Next Article in Journal
The Value Enhancement Path of ESG Practices from a Resource Dependence Perspective: A Research Model with Mediating and Moderating Effects
Previous Article in Journal
Assessing Regional Public Transport Evaluation Indicators for Advanced Mobility Systems: A Review
Previous Article in Special Issue
Classification Machine Learning Models for Enhancing the Sustainability of Postal System Modules Within the Smart Transportation Concept
 
 
Font Type:
Arial Georgia Verdana
Font Size:
Aa Aa Aa
Line Spacing:
Column Width:
Background:
Article

Integrated Evaluation of C-ITS Services: Synergistic Effects of GLOSA and CACC on Traffic Efficiency and Sustainability

Department of Logistics, University of Applied Sciences Upper Austria, Wehrgrabengasse 1-3, 4400 Steyr, Austria
*
Author to whom correspondence should be addressed.
Sustainability 2025, 17(19), 8855; https://doi.org/10.3390/su17198855
Submission received: 9 September 2025 / Revised: 26 September 2025 / Accepted: 29 September 2025 / Published: 3 October 2025
(This article belongs to the Special Issue Sustainable Traffic Flow Management and Smart Transportation)

Abstract

Cooperative Intelligent Transport Systems (C-ITS) have emerged as a key enabler of more efficient, safer, and environmentally sustainable road traffic by allowing vehicles and infrastructure to exchange information and coordinate behavior. To evaluate their benefits, impact assessment studies are essential. However, most existing studies focus on individual C-ITS services in isolation, overlooking how combined deployments influence outcomes. This study addresses this gap by presenting the first systematic evaluation of individual and joint deployments of Cooperative Adaptive Cruise Control (CACC) and Green Light Optimal Speed Advisory (GLOSA) under diverse conditions. A dual-model simulation framework is applied, combining controlled artificial networks with calibrated real-world corridors in Upper Austria. This allows both statistical testing and validation of plausibility in real-world contexts. Key performance indicators include travel time and CO2 emissions, evaluated across varying lane configurations, numbers of traffic lights, demand levels, and equipment rates. The results demonstrate that C-ITS effectiveness is strongly context-dependent: while CACC generally provides larger efficiency gains, GLOSA yields consistent emission reductions, and the combined deployment offers conditional synergies but may also diminish benefits at high demand. The study contributes a guideline for selecting service configurations based on site conditions, thereby providing practical recommendations for future C-ITS rollouts.

1. Introduction

With the steady increase in urbanization and motorization, many cities around the world are experiencing growing pressure on their transport systems. Traditional methods of traffic management are proving insufficient to handle the rising demand, as urban traffic volumes continue to climb year after year [1]. This persistent growth in traffic has led to a range of negative consequences, including longer travel times (TTs), more frequent stop-and-go waves, and a significant increase in fuel consumption (FC) and energy use [2,3]. These effects not only diminish the operational efficiency of urban transport networks but also contribute to increased greenhouse gas emissions and air pollution, which in turn worsen environmental sustainability and public health [4]. These challenges highlight the urgent need for more advanced and adaptive solutions that go beyond the capabilities of conventional traffic management practices.
One promising option in this context is the adoption of Cooperative Intelligent Transport Systems (C-ITS), which aim to address current issues in traffic management through vehicle-to-vehicle (V2V) and vehicle-to-infrastructure (V2I) communication. By leveraging real-time data exchange and automation, C-ITS services offer the potential to reduce congestion, lower emissions, and improve road safety by allowing vehicles and infrastructure to interact intelligently and coordinate movements more effectively [5].
Among the various technologies within the domain of C-ITS services, Cooperative Adaptive Cruise Control (CACC) and Green Light Optimal Speed Advisory (GLOSA) stand out for their potential to enhance traffic efficiency and support sustainable mobility. CACC contributes to the stabilization of traffic flow by using V2V communication to automatically adjust following vehicles’ speeds, thereby reducing sudden braking and acceleration events. This not only increases driver comfort but also helps to mitigate the formation of traffic waves and improves overall throughput [6,7]. GLOSA, in contrast, focuses on signalized intersections by advising drivers or automated systems on the optimal speed in order to pass through green phases without stopping. By minimizing unnecessary halts and idling times at traffic lights, GLOSA helps reduce TT variability, FC, and emissions [8,9].
Both technologies share the overarching goal of promoting smoother driving patterns, which in turn can reduce energy use and environmental impact. Their contributions to traffic efficiency and ecological sustainability have been documented in a number of studies (see Section 2). However, while the benefits of individual C-ITS services such as CACC or GLOSA are well established, significantly less attention has been given to their combined deployment. A comprehensive literature review by Walch et al. [10], which examined 104 peer-reviewed publications, identified a distinct research gap regarding the joint implementation of C-ITS services (C-ITS service bundles). The review highlights the need to better understand how these services interact when deployed together, whether they complement and reinforce each other or lead to conflicting effects.
Therefore, this study aims to explore the impacts of CACC and GLOSA in both isolated and combined scenarios (see Figure 1). The key objectives are to compare the outcomes of individual C-ITS service implementations with their combined deployment and to assess whether joint implementation yields additive or synergistic benefits. In addition, the study aims to identify potential drawbacks or inefficiencies that may arise from the concurrent use of CACC and GLOSA. With respect to the defined objectives, the following research question will be investigated:
How does the combined implementation of CACC and GLOSA influence traffic efficiency and sustainability compared to their individual application?
Figure 1. Study Scope-Comparison of C-ITS services and their combinations, with respect to CO2 emissions and TT.
Figure 1. Study Scope-Comparison of C-ITS services and their combinations, with respect to CO2 emissions and TT.
Sustainability 17 08855 g001
This paper is structured as follows. Section 2 reviews the existing literature, with a particular focus on the impacts of GLOSA and CACC. Section 3 describes the methodological approach employed in this study and outlines how the research question is addressed. Section 4 presents the results of the analysis and discusses the main findings and emerging patterns. Finally, Section 5 summarizes the key contributions of the study, reflects on its limitations, and proposes directions for future research.

2. Related Work

The effectiveness of CACC and GLOSA systems has been extensively investigated across both simulation-based analyses and field operational tests (FOTs). A structured overview of the reviewed literature is provided in Table A1 in the Annex.
Research on CACC has repeatedly demonstrated its potential to improve traffic efficiency and sustainability, particularly as equipment rates (ERs) increase (all vehicles equipped with CACC are assumed to actively use the system.). In one of the earliest investigations van Arem et al. [11] simulated a four-lane freeway with a lane drop and tested ERs up to 100%. The results showed that shockwave counts dropped sharply across all ERs, but that average speeds initially decreased at low ERs (<40%) before increasing at higher rates (>60%). Similarly, Arnaout et al. [12] found that under low to moderate demand, CACC produced no statistically significant improvements in flow or speed, whereas under high demand conditions (>8000 veh/h on a four-lane highway), CACC significantly increased both roadway capacity and vehicle speeds, with TTs monotonically decreasing as ERs increased. Zhao and Sun [13] demonstrated that network capacity increases markedly with higher CACC ERs, rising from ≈ 1500 veh/h at 10% to about 2800 veh/h at full penetration. Liu et al. [14] quantified this growth more precisely, showing that freeway capacity increased from 2133 veh/h per lane under manual driving to nearly 3873 veh/h per lane at full CACC equipment. In the same study, average speeds were found to rise by 15% to 30% and TTs decreased by 14% to 23% with increasing ERs. Talavera et al. [15] compared CACC-enabled versus disabled traffic on a three-lane highway and found that average speeds increased substantially (+56% to 113%) while FC per vehicle decreased by 15% to 33%. Wang et al. [16] showed that even a modest 5% ER increased jam outflow from 1647 veh/h to 1824 veh/h and reduced the total TT. In a three-lane freeway simulation, Goñ [17] reported 19% average delay reductions at 10% ER and up to 64% delay reduction at ERs > 75%. Bichiou et al. [18] found that at full equipment, CACC reduced TT by 16%, delays by 35%, and FC by 19%. Huang et al. [19] showed that CACC vehicles exhibited smaller acceleration amplitudes, yielding reductions of 3% in FC, 5.3% in CO, 5.5% in NOx and 4.3% in HC emissions. Likewise, Jiang and Kulla [20] compared CACC, ACC and the Krauss car-following model in highway and city scenarios, finding that CACC lowered CO2 by up to 14.2% and FC by up to 17.6% relative to Krauss, and by 9.8% in CO2 and 9.9% in FC compared to ACC, primarily due to smoother braking and reduced aerodynamic drag. Calvert and van Arem [21] used FOTs to assess the impact of CACC, and observed shorter mean and median TTs compared to manual driving, although the differences were not statistically significant. Silgu et al. [22] used urban network simulations and demonstrated that CACC reduces stop-and-go behavior and promotes speed harmonization. However, they also observed that TTs initially rise as ERs increase, before major improvements occur once ERs exceed 60%. Kavas-Torris and Guvenc [23] conducted a study comparing ACC, CACC, and an Eco-CACC variant that accounts for erratic driving of the leading vehicle. With well-behaved leaders, CACC reduced fuel consumption by 8% versus ACC; under erratic leaders, Eco-CACC cut fuel use by 35–53% relative to plain CACC. Gorospe et al. [24] conducted a study that designed resilient and predictive CACC so platoons stay stable even when V2V messages drop out. In highway simulations, the resilient version cut following errors compared to a standard method, and the predictive version led to steadier traffic and lower fuel use.
In contrast to freeway-focused CACC research, studies on GLOSA focus on traffic environments with signalized intersections. Several works report efficiency and sustainability gains. For instance, Karoui et al. [25] showed that full GLOSA equipment eliminated all stops before intersections across different traffic flow levels and reduced FC by 25%. Karoui et al. [26] further found that GLOSA reduces waiting times by 65% to 90% and achieves FC savings of up to 18%, depending on traffic demand and the algorithm employed. Barbecho-Bautista et al. [27] simulated GLOSA and found reductions of ≈35% in NOx, 20% in CO2, and 25% in FC, although these benefits were accompanied by a 15% increase in TT. Lebre et al. [28] applied GLOSA in multiple scenarios using traffic simulations. In a ring road scenario, CO2 emissions were reduced by ≈ 10%, while in a Manhattan-style grid modest improvements of ≈ 2.5% in TT and 10.5% in CO2 were achieved. At a real-world site in Bobigny (France), TTs improved by ≈ 4% to 6% and emissions decreased by ≈ 3% to 10% depending on demand. Similarly, Pariota et al. [29] found reductions of ≈ 4% to 5% in FC and CO2 emissions in both artificial and real-world sites in Trento (Italy). Coppola et al. [30] observed reductions of ≈ 5% in both TT and FC. Lu et al. [31] reported savings of ≈ 7% in waiting time and 6% in CO2 emissions at 100% ER. Ko et al. [32] found reductions in FC of up to 40%, but TTs fluctuated between an increase of 5.8% and a decrease of 65.7%. Chen et al. [33] reported FC reductions of 9% to 26% and TT savings of 7% to 10% in FOTs. Edwards et al. [34] observed GLOSA impacts across five European sites ranging from an increase of 4.1% to a decrease of 9.3% in CO2 emissions and from an increase of 17.7% to a decrease of 20.7% in TT, depending on vehicle type and local characteristics. Similarly, Suzuki and Marumo [35] found that TTs increased under both low and high demand, even though FC and CO2 emissions improved by up to 7% and 10%, respectively. Ding et al. [36] built a learning-based GLOSA system that predicts traffic-light phases and gives drivers speed advice to hit green lights. The system led to a significant improvements in emissions and efficiency compared to other GLOSA approaches. Khayyat et al. [37] designed a multi-segment GLOSA algorithm which looks ahead to several upcoming signals and recommends one smooth speed profile to ride a green wave. In simulations, energy use was cut by about 37–38%.
In contrast to assessing the individual impacts of CACC and GLOSA, only a limited body of research combines multiple V2X-based services into integrated eco-driving strategies. Asadi and Vahidi [38] showed that combining ACC with traffic light data reduced CO2 by up to 56%, FC by 47%, and increased average vehicle speed by 16.5% in suburban settings, while in a real-world city scenario TT was reduced by 65 s and FC by 29%. Similarly, Kamal et al. [39] demonstrated that an eco-driving system with traffic signal information could reduce FC by 2% and TT by 2.8% even at just 10% ER. Xin et al. [40] further extended ACC by integrating V2X communication to anticipate red lights, achieving 25.5% FC savings and 4.9% shorter TTs. Field tests of CACC system incorporating signal information by Almannaa et al. [41] confirmed large potential benefits, reporting FC savings of 18 to 45% and TT savings of 5 to 13%.
In summary, a large body of research has investigated the individual impacts of either CACC or GLOSA, consistently highlighting their potential to improve traffic efficiency and sustainability. Approaches that combine services do exist, but these are generally developed as tailored, tightly coupled applications rather than evaluating the interplay of distinct services. In reality, however, such tailored systems are not always available. Instead, already existing and more general C-ITS services (e.g., CACC and GLOSA) are deployed simultaneously. What remains elusive is a systematic assessment of these two fundamentally distinct services when applied jointly, as well as a direct comparison of their combined performance against their individual deployment.

3. Methodology

To address the research question outlined in Section 1, we developed a systematic and structured methodological approach. Figure 2 provides an overview of the methodology employed in this study. In the subsequent sections, the steps, i.e., test site selection, simulation setup, and result evaluation are detailed.

3.1. Test Site Selection

To investigate how the combined implementation of CACC and GLOSA affects traffic efficiency and sustainability in comparison to their separate application, appropriate simulation models need to be developed. In this study, a two-stage procedure was applied using both artificial and real-world test networks:
  • Artificial test sites: synthetically generated networks with controlled conditions.
  • Real-world test sites: extracted from the Upper Austrian road network.

