Simulation and Control of Water Pollution Load in the Xiaoxingkai Lake Basin Based on a System Dynamics Model
Abstract
1. Introduction
2. Materials and Methods
2.1. Study Area
2.2. Data Sources
2.3. System Dynamics Modeling
2.3.1. Model Boundaries and Structure
2.3.2. Model Parameters and Equations
2.3.3. Model Validity Testing
2.3.4. Scenario Design
- (1)
- Status quo scenario (S0): The development of the Xingkai Lake basin will remain unchanged from 2021 to 2030. The parameters of the plan will be based on the 2020 values, and the changes in pollutant loads during the period from 2021 to 2030 will be simulated and used as a reference for other scenarios.
- (2)
- Economic development scenario (S1): Based on the status quo scenario, this scenario assumes that the study area prioritizes economic development, with economic development at a high level and pollution control measures remaining unchanged. This scenario mainly reflects social and economic development by increasing parameters such as livestock and poultry farming scale, population growth rate, and domestic water consumption and simulates the amount of pollutants entering rivers under conditions of rapid economic development.
- (3)
- Pollution control enhancement scenario (S2): Building on the status quo type, this approach prioritizes environmental protection as its primary objective. It primarily achieves this by increasing the sewage treatment rates for urban and rural domestic wastewater, as well as the treatment rates for domestic pollutants in urban and rural areas. Additionally, agricultural pollution control is enhanced by employing technological measures to reduce the pollutant output coefficients from livestock farming, thereby maintaining environmental protection at a high level. This approach simulates pollutant inflows into rivers under conditions of stringent pollutant control.
- (4)
- Dual-reinforcement scenario (S3): This scenario combines high economic growth and strong environmental protection, integrating high-intensity parameter settings from both the economic development and pollution control scenarios. It assumes an increase in industrial scale and population growth while implementing stringent pollutant reduction measures. It simulates pollutant loads under conditions of rapid economic growth combined with intensive pollution control.
- (5)
- Moderate-reinforcement scenario (S4): This scenario represents a balanced approach with moderate levels of economic growth and environmental protection. Compared to the economic development scenario, the growth rates of livestock and poultry farming and population are moderately reduced; compared to the pollution control scenario, the decline in pollutant output coefficients is slowed down. This scenario simulates pollutant loads under conditions of moderate economic growth combined with moderate pollution control. This scenario aims to simulate the common “economic-environmental trade-off” approach found in real-world basin planning, balancing the sustainability of regional economic development with the costs and feasibility of environmental governance, aligning with the governance pathways frequently adopted in policy-making practices.
3. Results
3.1. Model Validity Verification
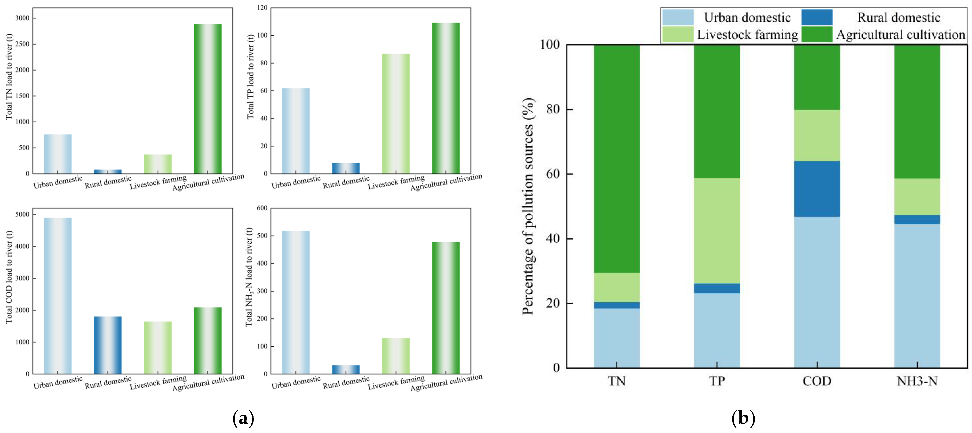
3.2. Contribution Analysis of Contamination Sources
3.3. Changes in Pollution Load Under Different Circumstances
4. Discussion
4.1. Sources and Countermeasures of Basin Pollution Load
4.2. Scenario Comparison and Future Regulatory Recommendations
5. Conclusions
Author Contributions
