Spatiotemporal Evolution and Driving Factors of the Cooling Capacity of Urban Green Spaces in Beijing over the Past Four Decades
Abstract
1. Introduction
2. Materials and Methods
2.1. Materials
2.1.1. Study Area
2.1.2. Data Sources
2.2. Methods
2.2.1. LST Retrieval
2.2.2. Profile Line Analysis
2.2.3. Spatial Scale Analysis
2.2.4. Machine Learning and Regression Analysis
3. Results
3.1. Spatial and Temporal Pattern Evolution of UGS
3.1.1. Temporal and Spatial Changes in UGS
3.1.2. Evolution of UGS Landscape Patterns
3.2. Spatiotemporal Evolution of LST
3.2.1. Accuracy Validation of LST
3.2.2. Temporal Trends of LST Across Beijing’s Ring Roads
3.2.3. Spatiotemporal Heterogeneity of LST
3.3. Spatiotemporal Evolution of UGS Cooling Capacity
3.3.1. Spatiotemporal Variation in LST and UGS Along Profile Lines in Urban Areas
3.3.2. Spatial Pattern Changes in UGS Cooling Capacity
3.3.3. Interannual Variation Patterns of UGS Cooling Capacity
3.4. Analysis of the Driving Factors of UGS Cooling Effects
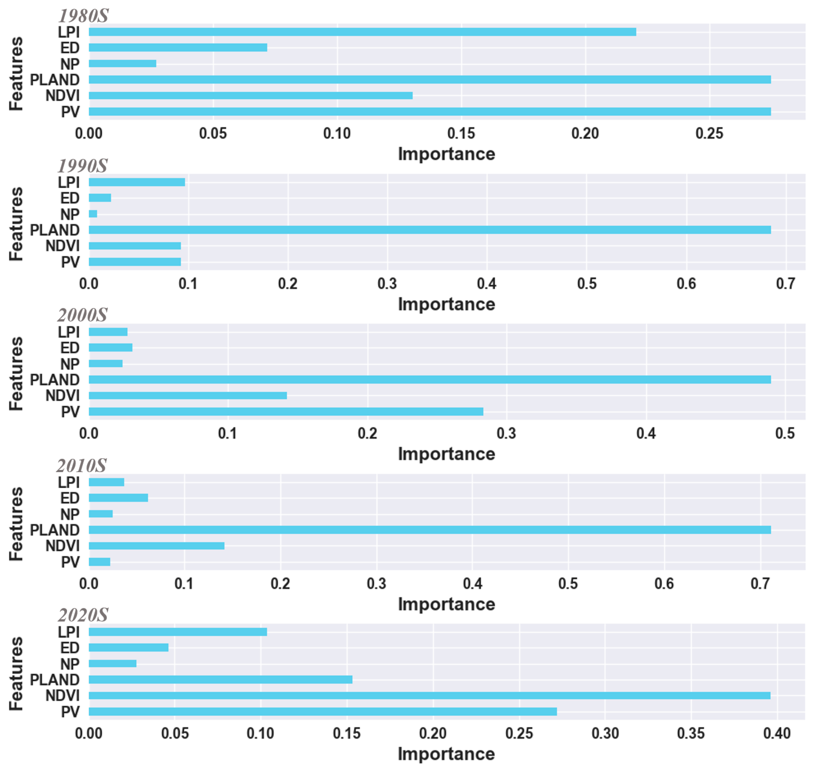
3.4.1. Analysis of Feature Importance for Driving Factors
3.4.2. Correlation Between NDVI and LST
3.4.3. Correlation Between PV and LST
3.4.4. Effect of UGS Area on LST
4. Discussion
4.1. Temporal Changes in Dominant Factors Influencing Cooling Effects of UGS
4.2. Evolution of Cooling Mechanisms and Optimal UGS Configuration
4.3. Optimization Strategies for UGS Cooling
4.4. Limitations and Future Perspectives
5. Conclusions
- (1)
- Pronounced seasonal differences: A significant negative correlation was observed between UGS and LST in summer (mean R2 > 0.64), strongly confirming the critical role of vegetation in regulating the urban thermal environment and mitigating the heat island effect. In contrast, the correlation weakened considerably in winter (mean R2 < 0.31), indicating a notable decline in the cooling capacity of vegetation during the cold season.
