Evolutionary Game Analysis of Multi-Agent Synergistic Incentives Driving Green Energy Market Expansion
Abstract
1. Introduction
2. Literature Review
2.1. Synergistic Mechanism of Green Energy Market Participating Subjects
2.2. Evolutionary Game Theory
3. Model Assumptions and Construction
3.1. Model Assumptions
- (1)
- Evolutionary game subjects. The three-way game between the government, energy suppliers, and owners is fundamentally a synergistic process of ‘policy—driven—market response—owner’s choice’. The government prioritizes maximum social benefits, controls market behavior through subsidies and regulation, and encourages the use of green energy in buildings. Energy suppliers prioritize profit maximization, comparing the added cost of green energy against policy incentives, and their strategic decisions are influenced by both governmental limits and owner requirements. Owners seek complete utility maximization by assessing the economics of green energy, such as retrofit costs, long-term energy savings benefits, and environmental preferences. Their decisions are influenced by subsidies, energy provider preferences, and environmental consciousness.
- (2)
- Behavioral strategies of game subjects. The strategy space of the government is = (strict regulation, lax regulation) and chooses with probability and with probability , where . The energy supplier’s strategy space is = (provide green energy, provide conventional energy) and chooses with probability and with probability , where . The owner’s strategy space is = (buy green energy, don’t buy green energy) and chooses with probability and with probability , where .
- (3)
- Basic model assumptions. Assumption 1: The government, energy suppliers, and owners are all restricted rational subjects whose strategy decisions are based on balancing advantages and costs rather than fully rational optimization. The three parties’ strategy choices change dynamically over time, and they gradually improve their strategies through learning and imitation.Assumption 2: The market is totally competitive, and the quantity of energy suppliers and owners is high enough that a single subject’s behavior has no major impact on the market price. The government’s regulatory policy directly affects the conduct of energy suppliers, but the purchasing decisions of owners also affect the strategic options of energy suppliers. The owners’ opinion and acceptance of green energy are influenced by government campaigns and policies. The usage of green energy provides beneficial environmental externalities, but it may incur higher short-term costs.
- (4)
- Profit and loss parameters for each party.
- Government strategies: ‘strict regulation’ and ‘lax regulation’:
- VG1: Base benefit to the government under the lax regulation strategy;
- CG1: Regulatory cost incurred by the government under the strict regulation strategy;
- VG2: Incremental benefit generated by strict regulation;
- UG1: Incremental benefit to the government when energy suppliers choose to provide green energy;
- UG2: Incremental benefit to the government when owners choose to purchase green energy.
- 2.
- Energy supplier strategies: ‘provide green energy’ and ‘provide traditional energy’:
- VE1: Base revenue for suppliers under the provision of the traditional energy strategy;
- CE1: Incremental cost for suppliers when choosing to provide green energy;
- VE2: Incremental revenue for suppliers when choosing to provide green energy;
- SE: Government subsidy to suppliers under strict regulation;
- PE: Government penalty imposed on suppliers for providing traditional energy under strict regulation;
- UE1: Incremental benefit to suppliers when owners choose to purchase green energy.
- 3.
- Owner strategies: ‘Buy green energy’ or ‘Don’t buy green energy’:
- VO2: Base utility for owners under the strategy of not purchasing green energy strategy;
- CO1: Incremental cost for owners when choosing to purchase green energy;
- VO1: Incremental utility for owners when choosing to purchase green energy;
- CO2: Incremental maintenance cost for owners when choosing purchases green energy;
- SO: Government subsidy to owners under strict regulation;
- R: Incentive offered to owners by suppliers when choosing to provide green energy;
- UO1: Incremental benefit to owners when purchasing green energy.
