Next Article in Journal
Spatial Variability of Rainfall and Vulnerability Assessment of Water Resources Infrastructure for Adaptive Management Implementation in Ceará, Brazil
Previous Article in Journal
Effects of River Migration and Water-Sediment Regulation Scheme on Total Nitrogen Transport in the Yellow River Estuary
 
 
Font Type:
Arial Georgia Verdana
Font Size:
Aa Aa Aa
Line Spacing:
Column Width:
Background:
Article

Revenue Distribution in Manufacturer–University Collaborative R&D for Industrial Generic Technologies

1
School of Management, Jiangsu University, Zhenjiang 212013, China
2
Faculty of Civil Engineering and Mechanics, Jiangsu University, Zhenjiang 212013, China
*
Author to whom correspondence should be addressed.
Sustainability 2025, 17(20), 9142; https://doi.org/10.3390/su17209142
Submission received: 10 September 2025 / Revised: 13 October 2025 / Accepted: 14 October 2025 / Published: 15 October 2025
(This article belongs to the Topic Green Technology Innovation and Economic Growth)

Abstract

The collaborative model between manufacturers and universities represents a primary mechanism for achieving deep cross-organizational synergy in the development of industrial generic technologies. Establishing a scientific and equitable benefit-distribution mechanism is crucial for building efficient and sustainable collaborative partnerships between these heterogeneous entities. With manufacturers as the principal incentive provider, this study incorporates the heterogeneity of both parties and develops dynamic game-theoretic models under both decentralized and centralized decision-making modes to investigate the optimal profit-sharing mechanism and its underlying operational logic. The findings indicate that when both the manufacturer’s and the university’s efforts contribute to the outcome, profit sharing is essential regardless of the decision-making modes to incentivize cooperation. Moreover, the profit distribution coefficient is determined solely by each party’s relative contribution weight. In the presence of bilateral moral hazard, manufacturers attain higher profits under decentralized decision-making compared to the centralized mode, leading to a preference for decentralized schemes. Universities, conversely, exhibit the opposite preference. Nevertheless, the decentralized decision-making mode is found to maximize the overall benefits for industrial generic technology collaboration. Theoretically, this research extends the framework of cooperative innovation and benefit distribution into contexts involving heterogeneous actors and multiple decision-making regimes, offering a novel dynamic game-based perspective for cross-organizational collaborative governance. Practically, it provides actionable insights for mechanism design in manufacturer–university partnerships, contributing significantly to improving the efficiency and sustainability of such collaborations.

1. Introduction

Industrial generic technologies (IGTs) constitute foundational and supportive shared technological systems that transcend industrial and organizational boundaries [1]. Serving as critical linkages between fundamental scientific research and commercial applications, they facilitate structural upgrades in traditional industries and support the emergence of new industrial sectors. The development of IGTs involves two interdependent phases: front-end sourcing (technology identification and research grounded in basic science) and downstream diffusion (commercial-oriented adoption and marketization) [2]. As pre-competitive “quasi-public goods” characterized by infrastructural supportiveness, inter-industrial relevance, and innovation fertility, IGTs encounter dual uncertainties, such as technological risk in sourcing and market risk in diffusion [3]. These challenges are compounded by substantial R&D investments, high technical complexity, extended development cycles, and knowledge externalities that render market mechanisms insufficient, leading to systematic underinvestment by individual organizations [4]. In response, cross-organizational collaboration, where manufacturers act as the primary participants alongside universities and research institutes, has gained prominence in both academic discourse and global practice [5]. Within contemporary innovation ecosystems, universities demonstrate comparative advantages in IGT sourcing due to their specialized basic research capabilities, while manufacturers lead IGT diffusion as value-realizing entities. The resulting co-creation paradigm enables synergistic resource complementarity and enhances innovation efficiency through the deep integration of universities’ theoretical and frontier research capacities with manufacturers’ operational proficiency and market-driven insights [6]. This alignment has proven instrumental in advancing innovation-driven industrial development and strengthening sectoral competitiveness, as exemplified by successful applications across various national contexts [7]. For instance, in the renewable energy sector, Germany’s Fraunhofer Society has collaborated with industrial partners such as Siemens to translate fundamental research from academia into applied solutions, including high-efficiency wind turbine designs and grid stability technologies, significantly enhancing the global competitiveness of its wind power industry. Similarly, in the field of advanced materials, the Ulsan National Institute of Science and Technology (UNIST) and LG Chem established a joint research center in South Korea, co-developing high-energy-density cathode materials for lithium-ion batteries, which accelerated the commercialization of next-generation power batteries and solidified the country’s leading position in battery manufacturing.
Coccia characterized IGTs as foundational technological enablers with cross-sectoral applicability, playing a pivotal role in supporting sustained innovation in proprietary technologies [8]. Owing to their inherently good public characteristics, IGTs frequently experience chronic under-provision when relying solely on individual enterprises, resulting in systemic innovation failures. Consequently, global policymakers and academics have increasingly prioritized IGT advancement. Valipour et al. demonstrated that the collaborative innovation significantly reduced R&D costs and risks while accelerating the resource integration in the European semiconductor industry [9]. Building on this, Liao et al. asserted that complementary R&D strategies and organizational learning management enhanced productivity in telecommunications IGTs, thereby improving capital returns [10]. Lawniczuk et al. further identified multi-agent platform architectures as institutional mechanisms for addressing under-provision in photonic integrated circuits, with notable applications in the Photon Delta consortium in the Netherlands [11]. Scholarly consensus underscores that cross-organizational cooperation mitigates knowledge fragmentation by leveraging heterogeneous capabilities. Therefore, fostering collaborative commitment is essential for IGT success [2]. A well-structured contractual framework for benefit distribution serves as a key determinant for building and sustaining innovation partnerships, enabling mutual benefits through deepened collaboration [12]. As illustrated by Liu et al., collaborative efficiency functions as the core mechanism for IGT development, with empirical evidence from Chinese high-speed rail and electric vehicle battery alliances showing a 30% reduction in time-to-market through effective benefit-sharing mechanisms [13]. Efficient R&D pathway selection requires precise identification of governing factors and their underlying operational logics. This necessitates formal modeling of participant behavior and incentive structures [14]. Mahdiraji et al. developed a reference-dependent incentive mechanism using non-cooperative payoffs as benchmarks to optimize stakeholder allocation in university-industry partnerships [15]. Long-Yue et al. constructed a government-led bilateral incentive framework that reconciled enterprise and research institution interests under conditions of information asymmetry [16]. Silvestri et al. applied evolutionary game theory to quantify the cost–benefit impacts on strategic stability, validating the effectiveness of dual incentive–sanction mechanisms in resolving value co-creation dilemmas [17].
Existing research on cross-organizational benefit allocation for IGTs primarily follows three analytical orientations: (1) mechanism design approaches that investigate revenue-sharing and cost-bearing structures (e.g., enterprise–university cost-sharing frameworks); (2) factor impact analyses that quantify exogenous influences (e.g., information asymmetry, power imbalance, and capability heterogeneity) on allocation outcomes; and (3) game-theoretic formalizations that model cooperative mechanisms and profit distribution rules. In fact, in the collaborative R&D of IGTs, manufacturers and universities tend to form different decision-making models depending on factors such as the decision environment, sequence, and objectives [18]. These differences in decision-making models further lead to variations in profit distribution mechanisms and agent behaviors-for instance, a manufacturer-led decentralized decision-making model aimed at maximizing individual benefits, or a centralized decision-making model where both parties make simultaneous decisions to maximize system-wide benefits. Therefore, research on revenue distribution between manufacturers and universities must account for the influence of decision-making models on behavioral strategies. Thus, it is essential to move beyond the traditional framework of bilateral static game theory and incorporate the diversity of decision-making models and their dynamic interactions into the analytical perspective. Existing studies are largely confined to static allocation mechanisms under single-decision scenarios, failing to adequately reflect the strategic complexities arising from real-world differences in decision sequence, power structure, and collaboration objectives. There is also a notable lack of dynamic characterization of adaptive agent behaviors and the evolutionary processes of system equilibrium.
This study aims to develop a game-theoretic model that incorporates both decentralized and centralized decision-making modes, analyzing how manufacturers and universities adjust profit distribution strategies according to the selected decision-making mode during collaborative R&D of IGTs. It further investigates the dynamic evolutionary pathways and stable equilibrium of interactive strategies between the two parties. To present the research theme with greater clarity and precision, the structure of this paper is organized into six sections (Figure 1). Section 1 serves as the Introduction, outlining the research background, contextualizing the study through a literature review, and clarifying the research framework and significance. Section 2, Theoretical Model Assumptions, elaborates on the hypotheses underlying the game-theoretic model, laying the groundwork for the model development in Section 3. Section 3, Game Model Construction and Solution Under Different Decision-Making Mechanisms, builds upon the assumptions established in Section 2 to develop benefit allocation game models between manufacturers and universities under both decentralized and centralized decision-making structures, followed by the derivation of equilibrium solutions. Section 4, Comparative Analysis of Different Decision-Making Mechanisms, examines the outcomes obtained in Section 3, comparing the decision-making behaviors of both parties and their influencing factors across different mechanisms, leading to key findings. Section 5, Numerical Analysis, employs MATLAB R2024a-based simulations to further validate and illustrate the conclusions drawn in Section 4. Section 6, Conclusion, summarizes the main findings, discusses theoretical and practical implications, acknowledges limitations, and suggests directions for future research. In this study, to better illustrate the behavioral patterns of manufacturers and universities under different decision-making mechanisms and their influencing factors during the revenue distribution process, we specifically examine how cost coefficients, revenue-sharing ratios, and contribution weights affect both parties’ effort levels, the level of guaranteed benefits, and the total revenue of collaborative projects. This analysis serves to achieve the research objectives and validate the effectiveness of the study.
By revealing the inherent coordination mechanism between collaboration efficiency and distribution fairness under multiple decision-making modes, this research not only enriches the theoretical framework of cross-organizational collaboration and overcomes the static limitations of traditional revenue distribution studies but also offers practical insights for innovation agents to optimize collaboration strategies and enhance synergistic efficiency in diverse decision-making environments. These contributions hold theoretical and practical value for promoting sustainable R&D and systematic coordination of IGTs.