Funding
Institutional Review Board Statement
Informed Consent Statement
Data Availability Statement
Conflicts of Interest
References
- Mu, J.; Wu, Y.; Qi, P.; Chen, L.; Yuan, Y.; Wu, H. Spatial and temporal change of hydrological connectivity in the Wusuli River Basin. J. Hydrol. Reg. Stud. 2024, 53, 101814. [Google Scholar] [CrossRef]
- Woolway, R.I.; Kraemer, B.M.; Lenters, J.D.; Merchant, C.J.; O’Reilly, C.M.; Sharma, S. Global lake responses to climate change. Nat. Rev. Earth Environ. 2020, 1, 388–403. [Google Scholar] [CrossRef]
- Nakayama, T.; Watanabe, M. Role of flood storage ability of lakes in the Changjiang River catchment. Glob. Planet. Change 2008, 63, 9–22. [Google Scholar] [CrossRef]
- Reid, A.J.; Carlson, A.K.; Creed, I.F.; Eliason, E.J.; Gell, P.A.; Johnson, P.T.J.; Kidd, K.A.; MacCormack, T.J.; Olden, J.D.; Ormerod, S.J.; et al. Emerging threats and persistent conservation challenges for freshwater biodiversity. Biol. Rev. 2019, 94, 849–873. [Google Scholar] [CrossRef]
- Sun, Y.; Huang, X.; Paerhati, B.; Zhou, K. Collaborative solutions for agricultural water pollution in smallholder economies: Farmers and local governments unite. Agric. Water Manag. 2025, 313, 109499. [Google Scholar] [CrossRef]
- Liu, H.; Benoit, G.; Liu, T.; Liu, Y.; Guo, H. An integrated system dynamics model developed for managing lake water quality at the watershed scale. J. Environ. Manag. 2015, 155, 11–23. [Google Scholar] [CrossRef]
- Li, J.; Qu, B.; Jiang, E.; Hao, L.; Liu, C.; Liu, Y.; Bian, Y. Coevolution and its influencing factors of the water resources–economy–society–environment composite system in the Yellow River basin. Ecol. Indic. 2025, 172, 113304. [Google Scholar] [CrossRef]
- Hu, X.; Wang, H.; Fang, Q.; Chang, C.; Li, A.; Wang, H. Integrating ecosystem services trade-off, drivers and zoning into watershed water environment management in Nansihu Lake Basin, China. Ecol. Indic. 2024, 167, 112642. [Google Scholar] [CrossRef]
- Qin, B.Q.; Zhang, Y.L.; Deng, J.M.; Zhu, G.W.; Liu, J.G.; Hamilton, D.P.; Paerl, H.W.; Brookes, J.D.; Wu, T.F.; Peng, K.; et al. Polluted lake restoration to promote sustainability in the Yangtze River Basin, China. Natl. Sci. Rev. 2022, 9, nwab207. [Google Scholar] [CrossRef]
- Morales-García, M.; García-Rubio, M.A. Security vs. efficiency of the water-energy-food nexus. A study of the economies of the regions of Spain. Environ. Sustain. Indic. 2024, 24, 100543. [Google Scholar] [CrossRef]
- Gai, M.; Yang, Q. Synergistic study of the green efficiency and economic resilience of agriculture from a sustainable development perspective: Evidence from Northeast China. Environ. Sci. Pollut. Res. 2023, 30, 77568–77592. [Google Scholar] [CrossRef]
- Xu, Y.; Yang, L.; Sun, K.; Zhu, J. Synergistic security relationships and risk measurement of water resources-social economy-ecological environment in Beijing-Tianjin-Hebei region. Ecol. Indic. 2025, 175, 113512. [Google Scholar] [CrossRef]
- Shahbaz, M.; Nejati, M.; Du, A.M.; Jiao, Z. A recursive dynamic CGE approach to investigate environmental Kuznets curve. J. Environ. Manag. 2024, 370, 122359. [Google Scholar] [CrossRef]
- Qin, X.; Hu, X.; Xia, W. Investigating the dynamic decoupling relationship between regional social economy and lake water environment: The application of DPSIR-Extended Tapio decoupling model. J. Environ. Manag. 2023, 345, 118926. [Google Scholar] [CrossRef] [PubMed]
- Tao, M.; Zhao, Y.; Jiang, Q.; Wang, Z.; Li, B. Study on the coupled coordination of water resources consumption and economic development in Heilongjiang province under different scenarios based on SD model. Agric. Water Manag. 2025, 315, 109560. [Google Scholar] [CrossRef]