3.2. Establishing the Three-Party Game Payment Matrix
4. Evolutionary Game Analysis of Green Energy Synergistic Promotion Subjects
4.1. Replicating Dynamic Equations of the Main Body of the Game
- (1) The expected returns and average expected returns of the government under the ‘strict regulation’ and ‘lax regulation’ strategies are shown in , , and :
4.2. Analysis of the Evolutionary Stability of the Game Subjects
- (1)
- Stability analysis of government strategy
- (2)
- Stability analysis of energy supplier strategies
- (3)
- Stability analysis of owner strategies
4.3. Stability Analysis of System Equilibrium Points
5. Simulation Analysis of Multi-Subject Synergistic Strategies
5.1. Evolutionary Stabilization Strategy
5.2. Parameter Sensitivity Analysis
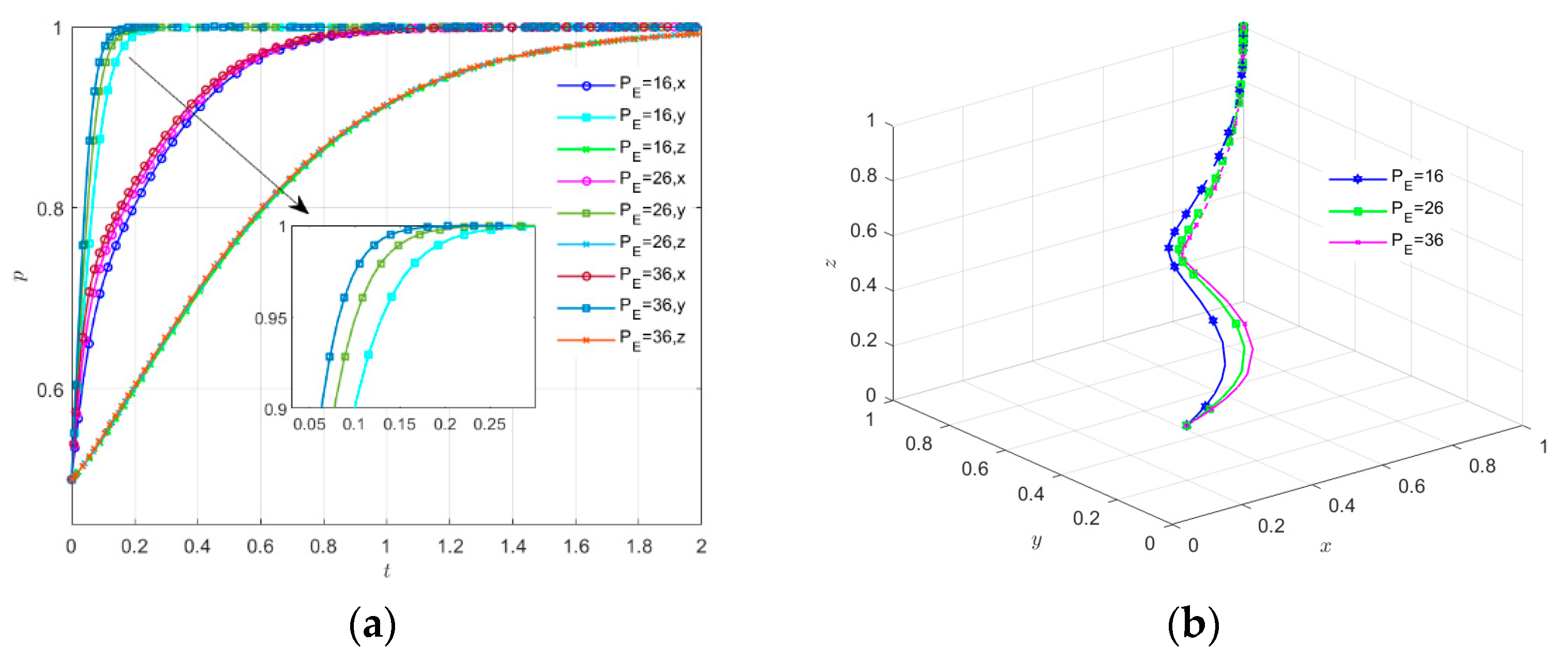
- (1) Sensitivity study of on penalizing energy providers that provide conventional energy under stringent government control. Figure 5a shows that the probability of energy suppliers choosing to ‘provide green energy’ stabilizes in a relatively short time because of the significant impact of government penalties, whereas the probability of the government adopting ‘strict regulation’ and the probability of owners choosing to ‘purchase green energy’ stabilizes more slowly. The likelihood of the government using a ‘strict regulation’ plan and the likelihood of owners deciding to ‘purchase green energy’ are both sluggish to stabilize. Energy providers are demonstrably very sensitive to the government’s punishment mechanism and may swiftly modify their strategy to reduce losses. As seen in Figure 5b, when the system evolves to the steady state point, an increase in government fines decreases the likelihood that energy providers would choose to produce green energy, while an increase in increases the likelihood of rigorous government control. As a result, the government must create an appropriate amount of penalty that will successfully stimulate energy providers to migrate to green energy while also allowing for a reasonably speedy return to equilibrium.