2. Theoretical Model Assumptions

The R&D of IGTs can be divided into two major phases. In the first phase, universities provide foundational technical support, based on which manufacturers conduct further R&D to commercialize the technology, enabling market distribution and revenue generation. During this stage, knowledge flows internally within the manufacturer–university collaboration entity without generating knowledge spillover effects. The second phase begins upon successful collaboration, resulting in joint patents that may produce knowledge spillovers. This study focuses on the revenue distribution mechanism in the first phase, where the outcome of cooperation is uncertain (either success or failure).
Manufacturers engage in cross-organizational collaborations with universities to advance novel technology development and optimize production processes. Within this framework, universities contribute their theoretical research capabilities to develop IGTs, whereas manufacturers apply market-oriented capacities to improve product quality and production efficiency through technology deployment [19]. To incentivize the generation of high-quality innovation outputs, performance-contingent contracts are established between manufacturers and universities, incorporating upfront funding commitments and variable profit-sharing mechanisms. In such conditions, manufacturers, as the technology demand side and resource investors, act as the incentive principal in the collaboration. Their core objective is to motivate universities to deliver high-quality technological outcomes, thereby enhancing production efficiency and product quality, strengthening market competitiveness, and achieving greater economic benefits [20]. As the incentive agents, universities leverage their research capabilities and knowledge resources, with primary goals centered on securing R&D funding, elevating academic influence, and facilitating the commercialization of research outcomes. Due to significant differences in resource endowment, objective functions, and risk tolerance, the bargaining positions of the two parties exhibit asymmetry: manufacturers typically possess greater market information and control over financial resources, granting them a dominant role and stronger negotiating power in the collaboration [21]. Although universities excel in technical expertise, they are relatively disadvantaged in terms of industrialization experience and financial scale, often relying heavily on corporate resource support. These disparities in position and objectives further lead to strategic gaming behaviors in the design of revenue distribution mechanisms [22]. Throughout the collaboration process, the two parties engage in dynamic bargaining around key parameters such as the level of R&D investment, quality standards of outcomes, and profit-sharing ratios. Ultimately, through negotiation or institutional design, they reach an incentive-compatible equilibrium, thereby ensuring the stability and efficiency of cross-organizational collaboration [12].
During the collaborative process, effective communication mechanisms and feedback loops facilitate rapid iteration of technological outcomes, thereby enhancing the practical application of research findings [23]. The following assumptions were made:
Assumption 1. 
The total output function of collaborative efforts between manufacturers and universities is characterized by a Cobb–Douglas production function dependent on the respective effort levels of both parties [24,25], that is, Equation (1).
G e 1 , e 2 = q e 1 θ e 2 ( 1 θ ) + ε
where  e 1  and  e 2  denote the effort levels of the manufacturer and university, respectively;  θ  ( 0 < θ < 1 ) is the contribution weight of the manufacturer;  1 θ  is the contribution weight of the university; q ( q > 0 ) represents the collaborative synergy coefficient, determined by technology maturity and strategic importance; and  ε ~ N 0 , δ 2  captures the stochastic influence of exogenous factors on output [26]. The Cobb–Douglas function is chosen as the aggregate production function because the efforts of the manufacturer and university satisfy the following characteristics:
G ( e 1 , 0 ) = G ( 0 , e 2 ) = 0 ; lim e 2 G ( e 1 , e 2 ) e 1 = lim e 1 G ( e 1 , e 2 ) e 2 =
This indicates that during collaborative efforts, no output is generated if either party fails to contribute, whereas a high level of effort by one party enhances the output as the other party’s effort increases. This aligns with the intrinsic nature of synergy in collaboration. The parameters  θ and 1 θ represent the contribution weights of the effort levels of the manufacturer and university, respectively, to the total output. These parameters reflect the sensitivity of the total output to the efforts of each party and indicate their relative importance in the collaborative process. A higher value of  θ denotes greater sensitivity of the total output to the effort of the manufacturer, while a higher value of  1 θ implies greater sensitivity to the effort of the university. The values of  θ and 1 θ are determined by the inherent attributes of the manufacturer and university involved.
Assumption 2. 
The effort cost functions for the manufacturer and university are expressed as follows:
K 1 = 1 2 m 1 e 1 2 ;   K 2 = 1 2 m 2 e 2 2
where m 1 , m 2 > 0 denote their respective effort cost coefficients. As both parties increase their effort inputs within the IGT R&D collaboration, their corresponding effort costs follow a monotonically increasing trend [27], satisfying the conditions  ( K 1 ) e 1 > 0 , ( K 2 ) e 2 > 0 .
Assumption 3. 
Building on the optimality of linear incentive schemes in cooperative contexts [28], the manufacturer’s revenue-sharing contract with the university can be modeled as Equation (4).
I = s + ( 1 μ ) G
where s is the fixed payment to the university, G is the total output from the IGT R&D project,  μ and 1 μ ( 0 < μ < 1 ) represent the revenue-sharing ratios for the manufacturer and university, respectively.
Assumption 4. 
Within the IGT R&D collaboration framework, the manufacturer acts as a risk-neutral incentive principal. Accordingly, the certainty-equivalent revenue M is expressed as Equation (5).
M = μ q e 1 θ e 2 ( 1 θ ) 1 2 m 1 e 1 2 s
The university is characterized as a risk-averse preference, with strategic emphasis placed on systematic risk management and project evaluation. Its incurred risk cost is defined as Equation (6).
K r C = 1 2 ρ C ( 1 μ ) 2 σ C 2
where ρ C > 0 denotes the absolute risk aversion coefficient, and σ C 2 > 0 represents the variance of revenue streams. Accordingly, the university’s certainty-equivalent revenue C is expressed as Equation (7).
C = s + ( 1 μ ) q e 1 θ e 2 ( 1 θ ) 1 2 m 2 e 2 2 1 2 ρ C ( 1 μ ) 2 σ C 2
The aggregate certainty-equivalent revenue P of the ICT R&D ecosystem jointly formed by the manufacturer and university is formally defined as Equation (8).
P = q e 1 θ e 2 ( 1 θ ) 1 2 m 1 e 1 2 1 2 m 2 e 2 2 1 2 ρ C ( 1 μ ) 2 σ C 2

3. Model Construction and Solution Under Different Decision-Making Mechanisms

This section examined the influence of decentralized and centralized decision-making architectures on strategic interactions within cross-organizational IGT R&D collaborations. Specifically, the analysis focused on their impact on agents’ effort levels, individual revenue allocations, and overall project value creation. In decentralized regimes, decision-making authority was distributed to autonomous agents, each of whom independently optimized the outcomes based on individual utility maximization principles. Despite their autonomy, strategic interdependence resulted from mutual game-theoretic interactions. In contrast, centralized decision-making involved the joint determination of effort investments and revenue-sharing parameters to maximize the aggregate project surplus. Two distinct moral hazard scenarios were considered: (1) the absence of moral hazard, characterized by perfect information symmetry and strict contractual compliance, which facilitated the transparent coordination of efforts and benefits, and (2) the bilateral moral hazard stemming from information asymmetry and insufficient incentives, wherein both agents may engage in opportunistic behavior to appropriate private gains.

3.1. Decentralized Decision-Making Mechanism

Under a decentralized decision-making model, the manufacturer and university independently determine their respective levels of effort. In this context, their interaction follows a Stackelberg game framework, with the manufacturer acting as the leader and the university as the follower [29]. The manufacturer, aiming to maximize its own profit, first establishes its effort level and the corresponding profit-sharing ratio. Subsequently, the university, responding to the manufacturer’s decisions, determines its own effort level based on the profit distribution scheme proposed by the manufacturer.
Accordingly, the first-order partial derivative of Equation (7) with respect to e 2 was computed and set to zero, that is, C e 2 = 0 , yielding Equations (9) and (10).
C e 2 = ( 1 θ ) ( 1 μ ) q e 1 θ e 2 θ m 2 e 2 = 0
e 2 = [ ( 1 θ ) ( 1 μ ) q e 1 θ m 2 ] 1 1 + θ
Upon incorporating the university’s optimal response, the manufacturer subsequently optimized its own strategy. Substituting Equation (10) into Equation (5) yielded the manufacturer’s certainty-equivalent revenue as Equation (11).
M = μ q 2 1 + θ e 1 2 θ 1 + θ [ ( 1 θ ) ( 1 μ ) m 2 ] 1 θ 1 + θ 1 2 m 1 e 1 2 s
The first-order partial derivatives of Equation (11) with respect to μ and e 1 were computed and set to zero, thereby deriving the necessary conditions for optimality, that is system of Equation (12).
M μ = q 2 1 + θ e 1 2 θ 1 + θ [ ( 1 θ ) ( 1 μ ) m 2 ] 1 θ 1 + θ [ 1 μ ( 1 θ ) ( 1 + θ ) ( 1 μ ) ] = 0 M e 1 = 2 μ θ 1 + θ q 2 1 + θ [ ( 1 θ ) ( 1 μ ) m 2 ] 1 θ 1 + θ e 1 θ 1 1 + θ m 1 e 1 = 0
In Equation (12), the first equation M μ = q 2 1 + θ e 1 2 θ 1 + θ [ ( 1 θ ) ( 1 μ ) m 2 ] 1 θ 1 + θ [ 1 μ ( 1 θ ) ( 1 + θ ) ( 1 μ ) ] = 0 contains μ as the sole unknown variable to be solved. This equation comprises three multiplicative terms, and the product of these terms equals zero. The first term is q 2 1 + θ e 1 2 θ 1 + θ . As θ > 0 , q > 0 , then q 2 1 + θ e 1 2 θ 1 + θ > 0 . The second term is [ ( 1 θ ) ( 1 μ ) m 2 ] 1 θ 1 + θ . As 0 < θ < 1 ,   0 < μ < 1 , we can get 0 < 1 θ < 1 , 0 < 1 μ < 1 ; then, [ ( 1 θ ) ( 1 μ ) m 2 ] 1 θ 1 + θ > 0 . So the last term [ 1 μ ( 1 θ ) ( 1 + θ ) ( 1 μ ) ] must be zero, that is, [ 1 μ ( 1 θ ) ( 1 + θ ) ( 1 μ ) ] = 0 . From [ 1 μ ( 1 θ ) ( 1 + θ ) ( 1 μ ) ] = 0 , we easily get u D = 1 + θ 2 . Substituting u D = 1 + θ 2 into M e 1 = 0 yields the manufacturer’s optimal effort level e 1 D = q θ m 1 1 + θ 2 ( 1 θ ) 2 2 m 2 1 θ 2 . Further substituting e 1 D into Equation (12) gives the university’s optimal effort level e 2 D = q θ m 1 θ 2 ( 1 θ ) 2 2 m 2 2 θ 2 . Substituting e 1 D and e 2 D into Equations (7), (8) and (11) yields the certainty-equivalent payoffs of the manufacturer and university as M D = 1 2 q 2 ( θ m 1 ) θ 1 θ 2 2 m 2 1 θ s , C D = s + 1 θ 2 4 q 2 ( θ m 1 ) θ 1 θ 2 2 m 2 1 θ 1 8 ρ C 1 θ 2 σ C 2 , and the system-wide certainty-equivalent payoff P D = 3 θ 2 4 q 2 ( θ m 1 ) θ 1 θ 2 2 m 2 1 θ 1 8 ρ C 1 θ 2 σ C 2 .

