Effect of Stubble Height on Cadmium Removal Potential of Removed Straw
Abstract
1. Introduction
2. Materials and Methods
2.1. Experimental Design
2.2. Sample Collection
2.3. Measurement of Indicators
2.4. Data Analysis
3. Results
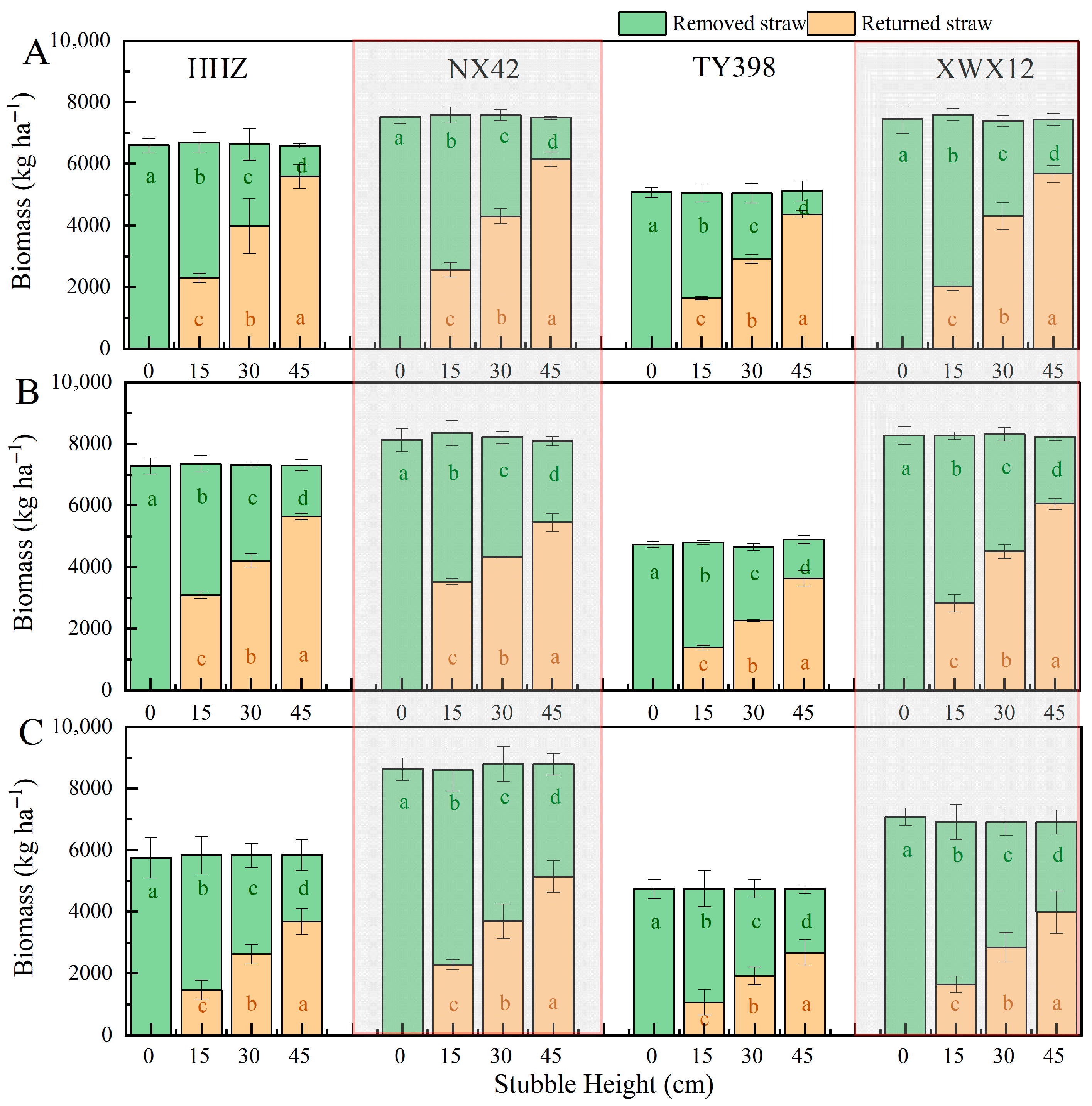
3.1. Straw Biomass
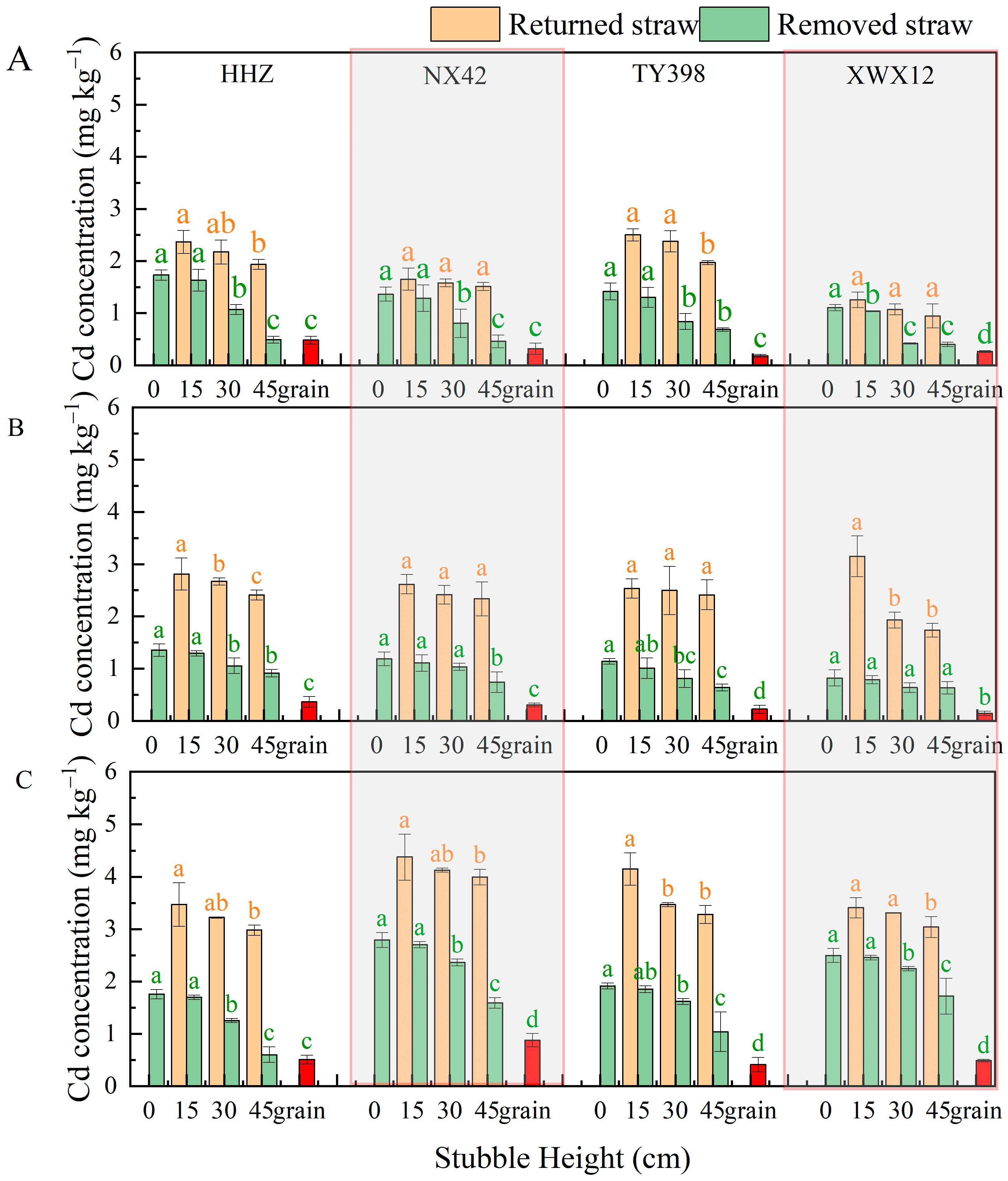
3.2. Straw Cd Concentration
3.3. Accumulated Cd Content
4. Discussion
4.1. Cd Removal Efficiency
4.2. Differences in Straw Cd Accumulation Across Ecological Zones
4.3. Higher Stubble Height Reduces Removed Straw Cd Removal
5. Conclusions
Author Contributions
Funding
Institutional Review Board Statement
Informed Consent Statement
Data Availability Statement
Acknowledgments
Conflicts of Interest
Abbreviations
| Cd | Cadmium |
| TF | Translocation factor |
| BCF | Bioconcentration factor |
| HHZ | Huanghuazhan |
| NX42 | Nongxiang 42 |
| TY398 | Taiyou 398 |
| XWX12 | Xiangwanxian 12 |
References
- Report on the State of the Ecology and Environment in China 2021; Ministry of Ecology and Environment, The People’s Republic of China; Beijing, China, 2021.[Green Version]
- Zou, M.; Zhou, S.; Zhou, Y.; Jia, Z.; Guo, T.; Wang, J. Cadmium pollution of soil-rice ecosystems in rice cultivation dominated regions in China: A review. Environ. Pollut. 2021, 280, 116965. [Google Scholar] [CrossRef]
- Charkiewicz, A.E.; Omeljaniuk, W.J.; Nowak, K.; Garley, M.; Nikli’nski, J. Cadmium Toxicity and Health Effects-A Brief Summary. Molecules 2023, 28, 6620. [Google Scholar] [CrossRef] [PubMed]
- Wang, P.; Chen, H.; Kopittke, P.M.; Zhao, F.-J. Cadmium contamination in agricultural soils of China and the impact on food safety. Environ. Pollut. 2019, 249, 1038–1048. [Google Scholar] [CrossRef]
- Shi, J. Risk Perception and Technology Cognition on Farmers’ Behavior of Preventing and Controlling Heavy Metal Pollution in Cropland: An Evidence from Adoption of Cadmium Pollution Prevention and Control Technology for Rice Farmers. Ph.D. thesis, Sichuan Agricultural University, Yaan, Sichuan, 2023. [Google Scholar]
- Ibaraki, T.; Kuroyanagi, N.; Murakami, M. Practical phytoextraction in cadmium-polluted paddy fields using a high cadmium accumulating rice plant cultured by early drainage of irrigation water. Soil Sci. Plant Nutr. 2009, 55, 421–427. [Google Scholar] [CrossRef]
