ESG Strategies and Sustainable Performance in Multinational Enterprises
Abstract
1. Introduction
2. Literature Review and Research Hypotheses
2.1. ESG Activities and Internal Market-Oriented Culture in Multinational Contexts
2.2. ESG Activities and Organizational Performance in Global Operations
2.3. ESG Activities and Financial Performance Across Global Markets
2.4. Internal Market-Oriented Culture (IMOC) in Multinational and Culturally Diverse Organizations
2.5. Job Crafting in Multinational Contexts: Moderating ESG Activities’ Impact on Performance
3. Methodology
3.1. Research Design
3.2. Sample and Data Collection
3.3. Measurement Tools
3.4. Data Analysis
3.5. Sample Characteristics
3.6. Ethical Considerations
4. Results
4.1. Factor Analysis
4.2. Internal Consistency
4.3. Statistical Analysis of Demographic Effects
4.4. Analysis Results of Correlations
4.5. Analysis Results of Hierarchical Multiple Regression
4.6. Analysis Results of Mediation Effects
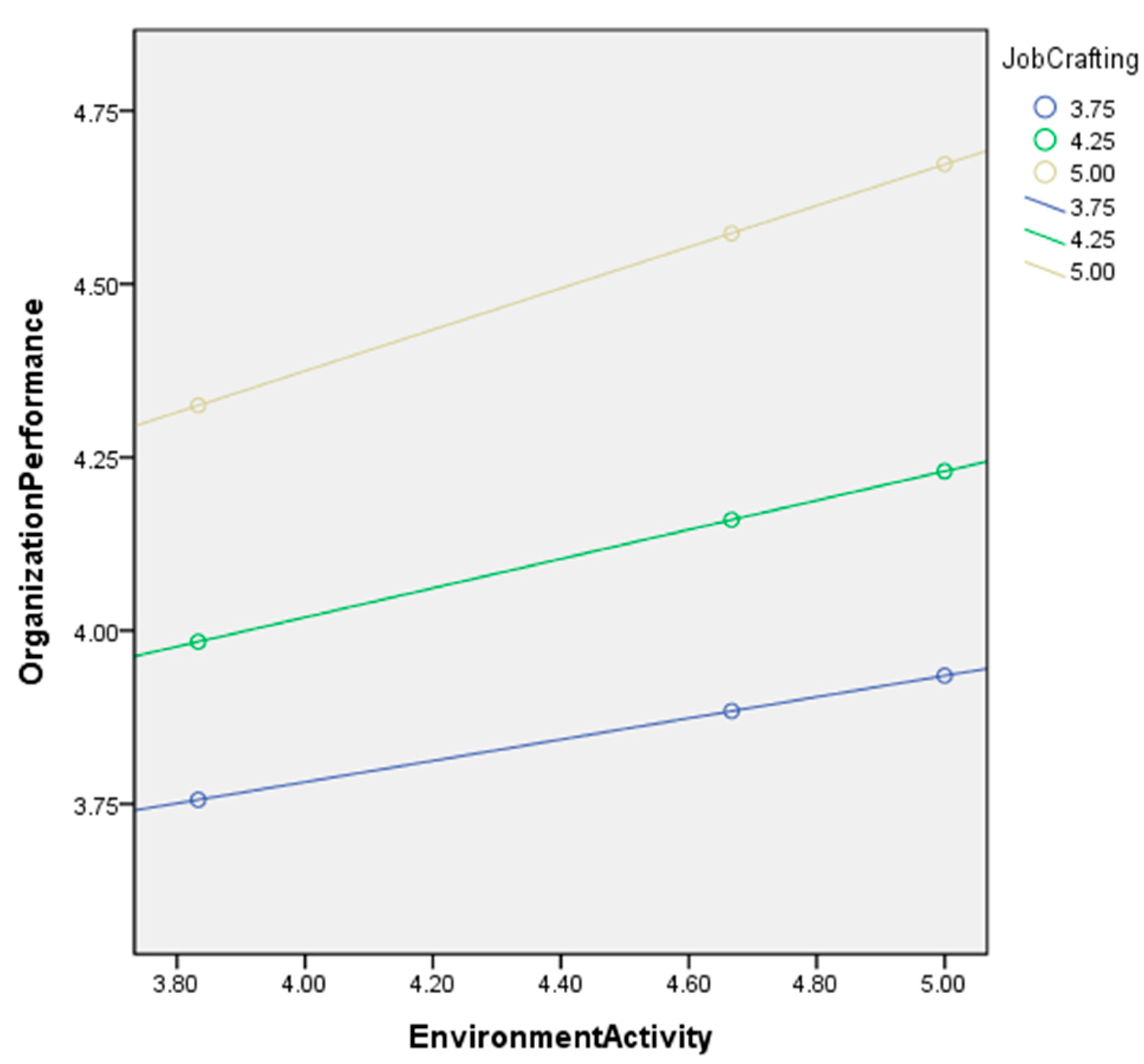
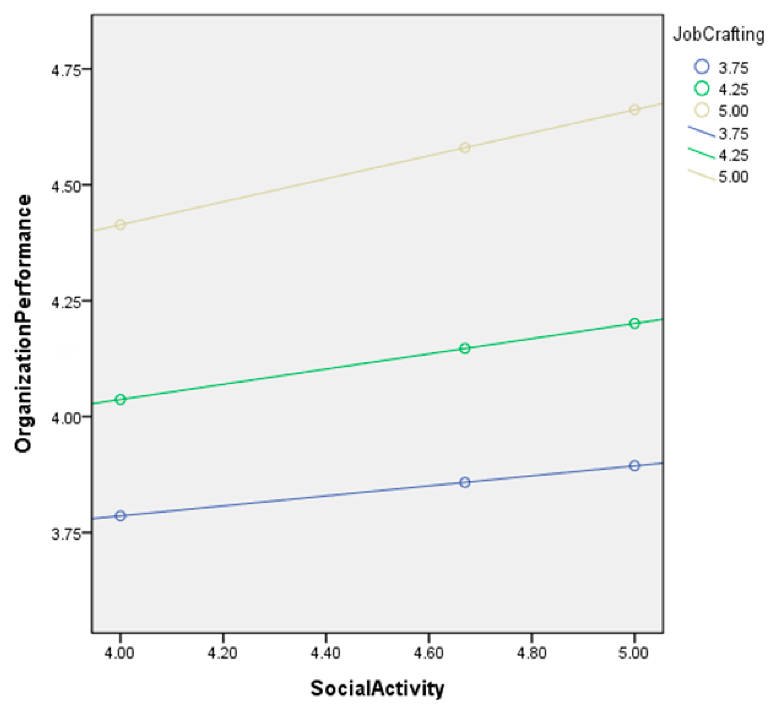
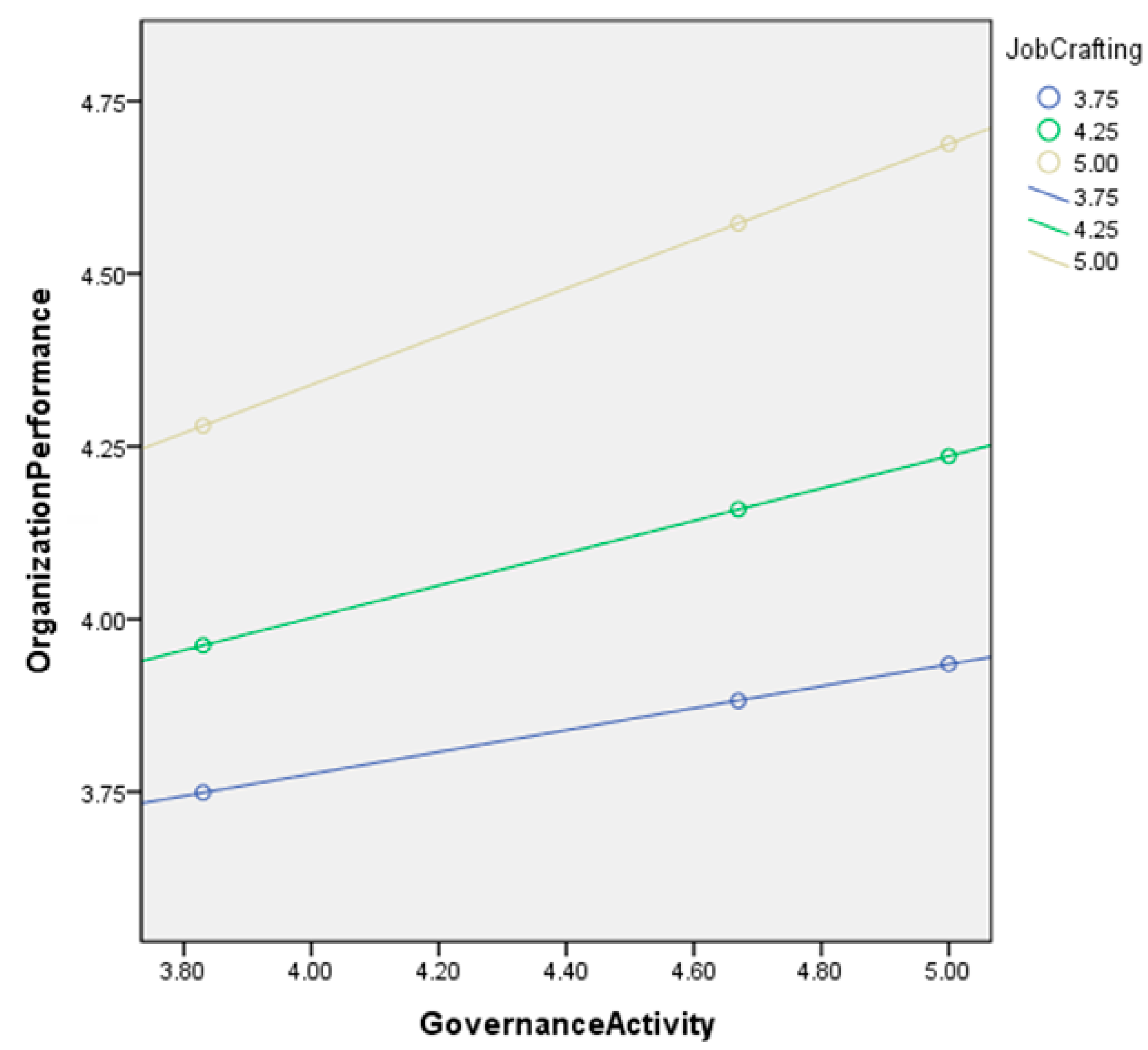
4.7. Analysis of Job Crafting’s Moderating Effect






5. Conclusions and Management Implications
5.1. Conclusions
5.2. Management Implications and Recommendations
5.3. Limitations and Future Research
Author Contributions
Funding
Institutional Review Board Statement
Informed Consent Statement
Data Availability Statement
Conflicts of Interest
References
- Hoepner, A.; Cojoianu, T.; Ascui, F.; Clark, G.; Wojcik, D. Does the fossil fuel divestment movement impact new oil & gas fundraising. J. Econ. Geogr. 2020, 21, 141–164. [Google Scholar]
- Pekovic, S.; Grolleau, G.; Mzoughi, N. Environmental investments: Too much of a good thing? Int. J. Prod. Econ. 2018, 3, 297–302. [Google Scholar] [CrossRef]
- Albuquerque, R.; Koskinen, Y.; Zhang, C. Corporate social responsibility and firm risk: Theory and empirical evidence. Manag. Sci. 2019, 65, 4451–4469. [Google Scholar] [CrossRef]
- Mishra, S.; Modi, S. Positive and negative corporate social responsibility, financial leverage, and idiosyncratic risk. J. Bus. Ethics 2013, 117, 431–448. [Google Scholar] [CrossRef]
- Drakos, A.A.; Bwkiris, F.V. Corporate performance, managerial ownership and endogeneity: A simultaneous equations analysis for the Athens stock exchange. Res. Int. Bus. Financ. 2010, 24, 24–38. [Google Scholar] [CrossRef]
- Broadstock, D.C.; Chan, K.; Cheng, L.T.; Wang, X. The role of ESG performance during times of financial crisis: Evidence from COVID-19 in China. Financ. Res. Lett. 2021, 38, 101716. [Google Scholar] [CrossRef]
- Lins, K.V.; Servaes, H.; Tamayo, A. Social capital, trust, and firm performance: The value of corporate social responsibility during the financial crisis. J. Financ. 2017, 72, 1785–1824. [Google Scholar] [CrossRef]
