Modeling the Effects of Strict Protection of Forest Areas—Part of the Provisions of the EU Biodiversity Strategy 2030
Abstract
1. Introduction
2. Materials and Methods
The Scope of the Scenarios in the Adopted Models Are as Follows
- A—area [ha];
- Y—average yield [m3/ha];
- * average wood extraction in clear-cutting.
- A—area [ha];
- Y—average yield [m3/ha];
- ** average wood collection in complex cuttings (taking into account nest, partial, cleaning cuts, etc.).
- A—area [ha];
- It—thinning intensity specified in the PUL [m3/ha].
- The volume of large wood (m3) from prevent final felling;
- The volume of large wood (m3) from prevent pre-final felling;
- Percentage share of pre-final felling;
- 10-year final felling (m3) after reduction;
- 10-year pre-final feeling max. (m3) after reduction.
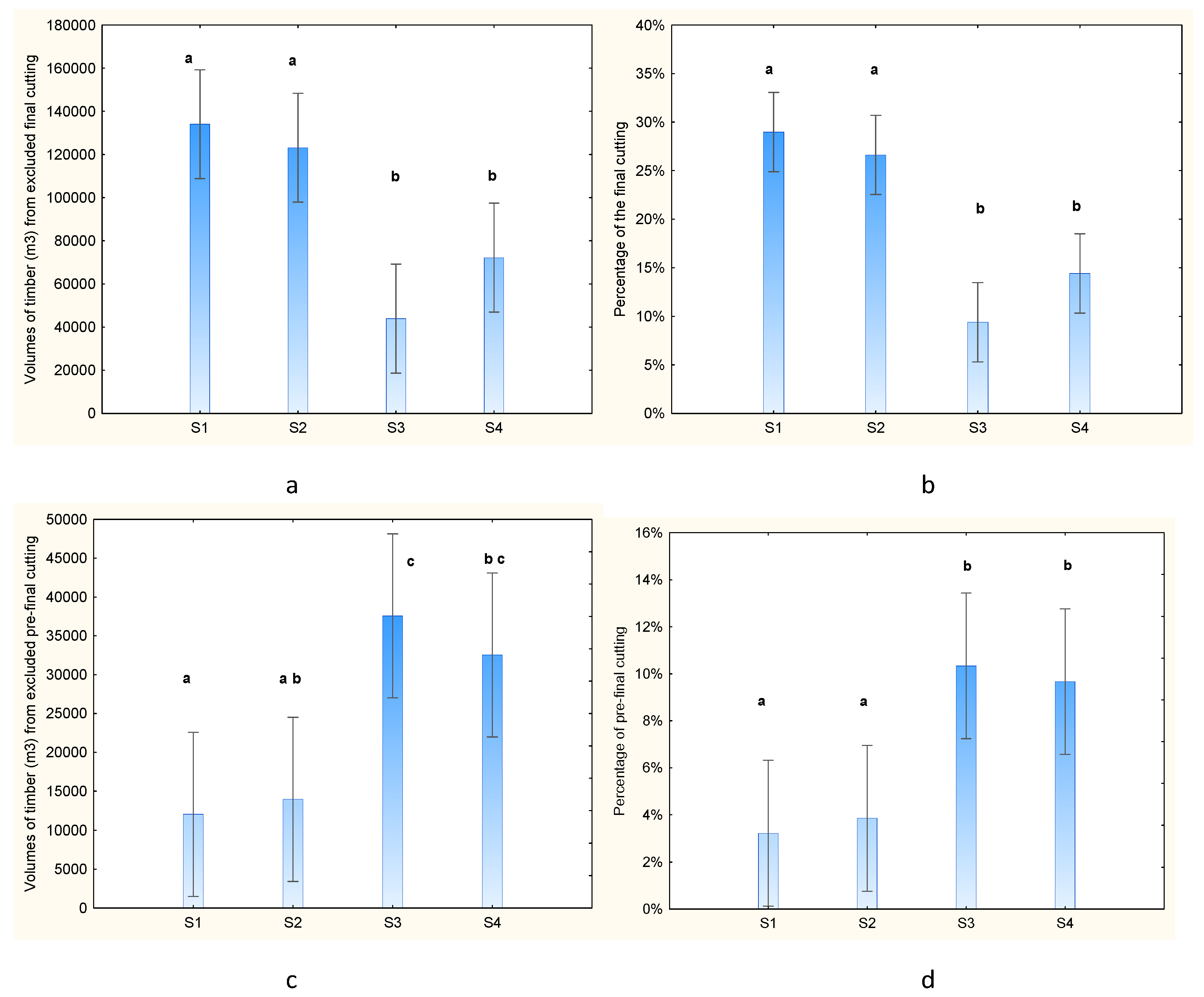
3. Results
4. Discussion
5. Conclusions
Author Contributions
Funding
Institutional Review Board Statement
Informed Consent Statement
Data Availability Statement
Conflicts of Interest
References
- European Commission. New EU Forest Strategy for 2030; European Commission: Brussels, Belgium, 2021; Available online: https://eur-lex.europa.eu/legal-content/EN/TXT/?uri=CELEX%3A52021DC0572 (accessed on 15 August 2024).
