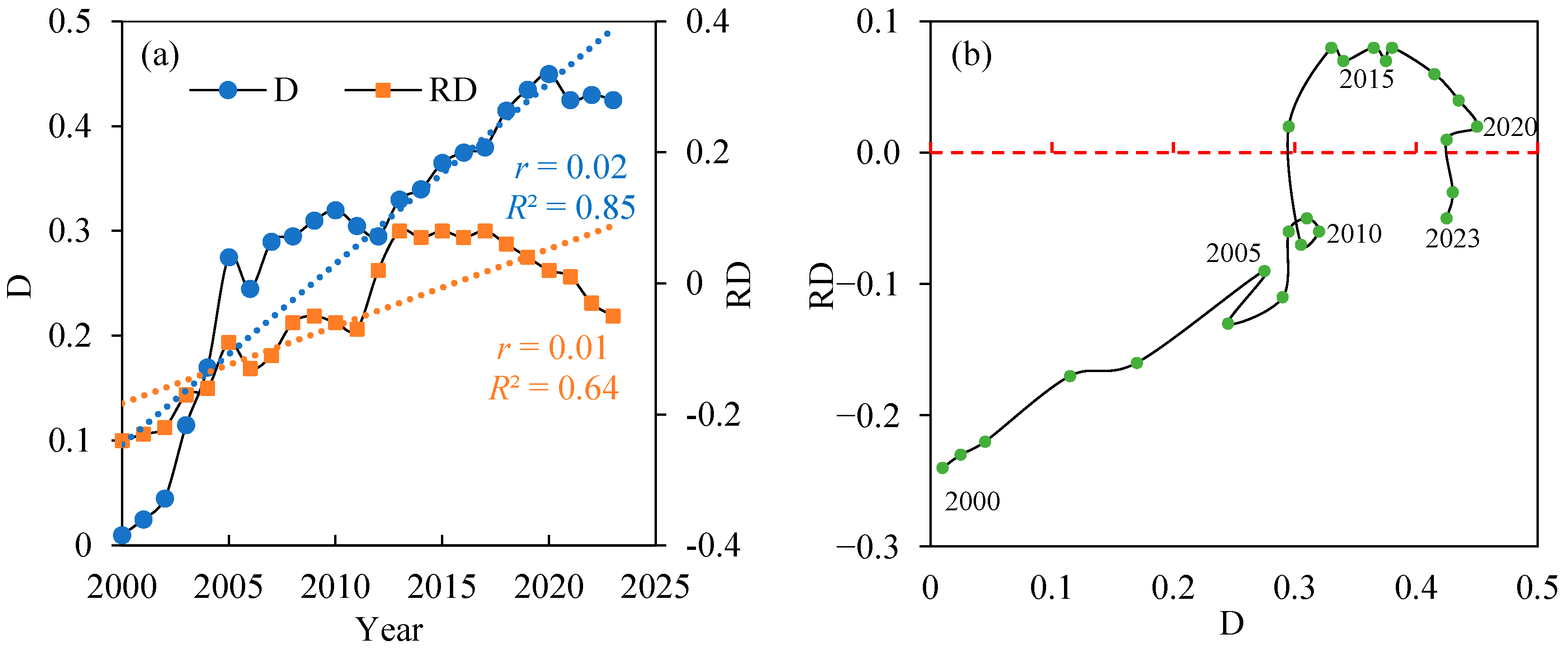
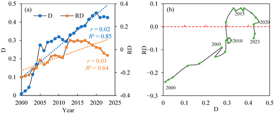
3.3. Coupling Coordination Between NEP and HAI
3.4. Driving Factors of Coupling Coordination
3.5. Future Trend Prediction of Coupling Coordination
4. Discussion
4.1. Spatiotemporal Dynamics of NEP–HAI Coupling Coordination
4.2. Driving Mechanisms of Coupling Coordination
4.3. Policy Implications
4.4. Limitations and Perspectives
5. Conclusions
- (1)
- NEP and HAI exhibited a coordinated upward trend, indicating that regional ecological restoration and socio-economic development are gradually achieving mutual reinforcement. The coordination pattern evolved from human-dominated imbalance to ecological–social synergy, with high coordination concentrated in the forested eastern mountains and low coordination persisting in agro-pastoral transition belts.