- Cao, X.; Tan, C.; Cai, R.; Cheng, X.; Liu, L.; Zhang, X.; Huang, S. Potential of plant rotation patterns for phytoremediation of cadmium contaminated farmland. J. Agro-Environ. Sci. 2022, 41, 765–773. [Google Scholar]
- Shen, Y.; Tu, C.; Qiu, W.; Zhu, X.; Fan, W.; Cao, Z.; Zhu, X.; Luo, Y. Cadmium accumulation and pollution reduction of different rice varieties on cadminum-contaminated. J. Ecol. Environ. 2023, 39, 547–555. [Google Scholar]
- Imseng, M.; Wiggenhauser, M.; Keller, A.; Müller, M.; Rehkämper, M.; Murphy, K.; Kreissig, K.; Frossard, E.; Wilcke, W.; Bigalke, M. Fate of Cd in agricultural soils: A stable isotope approach to anthropogenic impact, soil formation, and soil-plant cycling. Environ. Sci. Technol. 2018, 52, 1919–1928. [Google Scholar] [CrossRef] [PubMed]
- Shi, H.; Jiang, Q.; Wen, D.; Xu, A.; Deng, T.; Du, R. Effects of straw returning on Cd transfer and transformation in rice at different growth stages. Jiangsu Agric. Sci. 2023, 51, 202–207. [Google Scholar]
- Takahashi, R.; Ito, M.; Kawamoto, T. The road to practical application of cadmium phytoremediation using rice. Plants 2021, 10, 1926. [Google Scholar] [CrossRef]
- Morishita, T.; Fumoto, N.; Yoshizawa, T.; Kagawa, K. Varietal differences in cadmium levels of rice grains of Japonica, Indica, Javanica, and hybrid varieties produced in the same plot of a field. Soil Sci. Plant Nutr. 1987, 33, 629–637. [Google Scholar] [CrossRef]
- Cao, P.; Feng, X.; Jiao, H.; Li, Y.; Jiang, H. Risk research of low accumulation rice planting in Cd contaminated farmland in northern Guangdong. Environ. Sci. Manag. 2023, 48, 140–145. [Google Scholar]
- Zhao, F.-J.; Zhao, X.-Y.; Tao, Y.-M.; Wang, H.; Wang, P. Straw removal has a limited effect on decreasing cadmium concentration in soil. J. Agro-Environ. Sci. 2021, 40, 693–699. [Google Scholar]
- Liu, S.; Chen, H.; Ji, X.; Liu, Z.; Xie, Y.; Tian, F.; Pan, S. Remediation potential of rice with high cadmium accumulation to cadmium contaminated farmland. Trans. Chin. Soc. Agric. Eng. (Trans. CSAE) 2021, 37, 175–181. [Google Scholar]
