Next Article in Journal
Doing Good or Doing Better? Comparing Freelance and Employment Models for a Social Sustainable Food Delivery Sector
Previous Article in Journal
Cost-Effective Carbon Dioxide Removal via CaO/Ca(OH)2-Based Mineralization with Concurrent Recovery of Value-Added Calcite Nanoparticles
 
 
Font Type:
Arial Georgia Verdana
Font Size:
Aa Aa Aa
Line Spacing:
Column Width:
Background:
Article

Quantifying the Contribution of Driving Factors on Distribution and Change in Vegetation NPP in the Huang–Huai–Hai Plain, China

1
Tianjin Center, China Geological Survey (North China Center for Geoscience Innovation of China Geological Survey), No. 4 Dazhigu 8th Road, Tianjin 300170, China
2
Xiong’an Urban Geological Research Center, China Geological Survey, No. 4 Dazhigu 8th Road, Tianjin 300170, China
3
Tianjin Key Laboratory of Coast Geological Processes and Environmental Safety, No. 4 Dazhigu 8th Road, Tianjin 300170, China
4
Chinese Academy of Geological Sciences, No. 26 Baiwanzhuang Street, Beijing 100037, China
5
Key Laboratory of Groundwater Resources and Environment, Ministry of Education, Jilin University, Changchun 130021, China
*
Author to whom correspondence should be addressed.
Sustainability 2025, 17(19), 8877; https://doi.org/10.3390/su17198877
Submission received: 25 August 2025 / Revised: 29 September 2025 / Accepted: 30 September 2025 / Published: 4 October 2025

Abstract

As a fundamental metric for assessing carbon sequestration, Net Primary Productivity (NPP) and the mechanisms driving its spatiotemporal dynamics constitute a critical research domain within global change science. This research centered on the Huang–Huai–Hai Plain (HHHP), combining 2001–2023 MODIS-NPP data with natural (landform, temperature, precipitation, soil) and socio-economic (population density, GDP density, land use) drivers. Trend analysis, coefficient of variation, and Hurst index were applied to clarify the spatiotemporal evolution of NPP and its future trends, while geographic detectors and structural equation models were used to quantify the contribution of drivers. Key findings: (1) Across the HHHP, the multi-year average NPP ranged between 30.05 and 1019.76 gC·m−2·a−1, with higher values found in Shandong and Henan provinces, and lower values concentrated in the northwestern dam-top plateau and central plain regions; 44.11% of the entire region showed a statistically highly significant increasing trend. (2) The overall fluctuation of NPP was low-amplitude, with a stable center of gravity and the standard deviation ellipse retaining a southwest-to-northeast direction. (3) Future changes in NPP exhibited persistence and anti-persistence, with 44.98% of the region being confronted with vegetation degradation risk. (4) NPP variations originated from the synergistic impacts of multiple elements: among individual elements, precipitation, soil type, and elevation had the highest explanatory capacity, while synergistic interactions between two elements notably enhanced the explanatory capacity. (5) Climate variation exerted the strongest influence on NPP (direct coefficient of 0.743), followed by the basic natural environment (0.734), whereas human-related activities had the weakest direct impact (−0.098). This research offers scientific backing for regional carbon sink evaluation, ecological security early warning, and sustainable development policies.

1. Introduction

Net Primary Productivity (NPP) quantifies the net accumulation of carbon by vegetation within an ecosystem, representing the balance between photosynthetic carbon assimilation and respiratory carbon loss over a specified time period [1,2]. NPP serves as more than a critical component of the ecosystem carbon cycle; it also integrates the atmospheric, aquatic, and soil carbon cycles [3]. As global climate variation and human activities grow in intensity, NPP’s spatiotemporal distribution has undergone notable changes, posing potential risks to the health and stability of ecosystems. Therefore, investigating the spatiotemporal variations in NPP and its driving factors is important for understanding how ecosystems respond to global changes, and for developing strategies for ecological conservation and rehabilitation [4].
Across the globe, numerous studies have been carried out to examine the spatiotemporal dynamics and driving factors underlying vegetation NPP variations [5,6,7]. As an illustration, Hadian et al. (2019) assessed spatiotemporal trends in NPP across different kinds of the grassland in Semirolam County, Iran, utilizing the CASA model, and identified correlations between drought indices and NPP variations [8]. The findings indicated that elements including vegetation type, grassland status, and regional topography influence vegetation’s effective utilization, while the impact of SPI on NPP within this area is contingent upon the regional environmental traits. Xiao et al. (2022), utilizing the improved CASA model, demonstrated that the mean value of vegetation NPP in the Yellow River Basin exhibited an annual increase over the 20-year period (2001–2020), with its spatial pattern displaying a south-to-north declining trend [9]. Mao et al. (2023) examined spatiotemporal variations in NPP across the Loess Plateau spanning 2000–2020 [10]. Their findings revealed that precipitation emerged as the key climatic driver affecting interannual variations in NPP within low-elevation zones. Zhang et al. (2023) investigated the variation traits and driving forces of NPP in the Qinghai Lake Basin [11]. They observed that NPP within this basin exhibited an upward trend, with higher magnitudes in the southeast and lower magnitudes in the northwest. Climate variation was identified as the primary driver affecting these variations.
To explore how vegetation NPP is affected by different driving variables, researchers often adopt conventional analytical approaches. These include correlation analysis [12] for testing associations between variables, regression analysis [13] for fitting the magnitude of impacts, and principal component analysis [14] for dimensionality reduction. However, numerous elements influencing NPP are not independent. Consequently, the conclusions derived from conventional linear or correlation analysis methods are often insufficient in accurately reflecting the underlying factors that genuinely influence the observed associations. In recent years, approaches like Geodetector and Structural Equation Model have been applied to quantitatively examine the primary driving variables of vegetation NPP and their degrees of influence [15]. By utilizing spatial correlations between driving factors and NPP, these methods enable the quantitative assessment of the driving influence of each element and the interplay between individual elements and geographic components [15,16]. For example, Chen et al. (2021) employed a geodetector to assess quantitatively the key driving variables of spatiotemporal variations in vegetation NPP in the Hengduan Mountain region during 2000–2015 [17]. They observed that natural elements acted as the primary drivers of spatiotemporal variations in vegetation NPP within this region, while the influence of climatic elements kept growing. Xue et al. (2023) utilized the Geodetector method to evaluate the influence of various driving elements on vegetation NPP in the Qimeng region [18]. Their work identified key elements causing variations in vegetation NPP in this region and further assessed quantitatively the relative impacts of anthropogenic activities and climatic variations. Jin et al. (2025) adopted correlation analysis and geographic detector methods to evaluate the impacts of individual elements, as well as their interactive effects, on vegetation NPP in the Qinghai–Tibetan Plateau [19]. Their findings showed that climatic variations have boosted the total primary productivity of the plateau’s vegetation. Additionally, to meet the need for quantitative differentiation between the impacts of anthropogenic activities and natural climate fluctuations on ecosystems, researchers developed ANPP and PNPP indicators and designed multiple scenarios to support accurate assessments [20,21,22].
As the economy develops, varied disturbance regimes stemming from anthropogenic activities and shifts in climate have exerted a far-reaching effect on the functional integrity of ecosystems in the HHHP, in turn imposing a notable impact on vegetation growth and ecosystem services across this region. Researchers have currently conducted studies on the spatiotemporal changes in vegetation NPP and its influencing factors in certain regions of the HHHP. Wang et al. (2021) examined NPP’s spatiotemporal dynamics in the mountainous regions of North China by focusing on climate variability and vegetation type conversion [23]. Their work found that the moisture index served as the key element governing vegetation NPP in these mountainous regions. Zhao et al. (2022) analyzed NPP variations in 2000 and 2007, comparing the periods before and after unused land development in Tang County in Hebei Province [24]. They found that transforming such land into forests and arable land caused a notable rise in local vegetation NPP. Lu et al. (2023) studied the spatiotemporal variation features of NPP in Shandong Province as well as the mechanisms driving these variations [25]. Though the above studies have made some progress in understanding vegetation NPP’s variation patterns and the elements affecting them in the HHHP, related research is still relatively limited in identifying long-term changes in elements governing vegetation NPP and quantifying the extent of their effects.
This research applies the Sen trend method, coefficient of variation (CV), and Hurst exponent to analyze vegetation NPP’s spatiotemporal variations across the HHHP. Following this, projections of future NPP trends for the region are generated. Further, by combining the Optimal Parameters-based Geographical Detector (OPGD) with Structural Equation Modeling (SEM), the research quantifies the effects of natural elements (e.g., climate, landform, soil, hydrology) alongside anthropogenic-related elements (population density, GDP density, land use) on NPP. In essence, this work identifies the primary drivers behind NPP variations across the target region and their unique action paths. This research can offer scientific support for food security, vegetation cover management, and natural resources utilization in the HHHP [26]. In summary, the key aspects addressed in this research include (1) uncovering the spatiotemporal features of vegetation NPP across the HHHP using MODIS-NPP dataset, (2) examining the fluctuating NPP variations and gravity center migration path within the research region across an extended timeframe, (3) exploring the future trends of NPP in different subregions, (4) quantifying how numerous drivers affect NPP variations in the region and identifying their influence pathways, (5) assessing the effects of numerous drivers on NPP changes across the HHHP and clarifying the primary drivers and specific action paths behind these variations.