3.1.1. Artificial Test Sites

Artificial test sites represent synthetically generated scenarios in which the road layout was explicitly designed for the simulation study. Unlike real-world road segments, they do not replicate existing networks but instead provide abstract, controlled environments for experimentation. Their use is motivated by several advantages:
  • Isolation of effects: Artificial test sites provide a controlled sandbox setting, enabling C-ITS experiments to be carried out under quasi-laboratory conditions. The individual models vary only in the predefined site-specific parameters, while all remaining conditions are kept constant. This design allows for an isolated, systematic, and controlled investigation of the effects of CACC, GLOSA, and their combined implementation.
  • Ensuring prerequisites for statistical methods: The use of artificial test sites provides a certain degree of control over the overall result characteristics, thereby ensuring that key prerequisites for statistical analyses are met. For instance, in artificial test sites, driving routes and route lengths can be defined in a homogeneous manner. This helps the resulting data approximate a normal distribution, thereby meeting the assumptions required for many statistical tests.
  • Plausibility check: Artificial sites serve as a plausibility check for the simulation results. When real-world outcomes are broadly consistent with the artificial ones, this provides a strong indication of their validity. Overall, comparing both types of models helps to better interpret the results and strengthens confidence in the findings.
As outlined in Section 2, the impacts of C-ITS services vary not only with technical configurations but also with infrastructural features. To account for these influences, we designed test sites with diverse characteristics to evaluate CACC, GLOSA, and their service combination (SC) under different operational conditions (see Table 1).
The number of lanes was chosen to study the impact of C-ITS under varying levels of forced vehicle interactions. These interactions are expected to be stronger in single-lane (SL) networks than in multi-lane (ML) configurations due to limited overtaking opportunities. In addition, signalized intersections are required for the evaluation of the GLOSA service. Accordingly, artificial networks were constructed with 2, 3, 5, and 9 signalized intersections, with a length of 12 km each and a speed limit of 70 km/h. Figure 3 provides an overview of the road topologies of the constructed artificial networks.

3.1.2. Real-World Test Sites

Real-world road networks enable the analysis of the effects of CACC, GLOSA, and their combined implementation under realistic conditions. Similar to Section 3.1.1, test sites with both SL and ML configurations, as well as varying numbers of traffic light systems (TLS), were identified. A total of 8 representative test sites within the Upper Austrian road network were selected for this study. As an additional criterion, each site was required to have at least one stationary traffic counting station (induction loops or side radar sensors) to enable model calibration (see Section 3.2.7). The combinations of infrastructural features for each real-world site are summarized in Table 5.

3.2. Simulation Setup

Based on the artificial and real-world test sites corresponding simulation models (artificial and real-world models; AMs and RMs) were created. We carried out all simulations in SUMO (Simulation of Urban MObility), an open-source microscopic traffic simulator widely adopted in research [42]. The following sections describe the general configurations used in the simulation studies, as well as the setup and calibration of the AMs and RMs.

3.2.1. GLOSA Settings

The configuration of GLOSA requires appropriate speed thresholds. Although Austrian traffic law does not define an explicit minimum speed, it prohibits unnecessarily slow driving [43]. Therefore, the lower bound must not be set too low. Conversely, if this lower bound is set too high (i.e., too close to the speed limit), the system will activate less often, since feasible advisory speeds would fall below the threshold. Accordingly, a uniform lower bound of 30 km/h was selected as a balanced compromise applicable to both artificial and real-world models. The upper bound followed the SUMO convention of 110% of the legal speed limit. The point upstream of an intersection where speed advice is first provided is defined as the activation distance. Katsaros et al. [44] conducted a study with different activation distances and found that, at a speed of 50 km/h, the optimal activation point is approximately 350 m, allowing drivers sufficient time to adjust their speed. In this study, a higher activation distance of 400 m was chosen to account for the higher speed limits (70 km/h) at the test sites. To further improve driving comfort, a one-second offset was introduced to prevent abrupt braking and enable smoother deceleration. All simulations in this study used a single-segment GLOSA configuration, meaning that recommendations were always limited to the next traffic signal. An overview of the parameter settings is given in Table 2.

3.2.2. CACC Settings

For this study, the CACC car-following model implemented in SUMO serves as the basis for the analysis [45,46,47]. Vehicle-following behavior is determined by both the gap and the speed difference to the preceding vehicle, and the model operates through four distinct modes:
  • Speed control mode: Maintains the driver’s desired speed when no vehicle is ahead or when the time gap exceeds 2 s.
  • Gap control mode: Keeps a constant time gap between vehicles, activated when deviations in both gap and speed are smaller than 0.2 m and 0.1 m/s, respectively.
  • Gap-closing mode: Enables a smooth transition between speed and gap control when the time gap falls below 1.5 s. For time gaps between 1.5 s and 2 s, the CACC-equipped vehicle maintains its previous control mode, introducing hysteresis and ensuring a smooth transition between speed and gap control modes.
  • Collision avoidance mode: Limits speed to prevent rear-end collisions when the time gap is critically small or the calculated following speed exceeds a safe threshold.
In this study, the default parameters of the CACC model were used, providing a well-calibrated baseline for analysis and ensuring comparability with previous research. Table 3 summarizes the CACC parameters applied in this study.

3.2.3. Traffic Flows

In addition to the infrastructural variations described in Section 3.1, the simulations incorporated different traffic flow levels to analyze multiple demand conditions. The following traffic flows were investigated for each model type:
  • Artificial test sites: Identical traffic flows intervals for each test site within [100, 2500].
  • Real-world test sites: Varying traffic flow intervals, based on the real measured traffic data at the respective test site (see Table 5).

3.2.4. Equipment Rates

To account for different levels of market penetration and adoption of C-ITS technologies, we varied equipment rates (ERs), defined as the share of vehicles equipped with the C-ITS service used. The ERs were tested across the range [0%, 100%] in steps of 10%. Vehicles equipped with C-ITS were assigned the following functionalities depending on the simulation scenario:
  • GLOSA, in GLOSA-only simulations
  • CACC, in CACC-only simulations
  • Both CACC and GLOSA, in the SC simulations
Vehicles that were not equipped with C-ITS did not use GLOSA and followed SUMO’s default car-following model (Krauss model [48]) instead of the CACC model.

3.2.5. European Emission Standards Distribution

The demand model was calibrated under the assumption of a fleet composed entirely of passenger cars. For the purpose of emissions analysis, this uniform fleet was further divided into categories reflecting the European Emission Standards [49]. The allocation of vehicles to these classes was guided by statistical data on propulsion technologies and emission categories [50,51]. The resulting composition, ranging from Euro 4 petrol and diesel vehicles to fully electric cars, is presented in Table 4.
Table 4. Overview of the European emission standards distribution.
Table 4. Overview of the European emission standards distribution.
European Emission Standard% of Vehicles
Petrol EURO 410.1%
Diesel EURO 412.1%
Petrol EURO 511.7%
Diesel EURO 514.1%
Petrol EURO 622.0%
Diesel EURO 626.4%
Battery Electric Vehicle (BEV)3.7%

3.2.6. Artificial Model Development

The artificial models (AMs) were developed based on the artificial test sites (see Section 3.1). Traffic demand within the AMs was configured according to the predefined traffic flows (see Section 3.2.3) and the calculated distribution of emission classes (see Section 3.2.5). Vehicle arrivals were drawn from a Poisson process with rate λ [ 0.03 , 0.69 ] veh/s (≈100 to 2500 veh/h), a common method to represent the random nature of arrivals in traffic simulation studies. Arriving vehicles enter the simulation from the western or eastern main road (see Figure 3). C-ITS configurations followed the parameters described in Section 3.2.1 for GLOSA and Section 3.2.2 for CACC. ERs were applied according to Section 3.2.4, and the C-ITS services CACC, GLOSA, and the SC were evaluated separately.
In total, 2904 simulation scenarios were generated (2 lane configurations × 4 numbers of TLS × 11 traffic flows × 11 ERs × 3 C-ITS service variations), each simulated for one hour. To account for stochastic variability, each scenario was run with 100 different random seed values. This corresponds to a total of 290,400 AM simulation runs. Executing the full set of runs requires several weeks of computation in real time.

3.2.7. Real-World Model Development

The real-world models were based on an existing SUMO model originally developed as part of the EVIS.AT project [52] for the Upper Austrian road network. This model incorporates a demand model derived from household travel surveys and OD matrices, and utilizes the digital road graph of Austria, the Graph Integration Platform (GIP) [53].
To generate the real-world models for this study, the 8 selected test sites were extracted as sub-models from the comprehensive Upper Austria simulation. Since the initial traffic flows did not match the observed volumes, each RM was recalibrated. Errors and inconsistencies in the underlying network were corrected during this process. One year of measured traffic count data from induction loops and side radar sensors was used for calibration (Tuesdays–Thursdays, excluding holidays and vacations). Using SUMO’s routeSampler.py, the demand models were adjusted to replicate the measured traffic volumes. We used the coefficient of determination (R2) and the GEH statistic, a widely used measure for comparing observed and simulated traffic counts, as performance indicators for the calibration [54]. Table 5 presents the calibration results for all RMs.
Table 5. Scenario combinations, R2 scores and GEH statistics for the calibration of real-world models.
Table 5. Scenario combinations, R2 scores and GEH statistics for the calibration of real-world models.
idNr. of LanesNr. of TLSTraffic Flow
[veh/h]
R2GEH a
1ML2[38, 1616]0.987100.0%
2ML2[22, 1568]0.996100.0%
3ML9[25, 2148]0.98699.5%
4ML11[59, 2320]0.996100.0%
5SL2[21, 639]0.985100.0%
6SL2[53, 1196]0.992100.0%
7SL3[18, 921]0.992100.0%
8SL5[73, 947]0.989100.0%
a Percentage of 15-min interval data with a GEH value ≤5. (very good match between between model and observed data)
Unlike the artificial models, each real-world model simulations covered a 24-h period to capture daily traffic dynamics. For comparability with the AM results, outcomes were analyzed on an hourly basis. ERs were applied according to Section 3.2.4, and CACC, GLOSA, and the SC were evaluated individually with parameters according to Table 2 and Table 3. As with the AMs, 100 random seeds were used for each RM. Overall, a total of 26,400 RM simulation runs were performed (8 test sites × 11 ERs × 3 C-ITS service variations × 100 seeds). Although the number of combinations is considerably smaller than for the AMs, the RMs likewise required several weeks of computation, as each run simulated a full 24-h period rather than just one hour.

3.3. Result Evaluation

The simulation results quantify the KPI savings achieved through the application of CACC, GLOSA, and the SC, relative to scenarios without any C-ITS service. The KPIs used in this study are travel time and CO2 emissions, and the result evaluation is conducted on a driver-level perspective (mean KPI values per vehicle). The AM results were analyzed using Analysis of Variance (ANOVA) followed by post-hoc tests for pairwise comparisons of the applied C-ITS service(s) and their combination. Since the RM results do not fulfill the ANOVA prerequisites (normal distribution), the results are discussed using descriptive analysis.

3.3.1. ANOVA and Tukey’s HSD

ANOVA was applied to determine whether the artificial model results revealed significant differences between CACC, GLOSA, and the SC. Prior to this, the suitability of ANOVA was verified using χ 2 goodness-of-fit tests, a standard method for testing whether a dataset follows an assumed distribution. The results indicated that the AM results were sufficiently close to normality, whereas the real-world model outputs deviated from this assumption. Consequently, ANOVA was not applicable for the RMs. ANOVA was conducted separately for each simulation configuration and for both selected KPIs, with the applied C-ITS service (baseline, CACC, GLOSA, or SC) treated as the factor of interest (‘treatment’). In total, this resulted in 1760 variable combinations, as summarized in Table 6.
For all 1760 combinations according to Table 6, the following hypotheses were tested:
H 0 : The mean KPI values do not differ across the C-ITS services:
μ baseline = μ CACC = μ GLOSA = μ SC
H a : At least one KPI mean differs among the C-ITS services:
i , j with μ i μ j
Since ANOVA only indicates whether a significant difference exists, Tukey’s HSD post-hoc test was subsequently applied to identify the specific pairs of C-ITS services that differ. The full procedure is depicted in Figure 4.

3.3.2. Descriptive Analysis of Artificial and Real-World Model Results

The simulation outcomes are evaluated and discussed descriptively using graphs and plots. Due to the large volume of data, only selected excerpts of the overall results are presented and discussed in Section 4. For the discussion of the real-world model results, the descriptive analysis plays a central role. Due to the higher complexity of vehicle movements (caused, among other factors, by greater heterogeneity in route choice and route length), the simulation results no longer follow a normal distribution. Thus, an application of ANOVA is not feasible for the RM results. Instead, a comparative analysis is conducted for the RMs, in which the findings are examined for plausibility (see Figure 5).

4. Results and Discussion

In this section, the results of the simulation studies are presented. The analysis begins with the artificial models, where ANOVAs were conducted for each variable combination (see Table 6). Whenever the ANOVA results indicated statistical significance, Tukey’s HSD post-hoc tests were subsequently applied. Finally, the outcomes of the AMs are compared with those obtained from the real-world models.

4.1. Analysis of Variance (ANOVA)

The ANOVA results reveal a clear pattern. We found statistically significant differences in more than 96% of the cases for TT impact. Only 60 of the 1760 scenario combinations did not show significant differences (see Table 7), with a p-value 0.05 . These results occur predominantly at low ERs, particularly under conditions of low traffic demand. At higher ERs (30% and 40%), non-significant differences appear for ML primarily under high traffic flow, whereas for SL they tend to occur under medium traffic flow.
The statistically significant differences in the impacts of the C-ITS services on CO2 emissions reveal an even clearer outcome. Only a single variable combination (ML, 9 TLS, 100 veh/h, 10% ER) shows no differences in the CO2 emissions per vehicle. In all other cases, the CO2 emissions differ significantly between the respective C-ITS services used.
In summary, based on the ANOVA results, the impacts of the C-ITS services are clearly observable. However, the ANOVA alone does not allow us to determine which C-ITS service results differ from one another. Therefore, for all significant ANOVA results, we conducted Tukey’s HSD post-hoc.

