Next Article in Journal
Policy Coordination and Green Transformation of STAR Market Enterprises Under “Dual Carbon” Goals
Previous Article in Journal
Adapting to Climate Change in the United States: What and How Are We Learning from Each Other?
 
 
Font Type:
Arial Georgia Verdana
Font Size:
Aa Aa Aa
Line Spacing:
Column Width:
Background:
Article

Evaluation of Paper Mill Sludge Using Bioindicators: Response of Soil Microorganisms and Plants

1
Department of Environmental Engineering, Faculty of Ecology and Environmental Sciences, Technical University in Zvolen, T. G. Masaryka 24, 96001 Zvolen, Slovakia
2
Department of Mathematics and Descriptive Geometry, Faculty of Wood Sciences and Technology, Technical University in Zvolen, T. G. Masaryka 24, 96001 Zvolen, Slovakia
3
Institute of Foreign Languages, Technical University in Zvolen, T. G. Masaryka 24, 96001 Zvolen, Slovakia
*
Author to whom correspondence should be addressed.
Sustainability 2025, 17(19), 8788; https://doi.org/10.3390/su17198788
Submission received: 17 June 2025 / Revised: 11 September 2025 / Accepted: 23 September 2025 / Published: 30 September 2025
(This article belongs to the Section Waste and Recycling)

Abstract

The growing demand for sustainable waste management practices has prompted interest in the land application of paper sludge as an alternative to landfilling and incineration. This study evaluates the environmental potential of paper sludge derived from recycled hygienic paper production by investigating its effects on soil respiration, seed germination, and seedling development. A comprehensive set of respirometric tests using the OxiTop® system assessed microbial activity in soil amended with various concentrations of paper sludge (1–100%). Concurrently, bioassays using Lepidium sativum L. and Pisum sativum L. seeds examined the phytotoxicity and physiological response during germination. The results show that low to moderate sludge concentrations (1–20%) stimulated microbial activity and enhanced germination parameters, with a germination index (GI) up to 150% at 1%. However, higher concentrations (>40%) led to oxygen depletion, microbial stress, and decreased plant growth, indicating potential phytotoxicity and the need for application thresholds. For certain intermediate concentrations (e.g., 30–40%), a delay of approximately 21 days before sowing is recommended to allow microbial communities to stabilize and avoid initial stress conditions for plants. This study demonstrates that controlled application of paper sludge in soil systems can serve as a viable and sustainable disposal method, supporting circular economy principles and reducing the environmental burden of paper industry by-products.

1. Introduction

The increasing production of solid industrial waste presents a significant environmental challenge, particularly in the paper industry [1]. Paper sludge is one of the main by-products of paper manufacturing, generated in large quantities during the wastewater treatment process. Annually, the EU generates about 3.6–4.5 million tonnes of dry paper sludge, while global production reaches roughly 16–20 mg (or up to 450 million tonnes including moisture) [2,3,4]. Its management represents a key issue in industrial sustainability, requiring solutions that minimize waste accumulation and maximize resource efficiency [5].
Currently, landfilling and incineration are among the most common methods of paper sludge disposal worldwide. However, both approaches have significant environmental and economic drawbacks. Landfilling requires large storage areas and long-term monitoring, while also contributing to greenhouse gas emissions. Incineration, on the other hand, is energy-intensive and releases toxic emissions, including dioxins and heavy metals. Additionally, due to the high moisture content of sludge, incineration is often inefficient, requiring additional energy inputs to reach combustion temperatures [6,7,8].
To mitigate these environmental concerns, alternative waste management strategies are being explored. One promising approach is the controlled land application of paper sludge as a method of disposal. Unlike traditional waste disposal methods, land application offers several potential benefits, including:
  • Reduction in waste sent to landfills and incinerators, decreasing overall waste volume.
  • Utilization of organic material and carbon content in soil, which contributes to a more sustainable waste cycle.
  • Reduction in the demand for synthetic fertilizers, as sludge contains macro-nutrients (N, P, K, Ca, Mg) and essential micro-nutrients (Zn, Cu, Mn) that can be gradually released over time.
  • Potential cost savings for industries by reducing the need for expensive waste processing and disposal [9].
In addition, it is possible to consider other options for dealing with paper sludge, such as:
  • Anaerobic digestion—Converts the organic fraction of paper sludge into biogas (CH4 + CO2) in sealed reactors, reducing volume while yielding renewable energy and a nutrient-rich digestate [10].
  • Co-firing in cement kilns—Uses dried sludge as a supplemental fuel/raw material in clinker production, recovering its calorific value and immobilizing inorganics in the cement matrix [11].
  • Pyrolysis/gasification—Thermally decomposes sludge under oxygen-limited conditions to produce syngas (H2 + CO) and bio-oil, plus a biochar by-product for soil amendment or carbon sequestration [12].
  • Composting—Blends sludge with other organic wastes to stabilize organics, reduces pathogens, and yields a mature compost suitable for non-food agricultural uses [13].
In previous studies, the use of paper sludge in agricultural soil amendments has been explored, primarily in the context of enhancing soil fertility and plant growth [14,15]. However, this study approaches paper sludge application from the perspective of industrial waste management, focusing on its potential as an alternative disposal strategy. The research assesses the biodegradability of paper sludge, its decomposition dynamics in soil, and the microbial activity associated with its breakdown. By examining oxygen consumption and microbial respiration across different sludge concentrations, this study evaluates the natural degradation potential of paper sludge in soil environments and its implications for waste reduction strategies. Another factor related to the biodegradation of waste sludge is soil enzymatic activity. It has been found that the application of sewage sludge increases soil microbial activity, soil respiration, and enzymatic activities. These differences may be due to the heavy metal content in the sewage sludge and the rate of its decomposition [16].
In addition to microbial respiration in soil, the study also explores the impact of sludge on seed germination and the respiration activity of germinating seeds, providing insight into how this material interacts with biological systems. These assessments help determine whether land application of paper sludge is a viable alternative to conventional disposal methods such as landfilling or incineration, offering a solution that aligns with circular economy principles and sustainable industrial waste management.
For the efficient use of paper sludge, it is important to consider the nutrient content, possible contaminants and application methods. An important factor that can negatively affect the application potential of paper sludge from tissue paper production is the content of ballast substances, especially residual inorganic material such as limestone, kaolin and mineral fillers, which are added during the paper production process. Inorganic “ballast” fillers such as calcium carbonate and kaolin limit sludge management by diluting the organic fraction, which lowers the biochemical methane potential in anaerobic digestion and reduces biogas yields [17,18]; it also worsens dewaterability and handling, as fine inorganic particles boost bulk density and hinder moisture release, complicating transport and pre-treatment operations [19]. It can also lead to alkalinization of soil when land-applied, potentially driving pH above optimal ranges for crops and immobilizing key nutrients like phosphorus and micronutrients [3]. Although increased soil respiration can be favourable for fertility, excessive mineralization of organic matter can reduce their content in the soil in the long term. Therefore, it is essential to evaluate this process when introducing paper sludge into the soil [20]. The evaluation was enhanced with a seed germination analysis to thoroughly assess the impact of paper sludge on soil quality.

2. Materials and Methods

2.1. Characteristics of Soil

Standard untreated soil was used for research purposes. The soil used in the experiment was purchased from a garden supply store and represented a commercially available substrate suitable for seed sowing; characteristics of soil are presented in Table 1 and paper sludge in Table 2.
Figure 1 presents the tested paper sludge.
The heterogeneous structure of paper sludge is mainly composed of cellulose fibres. The fibres are irregularly arranged, with coloured fragments, indicating the presence of printing ink residues or pigments from recycled materials. This material exhibits a high degree of inhomogeneity, which is characteristic for a by-product of the paper industry.

2.2. Characteristics of Paper Sludge

The sludge originates from a paper mill that produces hygienic paper, mainly from recycled paper. The proportion of recycled to virgin cellulose—sourced from an external supplier—is adjusted depending on the quality and composition of the recycled input. After undergoing disintegration and deinking, the recycled paper is combined with virgin cellulose. The sludge forms as a by-product of the plant’s water treatment process, which treats water mainly from disintegration and deinking stages. Sulfate-based technology is not used in this production process. At present, the sludge is used as an additive in brick manufacturing, but this practice will cease in 2025, necessitating the development of alternative reuse strategies.
The paper sludge was obtained from a plant that processes recycled paper—in an 80:20 ratio of waste paper and pulp. Paper sludge analyzed in this study was classified as primary sludge, originating from the wastewater treatment process of a paper processing plant. The sludge was first separated in a sedimentation tank, where suspended solids settled out from the technological water. It was then mechanically dewatered using belt presses, reducing its moisture content (to approximately 52%) before being transferred to an open storage heap. The sample used for analysis was collected directly from this heap, where the sludge was temporarily accumulated before further handling or disposal.
The bulk density of the sludge was 400 kg m−3, reflecting its fibrous and porous nature. The true density of the dried sludge was 1.25 g cm−3, depending on the ratio of organic to inorganic components. The sludge contained a high proportion of fine fibrous particles, with a granulometric distribution predominantly below 0.5 mm, indicating that it was largely composed of residual cellulose and filler materials such as kaolin and calcium carbonate. The specific gravity of the sludge was 1.10, with significant water retention capacity due to its fibrous structure. The mechanical dewatering process affected the structural integrity of the sludge, resulting in a material with moderate compaction and high porosity of 68% calculated from the bulk (bulk) density of the sludge and the true (dried) density of the sludge. The moisture content at collection was 32%, decreasing to 11% after air drying at laboratory temperature. These physical characteristics are crucial in determining the sludge’s handling, processing, and potential applications (Table 2).
The relatively high porosity and fibrous consistency suggest that the material has good water absorption properties, which may influence its behavior in various industrial or environmental applications. At the time of sampling, the dry matter content of the sludge reached a maximum of 70%, reflecting its partially dewatered state. Before conducting chemical composition analysis, the sludge was air-dried at laboratory temperature and subsequently ground to ensure homogeneity. This preparation process minimized variability in composition and facilitated further testing.

