Abstract
This study investigates the composition and transformation of soil organic matter (SOM) across seven sites in Maritime Antarctica, focusing on the impact of bird activity and vegetation cover on SOM dynamics. There is limited knowledge of the stability of Antarctic SOM and the effects of seabird colonies on it. This study aims to address the knowledge gap regarding drivers of soil organic matter transformations in polar ecosystems. Hot water-extractable carbon (HWC) and carbon extracted with phosphoric acid (PHP-C) were chosen as parameters for the labile carbon pool. A stable carbon pool was here characterized as one with alkali-soluble organic compounds opposing microbial decomposition. This carbon pool has long (decades) turnover rates, and therefore is regarded stable. The mentioned carbon pools were used to calculate humification indices. The HWC in studied soils ranged from 1.5 to 4.3% of total carbon, while the PHP-C varied largely and was not correlated with HWC. Soils influenced by current or historical bird colonies (particularly penguins and skuas) exhibited elevated labile carbon fractions, indicating active microbial processing. In contrast, sites without bird influence showed lower biological activity. The stable carbon peaked at 18.9% of total carbon, indicating distinct soil transformation stages. The humification degree (HD) and labile-to-stable carbon (L/S) ratio were used to assess SOM stability, revealing that former bird rookeries had the most stabilized SOM, while recently deglaciated sites were in early stages of organic matter accumulation. Vegetation cover, though secondary to bird impact, was positively correlated with SOM humification, supporting the role of vascular plant-derived organic input in carbon stabilization. The study showed a clear link between bird activity and SOM dynamics, supporting the concept of biological legacies in soil formation in Antarctica. It highlighted the role of vegetation in SOM stabilization, which is crucial for understanding how terrestrial ecosystems may evolve as ice retreats and plant colonization expands.
1. Introduction
While the soils of the Antarctic are not rich in organic matter, it is one of the most important compounds in controlling soil development [1]. Organic compounds are a source of nutrients, influence plant growth and the growth of microorganisms, and influence the physical and chemical properties of soils [2,3,4]. They are necessary for plant growth and subsequent soil profile development. Generally, soil organic matter (SOM) is composed of organic compounds at various decomposition stages (living biomass, plant debris, and humified organic compounds), and therefore has various turnover rates [5]. These compounds, which differ in solubility [6], may form specific macromolecular or supramolecular assemblies called micelles [7]. Generally, SOM is divided into labile and stable pools. The labile pool serves as a ready source of nutrients for plant growth and is susceptible to microbial transformations, whereas the stable pool is a reservoir of plant nutrients and is essential from a long-term perspective [8,9]. These pools are complex, and contain heterogeneous compounds, including humus, which has different eco-environmental effects [10].
In the Antarctic soils on King George Island, some topsoils are abundant in organic matter, forming well-developed organic horizons up to 20 cm thick [11,12]. It is estimated that the soil of the Antarctic Peninsula region contains about 600 Mt carbon [13]—a considerable number, given that global soil organic carbon contents are estimated at approximately 1500 Pg C [14]. The primary sources of organic matter in Antarctic regions are seabirds (mainly penguins) and pinnipeds excrements accumulating during the breeding and moulting season [15], macroalgae that has washed ashore [16,17], and the tundra organisms with very low primary production, like mosses, lichens, soil algae, and two species of flowering plants [18,19,20,21,22,23,24,25]. Abakumov [26] reported that the most humified organic matter was found in soils covered with grasses and rich in guano. Due to the specific soil substrates affected by seabird excrement, maritime aerosol, and extreme climatic conditions, soil organic compounds (of various solubility and turnover rates) form differently than their temperate counterparts. In polar conditions, soil organic matter is poorly humified, and is dominated by organic compounds with low molecular weight and undecomposed detritus [26]. Soil organic carbon stored in permafrost regions is usually considered to have substantial labile carbon fractions [27] and to be vulnerable to temperature increases [28]. Nevertheless, it has also been proven to have more resistant components [29], which remain largely unidentified [27]. Despite several studies (e.g., [26,30,31,32]), the nature and environmental drivers of stable organic matter in Antarctic soils remain insufficiently understood. This study aims to address the knowledge gap regarding drivers of soil organic matter transformations in polar ecosystems by evaluating soil carbon pools in ornithogenic soils, and other soils uncovered by glaciers. While some studies [32,33] investigate fractions of SOM, there are insufficient data on how stable Antarctic SOM is, especially in various parts of Antarctica. There is also a limited understanding of the legacy effects of past seabird presence.
SOM in polar ecosystems has drawn increased interest, which stems from issues of global and local environmental change [34,35,36]. Soil carbon compounds in these regions are presumably highly susceptible to oxidation, resulting in the release of greenhouse gases into the atmosphere. Moreover, warming has caused the population of flowering plants to increase over recent years [37], and the withdrawal of permafrost [38]. Considering that these plants activate humification, soil organic matter stabilization under grasses should also be examined [21]. The most crucial aspect to consider when studying soil organic matter is the ratio of labile and stable carbon pools. Labile carbon fractions, such as dissolved organic carbon or hot water-extractable carbon (HWC), may be sources of greenhouse gas emissions. The content of labile carbon fractions, such as HWC, is a proxy of microbial activity [39]. HWC has short turnover rates and is easily oxidizable into CO2 through microbes, contributing to climatic changes. While the HWC reflects microbial activity, other carbon compounds may track labile unbound organic matter, for example, organic compounds extracted with phosphoric acid (PHP-C). These carbon fractions are of great importance due to their sensitivity and complementary roles in assessing SOM transformation. Stable carbon fractions are those that are resistant to microbial changes, i.e., ‘microbiologically protected’ [5], and may thus take longer (several decades or even hundreds of years) to convert than labile organic compounds. Stable (less susceptible to decomposition) organic compounds occur in soil in the form of humic substances, which are mixtures of organic compounds with diverse chemical compositions and structures. They are characterized by relatively high molecular weight and varying solubility in water and other solvents [40]. The prolonged environmental turnover suggests that the organic compounds comprising the stable organic carbon pool are resistant to microbial decomposition [5]. The quantification of these fractions is possible through chemical extraction methods, which are particularly effective for evaluating organic carbon pools [41]. It is of great importance to understand the relations between labile and stable carbon pools, and to be able to predict the directions of changes in the soils of the Maritime Antarctic. Biological transport by penguins, a representative organism in Antarctica, plays a central role in nutrient cycles of ice-free areas [32]. However, there is a lack of sufficient understanding of the relations between labile and stable carbon pools, which affect the C cycle in Antarctic soils. Therefore, the objective of the study was to investigate the magnitudes of labile and stable carbon pools in Maritime Antarctic soils, to evaluate their ratios, and to identify the determinants of organic carbon stability as well as their relations with the habitat conditions. On the basis of relations between labile and stable carbon pools, the driver of SOM transformation can be described and the knowledge gap outlined above can be filled.