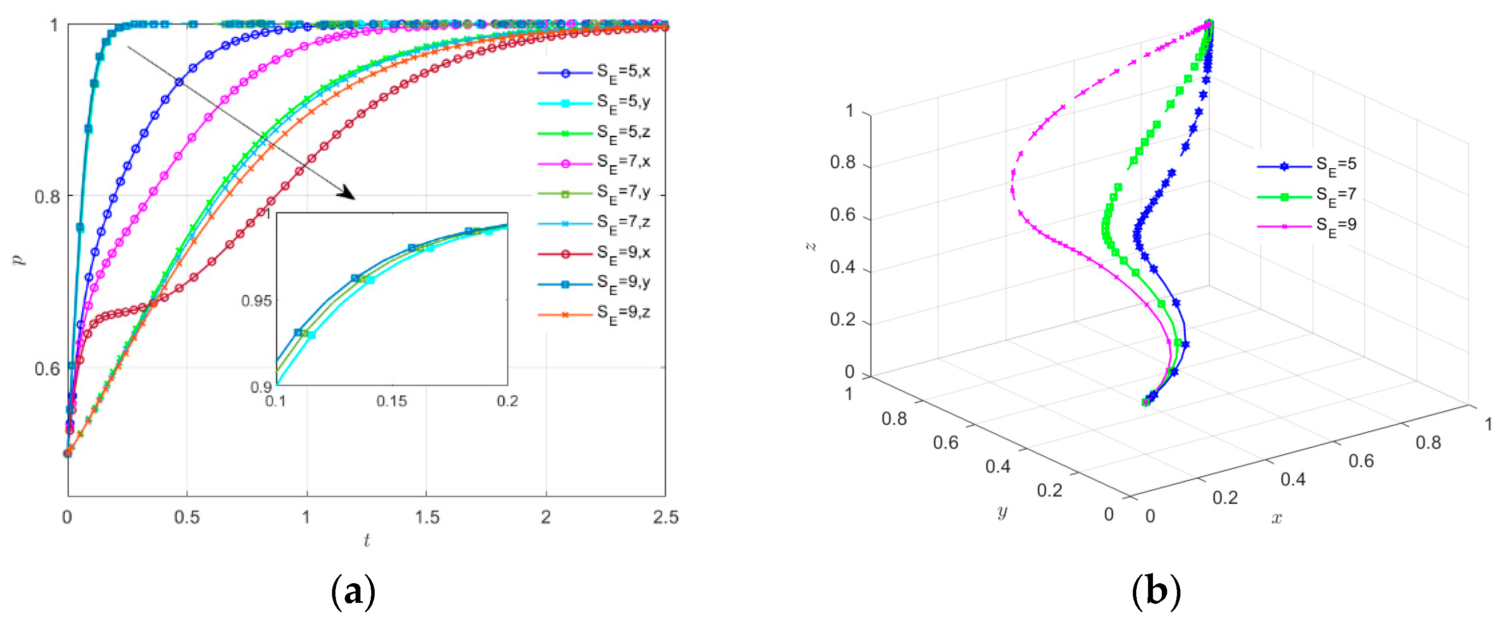
- (2) Sensitivity study of subsidies to energy providers under stringent government regulations. As seen in Figure 6a, has a greater influence on energy providers; it stabilizes in the shortest amount of time, and the more the subsidy, the quicker the convergence. Meanwhile, has a greater influence on the government, and the more subsidies the government offers, the longer the government severely takes to regulate. In Figure 6b, increasing subsidy strength encourages energy suppliers to produce green energy more promptly, resulting in lower government regulation. As a result, the government should establish a reasonable subsidy structure while also considering the implementation of appropriate regulatory measures to ensure that funds are used rationally.
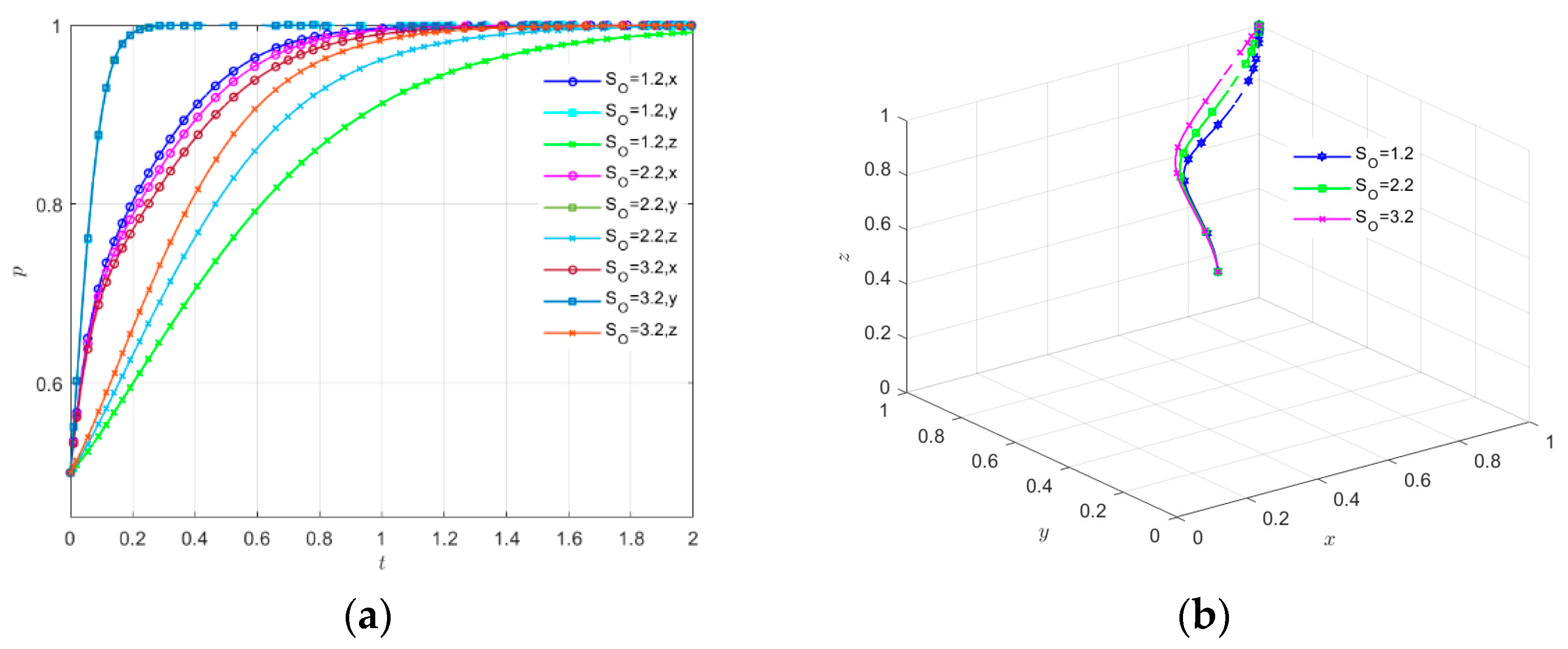
- (3) Sensitivity study of the subsidy for owners subject to tight regulatory regulations. Figure 7a shows that has a stronger impact on owners; the higher the subsidy, the faster owners choose to acquire green energy. As seen in Figure 7b, when subsidies increase, the government gradually loosens regulations, while energy companies prefer to produce green energy faster. Temporal analysis of owner adoption behavior under sustained policy implementation demonstrates that with baseline parameters ( = 1.2, = 0.8), the initial evolutionary stable state of adoption probability converges to 0.5. Subsequent implementation of stepped dynamic subsidies ( incrementally adjusted to 3.2) in conjunction with persistent intelligent regulatory mechanisms results in the adoption probability reaching a new stable equilibrium of 0.65 after three simulation cycles. This transition corresponds to a 30% growth rate, derived as (0.65 − 0.5)/0.5 × 100%. As a result, the government must constantly alter the subsidy program for owners based on market demand and the impact of energy conservation and pollution reduction. At the same time, the government should maintain the necessary level of regulation to guarantee that energy suppliers continue to supply high-quality green energy. The government could also improve owners’ knowledge of green energy and boost their consciousness of environmental protection, allowing them to actively opt to acquire green energy despite reduced incentives.