- Hofstede, G.; Bond, M.H. Hofstede’s culture dimensions: An independent validation using Rokeach’s Value Survey. J. Cross-Cult. Psychol. 1984, 15, 417–433. [Google Scholar] [CrossRef]
- Trompenaars, F.; Hampden-Turner, C. Riding the Waves of Culture: Understanding Diversity in Global Business; Nicholas Brealey Publishing: London, UK, 2011. [Google Scholar]
- Nyabakora, W.I.; Mohabir, S.E. Corporate social responsibility knowledge base: A bibliometric analysis. Mod. Financ. 2024, 2, 101–120. [Google Scholar] [CrossRef]
- Lings, I.N.; Greenley, G.E. Measuring internal market orientation. J. Serv. Res. 2005, 7, 290–305. [Google Scholar] [CrossRef]
- Lings, I.N. Internal market orientation–constructs and consequences. J. Bus. Res. 2004, 54, 405–413. [Google Scholar] [CrossRef]
- Schein, E.H. Defining organizational culture. Organ. Cult. 1985, 3, 490–502. [Google Scholar]
- Barney, J.B. Organizational culture: Can it be a source of sustained competitive advantage. Acad. Manag. Rev. 1986, 11, 656–665. [Google Scholar] [CrossRef]
- Hubbard, G. Measuring organizational performance: Beyond the triple bottom line. Bus. Strategy Environ. 2009, 18, 177–191. [Google Scholar] [CrossRef]
- Martinez-Conesa, I.; Soto-Acosta, P.; Palacios-Manzano, M. Corporate social responsibility and its effect on innovation and firm performance: An empirical research in SMEs. J. Clean. Prod. 2017, 142, 2374–2383. [Google Scholar] [CrossRef]
- Ibrahim, Y.M.; Hami, N.; Abdulameer, S.S. A scale for measuring sustainable manufacturing practices and sustainability performance: Validity and reliability. Qual. Innov. Prosper. 2020, 24, 59–74. [Google Scholar] [CrossRef]
- Tangen, S. Demystifying productivity and performance. Int. J. Product. Perform. Manag. 2005, 54, 34–46. [Google Scholar] [CrossRef]
- Christofi, A.; Christofi, P.; Sisaye, S. Corporate sustainability: Historical development and reporting practices. Manag. Res. Rev. 2012, 35, 157–172. [Google Scholar] [CrossRef]
- Knoepfel, I. Dow jones sustainability group index: A global benchmark for corporate sustainability. Corp. Environ. Strategy 2001, 8, 6–15. [Google Scholar] [CrossRef]
- Peloza, J. The challenge of measuring financial impacts from investments in corporate social performance. J. Manag. 2009, 35, 1518–1541. [Google Scholar] [CrossRef]
- Capelle-Blancard, G.; Petit, A. Every little helps? ESG news and stock market reaction. J. Bus. Ethics 2019, 157, 543–565. [Google Scholar] [CrossRef]
- Landi, G.; Sciarelli, M. Towards a more ethical market: The impact of ESG rating on corporate financial performance. Soc. Responsib. J. 2019, 15, 11–27. [Google Scholar] [CrossRef]
- Khan, M. Corporate governance, ESG, and stock returns around the world. Financ. Anal. J. 2019, 75, 103–123. [Google Scholar] [CrossRef]
- Gillan, S.L.; Koch, A.; Starks, L.T. Firms and social responsibility: A review of ESG and CSR research in corporate finance. J. Corp. Financ. 2021, 66, 101889. [Google Scholar] [CrossRef]