4.1.1. Tukey’s HSD Result-Travel Time

Using Tukey’s HSD test, we can identify statistically significant differences between pairwise comparisons of treatments, in this case the respective C-ITS services (baseline, CACC, GLOSA and SC). C-ITS services or bundles are compared to each other, resulting in six possible pairwise comparisons. This section discusses the Tukey’s HSD results for each C-ITS service or bundle with respect to their impact on per-vehicle TT.
Figure 6 presents the post-hoc test results for the pairwise comparison between the baseline and CACC scenarios. Empty cells indicate cases in which no post-hoc test was performed, i.e., where the ANOVA results were not statistically significant (see Table 7). The colour legend (green or red) indicates which service achieves better results in case of a significant difference. In Figure 6, green represents CACC and red the baseline scenario.
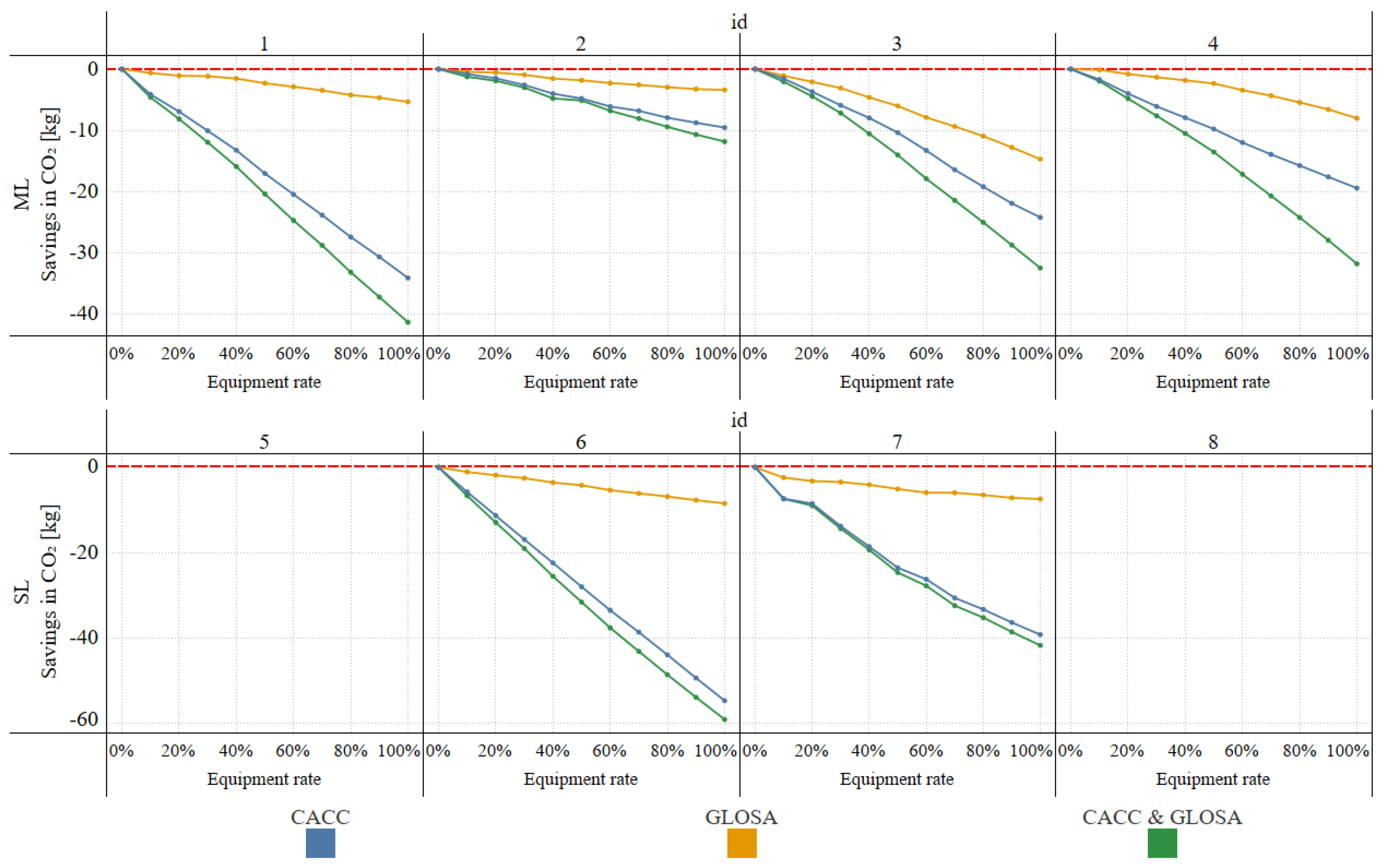
The results in show that the majority of cases exhibit statistically significant differences between the baseline and CACC TTs. Most non-significant results occur at low ERs. A large share of significant differences favor CACC, indicating that CACC reduces TT compared to the baseline scenario. Only in scenarios with 5 TLS and 9 TLS do a few significant differences appear in favor of the baseline scenario. This pattern can be explained by considering the actual TT savings achieved with CACC. Figure 7 illustrates the TT reductions for selected scenarios and clarifies the significance behavior observed in Figure 6.
For example, in ML scenarios with 9 TLS and a traffic flow of 2500 veh/h, TT savings remain low at low ERs and increase only once the ER exceeds 70%. Consequently, Tukey’s HSD results become significant only for ERs ≥ 70%. In SL scenarios, particularly under high traffic flows and medium ERs, CACC even leads to performance deterioration. In some cases, the TT exceeds that of the baseline scenario. This effect is also visible in Figure 6, where variable combinations with high traffic flow and ERs between 50% and 70% either remain non-significant or show significant differences in favor of the baseline scenario.
The effect observed may result from the interaction of the CACC model with high traffic densities and numerous signalized intersections. A detailed stability analysis of CACC platoons in dense, signalized environments, however, lies beyond the scope of this study. Overall, these findings indicate that CACC can even cause TT increases, particularly under conditions of high traffic flow and a balanced share of equipped and non-equipped vehicles.
The comparison between the baseline and GLOSA scenarios reveals a somewhat different pattern (see Figure 8). On the one hand, all differences in TTs favor GLOSA. On the other hand, the results also show that, particularly with a low number of TLS and low ERs, differences in average TT are much more frequently not statistically significant. As a result, in contrast to CACC, GLOSA does not lead to deterioration but its benefits remain limited to predominantly high ER and high number of TLS settings.
In contrast, the comparison between the baseline and the SC scenario resembles the results obtained for the baseline and CACC comparison. Most pairwise comparisons indicate statistically significant differences in favour of the SC, although a few cases still favour the baseline scenario. Non-significant outcomes predominantly occur at low ERs or around thresholds where significance shifts between the SC and baseline scenario. The corresponding post-hoc test results are presented in Figure 9.
The detailed simulation results again show that the SC leads to increasing TTs, particularly under high traffic volumes (see Figure 10). However, compared to CACC alone, this increase is less pronounced and becomes apparent at higher ERs. In SL scenarios, only configurations with 9 TLS show an increase in TT compared to the baseline level when using the SC under high traffic flow. In SL scenarios with 5 TLS, TT increases occur, but TTs remain below those of the baseline scenario. Moreover, in ML scenarios with 9 TLS and high traffic flow, TTs deteriorate significantly between 70% and 90% ER.
The previous pairwise comparisons focused exclusively on TT differences between the baseline scenario and the respective C-ITS services. Beyond this, we analyzed the extent to which the impacts of the individual C-ITS services differ from each other. Accordingly, Figure 11 shows the results of the post-hoc test comparing CACC and GLOSA.
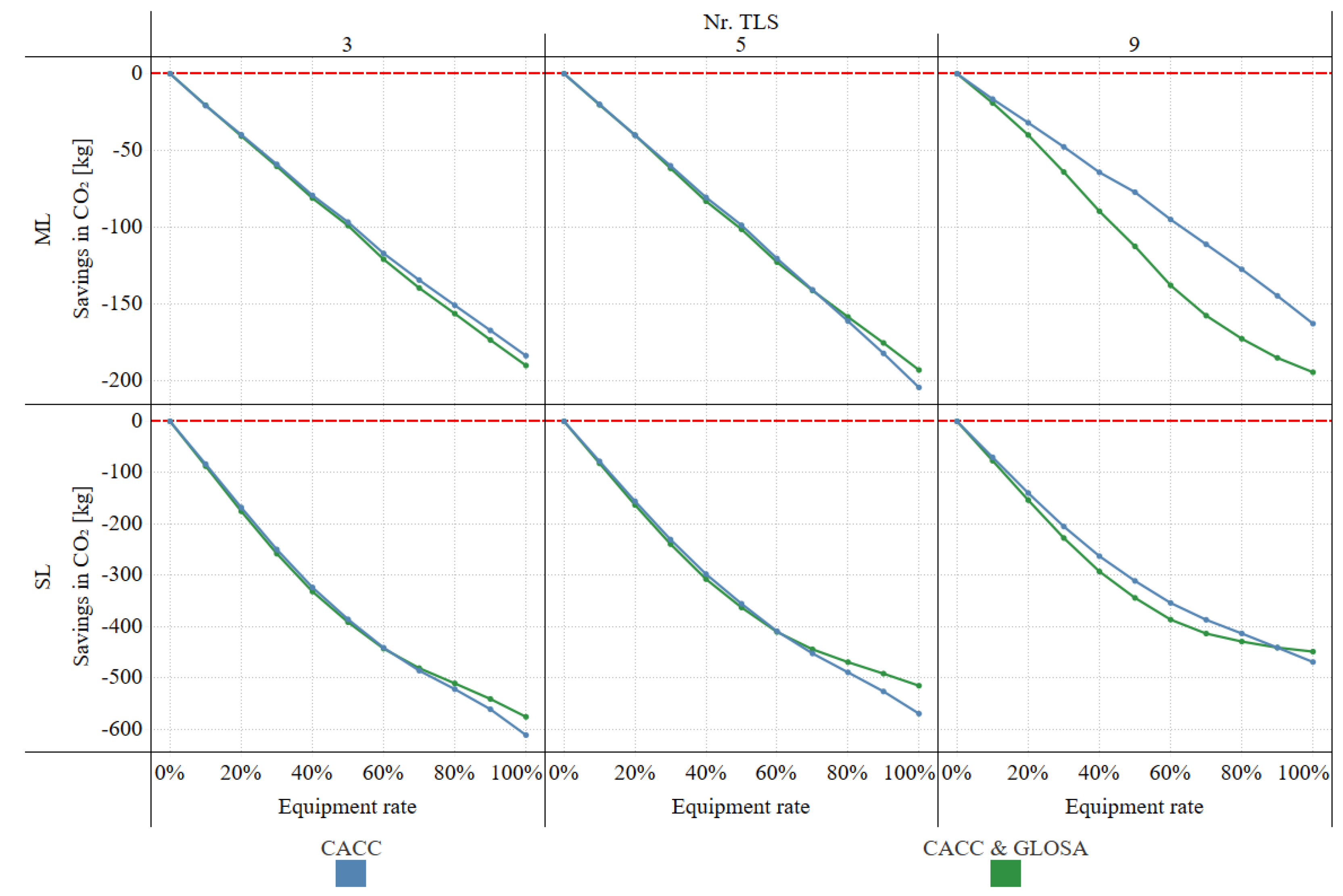
In most cases, CACC achieves significantly greater TT savings than GLOSA. Only under very high traffic volumes and ERs between 50% and 70%, where CACC TTs increase (see Figure 7), does GLOSA yield better results. Non-significant differences in TTs between CACC and GLOSA tend to occur at low ERs or near the transition point where significance shifts in favor of GLOSA.
Figure 12 provides an excerpt of the direct comparison between GLOSA and CACC at a traffic flow of 1750 veh/h, illustrating the findings from Figure 11 in more detail. At low ERs, the TT savings relative to the baseline scenario are very similar for GLOSA and CACC, with significant differences in favor of CACC only with 5 TLS at 20% and 30% ER.
Larger differences in TT impacts emerge at ERs above 50%. CACC TTs increase above those of GLOSA, with significant differences in favor of GLOSA at 5 TLS (50% and 60% ER) and at 9 TLS (50% to 70% ER). At ERs above 70%, the positive effect of CACC increases substantially, and TTs drop significantly below the GLOSA level. In summary, GLOSA achieves better TTs than CACC only under conditions in which CACC performance deteriorates markedly.
The post-hoc test results for the pairwise comparison between the SC and GLOSA show a pattern similar to the comparison between CACC and GLOSA (see Figure 13). Overall, the SC outperforms GLOSA in most cases with respect to average vehicle TT. Exceptions occur at low ERs, where differences are often not statistically significant, and in conditions where SC TTs exceed the baseline scenario (see Figure 10).
Figure 14 illustrates this effect in more detail. In the SL configuration with 5 TLS, a slight increase in the SC TT can be observed, eliminating significant difference at 80% ER compared to GLOSA. This increase becomes more substantial with 9 TLS, resulting in a shift of significance in favor of GLOSA between 70% and 90% ER. In the ML configuration with 5 TLS, both GLOSA and the SC continuously reduce TT as ER increases, although a significant difference emerges only from 80% ER onward.
In contrast, in ML scenarios with 9 TLS, the SC consistently performs worse than GLOSA, and from 60% ER onward, the TTs are even significantly higher than both GLOSA and the baseline scenario. Nevertheless, the SC generally outperforms GLOSA and yields worse results only in scenarios where the SC itself performs very poorly.
While the comparison of GLOSA with either CACC or the SC clearly tends to disadvantage GLOSA, the comparison between CACC and the SC is less straightforward. Figure 15 presents the results of Tukey’s HSD post-hoc test comparing CACC and the SC.
In many cases, particularly at low ERs or under low traffic volumes, no significant differences emerge between CACC and the SC. At the same time, the previously identified TT increases in CACC and the SC under SL configurations with high traffic volumes (see Figure 7 and Figure 10) can be identified. Occasionally, significant TT differences in favor of the SC appear at low traffic flows with 3 TLS (ML) or 9 TLS (SL and ML).
The strongest differences in favor of the SC, however, occur under high traffic flows and medium ERs (between 40-70%, depending on the number of TLS). This effect results from the TT increase observed in CACC, while the SC shows this increase only at higher ERs. Accordingly, the results shift back in favor of CACC at high ERs. In ML configurations, where CACC and the SC exhibit limited TT increases, CACC achieves better results in the majority of cases.
Figure 16 illustrates these findings in detail, showing the TT savings for CACC and the SC compared to the baseline scenario at a traffic flow of 1750 veh/h.
In summary, the Tukey’s HSD results show that CACC generally achieves stronger TT reductions than both the baseline scenario and GLOSA. GLOSA only outperforms CACC under specific conditions of high traffic flow and medium ERs, where CACC performance deteriorates. The SC typically outperforms GLOSA but it exceeds CACC only in cases where CACC itself performs particularly poorly.
Overall, these results provide a basis for deriving targeted recommendations for C-ITS service (bundle) usage under different conditions (see Section 4.4).