2. Materials and Methods

2.1. Study Area

The Huang–Huai–Hai Plain (HHHP) is situated in eastern China. The area features topography centered on the North China Plain. This plain also includes the adjacent hills in central–southern Shandong and the Shandong Peninsula. Topographically, it is dominated by plains and hills (mostly flat), with a general west-to-east incline. Its water system forms a complex network, primarily consisting of the three major river systems noted above. Geographically, this zone is bounded by coordinates spanning 110°10′20.48″–123°50′14.48″ E and 30°42′37.31″–43°04′46.31″ N (Figure 1). Administratively, it covers the municipalities of Beijing and Tianjin, along with Hebei, Henan, and Shandong provinces, encompassing 47 prefecture-level cities and a total area of approximately 504,000 km2. Notably, this geographic scope ranks as China’s second-largest grain-producing area.
The HHHP exhibits distinct latitudinal variabilities in hydrothermal conditions. The southern climatic zone (south of 34° N) boasts an average annual temperature ranging from 13.5 to 15.4 °C, annual rainfall between 650 and 1050 mm, and 2300 h of sunshine; in contrast, the northern climatic zone (north of 36° N) has an average annual temperature of 9.0–14.2 °C, rainfall of 358–650 mm, and ample light resources (2800–3100 h of sunshine). Seasonally, it features cold and dry winters (January average temperature: −4.2 to 1.5 °C), dry and windy springs (45% of days with winds ≥ grade 3), hot and rainy summers (65% of annual rainfall occurring in June–August), and sunny, low-cloud autumns (sunshine percentage > 65% of the year). Soil formation in the plain is governed by the latitudinal climate gradient, with yellow-brown soil, brown soil, and tidal soil forming sequentially from south to north—tidal soil alone makes up 82% of the cultivated land. Its hydrological network is marked by high river density and stable runoff. Such favorable natural conditions have underpinned the plain’s long-standing agricultural development. As one of the primary cradles of China’s farming civilization, it now maintains an annual wheat–corn rotation system and contributes 23.6% to the nation’s total grain production.

2.2. Data Sources and Processing

Geospatial datasets from multiple sources were employed for this research, encompassing five categories: remote sensing observations, meteorology, hydrology, soil, and anthropogenic activities (Table 1). Details regarding the sources of these datasets and their preprocessing approaches are outlined below:
As stated in the first point of this study, the remote sensing observation data include vegetation NPP data and DEM data. The NPP data are sourced from the MOD17A3HGF Version 6.0 product, which was released by the USGS (https://lpdaac.usgs.gov, accessed on 24 August 2025). The DEM data have been referenced from the 30-meter precision raster dataset that has been released by the Geospatial Data Cloud Platform (https://www.gscloud.cn/, accessed on 24 August 2025). The meteorological data primarily encompasses temperature, precipitation, evaporation, and wind speed, among other parameters. The temperature and precipitation data were primarily obtained from the reanalysis grid products published by the National Qinghai–Tibet Plateau Science Data Centre (https://data.tpdc.ac.cn/home, accessed on 24 August 2025) [27,28]. The evaporation data have been sourced from the data product released by the National Earth System Science Data Center—Loess Plateau Branch (http://loess.geodata.cn, accessed on 24 August 2025) [29], and the surface temperature data have been sourced from the product released by the Resource and Environmental Science and Data Center of the Chinese Academy of Sciences (https://www.resdc.cn, accessed on 24 August 2025) [30]. The spatial resolution of all these data is consistent with that of the NPP data. The hydrogeographic data have been sourced from the China Water Network Density Dataset, which was released by the Science Data Bank [31]. The soil data encompass a range of characteristics, including the soil type, the intensity of soil erosion, and the moisture content of the soil. The soil type data have been referenced from the soil type database (1 km) released by the Food and Agriculture Organization of the United Nations (FAO) (https://gaez.fao.org/pages/hwsd, accessed on 24 August 2025). The data on soil erosion intensity, soil moisture, and related parameters are derived from the Science Data Bank (https://www.scidb.cn, accessed on 24 August 2025) [32,33]. The human activity data primarily encompasses GDP density, population density, and Land Use and Cover Change (LUCC) data. These data are derived from the relevant datasets released by the Resource and Environmental Science Data Center of the Chinese Academy of Sciences (https://www.resdc.cn, accessed on 24 August 2025) [34,35,36].
In order to realize the spatial consistency of multi-source data, all raster data are standardized based on QGIS 3.34.9 software. Firstly, the projection transformation is completed by WGS84 geographic coordinate system and Albers equal-area conical projection. Secondly, bilinear interpolation method was used for resampling DEM, meteorological and NPP data to 1 km resolution. Finally, spatial registration ensures the accuracy of pixel alignment for each dataset, providing a standardized basis for subsequent quantitative assessments.

2.3. Methods

The present study focuses on the core objective of clarifying the spatiotemporal dynamics of vegetation NPP, predicting its future trends, and quantifying the driving mechanisms. A logically progressive methodological system has been established, employing methods such as the CV, Sen trend, Gravity center model, Hurst index, OPGD, and PLS-SEM. Each method is characterized by a distinct division of labor, as illustrated below:

2.3.1. Stability Analysis

The coefficient of variation (CV serves as a critical metric for assessing vegetation NPP’s temporal consistency across the HHHP from 2001 to 2023. The core logic of this approach involves computing the dispersion level between annual NPP figures and their multi-year mean, with the aim of gauging the intensity of regional NPP fluctuations over time. Smaller CV values signify stronger temporal stability, while larger ones indicate higher variability. The calculation formula for CV is as follows [37,38]:
C V = 1 N P P i = 1 n ( N P P i N P P ¯ ) 2 n 1
where NPPi denotes the NPP value in the ith year, N P P ¯ denotes the mean NPP over the multi-year, and n = 23 corresponds to the study period (2001–2023).

2.3.2. Trend Analysis

The Sen trend analysis and the Mann–Kendall (M-K) test were used in combination. This combined approach was primarily employed to analyze the temporal trend of vegetation NPP in the HHHP from 2001 to 2023 and the statistical significance of this trend. The Sen trend analysis is responsible for identifying the direction and rate of change, while the M-K test is responsible for verifying the reliability of the trend. The combination of these two factors has been shown to effectively mitigate the impact of outliers on analysis outcomes, particularly in cases where NPP values are elevated or depressed due to extreme climate events [39,40]. The trend slope (β) is calculated as
β = M e d i a n N P P j N P P i j i ,   2001 i j 2023
where NPPi and NPPj represent NPP values at temporal positions i and j, respectively. When the slope β > 0, it indicates an increasing trend in vegetation NPP; the opposite indicates a decreasing trend in vegetation NPP.
Based on the related field studies [41,42], the M-K test was used to categorize the trend according to the statistical level P. This classification divided the NPP trend into five sections within the area under investigation. It was significantly increased (β > 0, p < 0.01), significantly increased (β > 0, 0.01 < p < 0.05), remained stable (β = 0 or p > 0.05), significantly decreased (β < 0, 0.01 < p < 0.05), and decreased (β < 0, p < 0.01).

2.3.3. Gravity Center Model

The gravity center model is used to capture the spatial aggregation characteristics and migration patterns of vegetation NPP in the HHHP from 2001 to 2023. The core principle of this model is to treat the NPP value of each pixel as a “spatial weight” in order to calculate the centroid coordinates of NPP at different time points, thereby identifying the spatial movement direction of high-NPP-value areas. Meanwhile, standard deviation ellipse analysis is applied to assess the overall pattern of NPP spatial distribution [43,44]. The equation is as follows:
X = i = 1 n P i X i i = 1 n P i ,   Y = i = 1 n P i Y i i = 1 n P i
where X and Y denote the latitudinal and longitudinal coordinates of the vegetation NPP distribution’s center of gravity, respectively; Pi represents the NPP value of the ith pixel; Xi and Yi stand for the latitudinal and longitudinal coordinates of the ith pixel’s center, respectively.

2.3.4. Hurst Index

The Hurst index is applied to examine NPP time-series data from 2001 to 2023, aimed at forecasting the long-term continuity of future NPP variation trends across the HHHP [45]. This index spans a value range of [0,1], with distinct values aligning with unique future trend attributes. When H > 0.5, the NPP time series exhibits “strong persistence”, and its future variation trend aligns with the historical pattern; when H = 0.5, the NPP sequence follows a random distribution, making future trends unpredictable; when H < 0.5, the sequence indicates that NPP’s future variation trend is contrary to historical trends. Within this research, Hurst index values for the entire HHHP were derived via pixel-wise computation, then overlaid onto the significant outcomes from Sen trend analysis. Subsequently, 11 specific future development directions were further divided, and finally, through this superimposed analysis, the areas with potential vegetation degradation risks in the future were identified, providing a key basis for ecological security early warning [46].

