Enhancing Soil Health in Rice Cultivation: Optimized Zn Application and Crop Residue Management in Calcareous Soils
Abstract
1. Introduction
2. Materials and Methods
2.1. Field Site and Experimental Design
2.2. Soil Sampling and Processing
2.3. Bulk Density
2.4. Organic Carbon and Organic Carbon Stock
2.5. Active Carbon
2.6. Soil Respiration Basic Protocol (Adapted from Zibilske [27])
2.7. Autoclave Citrate Extractable Protein (Adapted from Wright et al. [28])
2.8. Statistical Analysis
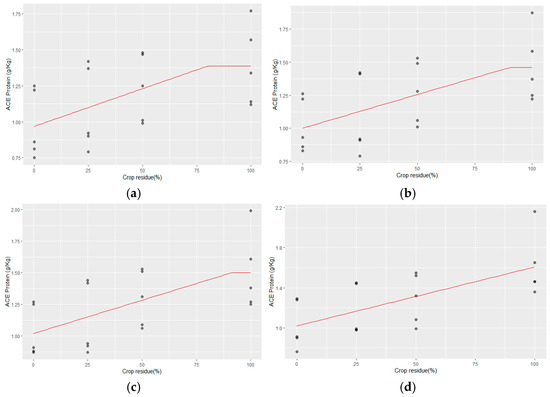
Statistical Evaluation of the Regression Model
3. Results
3.1. Soil Organic Carbon
3.2. Bulk Density
3.3. Organic Carbon Stock (SOC Stock)
3.4. Soil Biological Properties
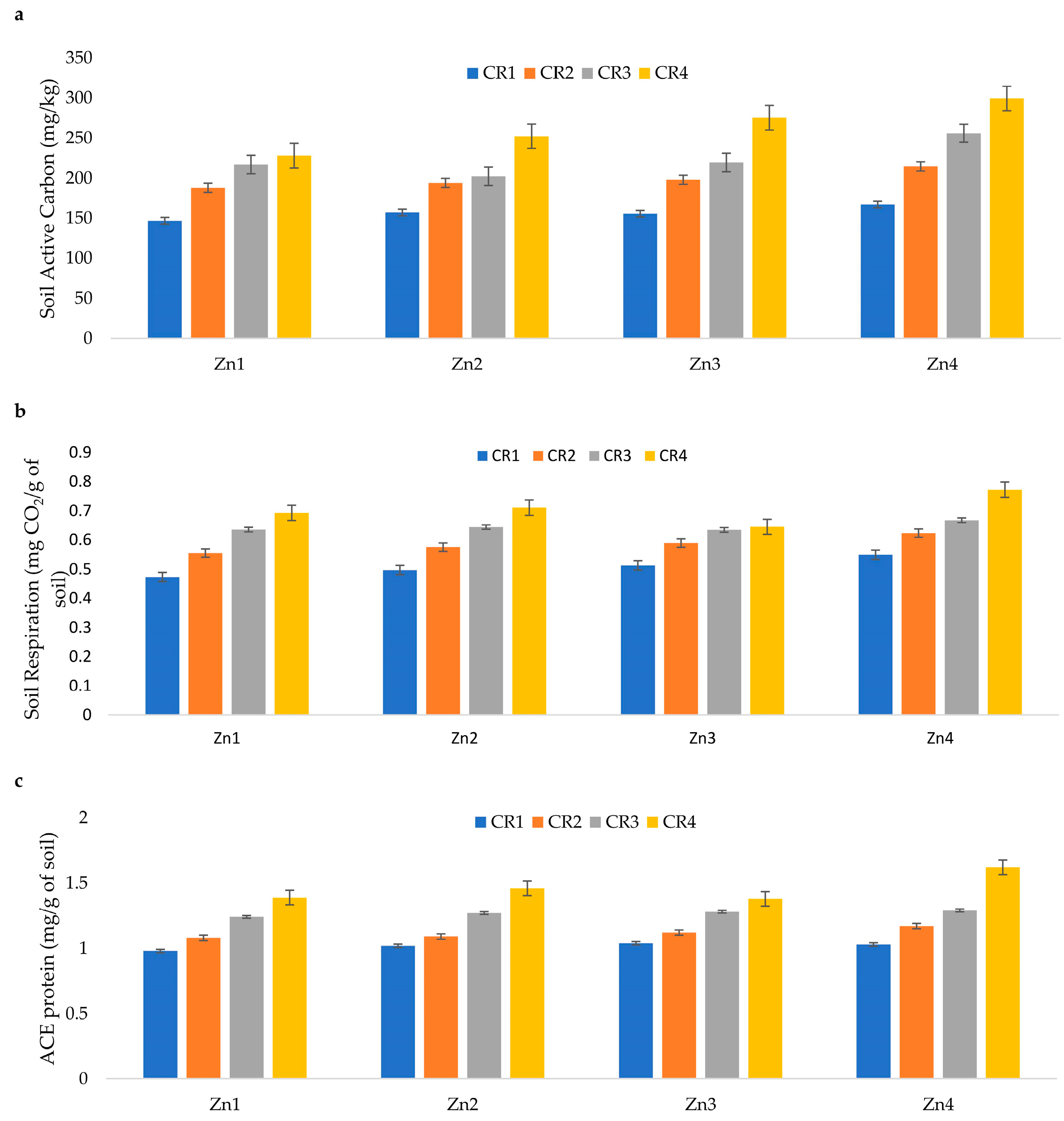
3.4.1. Active Carbon
- No Zn application:
- ii.
- At 2.5 kg Zn ha−1 application:
- iii.
- 5.0 kg Zn ha−1 application:
- iv.
- 10 kg ha−1 Zn application:
3.4.2. Soil Respiration
- No Zn application:
- ii.
- 2.5 kg ha−1 Zn rate:
- iii.
- 5 kg ha−1 Zn rate:
- iv.
- 10 kg ha−1 Zn rate:
3.4.3. Autoclaved Citrate Extractable (ACE) Protein
- No Zn application
- ii.
- 2.5 kg ha−1 Zn rate:
- iii.
- 5 kg ha−1 Zn rate:
- iv.
- 10 kg ha−1 Zn rate:
3.5. Soil Available Nutrient After Rice Harvest
3.5.1. Micro and Secondary Nutrients
3.5.2. Available Nitrogen, Phosphorus, and Potassium
3.6. Yield
4. Discussion
5. Conclusions
Author Contributions
Funding
Institutional Review Board Statement
Informed Consent Statement
Data Availability Statement
Acknowledgments
Conflicts of Interest
References
- Naik, B.S.S.S.; Sharma, S.K.; Pramanick, B.; Chaudhary, R.; Yadav, S.K.; Tirunagari, R.; Gaber, A.; Hossain, A. Silicon in combination with farmyard manure improves the productivity, quality and nitrogen use efficiency of sweet corn in an organic farming system. Silicon 2022, 14, 5733–5743. [Google Scholar] [CrossRef]
- Kar, S.; Pramanick, B.; Brahmachari, K.; Saha, G.; Mahapatra, B.S.; Saha, A.; Kumar, A. Exploring the best tillage option in rice based diversified cropping systems in alluvial soil of eastern India. Soil Tillage Res. 2021, 205, 104761. [Google Scholar] [CrossRef]
- Laik, R.; Kumara, B.H.; Pramanick, B.; Singh, S.K.; Nidhi Alhomrani, M.; Gaber, A.; Hossain, A. Labile soil organic matter pools are influenced by 45 years of applied farmyard manure and mineral nitrogen in the wheat—Pearl millet cropping system in the sub-tropical condition. Agronomy 2021, 11, 2190. [Google Scholar] [CrossRef]