3.2. Centralized Decision-Making Mechanism

Under a centralized decision-making framework, manufacturers and universities collaboratively determine the effort levels and revenue allocation to maximize the joint benefits of industrial generic technology R&D projects [7]. This framework encompasses two scenarios differentiated by the presence or absence of moral hazard under information symmetry: one without moral hazard and the other with bilateral moral hazard. In both scenarios, the university’s risk aversion cost is embedded within its optimal certainty-equivalent payoff. Importantly, the analysis centers on aggregate project revenue, rather than isolating the university’s risk aversion cost, as the university’s primary role lies in technological innovation and knowledge generation, where risk aversion exerts a limited direct influence on R&D outcomes.
(1)
Scenario Absent Moral Hazard
In the absence of moral hazard, both parties transparently pursue the maximization of joint R&D project value. According to Equation (8), the optimal certainty-equivalent payoff for the project is given by Equation (13).
M a x e 1 , e 2   P = M a x e 1 , e 2 [ q e 1 θ e 2 ( 1 θ ) 1 2 m 1 e 1 2 1 2 m 2 e 2 2 ]
To derive the optimal solutions, the first-order partial derivatives of Equation (13) with respect to e 1 and e 2 are computed and set to zero. Solving the resulting system of equations yields the system of Equation (14).
θ q e 1 ( θ 1 ) e 2 ( 1 θ ) m 1 e 1 = 0 ( 1 θ ) q e 1 θ e 2 θ m 2 e 2 = 0
Then, e 1 = q ( θ m 1 ) 1 + θ 2 ( 1 θ m 2 ) 1 θ 2 and e 2 = q ( θ m 1 ) θ 2 ( 1 θ m 2 ) 2 θ 2 .
Under centralized decision-making without moral hazard, both parties focus exclusively on maximizing the joint project benefit. The optimal effort level of the manufacturer is e 1 N = q θ m 1 1 + θ 2 1 θ m 2 1 θ 2 . The optimal effort level of the university is e 2 N = q θ m 1 θ 2 1 θ m 2 2 θ 2 . Substituting e 1 N = q θ m 1 1 + θ 2 1 θ m 2 1 θ 2 and e 2 N = q θ m 1 θ 2 1 θ m 2 2 θ 2 into Equation (8), we can obtain the certainty-equivalent payoff of the IGT R&D system P N = 1 2 q 2 ( θ m 1 ) θ ( 1 θ m 2 ) 1 θ .
(2)
Bilateral Moral Hazard Scenario
Under bilateral moral hazard and centralized governance, information asymmetry and environmental uncertainty incentivize opportunistic behavior by both parties, prioritizing individual payoff maximization [30]. In this context, the centralized decision-making mechanism imposes contractual constraints and alignment incentives to coordinate joint project objectives and achieve maximal system-wide benefits despite moral hazard. The optimal certainty-equivalent payoff for an IGT R&D system is as follows:
M a x e 1 , e 2 , μ   P = M a x e 1 , e 2 , μ [ q e 1 θ e 2 ( 1 θ ) 1 2 m 1 e 1 2 1 2 m 2 e 2 2 ]
s .   t .   e 1 arg M a x [ e 1 μ q e 1 θ e 2 ( 1 θ ) 1 2 m 1 e 1 2 s ]
e 2 arg M a x e 2 [ s + ( 1 μ ) q e 1 θ e 2 ( 1 θ ) 1 2 m 2 e 2 2 1 2 ρ C ( 1 μ ) 2 σ C 2 ]
To derive optimal solutions, the first-order partial derivatives of Equation (16) with respect to e 1 and Equation (17) with respect to e 2 were computed. Setting both derivatives to zero yields the system of Equation (18).
μ θ q e 1 θ 1 e 2 1 θ m 1 e 1 = 0 ( 1 θ ) ( 1 μ ) q e 1 θ e 2 θ m 2 e 2 = 0
Solving the resulting system of Equation (18) yields Equation (19).
e 1 = q ( μ θ m 1 ) 1 + θ 2 [ ( 1 μ ) ( 1 θ ) m 2 ] 1 θ 2 ;   e 2 = q ( μ θ m 1 ) θ 2 [ ( 1 μ ) ( 1 θ ) m 2 ] 2 θ 2
Substituting Equation (19) into Equation (15) gives Equation (20).
M a x μ P = M a x μ [ q 2 ( θ m 1 ) θ ( 1 θ m 2 ) ( 1 θ ) μ θ ( 1 μ ) 1 θ ( 1 + μ + θ 2 μ θ ) ]
Differentiating Equation (16) with respect to μ yields Equation (21).
q 2 2 ( θ m 1 ) θ ( 1 θ m 2 ) 1 θ μ θ 1 ( 1 μ ) θ [ 2 ( θ 1 ) μ 2 2 2 θ 2 + θ μ + θ 2 + θ ] = 0
In Equation (21), since q 2 2 ( θ m 1 ) θ ( 1 θ m 2 ) 1 θ μ θ 1 ( 1 μ ) θ 0 , it follows that 2 ( θ 1 ) μ 2 2 2 θ 2 + θ μ + θ 2 + θ = 0 . Solving under this condition yields the manufacturer’s optimal revenue-sharing ratio u B = θ ( 1 + θ ) θ ( 1 + θ ) + θ ( 1 + θ ) ( θ 1 ) ( θ 2 ) . Substituting u B = θ ( 1 + θ ) θ ( 1 + θ ) + θ ( 1 + θ ) ( θ 1 ) ( θ 2 ) into Equation (19) yields the manufacturer’s optimal effort level e 1 B = 1 2 ( 1 2 θ ) q θ m 1 1 + θ 2 1 θ m 2 1 θ 2 [ θ ( 1 + θ ) ( θ 1 ) ( θ 2 ) ] 1 + θ 4 [ ( θ 1 ) ( θ 2 ) θ ( 1 + θ ) ( θ 1 ) ( θ 2 ) ] , and the university’s optimal effort level e 2 B = 1 2 ( 1 2 θ ) q θ m 1 θ 2 1 θ m 2 2 θ 2 [ θ ( 1 + θ ) ( θ 1 ) ( θ 2 ) ] θ 4 [ ( θ 1 ) ( θ 2 ) θ ( 1 + θ ) ( θ 1 ) ( θ 2 ) ] . Substituting u B and e 1 B into Equation (11) yields the manufacturer’s optimal deterministic payoff M B = 2 θ 4 ( 1 2 θ ) 2 q 2 ( θ m 1 ) θ 1 θ m 2 1 θ [ θ ( 1 + θ ) ( θ 1 ) ( θ 2 ) ] θ 2 [ ( 1 θ + θ 2 ) θ ( 1 + θ ) ( θ 1 ) ( θ 2 ) θ ( 1 + θ ) ( θ 1 ) ( θ 2 ) ] s . Substituting u B , e 1 B and e 2 B into Equations (7) and (8) yields the university’s optimal deterministic payoff C B = s + ( 1 + θ ) ( θ 1 ) ( θ 2 ) 4 ( 1 2 θ ) 2 q 2 ( θ m 1 ) θ ( 1 θ m 2 ) 1 θ [ θ ( 1 + θ ) ( θ 1 ) ( θ 2 ) ] θ 2 [ ( 1 θ + θ 2 ) θ ( 1 + θ ) ( θ 1 ) ( θ 2 ) ] 1 2 ρ C ( θ 1 ) ( θ 2 ) θ ( 1 + θ ) + θ ( 1 + θ ) ( θ 1 ) ( θ 2 ) + ( θ 1 ) ( θ 2 ) σ C 2 and the IGTs R&D system’s optimal deterministic payoff P B = 2 θ 4 ( 1 2 θ ) q 2 ( θ m 1 ) θ 1 θ m 2 1 θ [ θ ( 1 + θ ) ( θ 1 ) ( θ 2 ) ] θ 2 [ ( 1 + θ ) ( 1 θ ) 2 θ θ ( 1 + θ ) ( θ 1 ) ( θ 2 ) ] .