- Li, J.; Shen, Z.; Liu, G.; Jin, Z.; Liu, R. The effect of social economy-water resources-water environment coupling system on water consumption and pollution emission based on input-output analysis in Changchun city, China. J. Clean. Prod. 2023, 423, 138719. [Google Scholar] [CrossRef]
- Sterman, J.D. Learning in and about complex systems. Syst. Dyn. Rev. 1994, 10, 291–330. [Google Scholar] [CrossRef]
- Hao, L.; Yu, J.; Du, C.; Wang, P. A policy support framework for the balanced development of economy-society-water in the Beijing-Tianjin-Hebei urban agglomeration. J. Clean. Prod. 2022, 374, 134009. [Google Scholar] [CrossRef]
- Mashaly, A.F.; Fernald, A.G.; Geli, H.M.E.; Salim Bawazir, A.; Steiner, R.L. Dynamic simulation modeling for sustainable water management with climate change in a semi-arid environment. J. Hydrol. 2024, 644, 132126. [Google Scholar] [CrossRef]
- Wang, Z.; Fu, X. Scheme simulation and predictive analysis of water environment carrying capacity in Shanxi Province based on system dynamics and DPSIR model. Ecol. Indic. 2023, 154, 110862. [Google Scholar] [CrossRef]
- Chu, H.; Venevsky, S.; Wu, C.; Wang, M. NDVI-based vegetation dynamics and its response to climate changes at Amur-Heilongjiang River Basin from 1982 to 2015. Sci. Total Environ. 2019, 650, 2051–2062. [Google Scholar] [CrossRef]
- Wu, Y.; Chen, D.; Liu, Y.; Li, F.; Wang, P.; Wang, R.; Shamov, V.V.; Zhu, A.-X.; Deng, C. Water Quality Changes in the Xingkai (Khanka) Lake, Northeast China, Driven by Climate Change and Human Activities: Insights from Published Data (1990–2020). Water 2024, 16, 3080. [Google Scholar] [CrossRef]
- Zheng, K.; Xiang, X. Water Quality Evaluation Model of Xiaoxingkai Lake Based on AHM-CRITIC Weighting. Water Sav. Irrig. 2020, 79–83, (In Chinese with English abstract). [Google Scholar]
- Yuan, Y.; Jiang, M.; Liu, X.; Yu, H.; Otte, M.L.; Ma, C.; Her, Y.G. Environmental variables influencing phytoplankton communities in hydrologically connected aquatic habitats in the Lake Xingkai basin. Ecol. Indic. 2018, 91, 1–12. [Google Scholar] [CrossRef]
- Yu, S.L.; Li, X.Y.; Wen, B.L.; Chen, G.S.; Hartleyc, A.; Jiang, M.; Li, X.J. Characterization of Water Quality in Xiao Xingkai Lake: Implications for Trophic Status and Management. Chin. Geogr. Sci. 2021, 31, 558–570. [Google Scholar] [CrossRef]
- Song, K.S.; Wang, Z.M.; Li, L.; Tedesco, L.; Li, F.; Jin, C.; Du, J. Wetlands shrinkage, fragmentation and their links to agriculture in the Muleng-Xingkai Plain, China. J. Environ. Manag. 2012, 111, 120–132. [Google Scholar] [CrossRef]
- Xiao, F.; Wang, X.; Fu, C. Impacts of land use/land cover and climate change on hydrological cycle in the Xiaoxingkai Lake Basin. J. Hydrol. Reg. Stud. 2023, 47, 101422. [Google Scholar] [CrossRef]
- Yang, J.; Huang, X. The 30 m annual land cover dataset and its dynamics in China from 1990 to 2019. Earth Syst. Sci. Data 2021, 13, 3907–3925. [Google Scholar] [CrossRef]
- China Statistical. Jixi Statistical Yearbook (2009–2021); China Statistics Press: Beijing, China, 2021. [Google Scholar]
- China Statistical. Mudanjiang Statistical Yearbook (2009–2021); China Statistics Press: Mudanjiang, China, 2009. [Google Scholar]
- Heilongjiang Provincial Department of Ecology and Environment. Report on the State of the Ecology and Environment in Heilongjiang Province. 2023. Available online: http://sthj.hlj.gov.cn/sthj/c116217/202506/c00_31846931.shtml (accessed on 30 July 2025).