- Ibaraki, T.; Fujitomi, S.-I.; Ishitsuka, A.; Yanaka, M. Phytoextraction by high-Cd-accumulating rice to reduce Cd in wheat grains grown in Cd-polluted fields. Soil Sci. Plant Nutr. 2014, 60, 266–275. [Google Scholar] [CrossRef]
- Zhang, Y.-Z.; Fang, B.-H.; Teng, Z.-N.; Chen, G.-H.; Liu, Y.; Ling, W.-B.; Xiang, S.-Q.; Bai, L.-Y. Screening and verification of rice varieties with low cadmium accumulation. Agric. Sci. Technol. 2019, 20, 1–10. [Google Scholar]
- Wang, Z.-Y.; Zhou, H.; Zhou, K.-H.; Tan, W.-T.; Jiiang, Y.; Tang, Q.; Wu, G.-F.; Gu, J.-F.; Zeng, P.; Liao, B.-H. Effects of straw removal measure on soil Cd bioavailability and rice Cd accumulation. Environ. Sci. 2023, 44, 4109–4118. [Google Scholar]
- Chen, S.; Sun, T.-H.; Sun, L.-N.; Zhou, Q.-X.; Chao, L. Influences of phosphate nutritional level on the phytoavailability and speciation distribution of cadmium and lead in soil. J. Environ. Sci. 2006, 18, 1247–1253. [Google Scholar] [CrossRef] [PubMed]
- Zhang, S.-Q.; Wang, F.-Y.; Jiang, H.-M.; Zhang, J.-F.; Yang, J.-C.; Guo, J.-M.; Li, X.; Liu, L.; Xie, Y.-Q.; Li, L.-L. Available posphorus is a key regulator of cadmium phytoavailability in greenhouse soils. J. Agro-Environ. Sci. 2014, 33, 1721–1727. [Google Scholar]
- Tan, W.-T.; Huo, Y.; Zhou, H.; Qiu, Y.-Y.; Zeng, P.; Gu, J.-F.; Liao, B.-H. Effects of Phosphorus Sufficiency and Deficiency on Cadmium Uptake and Transportation by Rice. Environ. Sci. 2022, 43, 3308–3314. [Google Scholar]
- Zhao, T.-T.; Wang, C.-L.; Zhao, X.-L. Effects of different phosphate fertilizers on iron plaque amount on root surface and arsenic and cadmium uptake by rice grown in a limestone yellow loamy paddy soil. China Environ. Sci. 2021, 41, 297–306. [Google Scholar]
- Cao, T.-Y.; Liu, M.-D.; Wo, X.-H.; Li, J. Effects of combined application of silicon and phosphorus on cadmium uptake and transport in rice and its mechanisms. J. Agro-Environ. Sci. 2020, 39, 37–44. [Google Scholar]
- Zhao, Y.; Zhang, C.; Wang, C.; Huang, Y.; Liu, Z. Increasing phosphate inhibits cadmium uptake in plants and promotes synthesis of amino acids in grains of rice. Environ. Pollut. 2020, 257, 113496. [Google Scholar] [CrossRef]