4. Comparative Analysis of Different Decision-Making Mechanisms

Based on the equilibrium outcomes of the two distinct decision-making modes summarized in Table 1, an analysis of the behavioral decision-making mechanisms, profit distribution patterns, and their underlying interactions between manufacturer and university in cross-organizational collaborative R&D of IGTs leads to the following conclusions.
Theorem 1. 
In both decentralized and centralized decision-making mechanisms characterized by bilateral moral hazard, the certainty-equivalent income of the university exhibits a negative correlation with its absolute risk aversion coefficient and the degree of return volatility.
Proof of Theorem 1. 
From Equation (6), it can be derived that ρ C , σ C > 0 . Under the decentralized decision-making framework, the first-order partial derivatives of C D with respect to ρ C , σ C are derived as C D ρ C = 1 8 ( 1 θ ) 2 σ C 2 < 0 , C D σ C = 1 4 ρ C ( 1 θ ) 2 σ C < 0 . Under centralized decision-making mechanisms characterized by bilateral moral hazard, the first-order partial derivatives of C D with respect to ρ C , σ C are derived as C B ρ C = 1 2 ( θ 1 ) ( θ 2 ) θ ( 1 + θ ) + θ ( 1 + θ ) ( θ 1 ) ( θ 2 ) + ( θ 1 ) ( θ 2 ) σ C 2 < 0 and C B σ C = ρ C ( θ 1 ) ( θ 2 ) θ ( 1 + θ ) + θ ( 1 + θ ) ( θ 1 ) ( θ 2 ) + ( θ 1 ) ( θ 2 ) σ C < 0 . □
For universities, an increase in risk aversion implies that decision-makers tend to avoid potential losses and adopt more conservative strategies, preferring low-risk, low-return approaches, which reduces the overall certainty-equivalent income. Meanwhile, greater income volatility further amplifies this conservatism, leading to a more pronounced decline in certainty-equivalent income.
This finding reveals that in the collaborative R&D of IGTs, it is essential to establish a partnership mechanism between manufacturers and universities centered on risk sharing, guided by profit distribution as a linkage, and oriented toward long-term collaboration. On one hand, manufacturers should bear more financial and trial-and-error risks in the early stages of R&D, while mitigating universities’ initial risk exposure through phased risk transfer mechanisms such as third-party guarantees or insurance. On the other hand, both parties should develop an intertemporal collaboration framework involving iterative R&D, continuous optimization, and trust accumulation to gradually enhance their tolerance to volatility, ultimately achieving optimal synergistic innovation efficacy under controlled risk conditions.
Theorem 2. 
Regardless of the decision-making mechanism, the cost coefficient of either party is negatively correlated with both agents’ effort levels, their deterministic payoffs, and the project’s total revenue.
Proof of Theorem 2. 
Let 0 < θ < 1 denote the manufacturer’s contribution weight in the R&D consortium, and m 1 , m 2 > 0 represent the effort cost coefficients of the manufacturer and university, respectively. Under the decentralized decision-making, the first-order partial derivatives of e 1 D , e 2 D , M D , C D , P D with respect to m 1 , m 2 satisfy the following: e 1 D m 1 = ( 1 + θ ) q 2 m 1 θ m 1 1 + θ 2 ( 1 θ ) 2 2 m 2 1 θ 2 < 0 , e 1 D m 2 = ( θ 1 ) q 4 m 2 θ m 1 1 + θ 2 ( 1 θ ) 2 2 m 2 1 θ 2 < 0 , e 2 D m 1 = θ q 2 m 1 θ m 1 θ 2 ( 1 θ ) 2 2 m 2 2 θ 2 < 0 , e 2 D m 2 = ( θ 2 ) q 4 m 2 θ m 1 θ 2 ( 1 θ ) 2 2 m 2 2 θ 2 < 0 , M D m 1 = θ q 2 2 m 1 ( θ m 1 ) θ 1 θ 2 2 m 2 1 θ < 0 , M D m 2 = ( θ 1 ) q 2 4 m 2 ( θ m 1 ) θ 1 θ 2 2 m 2 1 θ < 0 , C D m 1 = ( θ 2 1 ) θ q 2 4 m 1 ( θ m 1 ) θ 1 θ 2 2 m 2 1 θ < 0 , C D m 2 = ( 1 θ ) 2 ( 1 + θ ) q 2 8 m 2 ( θ m 1 ) θ 1 θ 2 2 m 2 1 θ < 0 , P D m 1 = ( θ 2 3 ) θ q 2 4 m 1 ( θ m 1 ) θ 1 θ 2 2 m 2 1 θ < 0 , P D m 2 = ( θ 2 3 ) ( 1 θ ) q 2 8 m 2 ( θ m 1 ) θ 1 θ 2 2 m 2 1 θ < 0 . Similar derivations extend to the centralized decision-making scenario, establishing an inverse relationship between cost coefficients and equilibrium decision parameters in both moral hazard settings. □
Rising costs can directly suppress effort investments: higher costs discourage the manufacturer from increasing R&D inputs, reducing e 1 ; resource constraints compel the university to curtail efforts, lowering e 2 . Systemic reductions in M, C, and P underscore cost control as a critical success factor. This requires rational resource allocation and cost management by both parties to ensure R&D efficiency and long-term partnership sustainability.
This finding reveals that in the R&D of IGTs, cost control exerts a decisive influence on the effectiveness and efficiency of collaboration between the parties involved. It is essential to establish a cost monitoring and coordinated allocation mechanism to achieve refined cost management, thereby ensuring the sustainability and collaborative efficiency of joint R&D efforts for IGTs. Furthermore, the introduction of government subsidies or third-party venture capital can help mitigate initial cost pressures, enhancing both parties’ tolerance for long-term high-cost R&D activities.
Theorem 3. 
The optimal revenue-sharing ratio must be strictly interior ( 0 < θ < 1 ), as both agents contribute non-trivially to IGT outputs ( μ > 0 and 1 μ > 0 ). This ratio is exclusively determined by relative contribution weights.
Proof of Theorem 3. 
Under decentralized decision-making, the optimal sharing ratio can satisfy μ D = 1 + θ 2 . Given 0 < θ < 1 , it directly follows that 0 < μ D < 1 . Differentiation yields μ D θ = 1 2 > 0 , establishing a positive relationship between θ and μ D . Symmetrical logic applies to the university’s share. For the centralized bilateral moral hazard scenario, μ B = θ ( 1 + θ ) θ ( 1 + θ ) + θ ( 1 + θ ) ( θ 1 ) ( θ 2 ) > 0 ; thus, 0 < μ B < 1 . As μ B α θ = 2 θ + 1 2 θ 2 [ θ ( 1 + θ ) ( θ 1 ) ( θ 2 ) ] 1 2 [ θ ( 1 + θ ) + θ ( 1 + θ ) ( θ 1 ) ( θ 2 ) ] 2 > 0 , the manufacturer’s revenue share θ increases strictly with its output contribution weight μ D . Symmetrically, a university’s revenue share increases monotonically with its contribution weight. □
As the partner’s output contribution weight increases, its equilibrium revenue share μ increases strictly. Specifically, when the manufacturer’s contribution weight increases, it secures a higher revenue share to incentivize its marginal inputs. Conversely, an increase in the university’s contribution weight increases its share while reducing the manufacturer’s allocation.
This finding reveals that the core principle of profit distribution in collaboration between the manufacturer and university is the determination of benefit shares by contribution weights. Essentially, it establishes an incentive-compatible mechanism linked to marginal contributions, aligning individual objectives with collective goals. From a game-theoretic perspective, this design constructs a non-zero-sum game: when one party increases its benefit share by enhancing its contribution weight, it does not merely deprive the other party’s vested interests but achieves Pareto improvement by expanding the overall benefits. Such a dynamic adjustment mechanism effectively mitigates free-riding behavior while incentivizing both parties to sustain high-quality resource investments.
Theorem 4. 
Under bilateral moral hazard with decentralized or centralized decision-making, the fixed payment s exhibits rigorous neutrality towards the university’s effort decisions.
Proof of Theorem 4. 
Under decentralized decision-making and bilateral moral hazard settings with centralized decision-making mechanisms, C D s = C B s = 1 . Thus, fixed payment s induces a linear transformation in the university’s payoff C, characterized by a constant marginal effect. Regardless of the numerical variations in s, the university’s payoff changes in a constant proportion. □
This finding reveals the limited incentive effect and structural role of fixed payments in collaborative contexts. From a mechanistic perspective, fixed compensation essentially functions as a risk buffer, safeguarding universities’ basic returns on initial R&D investments. However, due to its linear nature, it fails to provide marginal incentivizing effects. Consequently, universities’ decision-making logic tends to rely more heavily on variable reward mechanisms-such as output-based profit sharing or intellectual property rights—which more accurately reflect the actual value of their effort levels and thereby stimulate greater innovation engagement.
Theorem 5. 
Under decentralized decision-making, the effort levels of both manufacturers and universities progressively increase in response to their respective return-sharing allocations. In contrast, under centralized decision-making with bilateral moral hazard, the manufacturer’s effort level initially rises but subsequently declines as the profit-sharing ratio increases, while the university’s effort level consistently decreases as the manufacturer’s revenue share expands.
Proof of Theorem 5. 
Based on Theorem 3, the optimal revenue-sharing allocation satisfies 1 2 < μ < 1 . Under decentralized mechanisms, the partial derivative of the manufacturer’s effort level e 1 D with respect to μ is given by e 1 D μ = q 2 μ 1 m 1 μ 2 ( 1 μ ) 2 m 2 1 μ ln ( 2 μ 1 ) m 2 2 ( 1 μ ) 2 m 1 + 2 2 μ 2 μ 1 > 0 . Under the same mechanism, the derivative of the university’s effort level e 2 D with respect to μ is e 2 D μ = q 2 μ 1 m 1 2 μ 1 2 2 ( 1 μ ) 2 m 2 3 2 μ 2 ln ( 2 μ 1 ) m 2 2 ( 1 μ ) 2 m 1 3 2 μ 1 μ < 0 . Under a bilateral moral hazard regime with centralized coordination, the derivative of the manufacturer’s effort level e 1 B with respect to μ is e 1 B μ = q ( μ θ m 1 ) 1 + θ 2 [ ( 1 μ ) ( 1 θ ) m 2 ] 1 θ 2 [ 1 + θ μ 2 μ ( 1 μ ) ] > 0 , μ ( 1 2 , 3 4 ) , whereas the derivative of e 2 B with respect to μ is e 2 B μ = q ( μ θ m 1 ) θ 2 [ ( 1 μ ) ( 1 θ ) m 2 ] 2 θ 2 [ θ 2 μ 2 μ ( 1 μ ) ] < 0 . □
Under decentralized governance, increasing profit potential prompts both agents to intensify resource investments and efforts to maximize overall returns. However, under centralized governance with bilateral moral hazard, rising profits stimulate the manufacturer to enhance effort input only up to a certain threshold, beyond which diminishing incentives may discourage further investment. Meanwhile, a university’s effort level continues to grow in tandem with increasing profit-sharing ratios.
This finding reveals the differences in incentive compatibility under different decision-making mechanisms and their impact on collaborative dynamics. Under a decentralized decision-making structure, both parties benefit directly from marginal revenue sharing, creating a bidirectional incentive mechanism that fosters a positive feedback loop between effort investment and revenue growth. In contrast, under a centralized decision-making framework, where manufacturers hold dominant authority and universities assume a subordinate role, the profit distribution mechanism may lead to an asymmetry between power and responsibility, resulting in incentive distortions [31]. The reduction in effort by manufacturers beyond a certain revenue threshold reflects a rational choice based on balancing short-term gains and long-term costs; when marginal revenue falls below the marginal cost of effort, manufacturers may proactively reduce their input to optimize their own utility, even as total revenue continues to rise. Meanwhile, universities, as technology providers, demonstrate a stable positive response in their effort levels, as their behavior is more dependent on sustained expectations of profit-sharing.
Theorem 6. 
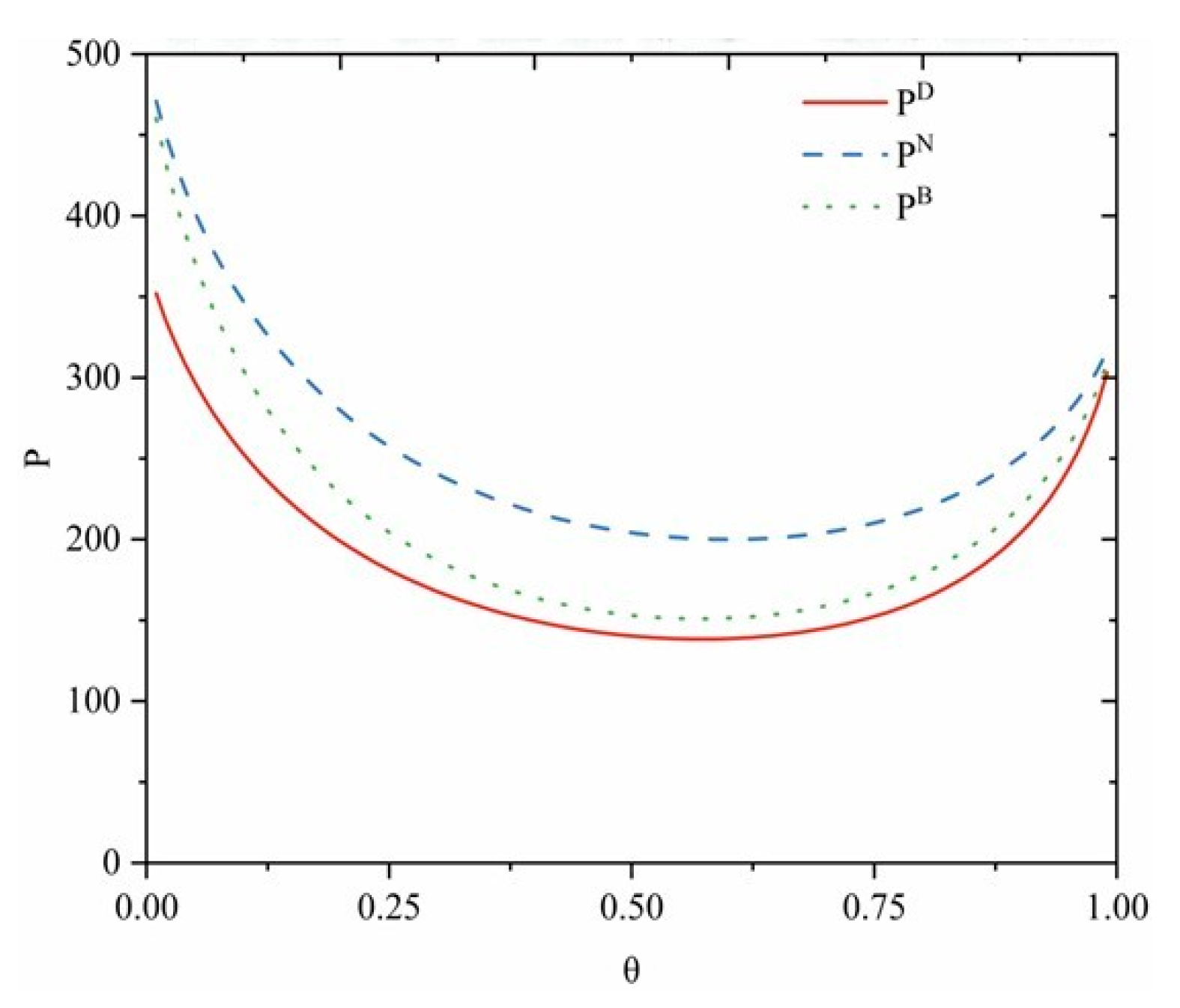
The comparative analysis of IGT cooperation profits across three decision-making mechanisms revealed that the decentralized mechanisms yielded the highest returns, followed by centralized coordination under bilateral moral hazard, with centralized governance under no moral hazard generating the least profits. Furthermore, the profit-sharing ratio under decentralized mechanisms consistently outperformed that under centralized coordination involving bilateral moral hazard.
Proof of Theorem 6. 
When comparing R&D cooperation profits between decentralized mechanisms and centralized mechanisms with bilateral moral hazard, the ratio of profits is P D P B = 3 θ 2 2 θ 1 θ 2 1 θ [ ( θ 1 ) ( θ 2 ) θ ( 1 + θ ) ] θ 2 [ 1 θ θ θ ( θ 2 ) ( 1 + θ ) ( θ 1 ) ] K r C P B . Here, the risk-neutral benchmark term is less than 1, and the risk-averse adjustment term is K r C P B > 0 ; thus, P D < P B . Further comparison of cooperation profits under centralized decision-making revealed that P N P B = 2 2 θ [ ( θ 1 ) ( θ 2 ) θ ( 1 + θ ) ] θ 2 [ 1 θ θ θ ( θ 2 ) ( 1 + θ ) ( θ 1 ) ] > 1 , implying P D < P B . Therefore, the overall ranking of industrial generic technology cooperation profits across decision-making modes follows P N > P B > P D . Moreover, by comparing the profit-sharing ratios under decentralized mechanisms and centralized governance with bilateral moral hazard, the following inequality is established: u D u B = ( 1 θ ) ( 1 + θ ) 2 [ ( 1 θ ) ( 1 + θ ) + θ ( 1 + θ ) ( θ 1 ) ( θ 2 ) ] > 0 ; thus, u D > u B . □
Under decentralized decision-making, both actors independently determine their strategies based on their respective advantages and situational awareness, enabling them to fully realize their potential for profit maximization. Within centralized coordination under bilateral moral hazard, despite the presence of information asymmetry and opportunism, cooperative synergy can still be partially achieved through institutional mechanisms. Conversely, under no-moral-hazard scenarios, although transparent decision-making and idealized cooperation are present, the lack of adaptability and limited market responsiveness constrain profit realization, rendering this mechanism inferior to the former two in terms of total returns.
This finding reveals the applicability boundaries and efficiency differentials of distinct decision-making mechanisms in bilateral collaboration. Decentralized mechanisms facilitate Pareto improvements by incentivizing bilateral autonomy, yet their effectiveness relies on information symmetry and goal alignment between the parties. Centralized mechanisms, while capable of mitigating moral hazard through enforced coordination, may stifle innovative dynamism due to structural rigidity. In contrast, the idealized scenario devoid of moral hazard, though theoretically optimal, often fails to achieve practical efficacy due to its detachment from real-world constraints.

