Model Construction and Scenario Analysis for Carbon Dioxide Emissions from Energy Consumption in Jiangsu Province: Based on the STIRPAT Extended Model
Abstract
1. Introduction
2. Research Methods and Data Sources
2.1. Research Methods
2.1.1. Calculation of CO2 Emissions from Energy Consumption
2.1.2. Scope and Definition of Decoupling
2.1.3. STRIPAT Extended Model
2.2. Data Sources
3. Results and Discussion
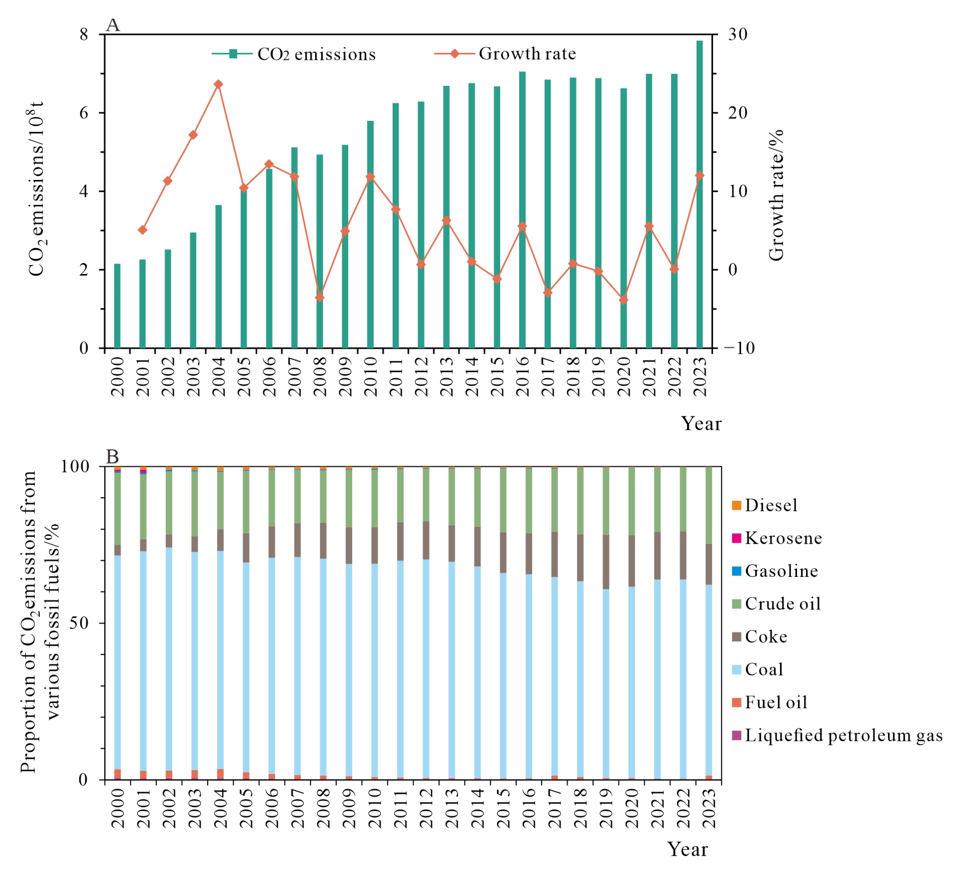
3.1. CO2 Emissions from Energy Consumption
3.2. Decoupling Status of CO2 Emissions from Energy Consumption
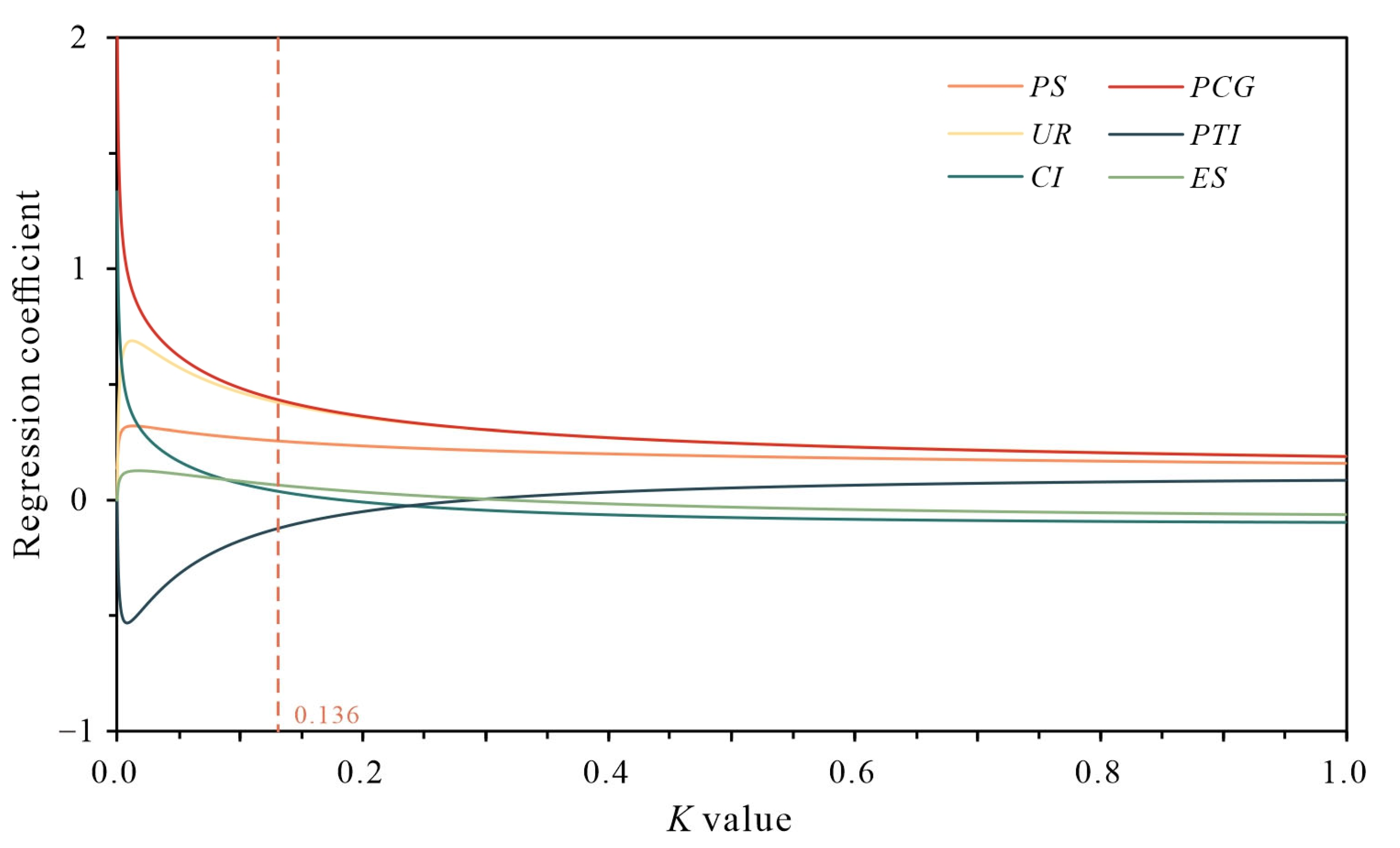
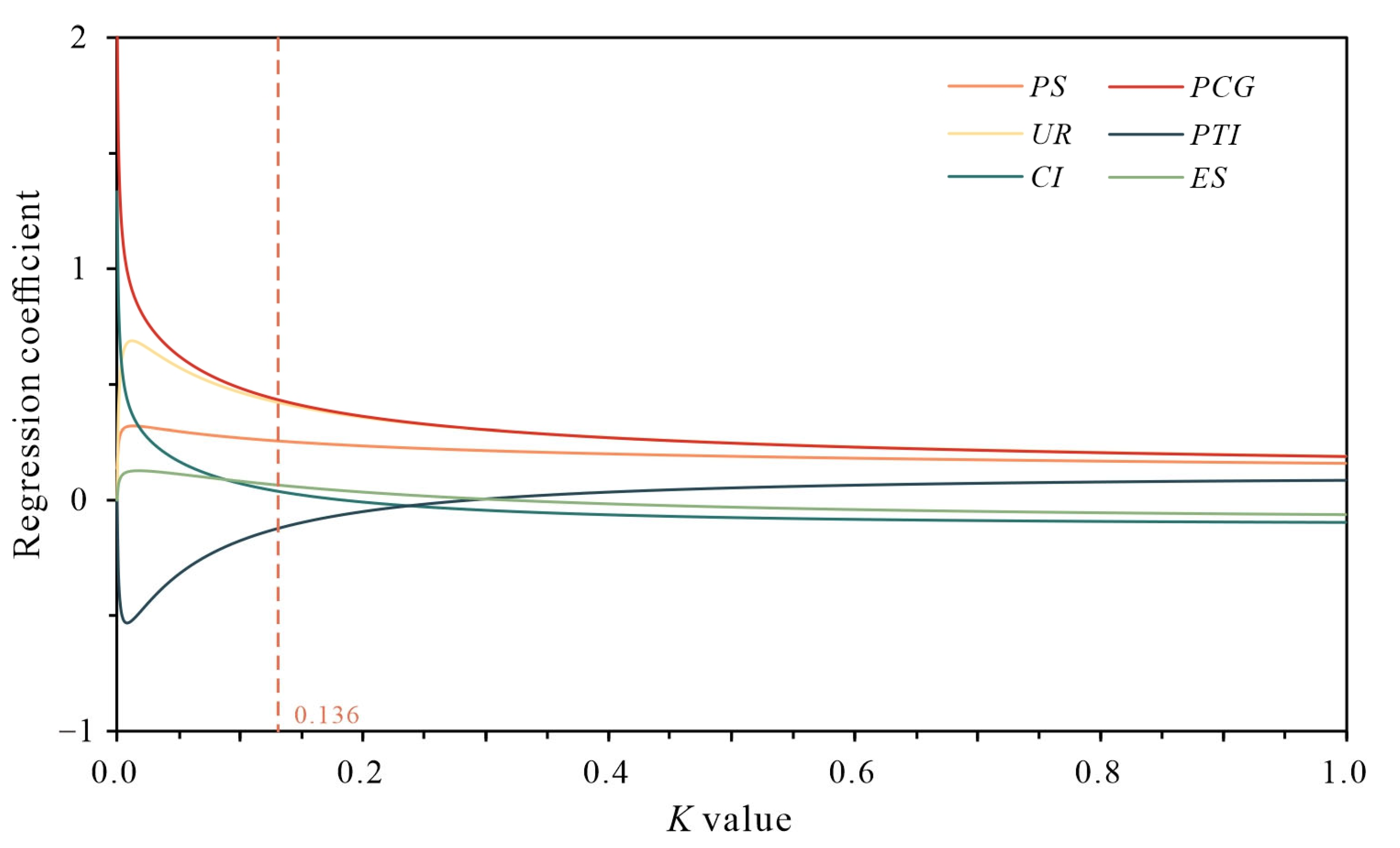
3.3. Prediction Model for CO2 Emissions Generated by Energy Consumption
3.4. Scenario Parameter Settings in Predictive Models
3.5. Characteristics of Scenario Analysis
3.6. Suggestions and Limitations for Carbon Reduction
- (1)
- Strengthen the guidance of policies and institutional systems. In the short-term phase (2025–2026), the Jiangsu Provincial Government may actively launch special subsidies for the “coal-to-electricity” transition, promote technological transformation in the iron and steel as well as chemical industries, and establish a two-level (provincial-municipal) carbon emission monitoring platform. Policies shall be formulated to reduce the proportion of coal consumption in the province by 1.5% annually, with the proportion dropping to below 55% by 2026. In the medium-term phase (2027–2030), efforts shall be intensified to construct gigawatt-scale offshore wind farms (e.g., in Yancheng and Lianyungang), implement a “carbon labeling” system, and prioritize the procurement of low-carbon products. The share of renewable energy installed capacity shall reach 40%, and the carbon productivity of industrial enterprises above the designated size shall increase by 20%. In the long-term phase (2031-), the Provincial Government and the Department of Ecology and Environment may actively build a “carbon trading + carbon tax” mechanism, develop pilot “zero-carbon parks,” and achieve a stable decline in carbon emissions from energy consumption after reaching the peak, with net carbon emissions decreasing by 10% compared with the peak level.