- European Commission. The European Green Deal; European Commission: Brussels, Belgium, 2019; Available online: https://eur-lex.europa.eu/legal-content/EN/TXT/?uri=COM%3A2019%3A640%3AFIN (accessed on 15 August 2024).
- Zawiła-Niedźwiecki, T.; Borkowski, P. Perspektywy Polskiego leśnictwa w kontekście zielonego ładu. (Prospects for Polish Forestry in the Context of the Green Deal). 2015. Available online: http://www.ptl.pl/dokumenty/zjazdy_krajowe/121_zjazd_stare_jablonki/2_zawila_niedzwiecki_perspektywy_polskiego_lesnictwa_w_kontekscie_europejskiego_zielonego_ladu.pdf (accessed on 24 October 2024).
- Lewis, S.L.; Maslin, M.A. Defining the anthropocene. Nature 2015, 519, 171–180. [Google Scholar] [CrossRef] [PubMed]
- Maxwell, S.L.; Fuller, R.A.; Brooks, T.M.; Watson, J.E. Biodiversity: The ravages of guns, nets and bulldozers. Nature 2016, 536, 143–145. [Google Scholar] [CrossRef] [PubMed]
- Wolfslehner, B.; Pülzl, H.; Kleinschmit, D.; Aggestam, F.; Winkel, G.; Candel, J.; Eckerberg, K.; Feindt, P.; McDermott, C.; Secco, L.; et al. European forest governance post-2020. In From Science to Policy; European Forest Institute: Joensuu, Finland, 2020; Volume 10, pp. 1–52. [Google Scholar] [CrossRef]
- Aggestam, F.; Alexandru Giurca, A. The art of the “green” deal: Policy pathways for the EU Forest Strategy. For. Policy Econ. 2021, 128, 102456. [Google Scholar] [CrossRef]
- Lier, M.; Köhl, M.; Korhonen, K.T.; Linser, S.; Prins, K.; Talarczyk, A. The New EU Forest Strategy for 2030: A New Understanding of Sustainable Forest Management? Forests 2022, 13, 245. [Google Scholar] [CrossRef]
- Traktat o Funkcjonowaniu Unii Europejskiej—Część Pierwsza—Zasady—Tytuł I—Kategorie i Dziedziny Kompetencji Unii—3 (Dz.U. C 202 z 7.6.2016). Available online: https://eur-lex.europa.eu/resource.html?uri=cellar:9e8d52e1-2c70-11e6-b497-01aa75ed71a1.0018.01/DOC_3&format=PDF (accessed on 20 August 2024).