- Smil, V. Crop Residues: Agriculture’s Largest Harvest: Crop residues incorporate more than half of the world’s agricultural phytomass. BioScience 1999, 49, 299–308. [Google Scholar] [CrossRef]
- Wilhelm, W.W.; Johnson, J.M.F.; Douglas, K.L.; Lightle, D.T. Corn stover to sustain soil organic carbon further constrains biomass supply. Agron. J. 2007, 99, 1665–1667. [Google Scholar] [CrossRef]
- Blanco-Canqui, H.; Lal, R. Crop residue removal impacts on soil productivity and environmental quality. CRC Crit. Rev. Plant Sci. 2009, 28, 139–163. [Google Scholar] [CrossRef]
- Turmel, S.; Speratti, A.; Baudron, F.; Verhulst, N.; Govaerts, B. Crop residue management and soil health: A systems analysis. Agric. Syst. 2015, 134, 6–16. [Google Scholar] [CrossRef]
- Bhattacharyya, T.; Pal, D.K.; Mandal, C.; Velayutham, M. Organic carbon stock in Indian soils and their geographical distribution. Curr. Sci. 2000, 79, 655–660. [Google Scholar]
- Biswas, P.P.; Sharma, P.D. A New approach for Estimating Fertiliser response ratio-the Indian Scenario. Indian J. Fertil. 2008, 4, 59–62. [Google Scholar]
- Jat, H.S.; Datta, A.; Choudhary, M.; Sharmaa, P.C.; Jat, M.L. Conservation Agriculture: Factors and drivers of adoption and scalable innovative practices in Indo-Gangetic plains of India—A review. Int. J. Agric. Sustain. 2021, 19, 40–55. [Google Scholar] [CrossRef]
- Ladha, J.K.; Dawe, D.; Pathak, H.; Padre, A.T.; Yadav, R.L.; Bijay-Singh Singh, Y.; Singh, Y.; Singh, P.; Kundu, A.L.; Sakal, R.; et al. How extensive are yield declines in long-term rice–wheat experiments in Asia? Field Crops Res. 2003, 81, 159–180. [Google Scholar] [CrossRef]
- Timsina, J.; Cornor, D.J. Productivity and management of rice-wheat cropping systems: Issues and challenges. Field Crops Res. 2001, 69, 93–132. [Google Scholar] [CrossRef]
- Pramanick, B.; Kumar, M.; Naik, B.M.; Singh, S.K.; Kumar, M.; Singh, S. Soil carbon-nutrient cycling, energetics, and carbon footprint in calcareous soils with adoption of long-term conservation tillage practices and cropping systems diversification. Sci. Total Environ. 2024, 912, 169421. [Google Scholar] [CrossRef] [PubMed]
- Chauhan, B.S.; Singh, R.G.; Mahajan, G. Ecology and management of weeds under conservation agriculture: A review. Crop Prot. 2012, 38, 57–65. [Google Scholar] [CrossRef]
- Alloway, B.J. Micronutrients and crop production. In Micronutrient Deficiencies in Global Crop Production; Alloway, B.J., Ed.; Springer: Dordrecht, The Netherlands, 2008; pp. 1–40. [Google Scholar]
