Next Article in Journal
Assessing the Socio-Economic and Natural Factors Shaping Türkiye’s Virtual Land Trade Balance
Previous Article in Journal
Operationalizing Nature-Based Solutions for Urban Sustainability in Hyper-Arid Regions: The Case of the Eastern Province, Saudi Arabia
 
 
Font Type:
Arial Georgia Verdana
Font Size:
Aa Aa Aa
Line Spacing:
Column Width:
Background:
Article

Quantifying the Impact of Soiling and Thermal Stress on Rooftop PV Performance: Seasonal Analysis from an Industrial Urban Region in Türkiye

by
Okan Uykan
1,
Güray Çelik
1 and
Aşkın Birgül
2,*
1
Faculty of Engineering, Department of Environmental Engineering, Bursa Uludag University, 16059 Nilufer, Bursa, Turkey
2
Faculty of Engineering and Natural Sciences, Department of Environmental Engineering, Bursa Technical University, 16310 Yıldırım, Bursa, Turkey
*
Author to whom correspondence should be addressed.
Sustainability 2025, 17(17), 8038; https://doi.org/10.3390/su17178038
Submission received: 12 August 2025 / Revised: 3 September 2025 / Accepted: 4 September 2025 / Published: 6 September 2025

Abstract

This study presents a novel framework to assess the combined impact of soiling and thermal effects on rooftop PV systems through multi-seasonal, multi-site field campaigns in an industrial-urban environment. This work addresses key research gaps by providing a high-resolution, site-specific analysis that captures the synergistic effect of particulate accumulation and thermal stress on PV performance in an industrial-urban environment—a setting distinct from the well-studied arid climates. The study further bridges a gap by employing controlled pre- and post-cleaning performance tests across multiple sites to isolate and quantify soiling losses, offering insights crucial for developing targeted maintenance strategies in pollution-prone urban areas. Unlike previous work, it integrates gravimetric soiling measurements with high-resolution electrical (I–V), thermal, and environmental monitoring, complemented by PVSYST simulation benchmarking. Field data were collected from five rooftop plants in Bursa, Türkiye, during summer and winter, capturing seasonal variations in particulate deposition, module temperature, and PV output, alongside irradiance, wind speed, and airborne particulates. Soiling nearly doubled in winter (0.098 g/m2) compared to summer (0.051 g/m2), but lower winter temperatures (mean 19.8 °C) partially offset performance losses seen under hot summer conditions (mean 42.1 °C). Isc correlated negatively with both soiling (r = −0.68) and temperature (r = −0.72), with regression analysis showing soiling as the dominant factor (R2 = 0.71). Energy yield analysis revealed that high summer irradiance did not always increase output due to thermal losses, while winter often yielded comparable or higher energy. Soiling-induced losses ranged 5–17%, with SPP-2 worst affected in winter, and seasonal PR declines averaged 10.8%. The results highlight the need for integrated strategies combining cleaning, thermal management, and environmental monitoring to maintain PV efficiency in particulate-prone regions, offering practical guidance for operators and supporting renewable energy goals in challenging environments.

1. Introduction

Solar energy has emerged as a foundational pillar in the global shift towards sustainable, low-carbon energy systems [1,2]. It plays a crucial role in meeting the growing energy demands of urban and industrial settings in an environmentally benign manner [3,4]. In densely populated and industrialized regions, rooftop photovoltaic (PV) systems serve as an important tool for reducing greenhouse gas emissions by directly replacing fossil-based electricity generation [5,6,7]. Beyond their environmental contribution, these systems stimulate local economies by creating new markets for installation, maintenance, and related services [8,9,10]. They also generate significant social benefits, such as job creation and enhanced access to clean energy for communities that might otherwise face energy inequality [11,12]. Additionally, by reducing air pollutants associated with conventional power plants, rooftop PV systems contribute to improved public health and overall urban livability [11,12]. However, the operational efficiency of PV arrays is severely undermined by soiling, which refers to the accumulation of dust, aerosol particles, and industrial emissions on panel surfaces [13,14]. This layer of contamination reduces the transmission of solar irradiance and degrades electrical output, ultimately shortening system lifespan and increasing maintenance costs [15,16].
Multiple global studies estimate average annual energy losses due to soiling in the range of 3–5%, with extreme cases in polluted or arid urban-industrial environments reporting daily losses of 1–3% and cumulative monthly reductions exceeding 30% [17,18,19]. These losses have significant implications for system reliability and financial viability [20,21]. Understanding soiling dynamics in urban-industrial areas is particularly challenging because multiple environmental and anthropogenic factors act together in complex ways [22,23,24]. Particulate matter such as PM2.5, PM10, and heavy metals interact with meteorological conditions including humidity and wind, creating highly variable and site-specific soiling behaviors [25,26,27]. In addition, emissions from industrial processes and dense traffic further intensify the accumulation of pollutants on PV surfaces [28,29,30]. Experimental studies conducted in arid zones, megacities, and major industrial hubs consistently highlight how adhesive dust particles, when combined with elevated temperatures, exacerbate efficiency losses [7,31]. This compounded effect manifests as significant reductions in performance ratio (PR), power output, and ultimately the operational lifespan of photovoltaic modules [32].
In Türkiye, solar PV deployment has scaled rapidly—from approximately 9 GW in 2022 to nearly 19 GW by late 2024—driven by favorable financing schemes, regulatory incentives, and growing corporate demand for renewable energy credentials [33,34,35,36].
In Türkiye, solar PV deployment has expanded at an unprecedented pace, growing from approximately 9 GW in 2022 to nearly 19 GW by the end of 2024 [33,34]. This rapid acceleration has been fueled by favorable financing schemes, supportive regulatory incentives, and an increasing corporate demand for renewable energy credentials, reflecting both economic and environmental drivers of the transition [35,36]. Industrial hubs like Bursa face the dual challenge of elevated air pollution and semi-arid climatic conditions, both of which intensify the risk of performance losses in rooftop PV systems [37,38]. These regions hold significant potential to benefit from widespread PV adoption, as solar energy can reduce dependence on fossil fuels and improve environmental sustainability [39,40]. However, realizing these benefits is only possible if soiling and thermal stress are effectively mitigated through tailored maintenance strategies and site-specific technological responses [41,42].
Achieving both competitiveness and sustainability in PV deployment necessitates attention to techno-economic indicators (e.g., Levelized Cost of Energy (LCOE), payback periods) and environmental performance (e.g., life-cycle CO2 emissions per kWh) [43,44,45]. Innovations such as the use of Renewable Energy Certificates (RECs) bolster revenue streams and corporate sustainability claims, while Battery Energy Storage Systems (BESS) enhance grid flexibility, peak shaving, and self-consumption economics [46,47,48]. Digitalization, through IoT-enabled monitoring systems and AI-driven predictive cleaning strategies, offers powerful tools to anticipate performance losses and optimize intervention timing [49,50,51,52]. In combination with remote operation enhancements, these technologies not only reduce maintenance costs but also help preserve long-term operational efficiency under the combined challenges of soiling and temperature stress [53,54].
Despite the growing body of global research on soiling, storage coupling, and digital operations, there remains a significant knowledge gap in site-specific, urban-industrial level analysis, especially within the Turkish context. Specifically, studies rarely integrate electrical performance metrics (Isc, Voc, power yield), environmental drivers (air quality, dust deposition, meteorology), and economic instruments (e.g., REC pricing, storage economics, digital O&M models) in a holistic framework.
This study addresses that gap by focusing on rooftop PV installations across diverse industrial and urban locales within Bursa. Its specific objectives are to (i) quantify the effects of dust deposition on key electrical outputs (Isc, Voc, power), (ii) characterize environmental determinants of soiling dynamics, including particulate loadings, humidity, wind, and temperature, (iii) compare spatial performance differences across industrial versus urban zones, (iv) propose tailored operational strategies—such as optimized cleaning protocols, smart monitoring tools, storage integration, and REC-enabled business models—to enhance both PV system performance and sustainability in Bursa and comparable regions.
By achieving these objectives, the study offers actionable insights for improving PV system performance in pollution-prone regions, thereby supporting Türkiye’s renewable energy goals and contributing to the broader global energy transition.

2. Literature Analysis and Theoretical Framework

2.1. Global and Regional Studies on Soiling and Thermal Effects

A significant body of research has established soiling as a critical factor in PV performance degradation. Global reviews consistently report average annual energy losses between 3 and 5%, which can skyrocket to daily losses of 1–3% and cumulative monthly reductions exceeding 30% in highly polluted or arid regions [10,11,13]. Studies in desert climates (e.g., Qatar [31], UAE [7], Saudi Arabia [32]) have meticulously characterized dust properties and their impact on light transmittance. Research has also shown that the combination of adhesive dust deposition and heat stress leads to synergistic losses in performance ratio, power output, and module lifespan [33,34]. For instance, Gholami et al. (2018) demonstrated a non-linear relationship between dust density and power loss, which is exacerbated by high temperatures [25].
The interaction between soiling and temperature is well-documented but complex. Kaldellis et al. (2014) highlighted that wind speed can play a dual role, influencing both cooling and re-deposition of dust [26]. Recent work by Adekanbi et al. (2024) [7] and Al-Sharafi et al. (2024) [32] provides updated reviews of mitigation techniques and the economic implications of dust accumulation, emphasizing that the cost of cleaning must be balanced against the value of energy lost.
Recent research has also underlined the need for standardized indices to compare dust-related performance losses across different geographies and PV technologies. Menoufi (2017) [55] introduced the Photovoltaic Soiling Index (PVSI) as a universal coefficient to quantify PV output reductions under dust exposure. Building on this, Alquthami and Menoufi (2019) [56] proposed both PVSI and a Photovoltaic Dust Coefficient through experiments in Cairo and Beni-Suef, Egypt, reporting power reductions of up to 26% due to higher dust density.
Other studies have quantified the economic trade-offs of cleaning frequency. Shah et al. (2020) [57] showed that in the UAE, modules left uncleaned for 90 days lost 13% power, compared to 4% for biweekly cleaning; an optimal 15-day cycle was recommended. Long-term monitoring in Qatar found that six months of exposure without cleaning reduced PV output by 43%, corresponding to losses of 11,000 QAR/hour for an 800 MW plant [58]. Similarly, Alawasa et al. (2021) [59] observed seasonal variation in Oman, with summer losses 8.7% higher than winter, recommending monthly cleaning to keep losses below 10%.
Recent reviews further emphasize site-specific drivers. Borah et al. (2023) [29] summarized global soiling studies, finding annual yield reductions of >15% in arid zones and ~10% in humid regions, stressing the need for simulator-based pre-installation assessments. Redondo et al. (2024) [60] compared four analytical models with real data from 16 Spanish PV plants, highlighting that hybrid approaches (e.g., SOMOSclean) outperform simple models and should incorporate variables such as wind and humidity.
Cross-regional comparisons add further nuance. Laarabi et al. (2022) [61] modeled soiling in India and Morocco, identifying exponential functions as the most accurate predictors (R2 = 0.84) and stressing the influence of local factors like rainfall, construction activity, and sea proximity. Urban contexts provide additional complexity: Souza and Carvalho (2025) [62] found in Fortaleza, Brazil, that anthropogenic activities (e.g., roadworks, traffic) amplified soiling impacts, while rainfall alone was insufficient to restore performance; manual cleaning improved PR by 49.4% in the post-rainy season.
Within the Turkish context, studies have begun to quantify these effects. Çubukcu & Gümüş (2020) reported an annual performance ratio of 81.15% for a large-scale plant in eastern Türkiye, identifying both temperature and soiling as key drivers of seasonal variation [37]. Similarly, Tascıoglu et al. (2016) provided a case study in Bursa city, though primarily focusing on technology comparison rather than environmental degradation [40]. Elamim et al. (2024), studying a Mediterranean climate, found that natural dust led to power reductions of 7.4–12.35% [38]. However, these studies often focus on either large-scale plants or specific, non-industrial environments.