- (2)
- Optimize the energy-consumption structure. Under the baseline scenario, fossil fuels are expected to account for 75.630% of Jiangsu’s total energy demand in 2030, whereas the enhanced low-carbon scenario reduces this share to 69.550%. To accelerate this transition, Jiangsu should aggressively expand the deployment of renewables and other clean-energy sources while systematically phasing out coal and other high-carbon fuels. Consequently, Jiangsu must substantially scale up the deployment of renewable and clean-energy sources to diminish its reliance on coal and other polluting fuels, accelerate the optimization and upgrading of its energy-consumption mix, and promptly phase out or replace backward capacities characterized by high energy intensity and high pollution [52,53].
- (3)
- Scale up technology acquisition and innovation while aligning market and policy mechanisms. First, it is recommended to establish a Special Scientific Research Fund for Carbon Reduction Technologies in Jiangsu Province, with an annual investment of CNY 1.500 billion to support joint research and development efforts between universities and enterprises. The fund shall focus on achieving breakthroughs in key technologies such as “low-carbon metallurgy” and “industrial waste heat recovery”, and mandate that the achievements of the funded projects must be applied in industrialization within 2 years. Second, establish a Carbon Reduction Technology Trading Platform, which connects with the Jiangsu National Independent Innovation Demonstration Zone. Implement a “value-added tax (VAT) immediate refund upon collection” policy for carbon reduction technologies purchased by enterprises, with an annual maximum refund limit of CNY 50 million per enterprise. Meanwhile, propose the Special Program for Carbon Reduction Technology Talents: provide a CNY 5 million settlement subsidy for introduced high-level overseas talents (e.g., academician teams in the new energy field). Furthermore, the province must deepen cooperative exchanges with other regions and organisations on CO2 mitigation technologies to secure robust technical support for its emission-reduction goals [54,55].
- (4)
- Accelerate the diffusion of energy-saving and carbon-mitigation technologies. The provincial government should publish an annually updated catalogue of proven, scalable low-carbon technologies and mandate that large enterprises, especially those with high-energy and high-emission properties, act as first movers in its promotion and deployment [7,56,57]. Fiscal incentives and concessional finance should be directed toward research and development of next-generation low-carbon products and processes, while competitive grants establish demonstration plants and carbon-saving pioneer posts to showcase best practices. To close current market gaps, Jiangsu must also pioneer domestic carbon-sink trading and develop carbon-futures and other derivative instruments, thereby deepening the province’s carbon-finance ecosystem.
4. Conclusions
- (1)
- Jiangsu’s energy-related CO2 emissions surged from 215.224 million tons in 2000 to 783.943 million tons in 2023, averaging 549.963 million tons. Since the 13th Five-Year Plan period, the effects of emission reduction policies have initially emerged. Coal consumption remains the main source of carbon emissions (accounting for over 60%), while the proportion of natural gas and renewable energy has increased slowly. Therefore, the transformation of energy structures is still the key measure for emission reduction.
- (2)
- Over the same period, the decoupling relationship between energy-related CO2 emissions and economic growth was predominantly weak decoupling (91.304%), with only a minority of years exhibiting expansive coupling (8.696%). The weak decoupling state indicates that “economic growth still relies on the drive of energy consumption”, and it is necessary to achieve “strong decoupling” through technological innovation and structural optimization.
- (3)
- Under the baseline scenario, Jiangsu’s energy-related CO2 emissions are projected to reach 796.828 million tons in 2030. Under the low-carbon scenario, CO2 emissions decline to 786.355 million tons, and under the enhanced low-carbon scenario, CO2 emissions fall further to 772.293 million tons.
- (4)
- Jiangsu Province needs to promote carbon peaking with “energy structure transformation as the core, technological innovation as the support, and policy coordination as the guarantee”. The research conclusions can provide references for economically developed provinces in eastern China, such as Zhejiang and Guangdong. Meanwhile, in the future, “satellite remote sensing data” can be combined to supplement municipal-scale data and improve spatial accuracy; the “spatial STIRPAT model” can be introduced to analyze regional spillover effects; or the “system dynamics model” can be adopted to integrate the impact of extreme events, so as to optimize scenario prediction.