- Alloway, B.J. Zinc in Soils and Crop Nutrition, 2nd ed.; International Zinc Association: Brussels, Belgium; International Fertilizer Industry Association: Paris, France, 2008. [Google Scholar]
- Liu, Y.-M.; Cao, W.-Q.; Chen, X.-X.; Yu, B.-G.; Lang, M.; Chen, X.-P.; Zou, C.-Q. The responses of soil enzyme activities, microbial biomass and microbial community structure to nine years of varied zinc application rates. Sci. Total Environ. 2020, 737, 140245. [Google Scholar] [CrossRef] [PubMed]
- Smith, A.P.; Marín-Spiotta, E.; de Graaff, M.A.; Balser, T.C. Microbial community structure varies across soil organic matter aggregate pools during tropical land cover change. Soil Biol. Biochem. 2014, 77, 292–303. [Google Scholar] [CrossRef]
- Doran, J.W.; Sarrantonio, M.; Liebig, M. Soil health and sustainability. Adv. Agron. 1996, 56, 1–54. [Google Scholar]
- Miner, G.L.; Delgado, J.A.; Ippolito, J.A.; Stewart, C.E. Soil health management practices and crop productivity. Agric. Environ. Lett. 2020, 5, e20023. [Google Scholar] [CrossRef]
- Moebius-Clune, B.N.; Moebius-Clune, D.J.; Gugino, B.K.; Idowu, O.J.; Schindelbeck, R.R.; Ristow, A.J.; Van Es, H.M.; Thies, J.E.; Shayler, H.A.; McBride, M.B.; et al. Comprehensive Assessment of Soil Health the Cornell Framework Manual, 3rd ed.; Cornell University: Geneva, NY, USA, 2016. [Google Scholar]
- Benbi, D.K.; Brar, K.; Toor, A.S.; Sharma, S. Sensitivity of labile soil organic carbon pools to long-term fertilizer, straw and manure management in rice-wheat system. Pedosphere 2015, 25, 534–545. [Google Scholar] [CrossRef]
- Lakshmi, P.V.; Singh, S.K.; Pramanick, B.; Kumar, M.; Laik, R.; Kumari, A.; Shukla, A.K.; Abdel Latef, A.A.H.; Ali, O.M.; Hossain, A. Long term zinc fertilization in calcareous soils improves wheat (Triticum aestivum L.) productivity and soil zinc status in the rice-wheat cropping system. Agronomy 2021, 11, 1306. [Google Scholar] [CrossRef]
- Blake, G.R.; Hartge, K.H. Bulk density. In Methods of Soil Analysis, Part 1, 2nd ed.; Klute, A., Ed.; Agron Monogr 9; ASA and SSSA: Madison, WI, USA, 1986; pp. 363–375. [Google Scholar]
- Walkley, A.; Black, I.A. An examination of Degtjareff method for determining organic carbon in soils: Effect of variations in digestion conditions and of inorganic soil constituents. Soil Sci. 1934, 63, 251–263. [Google Scholar] [CrossRef]