2. Materials and Methods
2.1. Research Area and Study Sites
King George Island is the largest island of the South Shetlands, covering ca. 1310 km2, and is located some 100 km north of the Antarctic Peninsula [42] (Figure 1). It is ice-covered for most of the year, with 8% of the island’s area ice-free [43], which are important characteristics for research and ecological studies. The mean annual temperature and precipitation at the Arctowski Station are −2.7 °C and 510 mm, respectively. In the Antarctic summer, the mean daily temperature is above 0.1 °C at sea level, with more than 100 mm of precipitation [44]. Arctowski Station is heavily impacted by human activity [45]. Less intense, but also significant, is the impact of tourism on the vicinity of the Polish Antarctic Station [46].
Figure 1.
Locations of studied sites (1 and 2—current penguin colonies, 3 and 5—former penguin colonies, 4, 6 and 7—no records of bird activity).
Volcanic rocks (andesite basalts and their pyroclastic pieces) are the predominant soil parent materials in the Arctowski region of King George Island. In the lower parts of the relief, sedimentary rocks prevail [43]. Marine sediments and moraine bedrocks are also typical for soils of the Point Thomas oasis. The long-term research carried out by Olech [18] at King George Island revealed typical zones of plant colonization and primary succession on the outskirts of glaciers [47,48,49]. These were linked both to the distance from the sea and the altitude. These zones are covered by a patchwork of various cryptogams (fungi, lichens, mosses and liverworts) and native flowering plants (Colobanthus quitensis (Kunth) Bartl. of the family Caryophyllaceae and the grass Deschampsia antarctica Desv.). Since 1985, Poa annua L., an alien grass species, has been spreading on King George Island [50].
The soils studied were located in the area of the Point Thomas oasis, which is exposed as a result of the glacier. The study sites (Figure 1) were overgrown by lichens, mosses, and liverworts, as well as flowering plants. The seven places selected (Figure 1, Table 1) differ in terms of the intensity of soil-forming factors, such as distance from the sea (4–900 m), distance from the glacier (150–950 m), altitude (1–180 m a.s.l.), slope and exposure, which indicate different ages and stages of soil development. At each of the seven sites, six sampling points were made. The sites represent a wide variety of major soils in the region. All of the sites are within a short distance from one another, no more than approximately 1300 m apart (Figure 1, Table 1). The soil units were classified according to the WRB (World Reference Base) international soil classification system [51]. Total vegetation cover (TVC) was estimated using the quadrat (10 m × 10 m) sampling method, which can be used to estimate vegetation cover, plant counts, and record species. The bird activity was classified based on current nesting presence, historical records, and visible guano deposition.
Table 1.
Characteristics of investigated sites.
2.2. Soil Analyses
At each site, six soil samples from surface layers 0–15 cm deep (shallower if the solid rock was met) were collected from an area of 10 m × 10 m during the Antarctic summer season of 2019. Soil texture was determined by the pipette method using an apparatus produced by Eijkelkamp Agriresearch Equipment [52] and wet sieving. Loss-on-ignition (LOI), as a measure of SOM content, was determined after the dry ashing of soil samples for 6 h at 550 °C. Total organic carbon (TOC) and total nitrogen (TN) analyses were performed using an Elementar Vario MaxCube CN analyzer.
The study employed extraction with alkali solutions to determine the amounts of organic compounds considered to be stable or resistant to microbial transformations. Additionally, another procedure was used to extract labile organic compounds, i.e., those decomposed or transformed within a few years. In recent years, there has been a dispute over the organic matter separation techniques and nomenclature used [5,6,7,41]. However, a combination of traditional soil organic matter fractionation and newer methods, such as labile organic compounds extraction, has proven to be useful and to provide indispensable data on the transformations occurring in the soil, which in turn can be used to extrapolate future soil development.
Hot water-extractable carbon fraction—an indicator of the biological activity of soil—was chosen for characterizing labile carbon. HWC was determined in air-dried soil samples according to the method described by Sparling et al. [53]. Briefly, 4 g of air-dried soil was incubated with 20 mL of demineralized water in a capped test tube at 70 °C for 18 h. The tubes were shaken by hand at the end of the incubation and then filtered through Whatman ME 25/21 ST 0.45 μm membrane filters (mixed cellulose ester). The hot-water soluble C was measured with an Analytik Jena Multi N/C 3100 analyzer.
In order to describe the state of humification, three humus fractions, varying in their association with the cations present in the soil, were extracted using the method described by Dabin [54]. Three extraction solvents were used—2 mol dm−3 phosphoric acid (H3PO4), used to extract unbound organic carbon compounds (PHP-C), 0.1 mol dm−3 sodium diphosphate (Na4P2O7) at pH 9.8, used to extract humus compounds bound to cations (DPH-C), and 0.1 mol dm−3 sodium hydroxide (NaOH), used to extract humus compounds that form larger associations or those with higher molecular weight, and also associated with cations (SODA-C). Briefly, five grams of air-dried soil were mixed with 25 mL of an H3PO4 solution, agitated for 30 min with a back-and-forth shaker, and centrifuged for 5 min at 1500× g. The supernatant was then filtered through a flat filter. The undecomposed and fresh plant parts were filtered out and excluded from the study, whereas the filtrate contained PHP-C. The remaining soil was mixed with 50 mL of sodium diphosphate, left in contact overnight (agitating several times), centrifuged for 30 min at 3000× g, and filtered. A similar extraction sequence was performed with NaOH. Before every extraction, the soil was washed with inorganic water by agitating for 15 min, centrifuging, and filtering the washing water. The part of the organic matter not soluble in any phosphoric acid, sodium diphosphate, or sodium hydroxide was called the residuum. The carbon in the examined fractions was measured in a TOC analyzer (Analytik Jena Multi N/C 3100).
Based on the above humus and HWC fractions (organic carbon amounts in g kg−1), the humification degree (HD), and the ratio of labile to stable carbon fraction (L/S) were calculated as follows:
HD = [(DPH-C + SODA-C)/TOC] × 100 [%]
L/S = HWC/(DPH-C + SODA-C)
All measurements were carried out in duplicate on the soil samples sieved through a 1 mm mesh. The results of analyses were provided in supplementary materials.
2.3. Statistical Analyses
The differences in soil properties and nutrients between the seven studied localities were analyzed using the Kruskal–Wallis rank sum test. For differences observed at p < 0.05, Dunn’s post hoc test for multiple comparisons was used. The non-parametric Kruskal–Wallis and Dunn’s post hoc tests were employed when the data did not meet the assumptions of one-way ANOVA. All statistical analyses were performed using STATISTICA v. 10 (StatSoft Poland, Kraków, Poland). Principal component analysis (PCA) was applied to show the structure of the relationships between the studied variables, as well as between the studied localities. Since the variables are in disparate units, the data were standardized, and the principal components were calculated based on the correlation matrix. The cluster analysis was based on the following soil parameters: HWC, DPH-C, SODA-C, HD, and L/S. The sites with similar properties are marked as groups on the dendrogram. The classification diagrams were based on a tree with two dependent variables: distance from the sea (close for sites 1, 2, and 7; medium for sites 3, 4, and 5; far for site 6) and activity of birds (current activity for sites 1 and 2, former activity for sites 3 and 5, no activity for sites 4, 6 and 7).