Author Contributions
Funding
Institutional Review Board Statement
Informed Consent Statement
Data Availability Statement
Conflicts of Interest
Abbreviations
| STIRPAT | Stochastic Impacts by Regression on Population, Affluence, and Technology |
| IPAT | Impact, Population, Affluence, Technology |
| IPBAT | Impact, population, affluence, behavior, and technology |
| ImPACT | The emphasis on the expression Impact in the IPAT equation |
| TAPIO | Tapio Decoupling Index |
| LASSO | Least Absolute Shrinkage and Selection Operator |
| VIF | Variance Inflation Factor |
| GDP | Gross Domestic Product |
| CO2 | Carbon Dioxide |
| TE | Total CO2 emissions from energy consumption |
| DI | The decoupling index |
| UR | Urbanization rate |
| PS | Population size |
| PCG | Per capita GDP |
| PTI | The tertiary-industry share of output |
| ES | Energy structure |
| CI | Carbon intensity |
| LPG | Liquefied petroleum gas |
| BS | Baseline scenario |
| LCS | Low-carbon scenario |
| SLCS | Enhanced low-carbon scenarios |
| FECi | The consumption of the i energy type (104 t) |
| EFi | The standard-coal conversion factor for the i energy type (kg ce kg−1) |
| k | Ridge parameter |
| β | CO2 emission coefficient per tonne of standard coal (2.493 t CO2 t ce−1) |
| n | The number of energy categories |
| i | Individual fuels |
References
- Yan, Y.X.; Pan, Y.X.; Luo, X.; Lin, Q.Y.; Pan, C.H.; Zhang, H.L.; Gao, X.; Wu, T. Carbon dioxide-focused greenhouse gas emissions from petrochemical plants and associated industries: Critical overview, recent advances and future prospects of mitigation strategies. Process Saf. Environ. Prot. 2024, 188, 406–421. [Google Scholar] [CrossRef]
- Song, X.H.; Zhang, Y.F.; Wang, Y.M.; Feng, Y.C. Analysis of impacts of demographic factors on carbon emissions based on the IPAT model. Res. Environ. Sci. 2012, 25, 109–115. (In Chinese) [Google Scholar]
- Wen, L.; Shao, H. Analysis of influencing factors of the carbon dioxide emissions in China’s commercial department based on the STIRPAT model and ridge regression. Environ. Sci. Pollut. Res. Int. 2019, 26, 27138–27147. [Google Scholar] [CrossRef]
- Ghazali, A.; Ali, G. Investigation of key contributors of CO2 emissions in extended STIRPAT model for newly industrialized countries: A dynamic common correlated estimator (DCCE) approach. Energy Rep. 2019, 5, 242–252. [Google Scholar] [CrossRef]
- Li, C.; Zhang, Z.; Wang, L. Carbon peak forecast and low carbon policy choice of transportation industry in China: Scenario prediction based on STIRPAT model. Environ. Sci. Pollut. Res. Int. 2023, 30, 63250–63271. [Google Scholar] [CrossRef]
- Griffin, P.W.; Hammond, G.P.; Norman, J.B. Industrial energy use and carbon emissions reduction in the chemicals sector: A UK perspective. Appl. Energy 2018, 227, 587–602. [Google Scholar] [CrossRef]
- Chen, C.C.; Liu, C.L.; Wang, H.; Guan, J.; Liu, X.J. Examining the impact factors of energy consumption related carbon footprints using the STIRPAT model and PLS model in Beijing. China Environ. Sci. 2014, 36, 1622–1632. (In Chinese) [Google Scholar]
- Tenaw, D.; Hawitibo, A.L. Carbon decoupling and economic growth in Africa: Evidence from production and consumption-based carbon emissions. Resour. Environ. Sustain. 2021, 6, 100040. [Google Scholar] [CrossRef]
- Ahsan, M.; Tian, L.X.; Du, R.J. Navigating the green shift with innovative techniques in petrochemical emission control. Sci. Rep. 2024, 14, 28082. [Google Scholar] [CrossRef] [PubMed]
- He, J.X.; Wu, M.; Cao, W.J.; Wang, W.Q.; Sun, P.L.; Luo, B.; Song, X.J.; Peng, Z.W.; Zhang, X.L. CO2 emissions and scenario analysis of transportation sector based on STIRPAT model: A case study of Xuzhou in Northern Jiangsu. Eng 2025, 6, 175. [Google Scholar] [CrossRef]
- Zhang, X.M.; Cao, D.D.; Wang, X.; Yang, X.P. Analysis on the status and scenario forecast of carbon dioxide emissions in China’s provincial energy consumption. Ecol. Econ. 2023, 39, 26–32. (In Chinese) [Google Scholar]
- Hammond, G.P.; Grady, A.Q. The life cycle greenhouse gas implications of a UK gas supply transformation on a future low carbon electricity sector. Energy 2017, 118, 937–949. [Google Scholar] [CrossRef]
- Cooper, J.; Stamford, L.; Azapagic, A. Environmental impacts of shale gas in the UK: Current situation and future scenarios. Energy Technol. 2014, 2, 1012–1026. [Google Scholar] [CrossRef]
