Water Requirements for Hydrogen Production: Assessing Future Demand and Impacts on Texas Water Resources †
Abstract
1. Introduction
2. Literature Review
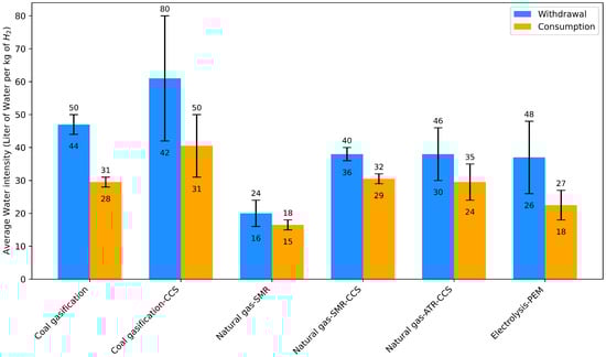
2.1. Water Use in Hydrogen Production
2.2. Water Quality
2.3. Water Source Considerations
2.4. Fate of Water After Hydrogen Production
3. Water Consumption Estimation for Hydrogen Production in Texas
3.1. Water Consumption and Withdrawal Assumption
3.2. Water Cost and Its Impact on the Levelized Cost of Hydrogen
3.3. Aggregated Water Demand for Hydrogen in Texas
- Scenario 1: 80% blue hydrogen (SMR/ATR + CCS) and 20% green hydrogen (electrolysis).
- Scenario 2: 20% blue hydrogen and 80% green hydrogen.
- Scenario 3: 50% blue hydrogen and 50% green hydrogen.
3.4. Texas Water Demand Projections
4. Locational Consideration and Water Management Strategy for Texas
5. Conclusions
5.1. Key Findings
5.2. Policy Recommendations and Measures
- Integrate hydrogen into regional water planning: Collaborate with the TWDB and local water boards to prioritize regions with surplus water availability for hydrogen projects.
- Promote water recycling and reuse: Incentivize the use of treated wastewater or brackish water for hydrogen production, particularly in water-scarce regions.
- Conduct water use audits: Require comprehensive assessments of water footprints as part of hydrogen project proposals to align production with local water availability.
- Encourage efficient technologies: Develop policies that support the adoption of water-efficient hydrogen production methods, especially for green hydrogen.
- Engage local community: Early and transparent engagement with affected communities can build trust and support for hydrogen development.
5.3. Limitations and Future Research
Author Contributions
Funding
Institutional Review Board Statement
Informed Consent Statement
Data Availability Statement
Acknowledgments
Conflicts of Interest
Abbreviations
| Abbreviation | Definition |
| ATR | autothermal reforming |
| AWE | alkaline water electrolysis |
| CCS | carbon capture and storage |
| CO2 | carbon dioxide |
| DOE | United States Department of Energy |
| EDI | electrodeionization |
| GDP | gross domestic product |
| GHG | greenhouse gas |
| GREET | greenhouse gases, regulated emissions, and energy use in technologies (model) |
| H2 | molecular hydrogen |
| IRENA | International Renewable Energy Agency |
| kWh | kilowatt-hour |
| KOH | potassium hydroxide |
| MMTPA | million metric tons per annum |
| NaOH | sodium hydroxide |
| NPC | National Petroleum Council |
| PEM | proton exchange membrane |
| ppm | parts per million |
| PTC | production tax credit |
| RO | reverse osmosis |
| SMR | steam methane reforming |
| TDS | total dissolved solids |
| TWDB | Texas Water Development Board |
| µS/cm | microsiemens per centimeter (a unit of conductivity) |
References
- U.S. Department of Energy. DOE National Clean Hydrogen Strategy and Roadmap; U.S. Department of Energy: Washington, DC, USA, 2022.
- Lawrence Livermore National Laboratory. Estimated U.S. Energy Consumption in 2022; Lawrence Livermore National Laboratory: Livermore, CA, USA, 2023.
- Department of Energy. Hydrogen Shot; Department of Energy: Washington, DC, USA, 2021.