2.3. Respirometric Method

In this study, we used the OxiTop® respirometric system (ACHAT OC PC communication software (WTW, Weilheim, Germany)), commonly used to measure biological oxygen demand after oxygen (BODn), adapted for soil respiration analysis. The aim was to investigate the effect of different concentrations of paper sludge on microbial activity and soil quality. The evaluation was supplemented by a seed germination analysis to comprehensively assess the contribution of paper sludge to soil quality [10]. To measure oxygen consumption in the samples, the respirometric system OxiTop® from WTW was used in accordance with ISO 16072:2002 and ISO 9831 [21,22]. The instructions for use were followed [23]. This system consists of individual reactors consisting of glass vessels of 1000 cm3, equipped with a carbon dioxide absorber. 1 M solution of sodium hydroxide was used to absorb emitted CO2, which ensured the effective removal of CO2 from the closed system. The vessels were hermetically sealed with heads with electronic pressure sensors, which enabled to monitor pressure changes during measurement [24].
Oxygen consumption measurements were carried out at the temperature of 22 °C in the thermostat, while the vessels were placed in the environment without any light. This procedure minimized the impact of photosynthesis on the results. To avoid creating anaerobic conditions, the vessels were ventilated when a pressure of 100 hPa was reached and the CO2 absorber was replaced. The OxiTop® system recorded pressure changes during the measurement, which, when recalculated, corresponded to the amount of consumed oxygen, providing accurate data on the respiration of the organisms in the samples.

2.4. Soil Respiration Testing

The soil respiration test consisted of seven samples of different concentrations of paper sludge (0%, 1%, 10%, 20%, 30%, 40%, 50% and 100% of sludge). The control sample of 0% contained clean soil without the addition of sludge. The sample of 100% comprised pure paper sludge without any soil addition. Test was carried out according to ISO 16072:2002. The number of physical replicates of soil samples was six, water content in samples was adjusted to the desired value according to the test requirements (to about 50% of their water-holding capacity). All concentrations were performed in six repetitions to ensure the reliability of the results. The experiment was conducted for 34 days in a controlled incubator environment without access of light, at a constant temperature of 22 °C, in order to minimize the influence of external factors on the results The 34-day incubation period was chosen to capture the full kinetics of soil microbial respiration, from the initial adjustment lag, through the intermediate peak activity, to the terminal decline, ensuring that a clear steady-state rate was reached in the final phase. Each reaction vessel contained an exact amount of 50 g of sample, ensuring uniform conditions for all samples. This procedure allowed for a detailed comparison of different sludge concentrations and their impact on soil properties under light-free conditions, simulating the environment underground and preventing photosynthetic processes from affecting the results.

2.5. Seed Respiration

The aim of the experiment was to monitor the respiratory activity of pea Mechelse Krombek variety (Pisum sativum L.) and cress Cressida variety (Lepidium sativum L.) seeds during germination in the environment with a mixed substrate containing different concentrations of paper sludge (0%, 1%, 10%, 20%, 30%, 40%, 50%, 100%). Pisum sativum L. and Lepidium sativum L. seeds were used in the respiratory activity test for their high germination, sensitivity to soil quality, and rapid growth cycle. These properties make them ideal bioindicators for assessing microbial activity and stress factors caused by paper sludge. The combination of both plants enables an expanded view of the interactions of different plant species with different soil conditions. The test was divided into three phases: an initial phase (day 1–2), an intermediate phase (day 3–5) and a final phase (day 6–7). In order to eliminate the influence of microbial activity of the sludge and soil, a seedless control sample was performed, the respiratory value of which was subtracted from the values of the other samples, thus obtaining data representing the net respiration of the seeds. These concentrations permit to evaluate how the presence of the tested waste material (sludge) affects the physiological processes of germinating plants. At the end of the test, the height of the plants of Pisum sativum L., germination and the length of roots and sprouts of peas were measured.
The aim of the experiment was to monitor the respiratory activity of pea (Pisum sativum L.) and cress (Lepidium sativum L.) seeds during germination in a mixed substrate containing different concentrations of paper sludge. The tested concentrations of sludge in the substrate were as follows:
  • 0% (control),
  • 1%,
  • 10%,
  • 20%,
  • 30%,
  • 40%,
  • 50%, and
  • 100%.
Pisum sativum L. and Lepidium sativum L. seeds were chosen for the respiratory activity test due to their high germination rate, sensitivity to soil quality, and rapid growth cycle. These characteristics make them ideal bioindicators for assessing microbial activity and stress factors induced by paper sludge. The combination of both species allows for a broader understanding of how different plant types interact with varying soil conditions.
The test was divided into three phases:
  • Initial phase: days 1–2,
  • Intermediate phase: days 3–5,
  • Final phase: days 6–7.
To eliminate the influence of microbial activity from the sludge and soil itself, a seedless control sample was included. Its respiratory value was subtracted from those of the seeded samples, providing data on the net respiration of the seeds. These concentration variants enabled the evaluation of how the tested waste material (paper sludge) affects the physiological processes of germinating plants. At the end of the test, several growth parameters were measured, including:
  • the height of Lepidium sativum L. plants,
  • germination rate of Pisum sativum L., and
  • the length of Pisum sativum L. roots and sprouts.

2.6. Seed Germination

The evaluation was supplemented by a seed germination analysis to comprehensively assess the contribution of paper sludge to soil quality [25]. The test consisted of eight samples of different concentrations of paper sludge (the experimental concentrations were provided in Section 2.4). All concentrations, including control sample, were performed in six repetitions to ensure the reliability and reproducibility of the results. The experiment lasted for 7 days in the incubator without access of light the constant temperature of 20 ± 2 °C, according to the requirements of the used method (Test No. 208). Each reaction vessel contained 50 g of sample.
Seeds of pea (Pisum sativum L.) and cress (Lepidium sativum L.) were used for testing. They are recommended by the Organisation for Economic Cooperation and Development and International Organisation for Standardisation (OECD) for the tests of soil and waste ecotoxicity. These plants are often used as model species in tests of ecotoxicity and germination. Each sample contained 10 pea seeds or 200 cress seeds, ensuring that there were enough seeds to produce statistically significant results. After the end of the experiment, the number of germinated pea seeds, as well as the length of their roots and sprouts, were recorded. In the case of cress, only the length of the sprouts was measured. This approach enabled us to monitor the impact of different concentrations of paper sludge on the germination and initial growth of both plants, providing important data for evaluating the potential of sludge as a soil additive.
The germination index (GI) is an important indicator of substrate quality, which evaluates the ability of seeds to germinate and grow successfully in a specific environment. In the case of paper sludge and its mixing with soil, the GI is used to assess the suitability of the substrate, prepared in this way, for plant growth. According to the general criteria, the different GI values are interpreted as follows: GI above 100% indicates a stimulating effect, 80–100% indicates well-matured compost, 60–80% is partially matured compost and values below 60% refer to immature compost that can be harmful to plants (Table 3).
Based on the germination index (GI), composts can be categorized according to their maturity and phytotoxic potential. Composts with a GI value above 100% exhibit a stimulating effect, indicating not only the absence of phytotoxicity but also potential for promoting plant growth. GI values between 80 and 100% represent well-matured composts, which are considered optimal and safe for use in gardening and agricultural applications. Partially matured composts fall within the GI range of 60–80%, and although they may still be used in the garden, a certain degree of caution is advised due to residual phytotoxicity. Composts with GI values below 60% are considered immature and unsuitable for application in plant cultivation, as they may harm plant development due to the presence of toxic substances or incomplete decomposition.

2.7. Calculations

2.7.1. Soil Respiration

B A = M R ( O 2 ) R × T × V f r m B t × p ,
  • BA—soil respiration [in mg O2 kg−1 d.m. of soil] (d.m. = dry mass)
  • MR(O2)—molar mass of oxygen = 32,000 mg·mol
  • Vfr—free gas volume [in dm−3]
  • R—general gas constant = 8.314 J·K−1·mol−1
  • T—measuring temperature [in K]
  • mBt—mass of dry soil sample in the measuring vessel [in kg]
  • Δp—reduction in pressure of the measuring preparation [in mbar].
The volume of free gas was determined on the basis of the following formula:
V f r = V g e s V A G V A M V B f ,
  • Vges—total volume of headspace enclosed in the measuring vessel [dm−3]
  • VAG—characteristic volume of the vessel for the absorbing agent [dm−3]
  • VAM—characteristic volume of the absorbent [dm−3]
  • VBfe—volume of moist soil [dm−3].

2.7.2. Germination Index

G I = G E × L E G C × L C × 100
  • GI—Germination Index
  • GE—Germination in Experimental Substrate
  • LE—Length in Experimental Substrate
  • GC—Germination in Control Substrate
  • LC—Length in Control Substrate.

2.8. Statistical Analysis

A one-way ANOVA enables us to determine whether the variability of the outcomes is due to chance or to effect of investigated factor. By any words this technique is used to estimate how the mean of a quantitative (dependent) variable changes according to the levels of categorical variable called factor.
If MS effect is significantly greater than MS error, then the null hypothesis is rejected in favor of the alternative hypothesis—de facto the given factor is responsible for differences among sample means. Subsequently, Duncan and HSD post hoc tests of multiple comparison were applied to identify significant pairwise differences.
In all tests 5% level of significance was used. The analyses were carried out using statistical software STATISTICA 14 developed by TIBCO Software 14.0.0.