- Hermoso, V.; Carvalho, S.B.; Giakoumi, S.; Goldsborough, D.; Katsanevakis, S.; Leontiou, S.; Markantonatou, V.; Rumes, B.; Vogiatzakis, I.N.; Yates, K.L. The EU Biodiversity Strategy for 2030: Opportunities and challenges on the path towards biodiversity recovery. Environ. Sci. Policy 2022, 127, 263–271. [Google Scholar] [CrossRef]
- Spiliopoulou, K.; Brooks, T.M.; Dimitrakopoulos, P.G.; Oikonomou, A.; Karavatsou, F.; Stoumboudi, M.T.; Triantis, K.A. Protected areas and the ranges of threatened species: Towards the EU Biodiversity Strategy 2030. Biol. Conserv. 2023, 284, 110166. [Google Scholar] [CrossRef]
- Selva, N.; Chylarecki, P.; Jonssona, B.-G.; Ibisch, P.L. Misguided forest action in EU Biodiversity Strategy. Science 2020, 368, 1438–1439. [Google Scholar] [CrossRef]
- Bergseng, E.; Ask, J.A.; Framstad, E.; Gobakken, T.; Solberg, B.; Hoen, H.F. Biodiversity protection and economics in long term boreal forest management—A detailed case for the valuation of protection measures. For. Policy Econ. 2012, 15, 12–21. [Google Scholar] [CrossRef]
- Blicharska, M.; Orlikowska, E.H.; Roberge, J.-M.; Grodzinska-Jurczak, M. Contribution of social science to large scale biodiversity conservation: A review of research about the Natura 2000 network. Biol. Conserv. 2016, 199, 110–122. [Google Scholar] [CrossRef]
- Martínez-Jauregui, M.; Delibes-Mateos, M.; Arroyo, B.; Glikman, J.A.; Soliño, M. Beyond rural vs urban differences: A close match in european preferences in some basic wildlife management and conservation principles. J. Environ. Manag. 2023, 331, 117236. [Google Scholar] [CrossRef]
- Forest Europe. Ministerial Conference on the Protection of Forests in Europe. Available online: https://foresteurope.org/ (accessed on 30 August 2024).
- Grzywacz, A. Zrównoważone użytkowanie różnorodności biologicznej współczesną formą ochrony przyrody. (Sustainable use of biodiversity a contemporary form of nature conservation). Sylwan 2005, 5, 10–22. Available online: https://bibliotekanauki.pl/articles/1022647.pdf (accessed on 24 August 2024).
- Ustawa z dnia 28 września 1991 r. o lasach. 1991. Dz. U. Nr 101, poz. 444. Available online: https://isap.sejm.gov.pl/isap.nsf/DocDetails.xsp?id=wdu19911010444 (accessed on 15 January 2025).
- Borecki, T.; Pieniak, D.; Wójcik, R. Realizacja użytkowania przedrannego w Lasach Państwowych w okresie 1999−2004. (Implementation of pre-wound use in the State Forests in the period 1999–2004). Sylwan 2012, 156, 848–854. Available online: https://agro.icm.edu.pl/agro/element/bwmeta1.element.agro-108627c4-6d6d-40f2-b810-a62bc0e3baeb/c/2012_11_848au.pdf (accessed on 24 August 2024).
- Brang, P.; Spathelf, P.; Larsen, J.-B.; Bauhus, J.; Boncèna, A.; Chauvin, C.; Drössler, L.; García-Güemes, C.; Heiri, C.; Kerr, G.; et al. Suitability of close-to-nature silviculture for adapting temperate European forests to climate change. Forestry 2014, 87, 492–503. [Google Scholar] [CrossRef]
- Bollmann, K.; Braunisch, V. To integrate or to segregate: Balancing commodity production and biodiversity conservation in European forests. In Integrative Approaches as an Opportunity for the Conservation of Forest Biodiversity; Kraus, D., Krumm, F., Eds.; European Forest Institute: Joensuu, Finland, 2013; pp. 18–31. [Google Scholar]
- Cole, D.N.; Yung, L. Beyond Naturalness: Rethinking Park and Wilderness Stewardship in an Era of Rapid Change; Island Press: Washington, DC, USA, 2010. [Google Scholar]
- Sebek, P.; Bace, R.; Bartos, M.; Benes, J.; Chlumska, Z.; Dolezal, J.; Dvorsky, M.; Kovar, J.; Machac, O.; Mikatova, B.; et al. Does minimal intervention approach threaten the biodiversity of protected areas? A multi-taxa short-term response to intervention in temperate oak-dominated forests. For. Ecology Manag. 2015, 358, 80–89. [Google Scholar] [CrossRef]
- Regionalna Dyrekcja Lasów Państwowych w Poznaniu. Available online: https://www.poznan.lasy.gov.pl/nasze-lasy (accessed on 20 August 2024).
- European Commission. EU Biodiversity Strategy for 2030. Bringing Nature Back into Our Lives; European Commission: Brussels, Belgium, 2020; Available online: https://eur-lex.europa.eu/legal-content/EN/TXT/?uri=celex%3A52020DC0380 (accessed on 10 August 2024).