- Weil, R.R.; Islam, K.R.; Stine, M.A.; Gruver, J.B.; Samson-Liebig, S.E. Estimating active carbon for soil quality assessment: A simplified method for laboratory and field use. Am. J. Altern. Agric. 2003, 18, 3–17. [Google Scholar]
- Zibilske, L.M. Carbon mineralization. In Methods of Soil Analyses Microbiological and Biochemical Properties; SSSA Book Series No 5; Wiley Publishing: Hoboken, NJ, USA, 1994; pp. 836–864. [Google Scholar]
- Wright, S.F.; Franke-Snyde, M.; Morton, J.B.; Upadhyaya, A. Time-course study and partial characterization of a protein on hyphae of arbuscular mycorrhizal fungi during active colonization of roots. Plant Soil 1996, 181, 193–203. [Google Scholar] [CrossRef]
- Gomez, K.A.; Gomez, A.A. Statistical Procedures for Agricultural Research; John Wiley & Sons Inc.: New York, NY, USA, 1984. [Google Scholar]
- Bellakki, A.K.; Badanur, V.P. Long-Term effect of integrated nutrient management on properties of Vertisol under dryland Agriculture. J. Indian Soc. Soil Sci. 1997, 45, 438–442. [Google Scholar]
- Shaver, T.M.; Peterson, G.A.; Sherrod, L.A. Cropping intensification in dryland systems improves soil physical properties: Regression relations. Geoderma 2003, 116, 149–164. [Google Scholar] [CrossRef]
- Hoffland, E.; Kuyper, T.W.; Comans, R.N.J.; Creamer, R.E. Eco-functionality of organic matter in soils. Plant Soil 2020, 455, 1–22. [Google Scholar] [CrossRef]
- Jastrow, J.D.; Amonette, J.E.; Bailey, V.L. Mechanisms controlling soil carbon turnover and their potential application for enhancing carbon sequestration. Clim. Chang. 2007, 80, 5–23. [Google Scholar] [CrossRef]
- Recena, R.; García-López, A.M.; Delgado, A. Zinc uptake by plants as affected by fertilization with Zn sulfate, phosphorus availability, and soil properties. Agronomy 2021, 11, 390. [Google Scholar] [CrossRef]
- Fontaine, S.; Barot, S.; Barré, P.; Bdioui, N.; Mary, B.; Rumpel, C. Stability of organic carbon in deep soil layers controlled by fresh carbon supply. Nature 2007, 450, 277–280. [Google Scholar] [CrossRef]
- Wutzler, T.; Reichstein, M. Priming and substrate quality interactions in soil organic matter models. Biogeosciences 2013, 10, 2089–2103. [Google Scholar] [CrossRef]
- Weintraub, M.N.; Schimel, J.P. Seasonal protein dynamics in Alaskan arctic tundra soils. Soil Biol. Biochem. 2005, 37, 1469–1475. [Google Scholar] [CrossRef]
- Mooshammer, M.; Wanek, W.; Schnecker, J.; Wild, B.; Leitner, S.; Hofhansl, F.; Blöchl, A.; Hämmerle, I.; Frank, A.H.; Fuchslueger, L.; et al. Stoichiometric controls of nitrogen and phosphorus cycling in decomposing beech leaf litter. Ecology 2012, 93, 770–782. [Google Scholar] [CrossRef] [PubMed]