- National Petroleum Council. HARNESSING HYDROGEN—A Key Element of the U.S. Energy Future; National Petroleum Council: Washington, DC, USA, 2024. [Google Scholar]
- Hydrogen Analysis Resource Center. H2 Tools. In North America Merchant Hydrogen Plants by City; Hydrogen Analysis Resource Center: Washington, DC, USA, 2016. [Google Scholar]
- Energy Information Administration (EIA). Natural Gas Interstate and Intrastate Pipelines. In U.S. Energy Atlas; Energy Information Administration (EIA): Washington, DC, USA, 2023. [Google Scholar]
- Texas Department of Transportation (TxDOT). Statewide Pipelines GIS Data; Data originally from Railroad Commission; Texas Department of Transportation (TxDOT): Austin, TX, USA, 2022.
- RBN Energy. U.S. Gulf Coast Hydrogen Infrastructure Map; RBN Energy: Houston, TX, USA, 2024. [Google Scholar]
- Miller, D.E.L. The Hydrogen Energy Earthshot and H2@Scale: Importance to Industrial Decarbonizatio; U.S. Department of Energy: Washington, DC, USA, 2022.
- US Treasury. Section 45V Credit for Production of Clean Hydrogen; Section 48(a)(15) Election To Treat Clean Hydrogen Production Facilities as Energy Property. In Federal Register; Government Publishing Office: Washington, DC, USA, 2023. [Google Scholar]
- The White House. Biden-Harris Administration Announces Regional Clean Hydrogen Hubs to Drive Clean Manufacturing and Jobs; The White House: Washington, DC, USA, 2023.
- U.S. Department of Energy. Biden-Harris Administration Announces Awards for Up to $2.2 Billion for Two Regional Clean Hydrogen Hubs to Bolster America’s Global Clean Energy Competitiveness and Strengthen Our National Energy Security; U.S. Department of Energy: Washington, DC, USA, 2024.
- Texas Water Development Board. Sixth Cycle of Regional Water Planning Cycle Information; Texas Water Development Board: Austin, TX, USA, 2023.
- Robles, C. Texas Water Fight Shows Pushback on ‘Clean’ Hydrogen; FCHEA: Washington, DC, USA, 2024. [Google Scholar]
- Baddour, D. Water Scarcity and Clean Energy Collide in South Texas; The Texas Tribune: Austin, TX, USA, 2024. [Google Scholar]
- Hamiche, A.M.; Stambouli, A.B.; Flazi, S. A review of the water-energy nexus. Renew. Sustain. Energy Rev. 2016, 65, 319–331. [Google Scholar] [CrossRef]
- Lampert, D.J.; Cai, H.; Wang, Z.; Keisman, J.; Wu, M.; Han, J.; Dunn, J.; Sullivan, J.L.; Elgowainy, A.; Wang, M.; et al. Development of a Life Cycle Inventory of Water Consumption Associated with the Production of Transportation Fuels; U.S. Department of Energy: Washington, DC, USA, 2015. [CrossRef]
- Elaouzy, Y.; Fadar, A.E. Water-energy-carbon-cost nexus in hydrogen production, storage, transportation and utilization. Int. J. Hydrogen Energy 2024, 53, 1190–1209. [Google Scholar] [CrossRef]
- Lee, U.; Xu, H.; Daystar, J.; Elgowainy, A.; Wang, M.Q. AWARE-US: Quantifying water stress impacts of energy systems in the United States. Sci. Total Environ. 2019, 648, 1313–1322. [Google Scholar] [CrossRef]
- Kumar, S.S.; Himabindu, V. Hydrogen production by PEM water electrolysis—A review. Mater. Sci. Energy Technol. 2019, 2, 442–454. [Google Scholar] [CrossRef]
- Sun, P.; Elowainy, A. Water Consumption in Hydrogen Production Processes. 2019. Available online: https://greet.anl.gov/files/smr_h2_2019 (accessed on 23 December 2023).
- Katakam, V.S.S.; Bahadur, V. Reverse osmosis-based water treatment for green hydrogen production. Desalination 2024, 581, 117588. [Google Scholar] [CrossRef]
- National Energy Technology Laboratory. Comparison of Commercial State-of-Art Fossil-Based Hydrogen Production Technologies; Technical report; U.S. Department of Energy: Washington, DC, USA, 2022.