2.2. The Sustainability and Competitiveness Triad: RECs, Storage, and Digitalization

The economic sustainability of PV systems in challenging environments depends on more than just technical performance. The literature shows a growing focus on three key enablers:
Renewable Energy Certificates (RECs): RECs can significantly improve the revenue stack of a solar project. Zhu et al. (2022) analyzed how RECs and renewable standards directly stimulate investment and reduce carbon emissions, providing a crucial financial incentive for projects facing high O&M costs, such as those in soiling-prone areas [47].
Storage Integration (BESS): The integration of storage mitigates the intermittency of solar power. Studies by Mongird et al. (2020) and Pinto et al. (2024) assess the cost and performance characteristics of BESS, demonstrating its value in peak shaving and improving self-consumption economics, which can partially offset losses from soiling [48,49].
Digitalization and AI: The use of IoT and AI for predictive maintenance is a frontier in PV O&M. Research by Tahir et al. (2025) and Al-Humairi et al. (2025) explores machine learning algorithms to predict soiling losses and schedule optimal cleaning cycles, thereby reducing water and labor costs and maximizing energy yield [53,54]. Azouzoute et al. (2021) developed a data-driven cleaning strategy for hybrid plants in semi-arid climates, highlighting the role of continuous monitoring [51].
Random Forest outperformed other ML methods (R2 = 0.909) for forecasting PV output in Brazil. Similarly, Sanchís-Gómez et al. (2025) [63] introduced the Extreme Meteorological Year (EMY) model, which reduced voltage prediction errors by >40%, improving safety and sustainability in plant design.
Digitalization has also expanded into integrated systems. De Francesco et al. (2025) [64] emphasized IoT, drones, and satellite monitoring in agrivoltaics, improving both crop yields and PV efficiency. Jamil and Pearce (2025) [65] introduced regenerative agrivoltaics, combining PV with soil restoration and biodiversity benefits. Krasner et al. (2025) [66] highlighted co-benefits of ecovoltaics in enhancing soil carbon stocks.
The competitiveness dimension has been widely assessed through economic and urban integration studies. El-Mahallawi et al. (2022) [67] found that hydrophobic coatings increased efficiency by up to 14.3% in Egypt. Farungsang et al. (2025) [68] reported that rooftop PV in Thailand could meet 25.5% of electricity demand with an 8-year payback. Alfalah (2025) [69] showed that in Saudi Arabia, rooftop PV in a dense educational building covered 61.7% of demand with lifetime savings of USD 1.87 million.
Together, these studies highlight how RECs, storage, and digitalization—when combined with site-specific solutions such as coatings, agrivoltaics, and urban integration—form a sustainability–competitiveness triad that enhances the viability of PV in diverse contexts.

2.3. Identified Research Gap

While the existing literature provides a strong foundation on the technical aspects of soiling, a clear gap exists in integrating these findings with the economic and digital strategies necessary for sustainable operation, particularly in the Turkish industrial-urban context. No prior study in Türkiye has:
  • Conducted a high-resolution, multi-site, multi-seasonal analysis that isolates and quantifies the combined impact of soiling and thermal stress in an industrial city like Bursa.
  • Explicitly linked the empirical findings on performance loss to the potential of economic instruments (RECs), technological solutions (BESS), and operational strategies (digital O&M) to mitigate financial risk and improve competitiveness. This study’s novel framework, which combines rigorous field measurements with an analysis oriented towards these holistic mitigation strategies, is designed to fill this gap.

3. Materials and Methods

3.1. Study Area and Sampling

This study was conducted in Bursa, Türkiye, a prominent industrial hub located in the northwestern region of the country. Characterized by a semi-arid climate, Bursa experiences elevated levels of particulate matter (PM) due to dense industrial activity, limited atmospheric circulation, and frequent pollution episodes—particularly within its industrial corridors. These characteristics make the city a representative location for assessing the impact of soiling on photovoltaic (PV) system performance.
Five rooftop-mounted PV systems were selected as monitoring sites, designated SPP-1 through SPP-5. These sites encompass diverse environmental conditions shaped by industrial activity, urban traffic, topographical variation, and proximity to natural features. The geographic coordinates and specific characteristics of the five rooftop PV system locations are detailed in Table S1 (Supporting Information (SI)). Figure 1 shows a schematic display of the sampling points used in this study.
All PV systems consisted of rooftop-mounted monocrystalline silicon modules with identical electrical specifications to maintain measurement consistency across sites. Each system comprised 12 modules connected in series to a Huawei SUN2000-3KTL (Huawei Technologies Co., Ltd., Shenzhen, China) central grid-tied inverter. Modules were installed at a fixed tilt angle of 25° facing due south (azimuth 180°), optimized for Bursa’s geographical latitude (40.2° N). Installations were mounted on reinforced concrete rooftops, approximately 10–15 m above ground level, to ensure unobstructed solar access and eliminate shading effects from surrounding structures.
The site selection ensured variability in ambient conditions, wind patterns, and particulate exposure, thereby enabling a comprehensive analysis of site-specific soiling impacts on PV system performance. To minimize external variability, all five systems followed an identical maintenance protocol. Manual cleaning was deliberately avoided during the monitoring period to permit natural dust accumulation.
Performance data were recorded at 15 min intervals and stored in cloud-based databases for subsequent analysis. Dust accumulation was evaluated using gravimetric analysis in conjunction with high-resolution photographic documentation. These assessments were carried out in parallel with continuous meteorological monitoring, including temperature, wind speed, and humidity.
All monitoring procedures conformed to IEC 61724-1 standards [70] for PV system performance measurement, ensuring international comparability and data integrity.
Dust deposition sampling was conducted exclusively on rain-free days to eliminate wash-off effects. Surface samples were collected from the PV modules at the end of each observation period using a controlled wiping technique. The collected samples were weighed using a precision analytical balance. Additionally, ambient airborne particulate concentrations were monitored in real-time during each sampling event to investigate the relationship between atmospheric PM levels and surface soiling intensity.

3.2. Measurement Periods and Protocol

Experimental measurements were conducted during two distinct seasonal campaigns to capture the influence of climatic and environmental variability on PV system performance: winter and summer. The winter campaign was carried out between 27 February and 11 March 2024, while the summer campaign took place from 12 August to 26 August 2024. These periods were chosen to represent seasonal extremes in ambient temperature, relative humidity, and particulate deposition dynamics specific to the Bursa region.
Measurements were conducted on five rooftop PV systems (SPP-1 to SPP-5), each located in different Organized Industrial Zones (OIZs) across Bursa. A standardized measurement protocol was developed and implemented across all sites to ensure methodological consistency. The protocol encompassed both environmental variables (e.g., solar irradiance, wind speed, airborne particulate concentration) and system performance parameters (e.g., surface temperature, short-circuit current, open-circuit voltage, maximum power output).