- Johnson, A.M.; Hoyt, G.D. Changes to the soil environment under conservation tillage. HortTechnology 1999, 9, 380–393. [Google Scholar] [CrossRef]
- Mondal, S.; Chakraborty, D.; Bandyopadhyay, K.; Aggarwal, P.; Rana, D.S. A global analysis of the impact of zero-tillage on soil physical condition, organic carbon content, and plant root response. Land Degrad. Dev. 2020, 31, 557–567. [Google Scholar] [CrossRef]
- Franzluebbers, A.J. Soil organic carbon sequestration calculated from depth distribution. Soil Sci. Soc. Am. J. 2021, 85, 158–171. [Google Scholar] [CrossRef]
- Zhao, X.; Yuan, G.; Wang, H.; Lu, D.; Chen, X.; Zhou, J. Effects of full straw incorporation on soil fertility and crop yield in rice-wheat rotation for silty clay loamy cropland. Agronomy 2019, 9, 133. [Google Scholar] [CrossRef]
- Agboola, A.A.; Corey, R.B. The relationship between soil pH, organic matter, available P, exchangeable K Ca, Mg and nine elements in the maize tissue. Soil Sci. 1973, 115, 367–375. [Google Scholar] [CrossRef]
- Dvorak, P.; Tlustos, P.; Szakova, J.; Cerny, J.; Balik, J. Distribution of soil fractions of zinc and its uptake by potatoes, maize, wheat and barley after soil amendment by sludge and inorganic zinc salt. Plant Soil Environ. 2003, 49, 203–212. [Google Scholar] [CrossRef]
- Udom, B.E.; Mbagwu, J.S.C.; Adesodun, J.K.; Agbin, N.N. Distribution of Zn, Cd, Cu and Pb in a tropical Ultisol after long term disposal of sewage sludge. Environ. Int. 2004, 30, 467–470. [Google Scholar] [CrossRef]
- Stevenson, F.J. Organic Matter-Micronutrient Reactions in Soil. Chapter 6. In Micronutrients in Agriculture; Mortvedt, J.J., Ed.; Wiley Publishing: Hoboken, NJ, USA, 1991. [Google Scholar] [CrossRef]





| Treatment | Organic Carbon (g kg−1) | ||||
|---|---|---|---|---|---|
| CR1 | CR2 | CR3 | CR4 | Mean | |
| Zn1 | 5.10 | 5.28 | 6.09 | 6.88 | 5.59 |
| Zn2 | 5.15 | 5.45 | 6.33 | 7.05 | 6.00 |
| Zn3 | 5.27 | 5.59 | 6.47 | 7.13 | 6.12 |
| Zn4 | 5.32 | 5.61 | 6.58 | 7.19 | 6.18 |
| CD (p = 0.05) | CR: 0.12 | Zn: 0.06 | CR × Zn: 0.12 | ||
| Treatment | Bulk Density (Mg m−3) | ||||
|---|---|---|---|---|---|
| CR1 | CR2 | CR3 | CR4 | Mean | |
| Zn1 | 1.48 | 1.42 | 1.40 | 1.39 | 1.42 |
| Zn2 | 1.46 | 1.42 | 1.39 | 1.36 | 1.41 |
| Zn3 | 1.43 | 1.41 | 1.37 | 1.35 | 1.39 |
| Zn4 | 1.42 | 1.39 | 1.37 | 1.33 | 1.38 |
| Mean | 1.45 | 1.41 | 1.38 | 1.36 | |