- Bank Danych o Lasach. Available online: https://www.bdl.lasy.gov.pl/portal/ (accessed on 20 August 2024).
- System Informatyczny Lasów Państwowych. (State Forest Information System). Available online: https://www.lasy.gov.pl/pl (accessed on 20 August 2024).
- SAP BusinessObjects Business Intelligence. Available online: https://www.sap.com/products/technology-platform/bi-platform.html (accessed on 20 August 2024).
- Obwieszczenie Ministra Środowiska z Dnia 30 Października 2014 r. w Sprawie Ogłoszenia Jednolitego Tekstu Rozporządzenia Ministra Środowiska w Sprawie Siedlisk Przyrodniczych oraz Gatunków Będących Przedmiotem Zainteresowania Wspólnoty, a Także Kryteriów Wyboru Obszarów Kwalifikujących się do Uznania lub Wyznaczenia Jako Obszary Natura 2000. Available online: https://isap.sejm.gov.pl/isap.nsf/DocDetails.xsp?id=WDU20140001713 (accessed on 15 January 2025).
- Obszary Natura 2000. Available online: https://www.gov.pl/web/rdos-warszawa/obszary-natura-2000 (accessed on 20 August 2024).
- Plan Urządzenia Lasu. (Forest Management Plan). Available online: https://www.bdl.lasy.gov.pl/portal/pul_nadlesnictwa (accessed on 20 August 2024).
- Wyniki aktualizacji stanu powierzchni leśnej i zasobów drzewnych w Lasach Państwowych na dzień 1 stycznia 2022 r. (Results of Updating the State of Forest Area and Wood Resources in the National Forests as of January 1, 2022). Available online: https://www.bdl.lasy.gov.pl/portal/Media/Default/Publikacje/Aktualizacja_2022_LP.pdf (accessed on 20 August 2024).
- Profft, I.; Mund, M.; Weber, G.E.; Weller, E.; Schulze, E.D. Forest management and carbon sequestration in wood products. Eur. J. For. Res. 2009, 128, 399–413. [Google Scholar] [CrossRef]
- Werner, F.; Taverna, R.; Hofer, P.; Thürig, E.; Kaufmann, E. National and global greenhouse gas dynamics of different forest management and wood use scenarios: A model-based assessment. Environ. Sci. Policy 2010, 13, 72–85. [Google Scholar] [CrossRef]
- Gutsch, M.; Lasch-Born, P.; Kollas, C.; Suckow, F.; Reyer, C.P.O. Balancing trade-offs between ecosystem services in Germany’s forests under climate change. Environ. Res. Lett. 2018, 13, 045012. [Google Scholar] [CrossRef]
- Nabuurs, G.J.; Arets, E.; Schelhaas, M.J. Understanding the implications of the EU-LULUCF regulation for the wood supply from EU forests to the EU. Carbon Bal. Manag. 2018, 13, 1–10. [Google Scholar] [CrossRef]
- Biber, P.; Felton, A.; Nieuwenhuis, M.; Lindbladh, M.; Black, K.; Bahýl’, J.; Bingöl, Ö.; Borges, J.G.; Botequim, B.; Brukas, V.; et al. Forest Biodiversity, Carbon Sequestration, and Wood Production: Modeling Synergies and Trade-Offs for Ten Forest Landscapes Across Europe. Front. Ecol. Evol. 2020, 8, 547696. [Google Scholar] [CrossRef]
- Blattert, C.; Lemm, R.; Thürig, E.; Stadelmann, G.; Brändli, U.-B.; Temperli, C. Long-term impacts of increased wood harvests on ecosystem services and biodiversity: A scenario study based on national forest inventory data. Ecosyst. Serv. 2020, 45, 101150. [Google Scholar] [CrossRef]
- Vergarechea, M.; Astrup, R.; Fischer, C.; Øistad, K.; Blattert, C.; Hartikainen, M.; Eyvindson, K.; di Fulvio, F.; Forsell, N.; Burgas, D.; et al. Future wood demands and ecosystem services trade-offs: A policy analysis in Norway. For. Policy Econ. 2023, 147, 102899. [Google Scholar] [CrossRef]
