Abstract
Against the backdrop of the accelerated development of the global digital economy and the deepening advancement of the sustainable development agenda, artificial intelligence (AI) is emerging as the core driving force behind the new round of technological revolution, reshaping the competitive landscape of international trade. Chinese export companies are facing dual pressures from technological barriers imposed by developed countries and cost competition from emerging economies, making traditional development models unsustainable. In this context, exploring how AI technology can promote the sustainable growth of export companies holds significant theoretical and practical significance. This article employs a three-dimensional fixed-effects nonlinear quadratic model to empirically analyze the dynamic relationship between AI adoption and the growth of export companies, based on data from Chinese A-share listed export companies. The analysis results show that AI has a significant dynamic nonlinear effect on the growth of export companies, which is initially inhibitory and then becomes promotional. In the early stages, due to high technology adaptation costs, company growth is somewhat inhibited. However, as the technology matures, AI significantly enhances the company’s innovation capabilities and competitiveness, thereby promoting its long-term sustainable growth. This result remains valid after a series of robustness tests. This effect is significant in non-state-owned enterprises and medium-to-low technology industries, but not in state-owned enterprises and high-technology industries. Three pathways—enterprise efficiency, innovation investment, and levels of digital factor investment—enhance this dynamic effect. Finally, based on the above research findings, this study proposes policy recommendations for enterprises to leverage artificial intelligence technology to promote the growth of export companies.
1. Introduction
Today’s world is experiencing a great change, marked by an accelerating wave of technological revolution and industrial change. At the forefront of this transformation is the smart economy, driven by artificial intelligence (AI), which is reshaping the global economic landscape. AI encompasses a range of technologies that simulate human intelligence through computer systems. Its core capabilities include machine learning, knowledge representation, natural language processing, and adaptive decision-making (Russell & Norvig, 2021) [1]. The rapid innovation and expanding application of AI technologies have drawn significant attention due to their profound economic and societal implications. On the one hand, AI fosters productivity gains, generates new employment opportunities, drives economic growth, and opens new avenues for international trade. On the other hand, it also presents substantial challenges: certain jobs may be displaced by automation, leading to temporary unemployment; the growing income disparity between high- and low-skilled workers may exacerbate social inequality.
In this context, export-oriented enterprises—as key drivers of national economic strength and global competitiveness—are particularly exposed to the transformative effects of AI, making them critical subjects in understanding its broader impact. As artificial intelligence (AI) has become an important force leading the future development of science and technology, its technological innovation, application scenario expansion, and potential impact on the economy and society have received widespread attention. The performance and competitiveness of export enterprises are a key dimension in assessing a country or region’s economic strength, international trade status, sustainable development capability, and global competitiveness, making it an important area of the impact of artificial intelligence. China’s economy has created a rare “growth miracle” in human history since the reform and opening up, and enterprises, as the micro-foundation of a country’s economic development, are an important driving force for sustained and rapid economic growth. There is no doubt that, as the main participants in economic activities, the growth capacity of enterprises plays a crucial role in the realization of this “growth miracle.” From a micro point of view, the growth and upgrading of enterprises is related to the enhancement of their own competitiveness and sustainable development, and from a macro perspective, the growth and upgrading of enterprises are also related to the sustainable growth of the national economy, which has become a critical issue with practical significance and policy implications in China. As one of the “troika” driving economic growth, foreign trade plays a pivotal role in promoting national economic prosperity and enhancing international competitiveness, and its development trend has attracted much attention. Therefore, against the background of the current complex and changing global economic situation, the growth of export enterprises is the core force for promoting national economic growth and upgrading industrial structure.
However, Chinese export enterprises are facing the dual pressure of “technical barriers from developed countries ahead and cost competition from emerging countries behind.” How to break through this predicament and achieve sustainable growth has become a core issue that needs to be urgently addressed.
The rapid progress of artificial intelligence brings unprecedented opportunities for the growth of export enterprises. Grasping this leading technology amid the new wave of scientific and technological revolution and industrial transformation can promote enterprise export upgrading, increase trade profits, and further enhance the efficiency of the export-oriented economy. This, in turn, helps consolidate the long-term competitiveness of Chinese enterprises, elevate their position in the global division of labor, and lay a solid foundation for achieving a higher level of open economy (Ke Ming et al., 2023) [2]. Through the growth and development of export enterprises, the country can effectively break through the bottlenecks of the “comparative advantage trap” and the “low-end value chain lock-in,” thereby promoting sustainable and high-quality economic development. Meanwhile, the impact of AI on the growth of China’s export enterprises also provides a reference development paradigm for emerging countries, such as Vietnam and India, which are similarly facing pressure to upgrade their manufacturing sectors. It offers new development momentum, contributes to the realization of global sustainable development goals, and promotes the establishment of a fairer, more inclusive, and more sustainable global digital economic order.
Based on the research background and practical challenges, this paper raises the following core questions: (1) Does AI facilitate or inhibit the growth of exporting firms? (2) Through which mechanisms does AI affect the growth of export enterprises? Through theoretical analysis, the following two core hypotheses are proposed: Hypothesis 1: Artificial intelligence has a dynamic and non-linear impact on the growth of export enterprises, characterized by an initial inhibitory effect followed by a promotional effect. Hypothesis 2: Enhancing enterprise efficiency, increasing innovation input, improving digital factor input levels, and other mechanisms can strengthen the dynamic impact of artificial intelligence on the growth of export enterprises. These two hypotheses will be empirically tested in the subsequent chapters.
This paper utilizes large-scale micro-data from 2010 to 2023, including the China Statistical Yearbook, China Customs Import and Export Trade Database, annual reports of listed companies, and the Cathay Pacific CSMAR Database, to examine the dynamic impact of AI application on the growth of export enterprises, using Chinese A-share listed exporters as the sample. This study finds that (1) AI exerts a significant dynamic nonlinear effect on export enterprise growth, characterized by an initial inhibitory effect followed by a promotional effect; (2) heterogeneity analysis shows that this nonlinear effect is significant for non-state-owned enterprises and those in medium- and low-tech industries, but not significant for state-owned enterprises or those in high-tech sectors; (3) mechanism analysis reveals that enhancing enterprise efficiency, increasing innovation investment, and raising digital factor input levels are key pathways through which AI improves the dynamic growth trajectory of export enterprises.
The marginal contributions of this paper lie in the following aspects. First, in terms of research methodology and conclusions, this paper focuses on the dynamic impact of AI applications on the growth of export enterprises. By employing a three-dimensional fixed-effects nonlinear quadratic model, it empirically examines the relationship and confirms a nonlinear dynamic effect of “first suppression, then enhancement.” The analysis further argues that AI amplifies this effect through mechanisms such as improving enterprise efficiency, increasing innovation input, and enhancing digital factor input. Second, in terms of research scope, this study specifically targets China’s A-share listed export enterprises—unlike most existing studies, which focus on industrial enterprises, countries, or provinces—thus providing a more micro-level and enterprise-specific perspective. Third, in terms of measurement, this paper adopts a more convincing method by using the complexity of export technology to assess enterprise growth, instead of relying on traditional single indicators such as export volume or profit. Additionally, rather than using the conventional proxy of “the number of industrial robots” to measure AI level, this study constructs an AI keyword dictionary and conducts text analysis on annual reports to extract AI-related keywords, thereby offering a more nuanced understanding of AI application at the firm level.
Through this study, it is expected to provide policymakers with decision-making references on how to effectively utilize AI technology to promote the high-quality development of export enterprises, and provide strategic guidance on the transformation, upgrading, and sustainable development of export enterprises to academics. It will also offer strategic guidance on the upgrading and sustainable development strategic guidance for export enterprises, while contributing new knowledge and insights on the relationship between AI and the growth of export enterprises to the academic community.
