Comparative Impacts of Organic and Inorganic Fertilizers on the Restoration of Rangeland in the Semi-Arid Regions of Saudi Arabia
Abstract
1. Introduction
2. Materials and Methods
2.1. Site Description and Plant Selection
2.2. Experimental Design
2.3. Seedling Preparation and Transplantation
2.4. Growth Parameters Assessment
2.5. Statistical Analysis
3. Results
3.1. Effect of Soil Fertilization on Plant Height
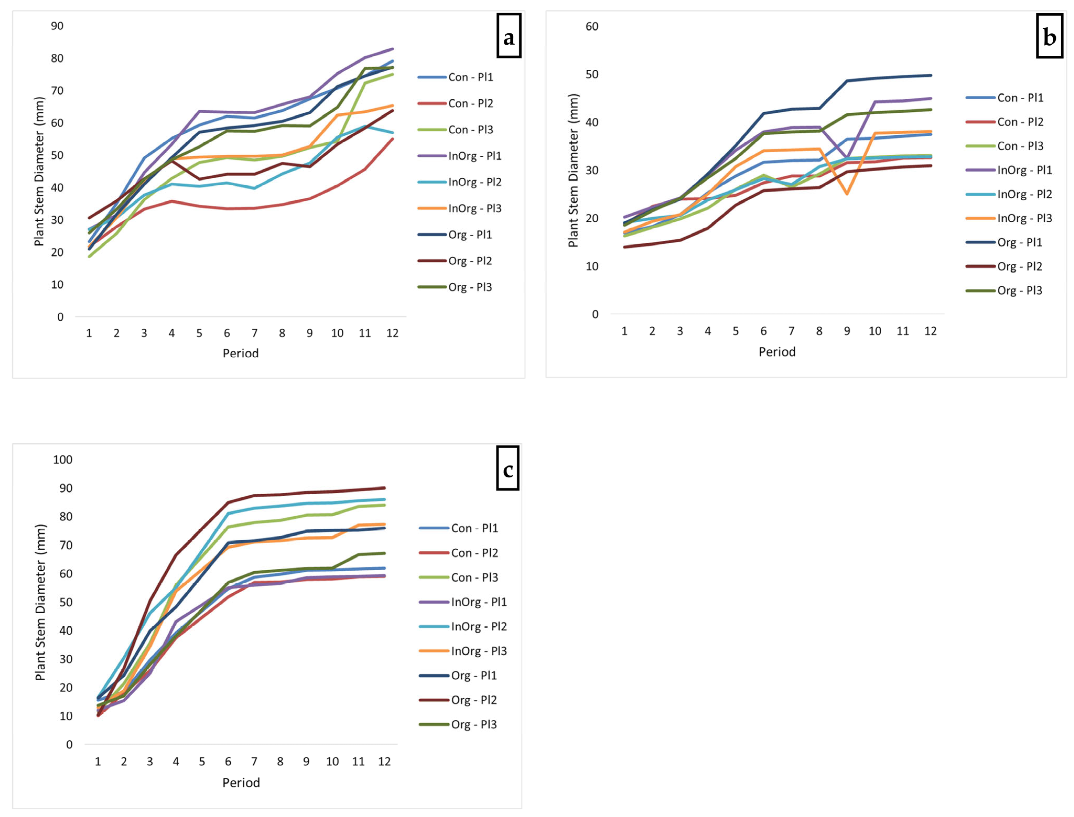
3.2. Effect of Fertilization on Stem Diameter
3.3. Effect of Fertilization on Crown Size Ratio
4. Discussion
5. Conclusions and Future Perspective
Author Contributions
Funding
Data Availability Statement
Acknowledgments
Conflicts of Interest
References
- Al-Quraishi, A.M.F. Geoinformatics Approaches to Climate Change-Induced Soil Degradation in the MENA Region: A Review. In Climate Change and Environmental Degradation in the MENA Region; Springer: Berlin/Heidelberg, Germany, 2024; pp. 131–152. [Google Scholar]
- Mehmood, T.; Hassan, M.A.; Ashraf, A.; Ilić, P.; Peng, L.; Bibi, S.; Sattar, M.; Bilal, M.; Ali, L.; Yousaf, H. Changing carbon dynamics under climate change and land degradation in MENA region: Prospective of innovative management practices. In Climate Change and Environmental Degradation in the MENA Region; Springer: Berlin/Heidelberg, Germany, 2024; pp. 3–27. [Google Scholar]
- Al-Rowaily, S.L.; El-Bana, M.I.; Al-Bakre, D.A.; Assaeed, A.M.; Hegazy, A.K.; Ali, M.B. Effects of open grazing and livestock exclusion on floristic composition and diversity in natural ecosystem of Western Saudi Arabia. Saudi J. Biol. Sci. 2015, 22, 430–437. [Google Scholar] [CrossRef]
- El-Juhany, L.I. Forestland degradation and potential rehabilitation in southwest Saudi Arabia. Aust. J. Basic Appl. Sci. 2009, 3, 2677–2696. [Google Scholar]
- Gallacher, D.J. Arid rangeland degradation in an oil-rich Gulf state; inertia of perceived heritage and pro-agricultural policies. Horiz. Earth Sci. Res. 2010, 1, 335–350. [Google Scholar]
- Ma, D.; Teng, W.; Mo, Y.-T.; Yi, B.; Chen, W.-L.; Pang, Y.-P.; Wang, L. Effects of nitrogen, phosphorus, and potassium fertilization on plant growth, element levels in plants and soil, and the relationships among nutrient concentrations, plant yield, and nutrient status in Erythropalum scandens (Blume). J. Plant Nutr. 2024, 47, 82–96. [Google Scholar] [CrossRef]
- Bindraban, P.S.; Dimkpa, C.; Nagarajan, L.; Roy, A.; Rabbinge, R. Revisiting fertilisers and fertilisation strategies for improved nutrient uptake by plants. Biol. Fertil. Soils 2015, 51, 897–911. [Google Scholar] [CrossRef]
- Aziz, M.A.; Khan, K.S.; Khalid, R.; Shabaan, M.; Alghamdi, A.G.; Alasmary, Z.; Majrashi, M.A. Integrated application of biochar and chemical fertilizers improves wheat (Triticum aestivum) productivity by enhancing soil microbial activities. Plant Soil 2024, 502, 433–448. [Google Scholar] [CrossRef]
- Rashmi, I.; Roy, T.; Kartika, K.S.; Pal, R.; Coumar, V.; Kala, S.; Shinoji, K.C. Organic and inorganic fertilizer contaminants in agriculture: Impact on soil and water resources. In Contaminants in Agriculture: Sources, Impacts and Management; Springer: Berlin/Heidelberg, Germany, 2020; pp. 3–41. [Google Scholar]
- Gurmessa, B. Soil acidity challenges and the significance of liming and organic amendments in tropical agricultural lands with reference to Ethiopia. Environ. Dev. Sustain. 2021, 23, 77–99. [Google Scholar] [CrossRef]