3. Results
A general description of the investigated sites is presented in Figure 1 and Table 1. Sites 1 and 2 are basalt rock outcrops, affected by the fertile waters flowing from the penguin area (site 1) or located in the immediate vicinity of an Adélie penguin (Pygoscelis adeliae) rookery (site 2). Flowering plants grow there abundantly, but only on the side of the penguins’ migration routes. Sites 3 and 5 are sloping edges of relatively old fluted moraines and a former penguin rookery [55], hence the relict influence of bird species Pygoscelis adeliae, P. antarctica and P. papua, Larus dominicanus, as well as pinniped mammals (Pinnipedia). Currently, skuas are nesting at site 5. Other investigated sites have not been influenced by birds—sites 4 and 6 are basalt rock outcrops, moraines, and hills, and site 7 is located on the youngest fluted moraine with rich petrographic composition and the most minimal plant cover among the sites.
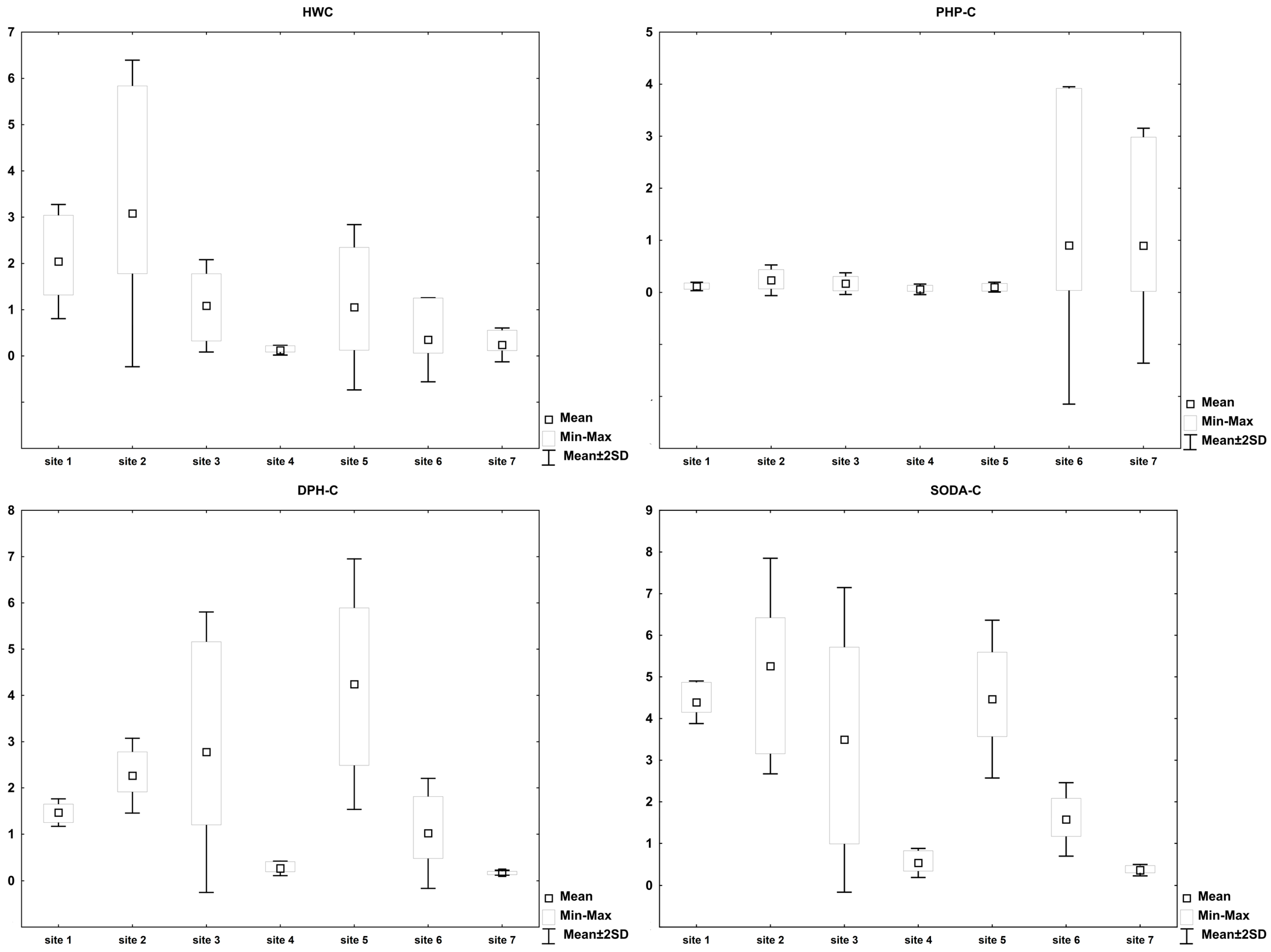
The investigated soils were rich in gravel particles (approx. 20–30%), which is typical for polar regions. In the fractions with diameters less than 2.0 mm, mainly sand was present (approx. 62.4–96.6%). The amount of the silt fraction (ø 2–50 µm) varied considerably (3.4–34.4%), and the amount of the clay fraction (ø < 2 µm) was low, at 1.1% on average. The studied soils had the texture of sand (sites 1, 2, 3, 5 and 6) or sandy loam (sites 4 and 7). The totals of organic carbon in the studied soils also varied and can be ordered as follows: site 2 > 5 > 1 > 3 > 6 > 7 > 4 (Table 2). Site 2 had the highest SOM (124.6 g/kg) and TOC (89.1 g/kg) contents, related to current bird activity. The HWC fraction was highest at site 2 (3.74 g/kg), and also at site 1 (4.30 g/kg), affirming active biological processes in ornithogenic soils. On the other hand, site 7, a young moraine, had low SOM and TOC contents (Table 2), but a high L/S ratio (0.468) and PHP-C, suggesting early microbial activity and labile carbon dominance. Sites 3 and 5 (former bird colonies) had elevated DPH-C and SODA-C amounts, as well as the highest HD values (17.5% and 18.9%), indicating advanced SOM humification and suggesting their classification as stabilized soils. The residuum consistently made up the majority of TOC across all sites (>80%), especially in sites not influenced by birds. The levels of HWC (labile organic pool) were low and did not exceed 3 g kg−1 (Figure 2). The highest HWC amounts were found for Leptosols and Cryosols—ornithogenic soils at sites 1, 2, and 3, confirming bird-driven microbial stimulation. Similarly high values were noted for Regosols at site 7 (Figure 2, Table 2). At site 5, which was a former penguin colony, the HWC contents were lower. We noted that the coefficient of variation for HWC was high, exceeding 35% (Table 2), and HWC contents were correlated with TOC (r = 0.855; p ≤ 0.01, n = 42) (Table 3).
Table 2.
Soil carbon parameters in the studied soils (n = 42).