- (4) Sensitivity study of the incentives provided to owners when energy suppliers opted to provide green energy. Figure 8a shows that concessions have the largest impact on owners, and the more concessions, the sooner owners choose to buy green energy. As seen in Figure 8b, the more concessions the energy supplier makes to the owner, the slower the rate at which the government tends to rigorously control, and the higher the , the more the energy supplier will gradually move from supplying traditional energy to providing green energy. As a result, the government can offer incentives such as tax breaks and subsidies to encourage energy suppliers to raise their concessions and promote the widespread adoption of green energy. Based on market demand and government rules, energy suppliers might offer attractive incentives to encourage owners to switch to green energy, with higher incentives at first and gradually decreasing as the market matures.
- (5) Sensitivity analysis of the incremental benefit to the government when owners buy green energy. As shown in Figure 9a, has the most influence on the government, and when rises, the government chooses to tighten regulations. Figure 9b shows that the larger the , the more stringent the government regulation, and energy suppliers may continue to provide conventional energy in the short term because green energy infrastructure and technology are not yet fully developed. As a result, the government should dynamically alter its regulatory efforts to reflect changes in . Simultaneously, energy providers should optimize their energy mix and raise the amount of green energy supply to fulfill regulatory and market demands.
- (6) The government’s improvement path. As observed in Figure 10a, the increase in cost due to rigorous government regulations is a negative incentive for x to converge to 1. When the expense of rigorous government regulation is too high, the likelihood of the government adopting strict regulation initially rises and then falls, with the government eventually opting for loose regulation. As observed in Figure 10b, the increase in provides a positive incentive for x to converge to 1. The greater the incremental benefit of to the government from the owner’s purchase of green energy, the slower the government’s adoption of severe regulations. As observed in Figure 10c, the increase in provides a negative incentive for to converge to 1. The more the government subsidizes the energy supply, the slower it will be to choose to regulate. By vertical comparison, changes in and are more likely to accelerate x-to-one convergence. As a result, the government can improve regulatory effectiveness and lower the cost of stringent control by implementing modern technical tools such as big data and artificial intelligence. It can also dynamically alter energy provider subsidies based on market response, energy savings, and emission reduction impacts. Subsidies can be increased early to encourage the use of green energy, then gradually lowered as the market matures to minimize over-reliance.