- Alareeni, B.A.; Hamdan, A. ESG impact on performance of US S&P 500-listed firms. Corp. Gov. 2020, 20, 1409–1428. [Google Scholar]
- Ajour El Zein, S.; Consolacion-Segura, C.; Huertas-Garcia, R. The role of sustainability in brand equity value in the financial sector. Sustainability 2020, 12, 254. [Google Scholar] [CrossRef]
- Cek, K.; Eyupoglu, S. Does environmental, social and governance performance influence economic performance? J. Bus. Econ. Manag. 2020, 21, 1165–1184. [Google Scholar] [CrossRef]
- Buallay, A. Is sustainability reporting (ESG) associated with performance? Evidence from the European banking sector. Manag. Environ. Qual. Int. J. 2019, 30, 98–115. [Google Scholar] [CrossRef]
- Ionescu, G.H.; Firoiu, D.; Pirvu, R.; Vilag, R.D. The impact of ESG factors on market value of companies from travel and tourism industry. Technol. Econ. Dev. Econ. 2019, 25, 820–849. [Google Scholar] [CrossRef]
- Tarmuji, I.; Maelah, R.; Tarmuji, N.H. The impact of environmental, social and governance practices (ESG) on economic performance: Evidence from ESG score. Int. J. Trade Econ. Financ. 2016, 7, 67–74. [Google Scholar] [CrossRef]
- Alsayegh, M.F.; Abdul Rahman, R.; Homayoun, S. Corporate economic, environmental, and social sustainability performance transformation through ESG disclosure. Sustainability 2020, 12, 3910. [Google Scholar] [CrossRef]
- Starks, L.T.; Venkat, P.; Zhu, Q. Corporate ESG Profiles and Investor Horizons. 2017. Available online: https://ssrn.com/abstract=3049943 (accessed on 15 December 2024).
- Dalal, K.K.; Thaker, N. ESG and corporate financial performance: A panel study of Indian companies. IUP J. Corp. Gov. 2019, 18, 44–59. [Google Scholar]
- Han, J.J.; Kim, H.J.; Yu, J. Empirical study on relationship between corporate social responsibility and financial performance in Korea. Asian J. Sustain. Soc. Responsib. 2016, 1, 61–76. [Google Scholar] [CrossRef]
- Petitjean, M. Eco-friendly policies and financial performance: Was the financial crisis a game changer for large US companies? Energy Econ. 2019, 80, 502–511. [Google Scholar] [CrossRef]
- Kotsantonis, S.; Pinney, C.; Serafeim, G. ESG integration in investment management: Myths and realities. J. Appl. Corp. Financ. 2016, 28, 10–16. [Google Scholar] [CrossRef]
- Hogan, S.J.; Coote, L.V. Organizational culture, innovation, and performance: A test of Schein’s model. J. Bus. Res. 2014, 67, 1609–1621. [Google Scholar] [CrossRef]
- Zachariadou, T.; Zannetos, S.; Pavlakis, A. Organizational culture in the primary healthcare setting of Cyprus. BMC Health Serv. Res. 2013, 13, 112. [Google Scholar] [CrossRef]
- Tsai, Y. Relationship between Organizational Culture, Leadership Behavior and Job Satisfaction. BMC Health Serv. Res. 2011, 11, 98. [Google Scholar] [CrossRef]
- Wrzesniewski, A.; Dutton, J.E. Crafting a job: Revisioning employees as active crafters of their work. Acad. Manag. Rev. 2001, 26, 179–201. [Google Scholar] [CrossRef]