Figure 2.
Mean amounts (g kg−1) of studied carbon pools (variability around the mean is indicated by 2SD, standard deviation, in error bars).
Table 3.
Coefficients of Pearson’s correlation (n = 42; p ≤ 0.01).
The amounts of PHP-C, which is also considered to be a labile carbon pool containing unbound organic compounds, varied largely (Figure 2), with a coefficient of variation higher than for HWC. PHP-C was the highest in the soils at sites 7 and 6 (Figure 2; Table 2), and also the coefficient of variation was the highest for these two sites, suggesting these sites are heterogeneous with uneven distributions of carbon at the 100 m2 level. This may be related to the very early-stage SOM transformations or release of organic compounds like sugars, aminoacids, etc., by lichens or growing vascular plants. PHP-C was not correlated with HWC or any other soil properties. Also, the input of PHP-C in the principal components (length of vector in the PCA in Figure 3) was the lowest.
Figure 3.
The plot of loadings of variables with principal components PC 1 and PC 2.
The contents of carbon extracted with sodium diphosphate (DPH-C) and sodium hydroxide (SODA-C) followed similar trends and were the highest in Cryosols at sites 3 and 5 (Figure 2), exceeding 1 g kg−1, indicating mature SOM and historic ornithogenic influences. It should be noted that the amount of the humus fraction is also tied to TOC levels. Soils at sites 3 and 5 contained at least twice as much carbon as the soils at the other studied sites (Table 2). The coefficients of variation for DPH-C and SODA-C were moderate (15–35%) or high (>35%). The soils at site 1 were the most homogenous in terms of the analyzed humus compounds—the coefficient of variation was the lowest for all of the humus parameters (Table 2) in this group. Organic carbon not extractable with alkali or acid solutions (carbon contained in residuum) accounted for more than 80% of TOC in all studied soils, which should be regarded as a high value of this complex part of SOM. This fraction was higher in Leptosols and Regosols (sites 1, 2, 4, 7), and lower in Cryosols (sites 3 and 5) ‘older’ ornithogenic soils.
The amounts of DPH-C and SODA-C were correlated with each other (Figure 3) and with TOC (Table 3). Their amounts are also depicted in the values of HD, which were the lowest in Regosols at site 7 (<10%) and the highest at sites 3 and 5 (Table 2). Generally, all HD values were low, and the coefficient of variation for HD was low (Table 2). The ratio of L/S did not exceed 1.0 but was the highest in Regosols (site 7) and Leptosols (sites 1 and 2), suggesting ongoing microbial processes in SOM. It was also high at site 3, but lower than at sites 1, 2, and 7. The lowest values of L/S were recorded for sites devoid of bird activity—4 and 6 (Table 2).
4. Discussion
The soil organic matter of Antarctica is vulnerable to changes. The content of the mineral fractions is related to the type of soil matrix and intensity of weathering [56]. Clay-deficient soil offers little in the way of SOM protection and may increase the loss of C [57]. Lichens, algae, mosses, and flowering plants growing on Antarctic soils are capable of fixing atmospheric C [11], which may be stored in the soil in various organic compounds [58]. These organic compounds can be divided according to their turnover rate into labile (with turnover rates of up to several years) and stable (with turnover rates of decades).
One of the most sensitive indicators for soil organic matter transformations is HWC [2,59]. This labile carbon pool correlates with the microbial biomass [53] and indicates the direction of the process occurring in soil. Also, Barrett et al. [60] revealed that large soil labile carbon pools are related to the algal/microbial source of organic matter. The investigated soils of Maritime Antarctica contain low amounts of HWC, as the short vegetation period translates to low levels of biological activity [61]. In other parts of Antarctica, estimates of labile carbon are either higher or similar [60]. The HWC is usually correlated with organic carbon [2], which was also corroborated by the present study. The estimates imply that soil microorganisms play an important role in transformations of SOM—lower values may suggest weakened microbial activity and therefore weakened transformations of SOM, which is a positive sign in the context of climatic changes, i.e., potential SOM mineralization into CO2. The HWC contents were associated with the activity of birds, i.e., penguins and skuas (the Leptosols and Cryosols of sites 1, 2, 3, and 5 contained more HWC than other sites). It should be noted that the HWC content was lower at site 5 than at sites 1, 2, or 3, all being ornithogenic. This may imply that microbial activity at site 5 is decreasing, and the microbial transformation of organic matter is slowing down.
Also regarded as a labile carbon pool, PHP-C did not correlate with TOC or HWC. This parameter may be a good indicator of soil organic matter changes for the developed soils of the temperate climatic zone. In Antarctic soils, it did not indicate relationships with the activity of birds or with other studied properties. However, higher levels of this carbon fraction were noted in soils devoid of bird activity (see values in Table 2).
The development of areas recently exposed to ice is also dependent on the growth of populations of flowering plants, which is why sites with Deschampsia antarctica and Colobanthus quitensis were noted by Bölter [43] to have higher soil activity—the root system was colonized by bacteria [62], nematodes and collembolans. However, the relationship between D. antarctica, C. quitensis, or P. annua coverage and microbial activity expressed as HWC was not denoted in the present study. These plant species were the most abundant at site 1 and the least abundant at sites 2 and 6.
The DPH-C and SODA-C fractions are considered to resist attack by microorganisms and are regarded as ‘protected’ against microbiological activity [5] or against decomposition, i.e., they are relatively stable in terms of microbial transformations. These fractions contain (among others) ion-bound organic compounds, as well as clay fractions, but bonds with clay fractions are more typical for SODA-C. However, our study revealed that the parameters studied were not linked to clay, as the investigated soils were almost completely devoid of clay. The levels of DPH-C and SODA-C were found to be related to bird activity. Young soils (developing on the sediments uncovered by the glacier or on eroded soils) not affected by birds contained minor amounts of these compounds, whereas ornithogenic soils (sites 3 and 5) contained considerably higher alkali-soluble carbon fractions, with most of their organic matter being ‘microbiologically protected’. The stability of organic matter at these sites was also evidenced by the decreasing content of labile fraction and the highest HD values (which we suggest be termed the degree of microbiological protection of humus).
Sites 1 and 2, which are currently under the influence of penguins, contain the largest HWC labile carbon pool, but have different sizes of stable carbon fractions, low HD, and high L/S ratios, indicating the prevalence of short- over long-term carbon pools. These soils are ‘active’ in terms of potential organic carbon changes due to the constant influence of penguins and the fresh input of organic compounds. Soil organic matter in such places should be monitored to track changes in the ratios between labile and stable carbon pools. Such soils also have the lowest residuum fraction. These organic compounds, which have also been termed humins [63], can be vulnerable to microbial decay when microbial activity is increasing. As such, the decrease in this carbon fraction may be a result of their conversion into simpler forms [2], i.e., compounds belonging either to the stable carbon (microbiologically protected) or labile carbon fraction.
