An Evolutionary Game Study of Multi-Agent Collaborative Disaster Relief Mechanisms for Agricultural Natural Disasters in China
Abstract
1. Introduction
2. Literature Review
2.1. Research on Multi-Stakeholder Collaboration in the Field of Agricultural Natural Disasters
2.2. The Application of Game Theory in Disaster Response Mechanism Research and Its Evolution in Agricultural Collaboration
2.3. Literature Summary
3. Basic Assumptions and Modeling
3.1. Assumptions and Model Design Associations
3.2. Basic Assumption
3.3. Model Parameter Meanings
3.4. Replicating the Dynamic Equations
- (1)
- The government replicates dynamic equations
- (2)
- Dynamic equations for replication of agricultural service firms
- (3)
- Dynamic equations for farm household replication
3.5. Stabilization Analysis
4. Simulation Analysis
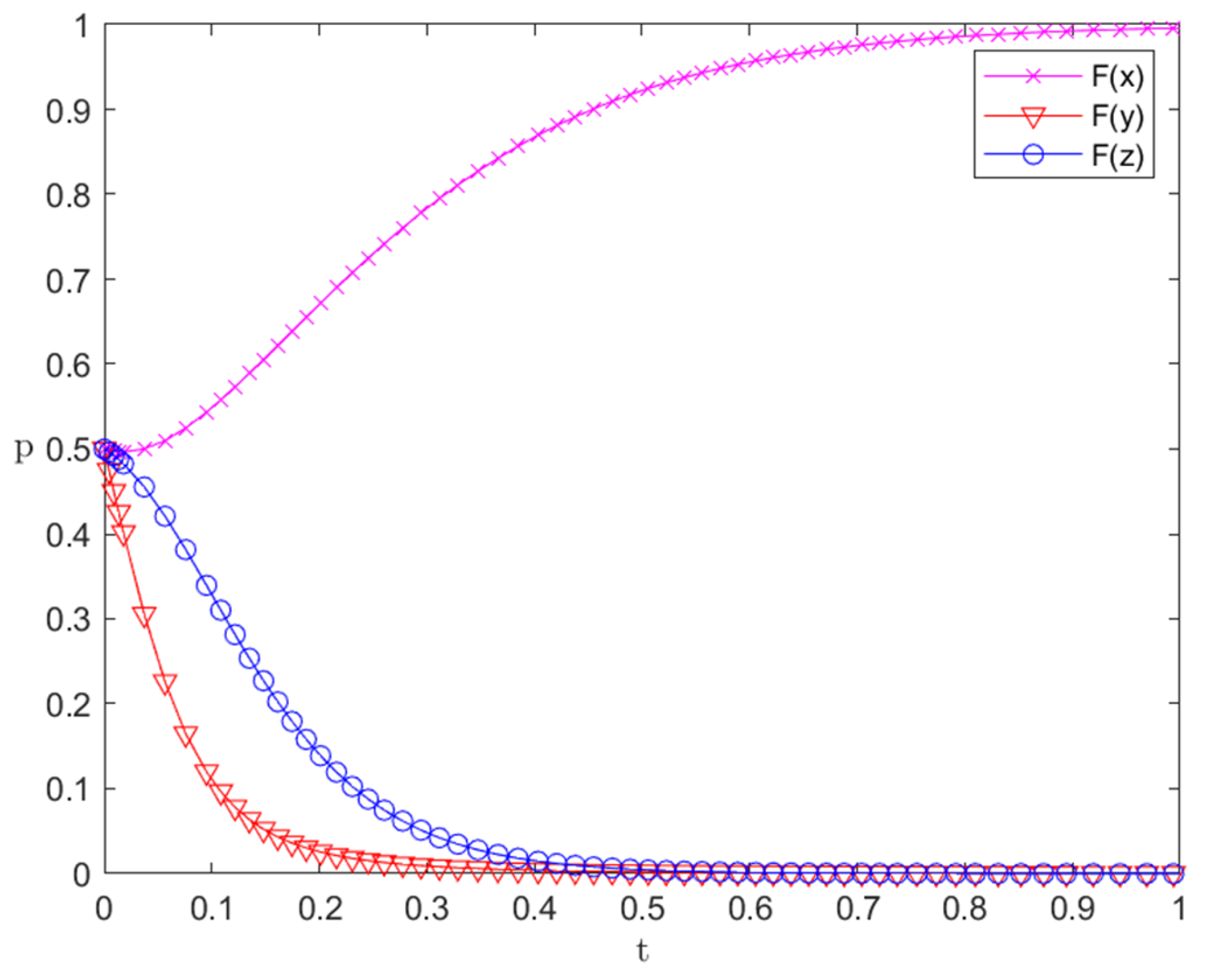
4.1. Equilibrium Point Evolution Path Analysis
4.2. Sensitivity Analysis
- (1)
- Advocacy Leads to Cost Sensitivity Analysis
- (2)
- Sensitivity analysis of cost-sharing expenditures
- (3)
- Cost sensitivity analysis of the implementation of penalty mechanisms
- (4)
- Cost Sensitivity Analysis of Farmers’ Attention Behavior
- (5)
- Cost sensitivity analysis of farmers’ complaint behavior
- (6)
- Sensitivity analysis of the cost of participation in disaster relief by agricultural service firms
4.3. Collaborative Disaster Response Strategy
5. Discussion
5.1. Theoretical Breakthroughs and Practical Significance
5.2. Collaborative Practices with China’s National Emergency Response System Plan
5.3. Comparative Innovation with International Disaster Coordination Models
5.4. Limitations of the Model and Future Research
6. Conclusions and Implications
- (1)
- Low efficiency of the government-led model and the need to optimize the incentive structure
- (2)
- More sustainable and efficient market-oriented synergistic mode
- (3)
- Reducing farmers’ participation costs is the key to improving synergistic efficiency
- (4)
- The cost of agricultural service enterprises affects the stability of synergy, and policy support is needed.
- (5)
- Dynamic Policy Tools Can Optimize Multi-Body Synergy Mechanisms
Author Contributions
Funding
Institutional Review Board Statement
Informed Consent Statement
Data Availability Statement
Conflicts of Interest
References
- Ministry of Emergency Management. Natural Disasters in China in the First Half of 2023. Available online: https://www.mem.gov.cn/xw/yjglbgzdt/202307/t20230707_455762.shtml#,2023-07-07/2025-03-02 (accessed on 11 May 2025).
- Central People’s Government of the People’s Republic of China. Opinions of the CPC Central Committee and the State Council on Promoting the Reform of the Mechanism and System for Disaster Prevention, Mitigation and Relief. Available online: https://www.gov.cn/gongbao/content/2017/content_5163443.htm (accessed on 2 March 2025).
- Ministry of Emergency Management of the People’s Republic of China. National Natural Disasters in 2023. Available online: https://www.mem.gov.cn/xw/yjglbgzdt/202401/t20240120_475697.shtml (accessed on 2 March 2025).