- (2)
- Phased fluctuations in cooling effectiveness: Accelerated urbanization has intensified the fragmentation of UGS inside the Fifth Ring Road, with a clear shift in spatial configuration from continuous patches to fragmented and isolated units. Concurrently, the cooling capacity exhibited distinct phased fluctuations, characterized by an “enhancement–decline–re-enhancement” trajectory. In the temporal comparison, the proportion of grids with an enhanced cooling effect consistently remained over 10% higher than in the preceding period. This trend was notably pronounced during the 1990s–2000s, with the proportion reaching 20.5%.
- (3)
- Spatiotemporal dynamics of landscape pattern: Urbanization has not only altered the spatial distribution of UGS but also reshaped its landscape pattern characteristics. Importance analysis based on the XGBoost model revealed significant temporal heterogeneity in the key indicators governing the cooling effect of UGS: in the 1980s, landscape-scale metrics (e.g., PLAND, LPI) were dominant, whereas by the 2020s, quality-based metrics (e.g., NDVI) became more influential. This shift indicates that the underlying influencing mechanism has transitioned from “scale-dominated” to “quality-dominated.” Therefore, future urban greening strategies should shift from merely pursuing green space expansion to optimizing spatial configuration and enhancing the ecological quality of vegetation.
- (4)
- Existence of an optimal cooling efficiency threshold: Investigation into the relationship between UGS area and LST over the past 40 years revealed that when the UGS coverage ratio increased from 0–10% to 10–20%, the cooling efficiency reached its maximum, achieving a temperature reduction of approximately 1 °C.
Author Contributions
Funding
Institutional Review Board Statement
Informed Consent Statement
Data Availability Statement
Acknowledgments
Conflicts of Interest
References
- Hamstead, Z.A.; Kremer, P.; Larondelle, N.; McPhearson, T.; Haase, D. Classification of the heterogeneous structure of urban landscapes (STURLA) as an indicator of landscape function applied to surface temperature in New York City. Ecol. Indic. 2016, 70, 574–585. [Google Scholar] [CrossRef]
- Bai, Y.; Jia, R.X. Elite Recruitment and Political Stability: The Impact of the Abolition of China’s Civil Service Exam. Econometrica 2016, 84, 677–733. [Google Scholar] [CrossRef]
- Rajagopal, P.; Priya, R.S.; Senthil, R. A review of recent developments in the impact of environmental measures on urban heat island. Sustain. Cities Soc. 2023, 88, 104279. [Google Scholar] [CrossRef]
- Zhang, W.; Li, W.; Zhang, C.; Hanink, D.M.; Liu, Y.; Zhai, R. Analyzing horizontal and vertical urban expansions in three East Asian megacities with the SS-coMCRF model. Landsc. Urban Plan. 2018, 177, 114–127. [Google Scholar] [CrossRef]
- Yu, B.; Liu, H.; Wu, J.; Hu, Y.; Zhang, L. Automated derivation of urban building density information using airborne LiDAR data and object-based method. Landsc. Urban Plan. 2010, 98, 210–219. [Google Scholar] [CrossRef]
- Stumpe, B.; Bechtel, B.; Heil, J.; Jörges, C.; Jostmeier, A.; Kalks, F.; Schwarz, K.; Marschner, B. Soil texture mediates the surface cooling effect of urban and peri-urban green spaces during a drought period in the city area of Hamburg (Germany). Sci. Total Environ. 2023, 897, 165228. [Google Scholar] [CrossRef] [PubMed]
- Yin, H.; Zhao, X. Urban heat island analysis based on high resolution measurement data: A case study in Beijing. Sustain. Cities Soc. 2024, 106, 105389. [Google Scholar] [CrossRef]