Soils under vegetation dominated by the grass Deschampsia antarctica may be better developed due to the humification of previously accumulated plant debris (roots) and the long process of soil formation. High amounts of lignin-derived compounds in D. antarctica may serve as humus precursors, leading to higher degrees of soil organic matter humification through polycondensation and the polymerization of the lignin-derived compounds. Consequently, higher levels of alkali-soluble carbon compounds may be observed in the soil. Our study revealed that the most humified organic matter was that covered by vegetation in the vicinity of skua nests, in an area of abundant penguin colonies (probably during the Holocene [15])—the Cryosols (sites 3 and 5). Though the percentage of the soil surface covered by D. antarctica or C. quitensis did not correlate with HD, the total vegetation cover (TVC) was well correlated with HD (Figure 4).
Figure 4.
The relation between total vegetation cover (TVC) and humification degree (HD).
The trend in Figure 4 suggests that denser vegetation cover is associated with higher SOM humification. This supports the hypothesis that plant-derived organic matter, especially from mosses, lichens, and flowering plants, contributes to long-term carbon stabilization through the accumulation and transformation of remnants (e.g., root biomass, lignin). Sites 3 and 5, which have high vegetation cover and were formerly influenced by birds, show both high HD and high TVC, indicating advanced SOM maturity. The absence of a clear correlation with specific plant species (e.g., D. antarctica) implies that vegetation density, not species itself, is one of the drivers of SOM transformation in polar soils. This figure reinforces the ecological significance of plant colonization in polar succession and SOM stabilization in a warming Antarctic environment.
In Figure 5, similarities between the investigated sites are depicted. Sites 1 and 2 (current bird activity) had high HWC and TOC, low HD and high L/S ratios, indicating ongoing microbial processing and fresh organic inputs. Sites 3 and 5 (former penguin rookeries) with high HD, DPH-C, and SODA-C reflect microbiologically protected stable SOM and the soil development pattern of post-bird abandonment. Sites 4 and 6 (no bird activity) had moderate TOC and stable fraction amounts. Site 6 is interesting in terms of the studied parameters. It is located distant from the seashore (Figure 1), contains approximately 4.5% TOC, and has quite a high fraction of stable organic carbon but little HWC, and its levels of residuum (Table 2) are comparable to those of Cryosols at sites 3 and 5. Site 6 may hint at an ancient bird impact due to similar SOM patterns to sites 3 and 5. When we compare this soil to Cryosols at sites 3 and 5, we can notice similar tendencies in the studied parameters—TOC > 3%, high HD, high content of stable organic carbon, decreased residuum content, and low HWC—suggesting that, nowadays, these soils can be regarded as ‘stable’.
Figure 5.
Dendrogram generated using Ward’s clustering method for the seven studied soil sites.
The soil at site 7 is classified as very young [18], and is distinct from the rest of the studied sites (Figure 5). It contains the least amount of stable organic matter, the lowest HD, high amounts of PHP-C, and has a very high L/S ratio. It suggests very early-stage soil formation, possibly influenced by sea aerosol or initial organic input. Coastal location may be indicative of organic carbon pools, and further studies with more dispersed locations can broaden our knowledge.
The clustering supports the interpretation that bird activity history is the dominant factor shaping SOM properties. Vegetation plays a secondary but important role in carbon stabilization. These findings highlight how biological legacies and colonization gradients create distinct soil development pathways in Maritime Antarctica.
Our study proved that the organic matter accumulation and transformation patterns in Maritime Antarctica are primarily affected by two factors—bird guano and vegetation. Biological activity, reflected by labile fractions of C, was higher in the ornithogenic soils (mainly through guano deposition), enabling further transformations of organic matter. Guano contains many ‘aggressive’ mobile compounds that react with mineral and organic soil substrates [20,55,64,65]. Therefore, soils enriched by bird excrement contain more labile carbon. Cryosols from sites 3 and 5 are polygenetic. They used to be under the influence of a penguin colony. Decreasing bird activity is reflected in the decreasing labile C content. The HD and residuum level also suggest that the organic matter in the soil is being converted—the decreased residuum content is related to its transformations into humus and other compounds, whereas the increased proportion of microbiologically protected carbon justifies classifying the soil as ‘stable’. The fertile soil substrate promoted vegetation growth [66], with a high share of flowering plants.
Maritime Antarctic soils, which could be regarded as biologically active, had a large labile carbon pool (HWC > 3% of TOC) and an L/S ratio of >0.3. The humification degree of these soils, while not high, tends to increase over time with decreasing residuum content. In contrast, stable soils showed decreasing labile carbon contents, the highest HD (>15%), and a low L/S ratio. Stable carbon compounds were associated with the growth of mosses, lichens, and flowering plants, without the considerable influence of any particular vegetation type. Better-developed soils, with higher TOC, larger stable carbon fractions, and denser vegetation cover were found at the sites that had been formerly affected by birds. This supports the assumptions made by Schmidt et al. [6], stating that the persistence of soil organic carbon largely depends on the nature/character of the ecosystem. The main determinant of the stability of organic matter is prior bird activity, but the vegetation coverage or the very coastal location are not negligible.
5. Conclusions
This study demonstrates that the accumulation and transformation of soil organic matter (SOM) in Maritime Antarctica are strongly influenced by biotic factors, particularly the activity of seabirds such as penguins and skuas. Soils currently or historically affected by bird colonies—ornithogenic soils—exhibited higher total organic carbon (TOC) content and greater microbial activity, as indicated by the abundance of HWC labile carbon fraction, elevated L/S ratios, and lower humification degrees (HD). In contrast, sites not currently influenced by birds, particularly those on younger glacial areas, showed lower SOM content, higher residuum proportions, and variable levels of PHP-C labile carbon, indicating early stages of soil development.
The degree of SOM stabilization was particularly evident at former bird colony sites, where higher values of DPH-C, SODA-C, and HD suggest the formation of more resistant, microbiologically protected organic matter. Vegetation cover, although not directly tied to specific species, played a secondary role in enhancing SOM humification, especially in better-developed soils. The clustering of sites supports a succession-driven model, in which ornithogenic input initiates SOM accumulation and microbial activity, followed by vegetation-driven stabilization over time. The balance between labile and stable carbon pools serves as an indicator of soil age and stability. Sites with ongoing bird activity showed dynamic SOM, while abandoned colonies evolve into stable, humified soils.
This research contributed to our understanding of soil development, carbon cycling, and ecological succession in polar environments. The study showed a clear link between bird activity and SOM dynamics, supporting the concept of biological legacies in soil formation in Antarctica. It highlighted the role of vegetation in SOM stabilization, which is crucial for understanding how terrestrial ecosystems may evolve as ice retreats and plant colonization expands. The studied parameters may serve as indicators (HWC, L/S ratio, HD, residuum) that are useful for the long-term monitoring of soil carbon transformations in polar regions. Although the study also provided a framework to assess the stability and vulnerability of SOM in response to environmental change, particularly the decline or expansion of seabird populations, it has some limitations. The study did not account for seasonal or interannual variability in biological activity or climate conditions. While labile carbon pools were used to infer microbial activity, the study did not include direct microbial analyses (e.g., biomass quantification, DNA sequencing), which would strengthen interpretations of biological processes. Therefore, future research covering these aspects is required.