- Luo, D.; Ye, L.; Sun, D. Risk evaluation of agricultural drought disaster using a grey cloud clustering model in Henan province China. Int. J. Disaster Risk Reduct. 2020, 49, 101759. [Google Scholar] [CrossRef]
- Zhang, J.; Wang, J.; Chen, S.; Tang, S.; Zhao, W. Multi-hazard meteorological disaster risk assessment for agriculture based on historical disaster data in Jilin Province, China. Sustainability 2022, 14, 7482. [Google Scholar] [CrossRef]
- Guan, X.; Zang, Y.; Meng, Y.; Liu, Y.; Lv, H.; Yan, D. Study on spatiotemporal distribution characteristics of flood and drought disaster impacts on agriculture in China. Int. J. Disaster Risk Reduct. 2021, 64, 102504. [Google Scholar] [CrossRef]
- Shi, Z.; Huang, H.; Wu, Y.; Chiu, Y.; Qin, S. Climate change impacts on agricultural production and crop disaster area in China. Int. J. Environ. Res. Public Health 2020, 17, 4792. [Google Scholar] [CrossRef] [PubMed]
- Chen, N.; Chen, L.; Ma, Y.; Chen, A. Regional disaster risk assessment of China based on self-organizing map: Clustering, visualization and ranking. Int. J. Disaster Risk Reduct. 2019, 33, 196–206. [Google Scholar] [CrossRef]
- Wang, Z.; Xia, N.; Zhao, X.; Ji, X.; Wang, J. Comprehensive risk assessment of typhoon disasters in China’s coastal areas based on multi-source geographic big data. Sci. Total Environ. 2024, 926, 171815. [Google Scholar] [CrossRef]
- Hu, L.; Chen, M.; Meng, X.; Chu, H.; Wang, H. GIS-based meteorological disaster risk assessment for rice in northeast China in the context of big data. In Proceedings of the 2023 International Conference on Computer Simulation and Modeling, Information Security, Buenos Aires, Argentina, 15–17 November 2023. [Google Scholar]
- Jia, S.; Hao, S.; Qiannan, X.; Yongwang, S.; Dong, W. Construction and realization of information platform for geological disaster monitoring and early warning in Qinghai Province. Chin. J. Geol. Hazard Control 2023, 34, 92–101. [Google Scholar]
- Chen, Z. Application of UAV remote sensing in natural disaster monitoring and early warning: An example of flood and mudslide and earthquake disasters. Highlights Sci. Eng. Technol. 2024, 85, 924–933. [Google Scholar] [CrossRef]
- Park, E.; Yoon, D.K. The value of NGOs in disaster management and governance in South Korea and Japan. Int. J. Disaster Risk Reduct. 2022, 69, 102739. [Google Scholar] [CrossRef]
- Shah, I.; Mahmood, T.; Khan, S.A.; Elahi, N.; Shahnawaz, M.; Dogar, A.A.; Subhan, F.; Begum, K. Inter-agency collaboration and disaster management: A case study of the 2005 earthquake disaster in Pakistan. Jàmbá-J. Disaster Risk Stud. 2022, 14, 1088. [Google Scholar] [CrossRef]
- Xu, M. City urgent mode’s cultivation under “crisis governance” angle. Spec. Zone Econ. 2009, 9, 289–291. [Google Scholar]
- Mubah, A.S. Government and NGOs collaboration in disaster governance: The Indonesian experience. Glob. Policy J. Int. Relat. 2013, 1, 1–10. [Google Scholar] [CrossRef]
- Liu, H.; Sha, Y.; Liu, Q. The construction of multi-agency and co-ordination mechanism in emergency management: Three perspectives. J. Intell. 2011, 4, 18–23. [Google Scholar]