- (2)
- LUI was identified as the dominant driver of spatial heterogeneity in coupling coordination, while natural factors such as vegetation condition (NDVI), drought stress (SPEI), and topography (ELV, SLP) gained increasing importance over time. Interactive effects between anthropogenic and natural factors.
- (3)
- MK and Hurst analyses revealed that the ZC region will likely continue on a positive trajectory of NEP–HAI coordination, though with pronounced spatial differentiation. Strongly improving areas are concentrated in mountainous zones, while degradation-prone areas remain in agro-pastoral transition belts, requiring targeted management.
- (4)
- Targeted management strategies should be adopted according to regional coordination levels. Low-coordination zones require vegetation recovery, soil conservation, and strict land-use regulation; stable coordination areas should strengthen resilience through ecological compensation and sustainable agriculture; and high-pressure transition zones should promote low-carbon development and land-use optimization. These differentiated measures can support the realization of carbon neutrality and ecological security goals in northern China, while offering a reference for sustainable development in similar regions worldwide.
Author Contributions
Funding
Institutional Review Board Statement
Informed Consent Statement
Data Availability Statement
Conflicts of Interest
References
- Lal, R. Soil carbon sequestration impacts on global climate change and food security. Science 2004, 304, 1623–1627. [Google Scholar] [CrossRef]
- He, B.; Chen, C.; Lin, S.R.; Yuan, W.P.; Chen, H.W.; Chen, D.L.; Zhang, Y.F.; Guo, L.L.; Zhao, X.; Liu, X.B.; et al. Worldwide impacts of atmospheric vapor pressure deficit on the interannual variability of terrestrial carbon sinks. Natl. Sci. Rev. 2022, 9, nwab150. [Google Scholar] [CrossRef]
- Zhang, L.; Ren, X.L.; Wang, J.B.; He, H.L.; Wang, S.Q.; Wang, M.M.; Piao, S.L.; Yan, H.; Ju, W.M.; Gu, F.X.; et al. Interannual variability of terrestrial net ecosystem productivity over China: Regional contributions and climate attribution. Environ. Res. Lett. 2019, 14, 014003. [Google Scholar] [CrossRef]
- Zhu, X.J.; Fan, R.X.; Chen, Z.; Wang, Q.F.; Yu, G.R. Eddy covariance-based differences in net ecosystem productivity values and spatial patterns between naturally regenerating forests and planted forests in China. Sci. Rep. 2022, 12, 20556. [Google Scholar] [CrossRef]
- Wang, N.; Zhao, Y.X.; Song, T.; Zou, X.L.; Wang, E.; Du, S. Accounting for China’s Net Carbon Emissions and Research on the Realization Path of Carbon Neutralization Based on Ecosystem Carbon Sinks. Sustainability 2022, 14, 14750. [Google Scholar] [CrossRef]
- Li, T.; Lu, Y.H.; Fu, B.J.; Comber, A.J.; Harris, P.; Wu, L.H. Gauging policy-driven large-scale vegetation restoration programmes under a changing environment: Their effectiveness and socio-economic relationships. Sci. Total Environ. 2017, 607, 911–919. [Google Scholar] [CrossRef] [PubMed]