| CD (p = 0.05) | CR: 0.02 | Zn: 0.01 | CR × Zn: 0.02 | ||
| Treatment | SOC Stock (Mg C ha−1) | ||||
|---|---|---|---|---|---|
| CR1 | CR2 | CR3 | CR4 | Mean | |
| Zn1 | 74.95 | 75.41 | 81.15 | 95.45 | 79.24 |
| Zn2 | 75.44 | 77.22 | 87.86 | 95.66 | 84.13 |
| Zn3 | 75.42 | 78.50 | 88.99 | 96.02 | 84.79 |
| Zn4 | 75.43 | 78.19 | 90.13 | 96.26 | 84.85 |
| Mean | 75.42 | 77.22 | 84.53 | 95.85 | |
| CD (p = 0.05) | CR: 2.13 | Zn: 0.99 | CR × Zn: 1.99 | ||
| Zinc Level | Statistics | Linear Model | Linear Plus Plateau Model |
|---|---|---|---|
| (a) Active Carbon | |||
| No Zinc | RMSE | 28.37 | 25.54 |
| R2 | 50.47 | 59.85 | |
| p-value | <0.001 | <0.05 | |
| Zinc @ 2.5 kg ha−1 | RMSE | 29.40 | 33.78 |
| R2 | 56.42 | 42.45 | |
| p-value | <0.01 | NS | |
| Zinc @ 5 kg ha−1 | RMSE | 31.19 | 29.67 |
| R2 | 65.22 | 68.53 | |
| p-value | <0.001 | <0.001 | |
| Zinc @ 10 kg ha−1 | RMSE | 36.75 | 35.45 |
| R2 | 63.09 | 65.66 | |
| p-value | <0.001 | <0.01 | |
| (b) Protein | |||
| No Zinc | RMSE | 23.68 | 23.58 |
| R2 | 30.33 | 29.75 | |
| p-value | NS | <0.001 | |
| Zinc @ 2.5 kg ha−1 | RMSE | 23.05 | 21.13 |
| R2 | 34.80 | 34.94 | |
| p-value | <0.01 | NS | |
| Zinc @ 5 kg ha−1 | RMSE | 23.31 | 23.28 |
| R2 | 36.63 | 36.74 | |
| p-value | <0.01 | NS | |
| Zinc @ 10 kg ha−1 | RMSE | 24.09 | 24.08 |
| R2 | 44.99 | 44.18 | |
| p-value | NS | <0.01 | |
| (c) Soil Respiration | |||
| No Zinc | RMSE | 37.68 | 37.62 |
| R2 | 4.27 | 4.59 | |
| p-value | NS | NS | |
| Zinc @ 2.5 kg ha−1 | RMSE | 37.93 | 37.89 |
| R2 | 4.17 | 4.37 | |
| p-value | NS | NS | |
| Zinc @ 5 kg ha−1 | RMSE | 38.25 | 38.27 |
| R2 | 4.55 | 4.62 | |
| p-value | NS | NS | |
| Zinc @ 10 kg ha−1 | RMSE | 38.77 | 38.76 |
| R2 | 4.07 | 4.08 | |
| p-value | NS | NS | |
| Treatments | Soil Micro and Secondary Nutrients (mg kg−1) | |||||
|---|---|---|---|---|---|---|
| Zn | Cu | Mn | Fe | B | S | |
| CR1 | 0.53 | 1.98 | 1.42 | 16.88 | 0.67 | 16.24 |
| CR2 | 0.68 | 1.88 | 1.89 | 17.18 | 0.68 | 16.26 |
| CR3 | 0.75 | 1.86 | 2.28 | 17.66 | 0.69 | 16.34 |
| CR4 | 1.03 | 1.95 | 2.72 | 19.26 | 0.68 | 17.15 |
| CD (p < 0.05) | 0.15 | NS | 0.09 | 0.67 | NS | NS |
| Zn1 | 0.58 | 1.93 | 1.91 | 17.36 | 0.70 | 16.01 |
| Zn2 | 0.68 | 1.90 | 1.98 | 17.83 | 0.66 | 16.87 |
| Zn3 | 0.76 | 1.92 | 2.14 | 17.88 | 0.68 | 17.07 |
| Zn4 | 0.97 | 1.92 | 2.29 | 17.90 | 0.67 | 16.03 |
| CD (p < 0.05) | 0.22 | NS | 0.10 | 0.40 | NS | NS |
| Treatments | Available N (kg ha−1) | Available P2O5 (kg ha−1) | Available K2O (kg ha−1) |