- (7) The energy supplier’s improvement strategy. As observed in Figure 11a, the increased extra cost CE1 for energy providers to offer green energy diminishes y’s preference to converge to 1. The greater the extra cost, the less likely energy providers are to provide renewable energy. As observed in Figure 11b, PE is a positive incentive for y-to-1 convergence and increasing PE pushes energy providers to provide green energy more rapidly. As observed in Figure 11c, government subsidies to energy providers SE create a strong incentive for them to converge on 1. Higher subsidies result in a quicker supply of green energy. In a longitudinal comparison, the decrease in incremental cost CE1 is more likely to increase the rate of y-to-1 convergence. Therefore, energy providers should emphasize innovation and research in green energy technologies to reduce green energy production and operating costs, hence improving green energy supply stability.
- (8) Owner’s improvement path. As observed in Figure 12a, the increase in incremental cost while purchasing green energy provides a negative incentive for z-to-1 convergence, and the higher the incremental cost, the slower the owner chooses to buy green energy. As observed in Figure 12b, the government’s subsidy for owners is a positive incentive for z-to-1 convergence, and an increase in encourages owners to acquire green energy more quickly. As observed in Figure 12c, the incentive offered by the energy supplier encourages to converge to 1. The larger the incentive, the faster the owner will choose to acquire green energy. In a longitudinal comparison, a drop in incremental cost and an increase in preference are more effective in accelerating the rate of z-to-1 convergence. As a result, owners can band together to buy green energy in bulk and save money on procurement. Long-term contracts with energy suppliers are also considered to secure additional concessions and reductions while lowering long-term purchasing expenses.
5.3. Model Validation Against Empirical Observations
6. Conclusions and Research Limitations
6.1. Conclusions
6.2. Limitations
Author Contributions
Funding
Institutional Review Board Statement
Informed Consent Statement
Data Availability Statement
Acknowledgments
Conflicts of Interest
References
- Cai, W.; Yu, Y.; Liu, Y. China Urban and Rural Construction Sector Carbon Emission Research Report (2024). Constr. Archit. 2025, 56–63. [Google Scholar]
- Ji, Y.; Zhou, R.; Liu, X. Research on collaborative mechanism of carbon trading for urban residential buildings. Constr. Econ. 2022, 43, 91–96. [Google Scholar]
- Qiu, L. Analysis of factor influencing carbon emission and study on emission trend of urban building. Archit. Technol. 2024, 55, 2795–2799. [Google Scholar]
- Xu, K.; Zhan, B.; Chen, W.; Bao, H. Assessment of urban green low-carbon development quality: Index system and its application. Acta Ecol. Sin. 2025, 45, 2877–2890. [Google Scholar]
- Shi, B. Urban renewal as an opportunity to systematically promote low-carbon energy transition. Capital Construction News, 17 January 2025. [Google Scholar]
- Feng, M.; Zhang, T. Research on the implementation path of ESG system construction in china’s construction industry. Chin. Overseas Archit. 2025, 124–127. [Google Scholar] [CrossRef]
- Chen, F. Research on urban renewal planning strategies in context of “dual carbon”. Constr. Sci. Technol. 2025, 22–24. [Google Scholar]
- LI, Z. Implementing the “dual-carbon” strategy to create a new high ground of “dual-carbon” standards for urban and rural construction. Stand. Eng. Constr. 2022, 39–42. [Google Scholar] [CrossRef]
- Lv, W.; Zhao, M. Driven by carbon peak and carbon neutrality: Accelerating the comprehensive green transition of economic and social development. J. Eco-Civiliz. Stud. 2024, 3–14. [Google Scholar]
- Wang, K.; Guo, H. Overview of governance practices for existing building energy efficiency retrofit programs and the transaction decision causation analysis. Proj. Manag. Technol. 2025, 23, 75–79. [Google Scholar]