- Gilby, B.L.; Olds, A.D.; Brown, C.J.; Connolly, R.M.; Henderson, C.J.; Maxwell, P.S.; Schlacher, T.A. Applying systematic conservation planning to improve the allocation of restoration actions at multiple spatial scales. Restor. Ecol. 2021, 29, 13403. [Google Scholar] [CrossRef]
- Saunois, M.; Stavert, A.R.; Poulter, B.; Bousquet, P.; Canadell, J.G.; Jackson, R.B.; Raymond, P.A.; Dlugokencky, E.J.; Houweling, S.; Patra, P.K.; et al. The Global Methane Budget 2000–2017. Earth Syst. Sci. Data 2020, 12, 1561–1623. [Google Scholar] [CrossRef]
- Mo, L.D.; Zohner, C.M.; Reich, P.B.; Liang, J.J.; de Miguel, S.; Nabuurs, G.J.; Renner, S.S.; van den Hoogen, J.; Araza, A.; Herold, M.; et al. Integrated global assessment of the natural forest carbon potential. Nature 2023, 624, 92–101. [Google Scholar] [CrossRef]
- Padilla, F.M.; Vidal, B.; Sánchez, J.; Pugnaire, F.I. Land-use changes and carbon sequestration through the twentieth century in a Mediterranean mountain ecosystem: Implications for land management. J. Environ. Manag. 2010, 91, 2688–2695. [Google Scholar] [CrossRef] [PubMed]
- Reichstein, M.; Papale, D.; Valentini, R.; Aubinet, M.; Bernhofer, C.; Knohl, A.; Laurila, T.; Lindroth, A.; Moors, E.; Pilegaard, K.; et al. Determinants of terrestrial ecosystem carbon balance inferred from European eddy covariance flux sites. Geophys. Res. Lett. 2007, 34, 101402. [Google Scholar] [CrossRef]
- Yang, S.F.; Li, Y.; Zhao, Y.L.; Lan, A.J.; Zhou, C.F.; Lu, H.X.; Zhou, L.Y. Changes in vegetation ecosystem carbon sinks and their response to drought in the karst concentration distribution area of Asia. Ecol. Inform. 2024, 84, 102907. [Google Scholar] [CrossRef]
- Liu, J.X.; Wang, Z.; Duan, Y.F.; Li, X.R.; Zhang, M.Y.; Liu, H.Y.; Xue, P.; Gong, H.B.; Wang, X.; Chen, Y.; et al. Effects of land use patterns on the interannual variations of carbon sinks of terrestrial ecosystems in China. Ecol. Indic. 2023, 146, 09914. [Google Scholar] [CrossRef]
- Liu, J.C.; Gao, W.C.; Liu, T.Z.; Dai, L.Y.; Wu, L.J.; Miao, H.Y.; Yang, C. A Bibliometric Analysis of the Impact of Ecological Restoration on Carbon Sequestration in Ecosystems. Forests 2023, 14, 1442. [Google Scholar] [CrossRef]
- Li, L.; Huang, X.J.; Yang, H. A new framework for identifying ecological conservation and restoration areas to enhance carbon storage. Ecol. Indic. 2023, 154, 110523. [Google Scholar] [CrossRef]
- Qiu, S.; Yu, Q.; Niu, T.; Fang, M.Z.; Guo, H.Q.; Liu, H.J.; Li, S.; Zhang, J.Y. Restoration and renewal of ecological spatial network in mining cities for the purpose of enhancing carbon Sinks: The case of Xuzhou, China. Ecol. Indic. 2022, 143, 109313. [Google Scholar] [CrossRef]
- Dilling, L.; Failey, E. Managing carbon in a multiple use world: The implications of land-use decision context for carbon management. Glob. Environ. Change-Hum. Policy Dimens. 2013, 23, 291–300. [Google Scholar] [CrossRef]
- Zhang, M.Y.; Wang, K.L.; Liu, H.Y.; Zhang, C.H.; Wang, J.; Yue, Y.M.; Qi, X.K. How ecological restoration alters ecosystem services: An analysis of vegetation carbon sequestration in the karst area of northwest Guangxi, China. Environ. Earth Sci. 2015, 74, 5307–5317. [Google Scholar] [CrossRef]