- Ge, L.-Q.; Cang, L.; Liu, H.; Zhou, D.-M. Effects of warming on uptake and translocation of cadmium (Cd) and copper (Cu) in a contaminated soil-rice system under Free Air Temperature Increase (FATI). Chemosphere 2016, 155, 1–8. [Google Scholar] [CrossRef]
- Chen, N.-C.; Zheng, Y.-J.; He, X.-F.; Li, X.-F.; Zhang, X.-X. Analysis of the Report on the national general survey of soil contamination. J. Agro-Environ. Sci. 2017, 36, 1689–1692. [Google Scholar]
- Tang, F.; Lei, M.; Tang, Z.; Yang, R.-B.; Song, Z.-G.; Tang, S.-R.; Peng, S.; Liao, H.-Y. Accumulation characteristic and dynamic distribution of Cd in different genotypes of rice (Oryza sativa L.). J. Agro-Environ. Sci. 2013, 32, 1092–1098. [Google Scholar]
- Yamaji, N.; Ma, J.F. Node-controlled allocation of mineral elements in Poaceae. Curr. Opin. Plant Biol. 2017, 39, 18–24. [Google Scholar] [CrossRef]
- Luo, Q.; Bai, B.; Xie, Y.; Yao, D.; Zhang, D.; Chen, Z.; Zhuang, W.; Deng, Q.; Xiao, Y.; Wu, J. Effects of Cd uptake, translocation and redistribution in different hybrid rice varieties on grain Cd concentration. Ecotoxicol. Environ. Saf. 2022, 240, 113686. [Google Scholar] [CrossRef]
- Xu, F.; Gao, S.; Kong, X.; Xu, W.; Wu, Y.; Xu, L.; Wei, L.; Xiao, P.; She, H.; Chen, K.; et al. Research on key techniques of mechanical harvesting of hybrid rice to reduce rice yield loss. China Rice 2023, 29, 99–102. [Google Scholar]
- Savant, N.K.; Datnoff, L.E.; Snyder, G.H. Depletion of plant-available silicon in soils: A possible cause of declining rice yields. Commun. Soil Sci. Plant Anal. 1997, 28, 1245–1252. [Google Scholar] [CrossRef]
- Liu, X.; Ding, H.; Dai, W.; Zhu, X.; Mu, J. Supplying amorphous silicon fertilizer reduced Cd accumulation in rice (Oryza sativa L.) via Increasing the available Si/Cd ratio in paddy soil. Pol. J. Environ. Stud. 2023, 32, 5197–5210. [Google Scholar] [CrossRef]
- Shao, J.F.; Che, J.; Yamaji, N.; Shen, R.F.; Ma, J.F. Silicon reduces cadmium accumulation by suppressing expression of transporter genes involved in cadmium uptake and translocation in rice. J. Exp. Bot. 2017, 68, 5641–5651. [Google Scholar] [CrossRef]