2. Literature Review
The existing literature on the relationship between the application of artificial intelligence and the growth of firms is limited, particularly regarding its impact on the growth of exporting firms. The studies related to this paper primarily focus on the following areas:
2.1. On the Impact of Artificial Intelligence on Exporting Firms
When artificial intelligence first emerged, most of the research related to AI applications by scholars stayed at the analytical description level, and there was little literature on the quantitative analysis of AI. The construction of an assessment framework for AI technology is the key to balancing its innovative potential and risk. Capriglione et al. (2024) pointed out that artificial intelligence (AI) has penetrated into the fields of technology, medicine, and sociology, and that its practical application needs to be systematically assessed for reliability and validity before application [3]. Most scholars, in the early studies, focused on analyzing the impact of AI on employment and the application of AI in the financial field and financial management, etc. [4,5]. In recent years, to enterprise as the object of study, the impact of artificial intelligence aspects of analysis is also rich, mainly focused on labor force employment and income distribution, the level of innovation and technology, productivity, exports, etc. Acemoglu et al. (2020) revealed the trade-off between productivity gains and job losses associated with the adoption of robotics, based on data from French firms [6]. Kulkov (2021) investigated pharmaceutical companies and found that AI impacts business process transformation differently depending on firm size. Specifically, small firms primarily transformed processes such as R&D and master data management, large firms focused on production and sales processes, while medium-sized firms tailored their transformations to their unique characteristics [7]. Li et al. (2023) demonstrated that AI significantly improves corporate energy and resource efficiency [8]. At the same time, the measurement of the level of artificial intelligence is also getting closer to reality. For example, Chen et al. (2024) observe the negative effect of AI in reducing the labor income share in the service sector [9]. Han and Mao (2024) used data from the International Federation of Robotics to confirm that AI enhances firm innovation by optimizing the workforce skill mix, increasing R&D expenditure, and reinforcing technological spillovers [10]. Shaik A. S. et al. (2024) explored technological and strategic enablers that facilitate carbon-neutral operations through AI-driven business model innovations, particularly suitable for SMEs aiming to adopt sustainable practices [11]. Gao et al. (2025), drawing on resource-based theory, revealed that AI capabilities promote product innovation through business intelligence transformational capabilities, with this effect moderated by knowledge governance mechanisms [12]. These studies also demonstrate that the diffusion path of AI technologies is significantly heterogeneous, with the intensity of their effects varying according to firms’ and industries’ resource endowments (Liu et al., 2020 [13]; Li et al., 2023 [14]).
Meanwhile, the measurement of AI levels by various scholars is becoming increasingly aligned with real-world applications. For example, Turovets et al. (2020) constructed an indicator framework incorporating surveys, bibliometrics, and patents to assess the level of AI development in Russia, offering an important reference for evaluating AI progress at the national level [15]. Wang et al. (2023) developed and validated a quantitative scale to measure users’ AI literacy—including awareness, usage, evaluation, and ethics—providing new perspectives for understanding human-computer interactions [16]. Giudici et al. (2024) proposed the KAIRI framework for financial services, which aims to measure AI-related risks in terms of sustainability, accuracy, fairness, and interpretability [17]. Yao Jaquan et al. (2024) validate that AI in Chinese firms upgrades their labor force through upgrading its skill structure (reducing conventional low-skills and increasing very low-skills) by constructing an AI indicator for Chinese firms (reducing conventional low-skill and increasing unconventional high-skill) to drive productivity growth [18].
2.2. On the Measurement of Enterprise Growth and Its Influencing Factors
Early enterprise growth theory is based on the traditional economics framework, emphasizing the driving role of external market demand, price mechanism, and economies of scale, and Marshall proposes that enterprises obtain economies of scale through scale expansion to drive growth. Schumpeter’s innovation theory emphasizes that enterprise growth comes from innovation and entrepreneurship, through technological innovation and creative destruction, to promote market change and enterprise expansion. Theories at this stage focused mainly on the external conditions of the market and industry, and less on the internal resources and capabilities of the firm. It was not until Edith Penrose’s book The Growth Theory of the Firm [19], published in 1959, that she emphasized that firm growth is constrained by internal resources and managerial capabilities. She pointed out that growth is not only scale expansion, but that innovation, knowledge accumulation, and management optimization are also needed to achieve qualitative change, that the core lies in the dynamic integration of internal resources in order to break through the endogenous limitations, and that growth is the process of resource utilization efficiency and organizational capacity, beyond simple quantitative growth. Therefore, the measurement of corporate growth has also changed from scale indicators such as sales, market share, asset size, and number of employees (Heshmati, 2001 [20] originally; Morone and Testa, 2008 [21]) to profitability and efficiency indicators such as profit margins, return on capital, and labor productivity (Fang F. and Cai W., 2016 [22]).
As there is relatively limited literature focusing directly on firm growth, this paper provides an in-depth discussion within the context of key indicators of firm growth (e.g., productivity, firm performance, resource allocation, etc.). Snodgrass and Winkler (2004) argued that a well-functioning market promotes firm growth, achieves efficient resource allocation, and maximizes profits and social welfare. Conversely, in the context of a dysfunctional market and an underperforming economy, government and donor intervention are required to enhance market efficiency and stimulate firm growth [23]. Dung and Giang (2022) revealed that two international intrapreneurial activities—employee strategic renewal behavior and new business entrepreneurial behavior—significantly contribute to SMEs’ export performance and examined the underlying mechanisms [24]. Badghish and Soomro (2024), studying Saudi Arabian SMEs through a questionnaire, found that AI significantly impacts SMEs’ operational and economic performance [25]. Li and Wei (2024), using data from A-share listed companies in China, found that digital transformation, via reduced financing constraints and enhanced debt financing, promotes firm growth performance [26]. Charoenrat and Amornkitvikai (2024) empirically found that foreign direct investment (FDI), CEO gender, R&D, innovation, and foreign/imported technology significantly enhance the export intensity of Chinese manufacturing firms, whereas firm age and skilled labor force were not significant contributors [27]. Garcia-Martinez et al. (2023), through a systematic literature review, identified seven key factors influencing firm growth and financial performance: size, age, internationalization, networks, innovation, public institutions, and capital structure, and highlighted that these factors may be interrelated [28].
Some scholars have also discussed the negative factors affecting business growth. Khan M. A. (2022), through a questionnaire survey, identified several impediments to the performance of entrepreneurial SMEs in Pakistan, including lack of financing and infrastructure, as well as economic barriers, corruption, and managerial challenges [29]. Banerjee B. (2023), using surveys, interviews, and case studies, found that key challenges to enterprise growth include limited access to finance, intense market competition, regulatory compliance burdens, and skill shortages. However, opportunities such as digital transformation, access to new markets, and supportive government policies were also identified as potential avenues for growth for MSMEs [30].
2.3. Relevant Studies on AI and Exporters
In recent years, a growing number of scholars have focused on the relationship between AI and exports. Soni N. Li et al. (2019), based on Schumpeterian New Economics, examined the overall impact of AI on business—from research, innovation, and market deployment to future business model transformation—and also explored its influence on global markets, firms’ strategic objectives, various stakeholders, and the potential downsides of AI [31]. Gozen et al. (2024) found that AI-related workers significantly boosted firm sales, with the effect particularly pronounced among exporting firms [32]. Xu and Tian (2025) confirmed that AI significantly improves the quality of exported products by optimizing efficiency, based on data from Chinese A-share listed companies [33]. Cao et al. (2025) found that robot adoption significantly increases firms’ export value and intensity through productivity enhancements, with stronger effects observed in foreign-owned, privately owned, and labor-intensive firms [34]. Liu, Jie et al. (2025) supplemented the analysis by highlighting that AI development promotes export upgrading through a quality certification mechanism, particularly in certain types of firms [35]. Kumar et al. (2025) observed that AI capabilities indirectly enhance export performance by facilitating export market exploration and international marketing competencies, with environmental dynamics and competitive intensity acting as moderating factors [36].
2.4. Conclusion
The existing literature on enterprise AI primarily focuses on its impact on productivity, efficiency, innovation, and transformation. Most studies conclude that AI has a direct facilitating effect on these dimensions; however, its impact also varies with firm size, industry characteristics, and resource endowment. Additionally, most studies measure the level of enterprise AI using a single proxy, which may underestimate the complexity of AI technology adoption. Theories of firm growth have evolved from being externally driven to placing greater emphasis on internal resource constraints and managerial capabilities. Recent research highlights key drivers of firm growth, including corporate entrepreneurship, innovation activities, AI, digital transformation, and foreign direct investment. Conversely, inhibitory factors include resource constraints, institutional barriers, and capability gaps. Although the influence of AI on export enterprises is gaining increasing attention, studies specifically addressing the growth mechanisms of AI in export firms remain scarce. Current research tends to focus on metrics such as firm performance and sales rather than the underlying processes of growth.