- Yuan, F.; Bauer, M.E. Comparison of impervious surface area and normalized difference vegetation index as indicators of surface urban heat island effects in Landsat imagery. Remote Sens. Environ. 2007, 106, 375–386. [Google Scholar] [CrossRef]
- Leal, W.; Wolf, F.; Castro-Díaz, R.; Li, C.L.; Ojeh, V.N.; Gutiérrez, N.; Nagy, G.J.; Savic, S.; Natenzon, C.E.; Al-Amin, A.Q.; et al. Addressing the Urban Heat Islands Effect: A Cross-Country Assessment of the Role of Green Infrastructure. Sustainability 2021, 13, 753. [Google Scholar] [CrossRef]
- Gago, E.J.; Roldan, J.; Pacheco-Torres, R.; Ordóñez, J. The city and urban heat islands: A review of strategies to mitigate adverse effects. Renew. Sustain. Energy Rev. 2013, 25, 749–758. [Google Scholar] [CrossRef]
- Leal Filho, W.; Echevarria Icaza, L.; Neht, A.; Klavins, M.; Morgan, E.A. Coping with the impacts of urban heat islands. A literature based study on understanding urban heat vulnerability and the need for resilience in cities in a global climate change context. J. Clean. Prod. 2018, 171, 1140–1149. [Google Scholar] [CrossRef]
- Santamouris, M. Recent progress on urban overheating and heat island research. Integrated assessment of the energy, environmental, vulnerability and health impact. Synergies with the global climate change. Energy Build. 2020, 207, 109482. [Google Scholar] [CrossRef]
- Liu, R.; Dong, X.; Wang, X.; Zhang, P.; Liu, M.; Zhang, Y. Relationship and driving factors between urbanization and natural ecosystem health in China. Ecol. Indic. 2023, 147, 109972. [Google Scholar] [CrossRef]
- Akdag, S.; Yıldırım, H. Toward a sustainable mitigation approach of energy efficiency to greenhouse gas emissions in the European countries. Heliyon 2020, 6, e03396. [Google Scholar] [CrossRef] [PubMed]
- Skillington, K.; Crawford, R.H.; Warren-Myers, G.; Davidson, K. A review of existing policy for reducing embodied energy and greenhouse gas emissions of buildings. Energy Policy 2022, 168, 112920. [Google Scholar] [CrossRef]
- Lin, T.-Y.; Chiu, Y.-h.; Chen, C.-H.; Ji, L. Renewable energy consumption efficiency, greenhouse gas emission efficiency, and climate change in Europe. Geoenergy Sci. Eng. 2025, 247, 213665. [Google Scholar] [CrossRef]
- Wu, Z.; Zhou, Y.; Ren, Y. Green space-building integration for Urban Heat Island mitigation: Insights from Beijing’s fifth ring road district. Sustain. Cities Soc. 2024, 116, 105917. [Google Scholar] [CrossRef]
- Wu, C.; Li, J.; Wang, C.; Song, C.; Chen, Y.; Finka, M.; La Rosa, D. Understanding the relationship between urban blue infrastructure and land surface temperature. Sci. Total Environ. 2019, 694, 133742. [Google Scholar] [CrossRef]
- Furlan, R.; Sinclair, B.R. Planning for a neighborhood and city-scale green network system in Qatar: The case of MIA Park. Environ. Dev. Sustain. 2021, 23, 14933–14957. [Google Scholar] [CrossRef]
- Huang, J.; Kong, F.; Yin, H.; Middel, A.; Liu, H.; Zheng, X.; Wen, Z.; Wang, D. Transpirational cooling and physiological responses of trees to heat. Agric. For. Meteorol. 2022, 320, 108940. [Google Scholar] [CrossRef]
- Su, Y.; Wu, J.; Zhang, C.; Wu, X.; Li, Q.; Liu, L.; Bi, C.; Zhang, H.; Lafortezza, R.; Chen, X. Estimating the cooling effect magnitude of urban vegetation in different climate zones using multi-source remote sensing. Urban Clim. 2022, 43, 101155. [Google Scholar] [CrossRef]
- Armson, D.; Stringer, P.; Ennos, A.R. The effect of tree shade and grass on surface and globe temperatures in an urban area. Urban For. Urban Green. 2012, 11, 245–255. [Google Scholar] [CrossRef]