3. Results

3.1. Respiration Assessment

3.1.1. Oxygen Consumption

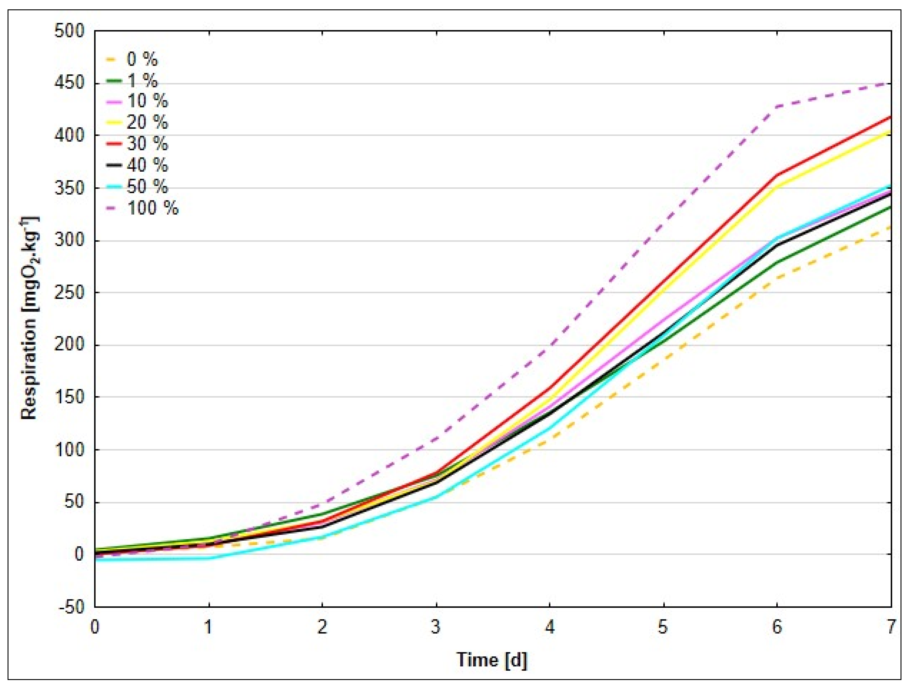
The data obtained by the OxiTop® OC110 Controller (ACHAT OC PC communication software (WTW, Weilheim, Germany) (Figure 2) show changes in respiratory activity, which were divided into three phases: the initial phase (day 0–10), the intermediate phase (day 11–20) and the final phase (day 21–34).
  • Initial phase (day 0–10)
At the beginning of the experiment, oxygen consumption was low in all samples, with differences depending on the percentage of paper sludge. The control sample (0%) showed a low and stable oxygen consumption (15.7–136 mg O2 kg−1), typical for soils without organic material suitable for microbial decomposition.
Samples with the addition of sludge (10% or more) had a higher respiratory activity, which increased with the sludge content. The highest activity was shown by the sample with 50% sludge (338 mg O2 kg−1) during the first five days, but later it was exceeded by the samples with 30% and 40% sludge.
  • Intermediate phase (day 11–20)
The control sample (0% of sludge) and the 1% sludge sample showed low and stable oxygen consumption during the intermediate phase, reaching maximum values on day 20 (294 mg O2 kg−1 and 382 mg O2 kg−1). This trend corresponds to a low content of organic material.
  • Final phase (day 21–34)
In the final phase of the experiment, oxygen consumption decreased in most samples, indicating the end of intensive microbial activity. The most pronounced reduction between days 29 and 34 was observed in the 10% and 20% sludge samples. The control sample (0%) and the 1% sludge sample maintained low and stable cumulative oxygen consumption throughout the test period, reaching 486 mg O2 kg−1 and 495 mg O2 kg−1, respectively, at day 34. The highest oxygen consumption was measured in the 40% sludge sample (1942 mg O2 kg−1), followed by the 50% sample (1898 mg O2 kg−1) and the 30% sample (1857 mg O2 kg−1). From day 29, the 50% sample slightly exceeded the 30% sample. The 100% sludge sample exhibited delayed but gradual oxygen consumption, reaching 1346 mg O2 kg−1 at day 34. Figure 3 illustrates the microscopic view of molds/fungi grown on paper sludge and in soil.

3.1.2. Respiration of Cress (Lepidium sativum L.)

The data obtained by the OxiTop system (Figure 4) show changes in the respiratory activity, which were divided into three phases: the initial phase (day 0–2), the intermediate phase (day 3–5) and the final phase (day 6–7).
  • Initial phase (day 0–2)
In the first days of the experiment, oxygen consumption was low in all samples (on average 10.3 mg O2 kg−1), reflecting the early germination stage associated with water absorption and enzyme activation. The measured values show evolution of respiration was similar in most samples, while the sample with 20% sludge showed the highest oxygen consumption and the sample with 10% sludge showed the lowest [28].
The first significant increase in respiration occurred at the end of the first day. An interesting finding is that higher concentrations of sludge, which showed lower growth in later stages, did not show lower respiratory activity at this stage.
  • Intermediate phase (day 3–5)
The sample with 20% sludge achieved the highest respiratory activity (on average 254.5 mg O2 kg−1) and the greatest plant height (7 cm, Table 4), suggesting that this concentration provides optimal conditions for germination due to better access to nutrients and moisture. Conversely, at higher concentrations of sludge (40% and more), respiratory activity remained high, but plant growth was lower as we can see in Figure 4.
The 50% sludge sample showed lower oxygen consumption than the 20% sludge sample and achieved only 5 cm of growth. At 100% sludge, respiration was still high, but plant growth (5 cm, Table 4) was again limited, which points to the negative impact of too high sludge concentrations on metabolic activity and plant development.
  • Final phase (day 6–7)
In the final germination stage, respiratory test began to stabilize and slow down in all samples, reflecting the plants transition from intensive germination to root and leaves growth phase. Samples with sludge concentrations up to 20% maintained stable growth and effective respiratory activity, indicating healthy conditions for growth. On the contrary, higher concentrations of sludge (50% and 100%) showed limited growth (5 cm, Table 4) and respiratory activity decrease that indicated stressful conditions.
The results show that sludge concentrations between 1% and 20% are optimal for germination and growth, while 20% sludge brings the best results in terms of both respiratory activity and plant height (Table 4). Samples 20% and 30% had good plant growth (6.5 cm and 7 cm, Table 4), but visual assessment of the plants revealed reduced germination, but this observation could not be statistically substantiated as it was not possible to count germinated and ungerminated seeds due to their high number per individual sample (200 pcs).

3.1.3. Respiration of Germinating Seeds of Pea (Pisum sativum L.)

As with cress, the experiment showed differences in oxygen consumption in soil suspension with different concentrations of paper sludge during its germination. As in the previous test, the period was divided into 3 phases.
  • Initial phase (day 0–2)
Within the initial phase of germination, respiratory was low and relatively balanced in all samples. It is characteristic for the initial stage of germination, when seeds soak up water and activate enzymes. The presence of paper sludge during this period did not have a significant effect on the enzymatic activity of the seeds.
The first differences in respiratory activity appeared at the beginning of the second day. The sample with 100% of sludge showed a sharp increase (Figure 5), while the samples with 0% and 50% of sludge indicated the lowest values, on average 16.2 mg O2 kg−1. Especially in the sample with 50% of sludge, negative values of respiration were observed. It implies possible production of gases, probably biogas, caused by microbial activity in interaction with seeds.
  • Intermediate phase (day 3–5)
During the intermediate phase of germination, considerable increase of oxygen consumption in most samples occurred. It is related to the peak of metabolical activity. Samples with intermediate sludge concentrations (20% and 30%) showed the most favourable conditions for germination while observing a steady increase in respiratory activity. They showed the most favourable conditions for germination while noting a steady increase in respiratory activity. A sample with 20% of sludge achieved a germination rate of 90% with a root of length of 2.4 cm and a sprout of 1.5 cm (Table 5), while a sample with 1% of sludge, at 100% germination, also showed high respiratory activity, suggesting that lower concentrations of sludge promote germination and growth due to better nutrient availability.
On the contrary, extreme concentrations of sludge (100%) showed the highest respiratory activity (155.2 mg O2 kg−1), but germination (60%) and growth were the lowest (root of 2 cm, sprout of 0.8 cm). This condition points to stressful conditions caused by high sludge content, which lead to increased respiratory activity in response to stress, but at the expense of effective growth. Such a phenomenon is typical for stressful situations when plants spend more energy on coping with adverse factors, which inhibits their growth and development.
  • Final phase (day 6–7)
In the final phase of the experiment, oxygen consumption was stabilized in most of the samples, which corresponds to the transition of plants to the stage of growth of roots and above-grounded parts. The sample with 100% of sludge showed the highest respiratory activity, although there was a slight decrease on the seventh day, probably due to stress caused by the high concentration of sludge. Lower sludge concentrations (20 and 30%) ensured stable respiratory activity and satisfactory germination (70–90%), with better roots and sprouts growth (Figure 5). Higher concentrations (50% and more) caused increased respiratory activity but limited the growth of the root system and sprouts.

3.2. Statistical Analysis—Length of Cress Sprout (Lepidium sativum L.)

The length of cress sprout is significantly different at individual factor levels (p = 0.000). The testing results are presented in Table 6.
The 95% confidence intervals for the mean length of cress sprout at individual paper mill sludge levels are shown in Figure 6.
The post hoc testing results presented in Table 7 provide a more detailed pairwise comparison. Based on the corresponding p-values, we can observe that the mean length at a paper mill sludge content of 20% is the highest and differs significantly (p < 0.05) from the rest.