- Louhaichi, M.; Yigezu, Y.A.; Werner, J.; Dashtseren, L.; El-Shater, T.; Ahmed, M. Financial incentives: Possible options for sustainable rangeland management? J. Environ. Manag. 2016, 180, 493–503. [Google Scholar] [CrossRef] [PubMed]
- Bhunia, S.; Bhowmik, A.; Mallick, R.; Mukherjee, J. Agronomic efficiency of animal-derived organic fertilizers and their effects on biology and fertility of soil: A review. Agronomy 2021, 11, 823. [Google Scholar] [CrossRef]
- Aziz, M.A.; Wattoo, F.M.; Khan, F.; Hassan, Z.; Mahmood, I.; Anwar, A.; Karim, M.F.; Akram, M.T.; Manzoor, R.; Khan, K.S. Biochar and polyhalite fertilizers improve soil’s biochemical characteristics and sunflower (Helianthus annuus L.) yield. Agronomy 2023, 13, 483. [Google Scholar] [CrossRef]
- Aziz, M.A.; Zahra, S.; Adil, B.; Naserin, A.; Hameed, M.A.; Ali, I.; Ahmed, T.; Ahmad, A. Effect of Different Levels of Copper Oxide (CuO) Nanoparticles and Biochar on Soil’s Microbial Activities and Maize (Zea mays L.) Growth. J. Soil Sci. Plant Nutr. 2025, 1–18. [Google Scholar] [CrossRef]
- Verma, B.C.; Pramanik, P.; Bhaduri, D. Organic fertilizers for sustainable soil and environmental management. In Nutrient Dynamics for Sustainable Crop Production; Springer: Berlin/Heidelberg, Germany, 2019; pp. 289–313. [Google Scholar]
- Khan, M.T.; Aleinikovienė, J.; Butkevičienė, L.-M. Innovative organic fertilizers and cover crops: Perspectives for sustainable agriculture in the era of climate change and organic agriculture. Agronomy 2024, 14, 2871. [Google Scholar] [CrossRef]
- Singh, T.B.; Ali, A.; Prasad, M.; Yadav, A.; Shrivastav, P.; Goyal, D.; Dantu, P.K. Role of organic fertilizers in improving soil fertility. In Contaminants in Agriculture: Sources, Impacts and Management; Springer: Berlin/Heidelberg, Germany, 2020; pp. 61–77. [Google Scholar]
- Shahane, A.A.; Shivay, Y.S. Soil health and its improvement through novel agronomic and innovative approaches. Front. Agron. 2021, 3, 680456. [Google Scholar] [CrossRef]
- Hammad, H.M.; Khaliq, A.; Abbas, F.; Farhad, W.; Fahad, S.; Aslam, M.; Shah, G.M.; Nasim, W.; Mubeen, M.; Bakhat, H.F. Comparative effects of organic and inorganic fertilizers on soil organic carbon and wheat productivity under arid region. Commun. Soil Sci. Plant Anal. 2020, 51, 1406–1422. [Google Scholar] [CrossRef]
- Wang, X.; Ren, Y.; Zhang, S.; Chen, Y.; Wang, N. Applications of organic manure increased maize (Zea mays L.) yield and water productivity in a semi-arid region. Agric. Water Manag. 2017, 187, 88–98. [Google Scholar] [CrossRef]
- Allam, M.; Radicetti, E.; Quintarelli, V.; Petroselli, V.; Marinari, S.; Mancinelli, R. Influence of organic and mineral fertilizers on soil organic carbon and crop productivity under different tillage systems: A meta-analysis. Agriculture 2022, 12, 464. [Google Scholar] [CrossRef]
- Yanga, M.; Mutengwa, C.S.; Patrick, M.; Dzvene, A.R. Biogas Slurry as a Sustainable Organic Fertilizer for Sorghum Production in Sandy Soils: A Review of Feedstock Sources, Application Methods, and Agronomic Impacts. Agronomy 2025, 15, 1683. [Google Scholar] [CrossRef]
- Zhang, J.; Sun, C.; Liu, G.; Xue, S. Effects of long-term fertilisation on aggregates and dynamics of soil organic carbon in a semi-arid agro-ecosystem in China. PeerJ 2018, 6, e4758. [Google Scholar] [CrossRef]