- Li, P.; Wu, W.; Yin, Y. Enhanced accessibility to park cooling services in developed areas: Experimental insights on the walkability in large urban agglomerations. Build. Environ. 2025, 272, 112665. [Google Scholar] [CrossRef]
- Gao, Z.; Zaitchik, B.F.; Hou, Y.; Chen, W. Toward park design optimization to mitigate the urban heat Island: Assessment of the cooling effect in five U.S. cities. Sustain. Cities Soc. 2022, 81, 103870. [Google Scholar] [CrossRef]
- Yang, F.; Yousefpour, R.; Zhang, Y.; Wang, H. The assessment of cooling capacity of blue-green spaces in rapidly developing cities: A case study of Tianjin’s central urban area. Sustain. Cities Soc. 2023, 99, 104918. [Google Scholar] [CrossRef]
- Zhou, W.; Yu, W.; Zhang, Z.; Cao, W.; Wu, T. How can urban green spaces be planned to mitigate urban heat island effect under different climatic backgrounds? A threshold-based perspective. Sci. Total Environ. 2023, 890, 164422. [Google Scholar] [CrossRef]
- Das, M.; Das, A.; Momin, S. Quantifying the cooling effect of urban green space: A case from urban parks in a tropical mega metropolitan area (India). Sustain. Cities Soc. 2022, 87, 104062. [Google Scholar] [CrossRef]
- Liu, Q.; Dong, Q.; Zhang, L.; Sun, C. Summer cooling island effects of blue-green spaces in severe cold regions: A case study of harbin, China. Build. Environ. 2024, 257, 111539. [Google Scholar] [CrossRef]
- Zhang, M.; Huang, L.; Jiang, W.; Fan, M.; Dai, W.; Han, W.; Xu, Q.; Dong, Y. Urban core greening and industrial decentralization lead to contrasting trends in surface urban heat islands in a metropolitan area in China. J. Environ. Manag. 2025, 374, 124045. [Google Scholar] [CrossRef] [PubMed]
- Peng, J.; Dan, Y.; Yu, X.; Xu, D.; Yang, Z.; Wang, Q. Response of urban green space cooling effect to urbanization in the Three Ring Road area of Changsha City. Sustain. Cities Soc. 2024, 109, 105534. [Google Scholar] [CrossRef]
- Wang, Y.; Meng, D.; Zhu, Y.; Zhang, F. Impacts of regional urbanization development on plant diversity within boundary of built-up areas of different settlement categories in Jinzhong Basin, China. Landsc. Urban Plan. 2009, 91, 212–218. [Google Scholar] [CrossRef]
- Xiao, X.D.; Dong, L.; Yan, H.; Yang, N.; Xiong, Y. The influence of the spatial characteristics of urban green space on the urban heat island effect in Suzhou Industrial Park. Sustain. Cities Soc. 2018, 40, 428–439. [Google Scholar] [CrossRef]
- Shah, A.; Garg, A.; Mishra, V. Quantifying the local cooling effects of urban green spaces: Evidence from Bengaluru, India. Landsc. Urban Plan. 2021, 209, 104043. [Google Scholar] [CrossRef]
- Kabisch, N.; Frantzeskaki, N.; Pauleit, S.; Naumann, S.; Davis, M.; Artmann, M.; Haase, D.; Knapp, S.; Korn, H.; Stadler, J.; et al. Nature-based solutions to climate change mitigation and adaptation in urban areas: Perspectives on indicators, knowledge gaps, barriers, and opportunities for action. Ecol. Soc. 2016, 21, 39. [Google Scholar] [CrossRef]
- Fedele, G.; Donatti, C.I.; Harvey, C.A.; Hannah, L.; Hole, D.G. Transformative adaptation to climate change for sustainable social-ecological systems. Environ. Sci. Policy 2019, 101, 116–125. [Google Scholar] [CrossRef]
- Wolch, J.R.; Byrne, J.; Newell, J.P. Urban green space, public health, and environmental justice: The challenge of making cities ‘just green enough’. Landsc. Urban Plan. 2014, 125, 234–244. [Google Scholar] [CrossRef]