4.1.2. Tukey’s HSD Result-CO2

As with travel time, the average CO2 emissions were analyzed using Tukey’s HSD for cases where ANOVA indicated significance. This section presents the results for each C-ITS service and service combination regarding their impact on per-vehicle CO2 emissions.
Similar to the ANOVA results, the Tukey’s HSD post-hoc tests reveal that statistically significant differences among the C-ITS services occur much more frequently for CO2 emissions than for TT. For example:
  • CACC vs. baseline: Only 3 scenarios show no significant difference in CO2 emissions; CACC outperforms the baseline scenario in all significant cases.
  • SC vs. baseline: All scenarios show significant difference in CO2 emissions; the SC outperforms the baseline scenario in all cases.
  • CACC vs. GLOSA: 16 scenarios show no significant difference in CO2 emissions; CACC outperforms GLOSA in all significant cases.
  • SC vs. GLOSA: 5 scenarios show no significant difference in CO2 emissions; the SC outperforms GLOSA in all significant cases.
The detailed results of these comparisons are therefore not discussed further. An overview of the non-significant cases is provided in Table 8.
In contrast to the pairwise comparisons summarized in Table 8, the comparison between the baseline and GLOSA scenarios exhibits greater variation in statistical significance. Figure 17 shows that GLOSA reduces average CO2 emissions in most cases, although several results remain non-significant. These outcomes occur mainly at low ERs and under low traffic demand, particularly in ML configurations. At higher traffic flows and increasing ERs, however, the reductions become highly significant across all TLS configurations.
Figure 18 presents the post-hoc test results for CO2 emissions when comparing CACC with the SC. As with the TT results, both the significance and the direction of the effects vary considerably. Non-significant outcomes cluster mainly at low ERs and low to moderate demand, and occur more frequently with fewer TLS. In ML configurations with up to 5 TLS, significant differences appear only at higher ERs (>60%). Here, the SC tends to outperform CACC under lower traffic flows, while the reverse holds true at higher volumes.
In SL configurations with up to 5 TLS, the SC performs better only under high traffic flows and low to medium ERs, whereas CACC achieves greater reductions at higher ERs. The 9 TLS configurations largely reflect a mixture of these patterns. For both SL and ML, the SC outperforms CACC when either ER or traffic flow is high, but when both are high, CACC achieves less CO2 emissions.
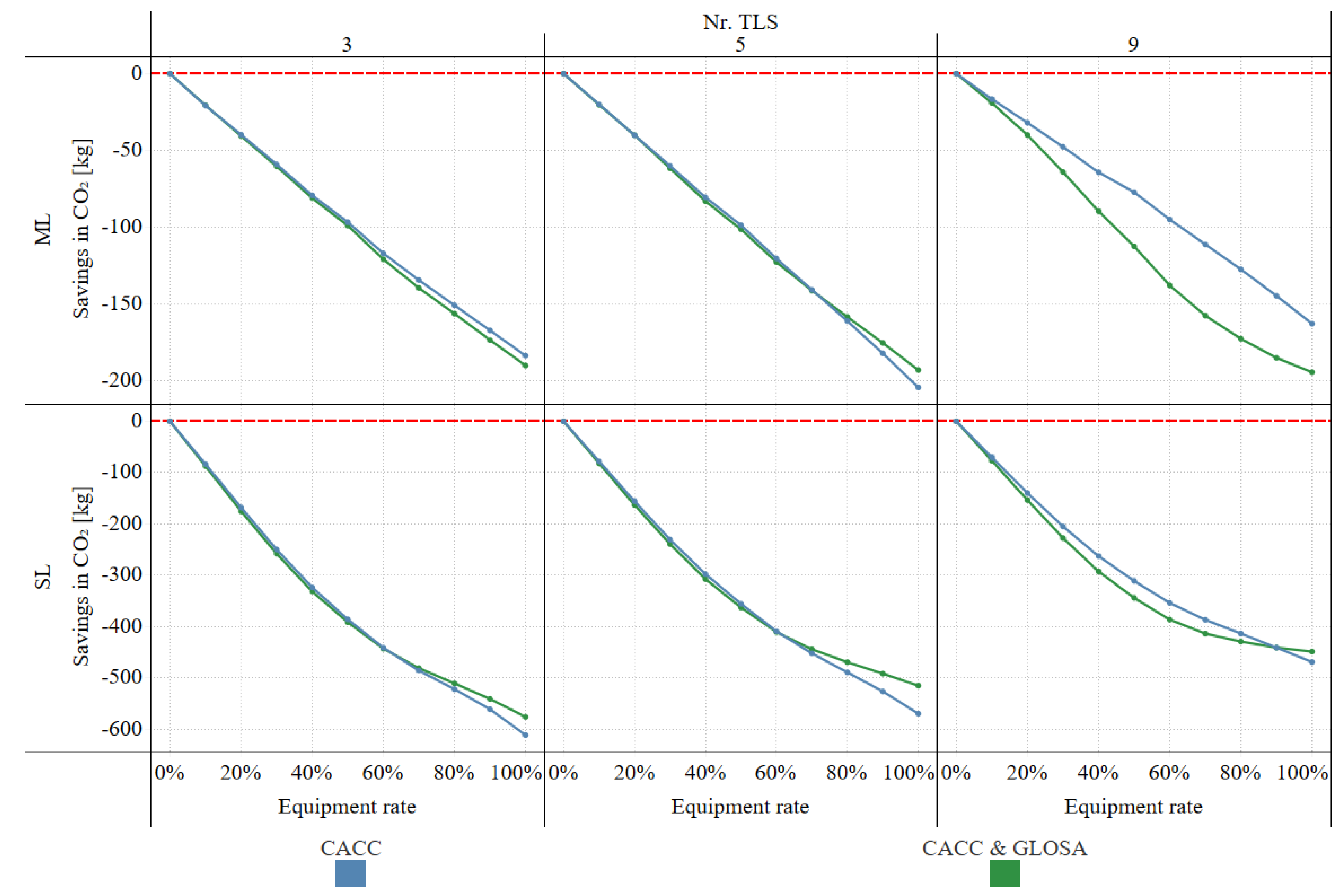
To illustrate these shifts in significance in more detail, Figure 19 and Figure 20 present two excerpts of the simulation results, comparing CACC and the SC under different traffic flows.
Figure 19 illustrates the CO2 savings at a moderate traffic flow of 750 veh/h. In ML configurations with 3 and 5 TLS, the CO2 reductions achieved by both CACC and the SC follow very similar trends. Statistically significant differences appear only at very high ERs, favoring the SC in the case of 3 TLS, and CACC in the case of 5 TLS (compare Figure 18). For 9 TLS, however, the difference between the two C-ITS configurations becomes much more pronounced. The SC already achieves clearly higher and statistically significant CO2 reductions from 20% ER onward.
This pattern is less clear in SL configurations. Here, the CO2 reduction curves for CACC and the SC again remain very similar for 3 and 5 TLS. Significant differences occur at 30% to 40% ER in favor of the SC and at very high ERs in favor of CACC. The trend becomes more evident with 9 TLS, where the SC achieves substantially greater reductions between 20% and 80% ER, before the results shift back in favor of CACC at 100% ER.
Figure 20 illustrates the CO2 savings at a high traffic flow of 2000 veh/h. In the SL results, a trend similar to the TT analysis can be observed. At certain ERs, the reductions achieved by both CACC and the SC stagnate or even deteriorate. Although this effect is less pronounced than for TT, since no deteriorations relative to the baseline scenario occur, it remains clearly visible. Again, the increase occurs at lower ERs for CACC than for the SC, causing a shift in significance at higher ERs.
In summary, the Tukey’s HSD results show that all C-ITS services lead to substantial and mostly significant reductions in CO2 emissions. Both CACC and the SC consistently outperform GLOSA. When directly comparing CACC with the SC, the results are more heterogeneous. At high ERs and high traffic flows, CACC tends to achieve stronger reductions in CO2 emissions than the SC. Overall, these findings provide a basis for deriving targeted recommendations for C-ITS service (bundle) usage under different conditions (see Section 4.4).

4.2. Artificial Model vs. Real-World Model Results: Descriptive Comparison

In line with the artificial model simulations, the real-world models were also evaluated for all C-ITS services and service bundles. As discussed in Section 3.3, the RM outputs deviate from normality, which limits the applicability of ANOVA. The RM analysis was therefore restricted to a descriptive comparison and checked for plausibility against the AM results.
We focused on the KPIs TT and CO2 emissions and differentiated the results based on traffic density (k) rather than traffic flow (compare Figure 5). This choice is motivated by structural differences between AMs and RMs. While the artificial networks are uniform in size and feature only two entry points at the corridor’s ends (see Figure 3), the real-world networks vary in length and contain multiple entry and exit points.
Moreover, in AMs the reported traffic flow refers to vehicle arrivals at each entry point, whereas in RMs the indicated traffic flow is aggregated across all entry points. For a given traffic flow (q), vehicles in AMs enter the network only at two locations, which accelerates congestion and results in lower average speeds (v) compared to RMs, where vehicles are distributed across several entry points. According to the fundamental relation
q = k · v ,
this also implies higher k in AMs for the same q. To account for this effect, density (k) was used instead of traffic flow (q) as a variable for the subsequent comparison.

4.2.1. Comparison of C-ITS Service Impacts on TT

Figure 21 and Figure 22 show the TT savings achieved by CACC, GLOSA and the SC across ERs for artificial models and real-world models in the density range 0 to 2 veh/km. The corresponding results for the medium-density range 5 to 10 veh/km are shown in Figure 23 and Figure 24.
One important observation is that the achieved densities in the real-world models are substantially lower than in the artificial models. This again reflects the issue of multiple entry points and different traffic flow aggregations discussed in Section 4.2. Direct comparisons between AM and RM are therefore only possible in the low and medium density ranges. As a result, the partial increases in TT that appear for CACC and the SC in the AMs at higher traffic flows (see Section 4.1.1) do not occur in the RMs.
Across both model types the relative ranking of services is consistent. CACC and the SC almost always outperform GLOSA, which provides only modest improvements. The development of TT savings with increasing ERs follows a similar pattern in both AM and RM, with nearly linear or slightly convex reductions for CACC and the SC and a much flatter trajectory for GLOSA. These trends hold for both low and medium density ranges.
The main differences between artificial models and real-world models appear in the magnitude of effects. AMs show larger improvements, particularly in single-lane layouts where congestion develops more quickly and the relative advantages of the services become more pronounced. In contrast, RMs show smaller but directionally consistent benefits.
In summary, the behavior of all three services is stable across both model types. CACC and the SC consistently deliver the largest TT savings, GLOSA remains low but still noticable, and benefits increase monotonically with higher ERs. The real-world models yield smaller absolute gains, but their results resemble a dampened version of the artificial model trends. This supports both their plausibility and the transferability of insights from artificial to real-world networks.