- Leekha, C.N.; Sharma, S. Employer branding: Strategy for improving employer attractiveness. Int. J. Organ. Anal. 2014, 22, 48–60. [Google Scholar] [CrossRef]
- Tims, M.; Arnold, B.B.; Derks, D. Job crafting and job performance: A longitudinal study. Eur. J. Work Organ. Psychol. 2015, 24, 914–928. [Google Scholar] [CrossRef]
- Nielsen, K.; Abildgaard, J.S. The development and validation of a job crafting measure for use with blue-collar workers. Work Stress 2012, 26, 365–384. [Google Scholar] [CrossRef]
- Tims, M.T.; Fong, Y.M. A state-of-the-art overview of job-crafting research: Current trends and future research directions. Career Dev. Int. 2021, 27, 54–78. [Google Scholar] [CrossRef]
- Zhang, F.; Sharon, K.P. Reorienting job crafting research: A hierarchical structure of job crafting concepts and integrative review. J. Organ. Behav. 2019, 40, 126–146. [Google Scholar] [CrossRef]
- Hobfoll, S.E.; Johnson, R.J.; Ennis, N.; Jackson, A.P. Resource loss, resource gain, and emotional outcomes among inner city women. J. Personal. Soc. Psychol. 2003, 84, 632. [Google Scholar] [CrossRef]
- Freund, A.M.; Riediger, M. What I have and what I do: The role of resource loss and gain throughout life. Appl. Psychol. 2001, 50, 370–380. [Google Scholar]
- Kooij, D.T.A.M.; van Woerkom, M.; Wilkenloh, J.; Dorenbosch, L.; Denissen, J.J.A. Job crafting towards strengths and interests: The effects of a job crafting intervention on person-job fit and the role of age. J. Appl. Psychol. 2017, 102, 971–981. [Google Scholar] [CrossRef]
- Kuijpers, E.; Kooij, D.T.A.M.; van Woerkom, M. Align your job with yourself: The relationship between a job crafting intervention and work engagement, and the role of workload. J. Occup. Health Psychol. 2020, 25, 1–16. [Google Scholar] [CrossRef] [PubMed]
- Huang, D.Z.X. Environmental, social and governance (ESG) activity and firm performance: A review and consolidation. Account. Financ. 2021, 61, 335–360. [Google Scholar] [CrossRef]
- Friede, G.; Busch, T.; Bassen, A. ESG and financial performance: Aggregated evidence from more than 2000 empirical studies. J. Sustain. Financ. Invest. 2015, 5, 210–233. [Google Scholar] [CrossRef]
- Kaplan, R.S.; Norton, D.P. The Strategy Map: Guide to Aligning Intangible Assets. Strategy Leadersh. 2004, 32, 10–17. [Google Scholar] [CrossRef]
- Baron, R.M.; Kenny, D.A. The moderator–mediator variable distinction in social psychological research: Conceptual, strategic, and statistical considerations. J. Personal. Soc. Psychol. 1986, 51, 1173–1182. [Google Scholar] [CrossRef] [PubMed]
- Preacher, K.J.; Hayes, A.F. Asymptotic and resampling strategies for assessing and comparing indirect effects in multiple mediator models. Behav. Res. Methods 2008, 40, 879–891. [Google Scholar] [CrossRef] [PubMed]