- Zhao, Y.; Xia, X.-G.; Chen, Y.-F.; Guo, X.-F.; Yu, X.-P.; Liu, D.-H.; Zhang, Z. Effects of stubble in height and grinding degree during straw application on crop yield and soil nutrients under rice-rapeseed rotation. Soil Fertil. Sci. China 2023, 6, 122–128. [Google Scholar]
- Begum, N.; Qin, C.; Ahanger, M.A.; Raza, S.; Khan, M.I.; Ashraf, M.; Ahmed, N.; Zhang, L. Role of arbuscular mycorrhizal fungi in plant growth regulation: Implications in abiotic stress tolerance. Front. Plant Sci. 2019, 10, 1068. [Google Scholar] [CrossRef] [PubMed]
- Shi, Q.; Zhang, Y.; Zhou, G.; Zhang, J.; Zhang, C.; Lu, S.; Jia, C.; Liu, M. Effects of long-term straw return on soil arbuscular mycorrhizal fungi and their ecological network. Acta Pedol. Sin. 2025, 62, 1523–1534. [Google Scholar]





| Test Location | Total Cd Content (mg kg−1) | Available Cd Content (mg kg−1) | pH Value | Total N Content (g kg−1) | Total P Content (g kg−1) | Total K Content (g kg−1) | Organic Matter Content (g kg−1) | Alkali-N Content (mg kg−1) | Olsen-P Content (mg kg−1) | Avail-K Content (mg kg−1) |
|---|---|---|---|---|---|---|---|---|---|---|
| Yiyang | 0.49 | 0.30 | 4.86 | 2.38 | 0.57 | 21.31 | 40.72 | 195.16 | 5.11 | 203.66 |
| Zhuzhou | 0.66 | 0.42 | 5.13 | 1.78 | 0.41 | 15.15 | 30.95 | 140.65 | 1.66 | 88.18 |
| Hengyang | 0.50 | 0.28 | 5.72 | 1.24 | 0.64 | 21.83 | 21.19 | 97.91 | 26.24 | 102.18 |
| Test Location | Stubble Height (cm) | Returned Straw | Removed Straw | ||||||
|---|---|---|---|---|---|---|---|---|---|
| HHZ | NX42 | TY398 | XWX12 | HHZ | NX42 | TY398 | XWX12 | ||
| Yiyang | 0 | / | / | / | / | 0.47 b | 0.42 b | 0.41 b | 0.56 b |
| 15 | 0.64 ab | 0.51 a | 0.72 a | 0.63 a | 0.69 a | 0.78 a | 0.52 a | 0.83 a | |
| 30 | 0.68 a | 0.49 a | 0.69 a | 0.54 a | 0.49 b | 0.51 b | 0.35 b | 0.39 c | |
| 45 | 0.56 b | 0.47 a | 0.57 b | 0.47 a | 0.26 c | 0.30 b | 0.35 b | 0.42 c | |
| Zhuzhou | 0 | / | / | / | / | 0.14 c | 0.22 b | 0.17 c | 0.24 b |
| 15 | 0.48 a | 0.48 a | 0.38 a | 0.91 a | 0.46 a | 0.42 a | 0.40 a | 0.25 bc | |
| 30 | 0.46 a | 0.44 a | 0.37 a | 0.56 a | 0.40 b | 0.43 a | 0.33 ab | 0.33 ab | |
| 45 | 0.41 a | 0.42 a | 0.37 a | 0.50 b | 0.38 b | 0.32 b | 0.27 bc | 0.37 a | |
| Hengyang | 0 | / | / | / | / | 0.23 c | 0.40 c | 0.31 c | 0.34 c |
| 15 | 0.45 a | 0.62 a | 0.68 a | 0.47 a | 0.49 a | 0.62 a | 0.45 a | 0.72 a | |