- IRENA; Bluerisk. Water for Hydrogen Production; International Renewable Energy Agency, Bluerisk: Abu Dhabi, United Arab Emirates, 2023. [Google Scholar]
- Midilli, A.; Kucuk, H.; Topal, M.E.; Akbulut, U.; Dincer, I. A comprehensive review on hydrogen production from coal gasification: Challenges and Opportunities. Int. J. Hydrogen Energy 2021, 46, 25385–25412. [Google Scholar] [CrossRef]
- Elgowainy, A.; Wu, M.; Lampert, D.; Cai, H.; Han, J.; Wang, M. Life-Cycle Analysis of Water Consumption for Hydrogen Production Pathways. 2014 DOE Hydrogen and Fuel Cells Program Annual Merit Review; U.S. Department of Energy: Washington, DC, USA, 2014.
- Mehmeti, A.; Angelis-Dimakis, A.; Arampatzis, G.; McPhail, S.J.; Ulgiati, S. Life Cycle Assessment and Water Footprint of Hydrogen Production Methods: From Conventional to Emerging Technologies. Environments 2018, 5, 24. [Google Scholar] [CrossRef]
- Rosa, L.; Mazzotti, M. Potential for hydrogen production from sustainable biomass with carbon capture and storage. Renew. Sustain. Energy Rev. 2022, 157, 112123. [Google Scholar] [CrossRef]
- Webber, M.E. The water intensity of the transitional hydrogen economy. Environ. Res. Lett. 2007, 2, 034007. [Google Scholar] [CrossRef]
- Ansar, A.S.; Gago, A.S.; Razmjooei, F.; Reißner, R.; Xu, Z.; Friedrich, K.A. Chapter 5—Alkaline electrolysis—Status and prospects. In Electrochemical Power Sources: Fundamentals, Systems, and Applications; Smolinka, T., Garche, J., Eds.; Elsevier: Amsterdam, The Netherlands, 2022; pp. 165–198. [Google Scholar] [CrossRef]
- Yu, Z.Y.; Duan, Y.; Feng, X.Y.; Yu, X.; Gao, M.R.; Yu, S.H. Clean and Affordable Hydrogen Fuel from Alkaline Water Splitting: Past, Recent Progress, and Future Prospects. Adv. Mater. 2021, 33, e2007100. [Google Scholar] [CrossRef] [PubMed]
- Wang, T.; Cao, X.; Jiao, L. PEM water electrolysis for hydrogen production: Fundamentals, advances, and prospects. Carbon Neutrality 2022, 1, 21. [Google Scholar] [CrossRef]
- Simon, A.; Daily, W.; White, R. Hydrogen and Water: An Engineering, Economic and Environmental Analysis; U.S. Department of Energy: Washington, DC, USA, 2010. [CrossRef]
- Madsen, H.T. Water Treatment for Green Hydrogen: What You Need to Know. 2022. Available online: https://hydrogentechworld.com/water-treatment-for-green-hydrogen-what-you-need-to-know (accessed on 10 October 2024).
- Haug, P.; Kreitz, B.; Koj, M.; Turek, T. Process modelling of an alkaline water electrolyzer. Int. J. Hydrogen Energy 2017, 42, 15689–15707. [Google Scholar] [CrossRef]
- Niekerk, R.; Manita, R. Thermal Management in Green Hydrogen Production: Design Considerations. 2022. Available online: https://hydrogentechworld.com/thermal-management-in-green-hydrogen-production-design-considerations (accessed on 10 October 2024).
- Hamer, P. Present-Day Feed-Water Treatment for High-Pressure Boilers. Proc. Inst. Mech. Eng. 1960, 174, 69–94. [Google Scholar] [CrossRef]
- Layman, C.M. Boiler Water Chemistry: Getting From the Source to the Boiler. Available online: https://www.cibomembers.org/wp-content/uploads/2017/05/EE_June2017_Layman-Presentation.pdf (accessed on 10 October 2024).