4.2.2. Comparison of C-ITS Service Impacts on CO2 Emissions

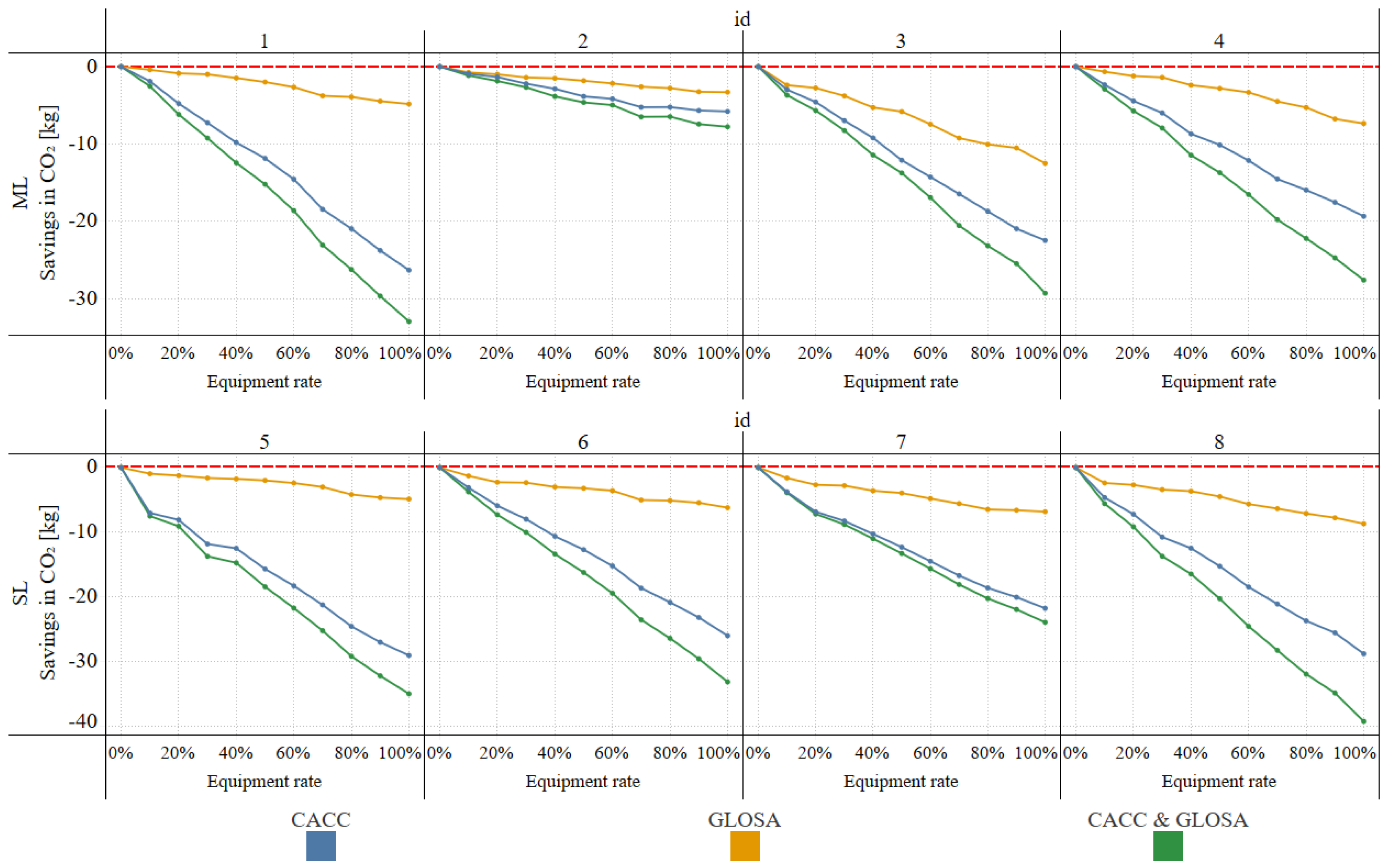
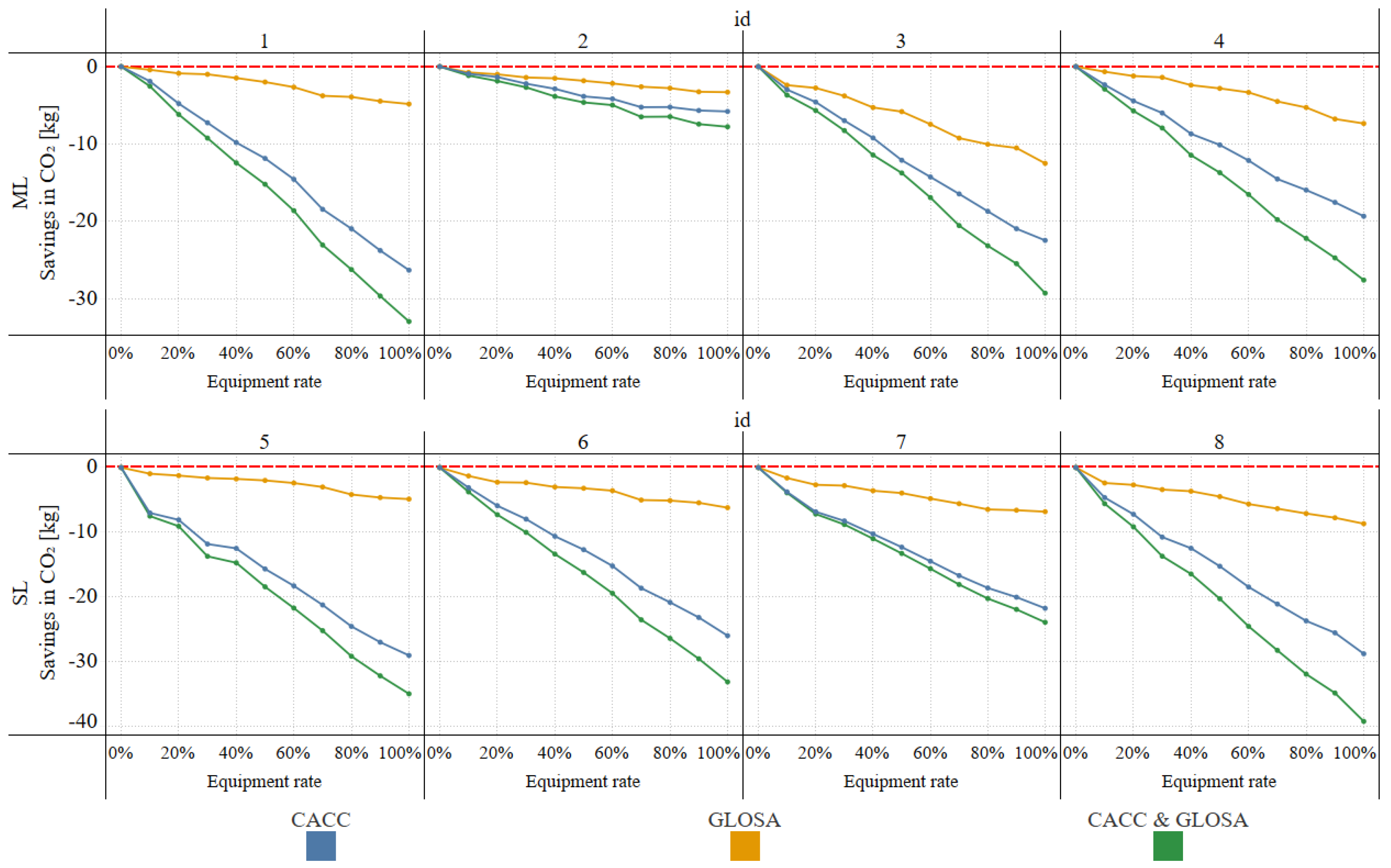
Figure 25 and Figure 26 present the CO2 savings achieved by CACC, GLOSA and the SC across ERs for artificial and real-world models in the density range 0 to 2 veh/km. Results for the range 2 to 5 veh/km are shown in Figure 27 and Figure 28.
Again, the achievable densities in the real-world models remain lower than in the artificial models. As a result, phenomena observed in AMs at higher traffic flows, such as temporary CO2 increases for certain services (see Section 4.1.2), do not occur. Overall, all three services reduce emissions, and the ordering is largely stable across both model types. CACC and the SC achieve the strongest decreases, while GLOSA shows smaller yet consistent reductions. The decline in emissions becomes stronger with higher ERs, with nearly linear or slightly concave trends for CACC and the SC, and flatter developments for GLOSA. These patterns are visible across both density ranges.
A noteworthy deviation occurs in the AMs for multi-lane layouts with nine traffic lights. In this case, the gap between GLOSA and the other services narrows, and GLOSA performs even slightly better than CACC at low densities and high ERs. When comparing magnitudes, AMs emphasize stronger emission reductions, particularly under single-lane conditions where CO2 drops steeply with higher ERs. RMs exhibit more modest reductions, but the overall ranking of services and the monotonic dependence on ER remain consistent with the AMs.
In summary, CO2 savings follow the same general structure as TT improvements. CACC and the SC provide the most pronounced reductions. GLOSA delivers lower but still noticable improvements, and higher ERs consistently translate into lower emissions. Artificial and real-world model results show similar patterns despite differences in magnitude. This supports the plausibility of the real-world findings and reinforces the transferability of insights across model types.

4.3. Synthesis of Key Insights

The simulation results provide a coherent picture of how C-ITS services affect TT and CO2 emissions under varying conditions, and how these impacts compare between artificial and real-world models. Several key insights can be drawn.
The ANOVA and Tukey HSD analyzes of the artificial models show that the impacts of C-ITS services are both significant and systematic across almost all scenario combinations. TT reductions are evident in more than 96% of cases, while CO2 reductions are even more consistent, with nearly all scenarios showing significant improvements compared to the baseline. GLOSA consistently reduces both KPIs, but its benefits remain smaller than those of CACC and the SC. CACC delivers the largest improvements in most cases, although under high traffic flows and medium ERs its performance can temporarily deteriorate, leading to increased TTs. The SC generally outperforms GLOSA but does not consistently surpass CACC. It tends to do so only in situations where CACC itself performs poorly.
Moreover, the pairwise comparisons between services highlight that CACC and the SC dominate GLOSA across almost all configurations. Differences between CACC and the SC are less clear, with the SC performing better under certain traffic and equipment conditions, but CACC regaining the advantage at higher ERs. Unlike TT, CO2 reductions do not show deterioration relative to the baseline.
Furthermore, the comparison between artificial and real-world models confirms that while the magnitude of impacts differs, the qualitative patterns remain consistent. The relative ranking of services is stable across both model types. CACC and the SC outperform GLOSA, improvements increase monotonically with higher ERs, and no contradictions emerge between AM and RM results.
Taken together, these findings underline three central insights:
  • All considered C-ITS services reduce TT and emissions relative to the baseline, except occasional CACC and SC results with very high traffic flows.
  • CACC and the SC are the most effective, although their relative ranking depends on traffic conditions and ERs.
  • Real-world model results, while smaller in absolute terms, mirror the patterns of artificial models, confirming their plausibility and supporting the transferability of insights into practice.

4.4. Identification of Conditions for Individual vs. Combined Implementation of CACC and GLOSA

Based on these insights, and particularly the statistically validated findings of the artificial models, it is possible to derive recommendations for the use of C-ITS services or SCs under different conditions. For example, Figure 29 summarizes the preferable C-ITS service for TT improvements across the full range of variable combinations. Each cell indicates which service achieves the best (statistically significant) performance.
Several patterns become clear. CACC dominates particularly at medium to high traffic volumes and higher ERs, where its benefits are fully realized. The SC is often equally preferable as CACC (C-SC), especially at lower to medium ERs. GLOSA is rarely the best choice in isolation, but it becomes competitive in networks with many traffic lights and high traffic flows. Instances of ties (C-SC, C-G, or G-SC) can generally be interpreted as transition zones where no single C-ITS dominates completely. Drivers could freely adopt any of the tied services, preferably continuing with the one already in use in order to introduce a hysteresis effect and prevent unnecessary switching. Lastly, the A category appears mostly at low ERs and in some high traffic flow cases. This indicates that under these conditions, the use of a C-ITS service does not significantly alter TT outcomes compared to the baseline, meaning it does not matter which C-ITS service is applied, or whether one is applied at all.
Similar recommendations can also be derived for CO2 emission reductions. Figure 30 shows the preferable C-ITS service across the full range of variable combinations. In contrast to TT, CO2 savings are more robust across scenarios, since no increases relative to the baseline occur. CACC and the SC dominate the majority of cases, delivering the strongest reductions, particularly at medium to high traffic volumes and higher ERs. The SC frequently appears as an equally preferable option to CACC (C-SC), especially at scenarios with both lower traffic flow and lower ERs. Interestingly, GLOSA is never the best choice in isolation, and transition zones only occur between CACC and the SC (C-SC). The A category is less frequent than for TT, reflecting that emission reductions are stronger across the C-ITS services applied.
In summary, the categorization for CO2 shows that CACC and the SC are generally the most effective. Compared to TT, the outcomes for CO2 are more uniform and resilient, underlining the robustness of C-ITS emission reductions.

5. Conclusions

This paper examines how two widely discussed C-ITS services, CACC and GLOSA, affect traffic efficiency and CO2 emissions when deployed individually and in combination. Prior work lacks a systematic, condition-specific assessment of individual versus combined deployments and clear guidance on when each service or their combination is preferable. We addressed this gap by using microscopic traffic simulations for artificial and real-world models, varying lane configuration, number of traffic lights, traffic demand, and ERs. AM outputs were tested for significance using ANOVA and Tukey’s HSD, whereas RM outputs were analyzed descriptively to assess plausibility and robustness.
The simulation results are synthesized into a systematic and actionable guideline. This guideline identifies which C-ITS service or service combination is preferable under specific conditions of lane configuration, number of traffic lights, traffic demand, and ER. This directly answers the research question outlined in Section 1. The guideline in Figure 29 and Figure 30 shows that no single C-ITS service or service combination is best in all situations. Instead, performance depends on context, so different C-ITS services or combinations are preferable under different conditions. These figures therefore serve as a practical decision aid for choosing CACC, GLOSA, or their combination under given conditions. From a policy and practice perspective, the results underline that site-aware service use is essential. For example, sites with more than five signalized intersections and dense traffic are more likely to benefit from GLOSA, whereas ML corridors are better suited for CACC.
Nevertheless, some limitations must be acknowledged. The discussion of the real-world model outcomes was carried out only descriptively, as the results were not normally distributed. Statistical significance by applying ANOVA could therefore not be determined. Qualitative consistency with the artificial model results was demonstrated. However, effect sizes and thresholds should be interpreted with caution, as only eight RM sites were tested. In addition, the CO2 estimates are based on HBEFA, which does not account for slipstreaming and platoon aerodynamics relevant to CACC. As a result, the emission benefits may be underestimated. Communication aspects such as latency and packet loss, as well as driver compliance, were not modeled, with the assumption that the investigated services were always used and functioned as intended. Similarly, model assumptions limit the results, namely the 100% compliance rate with the services and recommendations as well as the homogeneous vehicle fleet. Moreover, with only one parameter configuration tested, effects under alternative settings and the robustness of the results remain to be determined. Finally, the results are based solely on simulation. Controlled real-world tests are required to further validate the findings and to refine the derived usage recommendations.
Several directions for future research can be identified. Future studies could validate the results through FOTs to confirm the simulation-based findings under real-world conditions. Incorporating communication aspects such as latency and packet loss, as well as driver compliance, could enhance the realism of the outcomes. Alternative emission models that incorporate slipstreaming and platoon aerodynamics could be applied to obtain more accurate estimates of CO2. Beyond this, analysing further pollutants such as CO, PMx, or NOx would provide additional insights. Exploring alternative C-ITS algorithms, such as multi-segment GLOSA, would also be beneficial to see how different implementations affect performance. Finally, future work could test the methodology on further C-ITS service bundles to assess its general applicability.
In conclusion, the study advances our understanding of individual and combined C-ITS services and offers a further stepping stone on the path toward cooperative, connected, and automated mobility.