- Lyu, X.; Li, X.B.; Wang, K.; Zhang, C.H.; Dang, D.L.; Dou, H.S.; Lou, A.R. Strengthening grassland carbon source and sink management to enhance its contribution to regional carbon neutrality. Ecol. Indic. 2023, 152, 110341. [Google Scholar] [CrossRef]
- Chen, B.M.; Jing, X.; Liu, S.S.; Jiang, J.; Wang, Y.G. Intermediate human activities maximize dryland ecosystem services in the long-term land-use change: Evidence from the Sangong River watershed, northwest China. J. Environ. Manag. 2022, 319, 115708. [Google Scholar] [CrossRef]
- Lu, Q.; Fan, H.H.; Zhang, F.Q.; Chen, W.B.; Xia, Y.P.; Yan, B. The dominant role of human activity intensity in spatial pattern of ecosystem health in the Poyang Lake ecological economic zone. Ecol. Indic. 2024, 166, 112347. [Google Scholar] [CrossRef]
- An, Q.M.; Yuan, X.F.; Zhang, X.R.; Yang, Y.; Chen, J.H.; An, J.J. Spatio-temporal interaction and constraint effects between ecosystem services and human activity intensity in Shaanxi Province, China. Ecol. Indic. 2024, 160, 111937. [Google Scholar] [CrossRef]
- Li, M.C.; Mao, C.M. Spatial-Temporal Variance of Coupling Relationship between Population Modernization and Eco-Environment in Beijing-Tianjin-Hebei. Sustainability 2019, 11, 991. [Google Scholar] [CrossRef]
- Kang, S.Z.; Jia, X.; Zhao, Y.H.; Luo, M.Y.; Wang, H.Y.; Zhao, M. The Coupling Coordination Relationship Between Urbanization and the Eco-Environment in Resource-Based Cities, Loess Plateau, China. ISPRS Int. J. Geo-Inf. 2024, 13, 437. [Google Scholar] [CrossRef]
- Liu, Y.; Zhang, Z.X.; Huang, X.J. A novel coupling cloud decision-making framework for investigating population-economy-water consumption nexus in the Inner Mongolia reaches of the Yellow River, China. Environ. Impact Assess. Rev. 2023, 98, 106923. [Google Scholar] [CrossRef]
- Hermoso, V.; Pantus, F.; Olley, J.; Linke, S.; Mugodo, J.; Lea, P. Systematic planning for river rehabilitation: Integrating multiple ecological and economic objectives in complex decisions. Freshw. Biol. 2012, 57, 1–9. [Google Scholar] [CrossRef]
- Li, Q.; Li, W.J.; Wang, S.; Wang, J.F. Assessing heterogeneity of trade-offs/synergies and values among ecosystem services in Beijing-Tianjin-Hebei urban agglomeration. Ecol. Indic. 2022, 140, 109026. [Google Scholar] [CrossRef]
- Zhou, W.; Xi, Y.T.; Zhai, L.; Li, C.; Li, J.Y.; Hou, W. Zoning for Spatial Conservation and Restoration Based on Ecosystem Services in Highly Urbanized Region: A Case Study in Beijing-Tianjin-Hebei, China. Land 2023, 12, 733. [Google Scholar] [CrossRef]
- Herrmann, S.M.; Hutchinson, C.F. The changing contexts of the desertification debate. J. Arid Environ. 2005, 63, 538–555. [Google Scholar] [CrossRef]
- He, N.; Zhou, Y.; Wang, L.; Li, Q.; Zuo, Q.; Liu, J. Spatiotemporal differentiation and the coupling analysis of ecosystem service value with land use change in Hubei Province, China. Ecol. Indic. 2022, 45, 109693. [Google Scholar] [CrossRef]
- Lovett, G.; Cole, J.; Pace, M. Is net ecosystem production equal to ecosystem carbon accumulation? Ecosystems 2006, 9, 152–155. [Google Scholar] [CrossRef]