- Steven, P. A decoupling analysis of transport CO2 emissions from economic growth: Evidence from Vietnam. Int. J. Sustain. Transp. 2022, 16, 928–941. [Google Scholar]
- Enrlich, P.R.; Holdren, J.P. Impact of population growth. Science 1971, 171, 1212–1217. [Google Scholar] [CrossRef]
- Schulze, P.C. I = PBAT. Ecol. Econ. 2002, 40, 149–150. [Google Scholar] [CrossRef]
- Waggoner, P.E.; Ausubel, J.H. A Framework for sustainability science: A renovated IPAT identity. Proc. Natl. Acad. Sci. USA 2002, 99, 7860–7865. [Google Scholar] [CrossRef]
- York, R.; Rosa, E.A.; Dietz, T. STIRPAT, IPAT and ImPACT: Analytic tools for unpacking the driving forces of environmental impacts. Ecol. Econ. 2003, 46, 351–365. [Google Scholar] [CrossRef]
- Dietz, T.; Rosa, E.A. Effects of population and affluence on CO2 emissions. Proc. Natl. Acad. Sci. USA 1997, 94, 175–179. [Google Scholar] [CrossRef]
- York, R.; Rosa, E.A.; Dietz, T. A rift in modernity? assessing the anthropogenic sources of global climate change with the STIRPAT model. Int. J. Sociol. Soc. Pol. 2003, 23, 31–51. [Google Scholar] [CrossRef]
- Li, K.; Lin, B.Q. Impacts of urbanization and industrialization on energy consumption/CO2 emissions: Does the level of development matter? Renew. Sustain. Energy Rev. 2015, 52, 1107–1122. [Google Scholar] [CrossRef]
- Martínez-Zarzoso, I.; Maruotti, A. The impact of urbanization on CO2 emissions: Evidence from developing countries. Ecol. Econ. 2011, 70, 1344–1353. [Google Scholar] [CrossRef]
- Shi, A. The impact of population pressure on global carbon dioxide emissions, 1975–1996: Evidence from pooled cross country data. Ecol. Econ. 2003, 44, 24–42. [Google Scholar] [CrossRef]
- Shahbaz, M.; Loganathan, N.; Sbia, R.; Afza, T. The effect of urbanization, affluence and trade openness on energy consumption: A time series analysis in Malaysia. Renew. Sust. Energ. Rev. 2015, 47, 683–693. [Google Scholar] [CrossRef]
- Abou-Ali, H.; Abdelfattah, Y.M.; Adams, J. Population dynamics and carbon emissions in the Arab region: An extended stirpat II model. Econ. Res. Forum Work. Pap. 2016, 988, 1–33. [Google Scholar]
- Roy, M.; Basu, S.; Pal, P. Examining the driving forces in moving toward a low carbon society: An extended STIRPAT analysis for a fast growing vast economy. Clean Technol. Environ. Policy 2017, 19, 2265–2276. [Google Scholar] [CrossRef]
- Wang, L.M.; He, K.L. Analysis of spatial variations in environmental impact based on the STIRPAT model—A case study of energy consumption. Acta Sci. Circum. 2008, 28, 1032–1037. [Google Scholar]
- Lu, N.; Qu, F.T.; Feng, S.Y.; Shao, X.L. Trends and determining factors of energy consumption carbon footprint: An analysis for Suzhou-Wuxi-Changzhou region based on STIRPAT model. J. Nat. Resour. 2011, 26, 814–824. [Google Scholar]
- Zhao, R.Q.; Liu, W.; Liu, Y.; Ding, M.L.; Zhang, Z.P.; Wang, J. Prediction of carbon emission peak value of He’nan Province based on carbon budget estimation. Bull. Soil. Water Conserv. 2016, 36, 78–83. [Google Scholar]
- Wang, X.E.; Wang, Y.X.; Duan, H.Y. Forecasting area’s carbon emissions of energy consumption and controllability study. CPRE 2014, 24, 9–16. [Google Scholar]
- Zheng, L.L.; Zhang, Q.; Yang, F.S.; Zhao, X.Y.; Luo, J.X.; Shi, Z.H.; Fan, T.T.; Lei, G.Q.; Jiang, X.P. Estimation of terminal CO2 emission reduction potential in Shaanxi Province based on LMDI and system dynamics. Environ. Sci. 2025, 46, 4934–4946. [Google Scholar]
- Liu, M.H.; Zhai, H.X.; Liu, S.N.; Yue, Y.Y.; Yang, D.K.; Li, J. Comparative analysis of carbon emissions in Tianjin based on LMDI method and STIRPAT model. J. Environ. Eng. Technol. 2023, 13, 63–70. [Google Scholar]
- Dan, B.G.; Yao, L.; Zhang, C.L.; Tan, X.D. Carbon peak prediction of energy consumption in China: Based on STIRPAT extended model. Environ. Sci. 2025, 46, 4052–4064. [Google Scholar]
- Huang, W.X.; Gao, C.Z.; Wu, B.; Chen, T.; Yang, T.; Zhang, B. Development path of Guangxi to reach the carbon emission peak based on STIRPAT model. Environ. Sci. 2025, 46, 682–695. [Google Scholar]
- Lian, Y.Q.; Su, D.H.; Shi, S.X. Carbon peak prediction in Fujian province based on combined STIRPAT and CNN-LSTM models. Environ. Sci. 2025, 46, 10–18. [Google Scholar]