Dust Deposition Sampling

Dust accumulation was quantified using a controlled gravimetric wiping technique. At the end of each daytime measurement session, a clean, dry, low-lint cloth was used to wipe the entire surface of a pre-defined sampling area (0.25 m2) on a representative module. This cloth was then used to wipe the surface of a pre-weighed, sterile filter paper (Whatman Grade 41) to transfer the dust. The filter paper with the collected dust was immediately sealed in a Petri dish. The mass of the deposited dust was determined by weighing the filter paper before and after sampling using a high-precision analytical balance (Precisa PB 220A, readability 0.1 mg) in a controlled laboratory environment. The deposition rate was calculated as mass per unit area (g/m2). This procedure was repeated for multiple modules at each site to account for spatial variation.
Each measurement cycle followed a structured sequence:
  • Baseline Thermal Assessment: Initial thermal images of PV module surfaces were captured using an infrared thermal camera (FLIR E8Xt, Octopart, New York, NY, USA) to identify surface temperature distributions and potential hot spots associated with soiling.
  • Electrical Performance Testing: I–V curve measurements were performed using an HT Italia SOLAR IVe (HT ITALIA SRL, Faenza, Italy) analyzer to obtain key electrical parameters: short-circuit current Isc (short-circuit current), Voc (open-circuit voltage), and Pmax (maximum power).
  • Environmental Monitoring: Global solar irradiance was recorded using a calibrated pyranometer (HT Italia SOLAR 02, HT ITALIA SRL, Faenza, Italy), and wind speed was measured with a cup-type anemometer. Ambient particulate matter concentrations were monitored using a laser particle counter (PCE-PCO 1, PCE Instruments, Meschede, Germany).
  • Dust Deposition Sampling: At the end of each daytime session, accumulated dust on module surfaces was collected using a standardized wiping technique. Samples were weighed using a high-precision balance (Precisa PB 220A, Precisa Gravimetrics AG, Dietikon, Switzerland) to quantify surface deposition rates (g/m2).
  • Cleaning and Post-Cleaning Reassessment: After the initial data collection, PV modules were cleaned using deionized water to remove particulate buildup. Thermal imaging and I–V curve measurements were then repeated to assess the performance improvement attributable to cleaning.
To evaluate diurnal variation and deposition behavior, measurements were conducted during two main timeframes: Daytime sessions (11:00 a.m.–4:00 p.m.), coinciding with peak solar irradiance and module operation; Overnight sessions (6:00 p.m.–10:00 a.m.), focusing on nocturnal particulate deposition dynamics.
Wind speed and direction were continuously monitored to evaluate their influence on dust resuspension and redeposition. All measurements were documented in structured data entry sheets, including site identifiers, timestamps, and corresponding environmental annotations. This standardized approach ensured traceability and facilitated detailed statistical analysis of seasonal and spatial variations in PV performance.
While the measurement periods for each season were limited to two weeks, they were strategically chosen to coincide with seasonal extremes in ambient temperature and particulate deposition dynamics in Bursa. The summer campaign period typically experiences the highest temperatures and stable, dry weather, while the winter campaign precedes the spring rains, allowing for the maximum natural accumulation of particulate matter. This design enables an intensive analysis of the worst-case scenarios for both thermal stress and soiling, which is essential for understanding the upper bounds of performance degradation and for designing robust operational strategies.

3.3. Measured Parameters and Instrumentation

The study assessed a comprehensive set of variables categorized into three primary groups: electrical performance parameters, surface and environmental conditions, and particulate-related metrics. All measurements were performed using calibrated instruments conforming to international standards for PV diagnostics and environmental monitoring.
  • Electrical Performance Parameters
    • Current–Voltage (I–V) Characteristics: I–V curve measurements were used to determine the short-circuit current (Isc), open-circuit voltage (Voc), and maximum power point (Pmax). These indicators provide a direct measure of panel performance under operational conditions.
    • Performance Ratio (PR): PR values were calculated using real-time power output data and simulation outputs from PVSYST (v7.3.4) to assess overall system efficiency under varying soiling conditions.
    • Instrument: HT Italia SOLAR IVe I–V curve analyzer (HT ITALIA SRL, Faenza, Italy)
2.
Surface and Environmental Conditions
  • Module Surface Temperature: Temperature distribution across panel surfaces was captured using an FLIR E8Xt thermal imaging camera (Octopart, New York, NY, USA) to detect potential thermal anomalies and assess the thermal impact of soiling.
  • Solar Irradiance: Incident global solar irradiance was measured with an HT Italia SOLAR 02 pyranometer (HT ITALIA SRL, Faenza, Italy) to quantify the available solar energy during measurements.
  • Wind Speed: Ambient wind conditions were monitored with a cup-type anemometer (PCE Instruments, Meschede, Germany), facilitating evaluation of natural cleaning effects and dust transport mechanisms.
3.
Particulate-Related Measurements
  • Airborne Particulate Concentration: Real-time particle concentration (PM10 and PM2.5) was measured using a PCE-PCO 1 laser particle counter to assess ambient pollution levels during measurement sessions.
  • Surface Dust Deposition: Particulate matter accumulated on PV surfaces was collected via a controlled wiping method and weighed using a precision analytical balance (Precisa PB 220A, Precisa Gravimetrics AG, Dietikon, Switzerland) to determine the deposition rate (g/m2).

3.4. Instrument Calibration and Summary

All measurement instruments underwent annual calibration in accordance with the respective manufacturer specifications to ensure measurement accuracy, precision, and long-term reliability. Calibration certificates were retained for quality assurance and compliance purposes.
A summary of the equipment used—including model names, country of manufacture, and their specific functions—is provided in Table 1. Representative photographs of these instruments are included in the SI, Figures S1–S6.

3.5. Data Collection and Analysis

3.5.1. Field Data Collection

All field measurements were logged systematically using structured data entry templates developed for real-time acquisition during each seasonal campaign. For each observation session, the following data were recorded with site-specific identifiers and timestamps:
  • Environmental conditions: solar irradiance, wind speed, and ambient particulate concentration,
  • PV performance parameters: I–V characteristics, surface temperature, and dust accumulation.
After each session, data logs were reviewed to verify completeness and accuracy. Anomalous readings or outliers were flagged, and repeat measurements were conducted where necessary. I–V curves and thermal images were archived digitally with comprehensive metadata, including date, time, site location, and concurrent environmental conditions.

3.5.2. Validation of Results

The study’s findings were validated through a multi-faceted approach. PR and SR were compared with clean-system outputs simulated in PVSYST v7.3.4. Measurements, including I–V curves and dust deposition, were replicated (n ≥ 3) across five sites, and weekly cleaned panels served as reference baselines for SR calculations. Key parameters, such as module temperature, were cross-checked using multiple instruments, including thermal imaging cameras. A strong correlation between measured soiling mass (g/m2) and short-circuit current reductions (Isc, r = −0.68) provided additional physics-based validation. This framework ensures the reliability and robustness of the results.

3.5.3. Data Processing and Performance Evaluation

The following metrics were derived from the field data:
  • Performance Ratio (PR):
Calculated using the IEC 61724 standard formula, incorporating simulated reference values from PVSYST v7.3.4 and actual on-site energy generation data. This metric was used to assess overall system efficiency under varying soiling loads.
  • Soiling Loss Estimation:
The energy output difference between pre-cleaning and post-cleaning measurements was used to quantify soiling-related performance degradation at each site.
  • Dust Deposition Rate:
Determined by calculating the mass of deposited particles per unit area (g/m2), based on the gravimetric analysis of surface samples collected from each PV module during field sessions.

3.5.4. Statistical Analysis

All statistical analyses were conducted using IBM SPSS Statistics (v26) and Microsoft Excel, employing the following techniques:
  • Descriptive Statistics:
Computation of mean, standard deviation, minimum, and maximum values for key parameters including pollution level, short-circuit current (Isc), and module surface temperature.
  • Correlation Analysis:
Pearson correlation coefficients were calculated to explore linear relationships between ambient pollution levels, thermal conditions, and electrical performance metrics.
  • Multiple Linear Regression Modeling:
Used to quantify the combined influence of particulate concentration, surface temperature, and solar irradiance on short-circuit current (Isc), identifying dominant predictors of performance loss.
  • Significance Testing:
Seasonal and site-based differences in PV performance were assessed using t-tests and ANOVA, with a significance threshold set at p < 0.05.

3.5.5. Data Visualization

Data interpretation was supported by a suite of visual tools, including:
  • Correlation matrices,
  • Box-and-whisker plots,
  • Seasonal comparison charts,
  • Scatter plots with regression lines.
These visualizations enabled effective communication of trends, anomalies, and relationships between environmental variables and PV performance indicators. The analyses collectively supported the evaluation of the relative contributions of soiling and thermal stress to seasonal efficiency losses.

3.5.6. Performance Ratio (PR) Calculation

The Performance Ratio (PR) is a key metric used to evaluate the overall efficiency of photovoltaic (PV) systems by comparing actual energy generation with theoretical energy output under ideal conditions [17]. In this study, PR was calculated using reference estimates derived from the PVSYST software (version 7.3.4). The formula employed for PR computation is presented in Equation (1):
P R   % =     T o t a l   R e a l   P V   G e n e r a t i o n   ( kWh ) T o t a l   E s t i m a t e d   E l e c t r i c i t y   P r o d u c t i o n   ( kWh )
Performance ratios for each rooftop PV system (SPP-1 through SPP-5) were computed based on measured generation data and PVSYST estimations corresponding to the experimental periods. The results are summarized below:
  • SPP-1:
P R   % =   T o t a l   R e a l   P V   G e n e r a t i o n   ( kWh ) T o t a l   E s t i m a t e d   E l e c t r i c i t y   P r o d u c t i o n   ( kWh ) = 1,706,843   k W h 1,799,366   k W h = 81.50 %
  • SPP-2:
P R   % =   T o t a l   R e a l   P V   G e n e r a t i o n   ( kWh ) T o t a l   E s t i m a t e d   E l e c t r i c i t y   P r o d u c t i o n   ( kWh ) = 1,837,090   k W h 2,501,023   k W h = 86.79 %
  • SPP-3:
P R   % =   T o t a l   R e a l   P V   G e n e r a t i o n   ( kWh ) T o t a l   E s t i m a t e d   E l e c t r i c i t y   P r o d u c t i o n   ( kWh ) = 672,416   k W h 768,257   k W h = 88.99 %
  • SPP-4:
P R   % =   T o t a l   R e a l   P V   G e n e r a t i o n   ( kWh ) T o t a l   E s t i m a t e d   E l e c t r i c i t y   P r o d u c t i o n   ( kWh ) = 723,912   k W h 832,115   k W h = 81.44 %
  • PP-5:
P R   % =   T o t a l   R e a l   P V   G e n e r a t i o n   ( kWh ) T o t a l   E s t i m a t e d   E l e c t r i c i t y   P r o d u c t i o n   ( kWh ) = 407.84963   k W h 499.88900   k W h = 81.47 %
Detailed performance ratio calculations, including raw energy generation and simulation data for each site, are provided in the SI (Tables S2–S6).
Global Horizontal Irradiation (GHI) provides information about the solar irradiation potential of the project location. This parameter is calculated annually. Additionally, GHI data can be obtained by collecting the total irradiation values for 12 consecutive months, from January to December. In this study, the GHI value is 1570 kWh/m2. Typically, a soiling loss factor of 2% is considered as an additional lo ss in PVSYST simulation studies. This input directly affects the Performance Ratio (PR) value. For instance, if the soiling loss is assumed to be 3%, based on the pollution level at the project site, the PR value would drop below 81.59% for SPP-5, as the total estimated electricity production would decrease.
The Soiling Ratio (SR) was calculated by comparing the actual performance of the operating PV systems to an identical reference system maintained under clean conditions at a control site (cleaned weekly). The SR is defined as Equation (2).
S R = P s o i l e d P c l e a n
where Psoiled and Pclean represent the DC power outputs of the soiled and clean systems, respectively, under equivalent irradiance conditions. We achieve p value with the reference of ISC as the VOC is a constant value on each comparison.
Impact of dust accumulation on the real samples measured in this work were compared with the loss factors obtained from the loss diagrams of PVsyst 8.0.12 Software results for the corresponding PV units. An example to the loss diagram is shown in SI, Figure S7.