- Rasul, A.; Balzter, H.; Smith, C.; Remedios, J.; Adamu, B.; Sobrino, J.A.; Srivanit, M.; Weng, Q.; Millington, A.; Nagendra, H.; et al. A Review on Remote Sensing of Urban Heat and Cool Islands. Land 2017, 6, 38. [Google Scholar] [CrossRef]
- Pritipadmaja; Garg, R.D.; Sharma, A.K. Assessing the Cooling Effect of Blue-Green Spaces: Implications for Urban Heat Island Mitigation. Water 2023, 15, 2983. [Google Scholar] [CrossRef]
- Budzik, G.; Sylla, M.; Kowalczyk, T. Understanding Urban Cooling of Blue-Green Infrastructure: A Review of Spatial Data and Sustainable Planning Optimization Methods for Mitigating Urban Heat Islands. Sustainability 2025, 17, 142. [Google Scholar] [CrossRef]
- Zhao, Z.; Zhang, G.; Chen, Q.; Cai, D.; Meng, F.; Long, X.; Zhang, T.; Wang, Y.; Xu, T.; Yang, H.; et al. Gold exploration using multi-source remote sensing data in the northern part of the Wa State, Myanmar. Ore Geol. Rev. 2025, 183, 106703. [Google Scholar] [CrossRef]
- Bowler, D.E.; Buyung-Ali, L.; Knight, T.M.; Pullin, A.S. Urban greening to cool towns and cities: A systematic review of the empirical evidence. Landsc. Urban Plan. 2010, 97, 147–155. [Google Scholar] [CrossRef]
- Zhou, W.; Cao, W.; Wu, T.; Zhang, T. The win-win interaction between integrated blue and green space on urban cooling. Sci. Total Environ. 2023, 863, 160712. [Google Scholar] [CrossRef]
- Wang, M.; Song, H.Y.; Zhu, W.; Wang, Y.C. The Cooling Effects of Landscape Configurations of Green-Blue Spaces in Urban Waterfront Community. Atmosphere 2023, 14, 833. [Google Scholar] [CrossRef]
- Lin, B.-S.; Tsai, Y.-H.; Chang, H.-C.; Yu, C.-C.; Hsieh, C.-I. Building with nature: Morphological spatial pattern of green infrastructure in urban heat mitigation. Build. Environ. 2025, 279, 113087. [Google Scholar] [CrossRef]
- Pan, Z.W.; Xie, Z.Y.; Wu, L.Y.; Pan, Y.; Ding, N.; Liang, Q.S.; Qin, F. Simulation of Cooling Island Effect in Blue-Green Space Based on Multi-Scale Coupling Model. Remote Sens. 2023, 15, 2093. [Google Scholar] [CrossRef]
- Yu, Z.; Yang, G.; Zuo, S.; Jørgensen, G.; Koga, M.; Vejre, H. Critical review on the cooling effect of urban blue-green space: A threshold-size perspective. Urban For. Urban Green. 2020, 49, 126630. [Google Scholar] [CrossRef]
- Gómez-Baggethun, E.; Barton, D.N. Classifying and valuing ecosystem services for urban planning. Ecol. Econ. 2013, 86, 235–245. [Google Scholar] [CrossRef]
- Zhao, J.C.; Zhao, X.; Liang, S.L.; Wang, H.Y.; Liu, N.J.; Liu, P.; Wu, D.H. Dynamic Cooling Effects of Permanent Urban Green Spaces in Beijing, China. Remote Sens. 2021, 13, 3282. [Google Scholar] [CrossRef]
- Yan, D.Y.; Xu, L.; Wang, Q.F.; Feng, J.; Wu, X.X. Quantifying Landscape Effects on Urban Park Thermal Environments Using ENVI-Met and 3D Grid Profile Analysis. Forests 2025, 16, 1085. [Google Scholar] [CrossRef]
- Pan, T.; Kuang, W.H.; Pan, R.Y.; Niu, Z.G.; Dou, Y.Y. Hierarchical Urban Land Mappings and Their Distribution with Physical Medium Environments Using Time Series of Land Resource Images in Beijing, China (1981–2021). Remote Sens. 2022, 14, 580. [Google Scholar] [CrossRef]
- Kirner, D.; Láska, K.; Stachoň, Z. Assessment and validation of Land Surface Temperature retrieval algorithms using Landsat 8 TIRS data in Antarctic ice-free areas. Polar Sci. 2024, 42, 101127. [Google Scholar] [CrossRef]
- Alavipanah, S.; Haase, D.; Makki, M.; Nizamani, M.M.; Qureshi, S. On the Spatial Patterns of Urban Thermal Conditions Using Indoor and Outdoor Temperatures. Remote Sens. 2021, 13, 640. [Google Scholar] [CrossRef]