- Chai, Z.Y.; Yan, Y.B.; Zibibula, S.; Yang, S.T.; Maliyamuguli, A.; Wang, Y.Q. Carbon emissions index decomposition and carbon emissions prediction in Xinjiang from the perspective of population-related factors, based on the combination of STIRPAT model and neural network. Environ. Sci. Pollut. Res. Int. 2022, 29, 31781–31796. [Google Scholar]
- Tang, J.; Zheng, J.; Yang, G.; Li, C.; Zhao, X. Carbon emission prediction in a region of Hainan Province based on improved STIRPAT model. Environ. Sci. Pollut. Res. Int. 2024, 31, 58795–58817. [Google Scholar] [CrossRef]
- Alajmi, R.G. Factors that impact greenhouse gas emissions in Saudi Arabia: Decomposition analysis using LMDI. Energy Policy 2021, 156, 112454. [Google Scholar] [CrossRef]
- Wu, J.G.; Ye, A.Z. Spatial spillover effect of impact of carbon emission from consumption of fossil energy on environment. J. Technol. Econ. 2015, 34, 83–92. [Google Scholar]
- Zhao, R.Q.; Huang, X.J. Carbon emission and carbon footprint of different land use types based on energy consumption of Jiangsu province. Geogr. Res. 2010, 29, 1639–1649. [Google Scholar]
- Sun, C.L.; Jin, N.; Zhang, X.L.; Du, H.R. The impact of urbanization on the CO2 emission in the various development stages. Sci. Geogr. Sin. 2013, 33, 266–272. (In Chinese) [Google Scholar]
- Wei, Z.; Wei, K.; Liu, J. Decoupling relationship between carbon emissions and economic development and prediction of carbon emissions in Henan Province: Based on Tapio method and STIRPAT model. Environ. Sci. Pollut. Res. Int. 2023, 30, 52679–52691. [Google Scholar] [CrossRef] [PubMed]
- Wang, S.W.; Tang, K.Q.; Zhang, H.R.; Liu, W.W.; Bai, L.; Li, N. Effect of carbon dioxide emission reduction policy on air quality improvement in Jiangsu Province. Environ. Sci. 2023, 44, 5443–5455. [Google Scholar]
- Tapio, P. Towards a theory of decoupling: Degrees of decoupling in the EU and the case of road traffic in Finland between 1970 and 2001. Transp. Policy 2005, 12, 137–151. [Google Scholar] [CrossRef]
- Sun, R. Improvement and application of Tapio decoupling index measurement method. Technol. Econ. Manag. Res. 2014, 8, 7–11. [Google Scholar]
- Yu, Y.; Jin, Z.X.; Li, J.Z.; Li, J. Low-carbon development path research on China’s power industry based on synergistic emission reduction between CO2 and air pollutants. J. Clean. Prod. 2020, 275, 123097. [Google Scholar] [CrossRef]
- Rao, C.; Huang, Q.; Chen, L.; Goh, M.; Hu, Z. Forecasting the carbon emissions in Hubei Province under the background of carbon neutrality: A novel STIRPAT extended model with ridge regression and scenario analysis. Environ. Sci. Pollut. Res. Int. 2023, 30, 57460–57480. [Google Scholar] [CrossRef]
- Yang, L.; Wang, M.; Li, L.P.; Yang, R.P. Prediction of carbon emissions of four provinces in the Yangtze River delta region based on STIRPAT model. J. Environ. Eng. Technol. 2025, 15, 81–89. [Google Scholar]
- Xie, Z.M.; Yan, K.; Zhou, L.M.; Yang, P.P. Research of long-run equilibrium between economic growth/energy transformation and CO2 emissions—An empirical study based on provincial panel date analysis. Theor. Pract. Financ. Econ. 2017, 38, 113–118. [Google Scholar]
- Freijeiro-González, L.; Febrero-Bande, M.; González-Manteiga, W. A critical review of LASSO and its derivatives for variable selection under dependence among covariates. Int. Stat. Rev. 2022, 90, 118–145. [Google Scholar] [CrossRef]
- Zhang, W.L.; Liu, S.F.; Du, J.; Liu, L.Y.; Guo, X.J.; Xu, Z.R. A framework of grey prediction models on China’s population aging under the perspective of regional differences. J. Grey Syst. 2022, 34, 1–3. [Google Scholar]
- Tao, Y.; Li, H.F.; Wen, Z.G.; Chen, H.K.; Xu, W.J.; Evans, S. A hybrid scenario analysis for the selection of future greenhouse gas emissions reduction technologies in China’s oil and gas industry. J. Clean. Prod. 2019, 223, 14–24. [Google Scholar] [CrossRef]
- Yu, S.W.; Zhang, Q.; Li, H.J.; Ma, W.T.; Sun, Y.; Wang, X.C.; Song, Y. Development of an extended STIRPAT model to assess the driving factors of household carbon dioxide emissions in China. J. Environ. Manag. 2023, 325, 116502. [Google Scholar] [CrossRef]
- Kruger, T.; Darton, R. Negative emissions technologies could become the world’s largest industry. Proc. Inst. Civ. Eng.-Civ. Eng. 2013, 166, 51. [Google Scholar] [CrossRef]