5. Numerical Analysis

To more intuitively observe the research conclusions and verify the aforementioned propositions, in this section, MATLAB is employed for numerical case analysis. MATLAB’s efficient numerical computation capabilities and integrated visualization tools facilitate intuitive analysis of data trends and verification of results, thereby providing a clearer visual representation of the conclusions in Section 4.
To ensure consistency with the established assumptions and validate the logical coherence of inter-variable relationships, the key decision parameters were set as follows: the synergistic cooperation output coefficient q = 20 , the university’s absolute risk aversion ρ C = 0.7 , and its revenue fluctuation risk σ C 2 = 0.1 . Fixed remuneration was assumed to have no influence on university decision-making behavior; thus, s = 0 . The simulation investigated the influence of cost coefficients, profit-sharing ratios, and contribution weights on bilateral decision-making behaviors, effort intensities, and total revenue of the IGT R&D system.
(1)
Influence of Cost Coefficients on Decision Parameters and Outcomes
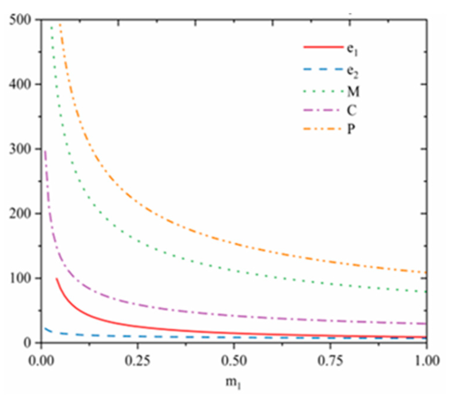
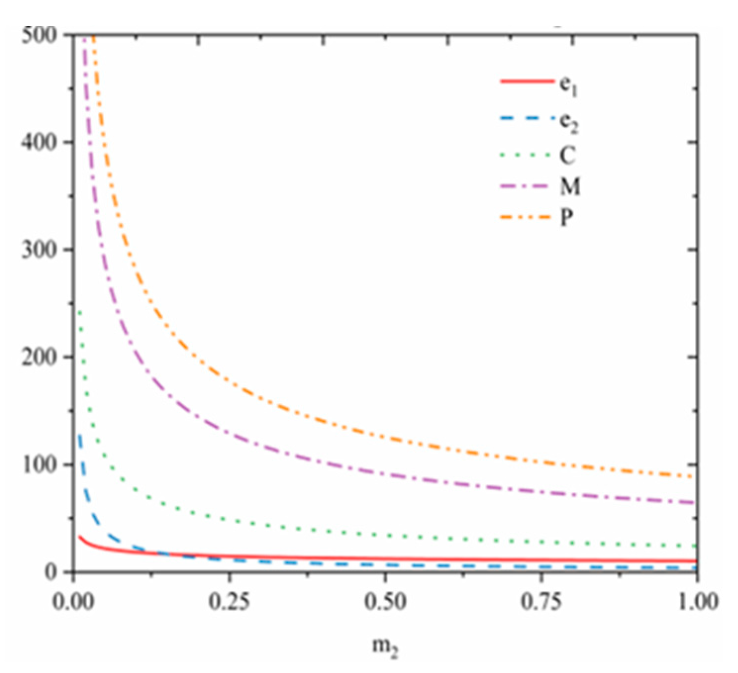
Under all decision-making mechanisms, the cost coefficients exhibited a negative correlation with bilateral effort intensities, certainty-equivalent incomes, and overall project revenues. Taking decentralized coordination as a representative case, the influence of cost coefficients on decision variables and outcome indicators is analyzed, as illustrated in Figure 2 and Figure 3. In Figure 2 and Figure 3, m 1 denotes the cost coefficient of the manufacturer, while m 2 represents the cost coefficient of the university.
An increase in the cost coefficient for either the manufacturer or the university signifies elevated cost burdens incurred during collaborative technological R&D. Excessive cost intensities lead to reduced effort inputs, thereby suppressing the certainty-equivalent income of both actors. Consequently, project revenue levels determined by bilateral cooperative efforts and technological depth are diminished. As effort intensities decline, manufacturers may face reduced product quality and diminished technological innovation capacity, whereas universities may experience weakened abilities in knowledge production and application, lowering their effective earnings. Thus, the elevated cost coefficients reflect lower project return rates and impair the overall feasibility and attractiveness of R&D engagement, ultimately constraining the total revenue performance of industrial generic technology innovation initiatives.
(2)
Impact of Profit-Sharing Shares on Effort Levels
Under various decision-making mechanisms and different cost coefficient settings between manufacturing firms and universities, the influence of profit-sharing ratios on bilateral effort intensities is illustrated in Figure 4, Figure 5 and Figure 6.
Under decentralized decision-making, the effort levels of both manufacturers and universities progressively increased as their respective profit-sharing ratios increased, with both parties autonomously making decisions and implementing strategies to enhance their own efforts. As the profit-sharing ratio increased, manufacturing enterprises were incentivized by the expectation of greater revenue, leading to intensified R&D investment, improved production efficiency, and expanded market deployment. Simultaneously, universities received stronger incentives from industry partners, thereby elevating their own effort input. However, under bilateral moral hazard scenarios within centralized frameworks, the manufacturer’s effort level exhibited nonlinear dynamics. Initially, a rising profit-sharing share rate encouraged higher revenue expectations, motivating manufacturers to intensify their participation in technological R&D and collaborative implementation, thereby increasing effort levels. Conversely, as the profit-sharing ratio continued to rise beyond a critical point, manufacturers experienced a “diminishing marginal effect”, where the perceived return on incremental effort diminished. This perception led to a reduced input intensity, resulting in a decline in the effort level once the profit-sharing threshold was exceeded. Specifically, regardless of the decision-making mode, when μ = 1 , the manufacturer captures all revenue distribution, while the university only receives a fixed payment. In this scenario, the university’s effort level drops to zero, indicating that the revenue-sharing mechanism decisively influences its effort incentives, whereas fixed payments fail to provide any motivational effect.
(3)
Impact of Contribution Weight on Decision Parameters
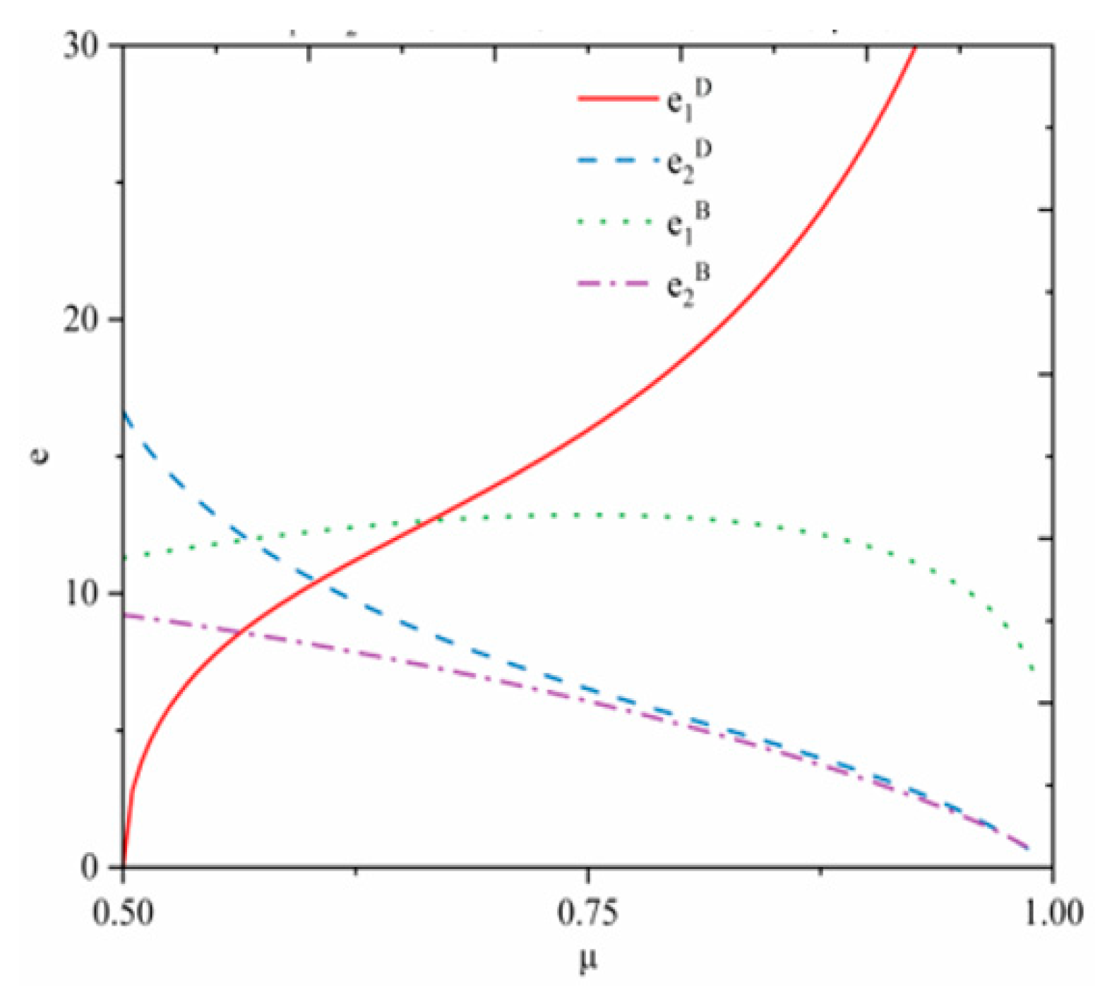
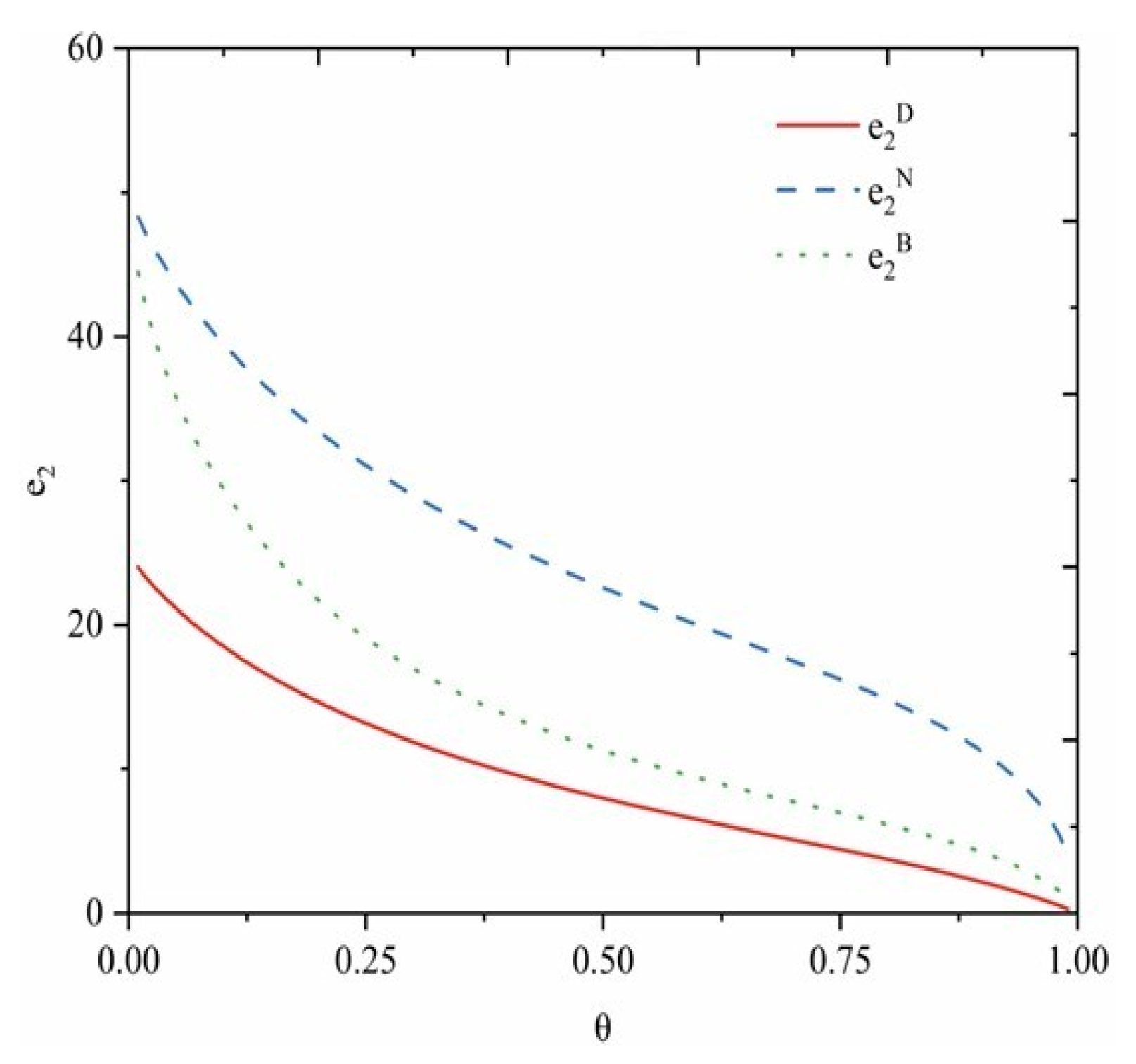
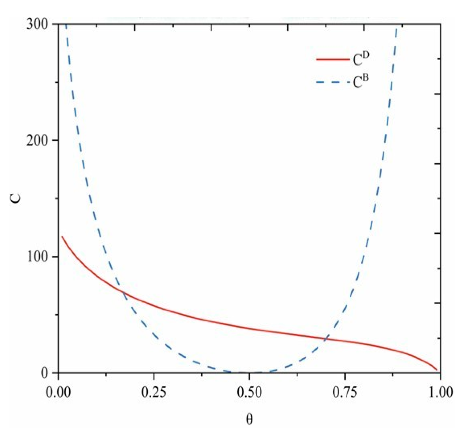
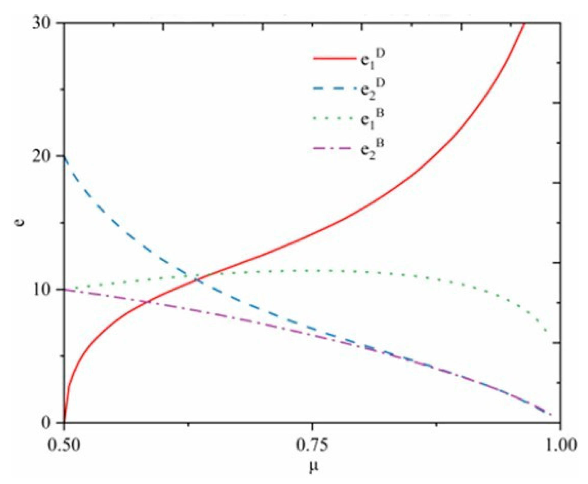
Assuming that the manufacturer’s cost coefficient is m 1 = 0.6 and the university’s cost coefficient is m 2 = 0.4 , the influence of contribution weight on decision parameters is depicted in Figure 7, Figure 8, Figure 9, Figure 10, Figure 11 and Figure 12.
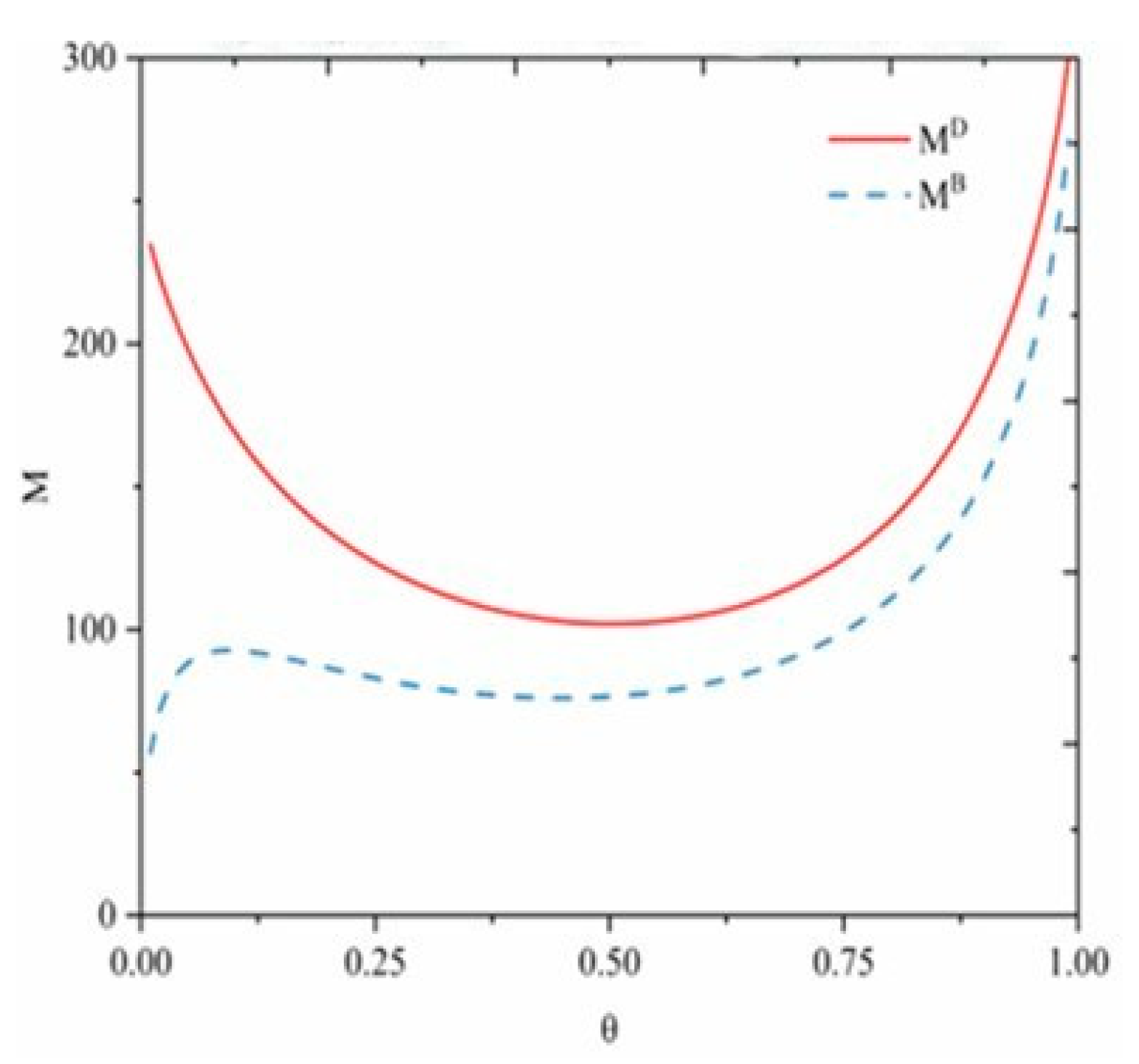
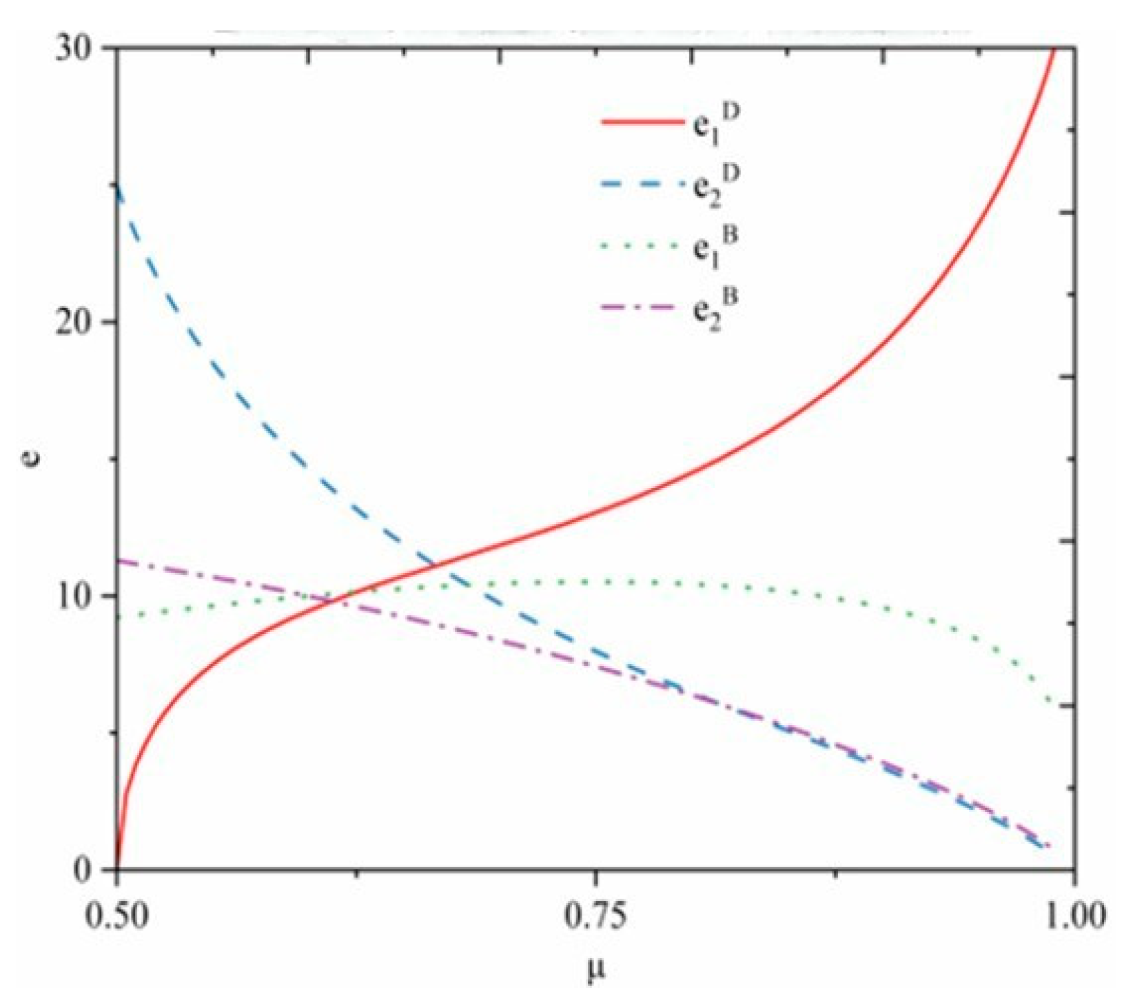
Under various decision-making mechanisms, both effort levels and profit-sharing shares of manufacturers and universities tended to increase with increasing contribution weights. However, the revenue trajectory of manufacturing enterprises demonstrated an initial decline, followed by recovery and growth as their contribution share θ increased. In the early phase of technological R&D, manufacturers typically faced elevated costs or risks that contributed to temporary revenue suppression. As the contribution weight continued to increase, manufacturers’ associated effort and investment began to yield tangible returns, thereby enhancing revenue outcomes. Simultaneously, owing to high upfront costs and delayed payoff cycles, the total revenue of the industrial generic technology system may initially be constrained. Nonetheless, with strengthened cooperative relationships and refined partnership models, the total revenue of both participants gradually rebounded and steadily improved.
Under the centralized decision-making mechanism with bilateral moral hazard, the university’s revenue initially declined and subsequently increased as the manufacturer’s contribution weight increased. In the early stages of cooperation, substantial investment by manufacturers reduced the university’s share in the output distribution. As the manufacturer transitioned its R&D inputs into tangible innovation outcomes, the university’s revenue began to increase owing to the commercialization of research outputs and knowledge spillovers. The profit-sharing mechanism exhibited a dynamic equilibrium, in which the revenue distribution was directly linked to the relative output contributions of each party. An effective profit allocation structure not only fostered continuous productivity improvement but also strengthened the long-term cooperative engagement between manufacturing enterprises and universities [4]. This ensured that both parties could obtain equitable and sustainable returns in the context of industrial generic technology R&D.