Overall, there remains a significant gap in the literature concerning the impact of AI on the growth of export enterprises. Existing studies often assume a linear and uniformly positive relationship, overlooking the complex, dynamic, and potentially nonlinear effects that AI may exert at different stages of enterprise development. Furthermore, AI levels are frequently measured using single indicators (e.g., patent counts, robot density), which fail to capture the multidimensional nature of AI applications within firms. Regarding the indirect impact pathways, most studies emphasize factors such as financing constraints, resource endowment, and marketing capabilities, but rarely consider the distinct transmission mechanism of AI as a digital resource or examine the digital pathways through which AI influences firm growth.
3. Theoretical Mechanisms and Research Hypotheses
This section integrates Schumpeter’s theory of innovation within the economic development cycle with his perspective on creative destruction. It explores the theoretical mechanisms and research hypotheses regarding the impact of artificial intelligence applications on the growth of export enterprises as follows:
3.1. The Application of Artificial Intelligence Significantly Impacts the Growth of Export Enterprises Through Dynamic Changes
As key players in the global market, export enterprises face the ever-changing international competitive environment, and technological innovation is a key factor in maintaining their competitiveness, while artificial intelligence, as a typical representative of contemporary innovation, has the potential to enhance production efficiency, optimize supply chain management, and foster product innovation. According to Schumpeter’s theory of innovation, innovation essentially disrupts the existing equilibrium of a business, destabilizing the old structure. However, as innovation is gradually absorbed and the economic system adapts to the new changes, the original structure undergoes restructuring, leading the economy into a new phase of prosperity and driving economic development into the next cycle (Han Jinqi, 2021) [37]. Export technological complexity reflects the technological content and value-added level of an enterprise’s export products, and its enhancement implies that the enterprise is moving from low-end processing and manufacturing to high-technology and high-innovation areas. Schumpeter’s innovation theory is in line with this view; innovation can promote enterprises to break through the low value-added production link, promote the export structure to a higher level of technology evolution, so as to enhance international competitiveness. Therefore, the increased technological sophistication of exports by exporting firms can be seen as the core expression of their growth.
Due to the complexity of AI technology and the high cost of upfront investment, enterprises need to invest significant resources to adapt to and master these new technologies. At this stage, the production and management efficiency of the enterprise has not been significantly improved; rather, there has been a short-term decline in efficiency due to problems such as technological conversion and employee training. In addition, the introduction of AI technology is accompanied by additional costs, such as equipment upgrades and organizational changes, which are difficult to fully absorb in the short term, thus negatively affecting the global competitiveness of enterprises to some extent, especially in China, where many enterprises rely on foreign technologies and solutions in the early stages of AI application, there is a time lag in the absorption of technology in high-tech industries (Chu Deyin and Zhang Tongbin, 2013) [38], and it is difficult to rapidly develop independent innovation capabilities, which further exacerbates the dependence on the low-end segments of the global value chain. Therefore, when enterprises introduce AI, they often need to undergo a period of adaptation, during which they may face short-term cost increases, management adjustments, and other issues that hinder their short-term growth, but as AI is gradually integrated into business processes, it can ultimately unleash huge innovation potential and promote long-term growth.
Artificial intelligence, as a revolutionary technology, can enable enterprises to take on more advanced roles in the global value chain by transforming production methods and optimizing resource allocation, thus enhancing profitability (Yang Xiaoxia and Feng Zhengqiang, 2024) [39]. The introduction of AI technology has brought about disruptive changes to traditional production methods and business processes, forcing companies to adapt to new work models and technical requirements in the short term. This process of short-term hindrance followed by long-term advancement results in a non-linear, U-shaped effect on corporate growth. Therefore, this paper puts forward the following hypotheses:
Hypothesis 1.
Artificial intelligence has a dynamic, nonlinear effect on the growth of export enterprises, which is “inhibited first and then promoted”.
3.2. Enhancing the Mechanistic Effects of Artificial Intelligence Applications on Export Firm Growth
How does artificial intelligence enhance the dynamic effects on the growth of export enterprises? This paper argues that it primarily operates through three key pathways: improving enterprise efficiency, fostering innovation within export firms, and increasing the input of digital resources in enterprises.
3.2.1. Improving the Efficiency of Enterprises Will Enhance the Positive Impact of AI on the Growth of Export Businesses
Firstly, improving efficiency creates more favorable conditions for the implementation of AI technology applications. When the enterprise has higher operational efficiency, its production process is more standardized, and the data collection system is more refined, which greatly reduces the initial obstacles to integrating AI technology and shortens the “inhibition period” of the application of the technology. Secondly, efficiency improvement and the application of AI technology form a positive cycle: the improvement of basic efficiency enables enterprises to give fuller play to the potential of AI technology, the optimized production process enables AI algorithms to obtain higher-quality training data, accelerating implementation speed of AI decision-making, and the application of AI further promotes efficiency improvement, with this synergistic effect accelerating the “promotion period.” Finally, efficiency improvement enhances the enterprise’s ability to transform the benefits of AI technology, and high-efficiency enterprises can more quickly transform the insights generated by AI into actual productivity and realize a more agile response in the export market, which makes the same investment in AI technology in high-efficiency enterprises generate a greater marginal return, thus strengthening AI’s role in promoting the growth of export enterprises. In addition, the operating profit margin reflects a company’s ability to convert revenue into profit through its core operations and serves as a key indicator of management efficiency and resource allocation effectiveness.
3.2.2. Improving the Level of Innovation in Exporting Firms Will Enhance the Positive Impact of AI on Firm Growth
According to Demsetz, a representative of resource-based enterprise growth theory, under the condition of recognizing the role of other factors, the enterprise’s investment in “knowledge” determines the degree of diversification and competitiveness of the firm (Li Junbo et al., 2011) [40]. First of all, innovation investment provides the necessary complementary assets for the application of AI technology. Continuous R&D investment not only enhances the ability of enterprises to absorb AI technology but also, more importantly, cultivates a professional talent team and accumulates technical knowledge reserves, which complement the AI system and significantly increase the marginal output of technology application. When the R&D intensity of the enterprise reaches the threshold, AI technology is upgraded from simple process automation to an “innovation accelerator,” which drives the enterprise to enter the growth promotion period; secondly, the innovation investment optimizes the application scenario of AI technology, and the highly innovative enterprises are more adept at embedding AI technology into the core innovation processes of R&D design and product iteration, instead of limiting themselves to the optimization of the production process, which is more profound and more effective. Production process optimization promotes enterprise growth at a deeper level. Finally, innovation investment and AI technology form a positive feedback loop, and the increase in innovation output brings more profits to the enterprise, which can be reinvested in AI system upgrading and innovation activities. This paper uses the proportion of R&D personnel as an indicator of a company’s innovation input, as it demonstrates the firm’s emphasis on technological advancement and its strategy for human resource allocation.
3.2.3. The Dynamic Impact of Artificial Intelligence (AI) on Enterprise Growth Can Be Significantly Enhanced by Improving the Level of Digital Factor Inputs Within the Enterprise
As a key production factor for the application of AI technology, the level and quality of digital factor input directly determine the operational effectiveness and value output of the AI system. First of all, the higher the level of enterprise digital element input the more the enterprise can provide the necessary arithmetic support and storage space for the AI system, which helps improve the algorithmic computing efficiency and provide powerful arithmetic support for the AI’s impact on enterprise growth; secondly, high-quality data elements can optimize the training and decision-making ability of AI models, reduce the uncertainty of technology application, and accelerate the realization of value, and the enterprise, through the systematically accumulating, governing, and applying data elements significantly improves the application effect of AI, thus enhancing the dynamic impact on enterprise growth. Finally, the impact of digital element input is not only limited to the micro level, but is also reflected in the meso level of the industry chain as a whole. Through empowerment and the integration effect, digital elements reshape the industrial chain within the logic of the division of labor and the mode of operation in order to achieve inter-industry functional complementation and cross-border synergies. Digital elements realize functional complementarity and cross-border synergy among industries by reshaping the logic of division of labor and the operation mode within the industry chain, releasing the synergistic effect among the nodes of the industry chain and, ultimately, transforming it into a facilitator of enterprise growth (Yang Zhen et al., 2022) [41]. Applications for digital economy invention patents serve as a proxy for a company’s emphasis on digital transformation and its digital competitiveness; therefore, this paper adopts this metric to measure the firm’s investment in digital elements.
In summary, this paper puts forward the following hypothesis:
Hypothesis 2.