|---|---|---|---|
| CR1 | 197.18 | 18.41 | 97.39 |
| CR2 | 223.43 | 20.28 | 110.53 |
| CR3 | 285.26 | 20.56 | 117.85 |
| CR4 | 297.83 | 23.87 | 156.81 |
| CD (p < 0.05) | 30.8 | NS | 18.38 |
| Zn1 | 240.42 | 18.42 | 107.59 |
| Zn2 | 240.64 | 21.46 | 115.05 |
| Zn3 | 255.03 | 22.63 | 124.52 |
| Zn4 | 267.60 | 20.61 | 135.12 |
| CD (p < 0.05) | NS | 2.62 | 4.75 |
| Treatments | Yield (t ha−1) | ||||
|---|---|---|---|---|---|
| CR1 | CR2 | CR3 | CR4 | Mean | |
| Zn1 | 3.22 | 3.59 | 3.44 | 3.56 | 3.45 |
| Zn2 | 3.20 | 3.38 | 3.55 | 3.73 | 3.46 |
| Zn3 | 3.33 | 3.53 | 3.65 | 3.83 | 3.58 |
| Zn4 | 3.43 | 3.72 | 3.75 | 3.98 | 3.72 |
| Mean | 3.30 | 3.56 | 3.60 | 3.77 | |
| CD (p = 0.05) | CR: 0.12 | Zn: 0.07 | CR × Zn: 0.13 | ||
Disclaimer/Publisher’s Note: The statements, opinions and data contained in all publications are solely those of the individual author(s) and contributor(s) and not of MDPI and/or the editor(s). MDPI and/or the editor(s) disclaim responsibility for any injury to people or property resulting from any ideas, methods, instructions or products referred to in the content. |
© 2025 by the authors. Licensee MDPI, Basel, Switzerland. This article is an open access article distributed under the terms and conditions of the Creative Commons Attribution (CC BY) license (https://creativecommons.org/licenses/by/4.0/).
Share and Cite
Laik, R.; Eltahira, E.B.A.; Pramanick, B.; Nidhi; Singh, S.K.; Es, H.v. Enhancing Soil Health in Rice Cultivation: Optimized Zn Application and Crop Residue Management in Calcareous Soils. Sustainability 2025, 17, 489. https://doi.org/10.3390/su17020489
Laik R, Eltahira EBA, Pramanick B, Nidhi, Singh SK, Es Hv. Enhancing Soil Health in Rice Cultivation: Optimized Zn Application and Crop Residue Management in Calcareous Soils. Sustainability. 2025; 17(2):489. https://doi.org/10.3390/su17020489
Chicago/Turabian StyleLaik, Ranjan, Elsaffory Bakry Awad Eltahira, Biswajit Pramanick, Nidhi, Santosh Kumar Singh, and Harold van Es. 2025. "Enhancing Soil Health in Rice Cultivation: Optimized Zn Application and Crop Residue Management in Calcareous Soils" Sustainability 17, no. 2: 489. https://doi.org/10.3390/su17020489
APA StyleLaik, R., Eltahira, E. B. A., Pramanick, B., Nidhi, Singh, S. K., & Es, H. v. (2025). Enhancing Soil Health in Rice Cultivation: Optimized Zn Application and Crop Residue Management in Calcareous Soils. Sustainability, 17(2), 489. https://doi.org/10.3390/su17020489