- Shokri, A.; Sanavi Fard, M. Principles, operational challenges, and perspectives in boiler feedwater treatment process. Environ. Adv. 2023, 13, 100389. [Google Scholar] [CrossRef]
- Mässgård, H.; Jonsson, A. An Industrial Perspective on Ultrapure Water Production for Electrolysis: A Techno-Economic Assessment of Membrane Distillation for Electrolysis—Synergies, Performance, Costs, and Value Propositions; KTH: Stockholm, Sweden, 2021. [Google Scholar]
- Kumar, P.; Date, A.; Mahmood, N.; Kumar Das, R.; Shabani, B. Freshwater supply for hydrogen production: An underestimated challenge. Int. J. Hydrogen Energy 2024, 78, 202–217. [Google Scholar] [CrossRef]
- Kjellsson, J.B.; Webber, M.E. The Energy-Water Nexus: Spatially-Resolved Analysis of the Potential for Desalinating Brackish Groundwater by Use of Solar Energy. Resources 2015, 4, 476–489. [Google Scholar] [CrossRef]
- Kar, A.; Bahadur, V. Using excess natural gas for reverse osmosis-based flowback water treatment in US shale fields. Energy 2020, 196, 117145. [Google Scholar] [CrossRef]
- Kharaka, Y.K.; Hanor, J.S. 7.14—Deep Fluids in Sedimentary Basins. In Treatise on Geochemistry, 2nd ed.; Holland, H.D., Turekian, K.K., Eds.; Elsevier: Amsterdam, The Netherlands, 2014; pp. 471–515. [Google Scholar] [CrossRef]
- Texas Produced Water Consorium. Beneficial Use of Produced Water in Texas—Texas Produced Water Consortium Report to the Texas Legislature 2024; Texas Produced Water Consorium: Lubbock, TX, USA, 2024. [Google Scholar]
- Oyewunmi, T. Resilience, reliability and gas to power systems in the USA: An energy policy outlook in the era of decarbonization. J. World Energy Law Bus. 2021, 14, 257–276. [Google Scholar] [CrossRef]
- Wang, J.; Cai, S.; Chen, R.; Tu, Z.; Li, S. Operation strategy optimization of an integrated proton exchange membrane water electrolyzer and batch reverse osmosis desalination system powered by offgrid wind energy. Energy Convers. Manag. 2024, 22, 100607. [Google Scholar] [CrossRef]
- Sztekler, K.; Kalawa, W.; Bujok, T.; Boruta, P.; Radomska, E.; Mika, L.; Mlonka-Medrala, A.; Nowak, W.; Sloma, J.; Wojcikowski, A.; et al. Hybrid desalination system for Baltic Sea water: A preliminary study. Desalination 2024, 574, 117269. [Google Scholar] [CrossRef]
- Nemitallah, M.A.; Alnazha, A.A.; Ahmed, U.; El-Adawy, M.; Habib, M.A. Review on techno-economics of hydrogen production using current and emerging processes: Status and perspectives. Results Eng. 2024, 21, 101890. [Google Scholar] [CrossRef]
- Gutierrez, W.; Enrique, F. A Comparative Study of Low-Emissions Hydrogen Production Processes: Technical Limitations and Future Trends; Aalto University: Espoo, Finland, 2023. [Google Scholar]
- Yun, S.; Lee, J.; Cho, H.; Kim, J. Oxy-fuel combustion-based blue hydrogen production with the integration of water electrolysis. Energy Convers. Manag. 2023, 291, 117275. [Google Scholar] [CrossRef]