- Zhao, B.Y.; Zhou, W.X. The functional advantages and obstacles of social organizations’ participation in emergency management of sudden events: Taking the Henan “7 20” rainstorm event as an example. Society 2022, 3, 12–18. [Google Scholar]
- Gu, H.B. On impact of natural disasters over Chinese agriculture and its governance. J. Hunan Univ. Sci. Technol. 2009, 12, 64–68. [Google Scholar]
- Zhao, J. Research on emergency-meeting and operational management mechanism of disaster prevention and relief in flood-storing region from perspective of multi-subject’s participation: Taking flood-storing region of Huaihe river basin as an example. Acta Agric. Jiangxi 2014, 26, 116–120. [Google Scholar]
- Si, R. Scale and organization: Policy logic and implications of the development of typical agricultural production and operation organization forms. Agric. Econ. 2024, 3, 80–82. [Google Scholar]
- Li, Y.; Chen, H.; Chen, J. Analysis of spatial and temporal patterns and influencing factors of agricultural productive service enterprises in China. SSRN 2024. [Google Scholar] [CrossRef]
- Popova, O.; Koval, V.; Antonova, L.; Orel, A. Corporate social responsibility of agricultural enterprises according to their economic status. Manag. Theory Stud. Rural Bus. Infrastruct. Dev. 2019, 41, 277–289. [Google Scholar] [CrossRef]
- Lu, Y.; Chen, Y. Is China’s agricultural enterprise growing steadily? Evidence from listed agricultural companies. Chin. J. Popul. Resour. Environ. 2021, 19, 203–212. [Google Scholar] [CrossRef]
- Liu, Q. Research on the construction effectiveness, problems and countermeasures of agricultural socialization service system. Serv. Sci. Manag. 2023, 12, 365–370. [Google Scholar]
- Chu, Z. The effectiveness, problems and countermeasures of agricultural socialization service development. China Farmers Coop. 2022, 7, 69–70. [Google Scholar]
- Lu, Q.; Cui, H. Construction of agricultural specialized socialized service system: Process, problems and countermeasures. J. Shanxi Agric. Univ. (Soc. Sci. Ed.) 2021, 20, 1–10. [Google Scholar]
- Ma, B.; Zhu, C.; Zhang, Y.; Wang, Q. Research on evolutionary game of emergency material allocation under bounded rationality. Eng. Let. 2021, 29, 1524. [Google Scholar]
- Wang, J.G.; Yang, K.; Hu, Y.S. The role of the public in disaster emergency supply chain collaboration: Evolutionary game and simulation analysis considering public participation. J. Xihua Univ. 2024, 43, 76–89. [Google Scholar]
- Yu, C. Evolutionary game analysis of emergency management cooperation for water disaster. Ind. Saf. Environ. Prot. 2018, 44, 54–56. [Google Scholar]
- Liu, D.H.; Zhao, Y.; He, D.C. Evolutionary analysis of the multiple reform paths of Chinese “government-leading and social-involvement” disaster relief mode. Oper. Res. Manag. Sci. 2022, 31, 52–58. [Google Scholar]
- Yan, X.X.; Liu, Y.; Fan, L. Smart emergency empowers urban disaster reduction: Evolutionary game and stage transformation. Disasters 2024, 39, 203–213. [Google Scholar]