Author Contributions

Conceptualization, M.W. and M.N.; methodology, M.W.; validation, M.W.; formal analysis, M.W.; investigation, M.W.; resources, M.W.; data curation, M.W.; writing—original draft preparation, M.W.; writing—review and editing, M.W. and M.N.; visualization, M.W.; supervision, M.N.; project administration, M.W. and M.N.; funding acquisition, M.W. and M.N. All authors have read and agreed to the published version of the manuscript.

Funding

The work leading to the results in this paper was funded by the State of Upper Austria within the project SUBSTANTIATE (grant no. 895978), managed by the Austrian Research Promotion Agency (FFG).

Institutional Review Board Statement

Not applicable.

Informed Consent Statement

Not applicable.

Data Availability Statement

The raw data supporting the conclusions of this article will be made available by the authors on request.

Acknowledgments

Open Access Funding by the University for Continuing Education Krems, the University of Applied Sciences BFI Vienna and the University of Applied Sciences Upper Austria.

Conflicts of Interest

The authors declare no conflicts of interest. The funders had no role in the design of the study; in the collection, analyes, or interpretation of data; in the writing of the manuscript; or in the decision to publish the results.

Abbreviations

The following abbreviations are used in this manuscript:
AMArtificial Model
ANOVAAnalysis of Variance
BEVBattery Electric Vehicle
CACCCooperative Adaptive Cruise Control
Cap.Capacity
CCAMCooperative, Connected and Automated Mobility
C-ITSCooperative Intelligent Transport System
EREquipment Rate
FCFuel Consumption
FOTField Operational Test
GEHGeoffrey E. Havers
GLOSAGreen Light Optimal Speed Advisory
HBEFAHandbook Emission Factors for Road Transport
HSDHonestly Significant Difference
KPIKey Performance Indicator
LTLoss Time
MLMulti-Lane
ODOrigin-Destination
RMReal-World Model
SCService combination (CACC & GLOSA)
Sim.Simulation
SLSingle-Lane
SUMOSimulation of Urban Mobility
TLSTraffic Light Systems
TTTravel time
V2IVehicle-to-Infrastructure
V2VVehicle-to-Vehicle
WCWaiting Count
WTWaiting Time

Appendix A. Related Work Table

Table A1. Summary of related work on CACC, GLOSA, and SC (↑ = KPI increase; ↓ = KPI decrease).
Table A1. Summary of related work on CACC, GLOSA, and SC (↑ = KPI increase; ↓ = KPI decrease).
StudyContextTraffic EfficiencySustainability
KPIs Effect KPIs Effect
CACC[11]Freeway (sim.)v↓ at ER < 40%
↑ at ER > 60%
[12]Freeway (sim.)v↑ at high demand
TT↓ at high demand
Cap.↑ at high demand
[13]Network (sim.)Cap.↑ 1500 veh/h (10% ER)
↑ 2800 veh/h (100% ER)
[14]Freeway (sim.)v↑ 15% to 30%
TT↓ 14% to 23%
Cap.↑ 3873 veh/h (100% ER)
[15]Freeway (sim.)v↑ 56% to 113%FC↓ 15% to 33%
[16]Freeway (sim.)q↑ 1824 veh/h (5% ER)
TT
[17]Freeway (sim.)LT↓ 19% (10% ER)
LT↓ 64% (>75% ER)
[18]Freeway (sim.)TT↓ 16%FC↓ 19%
LT↓ 35%
[19]Freeway (sim.)a↓ amplitudesFC↓ 3%
CO↓ 5.3%
NOx↓ 5.5%
HC↓ 4.3%
[20]Highway/cityFC↓ 9.9% to 17.6%
(sim.)CO2↓ 9.8% to 14.2%
[21]FOTTT
[22]Urban (sim.)WC
TT↑ (<60% ER)
↑ (≥60% ER)
[23]Freeway (sim.)FC↓ 35% to 53%
GLOSA[25]Urban (sim.)WCEliminatedFC↓ 25%
[26]Urban (sim.)WT↓ 65% to 90%FC↓ up to 18%
[27]Urban (sim.)TT↑ 15%FC↓ 25%
NOx↓ 35%
CO2↓ 20%
[28]Ring road (sim.)CO2↓ 10%
Grid (sim.)TT↓ 2.5% ↓ 10.5%
FOT (Bobigny)TT↓ 4% to 6% ↓ 3% to 10%
[29]Urban (sim.)FC↓ 4% to 5%
CO2↓ 4% to 5%
[30]Urban (sim.)TT↓ 5%FC↓ 5%
[31]Urban (sim.)WT↓ 7%CO2↓ 6%
[32]Urban (sim.)TT↑ 5.8% to ↓ 65.7%FC↓ 40%
[33]FOTTT↓ 7% to 10%FC↓ 9% to 26%
[34]FOT (5 sites)TT↑ 17.7% to ↓ 20.7%CO2↑ 4.1% to ↓ 9.3%
[35]Urban (sim.)TTCO2↓ 7% to 10%
[37]Urban (sim.)Energy↓ 37% to 38%
Integrated[38](Sub)Urbanv↑ 16.5%FC↓ 29–47%
(sim.)TT↓ 65sCO2↓ 56%
[39]Urban (sim.)TT↓ 2.8% (10% ER)FC↓ 2% (10% ER)
[40]Urban (sim.)TT↓ 4.9%FC↓ 25.5%
[41]FOTTT↓ 5–13%FC↓ 18–45%