Supplementary Materials
The following supporting information can be downloaded at: https://www.mdpi.com/article/10.3390/su17167221/s1.
Author Contributions
B.K.: conceptualization, methodology, investigation, validation, visualization, writing, funding acquisition. A.Ł.: conceptualization, validation, writing, funding acquisition. I.G.: resources, visualization, funding acquisition. M.O.: resources, visualization, funding acquisition. K.J.C.: resources, visualization, writing, funding acquisition. W.K.-S.: resources, formal analysis. All authors have read and agreed to the published version of the manuscript.
Funding
This research was supported by the Polish Ministry of Scientific Research and Higher Education, grant NN303796240, and as part of a comprehensive study financed by the University of Warmia and Mazury in Olsztyn, Faculty of Agriculture and Forestry, Department of Soil Science and Microbiology (grant No. 30.610.005-110).
Institutional Review Board Statement
Not applicable.
Informed Consent Statement
Not applicable.
Data Availability Statement
The data presented in the paper are available upon request.
Conflicts of Interest
The authors declare that they have no known competing financial interests or personal relationships that could have appeared to influence the work reported in this paper.
Abbreviations
| DPH-C | humus compounds bound to cations |
| HD | humification degree |
| HWC | hot water-extractable carbon |
| L/S | ratio of labile to stable carbon fraction |
| LOI | loss-on-ignition |
| PHP-C | unbound organic carbon compounds |
| SODA-C | humus compounds that form larger associations or those with higher molecular weight, also associated with cations |
| SOM | soil organic matter |
| TN | total nitrogen |
| TOC | total organic carbon |
| TVC | total vegetation cover |
References
- Bockheim, J.G. Soil-Forming Factors in Antarctica, In The Soils of Antarctica; Bockheim, J.G., Ed.; World Soil Book Series; Springer International Publishing: Cham, Switzerland, 2015. [Google Scholar]
- Glina, B.; Mendyk, L.; Piernik, A.; Nowak, M.; Maier, A.; Inselsbacher, E.; Glatzel, S. Local weather conditions determine DOC production and losses from agricultural fen soils affected by open-pit lignite mining. Catena 2022, 211, 106012. [Google Scholar] [CrossRef]
- Kalisz, B.; Łachacz, A.; Długosz, J.; Żuk-Gołaszewska, K. Effect of TOC and depth on soil chemical properties and labile carbon pool in the topsoil of peatlands. J. Elementol. 2025, 30, 221–240. [Google Scholar] [CrossRef]
- Voltr, V.; Mensik, L.; Hlisnikovsky, L.; Hruska, M.; Pokorny, E.; Pospisilova, L. The soil organic matter in connection with soil properties and soil inputs. Agronomy 2021, 11, 779. [Google Scholar] [CrossRef]
- Lehmann, J.; Kleber, M. The contentious nature of soil organic matter. Nature 2015, 528, 60–68. [Google Scholar] [CrossRef]
- Schmidt, M.W.I.; Torn, M.S.; Abiven, S.; Dittmar, T.; Guggenberger, G.; Janssens, I.A.; Kleber, M.; Kögel-Knabner, I.; Lehmann, J.; Manning, D.A.C.; et al. Persistence of soil organic matter as an ecosystem property. Nature 2011, 478, 49–56. [Google Scholar] [CrossRef]
- Sutton, R.; Sposito, G. Molecular structure in soil humic substances: The new view. Environ. Sci. Technol. 2005, 39, 9009–9015. [Google Scholar] [CrossRef]
- Lal, R. Restoring soil quality to mitigate soil degradation. Sustainability 2015, 7, 5875–5895. [Google Scholar] [CrossRef]
- Kalisz, B.; Łachacz, A. Relations between labile and stable pool of soil organic carbon in peatlands. J. Elementol. 2023, 28, 263–278. [Google Scholar] [CrossRef]
- Lehmann, M.F.; Carstens, D.; Deek, A.; McCarthy, M.; Schubert, C.J.; Zopfi, J. Amino acid and amino sugar compositional changes during In Vitro degradation of algal organic matter indicate rapid bacterial re-synthesis. Geochim. Cosmochim. Acta 2020, 283, 67–84. [Google Scholar] [CrossRef]
- Simas, F.N.B.; Schaefer, C.E.G.R.; Filho, M.R.A.; Francelino, M.R.; Filho, E.I.F.; da Costa, L.M. Genesis, properties and classification of Cryosols from Admiralty Bay, maritime Antarctica. Geoderma 2008, 144, 116–122. [Google Scholar] [CrossRef]
- Elberling, B.; Gregorich, E.G.; Hopkins, D.W.; Sparrow, A.D.; Novis, P.; Greenfield, L.G. Distribution and dynamics of soil organic matter in an Antarctic dry valley. Soil Biol. Biochem. 2006, 38, 3095–3106. [Google Scholar] [CrossRef]
- Claridge, G.G.C.; Campbell, I.B.; Sheppard, D.S. Global Climate Change and Cold Regions Ecosystems. In Carbon Pools in Antarctica and Their Significance for Global Climate Change; Lal, R., Kimble, J.M., Stewart, B.H., Eds.; Lewis Publishers: Boca Raton, FL, USA, 2000. [Google Scholar]
- Scharlemann, J.P.W.; Tanner, E.V.J.; Hiederer, R.; Kapos, V. Global soil carbon: Understanding and managing the largest terrestrial carbon pool. Carbon Manag. 2014, 5, 81–91. [Google Scholar] [CrossRef]
- Tatur, A. Ornitogenic soils of the Maritime Antarctic. Pol. Polar Res. 1989, 10, 481–532. [Google Scholar]
- Nędzarek, A.; Rakusa-Suszczewski, S. Decomposition of macroalgae and the release of nutrients in Admiralty Bay, King George Island, Antarctica. Polar Biosci. 2004, 17, 26–35. [Google Scholar]
- Nędzarek, A. Sources, diversity and circulation of biogenic compounds in Admiralty Bay, King George Island, Antarctica. Antarct. Sci. 2008, 20, 135–145. [Google Scholar] [CrossRef]
- Bonan, G.B.; Hartman, M.D.; Parton, W.J.; Wieder, W.R. Evaluating litter decomposition in earth system models with long-term litterbag experiments: An example using the Community Land Model version 4 (CLM4). Glob. Change Biol. 2013, 19, 957–974. [Google Scholar] [CrossRef]