4. Results and Discussion

4.1. Effect of Solar Irradiation and Panel Temperature on Energy Production

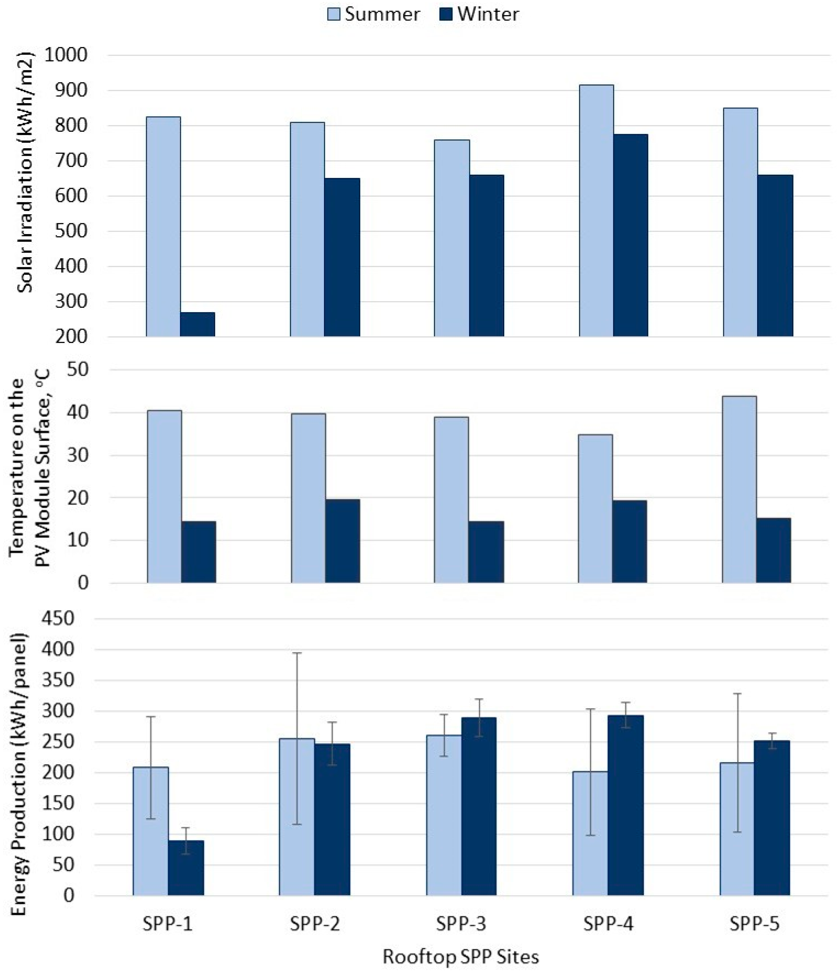
The impact of solar irradiation and module surface temperature on photovoltaic (PV) system output was assessed across five rooftop installations (SPP-1 to SPP-5) during both summer and winter seasons. Figure 2 presents the seasonal variation in solar irradiation, panel surface temperature, and corresponding energy generation recorded at each site.
Solar irradiation was significantly higher in the summer, ranging from approximately 770 to 910 kWh/m2, while winter irradiation levels varied between 250 and 780 kWh/m2. The highest irradiation during summer was recorded at SPP-4, whereas SPP-1 experienced the lowest irradiation during winter. Panel surface temperatures exhibited a similar seasonal pattern, with summer values ranging from 35 °C to 44° C, and winter temperatures falling between 14 °C and 20 °C.
Despite the general expectation that higher solar irradiation leads to increased energy output, the results demonstrate that elevated panel temperatures can negatively affect PV efficiency, leading to counterintuitive production outcomes. For instance, SPP-3, with an irradiation level of 760 kWh/m2 and a panel temperature of 38.9 °C, generated 260.6 kWh of electricity. In contrast, SPP-5, which received higher irradiation (850 kWh/m2) and experienced a higher panel temperature of 43.9 °C, produced only 216 kWh. Similarly, SPP-4, with the maximum irradiation value (~910 kWh/m2) and a moderate temperature of 35.2 °C, yielded 197.8 kWh, further illustrating the detrimental influence of thermal stress on PV performance. These findings support the well-established understanding that module efficiency decreases with rising temperature, as higher thermal conditions increase internal resistance and reduce voltage output [19].
Notably, in several cases, winter performance surpassed summer output, despite lower irradiation levels. This effect was particularly evident at SPP-4 and SPP-5, where cooler module temperatures facilitated higher electricity generation, thereby emphasizing the importance of thermal management and ventilation in rooftop PV system design.
In conclusion, while solar resource availability is a primary driver of PV performance, module temperature exerts a significant counteracting influence, particularly during high-irradiation summer periods. Accurate yield predictions and system optimization strategies should therefore incorporate detailed temperature-dependent performance modeling to avoid overestimations [4].
To quantify these thermal effects, the temperature loss formula in Equation (3) was applied:
Temperature Loss (%) = Temperature Coefficient × (Module Temperature − 25 °C)
Technical specifications provided by the PV module manufacturer were used to quantify thermal losses. Based on the reported temperature coefficient for maximum power output (−0.341%/°C), the corresponding efficiency losses were estimated at −4.74% for SPP-3 and −6.44% for SPP-5. These calculations corroborate the observed reduction in energy yield at sites experiencing elevated module temperatures. The inverse relationship between solar irradiation and actual energy output under high thermal stress reinforces the conclusion that temperature-induced efficiency degradation is a critical factor in PV performance loss. This phenomenon is consistent with findings in recent studies [5,20].
In contrast, cooler winter conditions—despite receiving lower solar irradiation—generally enhanced PV energy conversion efficiency. This was evident at SPP-3, SPP-4, and SPP-5, where winter energy yields were comparable to or exceeded those in the summer, highlighting the favorable effect of lower operating temperatures on system output.

4.2. Seasonal Variation and Pollution Impact on PV Performance

Figure 3 presents the spatial arrangement of PV modules at the SPP-1 site, alongside the seasonal distribution of pollution accumulation, prevailing wind directions, and short-circuit current (Isc) measurements.
The analysis of surface contamination highlights significant seasonal variation in soiling rates, with winter deposition levels exceeding those in summer across all module locations. The maximum soiling was observed at module P4 (northeast corner) during winter, reaching approximately 110 mg/m2, whereas the lowest deposition occurred at P3 (southeast) in summer, with a value around 40 mg/m2. This non-uniform distribution of pollutants suggests that module orientation and microclimatic exposure play critical roles in determining the extent of surface soiling.
Prevailing wind directions, illustrated in the wind rose diagram, predominantly originated from the south and southwest, aligning with the geographic location of nearby unpaved roads and industrial activities. These wind patterns likely facilitated the transport of airborne dust and particulate matter, leading to greater accumulation at P4, which is situated opposite the dominant wind direction. These observations reinforce previous findings that link aerosol transport dynamics, module tilt orientation, and site-specific environmental conditions to spatiotemporal soiling patterns on PV arrays [19].
Reductions in short-circuit current (Isc) observed across modules with higher soiling levels further emphasize the performance implications of particulate deposition. The effect was most pronounced in winter, when reduced rainfall and lower ambient humidity likely limited natural cleaning mechanisms. Thus, the seasonal accumulation of pollution significantly contributes to power loss in rooftop PV systems, especially in industrial and urban environments with elevated particulate concentrations.
Short-circuit current (Isc) measurements provide further evidence of the adverse impact of particulate accumulation on PV module performance. During the summer season, Isc values were consistently high across all module positions, averaging between 10 and 11 A, indicating minimal obstruction from surface contaminants. However, in winter, a marked reduction was observed, with Isc values declining sharply—most notably at P4, where it dropped to approximately 2 A. This substantial decrease in current output correlates directly with the increased soiling load, particularly at module positions facing the predominant wind direction.
These findings highlight the seasonally exacerbated performance losses due to pollution and reinforce the need for proactive maintenance schedules tailored to site-specific environmental conditions. Seasonal cleaning strategies, informed by wind exposure analysis and pollutant transport patterns, are critical to mitigating performance degradation and sustaining long-term energy yield in urban rooftop PV systems.
Figure 4 extends this spatial analysis to the SPP-2 site, presenting the module layout alongside measured values for soiling accumulation, wind direction, and short-circuit current.
As at SPP-1, the results for SPP-2 exhibit pronounced seasonal asymmetry in pollution accumulation, with higher deposition in winter and relatively uniform soiling in summer. The highest recorded deposition again corresponded to modules located opposite the prevailing wind direction—consistent with dust entrainment patterns observed in industrial surroundings. Corresponding Isc values followed the same trend as at SPP-1, with winter measurements demonstrating performance losses directly proportional to the pollution gradient across modules.
These spatial patterns confirm the integrated effect of environmental exposure, wind dynamics, and module positioning on PV system efficiency. The results support previous studies that emphasize localized soiling heterogeneity in rooftop systems, and they underscore the necessity of site-specific operational planning, particularly in regions with complex urban topographies and seasonal particulate variation.