- Rodríguez, L.R.; Ramos, J.S.; de la Flor, F.J.S.; Domínguez, S.A. Analyzing the urban heat Island: Comprehensive methodology for data gathering and optimal design of mobile transects. Sustain. Cities Soc. 2020, 55. [Google Scholar] [CrossRef]
- Jeon, G.; Park, Y.; Guldmann, J.M. Impacts of Urban Morphology on Seasonal Land Surface Temperatures: Comparing Grid- and Block-Based Approaches. Isprs Int. J. Geo-Inf. 2023, 12, 482. [Google Scholar] [CrossRef]
- Yang, C.; Kui, T.; Zhou, W.; Fan, J.; Pan, L.; Wu, W.; Liu, M. Impact of refined 2D/3D urban morphology on hourly air temperature across different spatial scales in a snow climate city. Urban Clim. 2023, 47, 101404. [Google Scholar] [CrossRef]
- Huang, J.D.; Lu, X.H.; Wang, Y.C. Spatio-Temporal Changes and Key Driving Factors of Urban Green Space Configuration on Land Surface Temperature. Forests 2024, 15, 812. [Google Scholar] [CrossRef]
- Bhattarai, S.; Banjara, P.; Pandey, V.P.; Aryal, A.; Pradhan, P.; Al-Douri, F.; Pradhan, N.R.; Talchabhadel, R. Quantifying the cooling effects of blue-green spaces across urban landscapes: A case study of Kathmandu Valley, Nepal. Urban Clim. 2025, 61, 102493. [Google Scholar] [CrossRef]
- Knobel, P.; Dadvand, P.; Alonso, L.; Costa, L.; Español, M.; Maneja, R. Development of the urban green space quality assessment tool (RECITAL). Urban For. Urban Green. 2021, 57, 126895. [Google Scholar] [CrossRef]
- Gundersen, V.; Frivold, L.H.; Löfström, I.; Jørgensen, B.B.; Falck, J.; Øyen, B.-H. Urban woodland management—The case of 13 major Nordic cities. Urban For. Urban Green. 2005, 3, 189–202. [Google Scholar] [CrossRef]
- Addas, A. Influence of Urban Green Spaces on Quality of Life and Health with Smart City Design. Land 2023, 12, 960. [Google Scholar] [CrossRef]
- Wei, J.Q.; Li, Y.H.; Jia, L.Q.; Liu, B.T.; Jiang, Y.H. The Impact of Spatiotemporal Effect and Relevant Factors on the Urban Thermal Environment Through the XGBoost-SHAP Model. Land 2025, 14, 394. [Google Scholar] [CrossRef]
- Hamada, S.; Ohta, T. Seasonal variations in the cooling effect of urban green areas on surrounding urban areas. Urban For. Urban Green. 2010, 9, 15–24. [Google Scholar] [CrossRef]
- Zhong, Y.; Li, S.; Liang, X.; Guan, Q. Causal inference of urban heat island effect and its spatial heterogeneity: A case study of Wuhan, China. Sustain. Cities Soc. 2024, 115, 105850. [Google Scholar] [CrossRef]
- Imhoff, M.L.; Zhang, P.; Wolfe, R.E.; Bounoua, L. Remote sensing of the urban heat island effect across biomes in the continental USA. Remote Sens. Environ. 2010, 114, 504–513. [Google Scholar] [CrossRef]
- Yang, C.B.; He, X.Y.; Wang, R.H.; Yan, F.Q.; Yu, L.X.; Bu, K.; Yang, J.C.; Chang, L.P.; Zhang, S.W. The Effect of Urban Green Spaces on the Urban Thermal Environment and Its Seasonal Variations. Forests 2017, 8, 153. [Google Scholar] [CrossRef]
- Liu, W.; Zhao, H.Y.; Sun, S.B.; Xu, X.Y.; Huang, T.T.; Zhu, J.N. Green Space Cooling Effect and Contribution to Mitigate Heat Island Effect of Surrounding Communities in Beijing Metropolitan Area. Front. Public Health 2022, 10, 870403. [Google Scholar] [CrossRef]
- Aram, F.; Higueras García, E.; Solgi, E.; Mansournia, S. Urban green space cooling effect in cities. Heliyon 2019, 5, e01339. [Google Scholar] [CrossRef]
- Zeng, W.X.; Yang, K.; Zhang, S.H.; Bi, C.Y.; Liu, J.; Yang, X.F.; Rao, Y.; Ma, Y. Configuration of Green-Blue-Grey Spaces for Efficient Cooling of Urban Physical and Perceptual Thermal Environments. Land 2025, 14, 645. [Google Scholar] [CrossRef]