- Michel, R.F.M.; Schaefer, C.E.G.R.; Dias, L.E.; Simas, F.N.B.; de Melo Benites, V.; de Sá Mendonça, E. Ornithogenic Gelisols (Cryosols) from Maritime Antarctica: Pedogenesis, Vegetation, and Carbon Studies. Soil Sci. Soc. Am. J. 2006, 70, 1370–1376. [Google Scholar] [CrossRef]
- Simas, F.N.B.; Schaefer, C.R.; Melo, V.F.; Albuquerqu-Filho, M.R.; Muchel, R.F.M.; Pereria, V.V.; Gomes, M.R.M.; da Costa, L.M. Ornithogenic cryosols from Maritime Antarctica: Phosphatization as a soil forming process. Geoderma 2007, 138, 191–203. [Google Scholar] [CrossRef]
- Abakumov, E.V.; Trubetskoj, O.; Demin, D.; Trubetskaya, O. Electrophoretic evaluation of initial humification in organic horizons of soils of western Antarctica. Polarforschung 2013, 83, 73–82. [Google Scholar]
- Zdanowski, M.K.; Żmuda-Baranowska, M.J.; Borsuk, P.; Świątecki, A.; Górniak, D.; Wolicka, D.; Jankowska, K.M.; Grzesiak, J. Culturable bacteria community development in postglacial soils of Ecology Glacier, King George Island, Antarctica. Polar Biol. 2013, 36, 511–527. [Google Scholar] [CrossRef]
- Świtoniak, M.; Melke, J.; Bartmiński, P. The differences in cellulolytic activity of the Arctic soils of Calypsostranda, Spitsbergen. Polar Rec. 2014, 50, 199–208. [Google Scholar] [CrossRef]
- Androsiuk, P.; Chwedorzewska, K.; Szandar, K.; Giełwanowska, I. Genetic variation of Colobanthus quitensis from King George Island (Antarctic). Pol. Polar Res. 2015, 36, 281–295. [Google Scholar] [CrossRef]
- Poelking, E.L.; Schaefer, C.E.R.; Fernandes Filho, E.I.; de Andrade, A.M.; Spielmann, A.A. Soil–landform–plant-community relationships of a periglacial landscape on Potter Peninsula, maritime Antarctica. Solid Earth 2015, 6, 583–594. [Google Scholar] [CrossRef]
- Abakumov, E.V. The sources and composition of humus in some soils of West Antarctica. Eur. Soil Sci. 2010, 43, 499–508. [Google Scholar] [CrossRef]
- Mu, C.C.; Zhang, T.J.; Zhao, Q.; Guo, H.; Zhong, W.; Su, H.; Wu, Q.B. Soil organic carbon stabilization by iron in permafrost regions of the Qinghai-Tibet Plateau. Geophys. Res. Lett. 2016, 43, 286–294. [Google Scholar] [CrossRef]
- Natali, S.M.; Schuur, E.A.; Webb, E.E.; Pries, C.E.H.; Crummer, K.G. Permafrost degradation stimulates carbon loss from experimentally warmed tundra. Ecology 2014, 95, 602–608. [Google Scholar] [CrossRef]
- Burke, E.J.; Hartley, I.P.; Jones, C.D. Uncertainties in the global temperature change caused by carbon release from permafrost thawing. Cryosphere 2012, 6, 1063–1076. [Google Scholar] [CrossRef]
- Beyer, L.; Vogt, B.; Blume, H.P.; Erlenkeuser, H. Soil organic matter composition and transformation in a swamp soil from algae of coastal continental Antarctica. Polarforschung 1995, 65, 117–122. [Google Scholar]
- Vlasov, D.Y.; Abakumov, E.V.; Nadporozhskaya, M.A.; Kovsh, N.V.; Krylenkov, V.A.; Lukin, V.V.; Safronova, E.V. Lithosols of King George Island, Western Antarctica. Eur. Soil Sci. 2005, 38, 681–687. [Google Scholar]
- Wu, L.; Sheng, M.; Liu, X.; Zheng, Z.; Emslie, S.; Yang, N.; Wang, X.; Nie, Y.; Jin, J.; Xie, Q.; et al. Molecular transformation of organic nitrogen in Antarctic penguin guano-affected soil. Environ. Int. 2023, 172, 107796. [Google Scholar] [CrossRef]
- Alekseev, I.; Abakumov, E. Soil organic matter and biogenic–abiogenic interactions in soils of Larsemann Hills and Bunger Hills, East Antarctica. Polar Sci. 2024, 40, 101040. [Google Scholar] [CrossRef]
- Guglielmin, M.; Ellis Evans, C.J.; Cannone, N. Active layer thermal regime under different vegetation conditions in permafrost areas at Signy Island (Maritime Antarctic). Geoderma 2008, 144, 73–85. [Google Scholar] [CrossRef]
- Meier, L.A.; Krauze, P.; Prater, I.; Horn, F.; Schaefer, C.E.G.R.; Scholten, T.; Wagner, D.; Mueller, C.W.; Kühn, P. Pedogenic and microbial interrelation in initial soils under semiarid climate on James Ross Island, Antarctic Peninsula region. Biogeosciences 2019, 16, 2481–2499. [Google Scholar] [CrossRef]
- Ortiz, M.; Bosch, J.; Coclet, C.; Johnson, J.; Lebre, P.; Salawu-Rotimi, A.; Vikram, S.; Makhalanyane, T.; Cowan, D. Microbial nitrogen cycling in Antarctic soils. Microorganisms 2020, 8, 1442. [Google Scholar] [CrossRef]
- Chwedorzewska, K.J.; Bednarek, P.T. Genetic and epigenetic studies on populations of Deschampsia antarctica Desv. from contrasting environments at King George Island (Antarctic). Pol. Polar Res. 2011, 32, 15–26. [Google Scholar] [CrossRef]
- Nędzarek, A.; Tórz, A.; Drost, A. Selected elements in surface waters of Antarctica and their relations with the natural environment. Polar Res. 2014, 33, 21417. [Google Scholar] [CrossRef]
- Ghani, A.; Dexter, M.; Perrott, K.W. Hot water carbon as an integrated indicator of soil quality. In Proceedings of the 17th World Congress of Soil Science (WCCS), Bangkok, Thailand, 14–21 August 2002. [Google Scholar]
- Valladares, G.S.; Pereira, M.G.; dos Anjos, L.H.C.; Benites, V.M.; Ebeling, A.G.; Mouta, R.O. Humic substance fractions and attributes of histosols and related high-organic-matter soils from Brazil. Commun. Soil Sci. Plant Anal. 2007, 38, 763–777. [Google Scholar] [CrossRef]
- Weber, J.; Chen, Y.; Jamroz, E.; Miano, T. Preface: Humic substances in the environment. J. Soils Sediments 2018, 18, 2665–2667. [Google Scholar] [CrossRef]
- Birkenmajer, K. Retreat of the Ecology Glacier, Admiralty Bay, King George Island (South Shetland Islands, West Antarctica), 1956–2001. Bull. Pol. Acad. Sci. Earth Sci. 2002, 50, 15–29. [Google Scholar]
- Bölter, M. Soil development and soil biology on King George Island, Maritime Antarctic. Pol. Polar Res. 2011, 32, 105–116. [Google Scholar] [CrossRef]
- Rakusa-Suszczewski, S. King George Island—South Shetland Islands, Maritime Antarctic. In Geoecology of Antarctic Ice-Free Coastal Landscapes; Beyer, L., Bölter, M., Eds.; Ecological Studies; Springer: Berlin/Heidelberg, Germany, 2002; Volmue 154, pp. 23–39. [Google Scholar]