- Shi, J.; Zhou, H.; Xu, M.; Zhang, Q.; Li, J.; Wang, J. Fertilization highly increased the water use efficiency of spring maize in dryland of northern china: A meta-analysis. Agronomy 2023, 13, 1331. [Google Scholar] [CrossRef]
- Wang, X.; Liu, M.; Ciampitti, I.A.; Cui, J.; Fang, K.; Zhao, S.; He, P.; Zhou, W. Benefits and trade-offs of replacing inorganic fertilizer by organic substrate in crop production: A global meta-analysis. Sci. Total Environ. 2024, 925, 171781. [Google Scholar] [CrossRef]
- Sun, Y.; Ma, L.; Zhang, M. Effects of fertilizer addition on soil organic carbon content in Chinese farmland: A meta-analysis. Arid Land Res. Manag. 2024, 38, 161–181. [Google Scholar] [CrossRef]
- Ma, Q.; Wen, Y.; Wang, D.; Sun, X.; Hill, P.W.; Macdonald, A.; Chadwick, D.R.; Wu, L.; Jones, D.L. Farmyard manure applications stimulate soil carbon and nitrogen cycling by boosting microbial biomass rather than changing its community composition. Soil Biol. Biochem. 2020, 144, 107760. [Google Scholar] [CrossRef]
- Amoako, O.A.; Adjebeng-Danquah, J.; Agyare, R.Y.; Akley, E.K.; Abeka, H.; Yirzagla, J.; Tengey, T.K.; Teinor, P.; Alhassan, R.; Ibrahim, A.A. Effect of Combined Application of Organic Farming Aid (OFA) and Inorganic Fertilizers on the Growth and Yield of Maize and Soil Microbial Properties in the Guinea Savannah Agro-Ecological Zone of Ghana. Am. J. Plant Sci. 2023, 14, 1180–1206. [Google Scholar] [CrossRef]
- El-Juhany, L.; Ahmad, I.; Baig, M.B.; Nawaz, M.F.; Asif, M.; Rashid, M.H.U.; Shaheen, M. Fostering the Sustainable Forest Management in Saudi Arabia from Resilience and Mitigation Perspectives. In The Food Security, Biodiversity, and Climate Nexus; Springer: Berlin/Heidelberg, Germany, 2022; pp. 287–308. [Google Scholar]
- Sethi, D.; Subudhi, S.; Rajput, V.D.; Kusumavathi, K.; Sahoo, T.R.; Dash, S.; Mangaraj, S.; Nayak, D.K.; Pattanayak, S.K.; Minkina, T. Exploring the role of mycorrhizal and rhizobium inoculation with organic and inorganic fertilizers on the nutrient uptake and growth of Acacia mangium saplings in acidic soil. Forests 2021, 12, 1657. [Google Scholar] [CrossRef]
- Alharbi, A.; Rehan, M. Microbiome Analysis of Rhizosphere Soil of Wild Succulent Shrubs Zygophyllum coccineum and Haloxylon salicornicum. Agronomy 2025, 15, 717. [Google Scholar] [CrossRef]
- Alasmary, Z.; Majrashi, M.A.; Aziz, M.A.; Mumtaz, B. Combined application of biochar and PGPR alleviates Cd stress in wheat by improving antioxidant defense mechanism and crop physiology. Int. J. Phytoremediation 2025, 1–16. [Google Scholar] [CrossRef]
- Khan, A.; Liu, X.-D.; Waseem, M.; Qi, S.-H.; Ghimire, S.; Hasan, M.M.; Fang, X.-W. Divergent Nitrogen, Phosphorus, and Carbon Concentrations among Growth Forms, Plant Organs, and Soils across Three Different Desert Ecosystems. Forests 2024, 15, 607. [Google Scholar] [CrossRef]
- Zhao, G.; Tariq, A.; Mu, Z.; Zhang, Z.; Graciano, C.; Cong, M.; Dong, X.; Sardans, J.; Al-Bakre, D.A.; Penuelas, J. Allocation Patterns and Strategies of Carbon, Nitrogen, and Phosphorus Densities in Three Typical Desert Plants. Plants 2025, 14, 1595. [Google Scholar] [CrossRef]
- Yang, Q.; Zheng, F.; Jia, X.; Liu, P.; Dong, S.; Zhang, J.; Zhao, B. The combined application of organic and inorganic fertilizers increases soil organic matter and improves soil microenvironment in wheat-maize field. J. Soils Sediments 2020, 20, 2395–2404. [Google Scholar] [CrossRef]