| 30 | 0.41 ab | 0.58 ab | 0.57 b | 0.46 a | 0.39 b | 0.57 b | 0.47 a | 0.68 a | |
| 45 | 0.38 b | 0.57 b | 0.54 b | 0.42 b | 0.20 c | 0.40 c | 0.38 b | 0.57 b | |
| Test Location | Stubble Height (cm) | HHZ | NX42 | TY398 | XWX12 |
|---|---|---|---|---|---|
| Yiyang | 0 | 0.28 b | 0.23 b | 0.13 b | 0.24 b |
| 15 | 0.30 b | 0.25 b | 0.14 b | 0.25 b | |
| 30 | 0.45 b | 0.40 b | 0.22 a | 0.63 a | |
| 45 | 0.98 a | 0.70 a | 0.26 a | 0.66 a | |
| Zhuzhou | 0 | 0.27 b | 0.26 b | 0.20 a | 0.18 a |
| 15 | 0.28 ab | 0.28 b | 0.23 a | 0.19 a | |
| 30 | 0.35 ab | 0.30 b | 0.28 a | 0.23 a | |
| 45 | 0.40 a | 0.41 a | 0.36 a | 0.23 a | |
| Hengyang | 0 | 0.29 b | 0.32 b | 0.22 a | 0.20 c |
| 15 | 0.30 b | 0.33 b | 0.22 a | 0.20 bc | |
| 30 | 0.41 b | 0.37 b | 0.25 a | 0.22 b | |
| 45 | 0.85 a | 0.55 a | 0.40 a | 0.29 a |
| Test Location | Stubble Height (cm) | Returned Straw | Removed Straw | ||||||
|---|---|---|---|---|---|---|---|---|---|
| HHZ | NX42 | TY398 | XWX12 | HHZ | NX42 | TY398 | XWX12 | ||
| Yiyang | 0 | / | / | / | / | 3.53 a | 2.78 a | 2.89 a | 2.26 a |
| 15 | 4.83 a | 3.37 a | 5.11 a | 2.56 a | 3.33 a | 2.63 a | 2.66 a | 2.12 b | |
| 30 | 4.44 ab | 3.22 a | 4.85 a | 2.19 a | 2.19 b | 1.65 b | 1.71 b | 0.85 c | |
| 45 | 3.95 b | 3.09 a | 4.02 b | 1.93 a | 1.01 c | 0.94 bc | 1.40 b | 0.82 c | |
| grain | / | / | / | / | 0.98 c | 0.60 c | 0.38 c | 0.55 d | |
| Zhuzhou | 0 | / | / | / | / | 1.23 a | 1.80 a | 1.73 a | 1.25 a |
| 15 | 4.26 a | 3.97 a | 3.84 a | 4.78 a | 1.96 a | 1.69 a | 1.53 ab | 1.20 a | |
| 30 | 4.05 a | 3.66 a | 3.78 a | 2.93 b | 1.60 b | 1.57 a | 1.23 bc | 0.97 a | |
| 45 | 3.66 a | 3.54 a | 3.66 a | 2.63 b | 1.39 b | 1.13 b | 0.97 c | 0.97 a | |
| grain | / | / | / | / | 0.55 c | 0.46 c | 0.35 d | 0.22 b | |
| Hengyang | 0 | / | / | / | / | 3.52 a | 5.59 a | 3.83 a | 4.99 a |
| 15 | 6.95 a | 8.75 a | 8.30 a | 6.82 a | 3.40 a | 5.41 a | 3.70 ab | 4.92 a | |
| 30 | 6.45 ab | 8.25 ab | 6.94 b | 6.62 a | 2.51 b | 4.73 b | 3.23 b | 4.49 b | |
| 45 | 5.96 b | 7.99 b | 6.56 b | 6.08 b | 1.20 c | 3.19 c | 2.08 c | 3.44 c | |
| grain | / | / | / | / | 1.02 c | 1.76 d | 0.82 d | 0.98 d | |
