Demand Information Sharing in Building Material Supply Chain Considering Competing Manufacturers’ Greening Efforts
Abstract
1. Introduction
2. Literature Review
2.1. Green Building Supply Chain Management
2.2. Demand Information Sharing in the Green Supply Chain
3. Model Assumptions
- (1)
- : Neither of the manufacturers acquire information.
- (2)
- or : Only one manufacturer obtains information from the construction enterprise (i.e., either manufacturer or manufacturer acquires information). Without loss of generality, we assume that it is manufacturer who obtains the information.
- (3)
- : Both manufacturers obtain information (i.e., both manufacturers and acquire information from the construction enterprise).
4. One Building Materials Manufacturer
4.1. Equilibrium Decisions in Non-Competitive Scenario
4.2. Firms’ Ex Ante Profits in Non-Competitive Scenario
5. Two Building Materials Manufacturers
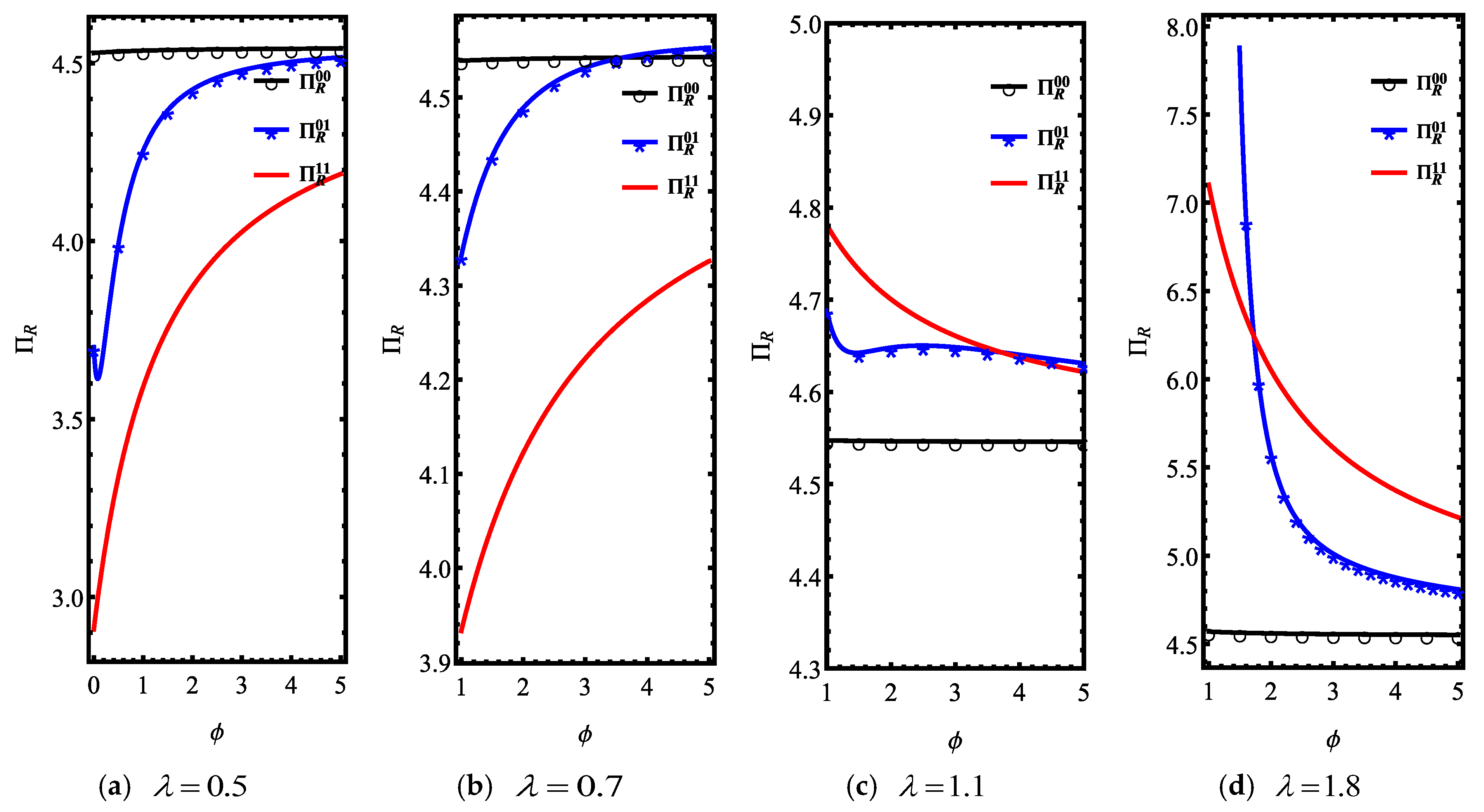
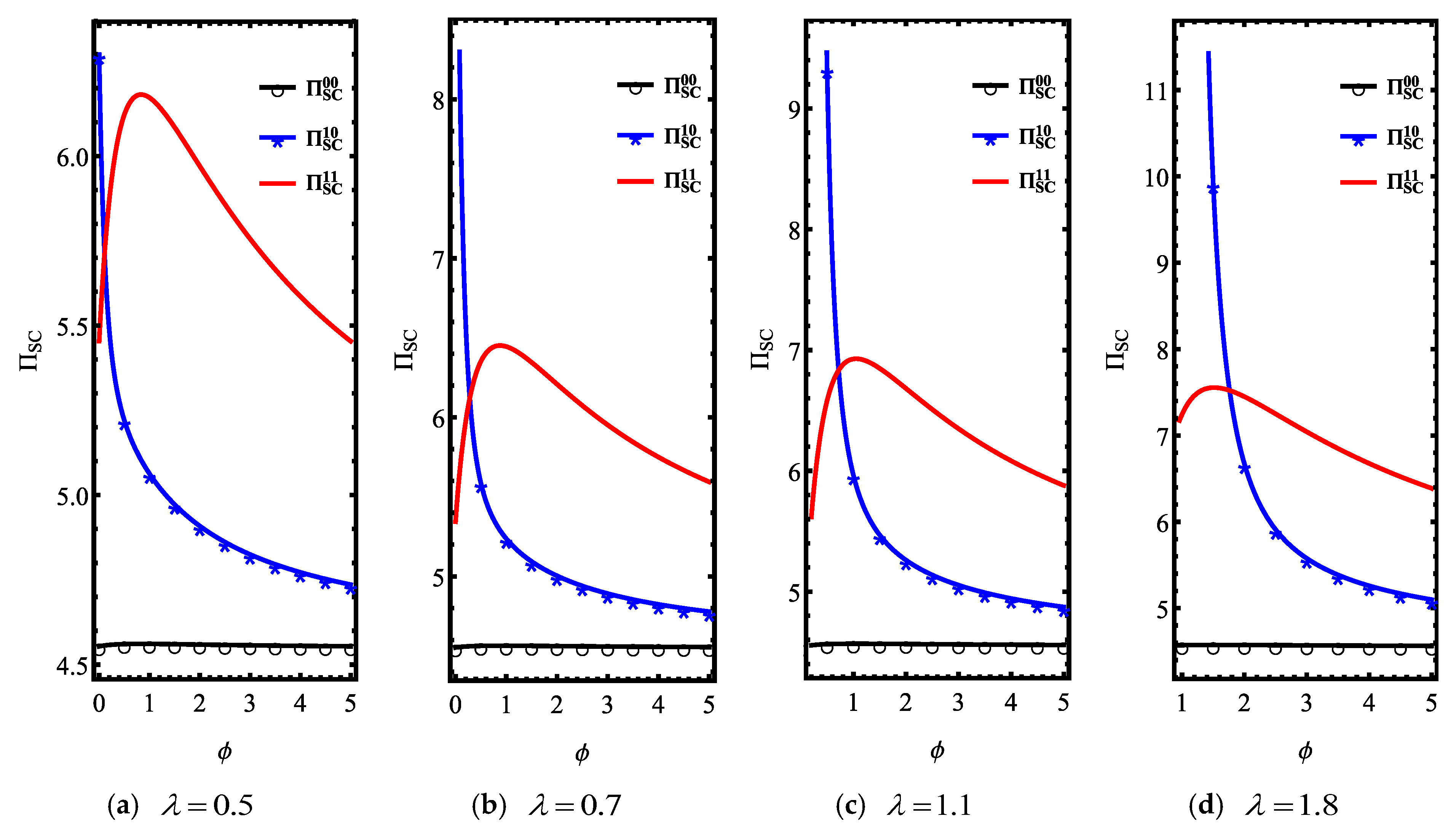
5.1. Equilibrium Decisions in Competitive Scenario
5.2. Firms’ Ex Ante Profits in Competitive Scenario
6. Conclusions
Author Contributions
Funding
Institutional Review Board Statement
Informed Consent Statement