- Zhang, Y. Green building development and forecast in china. Inter. Archit. China 2024, 6–9. [Google Scholar]
- Luo, P.; Feng, Y.; Chen, C.; Zhang, C.; Cheng, X.; Fu, Z. Optimization method and case study of low-carbon building reconstruction under different preferences. South Archit. 2024, 61–69. [Google Scholar]
- Huang, J.; Yuan, Z.; Wang, D.; Gao, S. Carbon reduction technology and benefits of existing building renovation designin the context of carbon neutrality. Sci. Technol. Ind. 2025, 25, 117–124. [Google Scholar]
- Hu, Z.; Guo, H. Research framework on the mechanism of decision-making synergy and path optimization of existing building green retrofit subjects. Proj. Manag. Technol. 2025, 23, 68–74. [Google Scholar]
- Xin, L.; Chenchen, W.; Chuanzhi, L.; Guohui, F.; Zekai, Y.; Zonghan, L. Effect of the energy-saving retrofit on the existing residential buildings in the typical city in northern China. Energy Build. 2018, 177, 154–172. [Google Scholar] [CrossRef]
- Madushika, U.G.D.; Lu, W. Transitioning of existing buildings to green in developing economies: A case of Sri Lanka. Energy Sustain. Dev. 2024, 83, 101580. [Google Scholar] [CrossRef]
- Huang, J. Discussion on the implementation of green building energy efficiency retrofit in newly constructed power stations. Inter. Archit. China 2023, 70–72. [Google Scholar]
- Fan, W.; Wang, Y.; He, Y.; Chen, Z. The present situation, problems and corresponding solutions of photovoltaic application in newly-built residential building—Taking the affordable housing in a municipal large residential community of Shanghai as an example. Hous. Sci. 2025, 45, 57–62. [Google Scholar]
- Wu, W.; Jing, R.; Xu, W.; Yang, M.; Wang, H. Analysis on monitoring data of energy consumption and carbon emissions of public buildings in Shanghai in 2023. Shanghai Energy Sav. 2025, 70–78. [Google Scholar] [CrossRef]
- Du, Q.; Wang, Y.; Pang, Q.; Hao, T.; Zhou, Y. The dynamic analysis on low-carbon building adoption under emission trading scheme. Energy 2023, 263, 125946. [Google Scholar] [CrossRef]
- Hu, C.; Fu, C.; Yang, X.; Huang, P.; Guo, Z. Research on carbon emissions & economic benefits of ultra-low energy residential buildings in the whole life cycle. China Munic. Eng. 2024, 106–110+165. [Google Scholar]
- Ma, Y.; Deng, W.; Xie, J.; Heath, T.; Izu Ezeh, C.; Hong, Y.; Zhang, H. A macro-scale optimisation of zero-energy design schemes for residential buildings based on building archetypes. Sol. Energy 2023, 257, 196–209. [Google Scholar] [CrossRef]
- Zhou, Y.; Lin, B. The energy-saving effect of green fiscal policy: Empirical evidence from China’s comprehensive demonstration cities of energy conservation and emission reduction fiscal policy. Appl. Energy 2025, 378, 124784. [Google Scholar] [CrossRef]
- Fan, W.; Anser, M.K.; Nasir, M.H.; Nazar, R. Uncertainty in firm innovation scheme and impact of green fiscal policy; Economic recovery of Chinese firms in the post-Covid-19 era. Econ. Anal. Policy 2023, 78, 1424–1439. [Google Scholar] [CrossRef]
- Huang, H.; Wang, H.; Hu, Y.-J.; Li, C.; Wang, X. The development trends of existing building energy conservation and emission reduction—A comprehensive review. Energy Rep. 2022, 8, 13170–13188. [Google Scholar] [CrossRef]
- Zhang, Y.; Zahoor, Z. The role of energy subsidies, savings, and transitions in driving energy transformations toward net-zero emissions. Energy 2025, 320, 135209. [Google Scholar] [CrossRef]
- Yang, X.; Zhang, J.; Shen, G.Q.; Yan, Y. Incentives for green retrofits: An evolutionary game analysis on Public-Private-Partnership reconstruction of buildings. J. Clean. Prod. 2019, 232, 1076–1092. [Google Scholar] [CrossRef]
- Song, X.; Shen, M.; Lu, Y.; Shen, L.; Zhang, H. How to effectively guide carbon reduction behavior of building owners under emission trading scheme? An evolutionary game-based study. Environ. Impact Assess. Rev. 2021, 90, 106624. [Google Scholar] [CrossRef]
- Lu, T.; Guo, H. A review of research on the coordination mechanism between ESCOs and owners’ decision making in green retrofit projects for existing public buildings. Proj. Manag. Technol. 2024, 22, 136–142. [Google Scholar]