- Regelmann, C.; Rosenkranz, L.; Seintsch, B.; Dieter, M. Economic Evaluation of Different Implementation Variants and Categories of the EU Biodiversity Strategy 2030 Using Forestry in Germany as a Case Study. Forests 2023, 14, 1173. [Google Scholar] [CrossRef]
- Chan, K.M.A.; Shaw, M.R.; Cameron, D.R.; Underwood, E.C.; Daily, G.C. Conservation planning for ecosystem services. PLoS Biol. 2006, 4, 2138–2152. [Google Scholar] [CrossRef] [PubMed]
- Xu, J.; Melick, D.R. Rethinking the effectiveness of public protected areas in southwestern China. Conserv. Biol. 2007, 21, 318–328. [Google Scholar] [CrossRef]
- Bryan, B.A.; Gao, L.; Ye, Y.; Sun, X.; Connor, J.D.; Crossman, N.D.; Stafford-Smith, M.; Wu, J.; He, C.; Yu, D.; et al. China’s response to a national land-system sustainability emergency. Nature 2018, 559, 193–204. [Google Scholar] [CrossRef]
- Schier, F.; Iost, S.; Seintsch, B.; Weimar, H.; Dieter, M. Assessment of Possible Production Leakage from Implementing the EU Biodiversity Strategy on Forest Product Markets. Forests 2022, 13, 1225. [Google Scholar] [CrossRef]
- Wysocka-Fijorek, E.; Gołos, P.; Janeczko, K. Between Biodiversity Conservation and the Supply for Broadleaved Wood: A Case Study of State Forests National Forest Holding (Poland). Forests 2022, 13, 438. [Google Scholar] [CrossRef]
- Mather-Gratton, Z.J.; Larsen, S.; Bentsen, N.S. Understanding the sustainability debate on forest biomass for energy in Europe: A discourse analysis. PLoS ONE 2021, 16, e0246873. [Google Scholar] [CrossRef]
- Räty, M.; Juutinen, A.; Korhonen, K.T.; Syrjänen, K.; Kärkkäinen, L. EU wood production vs. biodiversity goals–possible reconciliation in Finland? Scand. J. For. Res. 2023, 38, 287–299. [Google Scholar] [CrossRef]
- Margules, C.R.; Pressey, R.L. Systematic Conservation Planning. Nature 2000, 405, 243–253. [Google Scholar] [CrossRef]
- Pressey, R.L.; Cabeza, M.; Watts, M.E.; Cowling, R.M.; Wilson, K.A. Conservation planning in a changing world. Trends Ecol Evol. 2007, 22, 583–592. [Google Scholar] [CrossRef]
- Cerullo, G.; Barlow, J.; Betts, M.; Edwards, D.; Eyres, A.; França, F.; Garrett, R.; Swinfield, T.; Tew, E.; White, T.; et al. The global impact of EU forest protection policies. Science 2023, 381, 740. [Google Scholar] [CrossRef]
- Deloitte Polska. Analiza scenariuszowa wpływu ograniczenia możliwości pozyskania surowca drzewnego przez Lasy Państwowe na sytuację społeczno-ekonomiczną w Polsce, (Scenario Analysis of the Impact of the Reduction of Wood Harvesting Possibilities by the State Forests on the Socio-Economic Situation in Poland). Deloitte Polska, 2021. Warszawa. Available online: http://zlpwrp.pl/wp-content/uploads/2021/03/Deloitte_LP_analiza-wp%C5%82ywu-zmian-w-pozyskaniu_wersja-final_05_03_21.pdf (accessed on 10 August 2024).
- Grodzki, W. Konsekwencje Objęcia Ochroną Ścisłą 1 (…). (Consequences of Strict Protection 1) Ekspertyza. 2021. Available online: https://www.lasy.gov.pl/pl/informacje/publikacje/informacje-statystyczne-i-raporty/ekspertyzy-okreslajace-skutki-wdrozenia-unijnej-strategii-na-rzecz-bioroznorodnosci-do-2030-r/konsekwencje-objecia-ochrona-scisla-owady-prof-w-grodzki.pdf/@@download/file/Konsekwencje%20obj%C4%99cia%20ochron%C4%85%20%C5%9Bcis%C5%82%C4%85%20-owady%20prof.%20W.%20Grodzki.pdf (accessed on 20 August 2024).