- Birindelli, G.; Ferretti, P.; Intonti, M.; Iannuzzi, A.P. On the drivers of corporate social responsibility in banks: Evidence from an ethical rating model. J. Manag. Gov. 2015, 19, 303–340. [Google Scholar] [CrossRef]
- Eccles, R.G.; Ioannou, I.; Serafeim, G. The Impact of Corporate Sustainability on Organizational Processes and Performance. Manag. Sci. 2014, 60, 2835–2857. [Google Scholar] [CrossRef]
- Kolk, A. The Social Responsibility of International Business: From Ethics and the Environment to CSR and Sustainable Development. J. World Bus. 2016, 51, 23–34. [Google Scholar] [CrossRef]
- Grant, A.M.; Ashford, S.J. The Dynamics of Proactivity at Work. Res. Organ. Behav. 2008, 28, 3–34. [Google Scholar] [CrossRef]
- Hofstede, G. Culture’s recent consequences: Using dimension scores in theory and research. Int. J. Cross Cult. Manag. 2001, 1, 11–17. [Google Scholar] [CrossRef]

| Variable | Category | Number (N = 614) | Percentage (%) |
|---|---|---|---|
| Gender | Male | 268 | 43.6% |
| Female | 436 | 56.4% | |
| Age | Under 30 | 72 | 11.7% |
| 31–40 | 146 | 23.8% | |
| 41–50 | 244 | 39.7% | |
| Over 50 | 152 | 24.8% | |
| Education | Diploma/Associate | 170 | 27.2% |
| Bachelor’s | 250 | 40.7% | |
| Master’s or above | 194 | 31.6% | |
| Job Role | General Employee | 216 | 35.2% |
| Frontline Supervisor | 136 | 22.1% | |
| Mid-to-Senior Manager | 262 | 42.7% | |
| Industry | Manufacturing | 268 | 43.6% |
| Services | 226 | 36.8% | |
| Finance | 120 | 19.6% | |
| Geographic Region | Taiwan | 200 | 32.6% |
| Mainland China | 177 | 28.8% | |
| Southeast Asia | 172 | 28.0% | |
| Other Regions | 65 | 10.6% |
| Constructs | χ2 | df | CFI | TLI | SRMR | RMSEA |
|---|---|---|---|---|---|---|
| ESG Practices | 545.00 | 165 | 0.95 | 0.94 | 0.06 | 0.06 |
| Internal Market-Oriented Culture (IMOC) | 210.00 | 70 | 0.98 | 0.97 | 0.05 | 0.06 |
| Job Crafting | 165.00 | 50 | 0.97 | 0.96 | 0.06 | 0.06 |
| Organizational Performance | 168.00 | 60 | 0.96 | 0.95 | 0.05 | 0.06 |
| Constructs | Items | Factor Loadings | CR | AVE | Cronbach’s α |
|---|---|---|---|---|---|
| Environmental Activities | EA1–EA6 | 0.78–0.89 | 0.93 | 0.59 | 0.92 |
| Social Activities | SA1–SA6 | 0.85–0.90 | 0.94 | 0.62 | 0.94 |
| Governance Activities | GA1–GA6 | 0.81–0.89 | 0.93 | 0.60 | 0.92 |
| Internal Market-Oriented Culture | IMOC1–IMOC7 | 0.80–0.88 | 0.92 | 0.43 | 0.93 |
| Job Crafting | JC1–JC4 | 0.81–0.88 | 0.88 | 0.54 | 0.86 |
| Organizational Performance | OP1–OP4 | 0.69–0.79 | 0.79 | 0.42 | 0.89 |
| Financial Performance | FP1–FP6 | 0.82–0.91 | 0.93 | 0.51 | 0.93 |
| Attribute | N (%) | ESG Practices (M, SD) | IMOC (M, SD) | Job Crafting (M, SD) | Organizational Performance (M, SD) | Financial Performance (M, SD) |
|---|---|---|---|---|---|---|
| Gender | ||||||
| Male Female | 268 (43.6%) 346 (56.4%) | 4.45 (0.68) 4.45 (0.61) t = −0.61 | 4.47 (0.68) 4.43 (0.61) t = 0.81 | 4.36 (0.69) 4.25 (0.67) t = 1.74 | 4.22 (0.70) 4.12 (0.73) t = 1.71 | 4.24 (0.78) 4.19 (0.70) t = 0.78 |
| Age | ||||||