- Usman, M.; Mirza, S.A.; Fatima, B. Climate resilience in Indian jujube (Ziziphus mauritiana Lam.) and other jujube species. In Cultivation for Climate Change Resilience; CRC Press: Boca Raton, FL, USA, 2023; Volume 1, pp. 241–271. [Google Scholar]
- Rani, R.; Singh, J.P.; Sanyal, A.; Rajora, M.P.; Trivedi, A. Lasiurus sindicus Henr., a key perennial fodder grass for desert ecosystem. Arid Land Res. Manag. 2023, 37, 1–19. [Google Scholar] [CrossRef]
- Dhiman, S.; Kumar, S.; Baliyan, N.; Dheeman, S.; Maheshwari, D.K. Cattle dung manure microbiota as a substitute for mineral nutrients and growth management practices in plants. In Endophytes: Mineral Nutrient Management; Springer: Berlin/Heidelberg, Germany, 2021; Volume 3, pp. 77–103. [Google Scholar]
- Sagar, S.; Singh, A.; Bala, J.; Chauhan, R.; Kumar, R.; Badiyal, A.; Walia, A. Plant growth-promoting bacteria from dung of indigenous and exotic cow breeds and their effect on the growth of pea plant in sustainable agriculture. Biotechnol. Environ. 2025, 2, 3. [Google Scholar] [CrossRef]
- Ali, A.A.I.; El-Ashry, R.M.; Aioub, A.A.A. Animal manure rhizobacteria co-fertilization suppresses phytonematodes and enhances plant production: Evidence from field and greenhouse. J. Plant Dis. Prot. 2022, 129, 155–169. [Google Scholar] [CrossRef]
- Behera, S.S.; Ray, R.C. Bioprospecting of cowdung microflora for sustainable agricultural, biotechnological and environmental applications. Curr. Res. Microb. Sci. 2021, 2, 100018. [Google Scholar] [CrossRef] [PubMed]
- Naveed, M.; Zulekha, R.; Khan, K.S.; Younas, N.; Qadeer, M.F.; Brtnicky, M.; Holatko, J.; Mustafa, A. Unveiling the potential of acidified cow dung in combination with plant growth promoting endophytes on growth, physiology, and yield improvement of maize in salt-affected soil. Arab. J. Geosci. 2023, 16, 551. [Google Scholar] [CrossRef]
- Afzal, S.; Muhammad, D.; Ullah, R.; Adnan, M.; Saeed, B.; Alzayed, R.M.; Alhajouj, S.A.; Alaida, M.F.; Ahmad, M.; Altalhi, A. Interactive effect of humic acid and farmyard manure on soil health and microbial activity in calcareous soil. Pak. J. Bot 2025, 57, 871–876. [Google Scholar] [CrossRef]
- Nair, P.K.R.; Kumar, B.M.; Nair, V.D. Soil organic matter (SOM) and nutrient cycling. In An Introduction to Agroforestry: Four Decades of Scientific Developments; Springer: Berlin/Heidelberg, Germany, 2022; pp. 383–411. [Google Scholar]
- Gerke, J. The central role of soil organic matter in soil fertility and carbon storage. Soil Syst. 2022, 6, 33. [Google Scholar] [CrossRef]
- Abubaker, J.; Alaswd, A.; Mohammed, N.S.; Zeadani, H.E.; Khalifa, M. Alfalfa (Medicago sativa L.) growth and yield in desert soil fertilized with raw and anaerobically digested cattle manure. J. Plant Nutr. 2022, 45, 992–1003. [Google Scholar] [CrossRef]
- El Moussaoui, H.; Idardare, Z.; Bouqbis, L. The Link Between High Vigor and Physiological Parameters of Alfalfa Grown in Two Fertilization Modes: Classic Based on Chemical Fertilizers and Manure and Modern Based on Biocompost and Biochar Under and Without Deficit Water. J. Soil Sci. Plant Nutr. 2024, 24, 1968–1989. [Google Scholar] [CrossRef]
- Alharbi, S.; Felemban, A.; Abdelrahim, A.; Al-Dakhil, M. Agricultural and Technology-based strategies to improve water-use efficiency in Arid and Semiarid areas. Water 2024, 16, 1842. [Google Scholar] [CrossRef]