Improvement of enterprise efficiency, enterprise innovation input, digital factor input level, and other paths can enhance the dynamic effect of artificial intelligence on the growth of export enterprises, “first suppressed and then raised”.
Based on the above analysis. The mechanism of this paper is schematized as Figure 1.
Figure 1.
Diagram of the mechanism. Note: “+” denotes a positive effect.
4. Methodology
To verify the above hypotheses, this paper constructs an econometric model with a nonlinear quadratic term containing three-dimensional fixed effects to test the dynamic impact of AI on firm growth, using Chinese A-share-listed innovative exporting firms as the subjects of the research.
4.1. Model Construction
In order to measure the dynamic impact of AI on the growth of export enterprises, this paper analyzes it by using a three-dimensional fixed-effects nonlinear quadratic term econometric model, which simultaneously controls for time-invariant individual heterogeneity, industry-specific structural characteristics, and time trends, including macroeconomic fluctuations and policy shifts. This approach effectively reduces omitted variable bias and produces more accurate and reliable estimates of the impact of artificial intelligence. Furthermore, compared to traditional linear models, this approach can better capture the dynamic impacts associated with the evolving characteristics of the entities under study. The model is formulated as follows:
where i and t represent the company and year, respectively, Growthit represents the growth of export enterprises, expressed as the logarithm of the complexity of exporting technology; AIit represents the level of AI application, obtained by reading the keywords from the annual reports of enterprises using text analysis, and AI2it represents the quadratic term of the level of AI application; Controlsit represents the set of control variables, λi represents the control of individual fixed effects, γt represents the control time fixed effects, ηin represents the control industry fixed effects, and εit is the random error term.
Growthit = α1 + β1AIit + β2AI2it + β3Controlsit + λi + γt + ηin + εit
4.2. Variables and Data Sources
4.2.1. Explanatory Variables
The explanatory variable is export enterprise growth, expressed as the logarithm of export technical complexity (PRODY), with reference to Hausmann et al. (2007) [42], Zhang Aili and Yin Menglan (2019) [43] and Gao Xiang and Yuan Kaihua (2020) [44] to calculate the export technical complexity at the enterprise level.
First, the export technology complexity is calculated for each industry:
where represents the industry and p represents the province, denotes the export value of industry in province , and denotes the level of GDP per capita in province .
Second, the technological complexity of exported products is calculated for each province’s industry:
Finally, the complexity of export technology at the firm level is calculated:
where i represents the firm, and and denote the total factor productivity of the firm and the industry, respectively, as calculated by the OLS method.
4.2.2. Explained Variables
The explained variable is the level of artificial intelligence. Most existing studies assess the level of artificial intelligence based on data related to regional information transmission, computer services, the software industry, and the number or density of industrial robot installations. However, these indicators offer only a one-dimensional measure of AI and fail to capture its multifaceted development. AI spans multiple domains—including manufacturing, operations, decision-making, ecosystems, and industrial integration—thus necessitating a more comprehensive analytical approach. To this end, text mining methods can help capture the breadth of AI application across different sectors. Referring to the dictionary of listed companies’ AI feature words used by Yao Jiaquan et al. (2024) [18], text analysis software was used to search for AI in listed companies’ annual reports, and the number of times each company’s AI feature words appeared was summed up, and, finally, the data of the listed company’s AI level were obtained, i.e., a proxy for the level of AI. However, this method still has certain limitations. First, companies may exaggerate or obscure AI-related disclosures, leading to keyword extraction results that do not accurately reflect actual AI implementation. Additionally, annual reports primarily focus on financial performance and often underreport AI deployment in areas such as production and supply chains. Future research could address these limitations by integrating multiple data sources—such as corporate patent filings, R&D expenditures, and talent composition—to develop a more robust and multidimensional framework for evaluating AI development.
4.2.3. Control Variables
To control for potential confounding factors and mitigate omitted variable bias—thereby improving the accuracy of the estimated effects of the core explanatory variables—this study follows Wang Juntian (2022) [45] and incorporates the following control variables:
- Size: Measured by the logarithm of total assets. Larger firms benefit from economies of scale, enabling cost reduction, efficiency gains, and greater resource availability for technological innovation, which collectively enhance export performance.
- Profit: Represented by net profit, serving as an indicator of overall operational performance. More profitable firms tend to exhibit stronger market competitiveness, which supports firm growth.
- Age: Calculated as the logarithm of the number of years since establishment. Older firms often possess richer market experience and resource accumulation, allowing them to respond more effectively to market dynamics and improve their export capacity.
- Debt: Measured as debt per share, indicating financial leverage. Higher debt levels may impose financial constraints that negatively affect a firm’s ability to compete in international markets.
- Operating Expenses: Higher operating costs may signal business expansion, R&D investment, or efforts to increase market share. While such expenditures raise short-term costs, they may contribute to long-term development.
4.2.4. Data Source
The sample of this paper covers the period of 2010–2023, and the sample subjects are listed enterprises engaged in export businesses. Although the sample offers advantages such as standardized information disclosure and strong data availability, it also presents certain limitations that may influence this study’s conclusions. First, the sample primarily includes large firms with standardized governance structures, which may overstate the impact of AI and limit the generalizability of the findings to small and medium-sized enterprises. Additionally, the industry distribution is skewed toward capital- and technology-intensive sectors, potentially underestimating AI’s role in the growth of labor-intensive firms. The annual reports of listed companies are sourced from the Sina Finance website; the relevant data used to calculate the complexity of export technology are mainly from the China Statistical Yearbook; the import and export data of enterprises are obtained from the China Customs Import and Export Trade Database; and other basic information about listed companies is obtained from the Cathay Pacific CSMAR Database. Finally, 15,023 samples were obtained, and the descriptive statistics of this paper are shown in Table 1.
Table 1.
Descriptive statistics.
5. Analysis of Regression Results
5.1. Benchmark Regression
The baseline regression results of this paper are presented in Table 2. According to Table 2, it can be seen that the estimated coefficients of the primary term and the estimated coefficients of the quadratic term of the main explanatory variable, AI, are both significant at the 1% level under random effects, controlling for the three-dimensional fixed effects of firms, time, and industry simultaneously, and adding control variables stepwise, respectively, where the coefficients of the primary term of AI are significantly negative and the coefficients of the quadratic term are significantly positive, which aligns with the expected results. The coefficient of the primary term of AI is significantly negative, and the coefficient of the quadratic term is significantly positive, which is consistent with the expected results.
Table 2.
Benchmark regression.
This dynamic change process of “inhibit first, promote later” aligns with the common path of technology application, that is, in the early stage of technology application, enterprises face negative impacts due to the complexity of adaptation and integration, but, as the technology matures and the enterprise’s mastery ability improves, the enterprise will enter a period of rapid growth and, ultimately, be able to realize the upgrading of the enterprise. Therefore, the results of the benchmark regression show that the impact of artificial intelligence on the growth of export enterprises exhibits a dynamic change of “inhibit first, then promote,” and hypothesis 1 is verified.