Data Availability Statement
Acknowledgments
Conflicts of Interest
Nomenclature
| Notation | Description |
| The average level of demand | |
| Demand uncertainty | |
| The sensitivity of developers to the greenness of building materials | |
| Substitution parameter | |
| Demand signal obtained by the construction enterprise | |
| The wholesale prices of product | |
| The retail price of product | |
| The greenness of building material product | |
| Manufacturer’s (construction enterprise’s, supply chain’s) profit |
Appendix A
References
- Sun, S.L. Research on green building materials in civil engineering management system. IOP Conf. Ser. Earth Environ. Sci. 2021, 769, 032035. [Google Scholar] [CrossRef]
- Lee, K.K.; Bing, R.; Kiang, J.; Bashir, S.; Spath, N.; Stelzle, D.; Mortimer, K.; Bularga, A.; Doudesis, D.; Joshi, S.S.; et al. Adverse health effects associated with household air pollution: A systematic review, meta-analysis, and burden estimation study. Lancet Glob. Health 2020, 8, e1427–e1434. [Google Scholar] [CrossRef] [PubMed]
- Liu, N.; Liu, W.; Deng, F.; Liu, Y.; Gao, X.; Fang, L.; Chen, Z.; Tang, H.; Hong, S.; Pan, M.; et al. The burden of disease attributable to indoor air pollutants in China from 2000 to 2017. Lancet Planet. Health 2023, 7, e900–e911. [Google Scholar] [CrossRef] [PubMed]
- Qian, H. Research Progress Report on Indoor Environmental Health in China; China Architecture & Building Press: Beijing, China, 2019. [Google Scholar]
- Abdelhady, A.A. Phenotypic differentiation of the red sea gastropods in response to the environmental deterioration: Geometric morphometric approach. J. Afr. Earth Sci. 2016, 115, 191–202. [Google Scholar] [CrossRef]
- Li, X.; He, J. Mechanism of the green supply chain profit of building materials considering the duopoly competition model and consumer green preference. Int. J. Syst. Sci. Oper. Logist. 2024, 11, 2311283. [Google Scholar] [CrossRef]
- Zhai, B.Y. “Waterproofing Leader” Oriental Yuhong: Stalled Performance, 10 Billion Accounts Receivable Hanging, and Sharp Increase in Cash Flow Risks. Available online: https://finance.sina.com.cn/roll/2022-11-30/doc-imqqsmrp8053235.shtml (accessed on 26 June 2025).
- Jinan Municipal Housing and Urban-Rural Development Bureau. The City’s Housing and Urban-Rural Construction Work Conference Was Held. Available online: http://jncc.jinan.gov.cn/art/2025/2/20/art_40601_4787191.html (accessed on 26 June 2025).