| <30 years 31–40 years 41–50 years >51 years | 72 (11.7%) 156 (23.8%) 244 (39.7%) 152 (24.8%) | 3.85 (1.30) 4.43 (0.53) 4.44 (0.61) 4.58 (0.54) F = 4.94 ** | 4.00 (1.33) 4.41 (0.67) 4.35 (0.64) 4.62 (0.51) F = 4.01 ** | 4.03 (0.73) 4.22 (0.68) 4.26 (0.58) 4.29 (0.68) F = 4.06 ** | 3.85 (0.85) 4.11 (0.73) 4.14 (0.66) 4.16 (0.72) F = 3.11 ** | 4.14 (0.91) 3.94 (0.83) 4.12 (0.72) 4.36 (0.65) F = 2.91 ** |
| Marriage | ||||||
| Unmarried Married | 122 (19.9%) 492 (80.1%) | 4.29 (0.75) 4.49 (0.60) t = −3.19 ** | 4.21 (0.83) 4.50 (0.57) t = −3.50 ** | 4.03 (0.80) 4.35 (0.64) t = −4.66 ** | 3.99 (0.82) 4.21 (0.68) t = −3.12 ** | 4.08 (0.82) 4.24 (0.71) t = −2.12 * |
| Education | ||||||
| Diploma University Master | 170 (27.7%) 250 (40.7%) 194 (31.6%) | 4.57 (0.55) 4.52 (0.57) 4.46 (0.64) F = 2.01 | 4.30 (0.67) 4.46 (0.51) 4.47 (0.19) F = 4.45 ** | 4.12 (0.72) 4.14 (0.77) 4.13 (0.60) F = 3.12 | 4.11 (0.72) 4.14 (0.77) 4.22 (0.65) F = 0.88 | 4.22 (0.76) 4.27 (0.75) 4.32 (0.64) F = 1.78 |
| Job Position | ||||||
| Employee Supervisor Manager | 216 (35.2%) 136 (22.1%) 262 (42.7%) | 4.39 (0.71) 4.46 (0.59) 4.49 (0.60) F = 1.51 | 4.36 (0.75) 4.42 (0.57) 4.52 (0.55) F = 3.96 | 4.08 (0.77) 4.36 (0.58) 4.43 (0.61) F = 18.1 ** | 3.94 (0.73) 4.18 (0.72) 4.35 (0.65) F = 21.03 ** | 4.16 (0.76) 4.25 (0.70) 4.23 (0.73) F = 0.73 |
| Work Location | ||||||
| Taiwan China S.E. Asia Other | 200 (32.6) 177 (28.8%) 172 (28.0%) 65 (10.6) | 4.46 (0.68) 4.41 (0.59) 4.51 (0.65) 4.40 (0.64) F = 0.81 | 4.44 (0.66) 4.40 (0.62) 4.50 (0.61) 4.43 (0.68) F = 0.78 | 4.27 (0.71) 4.26 (0.70) 4.35 (0.62) 4.28 (0.72) F = 0.61 | 4.16 (0.72) 4.14 (0.74) 4.20 (0.70) 4.18 (0.68) F = 0.24 | 4.24 (0.73) 4.12 (0.74) 4.28 (0.72) 4.19 (0.78) F = 1.39 |
| Mean | SD | 1 | 2 | 3 | 4 | 5 | 6 | 7 | |
|---|---|---|---|---|---|---|---|---|---|
| 1. Environmental Activities | 4.465 | 0.6703 | 1 | 0.741 ** | 0.700 ** | 0.695 ** | 0.547 ** | 0.435 ** | 0.553 ** |
| 2. Social Activities | 4.469 | 0.6699 | 1 | 0.843 ** | 0.756 ** | 0.601 ** | 0.419 ** | 0.635 ** | |
| 3. Governance Activities | 4.432 | 0.684 | 1 | 0.805 ** | 0.617 ** | 0.467 ** | 0.674 ** | ||
| 4. Internal Market-Oriented Culture | 4.497 | 0.6376 | 1 | 0.665 ** | 0.481 ** | 0.679 ** | |||
| 5. Job Crafting | 4.290 | 0.6844 | 1 | 0.597 ** | 0.654 ** | ||||
| 6. Organizational Performance | 4.167 | 0.717 | 1 | 0.569 ** | |||||
| 7. Financial Performance | 4.211 | 0.7367 | 1 |
| Internal Market-Oriented Culture | Organizational Performance | ||||||||
|---|---|---|---|---|---|---|---|---|---|
| M1 | M2 | M3 | M4 | M5 | M6 | M7 | M8 | M8-1 | |
| Control variables | |||||||||
| Gender | −0.04 | −0.01 | −0.03 | −0.09 | −0.16 | −0.07 | −0.06 | −0.03 | |
| Age | −0.01 | 0.02 | −0.02 | −0.01 | 0.03 | 0.00 | 0.01 | −0.02 | |
| Marriage | −0.02 | −0.02 | 0.03 | 0.06 | 0.03 | 0.08 | 0.08 | 0.03 | |
| Education | 0.00 | 0.05 | 0.02 | 0.03 | −0.04 | 0.05 | 0.04 | 0.02 | |