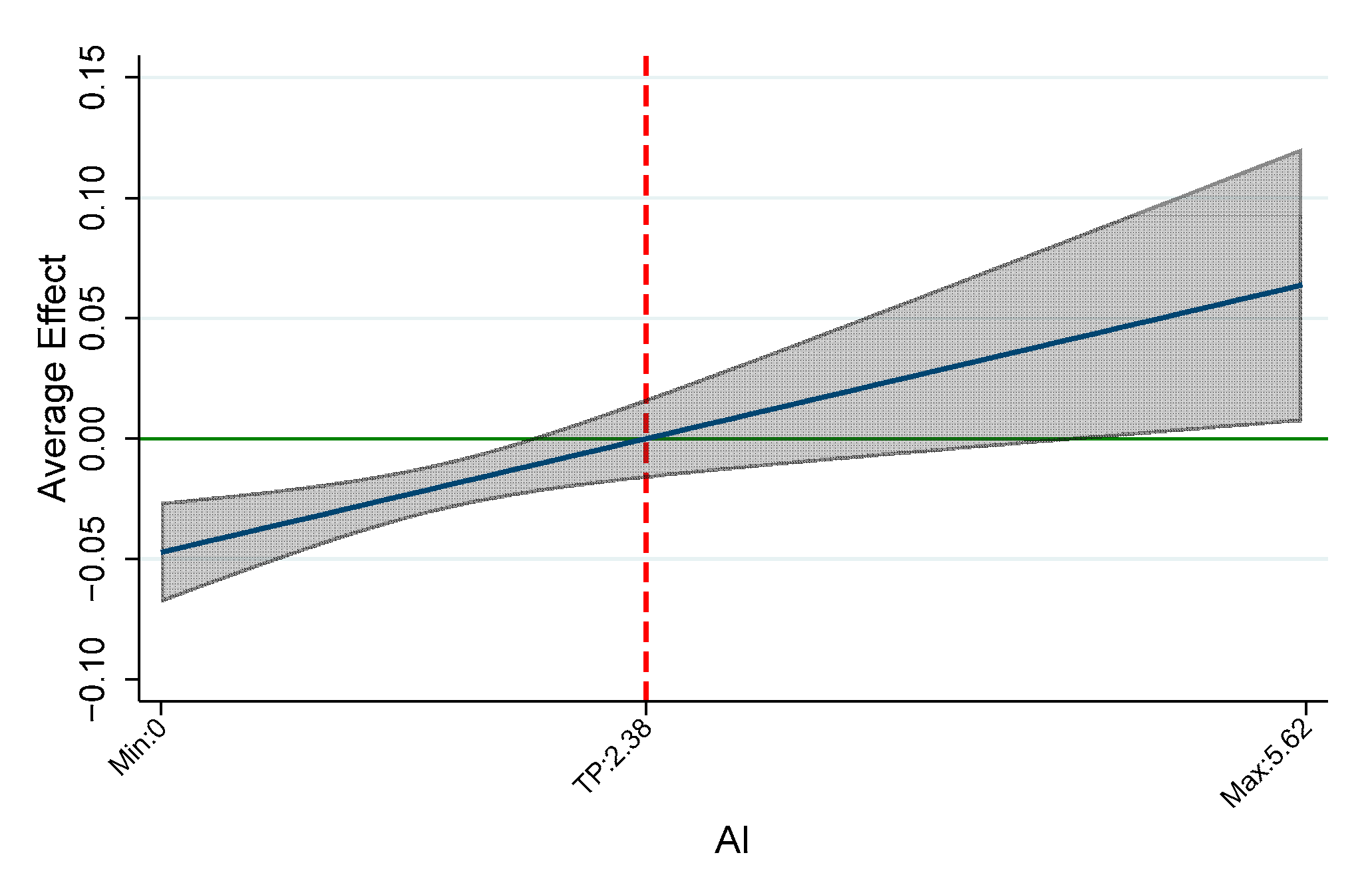
To visually illustrate the nonlinear relationship between artificial intelligence (AI) and the growth of export-oriented enterprises, this paper also presents a visualization of the benchmark regression results. Figure 2 shows a schematic diagram of the U-shaped relationship from the benchmark regression, while Figure 3 further illustrates the trend in the marginal effects of AI technology application. Both figures indicate the maximum values of the explained variables and the location of the inflection point. Before the inflection point (2.38), the impact of AI on enterprise growth is negative, with a negative slope and marginal effects below 0. After the inflection point, AI has a positive impact on enterprise growth, with a positive slope and marginal effects above 0. The two figures provide a more intuitive validation of the dynamic impact mechanism of AI application on the growth of export enterprises, which is “initially inhibitory and then promotive.”
Figure 2.
U-shaped relationship diagram.
Figure 3.
Marginal effect diagram (95% confidence interval).
5.2. Robustness Test
According to the results of the benchmark regression, AI has a dynamic impact on the growth of export enterprises in the form of “inhibition first, then promotion,” to enhance the robustness of the results of this paper, this paper adopts the following methods: 1. Replacement of the explanatory variables (the FE method is used to calculate the enterprise’s total factor productivity in Equation (4) for the calculation of the export technological complexity in the previous section). 2. Replacing the dependent variables (using the extended version of AI word frequency for text analysis). 3. Shortening the sample period (excluding the impact of the epidemic after 2019). 4. Replacing the model estimation method (Poisson pseudo-maximum likelihood estimation) in four different ways to carry out the robustness test. The test results are shown in Table 3, which shows that the results of the coefficients of the primary and secondary terms of AI are significant at least at the 10% level, which indicates that the findings of this paper are highly robust. In addition, considering the unbalanced nature of the panel data and the potential endogeneity problem, this paper also refers to Song Min et al. (2021) [46] and uses the second-order system generalized moments estimation (GMM) for the robustness test, and the results of the test are shown in Column (5) of Table 3, where Sargan’s test, Hansen’s test, and the autocorrelation test of the random perturbation term for the system-GMM model are reported in Table 3. Testing results: there is no over-identification problem in the model, there is first-order autocorrelation and no second-order autocorrelation in the random perturbation term of the model, and the null hypothesis that the coefficients of the explanatory variables are zero is significantly rejected, which indicates that the model being estimated is significant as a whole.
Table 3.
Robustness test.
The above results show that regardless of which robustness test method is used, the “inhibit first, promote later” effect of artificial intelligence on the growth of export enterprises still exists significantly, indicating that the findings of this paper are highly robust.
5.3. Heterogeneity Analysis
5.3.1. Nature of Enterprise Property Rights
As shown in the first two columns of Table 4, the results of the analysis of the heterogeneity of the enterprise property rights indicate that the impact of AI application by non-state-owned enterprises on enterprise growth shows the effect of “inhibiting first, then promoting” at the 1 percent level of significance. This may be due to the fact that non-state-owned enterprises (NSOEs) have higher market flexibility and stronger innovation motivation and are able to quickly adjust their internal resources to adapt to technological change because these enterprises are often in a competitive market environment and need to continuously improve their efficiency and innovation capabilities to maintain competitiveness and can more easily absorb and apply AI technology (Ke Ming et al., 2023) [2]. In contrast, state-owned enterprises (SOEs) often lack sufficient market-based incentives and flexibility due to the constraints imposed by policy, institutional, and administrative objectives, resulting in a relative lag in absorbing and applying technological innovations.
Table 4.
Heterogeneity analysis.
5.3.2. Industry Technology Level
In this paper, the industry types of listed companies are categorized as high-tech, medium-tech, and low-tech, and regression is performed by group. The regression results are shown in Table 4, which indicates that the application of AI has a significant impact on the growth of enterprises in medium- and low-technology industries, while the impact on enterprises in high-tech industries is relatively insignificant. Specifically, the production process of enterprises in non-high-tech industries is relatively basic and standardized at a high level, and the match of the applicability of AI technology is high, so that AI can quickly replace tasks with clear rules, and, after overcoming the initial technological integration challenges, AI technology begins to play a facilitating role. While the core competitiveness of high-tech industries mainly relies on original technological innovation and R&D capabilities, AI currently plays a more auxiliary role (e.g., literature search, data analysis, etc.), and it is still difficult to replace the key R&D and innovation links (Aghion et al., 2017) [47], and this difference in technological attributes leads to a relatively limited marginal contribution of AI to high-tech industries.
Further comparative analysis of medium-tech and low-tech industry samples found that the inflection point of the inhibitory effect of AI on the growth of export enterprises in the low-technology industry turned into a facilitating effect earlier than that in medium-technology industry enterprises, and the Wald test results showed a significant difference between medium- and low-technology industry’s U-type inflection points at the 5% level, indicating that low-technology enterprises are able to complete more quickly between the U-shaped inflection point of medium-tech and low-tech industries at the 5% level, which indicates that low-tech enterprises can complete the debugging and adaptation of AI systems more quickly and overcome the initial technology integration obstacles in a shorter period of time. In contrast, whereas medium-tech enterprises need a longer learning curve to coordinate the integration of new technologies with complex processes, it is easier for low-tech enterprises to overcome the “technology integration challenges.”
5.4. Regulatory Mechanism Analysis
The aforementioned theoretical analysis and research hypotheses suggest that AI enhances the dynamic impact on the growth of export enterprises mainly through three paths: enhancing the level of enterprise efficiency, enhancing the innovation input level of export enterprises, and enhancing the level of digital factor input of enterprises, which are empirically tested in this section.
Among them, the level of enterprise efficiency (Profitability) is expressed by the operating profit margin (i.e., the ratio of the enterprise’s operating profit and operating costs), and the operating profit margin is a direct reflection of the enterprise’s operating efficiency; the level of enterprise innovation investment (RDPersonRatio) is expressed by the ratio of research and development (R&D) personnel, and a higher R&D personnel ratio usually indicates that the enterprise pays great attention to the innovation and is willing to invest in future competition; the level of digital factor investment is also expressed by the RDPersonRatio. Future competition: the level of digital factor input (Digital) is expressed by the enterprise’s digital economy invention patent application, which is obtained from the China Research Data Service Platform (CNRDS) after processing, with reference to Tao Feng et al. (2023) [48]. Based on the above analysis, the following econometric model is constructed with reference to the moderating effect model:
where Moderator represents the above three path variables.