- Gani, A. Fossil fuel energy and environmental performance in an extended STIRPAT model. J. Clean. Prod. 2021, 297, 126526. [Google Scholar] [CrossRef]
- Meerman, J.C.; Hamborg, E.S.; Keulen, T.; Ramírez, A.; Turkenburg, W.C.; Faaij, A.P.C. Techno-economic assessment of CO2 capture at steam methane reforming facilities using commercially available technology. Int. J. Greenh. Gas. Control 2012, 9, 160–171. [Google Scholar] [CrossRef]
- Zhao, L.; Zhao, T.; Yuan, R. Scenario simulations for the peak of provincial household CO2 emissions in China based on the STIRPAT model. Sci. Total Environ. 2022, 809, 151098. [Google Scholar] [CrossRef] [PubMed]



| △TE | △GDP | DI | Decoupling Status |
|---|---|---|---|
| <0 | >0 | DI < 0 | Strong decoupling |
| >0 | >0 | 0 ≤ DI < 0.800 | Weak decoupling |
| <0 | <0 | DI ≥ 1.200 | Recessive decoupling |
| >0 | <0 | DI < 0 | Strong negative decoupling |
| <0 | <0 | 0 ≤ DI < 0.800 | Weak negative decoupling |
| >0 | >0 | DI ≥ 1.200 | Expansive negative decoupling |
| >0 | >0 | 0.800 ≤ DI < 1.200 | Expansive coupling |
| <0 | <0 | 0.800 ≤ DI < 1.200 | Recessive coupling |
| Year | lnPS | lnUR | lnCI | lnPCG | lnPSI | lnES | lnTE |
|---|---|---|---|---|---|---|---|
| 2000 | 8.899 | 3.726 | 0.923 | 9.365 | 3.581 | 4.585 | 9.977 |
| 2001 | 8.904 | 3.752 | 0.872 | 9.461 | 3.597 | 4.575 | 10.027 |
| 2002 | 8.910 | 3.800 | 0.865 | 9.570 | 3.603 | 4.592 | 10.134 |
| 2003 | 8.917 | 3.846 | 0.864 | 9.722 | 3.586 | 4.577 | 10.293 |
| 2004 | 8.926 | 3.875 | 0.901 | 9.889 | 3.558 | 4.581 | 10.505 |
| 2005 | 8.934 | 3.922 | 0.800 | 10.081 | 3.581 | 4.546 | 10.605 |
| 2006 | 8.943 | 3.949 | 0.768 | 10.231 | 3.600 | 4.585 | 10.731 |
| 2007 | 8.952 | 3.974 | 0.678 | 10.424 | 3.627 | 4.586 | 10.844 |
| 2008 | 8.957 | 3.995 | 0.468 | 10.593 | 3.651 | 4.490 | 10.808 |
| 2009 | 8.963 | 4.018 | 0.408 | 10.695 | 3.679 | 4.474 | 10.856 |
| 2010 | 8.971 | 4.104 | 0.338 | 10.870 | 3.723 | 4.503 | 10.968 |
| 2011 | 8.990 | 4.127 | 0.246 | 11.017 | 3.747 | 4.509 | 11.042 |
| 2012 | 9.002 | 4.143 | 0.158 | 11.099 | 3.770 | 4.471 | 11.049 |
| 2013 | 9.011 | 4.165 | 0.119 | 11.191 | 3.809 | 4.520 | 11.111 |
| 2014 | 9.022 | 4.185 | 0.041 | 11.268 | 3.839 | 4.508 | 11.121 |
| 2015 | 9.026 | 4.212 | −0.065 | 11.359 | 3.863 | 4.480 | 11.109 |
| 2016 | 9.034 | 4.233 | −0.093 | 11.433 | 3.902 | 4.507 | 11.164 |
| 2017 | 9.039 | 4.251 | −0.227 | 11.532 | 3.906 | 4.465 | 11.134 |
| 2018 | 9.041 | 4.265 | −0.301 | 11.611 | 3.920 | 4.472 | 11.142 |
| 2019 | 9.044 | 4.284 | −0.359 | 11.666 | 3.942 | 4.442 | 11.140 |
| 2020 | 9.045 | 4.296 | −0.440 | 11.706 | 3.955 | 4.398 | 11.101 |
| 2021 | 9.048 | 4.303 | −0.509 | 11.826 | 3.934 | 4.393 | 11.155 |
| 2022 | 9.050 | 4.309 | −0.557 | 11.873 | 3.932 | 4.361 | 11.156 |
| 2023 | 9.051 | 4.317 | −0.492 | 11.921 | 3.944 | 4.376 | 11.270 |
| Year | TE/(×104 tons) | GDP/(×102 million yuan, CNY) | △TE/% | △GDP/% | DI | Decoupling States |
|---|---|---|---|---|---|---|
| 2000 | 21,522.428 | 8553.690 | - | - | - | - |
| 2001 | 22,622.851 | 9456.840 | 5.113 | 10.559 | 0.484 | Weak decoupling |
| 2002 | 25,187.477 | 10,606.850 | 17.029 | 24.003 | 0.709 | Weak decoupling |
| 2003 | 29,519.724 | 12,442.870 | 37.158 | 45.468 | 0.817 | Expansive coupling |
| 2004 | 36,510.528 | 14,823.130 | 69.639 | 73.295 | 0.950 | Expansive coupling |
| 2005 | 40,331.369 | 18,121.330 | 87.392 | 111.854 | 0.781 | Weak decoupling |
| 2006 | 45,772.292 | 21,240.790 | 112.673 | 148.323 | 0.760 | Weak decoupling |
| 2007 | 51,214.816 | 25,988.360 | 137.960 | 203.826 | 0.677 | Weak decoupling |
| 2008 | 49,400.793 | 30,945.450 | 129.532 | 261.779 | 0.495 | Weak decoupling |
| 2009 | 51,846.231 | 34,471.670 | 140.894 | 303.003 | 0.465 | Weak decoupling |
| 2010 | 58,003.913 | 41,383.870 | 169.504 | 383.813 | 0.442 | Weak decoupling |
| 2011 | 62,472.534 | 48,839.210 | 190.267 | 470.972 | 0.404 | Weak decoupling |
| 2012 | 62,901.700 | 53,701.920 | 192.261 | 527.822 | 0.364 | Weak decoupling |
| 2013 | 66,873.566 | 59,349.410 | 210.716 | 593.846 | 0.355 | Weak decoupling |
| 2014 | 67,571.319 | 64,830.510 | 213.958 | 657.924 | 0.325 | Weak decoupling |
| 2015 | 66,787.552 | 71,255.930 | 210.316 | 733.043 | 0.287 | Weak decoupling |
| 2016 | 70,510.040 | 77,350.850 | 227.612 | 804.298 | 0.283 | Weak decoupling |
| 2017 | 68,457.434 | 85,869.760 | 218.075 | 903.891 | 0.241 | Weak decoupling |