6. Conclusions

6.1. Summary of Findings

Cross-organizational collaborative R&D constitutes a pivotal approach to enhancing industrial generic technology innovation efficiency through optimized resource allocation [6]. The intrinsic complementarity between manufacturing enterprises and universities serves as a fundamental driver for cooperative industrial technology development [32]. In this context, rational revenue-sharing mechanisms underpin the establishment of efficient and sustainable R&D partnerships.
Given the divergent decision objectives and complex environmental factors faced by manufacturing enterprises and universities, this study constructed game-theoretic models under both decentralized and centralized decision-making frameworks. By solving the proposed models, revenue allocation mechanisms and their key determinants within cross-organizational industrial generic technology R&D systems were analyzed. The main conclusions can be summarized as follows: (1) Under both decision-making modes, the rising cost coefficients significantly weakened collaboration incentives and reduced total project revenues. Effective cost control is thus essential for maintaining long-term cooperation. Joint development of cost-sharing mechanisms between enterprises and universities is necessary to promote resource efficiency. (2) The fixed remuneration provided by manufacturers to universities exerted no behavioral effect on the latter’s decision-making. However, excessive risk aversion on the part of universities increased their effective costs, thereby suppressing revenues. Well-designed risk-sharing arrangements can encourage proactive innovation engagement. (3) In decentralized frameworks, effort levels were positively associated with the corresponding profit-sharing ratios. In contrast, under centralized governance, manufacturers display diminishing marginal effects on effort incentives. Enhancing decentralized coordination can ensure more equitable returns from bilateral collaboration [33]. To this end, centralized participants should optimize the decision sequences and design flexible resource allocation mechanisms.
The innovative contributions of this study are primarily reflected in two aspects. Theoretically, it incorporates both decentralized and centralized decision-making modes into a unified analytical framework. Through comparative analysis, the study reveals the differentiated formation mechanisms of revenue distribution under various decision-making structures, thereby addressing a critical theoretical gap in existing literature regarding the diversity of decision-making modes and their dynamic interactions. On the practical front, by elucidating the correlation between effort levels and revenue-sharing ratios across different decision-making contexts, the study provides actionable guidance for collaborative entities to select suitable decision-making modes based on factors such as technological maturity and risk appetite, thereby enhancing the success rate of partnerships. Furthermore, the proposed bidirectional coordination mechanism and resource allocation strategies contribute to the formation of an innovation governance ecosystem characterized by risk sharing and benefit sharing.