| Job position | 0.12 ** | 0.16 ** | 0.52 ** | 0.14 * | −0.12 | 0.15 | 0.04 | 0.44 ** | |
| Work location | 0.09 | 0.08 | −0.06 | −0.07 | −0.04 | −0.08 | −0.12 | −0.06 | |
| Independent variables | |||||||||
| Environmental Activities | 0.71 ** | 0.44 * | |||||||
| Social Activities | 0.83 ** | 0.42 * | |||||||
| Governance Activities | 0.59 ** | 0.46 * | |||||||
| Internal Market-Oriented Culture | 0.48 * | ||||||||
| Job Crafting | 0.59 ** | ||||||||
| IMOC × JC | 0.18 ** | ||||||||
| R2 | 0.49 | 0.69 | 0.68 | 0.19 | 0.18 | 0.47 | 0.24 | 0.36 | 0.40 |
| Adj-R2 | 0.48 | 0.68 | 0.67 | 0.18 | 0.17 | 0.21 | 0.23 | 0.35 | |
| F | 28.2 ** | 49.3 ** | 108.1 * | 71.2 * | 64.9 * | 84.9 * | 94.6 ** | 168.6 * | |
| Change in R2 | 0.01 | 0.01 | 0.01 | 0.02 | 0.02 | 0.02 | 0.03 | 0.01 | 0.01 ** |
| Financial Performance | ||||||
|---|---|---|---|---|---|---|
| M9 | M10 | M11 | M12 | M13 | M13-1 | |
| Control variables | ||||||
| Gender | −0.05 | −0.03 | −0.03 | −0.02 | 0.02 | |
| Age | −0.01 | 0.01 | −0.01 | 0.01 | −0.01 | |
| Marriage | 0.01 | 0.01 | 0.03 | 0.02 | −0.02 | |
| Education | −0.00 | 0.03 | 0.02 | 0.00 | −0.01 | |
| Job position | 0.00 | 0.07 | 0.23 ** | 0.22 ** | 0.34 ** | |
| Work location | 0.04 | 0.03 | 0.03 | −0.02 | 0.05 | |
| Independent variables | ||||||
| Environmental Activities | 0.56 *** | |||||
| Social Activities | 0.63 *** | |||||
| Governance Activities | 0.67 *** | |||||
| Internal Market-Oriented Culture | 0.68 *** | |||||
| Job Crafting | 0.66 *** | |||||
| EA × IMOC SA × IMOC GA × IMOC | 0.04 0.11 0.11 | |||||
| R2 | 0.31 | 0.40 | 0.45 | 0.46 | 0.43 | 0.57 0.59 0.61 |
| Adj-R2 | 0.30 | 0.40 | 0.45 | 0.46 | 0.43 | |
| F | 22.53 *** | 34.25 *** | 42.03 *** | 42.97 *** | 37.78 *** | |
| Change in R2 | 0.00 ** | 0.00 ** | 0.00 ** | 0.00 ** | 0.00 ** | 0.00 0.01 0.00 |
| Path | Effect | B | Boot (SE) | Boot LLCI | Boot ULCI |
|---|---|---|---|---|---|
| EA → IMOC → OP | Total effect | 0.466 | 0.055 | 0.357 | 0.574 |
| Direct effect | 0.209 | 0.074 | 0.064 | 0.355 | |
| Indirect effect | 0.256 | 0.055 | 0.155 | 0.371 | |
| SA → IMOC → OP | Total effect | 0.449 | 0.056 | 0.339 | 0.558 |
| Direct effect | 0.139 | 0.082 | −0.022 | 0.300 | |
| Indirect effect | 0.231 | 0.065 | 0.192 | 0.446 | |
| GA → IMOC → OP | Total effect | 0.489 | 0.053 | 0.385 | 0.594 |
| Direct effect | 0.238 | 0.088 | 0.065 | 0.411 | |
| Indirect effect | 0.251 | 0.069 | 0.126 | 0.400 | |
| EA → IMOC → FP | Total effect | 0.608 | 0.052 | 0.505 | 0.711 |
| Direct effect | 0.173 | 0.064 | 0.047 | 0.298 | |
| Indirect effect | 0.435 | 0.057 | 0.330 | 0.553 | |
| SA → IMOC → FP | Total effect | 0.698 | 0.049 | 0.602 | 0.794 |
| Direct effect | 0.313 | 0.068 | 0.178 | 0.447 | |
| Indirect effect | 0.386 | 0.061 | 0.270 | 0.506 | |
| GA → IMOC → FP | Total effect | 0.725 | 0.046 | 0.636 | 0.815 |
| Direct effect | 0.389 | 0.073 | 0.245 | 0.533 | |