| 2018 | 69,000.830 | 93,207.550 | 220.600 | 989.677 | 0.223 | Weak decoupling |
| 2019 | 68,881.762 | 98,656.820 | 220.046 | 1053.383 | 0.209 | Weak decoupling |
| 2020 | 66,230.120 | 10,2807.680 | 207.726 | 1101.910 | 0.189 | Weak decoupling |
| 2021 | 69,926.452 | 11,6364.200 | 224.900 | 1260.398 | 0.178 | Weak decoupling |
| 2022 | 69,970.723 | 12,2089.280 | 225.106 | 1327.329 | 0.170 | Weak decoupling |
| 2023 | 78,394.270 | 12,8222.160 | 264.245 | 1399.027 | 0.189 | Weak decoupling |
| Method | Collinearity Handling Capability | Data Requirements | Prediction Accuracy | Applicable Scenarios |
|---|---|---|---|---|
| Ridge regression | Strong (by compressing coefficients via the λ value) | Large sample (≥20 observations) | Relatively high (suitable for linear relationships) | Multivariate collinearity and linear prediction |
| LASSO regression | Relatively strong (by compressing coefficients to zero) | Large sample | Relatively high (suitable for variable selection) | Scenarios requiring the elimination of redundant variables |
| grey forecasting model | Weak (incapable of handling collinearity) | Small sample (≥4 observations) | Relatively low (suitable for trend extrapolation) | Scarce data and absence of obvious driving factors |
| Factors | Unstandardized Coefficient | Standard Error | t-Statistic | p-Value | VIF |
|---|---|---|---|---|---|
| lna | −11.811 | 4.315 | −2.737 | 0.014 ** | - |
| lnPS | 1.848 | 0.267 | 6.911 | 0.000 *** | 0.254 |
| lnUR | 0.849 | 0.097 | 8.732 | 0.000 *** | 0.416 |
| lnCI | 0.025 | 0.027 | 0.931 | 0.365 | 0.033 |
| lnPCG | 0.202 | 0.022 | 9.388 | 0.000 *** | 0.428 |
| lnPTI | −0.309 | 0.168 | −1.836 | 0.084 * | 0.116 |
| lnES | 0.345 | 0.439 | 0.785 | 0.443 | 0.062 |
| Classification | The Average Value of CO2 Emissions/104 t | p-Value | t-Statistic | Sig. |
|---|---|---|---|---|
| Predicted value | 54,609.224 | 0.874 | −0.009 | 0.993 |
| Actual value | 54,996.280 | −0.009 | 0.993 |
| Year | Scenario | PS | UR | CI | PCG | PTI | ES |
|---|---|---|---|---|---|---|---|
| 2024–2025 | BS | 0.360 | 1.400 | −2.500 | 6.000 | 4.500 | −1.000 |
| LCS | 0.320 | 1.200 | −3.500 | 5.500 | 4.500 | −1.200 | |
| SLCS | 0.280 | 1.000 | −4.000 | 5.000 | 4.000 | −1.500 | |
| 2026–2030 | BS | 0.320 | 1.100 | −3.000 | 5.000 | 5.000 | −0.600 |
| LCS | 0.280 | 1.000 | −4.500 | 4.500 | 4.500 | −0.800 | |
| SLCS | 0.240 | 0.900 | −5.000 | 4.000 | 4.500 | −1.000 |
Disclaimer/Publisher’s Note: The statements, opinions and data contained in all publications are solely those of the individual author(s) and contributor(s) and not of MDPI and/or the editor(s). MDPI and/or the editor(s) disclaim responsibility for any injury to people or property resulting from any ideas, methods, instructions or products referred to in the content. |
© 2025 by the authors. Licensee MDPI, Basel, Switzerland. This article is an open access article distributed under the terms and conditions of the Creative Commons Attribution (CC BY) license (https://creativecommons.org/licenses/by/4.0/).
Share and Cite
Liu, Y.; Yang, L.; Wu, M.; He, J.; Wang, W.; Li, Y.; Huang, R.; Liu, D.; Tan, H. Model Construction and Scenario Analysis for Carbon Dioxide Emissions from Energy Consumption in Jiangsu Province: Based on the STIRPAT Extended Model. Sustainability 2025, 17, 8961. https://doi.org/10.3390/su17198961
Liu Y, Yang L, Wu M, He J, Wang W, Li Y, Huang R, Liu D, Tan H. Model Construction and Scenario Analysis for Carbon Dioxide Emissions from Energy Consumption in Jiangsu Province: Based on the STIRPAT Extended Model. Sustainability. 2025; 17(19):8961. https://doi.org/10.3390/su17198961
Chicago/Turabian StyleLiu, Ying, Lvhan Yang, Meng Wu, Jinxian He, Wenqiang Wang, Yunpeng Li, Renjiang Huang, Dongfang Liu, and Heyao Tan. 2025. "Model Construction and Scenario Analysis for Carbon Dioxide Emissions from Energy Consumption in Jiangsu Province: Based on the STIRPAT Extended Model" Sustainability 17, no. 19: 8961. https://doi.org/10.3390/su17198961
APA StyleLiu, Y., Yang, L., Wu, M., He, J., Wang, W., Li, Y., Huang, R., Liu, D., & Tan, H. (2025). Model Construction and Scenario Analysis for Carbon Dioxide Emissions from Energy Consumption in Jiangsu Province: Based on the STIRPAT Extended Model. Sustainability, 17(19), 8961. https://doi.org/10.3390/su17198961