- Wang, Z.W.; Wu, J.; Li, X.L. Evolutionary path of participation in catastrophe insurance. Insur. Res. 2022, 9, 39–53. [Google Scholar]
- Zhou, F.Y. Research on agricultural non-point source pollution control by government and large-scale livestock farming enterprises under public supervision. J. Nanning Norm. Univ. (Philos. Soc. Sci. Ed.) 2025, 46, 121–133. [Google Scholar]
- Liu, X.F.; Zhou, Y.M. Evolutionary game research on government-enterprise-farmer collaboration for agricultural green production. Agric. Technol. 2024, 44, 128–134. [Google Scholar]
- Guo, X.Y.; Fang, J.M.; Zhang, H. Tripartite evolutionary game analysis of agricultural production trusteeship contract fulfillment. J. China Agric. Univ. 2025, 30, 278–293. [Google Scholar]
- Xu, L.; Zhou, Z.; Du, J. An evolutionary game model for the multi-agent co-governance of agricultural non-point source pollution control under intensive management pattern in China. Int. J. Environ. Res. Public Health 2020, 17, 2472. [Google Scholar] [CrossRef] [PubMed]
- Chen, X.; Teng, Y.; Du, G. Evolutionary game analysis of multi-agent behavior decisions about sustainable agriculture. Int. J. Clim. Change Strateg. Manag. 2025, 17, 760–783. [Google Scholar] [CrossRef]
- Zhang, F.; Shi, Q.; Cheng, G. Multi-agent collaborative participation of agricultural machinery service, high quality operation and agricultural production efficiency: A case study of conservation tillage technology. Res. Sq. 2023. [Google Scholar] [CrossRef]
- Ainiwaerjiang, A.; Jin, X.; Xie, Z.; Tian, T.; Dang, Y. Research on the multi-agent motivation coupling evolution and synergy improvement for farmland ecological protection in China. Environ. Sustain. Indic. 2025, 25, 100583. [Google Scholar] [CrossRef]
- Chen, Y.; Sun, Z.; Wang, Y.; Ma, Y.; Yang, W. Seeds of cross-sector collaboration: A multi-agent evolutionary game theoretical framework illustrated by the breeding of salt-tolerant rice. Agriculture 2024, 14, 300. [Google Scholar] [CrossRef]
- Zhang, W.; Liu, H. Evolutionary game analysis of multi-agent cooperation strategy in agricultural water conservancy PPP project under digitization background. Sci. Rep. 2024, 14, 22915. [Google Scholar] [CrossRef]
- Smith, J.M. Evolution and the theory of games. In Did Darwin get it Right? Essays on Games, Sex and Evolution; Springer: Boston, MA, USA, 1982; pp. 202–215. [Google Scholar]
- Weibull, J.W. Evolutionary Game Theory; MIT Press: New York, NY, USA, 1997. [Google Scholar]
- Malthus, T.R.; Fogarty, M.P. An Essay on the Principle of Population; Dent: London, UK, 1967. [Google Scholar]
- Lyapunov, A.M. The general problem of the stability of motion. Int. J. Control 1992, 55, 531–534. [Google Scholar] [CrossRef]
- Jacobi, C.G.J. De Determinantibus functionalibus. J. Reine Angew. Math. 1841, 1841, 319–359. [Google Scholar]
- Ministry of Agriculture and Rural Affairs. National Collection of Agricultural Socialization Service Cases in 2023. Available online: https://www.moa.gov.cn/govpublic/NCJJTZ/202311/t20231106_6439885.htm (accessed on 11 May 2025).