4.3. Panel-Specific and Seasonal Performance Analysis

The pollution data across all five rooftop PV sites (SPP-1 to SPP-5) reveal a consistent seasonal trend, with winter soiling levels significantly exceeding those recorded during summer. At SPP-2, for example, P3 (NE) exhibited the highest winter deposition (~90 mg/m2), compared to summer values of 35–45 mg/m2. This indicates a greater accumulation of airborne particles during colder months, likely due to reduced precipitation, limited natural cleaning, and seasonally elevated particulate concentrations from nearby activities.
The wind rose diagram for SPP-2 shows prevailing winds from the northeast and east, which likely contributed to the elevated soiling observed at P3 (NE). These findings align with previous studies reporting that wind-driven particulate transport governs the spatial heterogeneity of soiling patterns on PV arrays.
Short-circuit current (Isc) measurements reinforce this observation. In summer, Isc values were relatively high across the array (8–11 A), while in winter, a pronounced reduction was observed—especially at P3, consistent with its high soiling levels. This underscores the negative correlation between soiling and PV electrical output, emphasizing the need for seasonally tailored cleaning strategies.
Figure 5 illustrates similar seasonal dynamics at the SPP-3 site. Winter soiling was significantly higher (60–65 mg/m2 at P1 and P2) compared to summer levels (~30 mg/m2). The wind rose diagram showed dominant NNW and west winds, suggesting particulate transport toward the eastern modules. Correspondingly, Isc values declined by 1.5–2 A during winter, reflecting the performance loss due to surface contamination, despite modest seasonal temperature changes.
At SPP-4 (Figure 6), the same pattern emerged. Winter soiling reached up to 85 mg/m2 at P2 (SW), while summer values ranged between 35 and 55 mg/m2. Winds from the NNW and west likely carried dust toward the southwest-facing modules. Isc reductions were moderate (0.5–1 A), smaller than those at SPP-1 and SPP-2. This may be due to favorable panel tilt or partial wind-driven cleaning, indicating the importance of installation geometry and airflow exposure in mitigating soiling impacts.
The SPP-5 site displayed a somewhat unique pattern. While winter soiling was elevated (~85 mg/m2 at P3), summer values were also relatively high (~70 mg/m2). This suggests persistent local pollution sources rather than purely seasonal climatic influences. The site is surrounded by unpaved access roads and sparse vegetation, which are potent sources of dust, especially during the dry summer months when soil moisture is low and wind-induced resuspension is more frequent. Furthermore, ongoing construction activities near SPP-5 during the summer measurement period likely contributed to elevated ambient particulate concentrations, leading to higher-than-expected summer deposition. This highlights that local micro-environments and anthropogenic activities can sometimes override broader seasonal trends, necessitating hyper-local assessment for accurate maintenance planning. Despite this, Isc reductions in winter (1–1.5 A) were moderate, potentially mitigated by occasional rainfall or wind-induced cleaning. Figure 7 illustrates the seasonal variations at SPP-5: (a) pollution accumulation on PV module surfaces (mg/m2), (b) prevailing wind directions (wind rose diagram), and (c) short-circuit current (Isc) measurements (A) across module positions.

4.4. Cross-Site Comparison and Statistical Interpretation

The comparative analysis of all five PV sites reveals distinct differences in soiling patterns and performance degradation, influenced by environmental context, wind exposure, and installation characteristics. Figure 8 summarizes these variations.
In Figure 8a, winter soiling generally exceeded summer values across all sites, ranging from 50 to 110 mg/m2 in winter versus 35 to 70 mg/m2 in summer. An exception was observed at SPP-5, where summer soiling was unusually high (~75 mg/m2), attributed to site-specific dry season dust sources.
Figure 8b shows the non-linear relationship between soiling and energy production. For instance, SPP-1 experienced the lowest winter yield (~100 kWh/panel), aligned with its high soiling levels and reduced Isc. In contrast, SPP-3 and SPP-4 showed higher winter energy outputs (~270–280 kWh/panel) than in summer, suggesting that enhanced PV conversion efficiency at lower temperatures may offset the negative effects of soiling. Similarly, SPP-5 maintained consistent output, supported by favorable thermal conditions and potential partial cleaning.
Correlation analysis revealed strong negative relationships between Isc and both pollution (r = −0.68) and temperature (r = −0.72) during summer, suggesting that thermal stress amplifies soiling-related losses. A multiple regression model indicated that pollution exerted the strongest negative influence on Isc, followed by temperature, while irradiance had a smaller but positive effect. The model explained 71% of the variance in Isc (R2 = 0.71), underscoring its predictive robustness.

4.5. Implications for PV System Design and Maintenance

These findings confirm that soiling is a major determinant of seasonal PV performance, but its effects are modulated by temperature, wind direction, module positioning, and site-specific characteristics. Rooftop PV systems, particularly in urban or semi-industrial environments, require localized assessment frameworks to capture spatial and temporal variability in performance losses.
To optimize energy yield:
  • Predictive models should integrate pollution accumulation rates, wind exposure, and thermal coefficients.
  • Maintenance planning should prioritize modules with historically higher soiling loads, especially during dry winter periods.
  • Tilt optimization and wind-assisted cleaning should be considered in new installations, particularly in dust-prone areas.

4.6. Comparison with Existing Literature and Holistic Implications

The findings of this study align with and significantly extend the existing body of knowledge. The observed soiling-induced efficiency losses of 5–17% are consistent with ranges reported in semi-arid and industrial settings globally [10,35] and specifically within Türkiye [29,30]. For instance, the 12% loss at SPP-1 is comparable to the 12.35% power reduction reported by Elamim et al. (2024) in a Mediterranean climate [38]. However, the present study provides a higher resolution analysis by isolating losses per module and directly correlating them with gravimetric soiling mass and micro-climatic wind patterns, a methodological advancement over many regional studies.
The critical finding of higher soiling mass in winter (0.098 g/m2) versus summer (0.051 g/m2), yet more severe performance losses in summer, underscores the profound synergistic effect of soiling and thermal stress. This aligns with the global understanding that high temperatures exacerbate the negative impact of soiling [33,34], but it quantifies this effect specifically for the northwestern Turkish industrial context. The strong negative correlation of Isc with both soiling (r = −0.68) and temperature (r = −0.72) provides empirical validation for the physical mechanisms described in [35].
This research moves beyond technical quantification to frame the results within the context of economic sustainability and competitiveness. The average seasonal PR decline of 10.8% directly translates to a significant loss of revenue. In a region like Bursa, where industries are investing in rooftop PV for both economic and sustainability reasons (e.g., reducing energy costs and carbon footprints for ESG compliance), these losses can erode project returns. Here, the integration of strategies discussed in the literature becomes critical:
  • RECs: The lost energy production also represents lost RECs that could have been sold. Proactive soiling mitigation, as informed by this study’s site-specific cleaning schedules, can therefore protect both energy and REC revenue streams [20].
  • Storage (BESS): For a system suffering from soiling losses, a BESS can be strategically dispatched during peak tariff periods to maximize the value of the generated electricity, improving economics even with a degraded yield [21,22].
  • Digitalization: The documented spatial and temporal variation in soiling justifies the investment in digital O&M tools. AI-powered models, trained on local data such as that collected here, can predict soiling rates based on weather forecasts and schedule cleaning only when economically justified, optimizing the trade-off between cleaning cost and energy loss [23,24,40].
Therefore, the novelty of this work lies not only in its detailed seasonal and spatial analysis of soiling/thermal effects but also in its framework that connects these technical results to the holistic strategies—RECs, storage, and digitalization—essential for maintaining the competitiveness and sustainability of urban-industrial PV projects in Türkiye and similar regions.

4.7. Soiling Ratio (SR) and Performance Ratio (PR) Analysis

4.7.1. Soiling Ratio (SR) and Efficiency Loss

To quantify the impact of surface contamination on system output, the Soiling Ratio (SR) was calculated by comparing the power output of soiled panels against reference clean panels at each site, using the formula:
S R = P s o i l e d P c l e a n
Efficiency losses were then derived as the percentage deviation from the clean baseline. The results, summarized below, demonstrate varying degrees of soiling-induced degradation across the five sites:
  • SPP-1: SR = 0.88 → 12% efficiency loss
  • SPP-2: SR = 0.83 → 17% efficiency loss
  • SPP-3: SR = 0.95 → 5% efficiency loss
  • SPP-4: SR = 0.89 → 11% efficiency loss
  • SPP-5: SR = 0.91 → 9% efficiency loss
These findings confirm that soiling-related performance degradation ranged from 5% to 17%, with the highest loss observed at SPP-2, coinciding with the winter season, when particulate accumulation was at its peak.

4.7.2. Referenced and Measured Performance Ratios (PR)

To further evaluate system performance, measured Performance Ratios (PR) were compared with the PVSYST-modeled PR values (which assume ideal, clean conditions). This comparison provides insight into the additional losses attributable to environmental factors, particularly soiling.
To dynamically quantify the impact of soiling on energy production across sites, additional simulations were performed using PVsyst v7.3.4. For each site, a model was created replicating the exact system configuration and using minute-by-minute measured irradiance and temperature data as inputs. Two scenarios were run for the entire measurement period: (1) a ‘Clean’ scenario with the soiling loss parameter set to 0%, and (2) a ‘Soiled’ scenario. The difference in simulated AC energy output between these two scenarios represents the purely soiling-induced energy loss, isolated from other performance factors. The results, presented in Table 2, show that the dynamic soiling loss ranged from 4.8% at SPP-3 to 16.1% at SPP-2, which aligns closely with the Soiling Ratio (SR) calculated from instantaneous power measurements, validating our findings and highlighting the significant site-to-site variation in energy yield loss due to pollution. Dynamic simulation results were given in Table 2.