2.3.5. Optimal Parameters-Based Geographical Detector Model (OPGD)

The optimal parameters-based geographical detector model is a spatial statistical approach optimized from the traditional geodetector. This model has been demonstrated to accurately quantify drivers of NPP’s spatial differentiation by refining the discretization method for continuous data. The core of this approach includes two key functions; “single-factor detection” and “interaction detection”, respectively, refer to analyzing the independent effect of a single driver and the collaborative effect of two drivers [47,48]. Single-factor detection assesses how well the drivers identified in this research explain spatial variability in NPP, with q-values serving to evaluate the relative importance of each driver’s explanatory strength [49,50]; interaction detection compares q-values of two drivers when acting independently versus in combination, to determine if their interaction enhances, reduces, or diminishes the explanatory power for NPP’s spatial variability. In this research, 12 continuous drivers were first preprocessed and categorized, followed by conducting detection analyses using the optimized driver data. This process allowed for precise identification of the core drivers exerting the most significant impact on NPP.

2.3.6. Partial Least Squares Structural Equation Modeling (PLS-SEM)

PLS-SEM operates as a multivariate statistical approach integrating principal component analysis, canonical correlation analysis alongside multiple linear regression. It models complex causal links between latent variables by maximizing covariance across independent, dependent variables. Its core lies in progressively enhancing model predictive capacity through iterative principal component extraction, regression equation formulation, which making it particularly well-suited for small samples, non-normal data, multivariate path analysis contexts [51,52,53]. Within ecological geology applications, PLS-SEM delivers methodological backing for analyzing multidimensional ecosystem evaluations, particularly in quantifying the combined impacts of climatic shifts, anthropogenic actions on key processes like ecosystem service provision, landscape connectivity. Outcomes from such analyses offer scientific support for establishing ecological conservation thresholds, developing cross-regional collaborative management strategies.

3. Results

3.1. Spatiotemporal Variation in Vegetation NPP

3.1.1. Spatial Variability of NPP

Using long-term annual grid data on vegetation NPP across the HHHP spanning 2001–2023, the spatial distribution of average vegetation NPP was mapped (Figure 2a). Mean vegetation NPP across the HHHP ranged between 30.05 and 1019.76 gC·m−2·a−1, with a mean of 371.02 gC·m−2·a−1. Highest NPP values lie in eastern coastal Shandong and western Henan, whereas low values are primarily concentrated in the Bashang Plateau in this region’s northwest and its central plain.
This research applies the variance formula (Equation (1)) to compute the CV for vegetation NPP within the research zone spanning 2001–2023. Results show the overall CV of vegetation NPP throughout this region is relatively low, ranging between 0.03 and 2.02, and a mean of 0.15. Such results point to relatively stable NPP over time in most areas. The current work uses the natural breakpoint method to classify vegetation NPP stability into five levels, drawing on classification criteria from existing research; these levels are outlined below: low fluctuation (CV ≤ 0.12), general low fluctuation (0.12 < CV ≤ 0.17), medium fluctuation (0.17 < CV ≤ 0.26), general high fluctuation (0.26 < CV ≤ 0.40), high fluctuation (0.22 < CV ≤ 2.02).
General low fluctuation and low-fluctuation zones make up the largest portion of the research region, boasting respective area shares of 48.84% and 26.95% (Figure 2b). Among them, general low-fluctuation zones lie chiefly in northern Hebei, southwestern Henan, eastern Shandong; low-fluctuation zones are primarily located in southwestern Henan, Henan’s southeastern area, coastal regions of northern Hebei, and eastern Shandong (Figure 2b). Additionally, general high fluctuation and high-fluctuation zones occupy a relatively small area proportion, which stand at 2.27% and 0.18%, respectively. These zones are scattered across parts of Beijing, Tianjin, Hebei, along with Dongying, Jiyuan, and other sites in Shandong. In summary, vegetation NPP in this region shows small overall fluctuations and leans toward stability.

3.1.2. Spatial Trend in Vegetation NPP

For the present research, trends and significance of vegetation NPP variations across the research zone spanning 2001–2023 were analyzed via Sen trend analysis and M-K statistical testing (Equation (2)). Vegetation NPP change trends in this region ranged between —23.40 and 27.36 gC·m−2·a−1, with the mean standing at 2.82 gC·m−2·a−1. This points to both increasing and decreasing trends in vegetation NPP changes across different parts of the region, with an overall upward tendency (Figure 3a). Vegetation NPP change trends in the research zone were divided into five categories through the M-K test (Figure 3b).
Among these, areas with extremely significant increases make up the largest portion of the research zone, comprising 44.11% of the total area. These areas are primarily located in Zhangjiakou, Chengde, and Baoding in northern Hebei (within the HHHP), Jinan, Zibo, and Linyi in eastern Shandong, and Sanmenxia, Luoyang, and Jiyuan in southwestern Henan. Second, areas with significant vegetation NPP increases make up 17.62% of the zone. They are chiefly distributed across Beijing and Tangshan in the HHHP’s northern part, Qingdao and Tai’an in its eastern sectors, and parts of Henan in the south.

3.1.3. The Center of Gravity Shift in Vegetation NPP

Within the current research, spatial aggregation characteristics and migration patterns of vegetation NPP across the research zone spanning 2001–2023 were analyzed using Equation (3). This work aims to derive vegetation NPP’s standard deviation ellipses along with spatial gravity center migration trajectories across five periods within this zone (Figure 4).
From the perspective of spatial distribution, vegetation NPP centers across the five periods in the research zone were close to one another, with their long axes running in a southwest-to-northeast direction. Among these periods, the 2001 standard deviation ellipse shifted more notably toward the northeast than in other years, while the 2005 ellipse shifted more notably toward the southwest. From 2001 to 2023, the centers of gravity for vegetation NPP across the HHHP were primarily situated in the vicinity of northern Liaocheng, in the central part of this region. This result matches the standard deviation ellipse outcomes, signaling stronger spatial consistency. The analysis of the 23-year dataset reveals that vegetation NPP centers of gravity in this region exhibit remarkable stability. The standard deviation ellipses maintain a steady orientation, mostly in a southwest-to-northeast direction, though the area they cover tends to first expand and then shrink, with only slight variability.

3.1.4. Future Development Trends

To delve deeper into the sustainability of vegetation NPP change trends, this research employs rescaled range (R/S) analysis for computing vegetation NPP’s Hurst index in the HHHP.
This research overlays Hurst index classifications with M-K test significance zones for trend changes (Figure 3b) to obtain 11 future trend categories for vegetation NPP across the HHHP (Table 2) and generate the spatial distribution map of persistence traits for vegetation NPP’s prospective development trends (Figure 5). Hurst index values for NPP across the HHHP spanning 2001–2023 fell between 0.13 and 0.98, averaging out at 0.46 (Figure 5a). Pixel areas with Hurst indices above 0.5 made up 33.99%, while those below 0.5 accounted for 66.01% (Table 2). The share of pixels with a Hurst index of 0.5 was extremely small, signaling that vegetation NPP’s prospective trends across this zone will show both strong persistence and anti-persistence traits (Figure 5b). Pixels showing strong persistence accounted for 33.99%, with 11.52% of these pixels displaying notably significant growth in strong persistence. Areas with notably significant growth in strong persistence were chiefly situated in southern Hebei, western Shandong, and southeastern Henan, among other regions. Zones exhibiting anti-persistence made up 66.01%, and most of these zones showed notably significant growth in anti-persistence—representing 32.96% of the total area. Regions with notably significant growth in anti-persistence were primarily located in northern Hebei, western Shandong, and western Henan, among other areas. In contrast, zones with declining anti-persistence and strong persistence had a relatively low proportion and were scattered across this zone. The area share of the unpredictable zone (H = 0.5) was negligible, so it could be ignored.

3.2. Driving Factors

The spatiotemporal dynamics of vegetation NPP across the HHHP are the result of the combined effects of multiple drivers. This research examines five distinct variables: climate, topography, soil, hydrology, and human activities. The data for the driving variables are primarily from the year 2020, encompassing a total of 14 factors. The following factors were analyzed: temperature (X1), precipitation (X2), evapotranspiration (X3), soil temperature (X4), elevation (X5), slope (X6), relief amplitude (X7), soil type (X8), soil moisture (X9), soil erosion intensity (X10), water network density (X11), population density (X12), GDP density (X13), and land use type (X14). The resulting data are presented in Table 3. In this paper, the functions of grid creation and multi-value extraction of GIS processing software are used to establish about 20,000 equal spacing grid points to extract NPP and 14 driving factors, and a geographic detection model based on optimal parameters is established by using R language.