6.2. Implications

Based on the findings of this study, the following practical recommendations are proposed to promote efficient and sustainable collaboration between manufacturing enterprises and universities in the development of industrial generic technologies. First, both parties should jointly establish a refined cost control and sharing mechanism. By implementing joint budget management, sharing experimental facilities and data resources, and similar measures, resource utilization efficiency can be improved and overall R&D costs reduced, thereby enhancing the stability of cooperation and increasing overall benefits [34]. Second, a dynamic distribution scheme that aligns risk and revenue should be designed. To prevent universities from reducing their collaborative input due to risk aversion, it is advisable for manufacturing enterprises to bear more initial risks, while sharing market benefits derived from technology commercialization with universities, so as to incentivize universities to provide continuous cutting-edge technological support. Finally, organizational coordination methods should be optimized according to the different decision-making mechanisms. Under a decentralized decision-making structure, the correlation between profit-sharing ratios and the level of effort should be clarified to ensure both parties receive reasonable returns on their inputs. In a centralized decision-making setting, manufacturing enterprises need to establish rapid response mechanisms and flexibly adjust resource allocation strategies to maintain a stable level of collaborative effort and innovation efficiency [35]. Through these measures, the efficiency and sustainability of cross-organizational collaborative innovation can be effectively enhanced, thereby promoting the development and application of industrial generic technologies.

6.3. Limitations and Future Research Directions

There are certain shortcomings associated with this study; therefore, there is a need to consider future research. This study primarily focuses on bilateral collaboration mechanisms between manufacturers and universities in the development of IGTs. However, it has not yet systematically incorporated government intervention as a critical external variable, which represents a limitation that warrants further investigation in subsequent research. As technological iteration accelerates and industrial upgrading intensifies, the role of government in the ecosystem of manufacturer–university collaborative innovation has become increasingly pivotal. Governments can not only mitigate R&D risks through policy instruments such as financial support (e.g., R&D subsidies, special funds), tax incentives, and innovation awards but also establish institutional safeguards via industrial policies and regulatory frameworks, thereby effectively balancing the interests of various innovation actors.
For manufacturers, government-provided R&D funding and market promotion support can significantly reduce uncertainties and financial pressures in the technological innovation process, thereby enhancing their willingness to engage in long-term collaborative R&D. For universities, government-initiated joint research programs and achievement transformation guidance funds can incentivize the translation of academic research into practical applications, improving the industrial applicability of scientific resources. Furthermore, governments can optimize the collaborative innovation environment by establishing public technical service platforms and developing standards and certification systems, thereby guiding industry–university–research collaborations toward higher levels of strategic integration.
Therefore, future research could integrate the role of government into the analytical framework to examine how governmental policy tools (e.g., innovation vouchers, R&D tax credits, and specialized industry–university–research collaboration programs) influence revenue distribution mechanisms, risk-sharing structures, and the stability of cross-organizational collaborations. Particularly worthy of in-depth exploration is how government intervention alters the strategic interactions between manufacturers and universities under decentralized versus centralized decision-making modes, and whether it can effectively shift manufacturer–university collaborations from short-term project orientation to long-term strategic synergy. Such research would not only contribute to refining innovation system theory but also provide a theoretical foundation for governments to formulate more targeted and efficient policies for promoting industry–university–research collaboration.

Author Contributions

Conceptualization, Y.S. and Z.M.; methodology, Y.S.; software, F.Y.; validation, Y.S. and F.Y.; formal analysis, Y.S. and Z.M.; data curation, F.Y.; writing—original draft preparation, Y.S.; writing—review and editing, Z.M. All authors have read and agreed to the published version of the manuscript.

Funding

This research received no external funding.

Institutional Review Board Statement

Not applicable.

Informed Consent Statement

Not applicable.

Data Availability Statement

The original contributions presented in the study are included in the article, further inquiries can be directed to the corresponding author.

Conflicts of Interest

The authors declare no conflicts of interest.

Abbreviations

The following abbreviations are used in this manuscript:
R&DResearch and Development
IGTsIndustrial generic technologies