- Qin, B.; Wang, H.; Li, F.; Liu, D.; Liao, Y.; Li, H. Towards zero carbon hydrogen: Co-production of photovoltaic electrolysis and natural gas reforming with CCS. Int. J. Hydrogen Energy 2024, 78, 604–609. [Google Scholar] [CrossRef]
- Tang, Y.; Li, Y. Comparative analysis of the levelized cost of hydrogen production from fossil energy and renewable energy in China. Energy Sustain. Dev. 2024, 83, 101588. [Google Scholar] [CrossRef]
- Rahbari, A.; Shirazi, A.; Venkataraman, M.B.; Pye, J. Solar fuels from supercritical water gasification of algae: Impacts of low-cost hydrogen on reformer configurations. Appl. Energy 2021, 288, 116620. [Google Scholar] [CrossRef]
- Ghernaout, D. Brine Recycling: Towards Membrane Processes as the Best Available Technology. Appl. Eng. 2019, 3, 71–84. [Google Scholar] [CrossRef]
- Yan, Y.; Manovic, V.; Anthony, E.J.; Clough, P.T. Techno-economic analysis of low-carbon hydrogen production by sorption enhanced steam methane reforming (SE-SMR) processes. Energy Convers. Manag. 2020, 226, 113530. [Google Scholar] [CrossRef]
- Oni, A.O.; Anaya, K.; Giwa, T.; Di Lullo, G.; Kumar, A. Comparative assessment of blue hydrogen from steam methane reforming, autothermal reforming, and natural gas decomposition technologies for natural gas-producing regions. Energy Convers. Manag. 2022, 254, 115245. [Google Scholar] [CrossRef]
- Slanger, D. Hydrogen Reality Check: Distilling Green Hydrogen’s Water Consumption. 2023. Available online: https://rmi.org/hydrogen-reality-check-distilling-green-hydrogens-water-consumption/ (accessed on 16 August 2024).
- Kowal, A.; Childers, G.; Beagle, E.; Lewis, M. Leveraging Permian Basin Assets for the Emerging Clean Hydrogen Economy. In Proceedings of the 2024 IEEE Power and Energy Conference at Illinois (PECI), Urbana, IL, USA, 19 April 2024. [Google Scholar] [CrossRef]
- Lin, N.; Chen, Y.; Madariaga, M.P. Route-to-market strategy for low-carbon hydrogen from natural gas in the Permian Basin. Fuel 2024, 355, 129420. [Google Scholar] [CrossRef]
- Lin, N.; Xu, L. Navigating the Implementation of Tax Credits for Natural-Gas-Based Low-Carbon-Intensity Hydrogen Projects. Energies 2024, 17, 1604. [Google Scholar] [CrossRef]
- National Renewable Energy Laboratory. H2A-Lite: Hydrogen Analysis Lite Production Model; National Renewable Energy Laboratory: Golden, CO, USA, 2022.
- Upton, G.; Mandalika, A. The Potential for Hydrogen in Louisiana; Presentation to Clean Hydrogen Task Force; Louisiana State University: Baton Rouge, LA, USA, 2024. [Google Scholar]
- Texas Water Development Board. 2026 Water Demand Projections. 2023. Available online: https://www.twdb.texas.gov/waterplanning/data/projections/2027/projections.asp (accessed on 15 September 2024).
- Texas Water Development Board. 2022 State Water Plan. 2021. Available online: https://www.twdb.texas.gov/waterplanning/swp/2022/index.asp (accessed on 15 September 2024).
- Department of Energy. Regional Clean Hydrogen Hubs Selections for Award Negotiations; Department of Energy: Washington, DC, USA, 2023.