3.2.1. Discretization of Continuous Variables

Based on five classification methods such as equal, natural breakpoint classification, quantile, geometric and standard deviation (sd), In this study, the explanatory power q-values of 12 continuous driving factors (temperature, rainfall, evaporation, surface temperature, elevation, slope, topographic fluctuation, soil moisture, soil erosion intensity, water network density, population, GDP) were calculated, and then the classification method with the largest q-value and the combination of box number were selected for discretization of continuous variables. Explanatory capacities of various drivers differ based on discretization approaches and box counts (Figure 6). Taking temperature (X1) as a case, as box counts increase, q-values from natural breakpoint, geometric interval, and standard deviation classifications show a gradual rise. In contrast, q-values from equidistant interval and standard deviation classifications first rise, then fall, and rise again. When box count reaches 9, all five classification approaches yield maximum q-values. After comparison, temperature (X1) was categorized into nine classes via natural breakpoint classification (Table 3). Similarly, this research confirmed that natural breakpoint classification was adopted to categorize soil erosion intensity (X10) into eight classes, precipitation (X2) and population density (X12) into nine classes. Quantile classification was used for categorizing relief amplitude (X7) into seven classes, GDP density (X13) into eight classes, and evapotranspiration (X3), soil temperature (X4), slope (X6), and soil moisture (X9) into nine classes. Elevation (X5) was split into nine classes using geometric interval classification, while standard deviation classification was applied to split water network density (X11) into nine classes.

3.2.2. Factor Detection

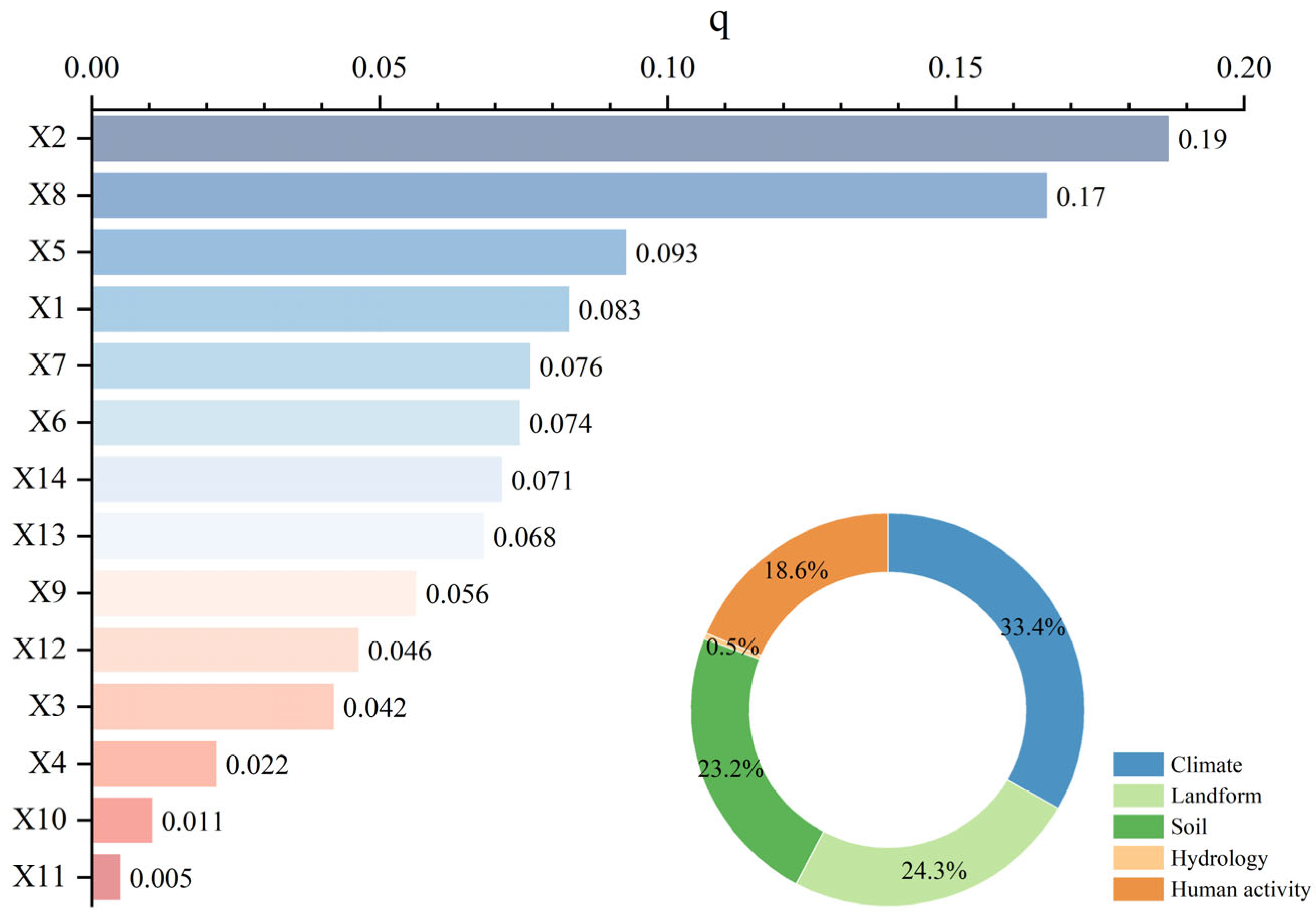
Single-factor detection results reveal notable differences in the explanatory capacity of various drivers affecting NPP changes. Among all drivers, climate change, soil properties, and landform features show particularly notable contributions (Figure 7). Mean q-values were as follows: precipitation (0.19) > soil type (0.17) > elevation (0.093) > temperature (0.083) > relief amplitude (0.076) > slope (0.074) > land use type (0.071) > GDP density (0.068) > soil moisture (0.056) > population density (0.046) > evapotranspiration (0.042) > soil temperature (0.022) > soil erosion intensity (0.011) > water network density (0.005). The precipitation, soil type, and elevation exhibited remarkably high explanatory power, with q-values approaching 0.2, thereby identifying them as the predominant drivers of NPP variation in this region. Precipitation emerged as the predominant factor, exhibiting a q-value of 0.19. Conversely, surface temperature, evaporation, and soil erosion intensity exhibited comparatively diminished explanatory capabilities, although they did contribute to the observed variability in NPP.

3.2.3. Interaction Detection

Single-factor detection cannot fully explain NPP spatial variations, so it becomes essential to account for synergies between diverse natural and anthropogenic drivers. For this purpose, interaction detection was applied to further identify the explanatory capacity of two distinct drivers on NPP in the HHHP. Results show (Figure 8) that precipitation (X2) ∩ elevation (X5) exhibits the highest interactive explanatory capacity, with a q-value of 0.495. Precipitation (X2) ∩ temperature (X1) follows, with a q-value of 0.493. Soil erosion intensity (X10) ∩ water network density (X11) ranks the lowest, with a q-value of only 0.031. Additionally, interaction detection results reveal that after two-driver interaction, q-values are mostly higher than those of individual drivers. The overall pattern shows two-driver enhancement or nonlinear enhancement, with no independent associations. As the dominant driver in single-factor detection, the effects of annual mean precipitation were further amplified when interacting with other drivers, particularly its interaction with temperature (X1), elevation (X5), and others, with explanatory capacity exceeding 0.49. Second, the explanatory capacity of temperature’s interaction with evapotranspiration (X3), soil temperature (X4), slope (X6), relief amplitude (X7), and soil type (X8) can also exceed 0.46. This further confirms that annual mean precipitation stands as the primary driver influencing NPP variations in the HHHP. Furthermore, single-factor detection for multiple drivers (e.g., X9, X12, X3) showed explanatory capacity below 0.1 for vegetation NPP. However, after two-driver interaction with other distinct drivers, the explanatory capacity of these drivers can also exceed 0.2. This finding indicates that individual drivers exert a negligible influence on NPP variations and that collaborative efforts with other drivers are necessary to influence vegetation NPP variations within the HHHP.

3.3. Pathway Analysis of the Influence

Based on the analysis of the driving factors by the OPGD, this research selects eight independent variables featuring q-values above 0.1. These variables encompass inherent natural drivers, climate variation drivers, and anthropogenic drivers. The research builds and calibrates the PLS-SEM for vegetation NPP variation in this zone, as presented in Figure 9. Interactions among variables receive strong support within the SEM. The final SEM goodness-of-fit metric is GOF = 0.52, which signals strong model fit.
The results show that vegetation NPP variations are subject to varying influences from climate variation, anthropogenic variations, and the inherent natural environment. Anthropogenic variations exert a limited direct influence on NPP, with an influence coefficient of −0.098. Climate variation not only has a direct influence on NPP variations (influence coefficient: 0.743) but also exerts an indirect influence on NPP variations: it regulates human activities (e.g., agricultural management intensity) and thereby indirectly affects NPP through these adjusted activities. The inherent natural environment exerts a direct influence on NPP variations, with an influence coefficient of 0.734. Meanwhile, it indirectly affects NPP variations by influencing human activities, which in turn impacts NPP variations. Among variables related to the inherent natural environment, elevation most strongly reflects the traits of this environment, with slope and topographic relief coming next. Temperature and precipitation are both effective indicators of climate variation. Land use intensity serves as the most effective indicator for human activities, with GDP spatial distribution data coming next.
The total influence of each driver on vegetation NPP variations showed that climate variation had the most significant influence, followed by changes in the inherent natural environment, and changes in anthropogenic drivers had the least influence. It confirms that climate variation is the core cause of the overall rise in vegetation NPP across the HHHP.