Growthit = α1 + β1AIit + β2AI2it + β3Moderator + β4AI × Moderater + β5AI2 × Moderater + β6Controlsit + λi + γt + ηin + εit
The regression results are shown in Table 5, and the regression results all show that the coefficient of the interaction term AI × Moderator is significantly positive, and the coefficient of the quadratic term of the interaction term AI2 × Moderator is significantly negative, which indicates that, when the level of enterprise efficiency, innovation input, and digital factor input is improved, the positive impact of AI on the growth of export enterprises is strengthened, and it is able to reverse the inhibitory effect at the initial stage more quickly and accelerate the promotional effect. Hypothesis 2 is verified.
Table 5.
Enhancement paths analysis.
6. Discussion
Currently, artificial intelligence (AI), as a key technology in the new round of technological revolution, has permeated all sectors of the global economy and is becoming a core driver of export enterprise growth and industrial upgrading. As key carriers of national competitiveness, Chinese export enterprises face dual pressures from technological barriers imposed by developed economies and cost competition from emerging economies. Existing research has largely been limited to linear impact analysis of AI, lacking in-depth exploration of its dynamic effects and transmission mechanisms. To address this challenge and achieve sustainable long-term growth for export enterprises, this study examines the relationship between artificial intelligence and export enterprise growth using data from Chinese A-share listed export firms. The results indicate the following:
- AI has a nonlinear dynamic effect on the growth of export enterprises, with ‘inhibition first, then promotion’.
- In terms of the use of artificial intelligence on the nature of property rights and industry technology level, and other different types of export enterprise growth, there is significant heterogeneity. In non-state-owned enterprises and enterprises in medium- and low-technology industries, the application of AI demonstrates a significant “inhibit first, promote later” effect on the growth of export enterprises, while, in state-owned enterprises and enterprises in high-tech industries, the effect is not significant.
- The results of the mechanism test show that improving the efficiency of export enterprises, the level of innovation input, and the level of digital factor input are the three paths to enhance the dynamic effect of the application of AI technology on the growth of export enterprises in the “first inhibit, then promote” model so that export enterprises can better control export costs and optimize the allocation of resources and promote the innovation of export products and processes, as well as enhance international competitiveness. It enables export enterprises to better control export costs and optimize resource allocation, to promote export product and process innovation, and to enhance international competitiveness.
7. Implications
7.1. Implications for Theory
Artificial intelligence is a key focus and hot topic in the digital economy era, and export enterprise growth has long been a research priority in international economics and trade. However, few studies have combined both to explore their relationship. Research on AI’s economic impact has primarily emphasized positive effects, overlooking dynamic relationships. This study expands Schumpeterian theory’s explanatory dimensions by revealing AI’s U-shaped impact mechanism on export-oriented enterprise growth. Unlike traditional linear assumptions about technological innovation, we find AI exhibits a nonlinear “initial inhibition followed by promotion” characteristic, providing a new analytical framework for innovation theory’s dynamic evolution. Further analysis reveals that non-state-owned enterprises demonstrate stronger AI adaptability, challenging institutional theory’s singular “property rights advantage” explanation. Market competition pressure (non-state-owned) drives technology absorption more effectively than resource endowment advantages (state-owned). Additionally, AI significantly promotes medium-to-low-tech industries, indicating that technological fit with core production processes releases dividends more fully. We identify three mechanisms strengthening AI’s role: enhancing export firms’ efficiency, innovation investment, and digital factor investment. Unlike prior studies focused on traditional efficiency/innovation pathways, our breakthrough lies in establishing digital factor investment as a third key pathway. This reveals AI’s “digital empowerment” pathway for export firm growth, filling theoretical gaps in digitalization research.
7.2. Implications for Practice
The AI-driven technological revolution is reshaping global industry and trade, offering developing countries historic “leapfrog” opportunities. As the world’s largest goods trader, China’s export firms face dual pressures from developed economies’ technological barriers and emerging economies’ cost competition, with traditional comparative advantages weakening. AI’s high intelligence and broad applicability have permeated all aspects of production and life, becoming a core competitiveness factor. Given AI’s U-shaped impact on export firms, enterprises should establish phased AI adoption strategies, strategically manage losses during the “inhibition period”, and implement long-term planning to maximize “promotion period” benefits. Furthermore, heterogeneity and mechanism analyses suggest firms should adopt customized strategies leveraging pathways like efficiency optimization, innovation investment, and digital factor investment to amplify AI’s impact.
8. Recommendations
8.1. Make Full Use of the Opportunities for the Development of Artificial Intelligence: Phased Policy to Promote the Growth of Export Enterprises
In the initial stage of artificial intelligence development, higher costs and other reasons may bring about a decline in enterprise productivity, employment pressure, and other issues; therefore, financial support, tax incentives, and other means may be necessary to encourage enterprises to continue investing in the application of artificial intelligence technology and to avoid them abandoning long-term plans due to the lack of obvious short-term gains; when artificial intelligence enters the “promotion” stage, the government and enterprises should establish a dynamic adjustment mechanism to track new trends in technology development, adjust the relevant policies and technology routes, continuously update industrial policies, guide enterprises to optimize resource allocation, and support secondary innovation. When AI enters the “promotion” stage, the government and enterprises should establish a dynamic adjustment mechanism to track the new trend of technological development promptly, adjust the relevant policies and technological routes, continuously update the industrial policy, guide enterprises to optimize resource allocation, and support secondary innovation to avoid stagnation or recession during the process of technological progress and industrial upgrading, and to maintain the momentum of growth of export enterprises. Therefore, governments should implement patient, forward-looking, phased support policies. Policy support should not seek immediate results but help enterprises minimize trial costs during initial AI adoption, assist them in smoothly navigating the growth curve trough, and prevent abandoning valuable long-term tech strategies due to short-term underperformance. Additionally, all managers must recognize the “U-shaped” return pattern inherent in AI investments. This requires treating AI as a long-term strategic initiative with adequate preparation for initial cost and efficiency fluctuations. A successful AI strategy begins with senior leadership’s strategic commitment, progresses through pilot projects to validate value, then scales gradually, accompanied by organizational process redesign and digital employee skill enhancement.
8.2. Classification of Policies for the Heterogeneous Characteristics of Enterprises: Narrowing the Gap Between the Growth Level of Different Types of Export Enterprises
Differentiated policy guidance should be provided for different enterprises to narrow the gap between enterprises, enhance the productivity of the whole industry, and promote the overall growth of enterprises. For state-owned enterprises, institutional reform should be accelerated, incentive mechanisms should be optimized, and the in-depth integration of technological innovation and AI applications should be encouraged; the focus should shift toward encouraging firms to deepen internal restructuring and integrate digital outcomes into performance metrics, thereby enhancing intrinsic motivation and fostering sustained transformation; for enterprises in high-tech industries, basic R&D investment should be further increased to break through bottlenecks in AI application in the field of innovation and position AI as an “enabler” of R&D innovation, leveraging it for large-scale literature analysis, drug screening, or simulation modeling to enhance efficiency and success rates in core research processes, ultimately strengthening the enterprise’s long-term competitiveness; non-state-owned enterprises should adopt an aggressive–agile AI strategy, deploying this technology to rapidly capture market shifts and build competitive advantages in personalized marketing and intelligent supply chain systems; by doing this they can continue to maintain technological advantages by increasing R&D investment, promoting intelligent transformation, and strengthening international cooperation, as well as drive the development of state-owned enterprises by means of technological output and supply chain integration; for enterprises in medium- and low-tech industries, governments should tailor policy support to assist firms that stand to gain substantially from AI adoption but face heightened initial transformation pressures. This includes supporting industry-level cloud platforms and promoting mature solutions—prioritizing cost-effective approaches starting with proven applications like AI-based visual quality inspection on production lines and equipment predictive maintenance, and the government should further encourage the promotion of intelligent transformation of production processes, provide financial subsidies and technical support to help enterprises reduce the cost of automation transformation, alleviate the short-term cost pressure on enterprises, and focus on supporting intelligent upgrading when the enterprise crosses the inflection point, including the construction of industry cloud platforms and the promotion of best practice cases.