- Miranda, C.O.; Lima Neto, E.; Schaefer, C.E.G.R. Anthropogenic effect on the pedochemical variability of potentially toxic elements at the vicinity of an Antarctic research station. An. Acad. Bras. Cienc. 2024, 96, e20230724. [Google Scholar] [CrossRef]
- Convey, P. Antarctic terrestrial biodiversity in a changing world. Polar Biol. 2011, 34, 1629–1641. [Google Scholar] [CrossRef]
- Schmitz, D.; Schaefer, C.E.R.G.; Putzke, J.; Francelino, M.R.; Ferrari, F.R.; Correa, G.R.; Villa, P.M. How does the pedoenvironmental gradient shape non-vascular species assemblages and community structures in Maritime Antarctica? Ecol. Indic. 2020, 108, 105726. [Google Scholar] [CrossRef]
- Ferrari, F.R.; Schaefer, C.E.G.R.; Pereira, A.B.; Thomazini, A.; Schmitz, D.; Francelino, M.R. Coupled soil–vegetation changes along a topographic gradient on King George Island, Maritime Antarctica. Catena 2021, 198, 105038. [Google Scholar] [CrossRef]
- Matos, P.; Rocha, B.; Pinho, P.; Miranda, V.; Pina, P.; Goyanes, G.; Vieira, G. Microscale is key to model current and future Maritime Antarctic vegetation. Sci. Total Environ. 2024, 946, 174171. [Google Scholar] [CrossRef]
- Olech, M.; Chwedorzewska, K.J. The first appearance and establishment of an alien vascular plant in natural habitats on the forefield of a retreating glacier in Antarctica. Antarct. Sci. 2011, 23, 153–154. [Google Scholar] [CrossRef]
- IUSS Working Group WRB. World Reference Base for Soil Resources: International Soil Classification System for Naming Soils and Creating Legends for Soil Maps; International Union of Soil Sciences (IUSS): Vienna, Austria, 2022; p. 234. [Google Scholar]
- ISO 13317-2: 2001; Determination of Particle Size Distribution by Gravitational Liquid Sedimentation Methods. ISO: Geneva, Switzerland, 2001.
- Sparling, G.; Vojvodić-Vuković, M.; Schipper, L.A. Hot-water-soluble C as a simple measure of labile soil organic matter: The relationship with microbial biomass C. Soil Biol. Biochem. 1998, 30, 1469–1472. [Google Scholar] [CrossRef]
- Pansu, M.; Gautheyrou, J. Handbook of Soil Analysis: Mineralogical, Organic and Inorganic Methods; Springer: Berlin/Heidelberg, Germany, 2006. [Google Scholar]
- Tatur, A.; Myrcha, A.; Niegodzisz, J. Formation of abandoned penguin rookery ecosystems in the maritime Antarctic. Polar Biol. 1997, 17, 405–417. [Google Scholar] [CrossRef]
- Łachacz, A.; Kalisz, B.; Giełwanowska, I.; Olech, M.; Chwedorzewska, K.J.; Kellmann-Sopyła, W. Nutrient abundance and variability from soils in the coast of King George Island. J. Soil Sci. Plant Nutr. 2018, 18, 294–311. [Google Scholar]
- De Souza Carvalho, J.V.; Mendonça, E.; La Scala, N., Jr.; Reis, C.; Reis, E.; Schaefer, C. CO2-C losses and carbon quality of selected Maritime Antarctic soils. Antarct. Sci. 2013, 25, 11–18. [Google Scholar] [CrossRef]
- Mergelov, N.; Dolgikh, A.; Shorkunov, I.; Zazovskaya, E.; Soina, V.; Yakushev, A.; Fedorov-Davydov, D.; Pryakhin, S.; Dobryansky, A. Hypolithic communities shape soils and organic matter reservoirs in the ice-free landscapes of East Antarctica. Sci. Rep. 2020, 10, 10277. [Google Scholar] [CrossRef] [PubMed]
- Zhang, J.; Changchun, S.; Wenyan, Y. Land use effects on the distribution of labile organic carbon fractions through soil profiles. Soil Sci. Soc. Am. J. 2006, 70, 660–667. [Google Scholar]
- Barrett, J.E.; Virginia, R.A.; Parsons, A.N.; Wall, D.H. Potential soil organic matter turnover in Taylor Valley, Antarctica. Arct. Antarct. Alp. Res. 2005, 37, 108–117. [Google Scholar] [CrossRef]
- Nadporozhskaya, M.; Abakumov, E.; Khoras’kina, Y.S.; Bykhovets, S.; Shanin, V.N.; Komarov, A. Assessment of the possible dynamics of organic matter in soil in Antarctica under conditions of climate change using the ROMUL mathematical model. Earth’s Cryosphere 2017, 21, 52–59. [Google Scholar]
- Znój, A.; Gawor, J.; Gromadka, R.; Chwedorzewska, K.J.; Grzesiak, J. Root-associated bacteria community characteristics of Antarctic plants—Deschampsia antarctica and Colobanthus quitensis—A comparison. Microb. Ecol. 2022, 84, 808–820. [Google Scholar] [CrossRef]
- Simpson, J.A.; Simpson, M.; Smith, E.; Kelleher, B. Microbially derived inputs to soil organic matter: Are current estimates too low? Environ. Sci. Technol. 2007, 41, 8070–8076. [Google Scholar] [CrossRef]
- Abakumov, E.V.; Parnikoza, I.Y.; Zhianski, M.; Yaneva, R.; Lupachev, A.V.; Andreev, M.P.; Vlasov, D.Y.; Riano, J.; Jaramillo, N. Ornithogenic factor of soil formation in Antarctica: A review. Eurasian Soil Sci. 2021, 54, 528–540. [Google Scholar] [CrossRef]
- Castro, M.F.; Neves, J.C.L.; Francelino, M.R.; Schaefer, C.E.G.R.; Oliveira, T.S. Seabirds enrich Antarctic soil with trace metals in organic fractions. Sci. Total Environ. 2021, 785, 147271. [Google Scholar] [CrossRef]
- Bartos, A.; Stolarczyk, M.; Szymański, W. Content and quality of soil organic matter in topsoils under different tundra vegetation in central Spitsbergen (High Arctic). Geoderma Reg. 2024, 39, e00891. [Google Scholar] [CrossRef]
Disclaimer/Publisher’s Note: The statements, opinions and data contained in all publications are solely those of the individual author(s) and contributor(s) and not of MDPI and/or the editor(s). MDPI and/or the editor(s) disclaim responsibility for any injury to people or property resulting from any ideas, methods, instructions or products referred to in the content. |
© 2025 by the authors. Licensee MDPI, Basel, Switzerland. This article is an open access article distributed under the terms and conditions of the Creative Commons Attribution (CC BY) license (https://creativecommons.org/licenses/by/4.0/).