- Wu, L. Comprehensive evaluation and analysis of low-carbon energy-saving renovation projects of high-end hotels under the background of double carbon. Energy Rep. 2022, 8, 38–45. [Google Scholar] [CrossRef]
- Liu, Y.; Xue, S.; Guo, X.; Zhang, B.; Sun, X.; Zhang, Q.; Wang, Y.; Dong, Y. Towards the goal of zero-carbon building retrofitting with variant application degrees of low-carbon technologies: Mitigation potential and cost-benefit analysis for a kindergarten in Beijing. J. Clean. Prod. 2023, 393, 136316. [Google Scholar] [CrossRef]
- Wang, S.; Liu, C.; Zhou, Z. Government-enterprise green collaborative governance and urban carbon emission reduction: Empirical evidence from green PPP programs. Environ. Res. 2024, 257, 119335. [Google Scholar] [CrossRef]
- Ma, H.; Wang, K.; Fang, C. How does new-type urbanization promote green development efficiency in China? The mediating role of governments, enterprises, and residents. Geogr. Sustain. 2025, 6, 100241. [Google Scholar] [CrossRef]
- Wu, K.; Bai, E.; Zhu, H.; Lu, Z.; Zhu, H. A tripartite evolutionary game behavior analysis of the implementation strategy of the internal carbon pricing of enterprises under governments supervision. Heliyon 2023, 9, e23131. [Google Scholar] [CrossRef]
- Lazoroska, D.; Palm, J. Dialogue with property owners and property developers as a tool for sustainable transformation: A literature review. J. Clean. Prod. 2019, 233, 328–339. [Google Scholar] [CrossRef]
- Zhao, L.; Zhang, W. Research on intelligent measurement and driving mechanism of influencing factors of building energy saving. Measurement 2022, 192, 110793. [Google Scholar] [CrossRef]
- Wang, X.; Yang, X.; Lei, G. Analysis of the current situation of low-carbon development of construction enterprises from the perspective of stakeholders. New City Dev. Technol. 2024, 33, 159–162. [Google Scholar]
- Qiao, W.; Guo, H.; Li, W.; Qin, G. Research on cooperation development mechanism of existing building energy efficiency renovation market based on tripartite evolutionary game. Build. Sci. 2020, 36, 70–79. [Google Scholar]
- Yang, F.; Guo, H. Synthesis of theoretical studies on the synergistic mechanism of decision-making between governments and owners of existing settlements for green upgrading projects. Proj. Manag. Technol. 2024, 22, 54–60. [Google Scholar]
- Guo, H.; Wei, Y.; Zhang, Y. Research on the collaborative mechanism of decision-making among owners with different property rights in green renovation of old residential areas. J. Civ. Eng. Manag. 2024, 41, 86–92. [Google Scholar]
- Liao, J.; Ma, C. Study on coordination mechanism of existing building energy efficiency retrofitting from the perspective of stakeholders. Constr. Sci. Technol. 2020, 10–14. [Google Scholar]
- Sung, B. Do government subsidies promote firm-level innovation? Evidence from the Korean renewable energy technology industry. Energy Policy 2019, 132, 1333–1344. [Google Scholar] [CrossRef]
- Jiang, W.; Huang, X.; Zhou, Y. In Pricing and incentive strategy for green building supply chain with incentive mechanism. In IOP Conference Series: Earth and Environmental Science; IOP Publishing: Bristol, UK, 2019; Volume 304, p. 032111. [Google Scholar]
- Fan, K.; Hui, E.C.M. Evolutionary game theory analysis for understanding the decision-making mechanisms of governments and developers on green building incentives. Build. Environ. 2020, 179, 106972. [Google Scholar] [CrossRef]
- Hu, Q.; Xiong, F.; Shen, G.Q.; Liu, R.; Xue, J.; Wu, H.; Zhou, X. Incentive mechanism design for promoting high-quality green buildings in China’s multi-level governance system. Build. Environ. 2025, 269, 112358. [Google Scholar] [CrossRef]
- Zhang, H.; Sun, G.; Li, M.; Lan, H. Investment strategies of social capital consortium participating in PPP projects for green renovation of old residential communities: A government intervention perspective. J. Liaoning Univ. Technol. (Nat. Sci. Ed.) 2024, 44, 59–63. [Google Scholar]