3.3. Statistical Analysis—Length of Pea Roots

Table 8 shows the ANOVA results for pea root length. At 5% decision rule of testing the length of pea roots differs significantly (p = 0.000) at individual levels of the factor, which is content of paper mill sludge.
Based on the 95% interval estimates illustrated in Figure 7, it is evident that the average length of pea roots at sludge levels 0% and 1% reaches higher values than the rest.
Significantly greater lengths of pea roots at paper mill sludge content 0% and 1% compared to the rest were confirmed by post hoc test. The results are presented in Table 9. All p-values at the level 0% and 1% are less than the test significance level α = 0.05.

3.4. Statistical Analysis—Leng of Pea (Pisum sativum L.) Sprout

In the case of pea (Pisum sativum L.) sprout length, the test results also confirmed the significant influence of the investigated factor. Pea sprout lengths differ significantly (p = 0.000) at individual sludge content levels (Table 10).
The highest values of sprout length were recorded at a sludge content 1%, which is also reflected in the interval estimate illustrated in Figure 8. Higher values were observed even at level of paper mill sludge 40%.
Whether there is a significant difference between paper mill sludge levels of 1% and 40% was tested in post hoc testing. The p-value of 0.078 did not confirm the significance of the difference. The length of pea sprouts at 1% and 40% sludge levels can be considered of equal length. The difference observed is the result of natural variation in the data. It is not an impact associated with the effect of the investigated factor (Table 11).

3.5. Germination Index of Pea (Pisum sativum L.)

The calculation of the germination index was not determined for cress (Lepidium sativum L.), as it was not feasible due to the large number of seeds used in the sample (200 pcs per sample). Based on the measurements performed, the following distribution of germination indices was achieved for different concentrations of paper sludge when using peas (Pisum sativum L.):
  • 1% of paper sludge
A sample with 1% of sludge achieved the GI value of 150% (Table 12), pointing out a stimulation effect of low concentration of sludge on germination. This concentration offers sufficient nutrients and improves slightly the soil structure and availability of micronutrients. Thus, the optimal conditions for germinability and initial growth are created, with no ecotoxic effects.
  • 10%, 20%, 30%, and 50% of paper sludge
These samples achieved GI values between 60% and 80%, indicating mild inhibitory factors, probably a combination of organic matter and microbial activity. These concentrations create moderately suitable conditions that can be used for certain applications but may not be optimal for sensitive plants.
  • 40% of paper sludge
A sample with 40% of sludge reached GI of 93%, which corresponds to well-matured compost. This concentration ensures a balance between nutrients and microbial activity, without significant negative impact. The results suggest that 40% concentration is suitable for growing plants that can tolerate moderate stress conditions.
  • 100% of paper sludge
The sample with 100% sludge achieved the lowest GI value (42%), which ranks it as an immature compost. A high concentration of sludge causes toxic conditions or microbial stress, which negatively affects respiratory activity and germination. Organic matter binds oxygen when decomposed, which limits the ability of seeds to germinate effectively.

4. Discussion

4.1. Influence of Paper Sludge Concentration on Soil Respiration

In accordance with the results published by [29], which emphasize that dissolved organic matter (DOM) is the most active fraction during composting and its degradability gradually decreases due to the depletion of easily degradable compounds and the accumulation of aromatic components [29], we observed a similar trend in samples with varying sludge content. The declining trend of oxygen consumption at the end of the test in most of our samples likely reflects the exhaustion of simpler organic compounds that are rapidly metabolized by microorganisms. A more pronounced decrease in oxygen consumption in those samples containing 10% and 20% sludge suggests faster degradation of easily accessible organic compounds, corresponding to the predominance of the labile, hydrophilic fraction of DOM [29].
Conversely, samples with a higher sludge content (40% and 50%) exhibited increased and prolonged microbial activity, which may indicate the presence of a larger amount of more complex but still biodegradable organic substances supporting long-term respiration. The delayed increase in oxygen consumption in the 100% sludge sample can be explained by the high sludge density and the absence of original soil microbial communities, which could have slowed the initial microbial adaptation; however, the presence of more complex organic substances allowed a gradual increase in respiration over time.
These findings thus complement and extend the DOM degradation mechanisms described by Pullicino and Gigliotti, emphasizing the importance of sludge concentration on the dynamics of microbial activity and oxygen consumption during composting [29].
One of the main results was a finding that microbial activity increased with the concentration of paper sludge, as evidenced by soil respiration. This trend confirms that the organic matter content of the sludge supports microbial metabolism, which is a desirable property from the standpoint of waste biodegradability as stated by Liu [30]. Cited authors also state that in comparison to chemical fertilizer, organic amendments significantly increased total microbial biomass, bacterial biomass (including Gram-positive and Gram-negative bacteria), fungal biomass, and the biomass of Gram-positive and Gram-negative bacteria. The sample with 40% of sludge achieved the highest respiratory activity at the end of the experiment, which indicates its sufficient content of organic material to support long-term microbial activity, as well as the appropriate structure of the paper sludge and soil mixture, which provided sufficient oxygen access to the deeper layers of the sample. Soil structure is a very important factor that influences the diffusion of gases and thus the availability of oxygen in soil layers as reported by Neira et al. [31] and Ball [32]. This result is consistent with the work of Kusumarini et al. (2022) [33], which states that an adequate amount of organic waste can stimulate microbial activity in the soil and improve its fertility.
From the perspective of waste management, this result is relevant because it shows that a substantial portion of paper sludge can be biologically stabilized through soil processes, without the need for energy-intensive incineration or long-term landfilling. The increased respiration rate demonstrates a natural pathway for organic matter mineralization, making land application a viable route for sludge disposal in a circular system [33].
This approach minimizes landfilling, reduces greenhouse gas emissions from traditional disposal methods, and promotes the restoration of soil organic carbon. At the same time, this process can be a solution for companies trying to achieve goals of zero-waste and lower carbon footprint, making paper sludge an example of implementing circular strategies in the industry [34].
The results indicate that low concentrations of paper sludge (1–20%) can be applied to soil without triggering harmful effects, supporting aerobic microbial activity and allowing for controlled degradation of organic matter, which is consistent with the findings of Kusumarini et al. [35]. These conditions facilitate the biological stabilization of the sludge, which is essential for its use as an environmentally sustainable disposal method. Concentrations above 20% began to show inhibitory effects, like in the work by A. Singh [36].
On the other hand, samples with higher concentration of sludge, especially 50% and 100%, showed that excessive microbial activity leads to rapid oxygen depletion as reported by Siedt [37] and the formation of potentially toxic metabolites. This was also reflected in reduced germination and slower plant growth, which was also evident from the low germination index value (42%). This phenomenon can be attributed mainly to anaerobic conditions caused by compaction of the substrate, by lack of oxygen. Similar results were found also in studies on the impact of high doses of organic waste on soil microflora, where it was shown that excessive microbial activity can create inhibitory conditions for plant growth [36]. Ballast substances, especially calcium carbonate, may affect the availability of water and nutrients in the soil, which may influence the germination process. Samples with higher concentrations of sludge contained more ballast substances that could create physical barriers for roots and sprouts, thus negatively affecting their development; therefore, the content of inert materials must be considered when evaluating paper sludge for land application [38].
Samples with higher sludge content showed a peak of respiratory activity in the intermediate phase. Until day 16, the values for samples with 20% and 50% sludge were similar, but the sample with 50% sludge later showed higher values, probably due to the longer adaptation time of microorganisms to high concentrations of organic material [39].
The highest values of respiratory activity (up to 1487 O2 kg−1) were recorded in the samples containing 30% and 40% sludge, which created optimal conditions for microbial decomposition. It has been found that with decreasing concentrations of dissolved organic matter, increased oxygen availability in the soil regulates the composition of dissolved organic matter and enhances its biodegradability, primarily by influencing microbial metabolism and iron oxidation [31].
These differences show a complex interaction between the availability of organic substances, the ability of microorganisms to adapt and oxygen access, while optimal conditions were achieved in the samples with 30% and 40% sludge.
The addition of paper sludge at concentrations of 10% and higher resulted in increased respiratory activity, with the intensity of respiration generally rising alongside the sludge content. The sample containing 50% sludge exhibited the highest oxygen consumption (338 mg O2 kg−1) during the initial five days, indicating enhanced microbial activity driven by the presence of readily degradable organic compounds. However, in the later stages of the test, samples with 30% and 40% sludge surpassed the 50% variant in terms of respiratory activity.
This shift may be attributed to the inhibitory effects associated with excessive microbial activity at higher sludge concentrations. Intense microbial metabolism in substrates with a high sludge content can lead to the accumulation of phytotoxic intermediates, such as volatile organic acids or ammonia, as well as physical deterioration of the substrate structure. Specifically, sludge-rich substrates may experience compaction and reduced porosity, which restrict oxygen diffusion and limit microbial activity in the later stages of decomposition [40,41].
In contrast, the sample composed entirely of sludge (100%) demonstrated markedly lower respiratory activity throughout the test. This was likely due to a limited population of indigenous microorganisms capable of efficiently degrading the organic matter present in the sludge. Previous studies have shown that undiluted sludge may lack the microbial diversity or enzymatic capacity necessary for effective organic matter mineralization, especially under conditions of poor aeration and high pollutant load [42,43,44].
These observations highlight the complexity of microbial responses to varying sludge concentrations and emphasize the need to balance organic input with the biological and physical conditions required to sustain decomposition processes without inducing toxicity or oxygen limitation. The observed outcomes underscore the importance of establishing safe application thresholds, as sludge concentration strongly influences both the rate of decomposition and the potential ecological impact.