- Wang, S.; Li, Y.; Li, Q.; Ku, X.; Pan, G.; Xu, Q.; Wang, Y.; Liu, Y.; Zeng, S.; Fahad, S. The after-effect of organic fertilizer varies among climate conditions in China: A meta-analysis. Agronomy 2024, 14, 551. [Google Scholar] [CrossRef]
- Aryal, J.P.; Sapkota, T.B.; Krupnik, T.J.; Rahut, D.B.; Jat, M.L.; Stirling, C.M. Factors affecting farmers’ use of organic and inorganic fertilizers in South Asia. Environ. Sci. Pollut. Res. 2021, 28, 51480–51496. [Google Scholar] [CrossRef] [PubMed]
- Ayamba, B.E.; Abaidoo, R.C.; Opoku, A.; Ewusi-Mensah, N. Enhancing the fertilizer value of cattle manure using organic resources for soil fertility improvement: A review. J. Bioresour. Manag. 2021, 8, 9. [Google Scholar] [CrossRef]
- Rehman, A.; Nawaz, S.; Alghamdi, H.A.; Alrumman, S.; Yan, W.; Nawaz, M.Z. Effects of manure-based biochar on uptake of nutrients and water holding capacity of different types of soils. Case Stud. Chem. Environ. Eng. 2020, 2, 100036. [Google Scholar] [CrossRef]
- Rasool, A.; Ghani, A.; Nawaz, R.; Ahmad, S.; Shahzad, K.; Rebi, A.; Ali, B.; Zhou, J.; Ahmad, M.I.; Tahir, M.F. Effects of poultry manure on the growth, physiology, yield, and yield-related traits of maize varieties. ACS Omega 2023, 8, 25766–25779. [Google Scholar] [CrossRef]
- Chafik, Y.; Sena-Velez, M.; Henaut, H.; Missbah El Idrissi, M.; Carpin, S.; Bourgerie, S.; Morabito, D. Synergistic Effects of Compost and Biochar on Soil Health and Heavy Metal Stabilization in Contaminated Mine Soils. Agronomy 2025, 15, 1295. [Google Scholar] [CrossRef]
- Aziz, M.A.; Adil, B.; Ali, I.; Alghamdi, A.G. Role of biochar and PGPR in improving soil biochemical characteristics and maize growth under Cr contamination. Int. J. Phytoremediat. 2025, 27, 1154–1168. [Google Scholar] [CrossRef]
- Sun, X.; Chen, F.; Yuan, L.; Mi, G. The physiological mechanism underlying root elongation in response to nitrogen deficiency in crop plants. Planta 2020, 251, 84. [Google Scholar] [CrossRef]
- Liu, Z.; Zhao, Y.; Guo, S.; Cheng, S.; Guan, Y.; Cai, H.; Mi, G.; Yuan, L.; Chen, F. Enhanced crown root number and length confers potential for yield improvement and fertilizer reduction in nitrogen-efficient maize cultivars. Field Crops Res. 2019, 241, 107562. [Google Scholar] [CrossRef]
- Huang, C.J.; Wei, G.; Jie, Y.C.; Xu, J.J.; Anjum, S.A.; Tanveer, M. Effect of shade on plant traits, gas exchange and chlorophyll content in four ramie cultivars. Photosynthetica 2016, 54, 390–395. [Google Scholar] [CrossRef]
- Wasaya, A.; Manzoor, S.; Yasir, T.A.; Sarwar, N.; Mubeen, K.; Ismail, I.A.; Raza, A.; Rehman, A.; Hossain, A.; El Sabagh, A. Evaluation of fourteen bread wheat (Triticum aestivum L.) genotypes by observing gas exchange parameters, relative water and chlorophyll content, and yield attributes under drought stress. Sustainability 2021, 13, 4799. [Google Scholar] [CrossRef]
- Geremew, A.; Carson, L.; Woldesenbet, S.; Carpenter, C.; Peace, E.; Weerasooriya, A. Interactive effects of organic fertilizers and drought stress on growth and nutrient content of Brassica juncea at vegetative stage. Sustainability 2021, 13, 13948. [Google Scholar] [CrossRef]
- Jing, J.; Zhang, S.; Yuan, L.; Li, Y.; Zhang, Y.; Zhao, B. Synergistic effects of humic acid and phosphate fertilizer facilitate root proliferation and phosphorus uptake in low-fertility soil. Plant Soil 2022, 478, 491–503. [Google Scholar] [CrossRef]