- Hou, Q.Q.; Yang, H.; Wu, J.S.; Yu, X.J. Carbon budget response to climate change varies with grassland type in Qilian Mountains, China. Glob. Ecol. Conserv. 2023, 47, 2670. [Google Scholar] [CrossRef]
- Sun, Y.X.; Liu, S.L.; Shi, F.N.; An, Y.; Li, M.Q.; Liu, Y.X. Spatio-temporal variations and coupling of human activity intensity and ecosystem services based on the four-quadrant model on the Qinghai-Tibet Plateau. Sci. Total Environ. 2020, 743, 140721. [Google Scholar]
- Zhang, F.T.; Sun, C.C.; An, Y.Z.; Luo, Y.G.; Yang, Q.; Su, W.C.; Gao, L. Coupling coordination and obstacle factors between tourism and the ecological environment in Chongqing, China: A multi-model comparison. Asia Pac. J. Tour. Res. 2021, 26, 811–828. [Google Scholar] [CrossRef]
- Wang, M.M.; Zhu, X.Y.; Yin, S. Spatial-temporal coupling coordination and interaction between digitalization and traditional industrial upgrading: A case study of the Yellow River Basin. Sci. Rep. 2023, 13, 17997. [Google Scholar] [CrossRef]
- Zhu, L.J.; Meng, J.J.; Zhu, L.K. Applying Geodetector to disentangle the contributions of natural and anthropogenic factors to NDVI variations in the middle reaches of the Heihe River Basin. Ecol. Indic. 2020, 117, 106545. [Google Scholar] [CrossRef]
- Liu, W.X.; Xue, Y.; Shang, C. Spatial distribution analysis and driving factors of traditional villages in Henan province: A comprehensive approach via geospatial techniques and statistical models. Herit. Sci. 2023, 11, 185. [Google Scholar] [CrossRef]
- Sicard, P.; Agathokleous, E.; De Marco, A.; Paoletti, E.; Calatayud, V. Urban population exposure to air pollution in Europe over the last decades. Environ. Sci. Eur. 2021, 33, 28. [Google Scholar] [CrossRef]
- Qu, S.; Wang, L.C.; Lin, A.W.; Yu, D.Q.; Yuan, M.X.; Li, C.A. Distinguishing the impacts of climate change and anthropogenic factors on vegetation dynamics in the Yangtze River Basin, China. Ecol. Indic. 2020, 108, 105724. [Google Scholar] [CrossRef]
- Deng, L.; Liu, S.G.; Kim, D.G.; Peng, C.H.; Sweeney, S.; Shangguan, Z.P. Past and future carbon sequestration benefits of China’s grain for green program. Glob. Environ. Change-Hum. Policy Dimens. 2017, 47, 13–20. [Google Scholar] [CrossRef]
- Cai, D.W.; Ge, Q.S.; Wang, X.M.; Liu, B.L.; Goudie, A.S.; Hu, S. Contributions of ecological programs to vegetation restoration in arid and semiarid China. Environ. Res. Lett. 2020, 15, 114046. [Google Scholar] [CrossRef]
- Wang, H.; Liu, G.H.; Li, Z.S.; Wang, P.T.; Wang, Z.Z. Comparative Assessment of Vegetation Dynamics under the Influence of Climate Change and Human Activities in Five Ecologically Vulnerable Regions of China from 2000 to 2015. Forests 2019, 10, 317. [Google Scholar] [CrossRef]
- Asghar, M.; Ayaz, M.; Ali, S. Ecological resilience in crisis: Analyzing the role of urban land use and institutional policies. Land Use Policy 2025, 151, 107492. [Google Scholar] [CrossRef]
- Cao, S.X.; Xia, C.Q.; Xian, J.L.; Guo, H.; Zheng, H.R. Payoff of the Grain for Green policy. J. Appl. Ecol. 2020, 57, 1180–1188. [Google Scholar] [CrossRef]