- Li, Z.; Zhang, C.; Xu, H.; Lyu, R. The optimal vehicle product line strategy considering product information disclosure under government carbon regulation. Omega 2023, 119, 102887. [Google Scholar] [CrossRef]
- Seuring, S.; Müller, M. From a literature review to a conceptual framework for sustainable supply chain management. J. Clean. Prod. 2008, 16, 1699–1710. [Google Scholar] [CrossRef]
- Cai, Y.J.; Choi, T.M. A united nations’ sustainable development goals perspective for sustainable textile and apparel supply chain management. Transp. Res. Part E Logist. Transp. Rev. 2020, 141, 102010. [Google Scholar] [CrossRef]
- Brandenburg, M.; Govindan, K.; Sarkis, J.; Seuring, S. Quantitative models for sustainable supply chain management: Developments and directions. Eur. J. Oper. Res. 2014, 233, 299–312. [Google Scholar] [CrossRef]
- Raj, A.; Biswas, I.; Srivastava, S.K. Designing supply contracts for the sustainable supply chain using game theory. J. Clean. Prod. 2018, 185, 275–284. [Google Scholar] [CrossRef]
- Heydari, J.; Govindan, K.; Aslani, A. Pricing and greening decisions in a three-tier dual channel supply chain. Int. J. Prod. Econ. 2019, 217, 185–196. [Google Scholar] [CrossRef]
- Liang, X.; Fu, Y. Study on the supply side evolutionary game of green building under the mechanism of government dynamic reward and punishment. Chin. J. Manag. Sci. 2021, 29, 184–194. [Google Scholar]
- He, W.; Yang, Y.; Wang, W.; Liu, Y.; Khan, W. Empirical study on long-term dynamic coordination of green building supply chain decision making under different subsidies. Build. Environ. 2022, 208, 108630. [Google Scholar] [CrossRef]
- Qian, Y.M.; Yu, X.A.; Shen, Z.Y.; Song, M. Complexity analysis and control of game behavior of subjects in green building materials supply chain considering technology subsidies. Expert Syst. Appl. 2023, 214, 119052. [Google Scholar] [CrossRef]
- Ning, X.; Ye, X.; Wang, W. Research on the evolutionary path of high-quality innovation and development of green residential buildings under the background of “carbon peaking and carbon neutrality”. Syst. Eng. Theory Pract. 2023, 43, 2653–2668. [Google Scholar]
- Fu, C.; Liu, Y.Q.; Shan, M. Drivers of low-carbon practices in green supply chain management in construction industry: An empirical study in China. J. Clean. Prod. 2023, 428, 139497. [Google Scholar] [CrossRef]
- Xia, X.; Huang, Z.; Jia, J.; Wang, W.; Wang, Z.; Cheng, Y.; Li, J. The PPP projects for rural residential environment: An evolutionary game model from the synergy perspective of rural enterprises. Expert Syst. Appl. 2025, 281, 127433. [Google Scholar] [CrossRef]
- Yang, D.; Xiao, T. Pricing and green level decisions of a green supply chain with governmental interventions under fuzzy uncertainties. J. Clean. Prod. 2017, 149, 1174–1187. [Google Scholar] [CrossRef]
- Yu, Y.; Zhou, S.; Shi, Y. Information sharing or not across the supply chain: The role of carbon emission reduction. Transp. Res. Part E Logist. Transp. Rev. 2020, 137, 101915. [Google Scholar] [CrossRef]
- Cao, Y.; Tao, L. Research on information sharing and incentive contract design in the green agricultural product supply chain. Chin. J. Manag. Sci. 2024, 1–17. [Google Scholar] [CrossRef]
- Ma, X.; Mao, J.; Luo, Q.; Bai, Q. Effects of information superiority and green optimism on green supply chains under different power structures. Int. J. Prod. Econ. 2024, 268, 109105. [Google Scholar] [CrossRef]
- Huang, H.; Meng, Q.; Xu, H.; Zhou, Y. Cost information sharing under competition in remanufacturing. Int. J. Prod. Res. 2019, 57, 6579–6592. [Google Scholar] [CrossRef]