- Abbas, K.; Javed, M.; Aslam, S.; Butt, F.R.; Al-Ansari, M.M.; Elshikh, M.S.; Ijaz, M.K.; Ali, H.; Aziz, M.; Mahmood, U. Co-application of potassium and thiourea for mitigating salinity stress in wheat seedlings. Sci. Rep. 2025, 15, 14689. [Google Scholar] [CrossRef] [PubMed]
- Hasanuzzaman, M.; Bhuyan, M.H.M.B.; Nahar, K.; Hossain, M.S.; Mahmud, J.A.; Hossen, M.S.; Masud, A.A.C.; Moumita; Fujita, M. Potassium: A vital regulator of plant responses and tolerance to abiotic stresses. Agronomy 2018, 8, 31. [Google Scholar] [CrossRef]
- Joseph, K.E. Studies on Effect of Temporal and Architectural Tree Characteristics on Yield and Quality of Mango Cultivars. Ph.D. Thesis, Dr. Yashwant Singh Parmar University of Horticulture and Forestry, Nauni, India, 2023. [Google Scholar]
- Kröner, K.; Larysch, E.; Schindler, Z.; Obladen, N.; Frey, J.; Stangler, D.F.; Seifert, T. Influence of crown morphology and branch architecture on tree radial growth of drought-affected Fagus sylvatica L. For. Ecosyst. 2024, 11, 100237. [Google Scholar] [CrossRef]
- Nizar, K.M.; Tan, C.C.; Masya, M.F.E. Psychological effects of arbuscular mychorrhiza fungi reducing chemical fertilizer on the growth of oil palm seedling. IOP Conf. Ser. Earth Environ. Sci. 2023, 1167, 012017. [Google Scholar] [CrossRef]
- Zainuddin, N.; Keni, M.F.; Ibrahim, S.A.S.; Masri, M.M.M. Effect of integrated biofertilizers with chemical fertilizers on the oil palm growth and soil microbial diversity. Biocatal. Agric. Biotechnol. 2022, 39, 102237. [Google Scholar] [CrossRef]
- Gürel, S. Effects of kitchen waste compost and chemical fertilizer application on spinach (Spinacia oleracea L.) cv Matador plant growth and nitrate accumulation. J. Plant Nutr. 2024, 47, 1246–1261. [Google Scholar] [CrossRef]




| Al-Tamiryyat (Al-Jouf) | ||||||||||||||
|---|---|---|---|---|---|---|---|---|---|---|---|---|---|---|
| Depth | Sand (%) | Silt (%) | Clay (%) | Texture | BD (g cm−3) | SMC (%) | CaCO3 | pH | EC (dS m−1) | TOC (%) | OM (%) | N (mg kg−1) | P (mg kg−1) | K (mg kg−1) |
| D1 | 77.5 | 6.7 | 15.8 | Sandy Loam | 1.75 | 0.95 | 15 | 7.65 | 0.13 | 0.28 | 0.48 | 16.80 | 0.75 | 150.0 |
| D2 | 73.5 | 8.7 | 17.8 | Sandy Loam | 2.37 | 19.4 | 7.8 | 0.15 | 0.16 | 0.28 | 11.20 | 0.9 | 170.0 | |
| Al-Sahwa (Al-Madina) | ||||||||||||||
| D1 | 80.6 | 3.3 | 16.1 | Sandy Loam | 1.63 | 1.8 | 7.0 | 7.9 | 0.13 | 0.38 | 0.65 | 19.0 | 0.15 | 183.0 |
| D2 | 79.3 | 4.7 | 16.1 | Sandy Loam | 1.9 | 8.5 | 7.9 | 0.11 | 0.39 | 0.67 | 18.6 | 0.15 | 182.0 | |
| Al-Fuhaihil (Thadiq) | ||||||||||||||
| D1 | 78.3 | 6.3 | 15.4 | Sandy Loam | 1.64 | 2.3 | 51.0 | 8.0 | 0.12 | 0.48 | 0.83 | 10.1 | 2.04 | 91.8 |
| D2 | 79.8 | 4.5 | 15.6 | Sandy Loam | 2.0 | 54.2 | 8.0 | 0.12 | 0.42 | 0.72 | 12.9 | 2.26 | 69.6 | |
| ANOVA of Plant Height at Al-Tamiryyat (Al-Jouf) | |||||
|---|---|---|---|---|---|
| Source of Variation | df | Sum of Squares | Mean Square | F-Value | p-Value |
| Soil Amendment (SA) | 2 | 733.095 | 366.548 | 5.052 | 0.007 |
| Plant Type (PT) | 2 | 1260.331 | 630.166 | 8.686 | 0.000 |
| Time Period (P) | 11 | 32,583.794 | 2962.163 | 40.828 | 0.000 |
| SA × PT | 4 | 854.733 | 213.683 | 2.945 | 0.021 |
| SA × P | 22 | 650.728 | 29.579 | 0.408 | 0.992 |
| PT × P | 22 | 4556.093 | 207.095 | 2.854 | 0.000 |
| SA × PT × P | 44 | 955.256 | 21.710 | 0.299 | 1.000 |