4.2. Effect of Paper Sludge Concentration on the Respiration of Germinating Seeds and Growth

Respiration of germinating seeds is an essential indicator of metabolic activity, which affects the ability of seeds to grow and develop the measurement of germination and seed respiration was as a biological sensitivity test to evaluate the potential risks associated with paper sludge application in soil environments [45]. The results of this study showed that lower sludge concentrations (1% and 10%) did not negatively affect seed respiration or germination. In fact, the sample with 1% sludge achieved the highest germination index (150%), suggesting that at low levels, paper sludge does not pose a toxic effect on germinating seeds, and may even provide a modest stimulus due to microbial stimulation and trace nutrient availability. Mutual interactions among microorganisms and germinating plants are a significant factor in the germination process and subsequent development of plants and can be positive or negative [35,46]. This positive effect can be explained by increased nutrients availability and better soil structure, which enables better gas exchange and water transport [47].
However, higher concentrations of sludge (50% and 100%) had a clearly negative impact on germination and seedling development. While the 100% sludge sample exhibited elevated microbial respiration (as observed in soil tests), the high microbial activity was likely accompanied by oxygen depletion and increased CO2 levels, leading to respiratory stress in seeds. High levels of CO2 in the soil negatively affect plant germination as reported in a study by Wenmei He [48]. Large amounts of paper sludge likely created unsuitable or toxic conditions or bound oxygen, limiting the availability of oxygen to the seeds and reducing their growth. As reported by Norris and Titshall [49], the application of paper sludge to soil can cause a slight decrease in germination, especially at higher concentrations, which is attributed to the high electrical conductivity (EC) of the sludge, or a study where the germination of seeds watered with paper sludge infusion was assessed [50]. This is also confirmed by observations where pea seeds showed low germination and limited growth of roots and sprouts. Ballast substances, especially calcium carbonate, may have affected the availability of water and nutrients in the soil, which may have affected the germination process [51]. Samples with higher concentrations of sludge contained more ballast substances that could create physical barriers for roots and sprouts, thus negatively affecting their development.
These findings are crucial when considering land application of paper sludge as a disposal method, because they highlight the importance of concentration limits to avoid ecological stress and ensure safe application. Germination and seed respiration thus serve as sensitive bioindicators for identifying thresholds beyond which the material could have unintended environmental effects.
During the middle phase of the experiment, an increase in oxygen consumption was observed in the respiration of cress (Lepidium sativum L.), typical of peak metabolic activity during germination. This was accompanied by the active decomposition of storage substances and intensive growth of roots and shoots. The average height of the plants began to vary among the samples, indicating different metabolic responses to the presence of sludge. Higher sludge concentrations may contain substances or properties that prevent effective germination, reduce respiratory efficiency, and limit the growth, possibly due to the presence of toxic substances or excessive amounts of certain ingredients. During final phase (day 6–7) for seeds of pea (Pisum sativum L.), microscopic fungi moulds and fungi were formed on the samples, indicating the presence of microbial contaminants in the substrates containing paper sludge. These microorganisms may have had a negative impact on the germination and growth of seeds, which highlights the importance of assessing microbial activity when using such substrates.

4.3. Microbial Contamination and Its Consequences

The study revealed the presence of the growth of microscopic fungi in the samples with sludge, suggesting that paper sludge naturally contains microorganisms that can affect the soil microbial community and plant physiology. These microorganisms, often identified also in other studies, have the potential to negatively affect plant germination and growth.
While microbial growth may initially raise concerns regarding hygienic safety and potential phytopathogenic effects, it also reflects the biological activity and decomposition potential of the material. Certain fungal species—filamentous fungi (these are known as white-rot fungi) have been shown to possess lignocellulolytic abilities, contributing to the breakdown of complex organic substrates, such as cellulose and lignin, which are abundant in paper sludge [52]. These microorganisms could be purposefully cultured in composting or bio-remediation practices, reducing the risk of pathogenic effects and increasing the efficiency of decomposition. This approach would support innovative solutions in the field of industrial waste treatment.
The detection of microbial contamination on germinated seeds points to a possible risk for applications of paper sludge as a soil additive. The presence of these microorganisms can pose a challenge to plant health and the overall stability of ecosystems, especially in situations where conditions are suitable for their multiplication. According to the study [50], the leachate of paper sludges and water from sludge dewatering had a slightly negative effect on the germination of cress (Lepidium sativum L.) and lettuce (Lactuca sativa L.) seeds, with germination rates ranging from 83.3% to 100%. The presence of moulds and fungal growth in sludge samples further highlights the need to monitor microbial activity during application. While microbial presence is crucial for decomposition, it must be managed to prevent phytotoxicity or microbial competition.

4.4. Potential Application and Sustainability

The results of this study indicate that land application of paper sludge offers a feasible and potentially sustainable strategy for its disposal, particularly at low concentrations (1–20%). The benefits to crops have been demonstrated emphatically, while negative ecological impacts under typical field application rates have not been observed [3]. This approach not only reduces the volume of sludge destined for incineration or landfilling but also supports natural biodegradation pathways by utilizing soil microbial communities to decompose organic matter present in the sludge. However, certain carefulness is necessary for higher concentrations, as excessive microbial activity can create unfavourable conditions for plant growth. The proper ratio of paper mill sludge to other components has previously proven to be a necessary condition for the composting of paper mill sludge, as evidenced by increased metabolic activity [53].
At concentrations of 30–40%, intense microbial respiration was maintained for several weeks, indicating active biodegradation, which is essential for the stabilization and mineralization of sludge components. Soil in this context does not serve as a medium for improving agriculture, but as a bioreactive environment enabling the transformation of organic waste.
However, high sludge concentrations (e.g., 50%) have been associated with excessive microbial activity, leading to oxygen depletion and potentially phytotoxic conditions. According to the study [54] an increase in sludge concentration led to a decrease in dissolved oxygen. Conversely, a reduction in sludge concentration promoted algal growth but also forced bacteria to rely on the oxygen produced by the algae for their survival. These findings underscore the importance of defining safe application thresholds. Concentrations ranging from 1 to 10% have been shown to prevent such adverse effects while still promoting microbial degradation and are suitable for immediate planting after sludge application to soil.
To mitigate the temporary effects of increased biological oxygen demand, especially at intermediate concentrations, a delayed planting interval (e.g., 21 days) may be recommended to allow the microbial community to stabilize and avoid stress in plant systems. This was supported by the observed decrease in oxygen consumption in the samples after three weeks, indicating that the most intensive phase of decomposition had passed, a conclusion also reached by O’Brien et al. [55]. When applying paper sludge to soil, the content of ballast substances, especially calcium carbonate and kaolin, should be taken into account, which can alter soil structure and affect nutrient bioavailability [56].

5. Conclusions

The first significant increase in respiration occurred at the end of the first day. An interesting finding is that higher concentrations of sludge, which showed lower growth in later stages, did not show lower respiratory activity at this stage.
The highest germination index for field pea (150%) was recorded at 1% concentration, indicating optimal conditions for germination and early plant growth, higher sludge concentrations caused stressful conditions. The 100% concentration caused low germination (42%) and relatively high respiratory activity, indicating excessive microbial activity, oxygen deficiency and stressful conditions for the plants; this was also true for watercress where concentrations above 30% caused increased respiratory activity but reduced overall growth.
The microbial activity associated with paper sludge had a negative impact on the germination and growth of seeds, pointing to the need to control microbial factors in its use. These findings highlight that the effectiveness of sludge depends on its concentration and a thorough assessment of its composition. It is necessary to set the optimal ratio of sludge to soil, especially for more sensitive plants. For watercress, it is up to 30% sludge and for peas, only around 1%, as they are much more sensitive. The application of higher doses of sludge is possible in case of a delay in sowing by at least 21 days, since in the soil respiration test, oxygen consumption began to decrease after this date, which indicates that the intensive phase of degradation has ended.
Overall, the study demonstrates that controlled land application of paper sludge at appropriate concentrations offers a viable strategy for its environmentally sound and cost-effective disposal. This method reduces dependency on incineration and landfilling, aligns with circular economy principles, and promotes the reuse of organic industrial by-products. However, implementation requires careful evaluation of sludge composition, microbial dynamics, and concentration-dependent effects to ensure environmental safety and regulatory compliance.

Author Contributions

Conceptualization, A.P.; methodology, A.P. and D.S.; software, A.P.; validation, A.P., J.P. and D.S.; formal analysis, J.S.; investigation, A.P.; resources, A.P., M.S. (Marián Schwarz) and D.S.; data curation, A.P. and D.V.; writing—original draft preparation, A.P.; writing—review and editing, A.P., J.P., D.S., D.V. and M.S. (Michal Sečkár); visualization, A.P.; supervision, D.S. and M.S. (Michal Sečkár); project administration, A.P. All authors have read and agreed to the published version of the manuscript.

Funding

The work was created with the support of the VEGA project No. 1/0524/23 “Assessment of biodegradation in terms of the energy potential of waste”. The work was created with the support of the project Comprehensive research of determinants for ensuring environmental health (ENVIHEALTH), ITMS 313011T721 supported by the Operational Programme Integrated Infrastructure (OPII) funded by the ERDF.

Institutional Review Board Statement

Not applicable.

Informed Consent Statement

Not applicable.

Data Availability Statement

The original contributions presented in the study are included in the article; further inquiries can be directed to the corresponding author.

Acknowledgments

We thank the Technical University in Zvolen, the VEGA project No. 1/0524/23 “Assessment of biodegradation in the terms of the energy potential of waste” and the project Comprehensive research of determinants for ensuring environmental health (ENVIHEALTH), ITMS 313011T721 supported by the Operational Programme Integrated Infrastructure (OPII) funded by the ERDF.