- State Council. Notice on the Issuance of the “14th Five-Year Plan” National Emergency System Plan. Available online: https://www.gov.cn/zhengce/content/2022-02/14/content_5673424.htm (accessed on 11 May 2025).
- Cao, Y.; Li, H. American agricultural disaster risk protection system and its reference significance. China Rural Stud. 2022, 2, 351–366. [Google Scholar]













| Previous Research Gaps | The Methodology and Contribution of This Study |
|---|---|
| Constraints of the analytical framework: This predominantly depends on the binary framework of “government–NGO” or “government–farmer”, neglecting to acknowledge the pivotal role of agricultural service businesses in the contemporary agricultural complex and disregarding ASEs as the cornerstone of disaster relief capabilities. | This paper presents and develops a three-party collaborative evolutionary game model including the government, agricultural service firms, and agricultural producing entities (farmers). Agricultural service enterprises serve as the fundamental components of the agricultural service system and are studied independently to assess the strategic decisions of the three involved parties in their interactions. |
| Inadequate targeting in disaster relief situations: Current studies on agricultural cooperation and competition primarily concentrate on non-disaster relief situations, failing to provide particular models for the dynamic process of collaborative disaster relief in the context of agricultural natural catastrophes. | We perform comprehensive modeling and empirical analysis of cost sharing, benefit distribution, and dynamic strategic interactions among governments, agricultural service enterprises, and farmers within the complete continuum of disaster prevention, emergency response, and post-disaster recovery. |
| The coordination mechanism among the three parties is ambiguous: There is insufficient systematic research on the dynamic evolution and stability conditions regarding cost sharing for disaster relief, risk allocation, and profit distribution among the government, agricultural service enterprises, and farmers. | We apply evolutionary game theory to elucidate the dynamic coordination mechanism, simulate the strategic interactions and adaptive learning processes among the three parties, and pinpoint the stable equilibrium strategy combination (ESS) of system evolution, along with its formation conditions such as cost-sharing coefficient thresholds, government reward and punishment intensity, and risk credit. This approach provides theoretical backing for the creation of a stable and effective three-party coordination mechanism. |
| Farmers active in disaster relief | Farmers negative disaster relief | Farmers active in disaster relief | Farmers negative disaster relief | ||
| Agricultural service enterprises active | governments | ||||
| market | |||||
| peasant household | |||||
| Negative action by agricultural service enterprises | governments | ||||
| market | |||||
| peasant household | |||||
| Symbolic | Parameters | Economic Implications |
|---|---|---|
| Cost coefficient for publicity and guidance | Marginal cost factor per unit of publicity input | |
| Cost-sharing expenditure factor | Marginal cost factor per unit of subsidized expenditure | |
| Cost coefficients for the application of penalties | Marginal cost factor per unit of penalty enforcement | |
| Fixed advocacy costs | Fixed inputs from the government for awareness raising and guidance | |
| Expenditure on benchmark subsidies | Baseline amount of government subsidies for agricultural service enterprises involved in disaster relief | |
| Baseline penalty costs | Benchmark administrative costs of government-imposed penalization mechanisms | |
| Credibility loss | Decreased social trust in the government due to complaints from farmers | |
| Government disaster relief proceeds | Government performance gains from disaster mitigation | |
| Governmental inaction losses | Socio-economic losses due to inadequate disaster response | |
| Focus on cost factors | Marginal cost per unit of access to disaster relief information by farmers | |
| Complaint cost factor | Marginal cost per unit for farmers complaining about corporate behavior | |
| Benchmark focus on costs | Fixed costs for farmers to monitor policy implementation | |
| Benchmark complaint costs | Fixed costs for farmers to initiate complaints | |
| Incremental disaster relief proceeds | Losses reduced by active disaster relief | |
| Proceeds from original production | Baseline return on agricultural production when not affected | |
| Negative disaster relief losses | Crop losses due to non-participation in disaster response | |
| Original market revenue | Benchmark earnings when the enterprise is not involved in disaster relief | |