References

  1. Eurostat. Statistics | Eurostat: Stock of Vehicles by Category and NUTS 2 Regions. 2025. Available online: https://ec.europa.eu/eurostat/databrowser/view/tran_r_vehst/default/table?lang=en (accessed on 1 September 2025).
  2. Treiber, M.; Kesting, A.; Thiemann, C. How Much Does Traffic Congestion Increase Fuel Consumption and Emissions? Applying Fuel Consumption Model to NGSIM Trajectory Data. In Proceedings of the 87th Annual Meeting of the Transportation Research Board, Washington, DC, USA, 13–17 January 2008. [Google Scholar]
  3. Boggio-Marzet, A.; Monzon, A.; Rodriguez-Alloza, A.M.; Wang, Y. Combined influence of traffic conditions, driving behavior, and type of road on fuel consumption. Real driving data from Madrid Area. Int. J. Sustain. Transp. 2022, 16, 301–313. [Google Scholar] [CrossRef]
  4. Walch, M.; Neubauer, M.; Schildorfer, W.; Schirrer, A. Modelling interrelations between C-ITS impact categories: A system-dynamics approach using causal loop diagrams. Eur. Transp. Res. Rev. 2024, 16, 60. [Google Scholar] [CrossRef]
  5. European Commssion. A European Strategy on Cooperative Intelligent Transport Systems, a Milestone Towards Cooperative, Connected and Automated Mobility. Available online: https://eur-lex.europa.eu/legal-content/EN/TXT/PDF/?uri=CELEX:52016DC0766 (accessed on 1 September 2025).
  6. Shladover, S.E.; Nowakowski, C.; Lu, X.Y.; Ferlis, R. Cooperative Adaptive Cruise Control. Transp. Res. Rec. J. Transp. Res. Board 2015, 2489, 145–152. [Google Scholar] [CrossRef]
  7. Naus, G.; Vugts, R.; Ploeg, J.; van de Molengraft, R.; Steinbuch, M. Cooperative adaptive cruise control, design and experiments. In Proceedings of the 2010 American Control Conference, Baltimore, MD, USA, 30 June–2 July 2010; pp. 6145–6150. [Google Scholar] [CrossRef]
  8. Car 2 Car Communication Consortium. Guidance for Day 2 and Beyond Roadmap. 2019. Available online: https://www.car-2-car.org/fileadmin/documents/General_Documents/C2CCC_WP_2072_RoadmapDay2AndBeyond.pdf (accessed on 1 September 2025).
  9. Stevanovic, A.; Stevanovic, J.; Kergaye, C. Green Light Optimized Speed Advisory Systems. Transp. Res. Rec. J. Transp. Res. Board 2013, 2390, 53–59. [Google Scholar] [CrossRef]
  10. Walch, M.; Schirrer, A.; Neubauer, M. Impact assessment of cooperative intelligent transport systems (C-ITS): A structured literature review. Eur. Transp. Res. Rev. 2025, 17, 1–37. [Google Scholar] [CrossRef]
  11. Van Arem, B.; van Driel, C.J.G.; Visser, R. The Impact of Cooperative Adaptive Cruise Control on Traffic-Flow Characteristics. IEEE Trans. Intell. Transp. Syst. 2006, 7, 429–436. [Google Scholar] [CrossRef]
  12. Arnaout, G.M.; Arnaout, J.P. Exploring the effects of cooperative adaptive cruise control on highway traffic flow using microscopic traffic simulation. Transp. Plan. Technol. 2014, 37, 186–199. [Google Scholar] [CrossRef]
  13. Zhao, L.; Sun, J. Simulation Framework for Vehicle Platooning and Car-following Behaviors Under Connected-vehicle Environment. Procedia Soc. Behav. Sci. 2013, 96, 914–924. [Google Scholar] [CrossRef]
  14. Liu, H.; Kan, X.; Shladover, S.E.; Lu, X.Y.; Ferlis, R.E. Modeling impacts of Cooperative Adaptive Cruise Control on mixed traffic flow in multi-lane freeway facilities. Transp. Res. Part C Emerg. Technol. 2018, 95, 261–279. [Google Scholar] [CrossRef]
  15. Talavera, E.; Díaz-Álvarez, A.; Jiménez, F.; Naranjo, J. Impact on Congestion and Fuel Consumption of a Cooperative Adaptive Cruise Control System with Lane-Level Position Estimation. Energies 2018, 11, 194. [Google Scholar] [CrossRef]
  16. Wang, M.; Daamen, W.; Hoogendoorn, S.P.; van Arem, B. Cooperative Car-Following Control: Distributed Algorithm and Impact on Moving Jam Features. IEEE Trans. Intell. Transp. Syst. 2016, 17, 1459–1471. [Google Scholar] [CrossRef]
  17. Goñi-Ros, B.; Schakel, W.J.; Papacharalampous, A.E.; Wang, M.; Knoop, V.L.; Sakata, I.; van Arem, B.; Hoogendoorn, S.P. Using advanced adaptive cruise control systems to reduce congestion at sags: An evaluation based on microscopic traffic simulation. Transp. Res. Part C Emerg. Technol. 2019, 102, 411–426. [Google Scholar] [CrossRef]
  18. Bichiou, Y.; Abdelghaffar, H.M.; Rakha, H. Integrated Speed Harmonization and Platooning of Connected Automated Vehicles: Model Development and Large-Scale System Evaluation. SN Comput. Sci. 2022, 3, 328. [Google Scholar] [CrossRef]
  19. Huang, L.; Zhai, C.; Wang, H.; Zhang, R.; Qiu, Z.; Wu, J. Cooperative Adaptive Cruise Control and exhaust emission evaluation under heterogeneous connected vehicle network environment in urban city. J. Environ. Manag. 2020, 256, 109975. [Google Scholar] [CrossRef]
  20. Jiang, N.; Kulla, E. Evaluation and Comparison of CO2 and Fuel Consumption for Different Car Following Models. In Advances on Broad-Band Wireless Computing, Communication and Applications; Barolli, L., Hellinckx, P., Enokido, T., Eds.; Springer: Cham, Switzerland, 2020; pp. 579–588. [Google Scholar] [CrossRef]
  21. Calvert, S.C.; Arem, B. Cooperative adaptive cruise control and intelligent traffic signal interaction: A field operational test with platooning on a suburban arterial in real traffic. IET Intell. Transp. Syst. 2020, 14, 1665–1672. [Google Scholar] [CrossRef]
  22. Silgu, M.A.; Erdağı, İ.G.; Çelikoğlu, H.B. Network-wide emission effects of cooperative adaptive cruise control with signal control at intersections. Transp. Res. Procedia 2020, 47, 545–552. [Google Scholar] [CrossRef]
  23. Kavas-Torris, O.; Guvenc, L. Modelling and Analysis of Car Following Algorithms for Fuel Economy Improvement in Connected and Autonomous Vehicles (CAVs). arXiv 2022, arXiv:2203.12078. [Google Scholar] [CrossRef]
  24. Gorospe, J.; Hasan, S.; Gómez, A.A.; Uhlemann, E. Toward Resilient CACC Systems for Automated Vehicles. IEEE Open J. Intell. Transp. Syst. 2025, 6, 276–293. [Google Scholar] [CrossRef]
  25. Karoui, M.; Freitas, A.; Chalhoub, G. Efficiency of Speed Advisory Boundary fINder (SABIN) strategy for GLOSA using ITS-G5. In Proceedings of the IFIP/IEEE International Conference on Performance Evaluation and Modeling in Wired and Wireless Networks (PEMWN), Toulouse, France, 26–28 September 2018; pp. 1–6. [Google Scholar] [CrossRef]
  26. Karoui, M.; Freitas, A.; Chalhoub, G. Comparative Evaluation Study of GLOSA Approaches Under Realistic Scenario Conditions. In Proceedings of the Ad-Hoc, Mobile, and Wireless Networks, Luxembourg, 19–21 October 2020; pp. 407–419. [Google Scholar] [CrossRef]
  27. Barbecho Bautista, P.; Urquiza-Aguiar, L.F.; Aguilar Igartua, M. Privacy-Aware Vehicle Emissions Control System for Traffic Light Intersections. In Proceedings of the ACM International Symposium on Performance Evaluation of Wireless Ad Hoc, Sensor, & Ubiquitous Networks, Montreal, QC, Canada, 24 October 2022; pp. 99–106. [Google Scholar] [CrossRef]
  28. Lebre, M.A.; Le Mouël, F.; Ménard, E.; Garnault, A.; Bradaï, B.; Picron, V. Real scenario and simulations on GLOSA traffic light system for reduced CO2 emissions, waiting time and travel time. In Proceedings of the ITS World Congress, Bordeaux, France, 5–9 October 2015. [Google Scholar] [CrossRef]
  29. Pariota, L.; Di Costanzo, L.; Coppola, A.; D’Aniello, C.; Bifulco, G.N. Green Light Optimal Speed Advisory: A C-ITS to improve mobility and pollution. In Proceedings of the IEEE International Conference on Environment and Electrical Engineering and 2019 IEEE Industrial and Commercial Power Systems Europe (EEEIC/I&CPS Europe), Genova, Italy, 11–14 June 2019; pp. 1–6. [Google Scholar] [CrossRef]
  30. Coppola, A.; Di Costanzo, L.; Pariota, L.; Santini, S.; Bifulco, G.N. An Integrated Simulation Environment to test the effectiveness of GLOSA services under different working conditions. Transp. Res. Part C Emerg. Technol. 2022, 134, 103455. [Google Scholar] [CrossRef]
  31. Lu, G.; Ge, Y.; Wang, M.; Wang, J.; Wei, D.; Kang, C.; Yu, R. Green Light Optimal Speed Advisory Systems Under Multi-modal Traffic Environments for Reducing Fuel Consumption. In Proceedings of the IEEE Intl Conf on Parallel & Distributed Processing with Applications, Big Data & Cloud Computing, Sustainable Computing & Communications, Social Computing & Networking, Exeter, UK, 17–19 December 2020; pp. 1470–1474. [Google Scholar] [CrossRef]
  32. Ko, B.; Choi, S.; Park, B.; Son, S. Field Implementation of Eco-driving and Eco-signal System. In Proceedings of the VEHITS, Porto, Portugal, 22–24 April 2017; pp. 285–292. [Google Scholar] [CrossRef]
  33. Chen, H.; Rakha, H.A.; Loulizi, A.; El-Shawarby, I.; Almannaa, M.H. Development and Preliminary Field Testing of an In-Vehicle Eco-Speed Control System in the Vicinity of Signalized Intersections. IFAC-PapersOnLine 2016, 49, 249–254. [Google Scholar] [CrossRef]
  34. Edwards, S.; Hill, G.; Goodman, P.; Blythe, P.; Mitchell, P.; Huebner, Y. Quantifying the impact of a real world cooperative-ITS deployment across multiple cities. Transp. Res. Part A Policy Pract. 2018, 115, 102–113. [Google Scholar] [CrossRef]
  35. Suzuki, H.; Marumo, Y. Evaluating Green Light Optimum Speed Advisory (GLOSA) System in Traffic Flow with Information Distance Variations. In Proceedings of the Human Interaction and Emerging Technologies, Nice, France, 27–29 August 2020; pp. 502–508. [Google Scholar] [CrossRef]
  36. Ding, L.; Zhao, D.; Zhu, B.; Wang, Z.; Tan, C.; Tong, J.; Ma, H. SpeedAdv: Enabling Green Light Optimized Speed Advisory for Diverse Traffic Lights. IEEE Trans. Mob. Comput. 2024, 23, 6258–6271. [Google Scholar] [CrossRef]
  37. Khayyat, M.; Gabriele, A.; Mancini, F.; Arrigoni, S.; Braghin, F. Enhanced Traffic Light Guidance for Safe and Energy-Efficient Driving: A Study on Multiple Traffic Light Advisor (MTLA) and 5G Integration. J. Intell. Robot. Syst. 2024, 110, 73. [Google Scholar] [CrossRef]
  38. Asadi, B.; Vahidi, A. Predictive Cruise Control: Utilizing Upcoming Traffic Signal Information for Improving Fuel Economy and Reducing Trip Time. IEEE Trans. Control Syst. Technol. 2011, 19, 707–714. [Google Scholar] [CrossRef]
  39. Kamal, M.A.S.; Taguchi, S.; Yoshimura, T. Intersection Vehicle Cooperative Eco-Driving in the Context of Partially Connected Vehicle Environment. In Proceedings of the 2015 IEEE 18th International Conference on Intelligent Transportation Systems, Gran Canaria, Spain, 15–18 September 2015; pp. 1261–1266. [Google Scholar] [CrossRef]
  40. Xin, Q.; Fu, R.; Yuan, W.; Liu, Q.; Yu, S. Predictive intelligent driver model for eco-driving using upcoming traffic signal information. Phys. A Stat. Mech. Its Appl. 2018, 508, 806–823. [Google Scholar] [CrossRef]
  41. Almannaa, M.H.; Chen, H.; Rakha, H.A.; Loulizi, A.; El-Shawarby, I. Field implementation and testing of an automated eco-cooperative adaptive cruise control system in the vicinity of signalized intersections. Transp. Res. Part D Transp. Environ. 2019, 67, 244–262. [Google Scholar] [CrossRef]
  42. Lopez, P.A.; Wiessner, E.; Behrisch, M.; Bieker-Walz, L.; Erdmann, J.; Flotterod, Y.P.; Hilbrich, R.; Lucken, L.; Rummel, J.; Wagner, P. Microscopic Traffic Simulation using SUMO. In Proceedings of the International Conference on Intelligent Transportation Systems (ITSC), Maui, HI, USA, 4–7 November 2018; pp. 2575–2582. [Google Scholar] [CrossRef]
  43. Federal Ministry of Innovation, Mobility and Infrastructure. Straßenverkehrsordnung 1960 § 20, 06.07.1960. Available online: https://www.ris.bka.gv.at/GeltendeFassung.wxe?Abfrage=Bundesnormen&Gesetzesnummer=10011336 (accessed on 1 September 2025).
  44. Katsaros, K.; Kernchen, R.; Dianati, M.; Rieck, D. Performance study of a Green Light Optimized Speed Advisory (GLOSA) application using an integrated cooperative ITS simulation platform. In Proceedings of the International Wireless Communications & Mobile Computing Conference, Istanbul, Turkey, 4–8 July 2011; pp. 918–923. [Google Scholar] [CrossRef]
  45. Milanés, V.; Shladover, S.E. Modeling cooperative and autonomous adaptive cruise control dynamic responses using experimental data. Transp. Res. Part C Emerg. Technol. 2014, 48, 285–300. [Google Scholar] [CrossRef]
  46. Xiao, L.; Wang, M.; van Arem, B. Realistic Car-Following Models for Microscopic Simulation of Adaptive and Cooperative Adaptive Cruise Control Vehicles. Transp. Res. Rec. J. Transp. Res. Board 2017, 2623, 1–9. [Google Scholar] [CrossRef]
  47. Xiao, L.; Wang, M.; Schakel, W.; van Arem, B. Unravelling effects of cooperative adaptive cruise control deactivation on traffic flow characteristics at merging bottlenecks. Transp. Res. Part C Emerg. Technol. 2018, 96, 380–397. [Google Scholar] [CrossRef]
  48. Krauss, S. Microscopic Modeling of Traffic Flow: Investigation of Collision Free Vehicle Dynamics; U.S. Department of Energy: Washington, DC, USA, 1998. [Google Scholar]
  49. European Parliament. Regulation (EC) No 715/2007 of the European Parliament and of the Council of 20 June 2007 on Type Approval of Motor Vehicles with Respect to Emissions from Light Passenger and Commercial Vehicles (Euro 5 and Euro 6), 01.09.2020. Available online: https://eur-lex.europa.eu/legal-content/EN/TXT/?uri=CELEX%3A02007R0715-20200901 (accessed on 1 September 2025).
  50. Statistics Austria. Stock of Motor Vehicles, 25/02/2025. Available online: https://www.statistik.at/en/statistics/tourism-and-transport/vehicles/stock-of-motor-vehicles (accessed on 1 September 2025).
  51. Federal Ministry for Transport. Vehicle Stock by Environmental Characteristics, 1 January 2024, 2024. Available online: https://www.kba.de/DE/Statistik/Fahrzeuge/Bestand/Umwelt/2024/2024_umwelt_uebersicht.html (accessed on 1 September 2025).
  52. ASFINAG Autobahnen- und Schnellstraßen-Finanzierungs-Aktiengesellschaft. EVIS.AT, 25/08/2025. Available online: https://evis.asfinag.at/ (accessed on 1 September 2025).
  53. ÖVDAT-Austrian Institute for Transport Data Infrastructure. Graph Integration Platform GIP: The Reference System of Austrian Public Authorities for Transport Infrastructure Data, 25/08/2025. Available online: https://www.gip.gv.at/en/index.html (accessed on 1 September 2025).
  54. Pestel, E.; Friedrich, M.; Heidl, U.; Pillat, J.; Schiller, C.; Schimpf, M. Quality Control of Travel Demand Models. In Straßenverkehrstechnik; Kirschbaum Verlag: Bonn, Germany, 2016; pp. 658–670. Available online: https://www.isv.uni-stuttgart.de/vuv/publikationen/downloads/20161000_SVT_Pestel-Friedrich-Heidl-Pillat-Schiller-Schimpf_Qualitaetssicherung-von-Verkehrsnachfragemodellen.pdf (accessed on 1 September 2025).
Figure 2. Methodology.
Figure 2. Methodology.
Sustainability 17 08855 g002
Figure 3. Design of artificial networks showing segment lengths and the locations of traffic signals (indicated by ids according to Table 1).
Figure 3. Design of artificial networks showing segment lengths and the locations of traffic signals (indicated by ids according to Table 1).
Sustainability 17 08855 g003
Figure 4. Procedure for ANOVA and Tukey’s HSD Post-Hoc Tests.
Figure 4. Procedure for ANOVA and Tukey’s HSD Post-Hoc Tests.
Sustainability 17 08855 g004
Figure 5. Procedure for descriptive analyses of AM and RM results.
Figure 5. Procedure for descriptive analyses of AM and RM results.
Sustainability 17 08855 g005