Conflicts of Interest

The authors declare no conflicts of interest.

References

  1. Yang, Z.; Chen, H.; Du, L.; Lu, W.; Qi, K. Exploring the Industrial Solid Wastes Management System: Empirical Analysis of Forecasting and Safeguard Mechanisms. J. Environ. Manag. 2021, 279, 111627. [Google Scholar] [CrossRef] [PubMed]
  2. Quintana, E.; Valls, C.; Roncero, M.B. Valorization of Waste Paper Sludge as a Sustainable Source for Packaging Applications. Polym. Bull. 2024, 81, 9321–9345. [Google Scholar] [CrossRef]
  3. Turner, T.; Wheeler, R.; Oliver, I.W. Evaluating Land Application of Pulp and Paper Mill Sludge: A Review. J. Environ. Manag. 2022, 317, 115439. [Google Scholar] [CrossRef]
  4. Kumar, V.; Verma, P. Pulp-Paper Industry Sludge Waste Biorefinery for Sustainable Energy and Value-Added Products Development: A Systematic Valorization towards Waste Management. J. Environ. Manag. 2024, 352, 120052. [Google Scholar] [CrossRef]
  5. Jung, Y.-J.; Lee, H.-T. Sludge Disposal Analysis of Sanitary Paper Manufacturing Wastewater Treatment Plant. J. Wetl. Res. 2013, 15, 471–476. [Google Scholar] [CrossRef][Green Version]
  6. Pervaiz, M.; Sain, M. Recycling of Paper Mill Biosolids: A Review on Current Practices and Emerging Biorefinery Initiatives. Clean. Soil Air Water 2015, 43, 919–926. [Google Scholar] [CrossRef]
  7. Bajpai, P. Management/Utilization of Wastewater Treatment Sludges. In Biotechnology for Pulp and Paper Processing; Bajpai, P., Ed.; Springer: Boston, MA, USA, 2012; pp. 349–373. ISBN 978-1-4614-1409-4. [Google Scholar]
  8. Monte, M.C.; Fuente, E.; Blanco, A.; Negro, C. Waste Management from Pulp and Paper Production in the European Union. Waste Manag. 2009, 29, 293–308. [Google Scholar] [CrossRef]
  9. Abdullah, R.; Ishak, C.F.; Kadir, W.R.; Bakar, R.A. Characterization and Feasibility Assessment of Recycled Paper Mill Sludges for Land Application in Relation to the Environment. Int. J. Environ. Res. Public Health 2015, 12, 9314–9329. [Google Scholar] [CrossRef] [PubMed]
  10. Zhang, A.; Shen, J.; Ni, Y. Anaerobic Digestion for Use in the Pulp and Paper Industry and Other Sectors: An Introductory Mini Review. BioResources 2015, 10, 1–20. Available online: https://bioresources.cnr.ncsu.edu/ (accessed on 4 September 2025). [CrossRef]
  11. Pang, D.; Mao, Y.; Jin, Y.; Song, Z.; Wang, X.; Li, J.; Wang, W. Review on the Use of Sludge in Cement Kilns: Mechanism, Technical, and Environmental Evaluation. Process Saf. Environ. Prot. 2023, 172, 1072–1086. [Google Scholar] [CrossRef]
  12. Li, A.; Han, H.; Zheng, K.; Zhu, M.; Xu, K.; Xu, J.; Jiang, L.; Wang, Y.; Su, S.; Hu, S.; et al. Sludge Pyrolysis Integrated Biomass Gasification to Promote Syngas: Comparison of Different Biomass. Sci. Total Environ. 2024, 908, 168278. [Google Scholar] [CrossRef]
  13. Manea, E.E.; Bumbac, C. Sludge Composting—Is This a Viable Solution for Wastewater Sludge Management? Water 2024, 16, 2241. [Google Scholar] [CrossRef]
  14. Zoghlami, R.I.; Toukabri, W.; Boudabbous, K.; Hechmi, S.; Barbouchi, M.; Oueriemmi, H.; Moussa, M.; Bahri, H. Assessment of Earthworm Viability and Soil Health after Two Years of Raw and Composted De-Inking Paper Sludge Amendment. Agriculture 2023, 13, 547. [Google Scholar] [CrossRef]
  15. Liu, B.; Chen, X.; Wu, L.; Chen, M.; Zhou, K.; Peng, L. The Reuse of Pulp and Paper Mill Sludge: As a Soil Amendment. In Proceedings of the 5th International Conference on Environmental Engineering and Applications (ICEEA 2015), Phuket, Thailand, 23–24 August 2015; Atlantis Press: Paris, France; pp. 1231–1237. [Google Scholar]
  16. Kızılkaya, R.; Bayraklı, B. Effects of N-Enriched Sewage Sludge on Soil Enzyme Activities. Appl. Soil Ecol. 2005, 30, 192–202. [Google Scholar] [CrossRef]
  17. Liao, X.; Li, H. Biogas Production from Low-Organic-Content Sludge Using a High-Solids Anaerobic Digester with Improved Agitation. Appl. Energy 2015, 148, 252–259. [Google Scholar] [CrossRef]
  18. Hartmann, H. Anaerobic Digestion of the Organic Fraction of Municipal Solid Waste with Recirculation of Process Water. Ph.D. Thesis, Technical University of Denmark, Lyngby, Denmark, 2003. [Google Scholar]
  19. Meyer, T.; Amin, P.; Allen, D.G.; Tran, H. Dewatering of Pulp and Paper Mill Biosludge and Primary Sludge. J. Environ. Chem. Eng. 2018, 6, 6317–6321. [Google Scholar] [CrossRef]
  20. Shi, P.; Qin, Y.; Liu, Q.; Zhu, T.; Li, Z.; Li, P.; Ren, Z.; Liu, Y.; Wang, F. Soil Respiration and Response of Carbon Source Changes to Vegetation Restoration in the Loess Plateau, China. Sci. Total Environ. 2020, 707, 135507. [Google Scholar] [CrossRef]
  21. ISO 9831:1998; Animal Feeding Stuffs, Animal Products, and Faeces or Urine—Determination of Gross Calorific Value—Bomb Calorimeter Method. ISO: Geneva, Switzerland, 1998. Available online: https://www.iso.org/standard/17702.html (accessed on 13 January 2025).
  22. ISO 16072:2002; Soil Quality—Laboratory Methods for Determination of Microbial Soil Respiration. ISO: Geneva, Switzerland, 2002. Available online: https://www.iso.org/standard/32096.html (accessed on 13 December 2024).
  23. Xylem Analytics. OxiTop-IDS® B 6 Measuring System for Soil Respiration—WTW. Available online: https://www.xylemanalytics.com/en/general-product/id-1577/oxitop%C2%AE-ids-b-6-measurement-system-for-soil-respiration---wtw (accessed on 13 December 2024).
  24. Platen, H.; Wirtz, A. AR_BOD_soils Solids.3, Low Activity_Lab_01_E. Internal Laboratory Protocol. Available online: https://www.xylemanalytics.com/en/File%20Library/Resource%20Library/WTW/09%20Application%20Papers/AR_BOD_soils-solids.3--low-activity_lab_01_E.pdf (accessed on 1 January 2024).
  25. Platen, H.; Wirtz, A. Measurement of the Respiration Activity of Soils Using the OxiTop Control Measuring System. Basic Principles and Process Characteristic Quantities. Giess. Friedberg 1999, 3, 1–16. [Google Scholar]
  26. Kebrom, T.H.; Woldesenbet, S.; Bayabil, H.K.; Garcia, M.; Gao, M.; Ampim, P.; Awal, R.; Fares, A. Evaluation of Phytotoxicity of Three Organic Amendments to Collard Greens Using the Seed Germination Bioassay. Environ. Sci. Pollut. Res. 2019, 26, 5454–5462. [Google Scholar] [CrossRef]
  27. Luo, Y.; Liang, J.; Zeng, G.; Chen, M.; Mo, D.; Li, G.; Zhang, D. Seed Germination Test for Toxicity Evaluation of Compost: Its Roles, Problems and Prospects. Waste Manag. 2018, 71, 109–114. [Google Scholar] [CrossRef]
  28. Cornaggia, M.P.; Marrè, E. Rapporti Tra Assunzione D’acqua, Metabolismo e Sintesi Di Enzimi Nell’endosperma Di Semi Germinanti Di Ricinus Communis. G. Bot. Ital. 1964, 71, 515–516. [Google Scholar] [CrossRef]
  29. Said-Pullicino, D.; Gigliotti, G. Oxidative Biodegradation of Dissolved Organic Matter during Composting. Chemosphere 2007, 68, 1030–1040. [Google Scholar] [CrossRef]
  30. Liu, W.; Yang, Z.; Ye, Q.; Peng, Z.; Zhu, S.; Chen, H.; Liu, D.; Li, Y.; Deng, L.; Shu, X.; et al. Positive Effects of Organic Amendments on Soil Microbes and Their Functionality in Agro-Ecosystems. Plants 2023, 12, 3790. [Google Scholar] [CrossRef]
  31. Neira, J.; Ortiz, M.; Morales, L.; Acevedo, E. Oxygen Diffusion in Soils: Understanding the Factors and Processes Needed for Modeling. Chil. J. Agric. Res. 2015, 75, 35–44. [Google Scholar] [CrossRef]
  32. Ball, B.C. Soil Structure and Greenhouse Gas Emissions: A Synthesis of 20 Years of Experimentation. Eur. J. Soil Sci. 2013, 64, 357–373. [Google Scholar] [CrossRef]
  33. Kusumarini, N.; Putranto, A.W.; Agustina, C.; Wahab, A.A. Potensi Sludge Industri Kertas sebagai Bahan Pembenah Tanah Organik. J. Tanah Dan. Sumberd. Lahan. 2022, 9, 147–151. Available online: https://jtsl.ub.ac.id/index.php/jtsl/article/view/749 (accessed on 13 December 2024). [CrossRef]
  34. Singh, A.; Kumar, A.; Chandra, R. Detection of Refractory Organic Pollutants from Pulp Paper Mill Effluent and Their Toxicity on Triticum aestivum, Brassica campestris and Tubifex tubifex. Int. J. Environ. Agric. Biotechnol. 2020, 8, 663–675. [Google Scholar] [CrossRef]
  35. Siedt, M.; Teggers, E.-M.; Linnemann, V.; Schäffer, A.; van Dongen, J.T. Microbial Degradation of Plant Residues Rapidly Causes Long-Lasting Hypoxia in Soil upon Irrigation and Affects Leaching of Nitrogen and Metals. Soil Syst. 2023, 7, 62. [Google Scholar] [CrossRef]
  36. Landis, T.D. Management of Forest Nursery Soils Dominated by Calcium Salts. New For. 1988, 2, 173–193. [Google Scholar] [CrossRef]
  37. Sadet-Bourgeteau, S.; Houot, S.; Karimi, B.; Mathieu, O.; Mercier, V.; Montenach, D.; Morvan, T.; Sappin-Didier, V.; Watteau, F.; Nowak, V.; et al. Microbial Communities from Different Soil Types Respond Differently to Organic Waste Input. Appl. Soil Ecol. 2019, 143, 70–79. [Google Scholar] [CrossRef]
  38. Li, Y.; Chen, Z.; Chen, J.; Castellano, M.J.; Ye, C.; Zhang, N.; Miao, Y.; Zheng, H.; Li, J.; Ding, W. Oxygen Availability Regulates the Quality of Soil Dissolved Organic Matter by Mediating Microbial Metabolism and Iron Oxidation. Glob. Change Biol. 2022, 28, 7410–7427. [Google Scholar] [CrossRef] [PubMed]
  39. Whiting, R.C.; Cygnarowicz-Provost, M. A Quantitative Model for Bacterial Growth and Decline. Food Microbiol. 1992, 9, 269–277. [Google Scholar] [CrossRef]
  40. Beauchamp, C.J.; Simao-Beaunoir, A.-M.; Beaulieu, C.; Chalifour, F.-P. Confirmation of E. coli among Other Thermotolerant Coliform Bacteria in Paper Mill Effluents, Wood Chips Screening Rejects and Paper Sludges. Water Res. 2006, 40, 2452–2462. [Google Scholar] [CrossRef]
  41. Heinz, K.G.H.; Zanoni, P.R.S.; Oliveira, R.R.; Medina-Silva, R.; Simão, T.L.L.; Trindade, F.J.; Pereira, L.M.; Tavares, L.B.B.; Giongo, A. Recycled Paper Sludge Microbial Community as a Potential Source of Cellulase and Xylanase Enzymes. Waste Biomass Valor. 2017, 8, 1907–1917. [Google Scholar] [CrossRef]
  42. Rodriguez-Yupanqui, M.; De La Cruz-Noriega, M.; Quiñones, C.; Otiniano, N.M.; Quezada-Alvarez, M.A.; Rojas-Villacorta, W.; Vergara-Medina, G.A.; León-Vargas, F.R.; Solís-Muñoz, H.; Rojas-Flores, S. Lignin-Degrading Bacteria in Paper Mill Sludge. Microorganisms 2023, 11, 1168. [Google Scholar] [CrossRef]
  43. Thakur, M.; Sharma, P.; Anand, A.; Pandita, V.K.; Bhatia, A.; Pushkar, S. Raffinose and Hexose Sugar Content During Germination Are Related to Infrared Thermal Fingerprints of Primed Onion (Allium cepa L.) Seeds. Front. Plant Sci. 2020, 11, 579037. [Google Scholar] [CrossRef]
  44. Cardarelli, M.; Woo, S.L.; Rouphael, Y.; Colla, G. Seed Treatments with Microorganisms Can Have a Biostimulant Effect by Influencing Germination and Seedling Growth of Crops. Plants 2022, 11, 259. [Google Scholar] [CrossRef]