5. Conclusions

This study provides a comprehensive assessment of the combined effects of particulate matter deposition (soiling) and temperature variations on the operational performance of rooftop photovoltaic (PV) systems in an industrial-urban environment. Field measurements conducted at five sites in Bursa, Türkiye, across summer and winter seasons revealed that soiling levels exhibited strong seasonal and site-specific variability, with winter accumulation generally exceeding summer deposition, except at SPP-5 where localized factors, such as proximity to unpaved surfaces and ongoing construction, led to higher summer soiling. Analysis of electrical parameters demonstrated a significant negative impact of soiling on short-circuit current (Isc), particularly during summer when elevated module temperatures further amplified performance losses, while regression modeling confirmed soiling as the predominant factor influencing Isc, followed by temperature, with solar irradiance contributing modestly. Despite higher winter soiling, the mitigating effect of lower ambient and module temperatures highlighted the complex interplay between thermal and soiling stresses, emphasizing the need to consider these interactions in predictive models and maintenance planning. Operationally, the findings underscore the importance of site-specific cleaning schedules and thermal management strategies, with Soiling Ratio (SR) calculations indicating performance losses between 5% and 17% and PVSYST comparisons showing an average seasonal efficiency decline of approximately 10.8%.
Collectively, these results provide actionable insights for PV system operators and policymakers, demonstrating that incorporating soiling and thermal effects into system design and management can optimize energy yield, enhance reliability, and support progress toward national and global clean energy targets. Crucially, the results underscore that mitigating soiling and thermal losses is not merely a technical issue but an economic imperative for project viability. The findings provide a scientific basis for implementing tailored cleaning protocols, which can be optimized further through digital monitoring and AI-driven predictions. Furthermore, the preserved energy yield enhances the value of Renewable Energy Certificates (RECs) and improves the business case for complementary investments in storage. By integrating these technical, economic, and digital perspectives, this study offers a holistic roadmap for optimizing rooftop PV performance in Türkiye’s industrial heartlands, thereby supporting national energy security, industrial competitiveness, and climate goals.
While this study captured critical seasonal performance variations, longer-term monitoring is recommended to evaluate interannual trends, and future research should extend the analysis to other PV technologies, diverse climatic regions in Türkiye, and the economic implications of optimized cleaning strategies.

Supplementary Materials

The following supporting information can be downloaded at: https://www.mdpi.com/article/10.3390/su17178038/s1, Figure S1. FLIR E8xt Thermal Camera during field operation; Figure S2. Curve Analyzer (HT Italia SOLAR IVE) at SPP-3 site; Figure S3. Solar Irradiance Meter HT Italia SOLAR 02 at SPP-2 site; Figure S4. Cup-type anemometer for wind speed measurements installed at the SPP-4 Rooftop; Figure S5. PCE-PCO 1 laser particle counter used for airborne dust concentration measurements; Figure S6. Precisa precision balance; Figure S7. Loss Diagram of PVSYST at SPP-5 Rooftop Solar Power Plant based on the data between 20 September 2023 to 13 November 2024; Table S1. The geographic coordinates and specific characteristics of the five rooftop PV system locations; Table S2. Performance Ratio Calculation Table at SPP-1 Rooftop Solar Power Plant based on the data between September 2023 and November 2024.; Table S3. Performance Ratio Calculation Table at SPP-2 Rooftop Solar Power Plant based on the data between September 2023 and November 2024; Table S4. Performance Ratio Calculation Table at SPP-3 Rooftop Solar Power Plant based on the data between September 2023 and November 2024; Table S5. Performance Ratio Calculation Table at SPP-4 Rooftop Solar Power Plant based on the data between September 2023 and November 2024; Table S6. Performance Ratio Calculation Table at SPP-5 Rooftop Solar Power Plant based on the data between 20 September 2023 and 13 November 2024.

Author Contributions

Conceptualization, G.Ç.; Methodology, G.Ç. and A.B.; Software, O.U.; Formal analysis, O.U.; Investigation, O.U.; Data curation, O.U., G.Ç. and A.B.; Writing—original draft, G.Ç.; Writing—review & editing, G.Ç. and A.B.; Supervision, G.Ç. All authors have read and agreed to the published version of the manuscript.

Funding

This research received no external funding. The Article Processing Charge (APC) was funded by Okan UYKAN.

Institutional Review Board Statement

Not applicable.

Informed Consent Statement

Not applicable.

Data Availability Statement

The original contributions presented in this study are included in the article/Supplementary Materials. Further inquiries can be directed to the corresponding author.

Conflicts of Interest

The authors declare no conflict of interest.