Figure 6. Tukey HSD post-hoc test results comparing TTs between the CACC and the baseline (no C-ITS) scenarios. Significance levels: *** p < 0.001 ; ** p < 0.01 ; * p < 0.05 ; n.s. p 0.05 . Colors: green = CACC outperforms baseline; red = baseline outperforms CACC.
Figure 6. Tukey HSD post-hoc test results comparing TTs between the CACC and the baseline (no C-ITS) scenarios. Significance levels: *** p < 0.001 ; ** p < 0.01 ; * p < 0.05 ; n.s. p 0.05 . Colors: green = CACC outperforms baseline; red = baseline outperforms CACC.
Sustainability 17 08855 g006
Figure 7. AM – CACC – Excerpt of the simulation results showing TT savings for SL and ML configurations with three, five and nine TLS.
Figure 7. AM – CACC – Excerpt of the simulation results showing TT savings for SL and ML configurations with three, five and nine TLS.
Sustainability 17 08855 g007
Figure 8. Tukey HSD post-hoc test results comparing TTs between the GLOSA and the baseline (no C-ITS) scenarios. Significance levels: *** p < 0.001 ; ** p < 0.01 ; * p < 0.05 ; n.s. p 0.05 . Colors: green = GLOSA outperforms baseline; red = baseline outperforms GLOSA.
Figure 8. Tukey HSD post-hoc test results comparing TTs between the GLOSA and the baseline (no C-ITS) scenarios. Significance levels: *** p < 0.001 ; ** p < 0.01 ; * p < 0.05 ; n.s. p 0.05 . Colors: green = GLOSA outperforms baseline; red = baseline outperforms GLOSA.
Sustainability 17 08855 g008
Figure 9. Tukey HSD post-hoc test results comparing TTs between the SC and the baseline (no C-ITS) scenarios. Significance levels: *** p < 0.001 ; ** p < 0.01 ; * p < 0.05 ; n.s. p 0.05 . Colors: green = SC outperforms baseline; red = baseline outperforms SC.
Figure 9. Tukey HSD post-hoc test results comparing TTs between the SC and the baseline (no C-ITS) scenarios. Significance levels: *** p < 0.001 ; ** p < 0.01 ; * p < 0.05 ; n.s. p 0.05 . Colors: green = SC outperforms baseline; red = baseline outperforms SC.
Sustainability 17 08855 g009
Figure 10. AM – SC – Excerpt of the simulation results showing TT savings for SL and ML configurations with three, five and nine TLS.
Figure 10. AM – SC – Excerpt of the simulation results showing TT savings for SL and ML configurations with three, five and nine TLS.
Sustainability 17 08855 g010
Figure 11. Tukey HSD post-hoc test results comparing TTs between CACC and GLOSA scenarios. Significance levels: *** p < 0.001 ; ** p < 0.01 ; * p < 0.05 ; n.s. p 0.05 . Colors: green = CACC outperforms GLOSA; red = GLOSA outperforms CACC.
Figure 11. Tukey HSD post-hoc test results comparing TTs between CACC and GLOSA scenarios. Significance levels: *** p < 0.001 ; ** p < 0.01 ; * p < 0.05 ; n.s. p 0.05 . Colors: green = CACC outperforms GLOSA; red = GLOSA outperforms CACC.
Sustainability 17 08855 g011
Figure 12. AM – CACC vs. GLOSA – Excerpt of the simulation results showing TT savings for SL and ML configurations with five and nine TLS and a traffic flow of 1750 veh/h.
Figure 12. AM – CACC vs. GLOSA – Excerpt of the simulation results showing TT savings for SL and ML configurations with five and nine TLS and a traffic flow of 1750 veh/h.
Sustainability 17 08855 g012
Figure 13. Tukey HSD post-hoc test results comparing TTs between the SC and GLOSA scenarios. Significance levels: *** p < 0.001 ; ** p < 0.01 ; * p < 0.05 ; n.s. p 0.05 . Colors: green = SC outperforms GLOSA; red = GLOSA outperforms CACC GLOSA.
Figure 13. Tukey HSD post-hoc test results comparing TTs between the SC and GLOSA scenarios. Significance levels: *** p < 0.001 ; ** p < 0.01 ; * p < 0.05 ; n.s. p 0.05 . Colors: green = SC outperforms GLOSA; red = GLOSA outperforms CACC GLOSA.
Sustainability 17 08855 g013
Figure 14. AM – SC vs. GLOSA – Excerpt of the simulation results showing TT savings for SL and ML configurations with five and nine TLS and a traffic flow of 2500 veh/h.
Figure 14. AM – SC vs. GLOSA – Excerpt of the simulation results showing TT savings for SL and ML configurations with five and nine TLS and a traffic flow of 2500 veh/h.
Sustainability 17 08855 g014
Figure 15. Tukey HSD post-hoc test results comparing TTs between the SC and the CACC scenarios. Significance levels: *** p < 0.001 ; ** p < 0.01 ; * p < 0.05 ; n.s. p 0.05 . Colors: green = SC outperforms CACC; red = CACC outperforms SC.
Figure 15. Tukey HSD post-hoc test results comparing TTs between the SC and the CACC scenarios. Significance levels: *** p < 0.001 ; ** p < 0.01 ; * p < 0.05 ; n.s. p 0.05 . Colors: green = SC outperforms CACC; red = CACC outperforms SC.
Sustainability 17 08855 g015
Figure 16. AM – CACC vs. SC – Excerpt of the simulation results showing TT savings for SL and ML configurations with five and nine TLS and a traffic flow of 1750 veh/h.
Figure 16. AM – CACC vs. SC – Excerpt of the simulation results showing TT savings for SL and ML configurations with five and nine TLS and a traffic flow of 1750 veh/h.
Sustainability 17 08855 g016
Figure 17. Tukey HSD post-hoc test results comparing CO2 emissions between the GLOSA and the baseline (no C-ITS) scenarios. Significance levels: *** p < 0.001 ; ** p < 0.01 ; * p < 0.05 ; n.s. p 0.05 . Colors: green = GLOSA outperforms baseline; red = baseline outperforms GLOSA.
Figure 17. Tukey HSD post-hoc test results comparing CO2 emissions between the GLOSA and the baseline (no C-ITS) scenarios. Significance levels: *** p < 0.001 ; ** p < 0.01 ; * p < 0.05 ; n.s. p 0.05 . Colors: green = GLOSA outperforms baseline; red = baseline outperforms GLOSA.
Sustainability 17 08855 g017
Figure 18. Tukey HSD post-hoc test results comparing CO2 emissions between the SC and the CACC scenarios. Significance levels: *** p < 0.001 ; ** p < 0.01 ; * p < 0.05 ; n.s. p 0.05 . Colors: green = SC outperforms CACC; red = CACC outperforms SC.
Figure 18. Tukey HSD post-hoc test results comparing CO2 emissions between the SC and the CACC scenarios. Significance levels: *** p < 0.001 ; ** p < 0.01 ; * p < 0.05 ; n.s. p 0.05 . Colors: green = SC outperforms CACC; red = CACC outperforms SC.
Sustainability 17 08855 g018
Figure 19. AM – CACC vs. SC – Excerpt of the simulation results showing CO2 emission savings for SL and ML configurations with five and nine TLS and a traffic flow of 750 veh/h.
Figure 19. AM – CACC vs. SC – Excerpt of the simulation results showing CO2 emission savings for SL and ML configurations with five and nine TLS and a traffic flow of 750 veh/h.
Sustainability 17 08855 g019
Figure 20. AM–CACC vs. SC–Excerpt of the simulation results showing CO2 emission savings for SL and ML configurations with five and nine TLS and a traffic flow of 2000 veh/h.
Figure 20. AM–CACC vs. SC–Excerpt of the simulation results showing CO2 emission savings for SL and ML configurations with five and nine TLS and a traffic flow of 2000 veh/h.
Sustainability 17 08855 g020
Figure 21. AM–CACC vs. GLOSA vs. SC–Excerpt of the simulation results showing TT savings for configurations with an average density between [0, 2] veh/km.
Figure 21. AM–CACC vs. GLOSA vs. SC–Excerpt of the simulation results showing TT savings for configurations with an average density between [0, 2] veh/km.
Sustainability 17 08855 g021
Figure 22. RM–CACC vs. GLOSA vs. SC–Excerpt of the simulation results showing TT savings for configurations with an average density between [0, 2] veh/km (id = test site according to Table 5).
Figure 22. RM–CACC vs. GLOSA vs. SC–Excerpt of the simulation results showing TT savings for configurations with an average density between [0, 2] veh/km (id = test site according to Table 5).
Sustainability 17 08855 g022
Figure 23. AM–CACC vs. GLOSA vs. SC–Excerpt of the simulation results showing TT savings for configurations with an average density between [5, 10] veh/km.
Figure 23. AM–CACC vs. GLOSA vs. SC–Excerpt of the simulation results showing TT savings for configurations with an average density between [5, 10] veh/km.
Sustainability 17 08855 g023
Figure 24. RM–CACC vs. GLOSA vs. SC–Excerpt of the simulation results showing TT savings for configurations with an average density between [5, 10] veh/km (id = test site according to Table 5).
Figure 24. RM–CACC vs. GLOSA vs. SC–Excerpt of the simulation results showing TT savings for configurations with an average density between [5, 10] veh/km (id = test site according to Table 5).
Sustainability 17 08855 g024
Figure 25. AM–CACC vs. GLOSA vs. SC–Excerpt of the simulation results showing CO2 emission savings for configurations with an average density between [0, 2] veh/km.
Figure 25. AM–CACC vs. GLOSA vs. SC–Excerpt of the simulation results showing CO2 emission savings for configurations with an average density between [0, 2] veh/km.
Sustainability 17 08855 g025
Figure 26. RM–CACC vs. GLOSA vs. SC–Excerpt of the simulation results showing CO2 emission savings for configurations with an average density between [0, 2] veh/km (id = test site according to Table 5).
Figure 26. RM–CACC vs. GLOSA vs. SC–Excerpt of the simulation results showing CO2 emission savings for configurations with an average density between [0, 2] veh/km (id = test site according to Table 5).
Sustainability 17 08855 g026
Figure 27. AM–CACC vs. GLOSA vs. SC–Excerpt of the simulation results showing CO2 emission savings for configurations with an average density between [2, 5] veh/km.
Figure 27. AM–CACC vs. GLOSA vs. SC–Excerpt of the simulation results showing CO2 emission savings for configurations with an average density between [2, 5] veh/km.
Sustainability 17 08855 g027
Figure 28. RM–CACC vs. GLOSA vs. SC–Excerpt of the simulation results showing CO2 emission savings for configurations with an average density between [2, 5] veh/km (id = test site according to Table 5).
Figure 28. RM–CACC vs. GLOSA vs. SC–Excerpt of the simulation results showing CO2 emission savings for configurations with an average density between [2, 5] veh/km (id = test site according to Table 5).
Sustainability 17 08855 g028
Figure 29. Overview of the statistically significant and best-performing C-ITS services or service bundles regarding TT impact for the different variable combinations. A: Any (ANOVA non-significant) C: CACC G: GLOSA SC: Service combination; C-SC: CACC or SC G-SC: GLOSA or SC.
Figure 29. Overview of the statistically significant and best-performing C-ITS services or service bundles regarding TT impact for the different variable combinations. A: Any (ANOVA non-significant) C: CACC G: GLOSA SC: Service combination; C-SC: CACC or SC G-SC: GLOSA or SC.
Sustainability 17 08855 g029
Figure 30. Overview of the statistically significant and best-performing C-ITS services or service bundles regarding CO2 emissions impact for the different variable combinations. A: Any (ANOVA non-significant) C: CACC G: GLOSA SC: Service combination; C-SC: CACC or SC G-SC: GLOSA or SC.
Figure 30. Overview of the statistically significant and best-performing C-ITS services or service bundles regarding CO2 emissions impact for the different variable combinations. A: Any (ANOVA non-significant) C: CACC G: GLOSA SC: Service combination; C-SC: CACC or SC G-SC: GLOSA or SC.
Sustainability 17 08855 g030
Table 1. Overview of infrastructural configurations for artificial test sites.
Table 1. Overview of infrastructural configurations for artificial test sites.
idNr. of LanesNr. of TLS
1ML2
2ML3
3ML5
4ML9
5SL2
6SL3
7SL5
8SL9
Table 2. Overview of GLOSA parameters used for both the artificial models and real-world models.
Table 2. Overview of GLOSA parameters used for both the artificial models and real-world models.
GLOSA ParameterUnitValue
device.glosa.range [m]400
device.glosa.min-speed[m/s]8.33
device.glosa.speedfactor-1.1
device.glosa.add-switchtime[s]1
Table 3. Overview of CACC parameters used for both the artificial models and real-world models.
Table 3. Overview of CACC parameters used for both the artificial models and real-world models.
CACC ParameterValue
collisionAvoidanceOverride2
speedControlGainCACC−0.4
gapClosingControlGainGap0.005
gapClosingControlGainGapDot0.05
gapControlGainGap0.45
gapControlGainGapDot0.0125
collisionAvoidanceGainGap0.45
collisionAvoidanceGainGapDot0.05
Table 6. Number of variable combinations considered in the ANOVA.
Table 6. Number of variable combinations considered in the ANOVA.
VariablesNr. of Possible ValuesPossible Values
Nr. of lanes2(ML, SL)
Nr. of TLS4(2, 3, 5, 9)
Traffic flow [veh/h]11[100, 2500]
ER [%]10[10%, 100%]
KPI2(CO2, TT)
Total1760
Table 7. Overview of scenario combinations with non-significant ANOVA results for the C-ITS impact on TT. Reported values indicate the respective p-values.
Table 7. Overview of scenario combinations with non-significant ANOVA results for the C-ITS impact on TT. Reported values indicate the respective p-values.
2 TLS3 TLS5 TLS9 TLS
[veh/h] 10% 20% 30% 10% 20% 30% 10% 20% 30% 40% 10% 20% 30% 40%
ML1000.06 0.09 0.22 0.650.09
250 0.29
500 0.12
750 0.12
1000 0.07
1500 0.06
1750 0.13
2000 0.20
2250 0.05 0.46
25000.880.440.220.990.840.270.990.970.620.080.990.710.580.34
SL1000.20 0.29 0.50 0.510.07
250 0.07 0.23 0.29
750 0.07
10000.08 0.11 0.06 0.11
12500.670.440.080.900.610.110.790.430.08 0.730.29
15000.500.14 0.470.06 0.29 0.29
17500.05
20000.06
Table 8. Scenario comparisons with non-significant Tukey’s HSD results (CO2 emissions).
Table 8. Scenario comparisons with non-significant Tukey’s HSD results (CO2 emissions).
C-ITSC-ITSNr.Nr.Traffic FlowEquipmentp-Value
1 2 Lanes TLS [veh/h] Rate
CACCbaselineML510010%0.07
CACCbaselineML910020%0.21
CACCbaselineML925010%0.25
CACCGLOSAML210010%0.18
CACCGLOSAML310010%0.21
CACCGLOSAML510010%0.46
CACCGLOSAML910020%1.00
CACCGLOSAML910030%1.00
CACCGLOSAML910040%1.00
CACCGLOSAML910050%1.00
CACCGLOSAML910060%0.97
CACCGLOSAML910070%0.92
CACCGLOSAML910080%0.82
CACCGLOSAML910090%0.69
CACCGLOSAML9100100%0.64
CACCGLOSAML925010%0.76
CACCGLOSAML925020%0.22
CACCGLOSAML925030%0.07
CACCGLOSASL910010%0.27
SCGLOSAML210010%0.13
SCGLOSAML310010%0.12
SCGLOSAML510010%0.31
SCGLOSAML910020%0.19
SCGLOSAML925010%0.13
Disclaimer/Publisher’s Note: The statements, opinions and data contained in all publications are solely those of the individual author(s) and contributor(s) and not of MDPI and/or the editor(s). MDPI and/or the editor(s) disclaim responsibility for any injury to people or property resulting from any ideas, methods, instructions or products referred to in the content.

Share and Cite

MDPI and ACS Style

Walch, M.; Neubauer, M. Integrated Evaluation of C-ITS Services: Synergistic Effects of GLOSA and CACC on Traffic Efficiency and Sustainability. Sustainability 2025, 17, 8855. https://doi.org/10.3390/su17198855

AMA Style

Walch M, Neubauer M. Integrated Evaluation of C-ITS Services: Synergistic Effects of GLOSA and CACC on Traffic Efficiency and Sustainability. Sustainability. 2025; 17(19):8855. https://doi.org/10.3390/su17198855

Chicago/Turabian Style

Walch, Manuel, and Matthias Neubauer. 2025. "Integrated Evaluation of C-ITS Services: Synergistic Effects of GLOSA and CACC on Traffic Efficiency and Sustainability" Sustainability 17, no. 19: 8855. https://doi.org/10.3390/su17198855

APA Style

Walch, M., & Neubauer, M. (2025). Integrated Evaluation of C-ITS Services: Synergistic Effects of GLOSA and CACC on Traffic Efficiency and Sustainability. Sustainability, 17(19), 8855. https://doi.org/10.3390/su17198855

Note that from the first issue of 2016, this journal uses article numbers instead of page numbers. See further details here.

Article Metrics

Back to TopTop