| Incremental disaster relief proceeds | Additional benefits from participation in disaster relief | |
| C | Cost of disaster relief services | The total cost to businesses of providing disaster relief services |
| T | Complaint losses | Direct losses due to farmers’ complaints |
| Equilibrium Point | |||
|---|---|---|---|
| Equilibrium Point | Stability | Case | |||
|---|---|---|---|---|---|
| Unstable point | |||||
| ESS | (1) | ||||
| ESS | (2) | ||||
| Unstable point | |||||
| Unstable point | |||||
| Unstable point | |||||
| ESS | (3) | ||||
| Unstable point |
| Parameters | Sign | Retrieve Value | Reasonable Range | Data Sources |
|---|---|---|---|---|
| Cost of agricultural disaster relief services | 80 | [80, 150] | Cost of hosting routine pest control 80–120 CNY/acre | |
| Incremental corporate earnings | 95 | [30, 100] | Profit on basic services 30–50 CNY/acre, government subsidy 30–80 CNY/mu | |
| Government subsidy benchmarks | 50 | [50, 80] | Henan wheat flooding special subsidies 50 CNY/mu, Heilongjiang corn frost subsidies 80 CNY/mu | |
| Farmers concerned about costs | 10 | [5, 20] | Discounted average time cost for farmers to obtain disaster information CNY 10/household |
| Examples of Parameters | System Equalization | Current Situation | |
|---|---|---|---|
| , , | Market synergy model with proactive disaster relief by companies and active participation by farmers | ||
| ≈ | , | Enterprises operate on low profits, farmers are forced to participate due to low returns, and collaboration deteriorates | |
| , | Businesses pull out of disaster relief (negative actions), government forced to intervene at high cost, return to government-led model |
| Framework Dimensions | Policy Instruments of the Model | National Planning Responses | Synergistic Effect |
|---|---|---|---|
| Incentive | Dynamic subsidy | Subsidy mechanism for social participation in disaster relief | Reduce business costs |
| Skills training for farmers | Grassroots Emergency Response Capacity Enhancement Project | Increasing farmer participation | |
| Restriction | Farmer Complaints—Business Penalties | Social Force Credit Supervision System | Curbing corporate opportunism |
| Information | Matching supply and demand for services | Disaster Information Sharing Platform | Reduction in information asymmetry |
| Dimension | This Model | US Agricultural Disaster Collaboration Model | Innovation |
|---|---|---|---|
| principal party | Government, agricultural service companies, farmers | Government, large-scale farmers | Introducing agricultural service companies as hubs to solve the dilemma of smallholder fragmentation |
| motivation | Dynamic subsidies linked to market returns | Fixed premium subsidy | Dynamic adjustment of subsidies |
| constraint | Farmers’ complaints lead to a decrease in corporate orders | Farmers directly sue government for breach of contract | Reduce regulatory costs |
| information | Government disaster data, list of business services, farmer feedback | NOAA weather data, insurance companies | Farmers’ complaints directly reduce corporate profits |
| adaptability | Areas dominated by small-scale farming Limited government finances | Large-scale agricultural areas High legal costs environment | Universal applicability in lower-income countries |
Disclaimer/Publisher’s Note: The statements, opinions and data contained in all publications are solely those of the individual author(s) and contributor(s) and not of MDPI and/or the editor(s). MDPI and/or the editor(s) disclaim responsibility for any injury to people or property resulting from any ideas, methods, instructions or products referred to in the content. |
© 2025 by the authors. Licensee MDPI, Basel, Switzerland. This article is an open access article distributed under the terms and conditions of the Creative Commons Attribution (CC BY) license (https://creativecommons.org/licenses/by/4.0/).
Share and Cite
Zhang, P.; Li, N.; Han, H. An Evolutionary Game Study of Multi-Agent Collaborative Disaster Relief Mechanisms for Agricultural Natural Disasters in China. Sustainability 2025, 17, 7194. https://doi.org/10.3390/su17167194
Zhang P, Li N, Han H. An Evolutionary Game Study of Multi-Agent Collaborative Disaster Relief Mechanisms for Agricultural Natural Disasters in China. Sustainability. 2025; 17(16):7194. https://doi.org/10.3390/su17167194
Chicago/Turabian StyleZhang, Panke, Nan Li, and Hong Han. 2025. "An Evolutionary Game Study of Multi-Agent Collaborative Disaster Relief Mechanisms for Agricultural Natural Disasters in China" Sustainability 17, no. 16: 7194. https://doi.org/10.3390/su17167194
APA StyleZhang, P., Li, N., & Han, H. (2025). An Evolutionary Game Study of Multi-Agent Collaborative Disaster Relief Mechanisms for Agricultural Natural Disasters in China. Sustainability, 17(16), 7194. https://doi.org/10.3390/su17167194