- Yu, M.; Cao, E.B. Information sharing format and carbon emission abatement in a supply chain with competition. Int. J. Prod. Res. 2020, 58, 6775–6790. [Google Scholar] [CrossRef]
- Guan, Z.; Zhang, X.; Zhou, M.; Dan, Y. Demand information sharing in competing supply chains with manufacturer-provided service. Int. J. Prod. Econ. 2020, 220, 107450. [Google Scholar] [CrossRef]
- Quadir, A.; Raj, A.; Foropon, C.R. Sharing demand information in competing supply chains with greening efforts. J. Environ. Manag. 2025, 373, 123626. [Google Scholar] [CrossRef]
- Li, M.; Hong, Z.; Guo, X.; Yu, Y. Green design and information sharing in a horizontally competitive supply chain. Transp. Res. Part E Logist. Transp. Rev. 2025, 194, 103858. [Google Scholar] [CrossRef]
- Gilbert, S.M.; Cvsa, V. Strategic commitment to price to stimulate downstream innovation in a supply chain. Eur. J. Oper. Res. 2003, 150, 617–639. [Google Scholar] [CrossRef]
- Gilbert, S.M.; Xia, Y.S.; Yu, G. Strategic outsourcing for competing OEMs that face cost reduction opportunities. IIE Trans. 2006, 38, 903–915. [Google Scholar] [CrossRef]
- Shang, W.; Ha, A.Y.; Tong, S. Information sharing in a supply chain with a common retailer. Manag. Sci. 2015, 62, 245–263. [Google Scholar] [CrossRef]
- Wang, Y.J.; Ha, A.Y.; Tong, S. Sharing manufacturer’s demand information in a supply chain with price and service effort competition. Manuf. Serv. Oper. Manag. 2021, 24, 1698–1713. [Google Scholar] [CrossRef]
- Li, L. Information sharing in a supply chain with horizontal competition. Manag. Sci. 2002, 48, 1196–1212. [Google Scholar] [CrossRef]
- Taylor, T.A.; Xiao, W. Does a manufacturer benefit from selling to a better-forecasting retailer? Manag. Sci. 2010, 56, 1584–1598. [Google Scholar] [CrossRef]
- Zhao, X.; Xue, L.; Zhang, F. Outsourcing competition and information sharing with asymmetrically informed suppliers. Prod. Oper. Manag. 2014, 23, 1706–1718. [Google Scholar] [CrossRef]








| Information-Sharing Strategy | Retail Price of Construction Enterprise | Wholesale Price and Greenness of Building Material |
|---|---|---|
| (0,0) | ||
| (1,0) | | |
| (0,1) | ||
| (1,1) |
Disclaimer/Publisher’s Note: The statements, opinions and data contained in all publications are solely those of the individual author(s) and contributor(s) and not of MDPI and/or the editor(s). MDPI and/or the editor(s) disclaim responsibility for any injury to people or property resulting from any ideas, methods, instructions or products referred to in the content. |
© 2025 by the authors. Licensee MDPI, Basel, Switzerland. This article is an open access article distributed under the terms and conditions of the Creative Commons Attribution (CC BY) license (https://creativecommons.org/licenses/by/4.0/).
Share and Cite
Sui, T.; Zhang, H.; He, Q. Demand Information Sharing in Building Material Supply Chain Considering Competing Manufacturers’ Greening Efforts. Sustainability 2025, 17, 7191. https://doi.org/10.3390/su17167191
Sui T, Zhang H, He Q. Demand Information Sharing in Building Material Supply Chain Considering Competing Manufacturers’ Greening Efforts. Sustainability. 2025; 17(16):7191. https://doi.org/10.3390/su17167191
Chicago/Turabian StyleSui, Tao, Hengyi Zhang, and Qilong He. 2025. "Demand Information Sharing in Building Material Supply Chain Considering Competing Manufacturers’ Greening Efforts" Sustainability 17, no. 16: 7191. https://doi.org/10.3390/su17167191
APA StyleSui, T., Zhang, H., & He, Q. (2025). Demand Information Sharing in Building Material Supply Chain Considering Competing Manufacturers’ Greening Efforts. Sustainability, 17(16), 7191. https://doi.org/10.3390/su17167191