4. Discussion

4.1. Interpretation of the Spatial Distribution Characteristics of Vegetation NPP

The study revealed that the average annual NPP in the HHHP from 2001 to 2023 was 371.02 gC·m−2·a−1, which was significantly lower than the national average of 514.48 gC·m−2·a−1 [5]. Temporally, NPP in the entire region continued to increase at a rate of 2.82 gC·m−2·a−1, with significant increases observed in northwest Hebei and southwest Shandong [5,54]. This trend aligns with the annual NPP rise in the Yellow River Basin documented in Xiao et al. (2022) [9] and the NPP growth patterns in the Qinghai Lake Basin noted in Zhang et al. (2023) [11]. This consistency reflects the widespread vegetation restoration scenario in arid and semi-arid zones of North China and Northwest China. The formation of this scenario has been further boosted by the rollout of ecological restoration policies, such as farmland-to-forest/grassland conversion and small watershed management [5]. Yet, it is worth noting that the NPP rise rate in the HHHP is marginally lower than that in the Yellow River Basin [9]. The noted discrepancy stems from the higher share of arable land (surpassing 60%) in the HHHP. Interannual fluctuations in arable land NPP are smaller than those in natural vegetation, which in turn leads to a relatively modest general rise rate.
From the angle of regional restoration effects, the Bashang Plateau and mountainous areas in the northwest of the HHHP exhibit the most notable rise in NPP. This is owing to low population density and the full-scale advancement of ecological initiatives. This observation aligns with the conclusion of Wang et al. (2021) that vegetation recovery proceeds fastest in the priority ecological restoration zones of North China’s mountainous areas [23]. Yet the central plain and coastal transition zone face impacts from urban expansion and agricultural intensification, leading to slow local NPP rises. This result matches Zhao et al. (2022)’s findings, where they noted that “NPP enhancement becomes restricted after unused land is converted to farmland” in Tang County, Hebei Province [24]. This result highlights the restrictive impact of the large-scale presence of agricultural land on the broad-scale improvement of regional NPP.

4.2. Future Trends of Vegetation NPP

The future NPP of the HHHP showed traits of strong persistence (33.99%) and anti-persistence (66.01%). Vegetation degradation risk was detected in 44.98% of the region, with risk zones concentrated in mid-to-high altitude areas of the northwest and central Shandong’s hilly areas. When compared with similar research, Mao et al. (2023) found that NPP in the Loess Plateau’s low-altitude zones will keep rising in the future, while high-altitude zones affected by climate fluctuations face uncertainty [10]. This study indicates that the high-altitude zone in northwest HHHP also faces degradation risk worthy of attention, yet the risk ratio of the HHHP (44.98%) is notably higher. The key difference lies in the HHHP, which is classified as an agriculturally intensive zone. Human-related activities such as agricultural development in the Bashang steppe transition zone and groundwater overexploitation in the central plain, together with topographic constraints including surface matrix instability superimposed on the Yanshan–Taihang tectonic zone, jointly lead to ecological fragility [23].
Additionally, Zhang et al. (2023) have pointed out that the future trajectory of NPP in the Qinghai Lake Basin is mainly shaped by climate variation, with a high probability of positive growth [11]. This research argues that, while climate holds dominance in shaping the HHHP, the potential for future degradation in this region is heightened due to differences in vegetation types between the two areas. The Qinghai Lake Basin features a predominance of natural grassland and forest ecosystems, and these ecosystems display a strong ability to resist disturbances. Studies have shown that vegetation has a higher level of sensitivity to climate fluctuations, including such phenomena as spring drought and summer flooding. When precipitation or temperature strays from the optimal range, the probability of NPP changes rises.

4.3. Effect Pathways of Different Driving Factors

The analysis used OPGD and PLS-SEM to uncovered that precipitation (q = 0.302), soil type (q = 0.268), and elevation (q = 0.150) were the key driving variables of NPP variation in the HHHP. This observation aligns with Chen et al. (2021)’s findings regarding NPP driving variables in the Hengduan Mountains [17]. When compared to Xue et al. (2023)’s work in the Qimeng region, the direct impact coefficient of human-related activities on HHHP’s NPP (−0.098) proves lower than that in the Qimeng region [18]. This discrepancy arises from the long-standing implementation of ecological initiatives in the HHHP [5]. This approach effectively mitigates the adverse impacts of agricultural intensification and urbanization on vegetation, thereby validating the findings of Lu et al. (2023) [25]. In their work on Shandong Province’s NPP, they found that land use optimization, such as converting farmland to forestland, has a marked impact on NPP.
Vegetation NPP’s spatiotemporal variability constitutes a nonlinear process driven by multi-element synergy [55,56]. Findings from the interaction probe indicated that the explanatory power of two-element synergy on NPP proves generally higher than that of individual elements, and the enhancement effect was the critical element behind this pattern. The synergistic interaction between mean annual precipitation and elevation showed the highest explanatory power (0.495), followed by that between mean annual precipitation and temperature (0.493). This synergistic feature was analogous to the “precipitation-topography” synergistic driving pattern on the Loess Plateau, as documented by Mao et al. (2023) [10]. But the HHHP exhibits a higher level of synergistic explanatory power (0.493–0.495) when compared to the Loess Plateau, where the q-value for intra-class interaction was roughly 0.40. The HHHP lies in the transition zone between the subtropical and warm temperate zones, which promotes stronger spatial variability in hydrothermal conditions. By contrast, microtopography-driven precipitation redistribution across plain areas proves more pronounced, thereby further reinforcing the coupling effect among precipitation, elevation, and temperature.
Furthermore, OPGD and PLS-SEM indicated that human-related activities had a minimal adverse influence on the dynamic pattern of NPP in the HHHP. These activities primarily influence vegetation growth through adjusting land use and implementing land management practices. For instance, deforestation and grassland degradation typically lower NPP, whereas afforestation and the use of sound farmland management practices aid in boosting NPP [57,58]. China has rolled out large-scale ecological restoration projects [5] within the study area, encompassing the “Three-North Shelterbelt Project”, the “Taihang Mountain Greening Project”, and the “National Coastal Shelterbelt System Construction Project”. These projects have fostered favorable conditions for vegetation growth across the region.

4.4. Limitations

This research has achieved notable progress in uncovering the spatiotemporal dynamics of NPP and its driving mechanisms in the HHHP. Yet several key remaining limitations exist. NPP estimation relies heavily on MODIS-NPP data without ground validation, which introduces the potential for systematic biases. Meanwhile, the spatial resolution of environmental drivers, including climate and soil (1 km), is lower than that of NPP data (500 m). Additionally, the interpolation process increases uncertainty in results. These aspects can collectively affect the accuracy of assessments regarding driver contributions. Moreover, current analyses mainly concentrate on interannual time scales, which prevents capturing the immediate impacts of extreme climate events on vegetation and the delayed effects of ecological responses. The elucidation of geological–ecological coupling mechanisms remains insufficiently explored, and feedback effects within groundwater–soil–vegetation systems have not been effectively integrated into models. This, in turn, limits the comprehensiveness of mechanism simulations.
Future research ought to focus on the following directions: Develop multi-source remote sensing, collaborative inversion, and machine learning optimization models by combining medium-to-high resolution remote sensing imagery with field measurements. This combination aims to improve the accuracy of NPP estimation and reduce biases. Additionally, use high-frequency remote sensing and dynamic response models to accurately capture both the short-term impacts and lagged effects of extreme climate events on vegetation. Simultaneously, strengthen multi-process coupling modeling of geology–hydrology–ecology by incorporating parameters like groundwater depth and soil properties. This will uncover how geological backgrounds influence carbon sink functions, ultimately providing scientifically sound technical backing for regional ecological security management.

5. Conclusions

We analyzed the spatiotemporal dynamics and driving mechanisms of vegetation NPP in the HHHP from 2001 to 2023. We concluded the following conclusions, summarized the core findings, and highlighted its academic value and application prospects, and proposed potential future research directions.
Vegetation NPP across the HHHP increased significantly from 2001 to 2023, although there was significant spatial heterogeneity. The areas of highest value were concentrated in eastern Shandong and western Henan, with 44.11% showing an extremely significant increase. However, nearly 45% of the area was still at risk of degradation in the future. Vegetation NPP variation was driven by the combined effect of natural and human factors, the most significant of which were annual precipitation, soil type, and elevation. Climate (direct path coefficient: 0.743) and basic natural conditions (direct path coefficient: 0.734) were the dominant factors influencing NPP variations. The direct impact of human activities was weak (−0.098), but they could exert indirect influence through changes in land use and other pathways.
In this study, we integrated OPGD and PLS-SEM to construct a multi-factor driven analysis framework, which overcame the limitations of traditional statistical methods in the attribution analysis of complex ecosystems. Our results provided scientific basis for the assessment of regional ecological restoration, the improvement of carbon sink capacity, and the coordination strategy between agriculture and ecology. Future research should focus on promoting the fusion of multi-source remote sensing and ground observation data, strengthening the research on the coupling mechanism of geological and ecological processes, developing the refined simulation of the impact of human activities, and promoting the construction of interdisciplinary cooperation and collaboration platforms, so as to enhance the ability of vegetation dynamic prediction and ecological risk management.