| Residuals | 216 | 15,671.144 | 72.552 | ||
| ANOVA of Plant Height at Al-Sahwa (Al-Madina) | |||||
| Source of Variation | df | Sum of Squares | Mean Square | F-Value | p-Value |
| Soil Amendment (SA) | 2 | 4292.637 | 2146.319 | 5.502 | 0.005 |
| Plant Type (PT) | 2 | 51,240.430 | 25,620.215 | 65.672 | 0.000 |
| Time Period (P) | 11 | 86,443.058 | 7858.460 | 20.144 | 0.000 |
| SA × PT | 4 | 653.369 | 163.342 | 0.419 | 0.795 |
| SA × P | 22 | 1850.085 | 84.095 | 0.216 | 1.000 |
| PT × P | 22 | 4716.189 | 214.372 | 0.549 | 0.951 |
| SA × PT × P | 44 | 3619.454 | 82.260 | 0.211 | 1.000 |
| Residuals | 216 | 84,266.687 | 390.124 | ||
| ANOVA of Plant Height at Al-Sahwa Al-Fuhaihil (Thadiq) | |||||
| Source of Variation | df | Sum of Squares | Mean Square | F-Value | p-Value |
| Soil Amendment (SA) | 2 | 733.095 | 366.548 | 5.052 | 0.007 |
| Plant Type (PT) | 2 | 1260.331 | 630.166 | 8.686 | 0.000 |
| Time Period (P) | 11 | 32,583.794 | 2962.163 | 40.828 | 0.000 |
| SA × PT | 4 | 854.733 | 213.683 | 2.945 | 0.021 |
| SA × P | 22 | 650.728 | 29.579 | 0.408 | 0.992 |
| PT × P | 22 | 4556.093 | 207.095 | 2.854 | 0.000 |
| SA × PT × P | 44 | 955.256 | 21.710 | 0.299 | 1.000 |
| Residuals | 216 | 15,671.144 | 72.552 | ||
| ANOVA of Stem Diameter at Al-Tamiryyat (Al-Jouf) | |||||
|---|---|---|---|---|---|
| Source of Variation | df | Sum of Squares | Mean Square | F-Value | p-Value |
| Soil Amendment (SA) | 2 | 142.095 | 71.047 | 8.220 | 0.000 |
| Plant Type (PT) | 2 | 1520.978 | 760.489 | 87.984 | 0.000 |
| Time Period (P) | 11 | 5883.332 | 534.848 | 61.878 | 0.000 |
| SA × PT | 4 | 238.747 | 59.687 | 6.905 | 0.000 |
| SA × P | 22 | 39.306 | 1.787 | 0.207 | 1.000 |
| PT × P | 22 | 510.047 | 23.184 | 2.682 | 0.000 |
| SA × PT × P | 44 | 87.297 | 1.984 | 0.230 | 1.000 |
| Residuals | 216 | 1867.002 | 8.644 | ||
| ANOVA of Stem Diameter at Al-Sahwa (Al-Madina) | |||||
| Source of Variation | df | Sum of Squares | Mean Square | F-Value | p-Value |
| Soil Amendment (SA) | 2 | 101.060 | 50.530 | 6.418 | 0.002 |
| Plant Type (PT) | 2 | 366.117 | 183.059 | 23.251 | 0.000 |
| Time Period (P) | 11 | 1738.016 | 158.001 | 20.068 | 0.000 |
| SA × PT | 4 | 183.912 | 45.978 | 5.840 | 0.000 |
| SA × P | 22 | 91.356 | 4.153 | 0.527 | 0.961 |
| PT × P | 22 | 89.202 | 4.055 | 0.515 | 0.966 |
| SA × PT × P | 44 | 31.532 | 0.717 | 0.091 | 1.000 |
| Residuals | 216 | 1700.621 | 7.873 | ||
| ANOVA of Stem Diameter at Al-Fuhaihil (Thadiq) | |||||
| Source of Variation | df | Sum of Squares | Mean Square | F-Value | p-Value |
| Soil Amendment (SA) | 2 | 142.095 | 71.047 | 8.220 | 0.000 |
| Plant Type (PT) | 2 | 1520.978 | 760.489 | 87.984 | 0.000 |
| Time Period (P) | 11 | 5883.332 | 534.848 | 61.878 | 0.000 |
| SA × PT | 4 | 238.747 | 59.687 | 6.905 | 0.000 |
| SA × P | 22 | 39.306 | 1.787 | 0.207 | 1.000 |
| PT × P | 22 | 510.047 | 23.184 | 2.682 | 0.000 |
| SA × PT × P | 44 | 87.297 | 1.984 | 0.230 | 1.000 |
| Residuals | 216 | 1867.002 | 8.644 | ||
| ANOVA of Crown Size Ratio at Al-Tamiryyat (Al-Jouf) | |||||
|---|---|---|---|---|---|
| Source of Variation | df | Sum of Squares | Mean Square | F-Value | p-Value |
| Soil Amendment (SA) | 2 | 5.134 | 2.567 | 1.103 | 0.334 |
| Plant Type (PT) | 2 | 118.167 | 59.083 | 25.380 | 0.000 |
| Time Period (P) | 11 | 614.617 | 55.874 | 24.001 | 0.000 |
| SA × PT | 4 | 1.926 | 0.482 | 0.207 | 0.934 |