  45. Eldridge, D.J.; Travers, S.K.; Val, J.; Ding, J.; Wang, J.-T.; Singh, B.K.; Delgado-Baquerizo, M. Experimental Evidence of Strong Relationships between Soil Microbial Communities and Plant Germination. J. Ecol. 2021, 109, 2488–2498. [Google Scholar] [CrossRef]
  46. He, W.; Moonis, M.; Chung, H.; Yoo, G. Effects of High Soil CO2 Concentrations on Seed Germination and Soil Microbial Activities. Int. J. Greenh. Gas Control 2016, 53, 117–126. [Google Scholar] [CrossRef]
  47. Norris, M.; Titshall, L.W. The Potential for Direct Application of Papermill Sludge to Land: A Greenhouse Study. Int. J. Environ. Res. 2011, 5, 673–680. [Google Scholar] [CrossRef]
  48. Pochyba, A.; Samešová, D.; Poništ, J.; Salva, J. Pulp and Paper Mill Sludge Utilization by Biological Methods. Eng. Proc. 2023, 57, 12. [Google Scholar] [CrossRef]
  49. Envirobiotech Journals. Articles Abstract. Available online: https://www.envirobiotechjournals.com/issues/article_abstract.php?aid=12447&iid=349&jid=4 (accessed on 7 January 2025).
  50. Sánchez, C. Lignocellulosic Residues: Biodegradation and Bioconversion by Fungi. Biotechnol. Adv. 2009, 27, 185–194. [Google Scholar] [CrossRef]
  51. Hazarika, J.; Khwairakpam, M. Evaluation of Biodegradation Feasibility through Rotary Drum Composting Recalcitrant Primary Paper Mill Sludge. Waste Manag. 2018, 76, 275–283. [Google Scholar] [CrossRef]
  52. Sun, L.; Zuo, W.; Tian, Y.; Zhang, J.; Liu, J.; Sun, N.; Li, J. Performance and Microbial Community Analysis of an Algal-Activated Sludge Symbiotic System: Effect of Activated Sludge Concentration. J. Environ. Sci. 2019, 76, 121–132. [Google Scholar] [CrossRef] [PubMed]
  53. O’Brien, T.A.; Herbert, S.J.; Barker, A.V. Growth of Corn in Varying Mixtures of Paper Mill Sludge and Soil. Commun. Soil Sci. Plant Anal. 2002, 33, 635–646. [Google Scholar] [CrossRef]
  54. El-Mossallamy, M.; El-Ashaal, H.; Mashad, E.; Ahmed, M.A. Experimental Study of the Geotechnical Behavior of Calcareous Soil Improved Using Kaolinite Clay—A Comparative Study. IOSR J. Mech. Civ. Eng. 2018, 15, 5–15. [Google Scholar]
  55. Rowley, M.C.; Grand, S.; Adatte, T.; Verrecchia, E.P. A Cascading Influence of Calcium Carbonate on the Biogeochemistry and Pedogenic Trajectories of Subalpine Soils, Switzerland. Geoderma 2020, 361, 114065. [Google Scholar] [CrossRef]
  56. Amos, Y.I.; Ajibola, R.L.; Rilwanu, I. The Use of X-Ray Computed Tomography for the Assessment of the Internal Structure of Carbonated Soil. Int. J. Mech. Civ. Eng. 2022, 5, 55–72. Available online: https://abjournals.org/ijmce/papers/volume-5/issue-1/the-use-of-x-ray-computed-tomography-for-assessment-of-internal-structure-of-carbonated-soil/ (accessed on 7 January 2025). [CrossRef]
Figure 1. Structure of tested paper sludge under 50× (a) and 500× (b) magnification.
Figure 1. Structure of tested paper sludge under 50× (a) and 500× (b) magnification.
Sustainability 17 08788 g001
Figure 2. Dynamics of changes in soil respiration (day 0–34).
Figure 2. Dynamics of changes in soil respiration (day 0–34).
Sustainability 17 08788 g002
Figure 3. Microscopic view of molds/fungi grown on paper sludge (a) and in soil (b) under 30× and 150× magnification, respectively.
Figure 3. Microscopic view of molds/fungi grown on paper sludge (a) and in soil (b) under 30× and 150× magnification, respectively.
Sustainability 17 08788 g003
Figure 4. Dynamics of changes in respiration of germinated cress (Lepidium sativum L.) seeds.
Figure 4. Dynamics of changes in respiration of germinated cress (Lepidium sativum L.) seeds.
Sustainability 17 08788 g004
Figure 5. Dynamics of changes in respiration of germinated pea (Pisum sativum L.) seeds.
Figure 5. Dynamics of changes in respiration of germinated pea (Pisum sativum L.) seeds.
Sustainability 17 08788 g005
Figure 6. Box plots present the mean cress sprout lengths depending on the content of paper mill sludge in the soil—95% interval estimates.
Figure 6. Box plots present the mean cress sprout lengths depending on the content of paper mill sludge in the soil—95% interval estimates.
Sustainability 17 08788 g006
Figure 7. Box plots present the mean lengths of pea roots depending on the content of paper mill sludge in the soil—95% interval estimates.
Figure 7. Box plots present the mean lengths of pea roots depending on the content of paper mill sludge in the soil—95% interval estimates.
Sustainability 17 08788 g007
Figure 8. Box plots present the mean lengths of pea sprouts depending on the content of paper mill sludge in the soil—95% interval estimates.
Figure 8. Box plots present the mean lengths of pea sprouts depending on the content of paper mill sludge in the soil—95% interval estimates.
Sustainability 17 08788 g008
Table 1. The characteristics of soil.
Table 1. The characteristics of soil.
PropertySoilLimit for SoilUnit
DM87.53-%
pH5.82--
C445-g kg−1
N9.97-g kg−1
Carbonates--%
Corg45.50-%
Cd2+0.441–3 *mg kg−1
Pb2+13.3050–300 *mg kg−1
Ni2+4.8130–75 *mg kg−1
Mg2+3.103-mg kg−1
Ca2+6.833-mg kg−1
K+891-mg kg−1
PO43−279-mg kg−1
Mn2+47.80-mg kg−1
Cu2+4.3850–140 *mg kg−1
Zn2+22.60150–300 *mg kg−1
Fe2+641-mg kg−1
Na+63.40-mg kg−1
Explanations: DM—Dry matter; Corg—soil organic carbon. * The limits for the application of sewage sludge in agriculture in the European Union are set by Council Directive 86/278/EEC from 12 June 1986.
Table 2. The characteristics of paper sludge.
Table 2. The characteristics of paper sludge.
PropertyOur ResultsLimit for SludgePM1 *PM2 *PM3 *PM4 *PM5 *PM6 *
DM (%)68-69.3278.3259.0868.6869.3445.78
pH6.78-6.457.847.327.546.337.08
EC (mS cm−1)--1.123.080.510.611.970.56
CEC (cmol kg−1)--2528.074.393.3318.667.11
C (g kg−1)261-243.933.6718.9223431.3621.92
N (g kg−1)4.38-1.294.051.510.311.320.49
Carbonates (%)53.20-------
Corg (%)19.70-------
Organic Matter (%)--41.9557.9132.5440.2453.9337.7
Cd (mg kg−1)0.5020–40 **2.014.092.072.471.301.38
Pb (mg kg−1)8.20750–1200 **8132843617355
Ni (mg kg−1)4.10300–400 **41.6029.1113.2010.1415.9610.78
Mg (mg kg−1)354--32985-102103
Ca (mg kg−1)28,544-54005300540012,80074003600
K (mg kg−1)132-13042020507060
P (mg kg−1)36.30-70780301209075
Mn (mg kg−1)12.80--32985-102103
Cu (mg kg−1)1.141000–1750 **19910211910215683
Zn (mg kg−1)28.102500–4000 **358287257277365351
Fe (mg kg−1)109-------
Fe (%)--0.410.380.190.420.370.37
Al (%)--1.652.761.091.391.731.45
Cr (mg kg−1)--18.9237.017.4417.36--
Na42.90-------
PAHs (ng g−1)--1793.45218.043646.671051.201889.10846.33
Explanations: * PMx = Different paper mills processing waste paper [9]. ** The limits for the application of sewage sludge in agriculture in the European Union are set by Council Directive 86/278/EEC from 12 June 1986.
Table 3. Interpretation of germination index.
Table 3. Interpretation of germination index.
GI Value (%)Phytotoxicity LevelReferences
>80free of phytotoxicity[26]
>80free of phytotoxicity[27]
50–80potential phytotoxicity of compost to crops[26]
<50high phytotoxicity[26]
Table 4. Length of above-ground part of cress at the end of the test.
Table 4. Length of above-ground part of cress at the end of the test.
Sample0%1%10%20%30%40%50%100%
Average height (cm)6.06.56.57.06.56.05.05.0
Table 5. Germinability and length of root and sprout of Pisum sativum L.
Table 5. Germinability and length of root and sprout of Pisum sativum L.
Tested Features0%1%10%20%30%40%50%100%
Germinability (%) *70100909070909060
Length of root (cm)4.04.22.12.42.52.92.02.0
Length of sprout (cm)3.04.51.11.51.53.42.00.8
Explanations: * Percentage of germinated seeds out of the total number at the end of the test.
Table 6. Analysis of Variance—Dependence of Length of Cress (Lepidium sativum L.) Sprout on Content of Paper Mill Sludge.
Table 6. Analysis of Variance—Dependence of Length of Cress (Lepidium sativum L.) Sprout on Content of Paper Mill Sludge.
Variables
SSSVMSSSSVMSFp
Length (cm)22.317.003.195.4240.000.1423.520.000
Table 7. Duncan’s post hoc testing—Length of Cress Sprout.
Table 7. Duncan’s post hoc testing—Length of Cress Sprout.
Paper SludgeDuncan Test
{1}{2}{3}{4}{5}{6}{7}{8}
0% {1}0.0310.0240.0000.0361.0000.0000.000
1% {2}0.0311.0000.0311.0000.0360.0000.000
10% {3}0.0241.0000.0361.0000.0310.0000.000
20% {4}0.0000.0310.0360.0240.0000.0000.000
30% {5}0.0361.0001.0000.0240.0400.0000.000
40% {6}1.0000.0360.0310.0000.0400.0000.000
50% {7}0.0000.0000.0000.0000.0000.0001.000
100% {8}0.0000.0000.0000.0000.0000.0001.000
Table 8. Analysis of Variance—Dependence of Length of Pea Roots on Content of Paper Mill Sludge.
Table 8. Analysis of Variance—Dependence of Length of Pea Roots on Content of Paper Mill Sludge.
Variables
SSSVMSSSSVMSFp
Value279.767.0039.97566.25388.001.4627.380.000
Table 9. HSD post hoc testing—Length of pea roots.
Table 9. HSD post hoc testing—Length of pea roots.
Paper SludgeHSD Test
{1}{2}{3}{4}{5}{6}{7}{8}
0% {1}0.9840.0000.0000.0000.0020.0000.000
1% {2}0.9840.0000.0000.0000.0000.0000.000
10% {3}0.0000.0000.9110.8600.0140.9960.999
20% {4}0.0000.0000.9111.0000.3670.4820.753
30% {5}0.0000.0000.8601.0000.7270.4530.582
40% {6}0.0020.0000.0140.3670.7270.0010.017
50% {7}0.0000.0000.9960.4820.4530.0011.000
100% {8}0.0000.0000.9990.7530.5820.0171.000
Table 10. Analysis of Variance—Dependence of Length of Pea (Pisum sativum L.) Sprout on Content of Paper Mill Sludge.
Table 10. Analysis of Variance—Dependence of Length of Pea (Pisum sativum L.) Sprout on Content of Paper Mill Sludge.
Variables
SSSVMSSSSVMSFp
Value598.957.0085.56533.17386.001.3861.950.000
Table 11. HSD post hoc testing—Length of pea sprout.
Table 11. HSD post hoc testing—Length of pea sprout.
Paper SludgeHSD Test
{1}{2}{3}{4}{5}{6}{7}{8}
0% {1}0.0000.0000.0000.0000.7080.0030.000
1% {2}0.0000.0000.0000.0000.0000.0000.000
10% {3}0.0000.0000.6250.7160.0000.0020.958
20% {4}0.0000.0000.6251.0000.0000.3720.165
30% {5}0.0000.0000.7161.0000.0000.5730.145
40% {6}0.0780.0000.0000.0000.0000.0000.000
50% {7}0.0030.0000.0020.3720.5730.0000.000
100% {8}0.0000.0000.9580.1650.1450.0000.000
Table 12. GI of the test of respiration of pea (Pisum sativum L.).
Table 12. GI of the test of respiration of pea (Pisum sativum L.).
Sample1%10%20%30%40%50%100%
Germination index (%)150687963936342
Type of compostStimulating effectPartially mature compostPartially mature compostPartially mature compostWell mature compostPartially mature compostImmature compost
Ecotoxicological effectNoneModerateModerateModerateNone/minimalModerateElevated
Disclaimer/Publisher’s Note: The statements, opinions and data contained in all publications are solely those of the individual author(s) and contributor(s) and not of MDPI and/or the editor(s). MDPI and/or the editor(s) disclaim responsibility for any injury to people or property resulting from any ideas, methods, instructions or products referred to in the content.