References

  1. Chen, Y.; Wang, S.; Li, T. Analysis of Rooftop Photovoltaic Potential and Electricity Planning in Lanzhou Urban Areas. Buildings 2025, 15, 2207. [Google Scholar] [CrossRef]
  2. Tanesab, J.; Parlevliet, D.; Whale, J.; Urmee, T.; Pryor, T. The contribution of dust to performance degradation of PV modules in a temperate climate zone. J. Sol. Energy 2015, 120, 147–157. [Google Scholar] [CrossRef]
  3. Kazem, H.A.; Chaichan, M.T.; Al-Waeli, A.H.; Sopian, K. A review of dust accumulation and cleaning methods for solar photovoltaic systems. J. Clean. Prod. 2020, 276, 123187. [Google Scholar] [CrossRef]
  4. Sayyah, A.; Horenstein, M.N.; Mazumder, M.K. Energy yield loss caused by dust deposition on photovoltaic panels. J. Sol. Energy 2014, 107, 576–604. [Google Scholar] [CrossRef]
  5. El-Shafeiy, M.; Halim, N.A.; El-Kammar, M.; El-Bakry, G. Oligocene source-rock characteristics and hydrocarbon generation modeling of the eastern Nile delta, Egypt. J. Geoenergy Sci. Eng. 2023, 227, 211884. [Google Scholar] [CrossRef]
  6. Menoufi, K.; Farghal, H.F.M.; Farghali, A.A.; Khedr, M.H. Dust accumulation on photovoltaic panels: A case study at the East Bank of the Nile (Beni-Suef, Egypt). J. Energy Procedia 2017, 128, 24–31. [Google Scholar] [CrossRef]
  7. Adekanbi, M.L.; Alaba, E.S.; John, T.J.; Tundealao, T.D.; Banji, T.I. Soiling loss in solar systems: A review of its effect on solar energy efficiency and mitigation techniques. J. Clean. Energy Syst. 2024, 7, 100094. [Google Scholar] [CrossRef]
  8. Radziemska, E. The effect of temperature on the power drop in crystalline silicon solar cells. J. Renew. Energy 2003, 28, 1–12. [Google Scholar] [CrossRef]
  9. Patel, G.M.; Shukla, S.H. GIS-Based 3D Modelling for Urban Green Energy PV Potential Estimation. Indian J. Sci. Technol. 2025, 18, 696–704. [Google Scholar] [CrossRef]
  10. Kapsalis, V.; Maduta, C.; Skandalos, N.; Wang, M.; Bhuvad, S.S.; D’Agostino, D.; Ma, T.; Raj, U.; Parker, D.; Peng, J.; et al. Critical assessment of large-scale rooftop photovoltaics deployment in the global urban environment. Renew. Sustain. Energy Rev. 2024, 189, 114005. [Google Scholar] [CrossRef]
  11. Banirazi Motlagh, S.H.; Hosseini, S.M.A.; Pons-Valladares, O. Integrated Value Model for Sustainability Assessment of Residential Solar Energy Systems towards Minimizing Urban Air Pollution in Tehran. Sol. Energy 2023, 259, 121–135. [Google Scholar] [CrossRef]
  12. Kozlovas, P.; Gudzius, S.; Ciurlionis, J.; Jonaitis, A.; Konstantinaviciute, I.; Bobinaite, V. Assessment of Technical and Economic Potential of Urban Rooftop Solar Photovoltaic Systems in Lithuania. Energies 2023, 16, 5410. [Google Scholar] [CrossRef]
  13. Maghami, M.R.; Hizam, H.; Gomes, C.; Radzi, M.A.; Rezadad, M.I.; Hajighorbani, S. Power Loss Due to Soiling on Solar Panel: A Review. Renew. Sustain. Energy Rev. 2016, 59, 1307–1316. [Google Scholar] [CrossRef]
  14. Said, S.A.M.; Walwil, H.M. Fundamental Studies on Dust Fouling Effects on PV Module Performance. Sol. Energy 2014, 107, 328–337. [Google Scholar] [CrossRef]
  15. Costa, S.C.S.; Diniz, A.S.A.C.; Kazmerski, L.L. Solar Energy Dust and Soiling R&D Progress: Literature Review Update for 2016. Renew. Sustain. Energy Rev. 2018, 82, 2504–2536. [Google Scholar] [CrossRef]
  16. Mani, M.; Pillai, R. Impact of Dust on Solar Photovoltaic (PV) Performance: Research Status, Challenges and Recommendations. Renew. Sustain. Energy Rev. 2010, 14, 3124–3131. [Google Scholar] [CrossRef]
  17. Bergin, M.H.; Ghoroi, C.; Dixit, D.; Schauer, J.J.; Shindell, D.T. Large Reductions in Solar Energy Production Due to Dust and Particulate Air Pollution. Environ. Sci. Technol. Lett. 2017, 4, 339–344. [Google Scholar] [CrossRef]
  18. Javed, W.; Guo, B.; Wubulikasimu, Y.; Figgis, B.W. Photovoltaic performance degradation due to soiling and characterization of the accumulated dust. In Proceedings of the 2016 IEEE International Conference on Power and Renewable Energy (ICPRE), Shanghai, China, 21–23 October 2016; pp. 580–584. [Google Scholar] [CrossRef]
  19. Ilse, K.K.; Figgis, B.W.; Werner, M.; Naumann, V.; Hagendorf, C.; Pöllmann, H.; Bagdahn, J. Comprehensive analysis of soiling and cementation processes on PV modules in Qatar. Sol. Energy Mater. Sol. Cells 2018, 186, 309–323. [Google Scholar] [CrossRef]
  20. Ilse, K.; Micheli, L.; Figgis, B.W.; Lange, K.; Dassler, D.; Hanifi, H.; Wolfertstetter, F.; Naumann, V.; Hagendorf, C.; Gottschalg, R.; et al. Techno-Economic Assessment of Soiling Losses and Mitigation Strategies for Solar Power Generation. Joule 2019, 3, 2303–2321. [Google Scholar] [CrossRef]
  21. Figgis, B.; Ennaoui, A.; Ahzi, S.; Remond, Y. Review of PV Soiling Particle Mechanics in Desert Environments. Renew. Sustain. Energy Rev. 2017, 76, 872–881. [Google Scholar] [CrossRef]
  22. Kim, M.J. Air Pollution and Solar Photovoltaic Power Generation: Evidence from South Korea. Energy Econ. 2024, 139, 107924. [Google Scholar] [CrossRef]
  23. Alraeesi, A.; Shah, A.H.; Hassan, A.; Laghari, M.S. Characterisation of Dust Particles Deposited on Photovoltaic Panels in the United Arab Emirates. Appl. Sci. 2023, 13, 13162. [Google Scholar] [CrossRef]
  24. Mehmood, U.; Al-Sulaiman, F.A.; Yilbas, B.S. Characterization of dust collected from PV modules in the area of Dhahran, Kingdom of Saudi Arabia, and its impact on protective transparent covers for photovoltaic applications. Sol. Energy 2017, 141, 203–209. [Google Scholar] [CrossRef]
  25. Gholami, A.; Khazaee, I.; Eslami, S.; Zandi, M.; Akrami, E. Experimental Investigation of Dust Deposition Effects on Photo-Voltaic Output Performance. Sol. Energy 2018, 159, 346–352. [Google Scholar] [CrossRef]
  26. Kaldellis, J.K.; Kapsali, M.; Kavadias, K.A. Temperature and Wind Speed Impact on the Efficiency of PV Installations: Experience Obtained from Outdoor Measurements in Greece. Renew. Energy 2014, 66, 612–624. [Google Scholar] [CrossRef]
  27. Adinoyi, M.J.; Said, S.A.M. Effect of Dust Accumulation on the Power Outputs of Solar Photovoltaic Modules. Renew. Energy 2013, 60, 633–636. [Google Scholar] [CrossRef]
  28. Rashid, M.; Yousif, M.; Rashid, Z.; Muhammad, A.; Altaf, M.; Mustafa, A. Effect of dust accumulation on the performance of photovoltaic modules for different climate regions. Heliyon 2023, 9, e23069. [Google Scholar] [CrossRef] [PubMed]
  29. Borah, P.; Micheli, L.; Sarmah, N. Analysis of Soiling Loss in Photovoltaic Modules: A Review of the Impact of Atmospheric Parameters, Soil Properties, and Mitigation Approaches. Sustainability 2023, 15, 16669. [Google Scholar] [CrossRef]
  30. Jiang, Y.; Lu, L.; Lu, H. A novel model to estimate the cleaning frequency for dirty solar photovoltaic (PV) modules in desert environment. Sol. Energy 2016, 140, 236–240. [Google Scholar] [CrossRef]
  31. Conceição, R.; Silva, H.G.; Mirão, J.; Collares-Pereira, M. Organic Soiling: The Role of Pollen in PV Module Performance Degradation. Energies 2018, 11, 294. [Google Scholar] [CrossRef]
  32. Al-Sharafi, A.; Ahmadullah, A.B.; Hassan, G.; Al-Qahtani, H.; Abubakar, A.A.; Yilbas, B.S. Influence of environmental dust accumulation on the performance and economics of solar energy systems. Clean Energy Syst. 2024, 8, 100154. [Google Scholar]
  33. EMBER. Türkiye Surpasses 2025 Solar Target as Capacity Doubles in 2.5 Years. 2025. Available online: https://ember-energy.org/app/uploads/2025/01/EN-Turkiye-surpasses-2025-solar-target-as-capacity-doubled.pdf (accessed on 1 September 2025).
  34. Ministry of Energy and Natural Resources (Türkiye). National Energy Plan; Ankara, Türkiye, 2022. Available online: https://enerji.gov.tr/Media/Dizin/EIGM/tr/Raporlar/TUEP/T%C3%BCrkiye_National_Energy_Plan.pdf (accessed on 1 September 2025).
  35. Erden Topal, Y.; Erdil, E. Market Formation in Turkish Solar Electricity Generation: Technology Innovation System Approach. İzmir İktisat Derg. 2023, 38, 625–645. [Google Scholar] [CrossRef]
  36. Arslan, A.A.; Biçen, T.; Vardar, A. Changes in Climate Parameters and Their Effects on Renewable Energy Resources Potential: Bursa Sample. Bursa Uludağ Üniversitesi Ziraat Fakültesi Derg. 2021, 35, 33–44. [Google Scholar]
  37. Çubukcu, M.; Gümüş, H. Performance analysis of a grid-connected photovoltaic plant in eastern Turkey. Sustain. Energy Technol. Assess. 2020, 39, 100724. [Google Scholar] [CrossRef]
  38. Elamim, A.; Sarikh, S.; Hartiti, B.; Benazzouz, A.; Elhamaoui, S.; Ghennioui, A. Experimental studies of dust accumulation and its effects on the performance of solar PV systems in Mediterranean climate. Energy Rep. 2024, 11, 2346–2359. [Google Scholar] [CrossRef]
  39. Günen, M.A. A comprehensive framework based on GIS-AHP for the installation of solar PV farms in Kahramanmaraş, Turkey. Renew. Energy 2021, 178, 212–225. [Google Scholar] [CrossRef]
  40. Tascıoglu, A.; Taskın, O.; Vardar, A. A power case study for monocrystalline and polycrystalline solar panels in Bursa city, Turkey. Int. J. Photoenergy 2016, 2016, 7324138. [Google Scholar] [CrossRef]
  41. Ammari, N.; Mehdi, M.; Alami Merrouni, A.; El Gallassi, H.; Chaabelasri, E.; Ghennioui, A. Experimental study on the impact of soiling on the modules temperature and performance of two different PV technologies under hot arid climate. Heliyon 2022, 8, e11395. [Google Scholar] [CrossRef]
  42. Chiteka, K.; Enweremadu, C.C. Soiling mechanics of solar photovoltaics: A review. J. Therm. Eng. 2025, 11, 922–948. [Google Scholar] [CrossRef]
  43. IRENA. Renewable Power Generation Costs in 2022; International Renewable Energy Agency: Abu Dhabi, United Arab Emirates, 2023; Available online: https://www.irena.org/Publications/2023/Aug/Renewable-Power-Generation-Costs-in-2022 (accessed on 1 September 2025).
  44. Fraunhofer ISE. Levelized Cost of Electricity—Renewable Energy Technologies; Fraunhofer Institute for Solar Energy Systems: Freiburg, Germany, 2023; Available online: https://www.ise.fraunhofer.de/en/publications/studies/cost-of-electricity.html (accessed on 1 September 2025).
  45. de Wild-Scholten, M.J. Energy Payback Time and Carbon Footprint of Commercial Photovoltaic Systems. Sol. Energy Mater. Sol. Cells 2013, 119, 296–305. [Google Scholar] [CrossRef]
  46. Laleman, R.; Albrecht, J.; Dewulf, J. Life Cycle Analysis to Estimate the Environmental Impact of Residential Photovoltaic Systems in Regions with a Low Solar Irradiation. Renew. Sustain. Energy Rev. 2011, 15, 267–281. [Google Scholar] [CrossRef]
  47. Zhu, Q.; Chen, X.; Song, M.; Li, X.; Shen, Z. Impacts of renewable electricity standard and Renewable Energy Certificates on renewable energy investments and carbon emissions. J. Environ. Manage. 2022, 306, 114495. [Google Scholar] [CrossRef] [PubMed]
  48. Mongird, K.; Viswanathan, V.; Balducci, P.; Alam, J.; Fotedar, V.; Koritarov, V.; Hadjerioua, B. An Evaluation of Energy Storage Cost and Performance Characteristics. Energies 2020, 13, 3307. [Google Scholar] [CrossRef]
  49. Pinto, G.X.A.; Naspolini, H.F.; Rüther, R. Assessing the economic viability of BESS in distributed PV generation on public buildings in Brazil: A 2030 outlook. Renew. Energy 2024, 225, 120252. [Google Scholar] [CrossRef]
  50. Wu, Y.; Liu, Z.; Li, B.; Liu, J.; Zhang, L. Energy management strategy and optimal battery capacity for flexible PV-battery system under time-of-use tariff. Renew. Energy 2022, 200, 558–570. [Google Scholar] [CrossRef]
  51. Azouzoute, A.; Zitouni, H.; El Ydrissi, M.; Hajjaj, C.; Garoum, M.; Bennouna, E.G.; Ghennioui, A. Developing a cleaning strategy for hybrid solar plants PV/CSP: Case study for semi-arid climate. Energy 2021, 228, 120565. [Google Scholar] [CrossRef]
  52. Boubakr, G.; Gu, F.; Farhan, L.; Ball, A. Enhancing Virtual Real-Time Monitoring of Photovoltaic Power Systems Based on the Internet of Things. Electronics 2022, 11, 2469. [Google Scholar] [CrossRef]
  53. Tahir, M.F.; Tzes, A.; El-Fouly, T.H.M.; El Moursi, M.S.; Larik, N.A. Evaluating soiling effects to optimize solar photovoltaic performance using machine learning algorithms. Energy Convers. Manag. X 2025, 26, 100921. [Google Scholar] [CrossRef]
  54. Al-Humairi, A.; Khalis, E.; Al-Hemyari, Z.A.; Jung, P. Machine Learning-Based Predictive Maintenance for Photovoltaic Systems. AI 2025, 6, 133. [Google Scholar] [CrossRef]
  55. Menoufi, K. Dust Accumulation on the Surface of Photovoltaic Panels: Introducing the Photovoltaic Soiling Index (PVSI). Sustainability 2017, 9, 963. [Google Scholar] [CrossRef]
  56. Alquthami, T.; Menoufi, K. Soiling of Photovoltaic Modules: Comparing between Two Distinct Locations within the Framework of Developing the Photovoltaic Soiling Index (PVSI). Sustainability 2019, 11, 4697. [Google Scholar] [CrossRef]
  57. Shah, A.; Hassan, A.; Laghari, M.S.; Alraessi, A. The Influence of Cleaning Frequency of Photovoltaic Modules on Power Losses in the Desert Climate. Sustainability 2020, 12, 9750. [Google Scholar] [CrossRef]
  58. Zeedan, A.; Barakeh, A.; Al-Fakhroo, K.; Touati, F.; Gonzales, S.P. Quantification of PV Power and Economic Losses Due to Soiling in Qatar. Sustainability 2021, 13, 3364. [Google Scholar] [CrossRef]
  59. Alawasa, K.M.; AlAbri, R.S.; Al-Hinai, A.S.; Albadi, M.H.; Al-Badi, A.H. Experimental Study on the Effect of Dust Deposition on a Car Park Photovoltaic System with Different Cleaning Cycles. Sustainability 2021, 13, 7636. [Google Scholar] [CrossRef]
  60. Redondo, M.; Platero, C.A.; Moset, A.; Rodríguez, F.; Donate, V. Review and Comparison of Methods for Soiling Modeling in Large Grid-Connected PV Plants. Sustainability 2024, 16, 10998. [Google Scholar] [CrossRef]
  61. Laarabi, B.; Sankarkumar, S.; Rajasekar, N.; El Baqqal, Y.; Barhdadi, A. Modeling Investigation of Soiling Effect on Solar Photovoltaic Systems: New Findings. Sustain. Energy Technol. Assess. 2022, 52, 102126. [Google Scholar] [CrossRef]
  62. Souza, J.J.S.; Carvalho, P.C.M. Experimental Investigation of Soiling Impact on a PV Plant in Fortaleza, Brazil. Sustain. Energy Technol. Assess. 2025, 73, 104153. [Google Scholar] [CrossRef]
  63. Sanchis-Gomez, C.; Aleix-Moreno, J.; Vargas-Salgado, C.; Alfonso-Solar, D. Towards More Sustainable Photovoltaic Systems: Enhanced Open-Circuit Voltage Prediction with a New Extreme Meteorological Year Model. Sustainability 2025, 17, 7554. [Google Scholar] [CrossRef]
  64. De Francesco, C.; Centorame, L.; Toscano, G.; Duca, D. Opportunities, Technological Challenges and Monitoring Approaches in Agrivoltaic Systems for Sustainable Management. Sustainability 2025, 17, 634. [Google Scholar] [CrossRef]
  65. Jamil, U.; Pearce, J.M. Regenerative Agrivoltaics: Integrating Photovoltaics and Regenerative Agriculture for Sustainable Food and Energy Systems. Sustainability 2025, 17, 4799. [Google Scholar] [CrossRef]
  66. Krasner, N.Z.; Fox, J.; Armstrong, A.; Avei, K.; Carvalho, F.; Li, Y.; Waltson, L.J.; Ricketts, M.P.; Jordaan, S.M.; Najm, M.A.; et al. Impacts of photovoltaic solar energy on soil carbon: A global systematic review and framework. Renew. Sustain. Energy Rev. 2025, 208, 115032. [Google Scholar] [CrossRef]
  67. El-Mahallawi, I.; Elshazly, E.; Ramadan, M.; Nasser, R.; Yasser, M.; El-Badry, S.; Elthakaby, M.; Oladinrin, O.T.; Rana, M.Q. Solar PV Panels-Self-Cleaning Coating Material for Egyptian Climatic Conditions. Sustainability 2022, 14, 11001. [Google Scholar] [CrossRef]
  68. Farungsang, L.; Varquez, A.C.G.; Tokimatsu, K. Geospatial Assessment and Economic Analysis of Rooftop Solar Photovoltaic Potential in Thailand. Sustainability 2025, 17, 7052. [Google Scholar] [CrossRef]
  69. Alfalah, B. Effectiveness of Installing a Photovoltaic System on a High-Density Building in a Hot Climate Zone. Sustainability 2025, 17, 7523. [Google Scholar] [CrossRef]
  70. IEC-61724-1; Photovoltaic System Performance—Part 1: Monitoring. Document Center, Inc.: Glendale, CA, USA, 2017. Available online: https://www.document-center.com/standards/show/IEC-61724-1/history/EDITION%201.0 (accessed on 3 September 2025).
Figure 1. Schematic display of the sampling points.
Figure 1. Schematic display of the sampling points.
Sustainability 17 08038 g001
Figure 2. Seasonal variation in solar irradiation (kWh/m2), PV module surface temperature (°C), and energy production (kWh) measured across five rooftop solar power plant sites (SPP-1 to SPP-5) during summer and winter.
Figure 2. Seasonal variation in solar irradiation (kWh/m2), PV module surface temperature (°C), and energy production (kWh) measured across five rooftop solar power plant sites (SPP-1 to SPP-5) during summer and winter.
Sustainability 17 08038 g002
Figure 3. Seasonal variations at SPP-1: (a) Pollution accumulation on PV module surfaces (mg/m2), (b) prevailing wind directions (wind rose diagram), and (c) short-circuit current (Isc) measurements (A) across module positions.
Figure 3. Seasonal variations at SPP-1: (a) Pollution accumulation on PV module surfaces (mg/m2), (b) prevailing wind directions (wind rose diagram), and (c) short-circuit current (Isc) measurements (A) across module positions.
Sustainability 17 08038 g003
Figure 4. Seasonal variations at SPP-2: (a) Pollution accumulation on PV module surfaces (mg/m2), (b) prevailing wind directions (wind rose diagram), and (c) short-circuit current (Isc) measurements (A) across module positions.
Figure 4. Seasonal variations at SPP-2: (a) Pollution accumulation on PV module surfaces (mg/m2), (b) prevailing wind directions (wind rose diagram), and (c) short-circuit current (Isc) measurements (A) across module positions.
Sustainability 17 08038 g004
Figure 5. Seasonal variations at SPP-3: (a) Pollution accumulation on PV module surfaces (mg/m2), (b) prevailing wind directions (wind rose diagram), and (c) short-circuit current (Isc) measurements (A) across module positions.
Figure 5. Seasonal variations at SPP-3: (a) Pollution accumulation on PV module surfaces (mg/m2), (b) prevailing wind directions (wind rose diagram), and (c) short-circuit current (Isc) measurements (A) across module positions.
Sustainability 17 08038 g005
Figure 6. Seasonal variations at SPP-4: (a) Pollution accumulation on PV module surfaces (mg/m2), (b) prevailing wind directions (wind rose diagram), and (c) short-circuit current (Isc) measurements (A) across module positions.
Figure 6. Seasonal variations at SPP-4: (a) Pollution accumulation on PV module surfaces (mg/m2), (b) prevailing wind directions (wind rose diagram), and (c) short-circuit current (Isc) measurements (A) across module positions.
Sustainability 17 08038 g006
Figure 7. Seasonal variations at SPP-5: (a) Pollution accumulation on PV module surfaces (mg/m2), (b) prevailing wind directions (wind rose diagram), and (c) short-circuit current (Isc) measurements (A) across module positions.
Figure 7. Seasonal variations at SPP-5: (a) Pollution accumulation on PV module surfaces (mg/m2), (b) prevailing wind directions (wind rose diagram), and (c) short-circuit current (Isc) measurements (A) across module positions.
Sustainability 17 08038 g007
Figure 8. Seasonal variations at five rooftop PV sites: (a) average soiling levels (mg/m2) during summer and winter, (b) corresponding energy production per panel (kWh) with standard deviation bars.
Figure 8. Seasonal variations at five rooftop PV sites: (a) average soiling levels (mg/m2) during summer and winter, (b) corresponding energy production per panel (kWh) with standard deviation bars.
Sustainability 17 08038 g008
Table 1. Summary of equipment used during measurement campaigns.
Table 1. Summary of equipment used during measurement campaigns.
DeviceModelManufacturer CountryPrimary Function
Infrared Thermal CameraFLIR E8XtOctopart, New York, NY, USASurface temperature imaging and thermal anomalies
I–V Curve AnalyzerHT Italia SOLAR IVeHT ITALIA SRL, Faenza, ItalyElectrical performance (Isc, Voc, Pmax)
PyranometerHT Italia SOLAR 02HT ITALIA SRL, Faenza, ItalyGlobal solar irradiance measurement
Laser Particle CounterPCE-PCO 1PCE Instruments, Meschede, GermanyReal-time ambient particulate concentration
Precision Analytical BalancePrecisa PB 220APrecisa Gravimetrics AG, Dietikon, SwitzerlandDust mass measurement (g/m2)
Cup-Type AnemometerFST200-205Firstratesensor, Changsha, ChinaWind speed monitoring
Table 2. Dynamic Simulation Results of Soiling-Induced Energy Loss Across Sites.
Table 2. Dynamic Simulation Results of Soiling-Induced Energy Loss Across Sites.
SiteMeasurement PeriodTotal AC Energy (Clean) [kWh]Total AC Energy (Soiled) [kWh]Soiling-Induced Energy Loss [kWh]Soiling Loss [%]
SPP-1Summer 20241325.41198.2127.29.6
SPP-1Winter 2024893.7768.5125.214.0
SPP-2Summer 20241486.21321.9164.311.1
SPP-2Winter 2024972.6816.3156.316.1
SPP-3Summer 2024582.3554.228.14.8
SPP-3Winter 2024423.8403.120.74.9
SPP-4Summer 2024635.8578.657.29.0
SPP-4Winter 2024487.2438.548.710.0
SPP-5Summer 2024358.9326.632.39.0
SPP-5Winter 2024294.7268.226.59.0
Disclaimer/Publisher’s Note: The statements, opinions and data contained in all publications are solely those of the individual author(s) and contributor(s) and not of MDPI and/or the editor(s). MDPI and/or the editor(s) disclaim responsibility for any injury to people or property resulting from any ideas, methods, instructions or products referred to in the content.