- Ahmadi, M.H.; Zarghami, M. Should water supply for megacities depend on outside resources? A Monte-Carlo system dynamics simulation for Shiraz, Iran. Sustain. Cities Soc. 2019, 44, 163–170. [Google Scholar] [CrossRef]
- Wang, G.; Xiao, C.L.; Qi, Z.W.; Meng, F.A.; Liang, X.J. Development tendency analysis for the water resource carrying capacity based on system dynamics model and the improved fuzzy comprehensive evaluation method in the Changchun city, China. Ecol. Indic. 2021, 122, 107232. [Google Scholar] [CrossRef]
- Li, L.; Zhou, Y.; Li, M.; Cao, K.; Tao, Y.; Liu, Y. Integrated modelling for cropping pattern optimization and planning considering the synergy of water resources-society-economy-ecology-environment system. Agric. Water Manag. 2022, 271, 107808. [Google Scholar] [CrossRef]
- Ji Xi Municipal People’s Government. Jixi City’s 14th Five-Year Plan for Environmental Protection. Available online: https://www.jixi.gov.cn/jixi/c100108/202206/c06_2574.shtml (accessed on 2 July 2025).
- People’s Government of Helongjiang Province. Approval by the People’s Government of Heilongjiang Province on the “Master Plan for the Territorial Space of Jixi City (2021–2035)”. Available online: https://www.hlj.gov.cn/hlj/c108379/202405/c00_31736517.shtml (accessed on 2 July 2025).
- Mudanjiang Municipal People’s Government. Mudanjiang City’s 14th Five-Year Plan for Environmental Protection. Available online: https://www.mdj.gov.cn/mdjsrmzf/c100019/202210/c03_64679.shtml (accessed on 2 July 2025).
- People’s Government of Helongjiang Province. Approval by the People’s Government of Heilongjiang Province on the Overall Land Use Plan for Suifenhe City and Five Other Counties (Cities) (2021–2035). Available online: https://www.muling.gov.cn/mdjmlsrmzf/c103570/202406/c03_956516.shtml (accessed on 2 July 2025).
- Li, N.; Han, W.; Shen, M.; Yu, S. Load evaluation of non-point source pollutants from reservoir based on export coefficient modeling. Trans. Chin. Soc. Agric. Eng. 2016, 32, 224–230. [Google Scholar]
- Shah, S.; Sen, S.; Sahoo, D. State of Indian Northwestern Himalayan lakes under human and climate impacts: A review. Ecol. Indic. 2024, 160, 111858. [Google Scholar] [CrossRef]
- Ran, X.; Deng, Y.; Uppuluri, N.S.T.; Li, B.; Zheng, Y.; Chen, P.; Dong, R.; Müller, J.; Guo, J.; Oechsner, H. Hotspots and future trends of phosphorus recycling from livestock manure: A bibliometric review. Sci. Total Environ. 2023, 892, 164346. [Google Scholar] [CrossRef]
- Sampat, A.M.; Hicks, A.; Ruiz-Mercado, G.J.; Zavala, V.M. Valuing economic impact reductions of nutrient pollution from livestock waste. Resour. Conserv. Recycl. 2021, 164, 105199. [Google Scholar] [CrossRef]
- Küçükbayrak, M.; Alver, A. Innovative and cost-effective approaches to enhance nutrient removal and energy efficiency in conventional wastewater treatment plants. J. Environ. Manag. 2025, 382, 125350. [Google Scholar] [CrossRef]
- Fallahi, A.; Taheriyoun, M.; Asghari, K. Water footprint assessment in an industrial symbiosis system based on environmental, economic, and social sustainability indices. J. Clean. Prod. 2024, 454, 142227. [Google Scholar] [CrossRef]
- Yang, M.; Yu, J.; Li, Z.; Guo, Z.; Burch, M.; Lin, T.-F. Taihu Lake Not to Blame for Wuxi’s Woes. Science 2008, 319, 158. [Google Scholar] [CrossRef]