8.3. Multi-Dimensional Enhancement of the Independent Innovation Capacity of Enterprises: Improve the Efficiency of Export Enterprises, Increase the Input of Digital Elements, and Enhance the Effect of AI on the Growth of Enterprises to Promote the Role They Play
Artificial intelligence development requires core technology, and the core technology “neck” problem is the main obstacle restricting the status of Chinese enterprises in the global market. Enhancing the promotion of enterprise technology innovation can effectively solve this problem. Promoting technological innovation can effectively address this problem. Therefore, the government can provide a solid foundation for independent innovation through R&D subsidies, talent cultivation, industry-university-research cooperation, and other multi-dimensional policy support to promote the growth of Chinese export enterprises.
Enhancing the efficiency of export enterprises can enhance the overall operation level of enterprises, which is conducive to the use of AI by export enterprises to promote the development and growth of enterprises, which requires enterprises to optimize the production process, eliminate the waste of resources, and improve the consistency of production through the introduction of more lean management methods and standardized operating procedures; and, secondly, to strengthen the supply chain management, establish a stable supplier partnership, use information technology systems to optimize the level of inventory, and select efficient international logistics channels. At the same time, it is important to emphasize talent training and enhance employee effectiveness through professional skills training and performance-based incentive mechanisms. Through the systematic promotion of these measures, exporters can realize significant efficiency gains under the premise of cost control, improve their competitiveness in the global market, and foster their growth.
Since the development of artificial intelligence requires the support of digital elements, by enhancing investment in digital elements, export enterprises can continue to optimize and expand high-value digital assets and form technical patent barriers. The deep integration of such digital elements can enable export enterprises to achieve intelligence and efficiency improvements in the core links of production, management, supply chain, etc., and better adapt to the rapidly changing market demand, thus enhancing the enterprise’s innovation capabilities and international competitiveness.
9. Limitations and Further Research
The findings and recommendations provide practical pathways for Chinese export enterprises to achieve high-quality development while offering valuable insights for industrial upgrading in other emerging market economies. Nations facing industrial transformation pressures can leverage these results to identify suitable pathways to escape the “low-end lock-in” dilemma and ascend global value chains. This framework applies not only to AI but also to other disruptive technologies. Once enterprises overcome the “inhibition period,” they enter accelerated growth. With rational resource allocation, AI delivers sustained growth promotion effects—advancing sustainable development objectives and supporting specific United Nations Sustainable Development Goals (SDGs) like “promoting sustained, inclusive and sustainable economic growth.”
This study has limitations. First, the sample focuses on export-oriented listed companies whose organizational structures and resource endowments differ from SMEs. Second, potential measurement bias exists: AI application levels derived from text analysis may deviate from actual enterprise adoption due to disclosure characteristics.
Future research should expand sample coverage to include listed firms, specialized SMEs, and industrial clusters to enhance representativeness; develop multidimensional AI adoption metrics combining text analysis, AI patents, AI-related positions, and dedicated budgets; and conduct cross-national comparative analyses of representative economies to improve conclusion generalizability.
Author Contributions
X.C.: writing—review and editing, resources, methodology, funding acquisition, project administration, conceptualization. Y.W.: writing—review and editing, writing—original draft, visualization, software, methodology, formal analysis, investigation, data curation, conceptualization. Y.L.: writing—review and editing, software, data curation, validation, conceptualization. All authors have read and agreed to the published version of the manuscript.
Funding
This work was supported by the National Natural Science Foundation of China (No. 72263002).
Institutional Review Board Statement
Not applicable.
Informed Consent Statement
Not applicable.
Data Availability Statement
The data presented in this study are available upon request from the corresponding author.
Conflicts of Interest
The authors declare no conflicts of interest.
References
- Russell, S.; Norvig, P. Artificial Intelligence: A Modern Approach, 4th ed.; Pearson: London, UK, 2020. [Google Scholar]
- Ke, M.; Yang, S.Z.; Dai, X. Is artificial intelligence driving export upgrading of enterprises. Int. Trade Issues 2023, 49, 125–142. (In Chinese) [Google Scholar] [CrossRef]
- Capriglione, D.; Carissimo, C.; Milano, F.; Sardellitti, A.; Tari, L. Measurement and Applications: Artificial Intelligence in the Field of Measurement Applications. IEEE Instrum. Meas. Mag. 2024, 27, 29–36. [Google Scholar] [CrossRef]
- Dirican, C. The impacts of robotics, artificial intelligence on business and economics. Procedia-Soc. Behav. Sci. 2015, 195, 564–573. [Google Scholar] [CrossRef]
- Cheng, D. Analysis of the current situation and security risk of artificial intelligence application in the financial field. Age Financ. Sci. Technol. 2016, 25, 47–49. Available online: https://kns.cnki.net/kcms2/article/abstract?v=EFYi66xKwqpwsn180eFdBhKrjywgt4G5j42C0wBmIlFF0vUWZWF9xwTSdQQ9-xPyFbK_-VrMqRTfzcAi92hiSHggrHAbriyVT8nf-Gr-ejlPaSHi3QuB8OGxNAQHhCPhFLEi5gYPEo3Hz-hSWYOPrF4pfzITnRLsRgsqwe-tMIghWLqkg9gYkJmd2nDEbFut6sktOgv727E=&uniplatform=NZKPT (accessed on 18 October 2016). (In Chinese).
- Acemoglu, D.; Lelarge, C.; Restrepo, P. in Competing with robots: Firm-level evidence from France. AEA Pap. Proc. 2020, 110, 383–388. [Google Scholar] [CrossRef]
- Kulkov, I. The role of artificial intelligence in business transformation: A case of pharmaceutical companies. Technol. Soc. 2021, 66, 101629. [Google Scholar] [CrossRef]
- Li, J.; Ma, S.; Qu, Y.; Wang, J. The impact of artificial intelligence on firms’ energy and resource efficiency: Empirical evidence from China. Resour. Policy 2023, 82, 103507. [Google Scholar] [CrossRef]
- Chen, K.; Chen, X.; Wang, Z.; Zvarych, R. Does artificial intelligence promote common prosperity within enterprises?—Evidence from Chinese-listed companies in the service industry. Technol. Forecast. Soc. Change 2024, 200, 123180. [Google Scholar] [CrossRef]
- Han, F.; Mao, X. Artificial intelligence empowers enterprise innovation: Evidence from China’s industrial enterprises. Appl. Econ. 2024, 56, 7971–7986. [Google Scholar] [CrossRef]
- Shaik, A.S.; Alshibani, S.M.; Jain, G.; Gupta, B.; Mehrotra, A. Artificial intelligence (AI)-driven strategic business model innovations in small-and medium-sized enterprises. Insights on technological and strategic enablers for carbon neutral businesses. Bus. Strategy Environ. 2024, 33, 2731–2751. [Google Scholar] [CrossRef]
- Gao, Y.; Liu, Y.; Wu, W. How Does Artificial Intelligence Capability Affect Product Innovation in Manufacturing Enterprises? Evidence from China. Systems 2025, 13, 480. [Google Scholar] [CrossRef]
- Liu, J.; Chang, H.; Forrest, J.Y.; Yang, B. Influence of artificial intelligence on technological innovation: Evidence from the panel data of china’s manufacturing sectors. Technol. Forecast. Soc. 2020, 158, 120142. [Google Scholar] [CrossRef]
- Li, C.; Xu, Y.; Zheng, H.; Wang, Z.; Han, H.; Zeng, L. Artificial intelligence, resource reallocation, and corporate innovation efficiency: Evidence from China’s listed companies. Resour. Policy 2023, 81, 103324. [Google Scholar] [CrossRef]
- Turovets, J.; Vishnevskiy, K.; Altynov, A. How To Measure AI: Trends, Challenges and Implications; Higher School of Economics Research Paper No. WP BRP 116/STI/2020; Elsevier: Amsterdam, The Netherlands, 2020. [Google Scholar] [CrossRef]
- Wang, B.; Rau, P.P.; Yuan, T. Measuring user competence in using artificial intelligence: Validity and reliability of artificial intelligence literacy scale. Behav. Inform. Technol. 2023, 42, 1324–1337. [Google Scholar] [CrossRef]
- Giudici, P.; Centurelli, M.; Turchetta, S. Artificial Intelligence risk measurement. Expert Syst. Appl. 2024, 235, 121220. [Google Scholar] [CrossRef]
- Yao, J.Q.; Zhang, K.-P.; Guo, L.-P. How does artificial intelligence improve enterprise productivity? --Based on the perspective of labor skill restructuring. J. Manag. World 2024, 40, 101–116+133+117–122. (In Chinese) [Google Scholar] [CrossRef]
- Penrose, E.T. The Theory of the Growth of the Firm; Oxford University Press: Oxford, UK, 2009. [Google Scholar]
- Heshmati, A. On the growth of micro and small firms: Evidence from Sweden. Small Bus. Econ. 2001, 17, 213–228. [Google Scholar] [CrossRef]
- Morone, P.; Testa, G. Firms growth, size and innovation an investigation into the Italian manufacturing sector. Econ. Innov. New Technol. 2008, 17, 311–329. [Google Scholar] [CrossRef]
- Fang, F.; Cai, W. Banking competition and enterprise growth: Empirical evidence from industrial enterprises. J. Manag. World 2016, 7, 63–75. (In Chinese) [Google Scholar] [CrossRef]
- Snodgrass, D.R.; Winkler, J.P. Enterprise Growth Initiatives: Strategic Directions and Options; Development Alternatives Inc.: New Delhi, India, 2004; Available online: https://citeseerx.ist.psu.edu/document?repid=rep1&type=pdf&doi=14a95caf9852352ac2635e53eac412286e516277 (accessed on 28 February 2024).