- Tang, F.L.; Zeng, P.; Guo, Y.Y.; Shen, Y.N.; Wang, L.; Liu, K.X.; Zhang, L.H. Decoding the spatiotemporal dynamics and driving mechanisms of ecological resilience in the Beijing-Tianjin-Hebei urban agglomeration: A deep learning approach. Urban Clim. 2025, 61, 102436. [Google Scholar] [CrossRef]
- Xu, K.P.; Chi, Y.Y.; Wang, J.J.; Ge, R.F.; Wang, X.H. Analysis of the spatial characteristics and driving forces determining ecosystem quality of the Beijing-Tianjin-Hebei region. Environ. Sci. Pollut. Res. 2021, 28, 12555–12565. [Google Scholar] [CrossRef]
- Huang, Z.X.; Li, S.; Peng, J.J.; Ma, X.R.; Ding, H.X.; Cheng, F.Y.; Bi, R.T. Assessing ecosystem service dynamics and drivers for sustainable management in the Agro-pastoral ecotone of northern China: A spatiotemporal analysis. Ecol. Indic. 2024, 165, 112213. [Google Scholar] [CrossRef]
- Zhai, Y.P.; Zhai, G.Q.; Chen, Y.M.; Liu, J.Z. Research on regional terrestrial carbon storage based on the pattern-process-function. Ecol. Inform. 2024, 80, 102523. [Google Scholar] [CrossRef]
- Yan, F.; Guo, X.Y.; Zhang, Y.W.; Shan, J.; Miao, Z.H.; Li, C.Y.; Huang, X.H.; Pang, J.; Chen, Y.H. Analysis of the multiple drivers of vegetation cover evolution in the Taihangshan-Yanshan region. Sci. Rep. 2024, 14, 15306. [Google Scholar] [CrossRef]
- Gao, M.N.; Hu, Y.X.; Shang, G.F.; Li, W. Research on the impact of spatial and temporal changes in ecological product value in Hebei Province based on land use changes. Sci. Rep. 2025, 15, 9571. [Google Scholar] [CrossRef]
- Wen, Y.Y.; Liu, X.P.; Xin, Q.C.; Wu, J.; Xu, X.C.; Pei, F.S.; Li, X.; Du, G.M.; Cai, Y.L.; Lin, K.; et al. Cumulative Effects of Climatic Factors on Terrestrial Vegetation Growth. J. Geophys. Res.-Biogeosciences 2019, 124, 789–806. [Google Scholar] [CrossRef]
- Du, G.M.; Yan, S.H.; Chen, H.; Yang, J.; Wen, Y.Y. Intra-Annual Cumulative Effects and Mechanisms of Climatic Factors on Global Vegetation Biomes’ Growth. Remote Sens. 2024, 16, 779. [Google Scholar] [CrossRef]
- Wen, Y.Y.; Yang, J.; Liao, W.L.; Xiao, J.N.; Yan, S.H. Refined assessment of space-time changes, influencing factors and socio-economic impacts of the terrestrial ecosystem quality: A case study of the GBA. J. Environ. Manag. 2023, 345, 118869. [Google Scholar] [CrossRef] [PubMed]
- Córdoba Hernández, R.; Camerin, F. Assessment of ecological capacity for urban planning and improving resilience in the European framework: An approach based on the Spanish case. Cuad. Investig. Geográfica 2023, 49, 119–142. [Google Scholar] [CrossRef]











| Factor | Abbreviation | Unit | Spatial Resolution | Source and Processing |
|---|---|---|---|---|
| Precipitation | PRE | mm | 1 km | Acquired from the National Earth System Science Data Center (http://www.geodata.cn, accessed on 10 May 2024). |
| Potential Evapotranspiration | PET | mm | 1 km | Retrieved from the China Meteorological Data Service Center (http://data.cma.cn, accessed on 12 May 2024). |
| Temperature | TMP | °C | 1 km | Retrieved from the China Meteorological Data Service Center (http://data.cma.cn, accessed on 15 August 2024). |