- Cheng, Q.; Lin, A.-P.; Yang, M. Green innovation and firms’ financial and environmental performance: The roles of pollution prevention versus control. J. Account. Econ. 2025, 79, 101706. [Google Scholar] [CrossRef]
- Nie, S.; Zeng, G.; Zhang, H.; Ji, J. The local government fiscal pressure’s effect on green total factor productivity: Exploring mechanisms from the perspective of government behavior. Int. Rev. Econ. Financ. 2024, 96, 103702. [Google Scholar] [CrossRef]
- Li, L.; McMurray, A.; Li, X.; Gao, Y.; Xue, J. The diminishing marginal effect of R&D input and carbon emission mitigation. J. Clean. Prod. 2021, 282, 124423. [Google Scholar] [CrossRef]






| Subsystem | Variables | Variable | Units | Equations and Values |
|---|---|---|---|---|
| Population subsystem | Total population | Level | ×104 persons | INTEG (Number of births − Number of deaths − Out-migrant Population + In-migrant population, 218) |
| Number of births | Auxiliary | Total population × Birth rate | ||
| Number of deaths | Total population × Mortality rate | |||
| Birth rate | Rate | ‰ | Table (time) | |
| Out-migrant population | Auxiliary | ×104 persons | ||
| Urban population | Total population × Urbanization rate | |||
| Urbanization rate | Rate | % | Table (time) | |
| Water contamination subsystem | Urban domestic sewage generation | Auxiliary | t | Urban population × Pollution reduction coefficient × Per capita water consumption of urban residents × 365/1000 |
| Urban domestic TN generation | TN generation coefficient of urban residents × Urban domestic sewage discharge volume/100 | |||
| Rural domestic TN generation | Rural population × TN generation coefficient of rural residents × 365/1000 | |||
| Urban domestic TN output | Urban domestic TN generation × (1 − TN removal rate × Urban domestic sewage centralized treatment rate) | |||
| Rural domestic TN output | Rural domestic TN generation × (1 − TN comprehensive removal rate × rural domestic wastewater treatment rate) | |||
| Urban domestic TN load to river | Urban domestic TN output × Pollutant discharge coefficient of urban residents | |||
| Rural domestic TN load to river | Rural domestic TN output × Pollutant discharge coefficient of rural residents | |||
| Agricultural subsystem | Cultivated land area | Level | ×104 ha | INTEG (change in cultivated land area, 59.63) |
| Change in cultivated land area | Auxiliary | Cultivated land area × change in cultivated land area rate | ||
| Cultivated land area change rate | Rate | % | Table (time) | |
| Livestock stock | Level | ×104 heads | INTEG (change in livestock farming volume, 330.80) | |
| Change in livestock farming | Auxiliary | Livestock stock × Livestock stock change rate | ||
| Livestock stock change rate | Rate | % | Table (time) | |
| Water contamination subsystem | TN output from livestock rearing | Auxiliary | t | Livestock stock × TN output coefficient of livestock stock |
| Livestock rearing TN load to river | TN output from livestock rearing × Pollutant discharge coefficient of livestock rearing | |||
| Total TN load to river | Agricultural TN load to river + Rural domestic TN load to river + Urban domestic TN load to river | |||
| Agricultural TN load to river | Cultivated land TN load to river + Livestock rearing TN load to river |
| Parameters | Units | S0 | S1 | S2 | S3 | S4 |
|---|---|---|---|---|---|---|
| Urbanization rate | % | 63.97 | 68 | 63.97 | 68 | 66 |