| SA × P | 22 | 70.931 | 3.224 | 1.385 | 0.123 |
| PT × P | 22 | 102.293 | 4.650 | 1.997 | 0.007 |
| SA × PT × P | 44 | 38.059 | 0.865 | 0.372 | 1.000 |
| Residuals | 216 | 502.845 | 2.328 | ||
| ANOVA of Crown Size Ratio at Al-Sahwa (Al-Madina) | |||||
| Source of Variation | df | Sum of Squares | Mean Square | F-Value | p-Value |
| Soil Amendment (SA) | 2 | 18.233 | 9.116 | 5.317 | 0.006 |
| Plant Type (PT) | 2 | 72.841 | 36.420 | 21.242 | 0.000 |
| Time Period (P) | 11 | 455.190 | 41.381 | 24.136 | 0.000 |
| SA × PT | 4 | 6.557 | 1.639 | 0.956 | 0.433 |
| SA × P | 22 | 13.148 | 0.598 | 0.349 | 0.997 |
| PT × P | 22 | 92.038 | 4.184 | 2.440 | 0.001 |
| SA × PT × P | 44 | 16.115 | 0.366 | 0.214 | 1.000 |
| Residuals | 216 | 370.335 | 1.715 | ||
| ANOVA of Crown Size Ratio at Al-Sahwa Al-Fuhaihil (Thadiq) | |||||
| Source of Variation | df | Sum of Squares | Mean Square | F-Value | p-Value |
| Soil Amendment (SA) | 2 | 5.134 | 2.567 | 1.103 | 0.334 |
| Plant Type (PT) | 2 | 118.167 | 59.083 | 25.380 | 0.000 |
| Time Period (P) | 11 | 614.617 | 55.874 | 24.001 | 0.000 |
| SA × PT | 4 | 1.926 | 0.482 | 0.207 | 0.934 |
| SA × P | 22 | 70.931 | 3.224 | 1.385 | 0.123 |
| PT × P | 22 | 102.293 | 4.650 | 1.997 | 0.007 |
| SA × PT × P | 44 | 38.059 | 0.865 | 0.372 | 1.000 |
| Residuals | 216 | 502.845 | 2.328 | ||
Disclaimer/Publisher’s Note: The statements, opinions and data contained in all publications are solely those of the individual author(s) and contributor(s) and not of MDPI and/or the editor(s). MDPI and/or the editor(s) disclaim responsibility for any injury to people or property resulting from any ideas, methods, instructions or products referred to in the content. |
© 2025 by the authors. Licensee MDPI, Basel, Switzerland. This article is an open access article distributed under the terms and conditions of the Creative Commons Attribution (CC BY) license (https://creativecommons.org/licenses/by/4.0/).
Share and Cite
Ezzat, S.; Gaiballa, A.; Majrashi, M.A.; Alasmary, Z.; Ibrahim, H.M.; Harbi, M.A.; Abldubise, A.; Alqahtani, M.A.; Alghamdi, A.G. Comparative Impacts of Organic and Inorganic Fertilizers on the Restoration of Rangeland in the Semi-Arid Regions of Saudi Arabia. Sustainability 2025, 17, 9253. https://doi.org/10.3390/su17209253
Ezzat S, Gaiballa A, Majrashi MA, Alasmary Z, Ibrahim HM, Harbi MA, Abldubise A, Alqahtani MA, Alghamdi AG. Comparative Impacts of Organic and Inorganic Fertilizers on the Restoration of Rangeland in the Semi-Arid Regions of Saudi Arabia. Sustainability. 2025; 17(20):9253. https://doi.org/10.3390/su17209253
Chicago/Turabian StyleEzzat, Sahar, Abdelaziz Gaiballa, Mosaed A. Majrashi, Zafer Alasmary, Hesham M. Ibrahim, Meshal Abdullah Harbi, Abdullah Abldubise, Munirah Ayid Alqahtani, and Abdulaziz G. Alghamdi. 2025. "Comparative Impacts of Organic and Inorganic Fertilizers on the Restoration of Rangeland in the Semi-Arid Regions of Saudi Arabia" Sustainability 17, no. 20: 9253. https://doi.org/10.3390/su17209253
APA StyleEzzat, S., Gaiballa, A., Majrashi, M. A., Alasmary, Z., Ibrahim, H. M., Harbi, M. A., Abldubise, A., Alqahtani, M. A., & Alghamdi, A. G. (2025). Comparative Impacts of Organic and Inorganic Fertilizers on the Restoration of Rangeland in the Semi-Arid Regions of Saudi Arabia. Sustainability, 17(20), 9253. https://doi.org/10.3390/su17209253