| Standardized Precipitation-Evapotranspiration Index | SPEI | 0.25° | Obtained from the National Tibetan Plateau/Third Pole Environment Data Center (https://www.tpdc.ac.cn, accessed on 7 August 2024). | |
| Norma | NDVI | - | 250 m | Derived from MOD13Q1/Terra MODIS products via NASA Earth Data (https://www.earthdata.nasa.gov, accessed on 27 May 2024), using the maximum value composite method monthly. |
| Vegetation Transpiration | VT | mm | 0.1° | Extracted from the Global Land Evaporation Amsterdam Model (https://www.gleam.eu, accessed on 13 August 2024). |
| Surface Soil Moisture | SSM | % | 0.05° | Sourced from the Global Land Data Assimilation System (GLDAS) v2.1 (https://www.nasa.gov, accessed on 9 August 2024). |
| Land Use Intensity Index | LUI | - | 30 m | Computed based on land use types [30]; land use data obtained from the Resource and Environmental Science Data Platform (https://www.resdc.cn, accessed on 8 October 2024). |
| Population Density | PD | people/km2 | 1 km | Provided by NASA’s Socioeconomic Data and Applications Center (SEDAC) via the NASA Earthdata platform (https://earthdata.nasa.gov/eosdis/daacs/sedac, accessed on 6 July 2024). |
| Nighttime Light | NTL | nW/cm2/sr | 1 km | Retrieved from the Resource and Environmental Science Data Platform (https://www.resdc.cn, accessed on 6 August 2024). |
| Solar Radiation | SR | MJ/m2 | 0.05° | Derived from GLDAS v2.1 (https://www.nasa.gov, accessed on 10 July 2024). |
| Sensible Heat Flux | SHF | W/m2 | 0.1° | Obtained from the Global Land Evaporation Amsterdam Model (https://www.gleam.eu, accessed on 6 August 2024). |
| Elevation | ELV | m | 30 m | Obtained from the Geospatial Data Cloud (https://www.gleam.eu, accessed on 6 August 2024). |
| Slope | SLP | ° | 30 m | Obtained from the Geospatial Data Cloud (https://www.gleam.eu, accessed on 6 August 2024). |
| Indicator | Weight (wᵢ) | Significance |
|---|---|---|
| PD | 0.241 | Reflects the spatial distribution of human populations, representing direct demographic pressure on ecosystems. |
| GDP | 0.263 | Indicates the magnitude of economic development and the intensity of material and energy use linked to human activities. |
| NTL | 0.148 | Serves as a spatial proxy for urbanization and infrastructure expansion, capturing anthropogenic energy consumption patterns. |
| LUI | 0.348 | Quantifies human modification of land surfaces through agricultural and construction activities, expressing direct ecological disturbance. |
| Code | Region Type | D Value Range | RD Direction | Example Interpretation |
|---|---|---|---|---|
| 1 | Synergistic Carbon-dominant Region | >0.6 | + | NEP develops ahead, ecosystem plays a dominant role |
| 2 | Synergistic Human-activity-dominant Region | >0.6 | − | Human activity grows rapidly, but NEP synchronously increases, maintaining coordination |
| 3 | Potential Human-activity-overshoot Region | 0.4–0.6 | + | NEP grows rapidly, while HAI fails to fully respond |
| 4 | Isolated Carbon-surplus Region | 0.4–0.6 | − | Human activities dominate, ecosystems lag behind, hidden risks exist |
| 5 | Potential Carbon-surplus Region | <0.4 | + | NEP is high but decoupled from social systems |