- GHI Corp. Hydrogen City Project; GHI Corp.: Mequon, WI, USA, 2024. [Google Scholar]
- Lin, M.; Arzumanyan, M.; Rodriguez Calzado, E.; Childers, G.L. Hydrogen Energy Value Chain and Impacts on Water. In Proceedings of the 2024 Texas Groundwater Summit, San Antonio, TX, USA, 20 August 2024. [Google Scholar]











| Process Type | Water Quality Requirement | Key Parameters | Treatment Options | Yield |
|---|---|---|---|---|
| Coal Gasification | Moderate purity to prevent fouling and scaling | TDS < 500 ppm, Silica < 5 ppm | Filtration, softening, reverse osmosis (RO) | 80–90% |
| SMR/ATR Process | High purity to prevent scaling and corrosion | TDS < 10 ppm, silica < 0.1 ppm, hardness < 0.1 ppm, dissolved oxygen < 0.005 ppm | Demineralization, reverse osmosis (RO), degasification | RO: 75–85% |
| SMR/ATR Cooling | Lower purity than process water, with a focus on scaling and fouling prevention | TDS 1000–2000 ppm, hardness < 200 ppm | Filtration, chemical treatment | 85–95% |
| CCS Solvent regeneration | Moderate purity to ensure solvent efficiency | TDS < 100 ppm, Hardness < 0.5 ppm | RO, softening, chemical treatment | RO: 75–85%, Softening: 90% |
| PEM Electrolysis | Ultrapure water for membrane integrity | <0.1 μS/cm conductivity, 0.028–2.5 ppm | RO, electrodeionization (EDI), mixed-bed ion exchange | RO: 25–75% |
| AWE electrolysis | Ultrapure water for electrolyte mixing | Conductivity 1–5 μS/cm, NaOH or KOH solutions | RO, lye filtration, particle removal systems | 50–85% |
| Electrolysis cooling | Moderate purity for closed-loop systems, focus on controlling scaling/fouling | TDS < 2000 ppm | Filtration, RO, Chemical Treatment | 85–95% |
| Production Path | Process | Cooling | Consumption | Withdrawal |
|---|---|---|---|---|
| Coal Gasification w/o CCS | 23.73 | 1.05 | 24.78 | 30.83 |
| SMR w/o CCS | 16.69 | 0.17 | 16.86 | 21.05 |
| SMR w/ CCS | 25.45 | 1.45 | 26.90 | 33.42 |
| ATR w/ CCS | 25.95 | 3.33 | 29.28 | 36.13 |
| PEM Electrolysis | 9.00 | 15.00 | 24.00 | 52.67 |
| AWE Electrolysis | 9.00 | 13.30 | 22.30 | 32.78 |
| Demand Sectors | 2030 | 2040 | 2050 |
| Irrigation | 48.3% | 45.0% | 41.1% |
| Livestock | 1.7% | 1.8% | 1.8% |
| Manufacturing | 9.4% | 9.8% | 10.3% |
| Mining | 2.4% | 2.3% | 2.3% |
| Municipal | 34.4% | 37.3% | 40.7% |
| Steam Electric Power | 3.8% | 3.8% | 3.8% |
| Total (in billion m3) | 21.4 | 21.9 | 21.9 |
| Hydrogen Sector Percentage | |||
| State Policy Scenario | 1.0% | 1.5% | 2.0% |
| Net-Zero Scenario | 1.8% | 3.8% | 6.8% |
Disclaimer/Publisher’s Note: The statements, opinions and data contained in all publications are solely those of the individual author(s) and contributor(s) and not of MDPI and/or the editor(s). MDPI and/or the editor(s) disclaim responsibility for any injury to people or property resulting from any ideas, methods, instructions or products referred to in the content. |
© 2025 by the authors. Licensee MDPI, Basel, Switzerland. This article is an open access article distributed under the terms and conditions of the Creative Commons Attribution (CC BY) license (https://creativecommons.org/licenses/by/4.0/).
Share and Cite
Lin, N.; Arzumanyan, M.; Rodriguez Calzado, E.; Nicot, J.-P. Water Requirements for Hydrogen Production: Assessing Future Demand and Impacts on Texas Water Resources. Sustainability 2025, 17, 385. https://doi.org/10.3390/su17020385
Lin N, Arzumanyan M, Rodriguez Calzado E, Nicot J-P. Water Requirements for Hydrogen Production: Assessing Future Demand and Impacts on Texas Water Resources. Sustainability. 2025; 17(2):385. https://doi.org/10.3390/su17020385
Chicago/Turabian StyleLin, Ning, Mariam Arzumanyan, Edna Rodriguez Calzado, and Jean-Philippe Nicot. 2025. "Water Requirements for Hydrogen Production: Assessing Future Demand and Impacts on Texas Water Resources" Sustainability 17, no. 2: 385. https://doi.org/10.3390/su17020385
APA StyleLin, N., Arzumanyan, M., Rodriguez Calzado, E., & Nicot, J.-P. (2025). Water Requirements for Hydrogen Production: Assessing Future Demand and Impacts on Texas Water Resources. Sustainability, 17(2), 385. https://doi.org/10.3390/su17020385