- Dung, L.T.; Giang, H.T.T. The effect of international intrapreneurship on firm export performance with driving force of organizational factors. J. Bus. Ind. Mark. 2022, 37, 2185–2204. [Google Scholar] [CrossRef]
- Badghish, S.; Soomro, Y.A. Artificial intelligence adoption by SMEs to achieve sustainable business performance: Application of technology–organization–environment framework. Sustainability 2024, 16, 1864. [Google Scholar] [CrossRef]
- Li, M.; Wei, L. The path of digital transformation driving enterprise growth: The moderating role of financing constraints. Int. Rev. Financ. Anal. 2024, 96, 103536. [Google Scholar] [CrossRef]
- Charoenrat, T.; Amornkitvikai, Y. Factors affecting the export intensity of Chinese manufacturing firms. Glob. Bus. Rev. 2024, 25, 957–980. [Google Scholar] [CrossRef]
- Garcia-Martinez, L.J.; Kraus, S.; Breier, M.; Kallmuenzer, A. Untangling the relationship between small and medium-sized enterprises and growth: A review of extant literature. Int. Entrep. Manag. J. 2023, 19, 455–479. [Google Scholar] [CrossRef]
- Khan, M.A. Barriers constraining the growth of and potential solutions for emerging entrepreneurial SMEs. Asia Pac. J. Innov. Entrep. 2022, 16, 38–50. [Google Scholar] [CrossRef]
- Banerjee, B. Challenges and opportunities for micro, small, and medium enterprises: Navigating the business landscape. Am. J. Interdiscip. Innov. Res. 2023, 5, 13–17. [Google Scholar] [CrossRef]
- Soni, N.; Sharma, E.K.; Singh, N.; Kapoor, A. Impact of artificial intelligence on businesses: From research, innovation, market deployment to future shifts in business models. arXiv 2019, arXiv:1905.02092. [Google Scholar] [CrossRef]
- Gozen, S.; Gunes, P.; Karaca, M.F. Artificial Intelligence, Trade, and Firm Dynamics. Trade, and Firm Dynamics; Elsevier: Amsterdam, The Netherlands, 2024. [Google Scholar] [CrossRef]
- Xu, X.; Tian, C. Does artificial intelligence improve the quality of export products? Evidence from China. Appl. Econ. Lett. 2025, 32, 9–13. [Google Scholar] [CrossRef]
- Cao, Y.; Chen, S.; Tang, H. Robot adoption and firm export: Evidence from China. Technol. Forecast. Soc. 2025, 210, 123878. [Google Scholar] [CrossRef]
- Liu, J.; Qin, C.; Chu, X. Development of corporate artificial intelligence and the quality of export products. Financ. Res. Lett. 2025, 78, 107217. [Google Scholar] [CrossRef]
- Kumar, S.; Vandana; Kumar, V.; Chatterjee, S.; Mariani, M.; De Massis, A. The role of artificial intelligence capabilities in enhancing export performance: A study of ambidexterity and dynamic capabilities. Int. Mark. Rev. 2025. [Google Scholar] [CrossRef]
- Han, J. Schumpeter’s innovation theory from the perspective of modernity and its contemporary significance. J. Shenyang Univ. (Soc. Sci. Ed.) 2021, 23, 161–166. (In Chinese) [Google Scholar] [CrossRef]
- Chu, D.; Zhang, T. Independent R&D, technology introduction and the growth of high-tech industry. Res. Manag. 2013, 34, 53–60+113. (In Chinese) [Google Scholar] [CrossRef]
- Yang, X.; Feng, Z. Artificial Intelligence and GVC Embedding of Chinese Manufacturing Industry: Evidence from the Application of Industrial Robots. Res. Technol. Econ. Manag. 2024, 45, 153–158. Available online: https://kns.cnki.net/kcms2/article/abstract?v=iLvembebNjzChsqovNMK4HnhxAK8-wm95bManyLw0RwlZ4o5YN9Xg6wm0R-3tWV38PAaRqw2FR-U6TYtlGKtFEp854O29tf02-co2c320VqBOv_UTlsKQHS9v-K7ze8l1HbSAldG5OsYHlnyBWBZlxz5ioAtOgzY9s00QXhldX7HtVfjABKaZQ==&uniplatform=NZKPT&language=CHS (accessed on 28 February 2024). (In Chinese).
- Li, J.; Cai, W.; Wang, Y. A Review of Research on Enterprise Growth Theory. J. Xiangtan Univ. (Philos. Soc. Sci. Ed.) 2011, 35, 19–24. (In Chinese) [Google Scholar] [CrossRef]
- Yang, Z.; Chen, J.; Li, J. Global Value Chains in the Era of Digital Economy: Trends, Risks and Countermeasures. Front. Econ. China 2022, 17, 1–23. [Google Scholar] [CrossRef]
- Hausmann, R.; Hwang, J.; Rodrik, D. What You Export Matters. J. Econ. Growth 2007, 12, 1–25. [Google Scholar] [CrossRef]
- Zhang, A.; Yin, M. Technological innovation, demographics and export complexity of China’s manufacturing industry. Soft Sci. 2019, 33, 29–34. (In Chinese) [Google Scholar] [CrossRef]
- Gao, X.; Yuan, K. Cleaner Production Environment Regulation and Technology Complexity of Enterprise Export-Micro Evidence and Influencing Mechanisms. Int. Trade Issues 2020, 46, 93–109. (In Chinese) [Google Scholar] [CrossRef]
- Wang, J. Global value chain embedded position and digital transformation development of Chinese listed companies. Ind. Econ. Res. 2022, 21, 101–113+142. (In Chinese) [Google Scholar] [CrossRef]
- Song, M.; Zhou, P.; Si, H. Financial Technology and Enterprise Total Factor Productivity-Perspective of “Enabling” and Credit Rationing. China Ind. Econ. 2021, 39, 138–155. (In Chinese) [Google Scholar] [CrossRef]
- Aghion, P.; Jones, B.F.; Jones, C. Artificial Intelligence and Economic Growth; National Bureau of Economic Research: Cambridge, MA, USA, 2017; pp. 237–282. [Google Scholar] [CrossRef]
- Tao, F.; Zhu, P.; Qiu, C.; Wang, X. Research on the impact of digital technology innovation on enterprise market value. Res. Quant. Tech. Econ. 2023, 40, 68–91. (In Chinese) [Google Scholar] [CrossRef]
Disclaimer/Publisher’s Note: The statements, opinions and data contained in all publications are solely those of the individual author(s) and contributor(s) and not of MDPI and/or the editor(s). MDPI and/or the editor(s) disclaim responsibility for any injury to people or property resulting from any ideas, methods, instructions or products referred to in the content. |
© 2025 by the authors. Licensee MDPI, Basel, Switzerland. This article is an open access article distributed under the terms and conditions of the Creative Commons Attribution (CC BY) license (https://creativecommons.org/licenses/by/4.0/).