Author Contributions

Conceptualization, methodology, writing—original draft preparation, Z.L.; conceptualization, supervision, inspection, H.L.; review, editing, J.M.; investigation, validation, Y.B.; investigation, validation, B.H.; investigation, software, D.X.; review, F.Y.; supervision, Y.X. All authors have read and agreed to the published version of the manuscript.

Funding

This research was funded by the Monitoring and Evaluation of Resource and Environment Carrying Capacity of the Beijing–Tianjin–Hebei Collaborative Development Area and Xiong’an New Area (Grant No. DD20221727), the Project of Detailed Investigation and Risk Management of Geological Disasters in the Taihang and Luliang Mountainous Areas (Grant No. DD20230438), and Tianjin Demonstration Project for Geological Safety Check-up and Risk Assessment (Grant No. DD20230600707).

Institutional Review Board Statement

Not applicable.

Informed Consent Statement

Not applicable.

Data Availability Statement

Publicly available datasets were analyzed in this study. This data can be found here: USGS (https://doi.org/10.5067/modis/mod17a3hgf.061, accessed on 24 August 2025).

Acknowledgments

The authors would like to thank the editors and anonymous reviewers for their valuable comments and suggestions which improved the quality of the manuscript.

Conflicts of Interest

The authors declare no conflicts of interest.