| Test Location | Stubble Height (cm) | HHZ | NX42 | TY398 | XWX12 |
|---|---|---|---|---|---|
| Yiyang | 0 | 100.00% a | 100.00% a | 100.00% a | 100.00% a |
| 15 | 56.96% b | 60.56% b | 51.98% b | 68.52% b | |
| 30 | 24.79% c | 27.64% c | 20.49% c | 21.88% c | |
| 45 | 3.91% d | 5.52% d | 5.75% d | 11.45% d | |
| Zhuzhou | 0 | 100.00% a | 100.00% a | 100.00% a | 100.00% a |
| 15 | 37.22% b | 36.82% b | 49.54% b | 34.24% b | |
| 30 | 23.63% c | 27.83% c | 24.97% c | 22.04% c | |
| 45 | 10.09% d | 12.12% d | 8.38% d | 11.65% d | |
| Hengyang | 0 | 100.00% a | 100.00% a | 100.00% a | 100.00% a |
| 15 | 60.07% b | 64.02% b | 59.57% b | 69.22% b | |
| 30 | 32.60% c | 43.47% c | 40.11% c | 48.75% c | |
| 45 | 10.60% d | 22.00% d | 19.74% d | 29.31% d |
Disclaimer/Publisher’s Note: The statements, opinions and data contained in all publications are solely those of the individual author(s) and contributor(s) and not of MDPI and/or the editor(s). MDPI and/or the editor(s) disclaim responsibility for any injury to people or property resulting from any ideas, methods, instructions or products referred to in the content. |
© 2025 by the authors. Licensee MDPI, Basel, Switzerland. This article is an open access article distributed under the terms and conditions of the Creative Commons Attribution (CC BY) license (https://creativecommons.org/licenses/by/4.0/).
Share and Cite
Dai, Y.; Song, M.; Liu, Y.; Zhang, Y.; Zhu, J.; Peng, H. Effect of Stubble Height on Cadmium Removal Potential of Removed Straw. Sustainability 2025, 17, 7123. https://doi.org/10.3390/su17157123
Dai Y, Song M, Liu Y, Zhang Y, Zhu J, Peng H. Effect of Stubble Height on Cadmium Removal Potential of Removed Straw. Sustainability. 2025; 17(15):7123. https://doi.org/10.3390/su17157123
Chicago/Turabian StyleDai, Yanjiao, Min Song, Yuling Liu, Ying Zhang, Jian Zhu, and Hua Peng. 2025. "Effect of Stubble Height on Cadmium Removal Potential of Removed Straw" Sustainability 17, no. 15: 7123. https://doi.org/10.3390/su17157123
APA StyleDai, Y., Song, M., Liu, Y., Zhang, Y., Zhu, J., & Peng, H. (2025). Effect of Stubble Height on Cadmium Removal Potential of Removed Straw. Sustainability, 17(15), 7123. https://doi.org/10.3390/su17157123