Share and Cite

MDPI and ACS Style

Pochyba, A.; Samešová, D.; Poništ, J.; Sečkár, M.; Schmidtová, J.; Schwarz, M.; Veverková, D. Evaluation of Paper Mill Sludge Using Bioindicators: Response of Soil Microorganisms and Plants. Sustainability 2025, 17, 8788. https://doi.org/10.3390/su17198788

AMA Style

Pochyba A, Samešová D, Poništ J, Sečkár M, Schmidtová J, Schwarz M, Veverková D. Evaluation of Paper Mill Sludge Using Bioindicators: Response of Soil Microorganisms and Plants. Sustainability. 2025; 17(19):8788. https://doi.org/10.3390/su17198788

Chicago/Turabian Style

Pochyba, Adam, Dagmar Samešová, Juraj Poništ, Michal Sečkár, Jarmila Schmidtová, Marián Schwarz, and Darina Veverková. 2025. "Evaluation of Paper Mill Sludge Using Bioindicators: Response of Soil Microorganisms and Plants" Sustainability 17, no. 19: 8788. https://doi.org/10.3390/su17198788

APA Style

Pochyba, A., Samešová, D., Poništ, J., Sečkár, M., Schmidtová, J., Schwarz, M., & Veverková, D. (2025). Evaluation of Paper Mill Sludge Using Bioindicators: Response of Soil Microorganisms and Plants. Sustainability, 17(19), 8788. https://doi.org/10.3390/su17198788

Note that from the first issue of 2016, this journal uses article numbers instead of page numbers. See further details here.

Article Metrics

Back to TopTop