- Xu, Z.; Zhao, S. Scale dependence of urban green space cooling efficiency: A case study in Beijing metropolitan area. Sci. Total Environ. 2023, 898, 165563. [Google Scholar] [CrossRef]
- Wang, X.; Dallimer, M.; Scott, C.E.; Shi, W.; Gao, J. Tree species richness and diversity predicts the magnitude of urban heat island mitigation effects of greenspaces. Sci. Total Environ. 2021, 770, 145211. [Google Scholar] [CrossRef]


















| Season | 1980s | 1990s | 2000s | 2010s | 2020s |
|---|---|---|---|---|---|
| Summer | 1984-06-29 | 1993-06-22 | 2004-07-06 | 2013-07-31 | 2021-06-03 |
| 1984-08-16 | 1993-08-25 | 2005-06-23 | 2014-08-19 | 2021-06-19 | |
| 1985-07-18 | 1996-06-30 | 2005-07-09 | 2017-07-10 | 2021-08-06 | |
| Winter | 1984-12-06 | 1994-12-02 | 2003-12-11 | 2014-12-25 | 2020-12-25 |
| 1985-01-07 | 1995-12-05 | 2003-12-27 | 2015-01-10 | 2021-12-12 | |
| 1986-02-27 | 1996-02-07 | 2006-02-18 | 2016-12-14 | 2021-12-28 |
| Metric Name | Calculation Formula | Meaning |
|---|---|---|
| Percent of Landscape (PLAND) | : The area of the j-th patch belonging to the i-th class (e.g., green space), measured in square meters or number of pixels. : The total number of plaques in that category. : The total area of all patches in that category (e.g., green space). | |
| Number of Patches (NP) | : Refers to the total number of patches in a given landscape type (e.g., green space, forest land, construction land, etc.). | |
| Largest Patch Index (LPI) | (e.g., green space). : The total area of the entire landscape. | |
| Edge Density (ED) | (e.g., green space). : The total area of the entire landscape. |
| Cooling Ability | 1990s–1980s | 2000s–1990s | 2010s–2000s | 2020s–2010s | 2020s–1980s |
|---|---|---|---|---|---|
| Weakened | 18.4% | 21.0% | 18.4% | 10.7% | 15.1% |
| Transition | 63.6% | 58.50% | 64.2% | 76.9% | 59.5% |
| Enhanced | 18.0% | 20.50% | 17.4% | 12.4% | 25.4% |
Disclaimer/Publisher’s Note: The statements, opinions and data contained in all publications are solely those of the individual author(s) and contributor(s) and not of MDPI and/or the editor(s). MDPI and/or the editor(s) disclaim responsibility for any injury to people or property resulting from any ideas, methods, instructions or products referred to in the content. |
© 2025 by the authors. Licensee MDPI, Basel, Switzerland. This article is an open access article distributed under the terms and conditions of the Creative Commons Attribution (CC BY) license (https://creativecommons.org/licenses/by/4.0/).
Share and Cite
Wang, C.; Yang, C.; Wang, H.; Yang, L. Spatiotemporal Evolution and Driving Factors of the Cooling Capacity of Urban Green Spaces in Beijing over the Past Four Decades. Sustainability 2025, 17, 9500. https://doi.org/10.3390/su17219500
Wang C, Yang C, Wang H, Yang L. Spatiotemporal Evolution and Driving Factors of the Cooling Capacity of Urban Green Spaces in Beijing over the Past Four Decades. Sustainability. 2025; 17(21):9500. https://doi.org/10.3390/su17219500
Chicago/Turabian StyleWang, Chao, Chaobin Yang, Huaiqing Wang, and Lilong Yang. 2025. "Spatiotemporal Evolution and Driving Factors of the Cooling Capacity of Urban Green Spaces in Beijing over the Past Four Decades" Sustainability 17, no. 21: 9500. https://doi.org/10.3390/su17219500
APA StyleWang, C., Yang, C., Wang, H., & Yang, L. (2025). Spatiotemporal Evolution and Driving Factors of the Cooling Capacity of Urban Green Spaces in Beijing over the Past Four Decades. Sustainability, 17(21), 9500. https://doi.org/10.3390/su17219500