- Wysocka-Fijorek, E. Konsekwencje Objęcia Ochroną Ścisłą Polski 2 (…). (Consequences of Strict Protection 2) Ekspertyza. 2021. Available online: https://www.lasy.gov.pl/pl/informacje/publikacje/informacje-statystyczne-i-raporty/ekspertyzy-okreslajace-skutki-wdrozenia-unijnej-strategii-na-rzecz-bioroznorodnosci-do-2030-r/konsekwencje-objecia-ochrona-scisla-dwutlenek-wegla-i-produkcja-drewna-dr-e-wysocka-fijorek.pdf/@@download/file/Konsekwencje%20obj%C4%99cia%20ochron%C4%85%20%C5%9Bcis%C5%82%C4%85%20-%20dwutlenek%20w%C4%99gla%20i%20produkcja%20drewna%20dr%20E.%20Wysocka-Fijorek.pdf (accessed on 20 August 2024).
- Brzeziecki, B. Konsekwencje Objęcia Ochroną Ścisłą 3 (…). (Consequences of Strict Protection 3) Ekspertyza. 2021. Available online: https://www.lasy.gov.pl/pl/informacje/publikacje/informacje-statystyczne-i-raporty/ekspertyzy-okreslajace-skutki-wdrozenia-unijnej-strategii-na-rzecz-bioroznorodnosci-do-2030-r/konsekwencje-objecia-ochrona-scisla-zbiorowiska-lesne-prof-b-brzeziecki.pdf/@@download/file/Konsekwencje%20obj%C4%99cia%20ochron%C4%85%20%C5%9Bcis%C5%82%C4%85%20zbiorowiska%20le%C5%9Bne%20-%20prof.%20B.%20Brzeziecki.pdf (accessed on 20 August 2024).




| Scenarios | Type of Forest Exclusion from Economic Use |
|---|---|
| S1 | Equally set-aside 10% of the forest area in each forest district |
| S2 | Set-aside 10% of forest area based on the age of stands disregarding forest districts’ boundaries |
| S3 | Set-aside of natural habitats scattered in and outside Natura 2000 areas |
| S4 | Only Natura 2000 and attached reserves are set-aside |
| The Dominant Species | Average Yield in m3/ha | |||||||||
|---|---|---|---|---|---|---|---|---|---|---|
| On Non-Forested Forest Lands | Age Class * | Total Age Class on Forest Lands Covered with Wood | Total on the Forest Area | |||||||
| I | II | III | IV | V | VI | VII and Older | ||||
| Total | 16 | 9 | 146 | 295 | 341 | 380 | 408 | 418 | 275 | 270 |
| Pine | 13 | 7 | 165 | 303 | 342 | 375 | 397 | 389 | 279 | 274 |
| Spruce | 19 | 11 | 158 | 339 | 428 | 459 | 465 | 425 | 297 | 293 |
| Fir | 17 | 11 | 108 | 327 | 422 | 468 | 481 | 476 | 368 | 365 |
| Beech | 18 | 7 | 51 | 234 | 349 | 408 | 450 | 469 | 263 | 261 |
| Oak | 21 | 8 | 87 | 251 | 317 | 366 | 405 | 435 | 241 | 236 |
| Hornbeam | 38 | 10 | 111 | 225 | 288 | 336 | 373 | 380 | 264 | 263 |
| Birch | 21 | 33 | 152 | 238 | 287 | 294 | 293 | 323 | 231 | 228 |
| Alder | 22 | 58 | 180 | 279 | 332 | 382 | 406 | 406 | 269 | 250 |
| Poplar | 26 | 115 | 307 | 321 | 338 | 352 | 291 | 242 | 274 | 269 |
| Axen | 33 | 13 | 129 | 252 | 316 | 389 | 433 | 413 | 273 | 273 |
| Variable | Descriptive Statistics | |||||
|---|---|---|---|---|---|---|
| Scenario | Minimum | Maximum | Mean | Std Dev | Variance Factor | |
| Volumes of wood (m3) from shutdown final cutting | S1 | 63,457.0 | 275,963.0 | 134,020.1 | 52,616.9 | 39.3 |
| Volumes of wood (m3) from shutdown pre-final cutting | S1 | 184.0 | 27,195.0 | 12,033.0 | 6420.3 | 53.4 |
| 10-year prescribed final cutting (m3) after reduction | S1 | 165,290.0 | 605,731.0 | 338,117.1 | 125,998.6 | 37.3 |
| Possibly of intermediate cutting for 10 years max. (m3) after reduction | S1 | 209,707.0 | 563,476.0 | 362,378.2 | 105,023.8 | 29.0 |