| Indirect effect | 0.337 | 0.072 | 0.194 | 0.474 |
| Hypotheses | Result |
|---|---|
| H1-1: Environmental activities positively influence internal market-oriented culture (IMOC). | Accepted |
| H1-2: Social activities positively influence IMOC. | Accepted |
| H1-3: Governance activities positively influence IMOC. | Accepted |
| H2-1: Environmental activities positively influence organizational performance. | Accepted |
| H2-2: Social activities positively influence organizational performance. | Accepted |
| H2-3: Governance activities positively influence organizational performance. | Accepted |
| H3-1: Environmental activities positively affect financial performance. | Accepted |
| H3-2: Social activities positively affect financial performance. | Accepted |
| H3-3: Governance activities positively affect financial performance. | Accepted |
| H4: IMOC positively affects financial performance. | Accepted |
| H5: IMOC positively affects organizational performance. | Accepted |
| H6-1 to H6-3: IMOC mediates the relationship between ESG activities and financial performance. | Accepted |
| H7-1 to H7-3: IMOC mediates the relationship between ESG activities and organizational performance. | Accepted |
| H8-1 to H8-3: Job crafting moderates the relationship between ESG activities (environmental, social, and governance) and financial performance. | Accepted |
| H9-1 to H9-3: Job crafting moderates the relationship between ESG activities (environmental, social, and governance) and organizational performance. | Accepted |
Disclaimer/Publisher’s Note: The statements, opinions and data contained in all publications are solely those of the individual author(s) and contributor(s) and not of MDPI and/or the editor(s). MDPI and/or the editor(s) disclaim responsibility for any injury to people or property resulting from any ideas, methods, instructions or products referred to in the content. |
© 2025 by the authors. Licensee MDPI, Basel, Switzerland. This article is an open access article distributed under the terms and conditions of the Creative Commons Attribution (CC BY) license (https://creativecommons.org/licenses/by/4.0/).
Share and Cite
Chen, K.-S.; Lin, S.-T.; Chuang, C.-J. ESG Strategies and Sustainable Performance in Multinational Enterprises. Sustainability 2025, 17, 751. https://doi.org/10.3390/su17020751
Chen K-S, Lin S-T, Chuang C-J. ESG Strategies and Sustainable Performance in Multinational Enterprises. Sustainability. 2025; 17(2):751. https://doi.org/10.3390/su17020751
Chicago/Turabian StyleChen, Kao-Shan, Shih-Tse Lin, and Che-Jen Chuang. 2025. "ESG Strategies and Sustainable Performance in Multinational Enterprises" Sustainability 17, no. 2: 751. https://doi.org/10.3390/su17020751
APA StyleChen, K.-S., Lin, S.-T., & Chuang, C.-J. (2025). ESG Strategies and Sustainable Performance in Multinational Enterprises. Sustainability, 17(2), 751. https://doi.org/10.3390/su17020751