| 6 | Human-activity Carbon-stress Region | <0.4 | − | HAI grows rapidly, while NEP severely lags behind |
| Criterion | Interaction Type |
|---|---|
| q(X1∩X2) < Min (q(X1),q(X2)) | Weaken, Nonlinear |
| Min (q(X1),q(X2)) < q(X1∩X2) < Max (q(X1),q(X2)) | Weaken, Unidirectional |
| q(X1∩X2) > Max (q(X1),q(X2)) | Enhance, Bidirectional |
| q(X1∩X2) = q(X1) + q(X2) | Independence |
| q(X1∩X2) > q(X1) + q(X2) | Enhance, Nonlinear |
| Development Direction | Criteria | Development Type | |
|---|---|---|---|
| MK Trend Test | Hurst Index | ||
| Continuous degradation | Z ≤ −1.96 | 0.65 < H ≤ 1 | Strong degradation |
| Z ≤ −1.96 | 0.5 < H ≤ 0.65 | Weak degradation | |
| Past improvement, future degradation | Z ≥ 1.96 | 0 ≤ H < 0.35 | Anti-strong improvement |
| Z ≥ 1.96 | 0.35 ≤ H ≤ 0.5 | Anti-weak improvement | |
| Past degradation, future improvement | Z ≤ −1.96 | 0.35 ≤ H ≤ 0.5 | Anti-weak degradation |
| Z ≤ −1.96 | 0 ≤ H < 0.35 | Anti-strong degradation | |
| Continuous improvement | Z ≥ 1.96 | 0.5 < H ≤ 0.65 | Weak improvement |
| Z ≥ 1.96 | 0.65 < H ≤ 1 | Strong improvement | |
| No change | −1.96 < Z < 1.96 | No change | |
Disclaimer/Publisher’s Note: The statements, opinions and data contained in all publications are solely those of the individual author(s) and contributor(s) and not of MDPI and/or the editor(s). MDPI and/or the editor(s) disclaim responsibility for any injury to people or property resulting from any ideas, methods, instructions or products referred to in the content. |
© 2025 by the authors. Licensee MDPI, Basel, Switzerland. This article is an open access article distributed under the terms and conditions of the Creative Commons Attribution (CC BY) license (https://creativecommons.org/licenses/by/4.0/).
Share and Cite
Wang, Y.; Li, G.; Kan, Y.; Xue, Z.; Yang, Y.; Ju, A. Spatiotemporal Dynamics and Future Trajectories of Coupling Coordination Between Net Ecosystem Productivity and Human Activity Intensity: A Case Study of the Zhangjiakou–Chengde Region, Northern China. Sustainability 2025, 17, 9541. https://doi.org/10.3390/su17219541
Wang Y, Li G, Kan Y, Xue Z, Yang Y, Ju A. Spatiotemporal Dynamics and Future Trajectories of Coupling Coordination Between Net Ecosystem Productivity and Human Activity Intensity: A Case Study of the Zhangjiakou–Chengde Region, Northern China. Sustainability. 2025; 17(21):9541. https://doi.org/10.3390/su17219541
Chicago/Turabian StyleWang, Ye, Guoji Li, Yixiang Kan, Zhongcai Xue, Yue Yang, and Anqi Ju. 2025. "Spatiotemporal Dynamics and Future Trajectories of Coupling Coordination Between Net Ecosystem Productivity and Human Activity Intensity: A Case Study of the Zhangjiakou–Chengde Region, Northern China" Sustainability 17, no. 21: 9541. https://doi.org/10.3390/su17219541
APA StyleWang, Y., Li, G., Kan, Y., Xue, Z., Yang, Y., & Ju, A. (2025). Spatiotemporal Dynamics and Future Trajectories of Coupling Coordination Between Net Ecosystem Productivity and Human Activity Intensity: A Case Study of the Zhangjiakou–Chengde Region, Northern China. Sustainability, 17(21), 9541. https://doi.org/10.3390/su17219541