Share and Cite

MDPI and ACS Style

Uykan, O.; Çelik, G.; Birgül, A. Quantifying the Impact of Soiling and Thermal Stress on Rooftop PV Performance: Seasonal Analysis from an Industrial Urban Region in Türkiye. Sustainability 2025, 17, 8038. https://doi.org/10.3390/su17178038

AMA Style

Uykan O, Çelik G, Birgül A. Quantifying the Impact of Soiling and Thermal Stress on Rooftop PV Performance: Seasonal Analysis from an Industrial Urban Region in Türkiye. Sustainability. 2025; 17(17):8038. https://doi.org/10.3390/su17178038

Chicago/Turabian Style

Uykan, Okan, Güray Çelik, and Aşkın Birgül. 2025. "Quantifying the Impact of Soiling and Thermal Stress on Rooftop PV Performance: Seasonal Analysis from an Industrial Urban Region in Türkiye" Sustainability 17, no. 17: 8038. https://doi.org/10.3390/su17178038

APA Style

Uykan, O., Çelik, G., & Birgül, A. (2025). Quantifying the Impact of Soiling and Thermal Stress on Rooftop PV Performance: Seasonal Analysis from an Industrial Urban Region in Türkiye. Sustainability, 17(17), 8038. https://doi.org/10.3390/su17178038

Note that from the first issue of 2016, this journal uses article numbers instead of page numbers. See further details here.

Article Metrics

Back to TopTop