| Volumes of wood (m3) from shutdown final cutting | S2 | 29,946.0 | 305,138.0 | 123,141.2 | 66,587.5 | 54.1 |
| Volumes of wood (m3) from shutdown pre-final cutting | S2 | 81.0 | 79,508.0 | 13,968.6 | 16,267.8 | 116.5 |
| 10-year prescribed final cutting (m3) after reduction | S2 | 179,885.0 | 735,807.0 | 348,996.0 | 144,503.7 | 41.4 |
| Possibly of intermediate cutting for 10 years max. (m3) after reduction | S2 | 206,357.0 | 571,640.0 | 360,442.6 | 107,450.6 | 29.8 |
| Volumes of wood (m3) from shutdown final cutting | S3 | 3245.0 | 152,057.0 | 43,952.6 | 36,463.1 | 83.0 |
| Volumes of wood (m3) from shutdown pre-final cutting | S3 | 2775.0 | 130,000.0 | 37,577.1 | 31,173.9 | 83.0 |
| 10-year prescribed final cutting (m3) after reduction | S3 | 212,876.0 | 777,749.0 | 428,184.5 | 154,762.9 | 36.1 |
| Possibly of intermediate cutting for 10 years max. (m3) after reduction | S3 | 186,349.0 | 568,678.0 | 336,834.1 | 107,958.6 | 32.1 |
| Volumes of wood (m3) from shutdown final cutting | S4 | 707.0 | 310,202.0 | 72,205.0 | 87,317.9 | 120.9 |
| Volumes of wood (m3) from shutdown pre-final cutting | S4 | 318.0 | 139,771.0 | 32,534.2 | 39,343.9 | 120.9 |
| 10-year prescribed final cutting (m3) after reduction | S4 | 234,091.0 | 787,975.0 | 399,932.1 | 154,636.0 | 38.7 |
| Possibly of intermediate cutting for 10 years max. (m3) after reduction | S4 | 103,216.0 | 553,196.0 | 341,876.9 | 116,706.6 | 34.1 |
Disclaimer/Publisher’s Note: The statements, opinions and data contained in all publications are solely those of the individual author(s) and contributor(s) and not of MDPI and/or the editor(s). MDPI and/or the editor(s) disclaim responsibility for any injury to people or property resulting from any ideas, methods, instructions or products referred to in the content. |
© 2025 by the authors. Licensee MDPI, Basel, Switzerland. This article is an open access article distributed under the terms and conditions of the Creative Commons Attribution (CC BY) license (https://creativecommons.org/licenses/by/4.0/).
Share and Cite
Giełda-Pinas, K.; Starosta-Grala, M.; Wieruszewski, M.; Dynowska, J.; Molińska-Glura, M.; Adamowicz, K. Modeling the Effects of Strict Protection of Forest Areas—Part of the Provisions of the EU Biodiversity Strategy 2030. Sustainability 2025, 17, 737. https://doi.org/10.3390/su17020737
Giełda-Pinas K, Starosta-Grala M, Wieruszewski M, Dynowska J, Molińska-Glura M, Adamowicz K. Modeling the Effects of Strict Protection of Forest Areas—Part of the Provisions of the EU Biodiversity Strategy 2030. Sustainability. 2025; 17(2):737. https://doi.org/10.3390/su17020737
Chicago/Turabian StyleGiełda-Pinas, Katarzyna, Monika Starosta-Grala, Marek Wieruszewski, Joanna Dynowska, Marta Molińska-Glura, and Krzysztof Adamowicz. 2025. "Modeling the Effects of Strict Protection of Forest Areas—Part of the Provisions of the EU Biodiversity Strategy 2030" Sustainability 17, no. 2: 737. https://doi.org/10.3390/su17020737
APA StyleGiełda-Pinas, K., Starosta-Grala, M., Wieruszewski, M., Dynowska, J., Molińska-Glura, M., & Adamowicz, K. (2025). Modeling the Effects of Strict Protection of Forest Areas—Part of the Provisions of the EU Biodiversity Strategy 2030. Sustainability, 17(2), 737. https://doi.org/10.3390/su17020737