References

  1. Richter, G.; Topp, C. Climate Factors Contribute to Grassland Net Primary Productivity. Agronomy 2021, 11, 1076. [Google Scholar] [CrossRef]
  2. Duveneck, M.J.; Thompson, J.R. Climate change imposes phenological trade-offs on forest net primary productivity. J. Geophys. Res. Biogeosci. 2017, 122, 2298–2313. [Google Scholar] [CrossRef]
  3. Donmez, C.; Berberoglu, S.; Curran, P.J. Modelling the current and future spatial distribution of NPP in a Mediterranean watershed. Int. J. Appl. Earth Obs. Geoinf. 2011, 13, 336–345. [Google Scholar] [CrossRef]
  4. Huang, L.; Li, L.; Wang, W. Research on comprehensive evaluation and regionalization of natural resources in North China based on GIS. North China Geol. 2023, 46, 83–88. [Google Scholar]
  5. Liu, G.; Shao, Q.; Fan, J.; Ning, J.; Rong, K.; Huang, H.; Liu, S.; Zhang, X.; Niu, L.; Liu, J. Change Trend and Restoration Potential of Vegetation Net Primary Productivity in China over the Past 20 Years. Remote Sens. 2022, 14, 1634. [Google Scholar] [CrossRef]
  6. Woolley, T.J.; Harmon, M.E.; O Connell, K.B. Inter-annual variability and spatial coherence of net primary productivity across a western Oregon Cascades landscape. For. Ecol. Manag. 2015, 335, 60–70. [Google Scholar] [CrossRef]
  7. Hao, L.; Wang, S.; Cui, X.; Zhai, Y. Spatiotemporal Dynamics of Vegetation Net Primary Productivity and Its Response to Climate Change in Inner Mongolia from 2002 to 2019. Sustainability 2021, 13, 13310. [Google Scholar] [CrossRef]
  8. Hadian, F.; Jafari, R.; Bashari, H.; Tartesh, M.; Clarke, K.D. Estimation of spatial and temporal changes in net primary production based on Carnegie Ames Stanford Approach (CASA) model in semi-arid rangelands of Semirom County, Iran. J. Arid Land 2019, 11, 477–494. [Google Scholar] [CrossRef]
  9. Xiao, F.; Liu, Q.; Xu, Y. Estimation of Terrestrial Net Primary Productivity in the Yellow River Basin of China Using Light Use Efficiency Model. Sustainability 2022, 14, 7399. [Google Scholar] [CrossRef]
  10. Mao, S.; Shangguan, Z. Evolution of spatiotemporal patterns in vegetation net primary productivity and the driving forces on the Loess Plateau. Front. Environ. Sci. 2023, 11, 1134917. [Google Scholar] [CrossRef]
  11. Zhang, J.; Qi, Y.; Yang, R.; Ma, X.; Zhang, J.; Qi, W.; Guo, Q.; Wang, H. Impacts of Climate Change and Land Use/Cover Change on the Net Primary Productivity of Vegetation in the Qinghai Lake Basin. Int. J. Environ. Res. Public Health 2023, 20, 2179. [Google Scholar] [CrossRef]
  12. Hong, X.; Huang, Y.; Sun, T. Spatiotemporal evolution of vegetation net primaryproductivity in the karst region of southwest China from 2001 to 2018. Acta Ecol. Sin. 2021, 41, 9836–9846. [Google Scholar]
  13. Ji, P.; Gao, M.; Yang, X. Analysis of NPP driving force in an arid region of Northwest China: A case study in Yili Valley and parts of Tianshan Mountains, Xinjiang, China. Acta Ecol. Sin. 2019, 39, 2995–3006. [Google Scholar] [CrossRef]
  14. Wei, J.Z.; Niu, X.N.; Shi, Z.H.; Wang, X.S.; Zhang, M.L. Analysis on the Driving Factors of Grassland NPP Dynamic Changes in the Loess Plateau. Environ. Sci. Technol. 2022, 45, 203–211. [Google Scholar]
  15. Wang, J.F.; Li, X.H.; Christakos, G.; Liao, Y.L.; Zhang, T.; Gu, X.; Zheng, X.Y. Geographical Detectors-Based Health Risk Assessment and its Application in the Neural Tube Defects Study of the Heshun Region, China. Int. J. Geogr. Inf. Sci. 2010, 24, 107–127. [Google Scholar] [CrossRef]
  16. Gao, S.Q.; Dong, G.T.; Jiang, X.H.; Nie, T.; Yin, H.J.; Guo, X.W. Quantification of Natural and Anthropogenic Driving Forces of Vegetation Changes in the Three-River Headwater Region during 1982–2015 Based on Geographical Detector Model. Remote Sens. 2021, 13, 4175. [Google Scholar] [CrossRef]
  17. Chen, S.T.; Guo, B.; Zhang, R.; Zang, W.Q.; Wei, C.X.; Wu, H.W.; Yang, X.; Zhen, X.Y.; Li, X.; Zhang, D.F.; et al. Quantitatively determine the dominant driving factors of the spatial-temporal changes of vegetation NPP in the Hengduan Mountain area during 2000–2015. J. Mt. Sci. 2021, 18, 427–445. [Google Scholar] [CrossRef]
  18. Xue, H.Z.; Chen, Y.P.; Dong, G.T.; Li, J.Y. Quantitative analysis of spatiotemporal changes and driving forces of vegetation net primary productivity (NPP) in the Qimeng region of Inner Mongolia. Ecol. Indic. 2023, 154, 110610. [Google Scholar] [CrossRef]
  19. Lv, J.X.; Zhao, W.W. Variations of vegetation gross primary productivity and its driving factors in Tibetan Plateau. Acta Ecol. Sin. 2025, 45, 6934–6947. [Google Scholar]
  20. Yang, L.; Shen, F.; Zhang, L.; Cai, Y.; Yi, F.; Zhou, C. Quantifying influences of natural and anthropogenic factors on vegetation changes using structural equation modeling: A case study in Jiangsu Province, China. J. Clean. Prod. 2021, 280, 124330. [Google Scholar] [CrossRef]
  21. Gu, Z.N.; Zhang, Z.; Yang, J.H.; Wang, L.L. Quantifying the Influences of Driving Factors on Vegetation EVI Changes Using Structural Equation Model: A Case Study in Anhui Province, China. Remote Sens. 2022, 14, 4203. [Google Scholar] [CrossRef]
  22. Cao, Y.; Li, H.W.; Liu, Y.L.; Zhang, Y.F.; Jiang, Y.K.; Dai, W.T.; Shen, M.X.; Guo, X.; Qi, W.N.; Li, L.; et al. Regional Contribution and Attribution of the Interannual Variation of Net Primary Production in the Yellow River Basin, China. Remote Sens. 2023, 15, 5212. [Google Scholar] [CrossRef]
  23. Wang, D.D.; Qin, W.; Jia, G.D.; Shan, Z.J.; Hao, M. Assessing the effects of climate variability and vegetation conversion on variations of net primary productivity in the mountainous area of North China. For. Ecol. Manag. 2021, 506, 119957. [Google Scholar] [CrossRef]
  24. Zhao, L.; Chen, Y.; Wang, X.; Su, M.; Xu, H.; Zhang, P. Spatiotemporal changes in net primary productivity before and after the development of unused land in the hilly areas of Hebei, China. PLoS ONE 2022, 17, e0270010. [Google Scholar] [CrossRef]
  25. Lu, Z.; Chen, P.; Yang, Y.; Zhang, S.; Zhang, C.; Zhu, H. Exploring quantification and analyzing driving force for spatial and temporal differentiation characteristics of vegetation net primary productivity in Shandong Province, China. Ecol. Indic. 2023, 153, 110471. [Google Scholar] [CrossRef]
  26. Wang, C.; Zhang, J.; Peng, B.; Wang, J.L.; Yu, J.J.; Wu, J.Y. Research on the optimization of land spatial patternbased on “dual evaluation”: Taking Anyuan County, Jiangxi province as an example. North China Geol. 2023, 46, 69–78. [Google Scholar]
  27. Peng, S.Z. 1-km Monthly Precipitation Dataset for China (1901–2024). National Tibetan Plateau/Third Pole Environment Data Center 2020. Available online: https://data.tpdc.ac.cn/en/data/faae7605-a0f2-4d18-b28f-5cee413766a2 (accessed on 20 June 2025).
  28. Peng, S.Z. 1-km Monthly Mean Temperature Dataset for China (1901–2022). National Tibetan Plateau/Third Pole Environment Data Center 2019. Available online: https://data.tpdc.ac.cn/en/data/71ab4677-b66c-4fd1-a004-b2a541c4d5bf/ (accessed on 20 June 2025).
  29. Peng, S.Z.; Ding, Y.X.; Wen, Z.M.; Chen, Y.M.; Cao, Y.; Ren, J.Y. Spatiotemporal change and trend analysis of potential evapotranspiration over the Loess Plateau of China during 2011–2100. Agric. For. Meteorol. 2017, 233, 183–194. Available online: http://loess.geodata.cn/data/datadetails.html?dataguid=34595274939620&docid=3 (accessed on 20 June 2025). [CrossRef]
  30. Xu, X.L. Spatial Interpolation Data Set of Mean State of Meteorological Elements in China. Resource and Environment Science and Data Center 2017. Available online: https://www.resdc.cn/DOI/DOI.aspx?DOIID=39 (accessed on 25 June 2025).
  31. Zhang, D.X.; Peng, J.F. A Dataset of 1km Grid Drainage Density in China (2022). V1. Science Data Bank 2024. Available online: https://www.scidb.cn/en/detail?dataSetId=626c5afaeaf841088335262a8e39b9ab (accessed on 30 June 2025).
  32. Sun, H.; Xu, Q.; Zhao, Z.Y. Monthly Gap-Filled CCI Soil Moisture Over Region of China (Combined Product). V1. Science Data Bank 2023. Available online: https://www.scidb.cn/en/detail?dataSetId=434a6fad0daa4c32a7396dc7db575fc8 (accessed on 20 June 2025).
  33. Li, J.L.; He, H.B.; Zeng, Q.H.; Chen, L.D.; Sun, R.H. Dataset of Soil Conservation Capacity Preventing Water Erosion in China (1992–2019). V1. Science Data Bank, 2023. Available online: https://www.scidb.cn/en/detail?dataSetId=3b2e9ea9d65c4c92b6357519a7ddc6dd&version=V1 (accessed on 20 June 2025).
  34. Xu, X.L.; Liu, J.Y.; Zhang, S.W.; Li, R.D.; Yan, C.Z.; Wu, S.X. Remote Sensing Data Set of Multi-Period Land Use Monitoring in China(CNLUCC). Resource and Environment Science and Data Center 2018. Available online: https://www.resdc.cn/DOI/DOI.aspx?DOIID=54 (accessed on 25 June 2025).
  35. Xu, X.L. China GDP Spatial Distribution Kilometer Grid Dataset. Resource and Environment Science and Data Center, 2017. Available online: https://www.resdc.cn/DOI/DOI.aspx?DOIID=33 (accessed on 25 June 2025).
  36. Xu, X.L. China Population Spatial Distribution Kilometer Grid Dataset. Resource and Environment Science and Data Center, 2017. Available online: https://www.resdc.cn/DOI/DOI.aspx?DOIID=32 (accessed on 25 June 2025).
  37. Kesteven, G.L. The Coefficient of Variation. Nature 1946, 158, 520–521. [Google Scholar] [CrossRef]
  38. Kang, Y.; Guo, E.; Wang, Y.; Bao, Y.; Bao, Y.; Mandula, N. Monitoring Vegetation Change and Its Potential Drivers in Inner Mongolia from 2000 to 2019. Remote Sens. 2021, 13, 3357. [Google Scholar] [CrossRef]
  39. Tosunoglu, F.; Kisi, O. Trend Analysis of Maximum Hydrologic Drought Variables Using Mann-Kendall and Şen’s Innovative Trend Method. River Res. Appl. 2017, 33, 597–610. [Google Scholar] [CrossRef]
  40. Sen, P.K. Estimates of the regression coefficient based on Kendall’s tau. J. Am. Stat. Assoc. 1968, 63, 1379–1389. [Google Scholar] [CrossRef]
  41. Mann, H.B. Nonparametric Tests Against Trend. Econometrica 1945, 13, 245–259. [Google Scholar] [CrossRef]
  42. Yang, R.; Cao, G.; Cao, S.; Lan, Y.; Zhang, Z.; Chen, Z.; Chen, Z.; Xu, Z.B.; Chen, D.Q.; Liu, J.Y. Temporal and spatial variation of NPP and its response to climatic factors in main river valleys on the southern slope of Qilian Mountains. E3S Web Conf. 2019, 131, 1044. [Google Scholar] [CrossRef]
  43. Meng, X.; Gao, X.; Li, S.; Li, S.; Lei, J. Monitoring desertification in Mongolia based on Landsat images and Google Earth Engine from 1990 to 2020. Ecol. Indic. 2021, 129, 107908. [Google Scholar] [CrossRef]
  44. Guo, B.; Zang, W.Q.; Yang, F.; Han, B.M.; Chen, S.T.; Liu, Y.; Yang, X.; He, T.L.; Chen, X.; Liu, C.T.; et al. Spatial and temporal change patterns of net primary productivity and its response to climate change in the Qinghai-Tibet Plateau of China from 2000 to 2015. J. Arid Land 2020, 12, 1–17. [Google Scholar] [CrossRef]
  45. Emamian, A.; Rashki, A.; Kaskaoutis, D.G.; Gholami, A.; Opp, C.; Middleton, N. Assessing vegetation restoration potential under different land uses and climatic classes in northeast Iran. Ecol. Indic. 2021, 122, 107325. [Google Scholar] [CrossRef]
  46. Wang, X.G.; Li, T.X.; Ikhumhen, H.O.; Sá, R.M. Spatio-temporal variability and persistence of PM2.5 concentrations in China using trend analysis methods and Hurst exponent. Atmos. Pollut. Res. 2022, 13, 101274. [Google Scholar] [CrossRef]
  47. Wang, J.F.; Xu, C.D. Geodetector: Principle and prospective. Acta Geogr. Sin. 2017, 72, 116–134. [Google Scholar]
  48. Song, Y.Z.; Wang, J.F.; Ge, Y.; Xu, C.D. An optimal parameters-based geographical detector model enhances geographic characteristics of explanatory variables for spatial heterogeneity analysis: Cases with different types of spatial data. GIScience Remote Sens. 2020, 57, 593–610. [Google Scholar] [CrossRef]
  49. Zhao, X.Y.; Tan, S.C.; Li, Y.P.; Wu, H.; Wu, R.J. Quantitative analysis of fractional vegetation cover in southern Sichuan urban agglomeration using optimal parameter geographic detector model, China. Ecol. Indic. 2024, 158, 111529. [Google Scholar] [CrossRef]
  50. Shi, Z.Y.; Xie, H.L.; Wang, Z.F.; Hu, X.T.; Wang, X.K.; Xie, X.Q.; Lin, H.; Liu, X.Z. Analysis of spatiotemporal heterogeneity of habitat quality and their drivingfactors based on optimal parameters-based geographicdetector for Fuzhou City, China. J. Environ. Eng. Technol. 2023, 13, 1921–1930. [Google Scholar]
  51. Fan, Y.; Chen, J.Q.; Shirkey, G.; John, R.; Wu, S.R.; Park, H.; Shao, C.L. Applications of structural equation modeling (SEM) in ecological studies: An updated review. Ecol. Process. 2016, 5, 19. [Google Scholar] [CrossRef]
  52. Shen, W.; Xiao, W.; Wang, X. Passenger satisfaction evaluation model for Urban rail transit: A structural equation modeling based on partial least squares. Transp. Policy 2016, 46, 20–31. [Google Scholar] [CrossRef]
  53. Zhang, Y.L.; Zhao, Z.Y.; Zhu, J.; Wang, Y.L.; Wang, H.Y.; Fu, B.J.; Lue, Y.H.; Jiang, W.; Hu, Y.; Wu, X. The dynamic patterns of critical ecological areas in the Yellow River Basin are driven primarily by climate factors but threatened by human activities. J. Environ. Manag. 2024, 371, 123282. [Google Scholar] [CrossRef] [PubMed]
  54. Li, Z.J.; Chen, J.P.; Chen, Z.P.; Sha, Z.Y.; Yin, J.H.; Chen, Z.T. Quantifying the contributions of climate factors and human activities to variations of net primary productivity in China from 2000 to 2020. Front. Earth Sci. 2023, 11, 1084399. [Google Scholar] [CrossRef]
  55. Wu, N.T.; Liu, A.J.; Ye, R.H.; Yu, D.S.; Du, W.L.; Chaolumeng, Q.G.; Liu, G.X.; Yu, S. Quantitative analysis of relative impacts of climate change and human activities on Xilingol grassland in recent 40 years. Glob. Ecol. Conserv. 2021, 32, e01884. [Google Scholar] [CrossRef]
  56. Yan, Y.C.; Liu, X.P.; Wen, Y.Y.; Ou, J.P. Quantitative analysis of the contributions of climatic and human factors to grassland productivity in northern China. Ecol. Indic. 2019, 103, 542–553. [Google Scholar] [CrossRef]
  57. Sun, T.; Sun, R.H.; Chen, L.D. Research on the relationship between changes in vegetation net productivity and land use type transformation in urban agglomeration. Environ. Ecol. 2020, 2, 9. [Google Scholar]
  58. Wu, J.S.; Cao, Q.W.; Shi, S.Q.; Huang, X.L.; Lu, Z.Q. Spatio-temporal variability of habitat quality in Beijing-Tianjin-Hebei Area based on land use change. Chin. J. Appl. Ecol. 2015, 26, 3457–3466. [Google Scholar]
Figure 1. Geographical location and topographic map of the study area. (a) Geographical Location Map of the Study Area; (b) Topographic Map of the Study Area; (c) Land Use Distribution Map of the Study Area.
Figure 1. Geographical location and topographic map of the study area. (a) Geographical Location Map of the Study Area; (b) Topographic Map of the Study Area; (c) Land Use Distribution Map of the Study Area.
Sustainability 17 08877 g001
Figure 2. The mean value and fluctuation grade of vegetation NPP in the HHHP from 2001 to 2023. (a) Spatial distribution map of average vegetation NPP; (b) Vegetation NPP fluctuation level distribution map.
Figure 2. The mean value and fluctuation grade of vegetation NPP in the HHHP from 2001 to 2023. (a) Spatial distribution map of average vegetation NPP; (b) Vegetation NPP fluctuation level distribution map.
Sustainability 17 08877 g002
Figure 3. Trend slope and significant type of vegetation NPP change in the HHHP from 2001 to 2023. (a) Variation trends of vegetation NPP; (b) Classification map of vegetation NPP variation trends.
Figure 3. Trend slope and significant type of vegetation NPP change in the HHHP from 2001 to 2023. (a) Variation trends of vegetation NPP; (b) Classification map of vegetation NPP variation trends.
Sustainability 17 08877 g003
Figure 4. Time series of standard deviation ellipse changes in vegetation NPP in the HHHP.
Figure 4. Time series of standard deviation ellipse changes in vegetation NPP in the HHHP.
Sustainability 17 08877 g004
Figure 5. The Hurst index and prospective development trends of vegetation NPP in the HHHP. (a) Hurst index of vegetation NPP; (b) Future trends in vegetation NPP.
Figure 5. The Hurst index and prospective development trends of vegetation NPP in the HHHP. (a) Hurst index of vegetation NPP; (b) Future trends in vegetation NPP.
Sustainability 17 08877 g005
Figure 6. Optimal discretization process of different continuous factors.
Figure 6. Optimal discretization process of different continuous factors.
Sustainability 17 08877 g006
Figure 7. Single-factor detection results of vegetation NPP in the HHHP.
Figure 7. Single-factor detection results of vegetation NPP in the HHHP.
Sustainability 17 08877 g007
Figure 8. Interactive detection results for influencing elements of NPP variations within the HHHP. (a) Heatmap of q-value matrix in factor detection; (b) Interaction type plot in interaction detection.
Figure 8. Interactive detection results for influencing elements of NPP variations within the HHHP. (a) Heatmap of q-value matrix in factor detection; (b) Interaction type plot in interaction detection.
Sustainability 17 08877 g008
Figure 9. The SEM for vegetation NPP variations in the HHHP demonstrates that green lines denote statistically significant positive pathways, while red lines stand for statistically significant negative pathways. Variables inside circles are latent variables, and those inside boxes are observed variables.
Figure 9. The SEM for vegetation NPP variations in the HHHP demonstrates that green lines denote statistically significant positive pathways, while red lines stand for statistically significant negative pathways. Variables inside circles are latent variables, and those inside boxes are observed variables.
Sustainability 17 08877 g009
Table 1. Sources of dataset.
Table 1. Sources of dataset.
Factor TypeNumberFactorSpatial ScaleSource
Climate factorX1Temperature1 kmhttps://data.tpdc.ac.cn/home, accessed on 24 August 2025
X2Precipitation
X3Evapotranspirationhttps://loess.geodata.cn, accessed on 24 August 2025
X4Soil temperaturehttps://www.resdc.cn, accessed on 24 August 2025
Remote sensing dataNPPYNPP500 mhttps://lpdaac.usgs.gov, accessed on 24 August 2025
LandformX5Elevation90 mhttps://www.gscloud.cn/, accessed on 24 August 2025
X6Slope
X7Relief amplitude
Soil factorX8Soil type1 kmhttps://gaez.fao.org/pages/hwsd, accessed on 24 August 2025
X9Soil moisturehttps://www.scidb.cn, accessed on 24 August 2025
X10Soil erosion intensity
Hydrological factorX11Water network density1 kmhttps://www.scidb.cn, accessed on 24 August 2025
Human factorX12Population density1 kmhttps://www.resdc.cn, accessed on 24 August 2025
X13GDP density
X14Land use types30 m
Table 2. Future development trend of NPP in the HHHP.
Table 2. Future development trend of NPP in the HHHP.
HurstSen&M-KFuture Development TrendsSustainabilityProportion
0 < H < 0.5β < 0, p < 0.01Anti-persistence highly significant reductionImprovement0.15%
β < 0, 0.01 < p < 0.05Anti-persistence significant reduction0.15%
β = 0 or p > 0.05No significant trend in resistanceStable development21.37%
β > 0, 0.01 < p < 0.05Anti-persistence significant increaseSignificant degradation11.39%
β > 0, p < 0.01Anti-persistence highly significant increase32.96%
H = 0.5
0.5 < H ≤ 0.98β < 0, p < 0.01Highly significant reductionDegradation0.33%
β < 0, 0.01 < p < 0.05Significant reduction0.31%
β = 0 or p > 0.05No significant trendStable development16.21%
β > 0, 0.01 < p < 0.05Significant increaseSignificant improvement5.62%
β > 0, p < 0.01Highly significant increase11.52%
Table 3. Optimal discretization results of each driving factor.
Table 3. Optimal discretization results of each driving factor.
NumberVariable TypeClassification
Method
Number of BoxesNumberVariable TypeClassification
Method
Number of Boxes
X1Continuous variablenatural9X8Type variable
X2natural9X9Continuous variablequantile9
X3quantile9X10natural8
X4quantile9X11sd9
X5geometric9X12natural9
X6quantile9X13quantile8
X7quantile7X14Type variable
Disclaimer/Publisher’s Note: The statements, opinions and data contained in all publications are solely those of the individual author(s) and contributor(s) and not of MDPI and/or the editor(s). MDPI and/or the editor(s) disclaim responsibility for any injury to people or property resulting from any ideas, methods, instructions or products referred to in the content.