References

  1. Tao, S.; Wu, X.; Fang, K. Lin DIdentifying drivers of county-level industrial carbon intensity by a generic machine learning framework. J. Clean. Prod. 2024, 454, 142276. [Google Scholar] [CrossRef]
  2. Musango, J.K.; Ouma-Mugabe, J. A generic technology assessment framework for sustainable energy transitions in African contexts. Technol. Forecast. Soc. Change 2024, 204, 123441. [Google Scholar] [CrossRef]
  3. Wang, Y.; Huang, C.; Ye, X.; Zhang, J. Linkage and coordination: Industrial digital transformation from the perspective of innovation ecosystem. Technovation 2025, 144, 103228. [Google Scholar] [CrossRef]
  4. Kokshagina, O.; Gillier, T.; Cogez, P.; Le Masson, P.; Weil, B. Using innovation contests to promote the development of generic technologies. Technol. Forecast. Soc. Change 2017, 114, 152–164. [Google Scholar] [CrossRef]
  5. Chen, J.Y.; Dimitrov, S.; Pun, H. The impact of government subsidy on supply chains’ sustainability novation. Omega 2019, 86, 42–58. [Google Scholar] [CrossRef]
  6. Bossink, B. Experiments and demonstrations for environmentally sustainable technological innovation: Reviewing insights and proposing a model. J. Clean. Prod. 2025, 519, 145971. [Google Scholar] [CrossRef]
  7. Buechler, T.; Kolter, M.; Hallweger, L.; Zaeh, M.F. Predictive cost comparison of manufacturing technologies through analyzing generic features in part screening. CIRP J. Manuf. Sci. Technol. 2022, 38, 299–319. [Google Scholar] [CrossRef]
  8. Coccia, M. The source and nature of general-purpose technologies for supporting next K-waves: Global leadership and the case study of the US Navy’s Mobile User Objective System. Technol. Forecast. Soc. Change 2017, 116, 331–339. [Google Scholar] [CrossRef]
  9. Valipour, H.; Farhangvesali, N.; Foster, S. A generic model for investigation of arching action in reinforced concrete members. Constr. Build. Mater. 2013, 38, 742–750. [Google Scholar] [CrossRef]
  10. Liao, H.; Wang, B.; Li, B.; Weyman-Jones, T. ICT as a general-purpose technology: The productivity of ICT in the United States revisited. Inf. Econ. Policy 2016, 36, 10–25. [Google Scholar] [CrossRef]
  11. Lawniczuk, K.; Augustin, L.M.; Grote, N.; Wale, M.J.; Smit, M.K.; Williams, K.A. Open access to technology platforms for InP-based photonic integrated circuits. Adv. Opt. Technol. 2015, 4, 157–165. [Google Scholar] [CrossRef]
  12. Chen, Z.; Sun, P. Generic technology R&D strategies in dual competing photovoltaic supply chains: A social welfare maximization perspective. Appl. Energy 2024, 353, 122089. [Google Scholar] [CrossRef]
  13. Liu, Y.; Du, J.-L.; Yang, J.-B.; Qian, W.-Y.; Forrest, J.Y.-L. An Incentive Mechanism for General Purpose Technologies R&D Based on the Concept of Super-Conflict Equilibrium: Empirical Evidence from Nano Industrial Technology in China. Technol. Forecast. Soc. Change 2019, 147, 185–197. [Google Scholar]
  14. Ancona, A.; Cerqueti, R.; Grassi, R. How Do Partner Selection Strategies Affect the Amount of Funding in Collaborative Research Projects? Evidence Using the Dual-Projection Approach. Technol. Forecast. Soc. Change 2024, 208, 123744. [Google Scholar] [CrossRef]
  15. Mahdiraji, H.A.; Arabi, H.S.; Beheshti, M.; Vrontis, D. A Mixed-Method Analysis of Industry 4.0 Technologies in Value Generation for Collaborative Consumption Companies. Manag. Decis. 2023. [Google Scholar] [CrossRef]
  16. Zheng, Y.L.; Bai, C.G.; Li, D.F. Research on the Supply Decision of Industrial General Purpose Technologies Considering Market-oriented Development. Chin. J. Manag. Sci. 2024, 32, 127–139. [Google Scholar] [CrossRef]
  17. Silvestri, R.; Adamashvili, N.; Fiore, M.; Galati, A. How Blockchain Technology Generates a Trust-Based Competitive Advantage in the Wine Industry: A Resource Based View Perspective. Eur. Bus. Rev. 2023, 35, 713–716. [Google Scholar] [CrossRef]
  18. Özalp, H.; Eggers, P.; Malerba, F. Hitting Reset, Industry Evolution, Generational Technology Cycles, and the Dynamic Value of Firm Experience. Strateg. Manag. J. 2023, 44, 1292–1327. [Google Scholar] [CrossRef]
  19. Wang, F.; Xie, R.; Hu, W. The Influencing Factors and Promotion Countermeasures of Industrial Generic Technology Diffusion Based on Differential Game. Discret. Dyn. Nat. Soc. 2021, 2021, 6643922. [Google Scholar] [CrossRef]
  20. Mousavi, A.; Mohammadzadeh, M.; Zare, H. Developing a System Dynamic Model for Product Life Cycle Management of Generic Pharmaceutical Products Its Relation with Open Innovation. J. Open Innov. Technol. Mark. Complex. 2022, 8, 14. [Google Scholar] [CrossRef]
  21. Bohnsack, R.; Rennings, M.; Block, C.; Bröring, S. Profiting from innovation when digital business ecosystems emerge: A control point perspective. Res. Policy 2024, 53, 104961. [Google Scholar] [CrossRef]
  22. Zheng, Y.L.; Zhou, L.X.; Wang, L. Signal game of collaborative research and development of industrial generic technologies for complex products under government subsidies. J. Syst. Manag. 2020, 29, 185–191. [Google Scholar]
  23. Anzolin, G.; O’Sullivan, E. Innovation intermediaries in the digital transformation process. A comparative case study of research and technology or-ganizations in the US and the UK. Technovation 2025, 142, 103200. [Google Scholar] [CrossRef]
  24. Roels, G.; Karmarkar, U.S.; Carr, S. Contracting for Collaborative Services. Manag. Sci. 2010, 56, 849–863. [Google Scholar] [CrossRef]
  25. Dey, D.; Fan, M.; Zhang, C. Design and Analysis of Contracts for Software Outsourcing. Inf. Syst. Res. 2010, 21, 695–707. [Google Scholar] [CrossRef]
  26. Holmstrom, B.; Milgrom, P. Aggregation and linearity in the provision of intertemporal incentives. Econom. J. Econom. Soc. 1987, 55, 303–328. [Google Scholar] [CrossRef]
  27. Wan, Y.; Gao, Y.; Hu, Y. Blockchain Application and Collaborative Innovation in the Manufacturing Industry: Based on the Perspective of Social Trust. Technol. Forecast. Soc. Change 2022, 177, 121540. [Google Scholar] [CrossRef]
  28. Zhao, F.; Li, Z.; Wang, D.; Ma, T. Peer-to-peer Energy Sharing with Demand-Side Management for Fair Revenue Distribution and Stable Grid Interaction in the Photovoltaic Community. J. Clean. Prod. 2023, 383, 135271. [Google Scholar] [CrossRef]
  29. Li, X.; Tan, Z.; Shen, J.; Dong, X.; Wang, H.; Qi, X. Research on Optimal Scheduling and Carbon Revenue Distribution Strategy of “Source-Grid-load-storage” Projects Based on CCER Methodology. J. Environ. Manag. 2025, 382, 125367. [Google Scholar] [CrossRef]
  30. Halim, H.A.; Andalib, T.W.; Ahmad, N.H.; Hassan, D.I. Surviving a rough patch through agility and technology innovation: Navigating young technopreneurial competitiveness with success in Industrial Revolution 4.0. J. Open Innov. Technol. Mark. Complex. 2025, 11, 100586. [Google Scholar] [CrossRef]
  31. Branstetter, L.; Chatterjee, C.; Higgins, M. Generic competition and the incentives for early-stage pharmaceutical innovation. Res. Policy 2022, 51, 104595. [Google Scholar] [CrossRef]
  32. Marule, N.P. The Role of Technology Commercialization in the Operationalization of Innovation and Industrial Policies in South Africa. Triple Helix 2022, 9, 119–137. [Google Scholar] [CrossRef]
  33. Scaffidi, F. Average social and territorial innovation impacts of industrial heritage regeneration. Cities 2024, 148, 10490. [Google Scholar] [CrossRef]
  34. Jia, X.; Takeuchi, K. Induced innovation in power generation technologies: Evidence from the Tokyo–Saitama Emissions Trading System. Energy Econ. 2024, 129, 107227. [Google Scholar] [CrossRef]
  35. Arvidsson, A.; Govik, L.; Melander, L. Sourcing for high technology innovation: Engaging to absorb knowledge pre-contract. Eur. Manag. J. 2025, 43, 257–270. [Google Scholar] [CrossRef]
Figure 1. Research framework of the study.
Figure 1. Research framework of the study.
Sustainability 17 09142 g001
Figure 2. Relationship between various parameters and m 1 in decentralized mechanisms.
Figure 2. Relationship between various parameters and m 1 in decentralized mechanisms.
Sustainability 17 09142 g002
Figure 3. Relationship between various parameters and m 2 in decentralized mechanisms.
Figure 3. Relationship between various parameters and m 2 in decentralized mechanisms.
Sustainability 17 09142 g003
Figure 4. Relationship between μ and bilateral effort level e when m 1 > m 2 .
Figure 4. Relationship between μ and bilateral effort level e when m 1 > m 2 .
Sustainability 17 09142 g004
Figure 5. Relationships between μ and bilateral effort level e when m 1 < m 2 .
Figure 5. Relationships between μ and bilateral effort level e when m 1 < m 2 .
Sustainability 17 09142 g005
Figure 6. Relationships between μ and bilateral effort level e when m 1 = m 2 .
Figure 6. Relationships between μ and bilateral effort level e when m 1 = m 2 .
Sustainability 17 09142 g006
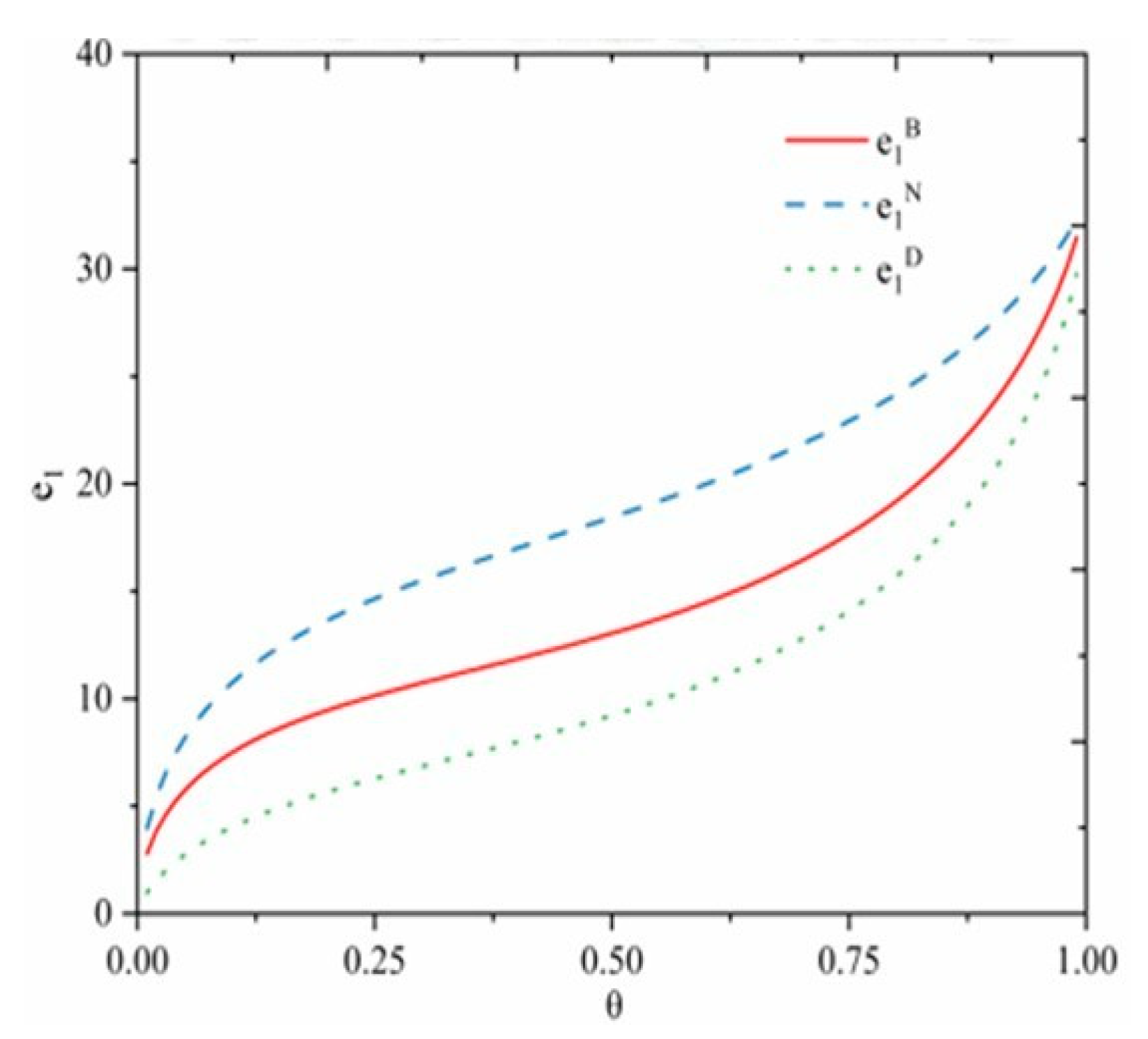
Figure 7. Relationship between manufacturer effort level e 1 and contribution weight θ .
Figure 7. Relationship between manufacturer effort level e 1 and contribution weight θ .
Sustainability 17 09142 g007
Figure 8. Relationship between university effort level e 2 and contribution weight θ .
Figure 8. Relationship between university effort level e 2 and contribution weight θ .
Sustainability 17 09142 g008
Figure 9. Relationship between the university optimal revenue C and contribution weight θ .
Figure 9. Relationship between the university optimal revenue C and contribution weight θ .
Sustainability 17 09142 g009
Figure 10. Relationship between the manufacturer optimal revenue M and contribution weight θ .
Figure 10. Relationship between the manufacturer optimal revenue M and contribution weight θ .
Sustainability 17 09142 g010
Figure 11. Relationship between profit-sharing share μ and contribution weight θ .
Figure 11. Relationship between profit-sharing share μ and contribution weight θ .
Sustainability 17 09142 g011
Figure 12. Relationship between project optimal revenue P and contribution weight θ .
Figure 12. Relationship between project optimal revenue P and contribution weight θ .
Sustainability 17 09142 g012
Table 1. Equilibrium outcomes under different decision-making modes.
Table 1. Equilibrium outcomes under different decision-making modes.
VariablesDecentralized
Decision-Making
Centralized Decision-Making
Absent Moral HazardBilateral Moral Hazard
u u D = 1 + θ 2 u B = θ ( 1 + θ ) θ ( 1 + θ ) + θ ( 1 + θ ) ( θ 1 ) ( θ 2 )
e 1 e 1 D = q θ m 1 1 + θ 2 ( 1 θ ) 2 2 m 2 1 θ 2 e 1 N = q θ m 1 1 + θ 2 1 θ m 2 1 θ 2 e 1 B = 1 2 ( 1 2 θ ) q θ m 1 1 + θ 2 1 θ m 2 1 θ 2 [ θ ( 1 + θ ) ( θ 1 ) ( θ 2 ) ] 1 + θ 4 [ ( θ 1 ) ( θ 2 ) θ ( 1 + θ ) ( θ 1 ) ( θ 2 ) ]
e 2 e 2 D = q θ m 1 θ 2 ( 1 θ ) 2 2 m 2 2 θ 2 e 2 N = q θ m 1 θ 2 1 θ m 2 2 θ 2 e 2 B = 1 2 ( 1 2 θ ) q θ m 1 θ 2 1 θ m 2 2 θ 2 [ θ ( 1 + θ ) ( θ 1 ) ( θ 2 ) ] θ 4 [ ( θ 1 ) ( θ 2 ) θ ( 1 + θ ) ( θ 1 ) ( θ 2 ) ]
M 1 2 q 2 ( θ m 1 ) θ 1 θ 2 2 m 2 1 θ s M B = 2 θ 4 ( 1 2 θ ) 2 q 2 ( θ m 1 ) θ 1 θ m 2 1 θ [ θ ( 1 + θ ) ( θ 1 ) ( θ 2 ) ] θ 2 [ ( 1 θ + θ 2 ) θ ( 1 + θ ) ( θ 1 ) ( θ 2 ) θ ( 1 + θ ) ( θ 1 ) ( θ 2 ) ] s
C C D = s + 1 θ 2 4 q 2 ( θ m 1 ) θ 1 θ 2 2 m 2 1 θ 1 8 ρ C 1 θ 2 σ C 2 C B = s + ( 1 + θ ) ( θ 1 ) ( θ 2 ) 4 ( 1 2 θ ) 2 q 2 ( θ m 1 ) θ ( 1 θ m 2 ) 1 θ [ θ ( 1 + θ ) ( θ 1 ) ( θ 2 ) ] θ 2 [ ( 1 θ + θ 2 ) θ ( 1 + θ ) ( θ 1 ) ( θ 2 ) ] 1 2 ρ C ( θ 1 ) ( θ 2 ) θ ( 1 + θ ) + θ ( 1 + θ ) ( θ 1 ) ( θ 2 ) + ( θ 1 ) ( θ 2 ) σ C 2
P P D = 3 θ 2 4 q 2 ( θ m 1 ) θ 1 θ 2 2 m 2 1 θ 1 8 ρ C 1 θ 2 σ C 2 P N = 1 2 q 2 ( θ m 1 ) θ ( 1 θ m 2 ) 1 θ P B = 2 θ 4 ( 1 2 θ ) q 2 ( θ m 1 ) θ 1 θ m 2 1 θ [ θ ( 1 + θ ) ( θ 1 ) ( θ 2 ) ] θ 2 [ ( 1 + θ ) ( 1 θ ) 2 θ θ ( 1 + θ ) ( θ 1 ) ( θ 2 ) ]
Disclaimer/Publisher’s Note: The statements, opinions and data contained in all publications are solely those of the individual author(s) and contributor(s) and not of MDPI and/or the editor(s). MDPI and/or the editor(s) disclaim responsibility for any injury to people or property resulting from any ideas, methods, instructions or products referred to in the content.

Share and Cite

MDPI and ACS Style

Sun, Y.; Ma, Z.; Yang, F. Revenue Distribution in Manufacturer–University Collaborative R&D for Industrial Generic Technologies. Sustainability 2025, 17, 9142. https://doi.org/10.3390/su17209142

AMA Style

Sun Y, Ma Z, Yang F. Revenue Distribution in Manufacturer–University Collaborative R&D for Industrial Generic Technologies. Sustainability. 2025; 17(20):9142. https://doi.org/10.3390/su17209142

Chicago/Turabian Style

Sun, Ying, Zhiqiang Ma, and Fan Yang. 2025. "Revenue Distribution in Manufacturer–University Collaborative R&D for Industrial Generic Technologies" Sustainability 17, no. 20: 9142. https://doi.org/10.3390/su17209142

APA Style

Sun, Y., Ma, Z., & Yang, F. (2025). Revenue Distribution in Manufacturer–University Collaborative R&D for Industrial Generic Technologies. Sustainability, 17(20), 9142. https://doi.org/10.3390/su17209142

Note that from the first issue of 2016, this journal uses article numbers instead of page numbers. See further details here.

Article Metrics

Back to TopTop