| Birth rate | ‰ | 3.46 | 4.5 | 3.46 | 4.5 | 3.8 |
| In-migrant population | ×104 persons | 0 | 5 | 0 | 5 | 2.5 |
| Out-migrant population | 1.2 | 0.2 | 1.2 | 0.2 | 0.5 | |
| Urban domestic TN removal rate | % | 75 | 75 | 77 | 77 | 76 |
| Urban domestic TP removal rate | 84 | 84 | 87 | 87 | 86 | |
| Urban domestic COD removal rate | 84 | 84 | 87 | 87 | 86 | |
| Urban domestic NH3-N removal rate | 83 | 83 | 85 | 85 | 84 | |
| Rural domestic TN comprehensive removal rate | 46 | 46 | 48 | 48 | 47 | |
| Rural domestic TP comprehensive removal rate | 46 | 46 | 48 | 48 | 47 | |
| Rural domestic COD comprehensive removal rate | 61 | 61 | 64 | 64 | 63 | |
| Rural domestic NH3-N comprehensive removal rate | 50 | 50 | 53 | 53 | 52 | |
| Livestock farming TN output coefficient | kg/piece·a | 0.6 | 0.6 | 0.56 | 0.56 | 0.58 |
| Livestock farming TP output coefficient | 0.14 | 0.14 | 0.13 | 0.13 | 0.14 | |
| Livestock farming COD output coefficient | 2.66 | 2.66 | 2.5 | 2.5 | 2.58 | |
| Livestock farming NH3-N output coefficient | 0.21 | 0.21 | 0.2 | 0.2 | 0.2 | |
| Arable land TN output coefficient | kg/(hm2·a) | 26.19 | 27.76 | 24.88 | 26.45 | 25.93 |
| Arable land TP output coefficient | 0.99 | 1.05 | 0.94 | 1 | 0.98 | |
| Arable land COD output coefficient | 18.99 | 20.13 | 18.04 | 19.18 | 18.8 | |
| Arable land NH3-N output coefficient | 4.33 | 4.59 | 4.11 | 4.37 | 4.29 | |
| Rural domestic sewage treatment rate | % | 12.5 | 12.5 | 50 | 50 | 45 |
| Urban domestic sewage centralized treatment rate | 62 | 62 | 72 | 72 | 70 | |
| Livestock farming change rate | 0.04 | 0.15 | 0.04 | 0.15 | 0.095 | |
| Per capita water consumption of urban residents | L/person·day | 115 | 150 | 115 | 150 | 130 |
Disclaimer/Publisher’s Note: The statements, opinions and data contained in all publications are solely those of the individual author(s) and contributor(s) and not of MDPI and/or the editor(s). MDPI and/or the editor(s) disclaim responsibility for any injury to people or property resulting from any ideas, methods, instructions or products referred to in the content. |
© 2025 by the authors. Licensee MDPI, Basel, Switzerland. This article is an open access article distributed under the terms and conditions of the Creative Commons Attribution (CC BY) license (https://creativecommons.org/licenses/by/4.0/).
Share and Cite
Wu, Y.; Chen, D.; Li, F.; Feng, M.; Wang, P.; Hao, L.; Deng, C. Simulation and Control of Water Pollution Load in the Xiaoxingkai Lake Basin Based on a System Dynamics Model. Sustainability 2025, 17, 7167. https://doi.org/10.3390/su17157167
Wu Y, Chen D, Li F, Feng M, Wang P, Hao L, Deng C. Simulation and Control of Water Pollution Load in the Xiaoxingkai Lake Basin Based on a System Dynamics Model. Sustainability. 2025; 17(15):7167. https://doi.org/10.3390/su17157167
Chicago/Turabian StyleWu, Yaping, Dan Chen, Fujia Li, Mingming Feng, Ping Wang, Lingang Hao, and Chunnuan Deng. 2025. "Simulation and Control of Water Pollution Load in the Xiaoxingkai Lake Basin Based on a System Dynamics Model" Sustainability 17, no. 15: 7167. https://doi.org/10.3390/su17157167
APA StyleWu, Y., Chen, D., Li, F., Feng, M., Wang, P., Hao, L., & Deng, C. (2025). Simulation and Control of Water Pollution Load in the Xiaoxingkai Lake Basin Based on a System Dynamics Model. Sustainability, 17(15), 7167. https://doi.org/10.3390/su17157167