Share and Cite

MDPI and ACS Style

Li, Z.; Liu, H.; Miao, J.; Bai, Y.; Han, B.; Xu, D.; Yang, F.; Xia, Y. Quantifying the Contribution of Driving Factors on Distribution and Change in Vegetation NPP in the Huang–Huai–Hai Plain, China. Sustainability 2025, 17, 8877. https://doi.org/10.3390/su17198877

AMA Style

Li Z, Liu H, Miao J, Bai Y, Han B, Xu D, Yang F, Xia Y. Quantifying the Contribution of Driving Factors on Distribution and Change in Vegetation NPP in the Huang–Huai–Hai Plain, China. Sustainability. 2025; 17(19):8877. https://doi.org/10.3390/su17198877

Chicago/Turabian Style

Li, Zhuang, Hongwei Liu, Jinjie Miao, Yaonan Bai, Bo Han, Danhong Xu, Fengtian Yang, and Yubo Xia. 2025. "Quantifying the Contribution of Driving Factors on Distribution and Change in Vegetation NPP in the Huang–Huai–Hai Plain, China" Sustainability 17, no. 19: 8877. https://doi.org/10.3390/su17198877

APA Style

Li, Z., Liu, H., Miao, J., Bai, Y., Han, B., Xu, D., Yang, F., & Xia, Y. (2025). Quantifying the Contribution of Driving Factors on Distribution and Change in Vegetation NPP in the Huang–Huai–Hai Plain, China. Sustainability, 17(19), 8877. https://doi.org/10.3390/su17198877

Note that from the first issue of 2016, this journal uses article numbers instead of page numbers. See further details here.

Article Metrics

Back to TopTop