- Ning, X.; Ye, X.; Wang, W. Research on the evolution path of high-quality innovative development of green housing under the background of “peak carbon emissions and carbon neutrality”. Syst. Eng. Theory Pract. 2023, 43, 2653–2668. [Google Scholar]
- Jin, Z.; Qiu, X.; Sun, J.; Wang, Y.; Kang, X. Research on Economic Incentive Policy for Prefabricatio. Constr. Econ. 2020, 41, 22–28. [Google Scholar]
- Wang, S.-Y.; Lee, K.-T.; Kim, J.-H. Green retrofitting simulation for sustainable commercial buildings in China using a proposed multi-agent evolutionary game. Sustainability 2022, 14, 7671. [Google Scholar] [CrossRef]
- Li, Y.; Wang, Z.; Liang, W.; Yang, F.; Wu, G. Green renovation of existing public buildings in China: A synergy mechanism of state-owned enterprises based on evolutionary game theory. J. Clean. Prod. 2024, 434, 140454. [Google Scholar] [CrossRef]
- Qian, Y.; Yu, X.-a.; Shen, Z.; Song, M. Complexity analysis and control of game behavior of subjects in green building materials supply chain considering technology subsidies. Expert Syst. Appl. 2023, 214, 119052. [Google Scholar] [CrossRef]
- Feng, N.; Ge, J. How does fiscal policy affect the green low-carbon transition from the perspective of the evolutionary game? Energy Econ. 2024, 134, 107578. [Google Scholar] [CrossRef]
- Li, Y.; Liang, M. The economic development incentive mechanism for the existing energy-saving building structure in the perspective of game analysis. Int. J. Low-Carbon Technol. 2018, 13, 250–254. [Google Scholar] [CrossRef]
- Liu, F.; Xu, G. Incentive mechanism and scenario simulation of residential energy-efficiency retrofits—From the perspective of tripartite evolutionary game. Energy Build. 2024, 320, 114653. [Google Scholar] [CrossRef]
- Zhou, C.; Richardson-Barlow, C.; Fan, L.; Cai, H.; Zhang, W.; Zhang, Z. Towards organic collaborative governance for a more sustainable environment: Evolutionary game analysis within the policy implementation of China’s net-zero emissions goals. J. Environ. Manag. 2025, 373, 123765. [Google Scholar] [CrossRef] [PubMed]
- Yuan, Y. List of Shenzhen’s Fifth Batch of Ultra-Low Energy Consumption, (Net-Zero Energy) and Near-Zero Carbon Building Pilot Projects. Hous. Real Estate 2025, 4–11. [Google Scholar]












| The Main Body of the Game | Government ‘Strict Regulation’ x | Government ‘Lax Regulation’ 1 − x | ||
|---|---|---|---|---|
| Energy Suppliers ‘Delivering Green Energy’ y | Energy Suppliers ‘Providing Traditional Energy Sources’ 1 − y | Energy Suppliers ‘Delivering Green Energy’ y | Energy Suppliers ‘Providing Traditional Energy Sources’ 1 − y | |
| Owners ‘buying green energy’ z | VG1 + VG2 − CG1 − SE − SO + UG1 + UG2 | VG1 + VG2 + PE − CG1 − SO + UG2 | VG1 + UG1 | VG1 |
| SE + VE1 + VE2 − CE1 − R + UE1 | −PE + VE1 | VE1 + VE2 − CE1 − R + UE1 | VE1 | |
| SO + UO1 + R+VO2 + VO1 − CO1 − CO2 | SO + VO2 + VO1 − CO1 − CO2 | UO1 + R+VO2 + VO1 − CO1 − CO2 | VO2 + VO1 − CO1 − CO2 | |
| Owners ‘don’t buy green energy’ 1 − z | VG1 + VG2 − CG1 − SE + UG1 | VG1 + VG2 + PE − CG1 | VG1 + UG1 | VG1 |
| SE + VE1 + VE2 − CE1 | −PE + VE1 | VE1 + VE2 − CE1 | VE1 | |
| UO1 + VO2 | VO2 | UO1 + VO2 | VO2 | |
| Balance Point | Eigenvalue | Stability Conditions |
|---|---|---|
| E1 (0, 0, 0) | λ1 = VE2 − CE1 > 0 λ2 = PE − CG1 + VG2 > 0 λ3 = VO1 − CO2 − CO1 > 0 | unstable point |
| E2 (1, 0, 0) | λ1 = CG1 − PE − VG2 < 0 λ2 = SO − CO2 − CO1 + VO1 > 0 λ3 = PE − CE1 + SE + VE2 > 0 | Saddle point |
| E3 (0, 1, 0) | λ1 = CE1 − VE2 < 0 λ2 = VG2 − SE − CG1 λ3 = R − CO2 − CO1 + VO1 > 0 | Saddle point |
| E4 (0, 0, 1) | λ1 = CO1 + CO2 − VO1 < 0 λ2 = UE1 − R − CE1 + VE2 > 0 λ3 = PE − CG1 − SO + UG2 + VG2 > 0 | Saddle point |
| E5 (1, 1, 0) | λ1 = CG1 + SE − VG2 λ2 = CE1 − PE − SE − VE2 λ3 = R − CO2 − CO1 + SO + VO1 > 0 | Saddle point/unstable point |
| E6 (1, 0, 1) | λ1 = CO1 + CO2 − SO − VO1 λ2 = CG1 − PE + SO − UG2 − VG2 λ3 = PE − CE1 − R + SE + UE1 + VE2 | Saddle point/unstable point |
| E7 (0, 1, 1) | λ1 = CO1 + CO2 − R − VO1 < 0 λ2 = CE1 + R − UE1 − VE2 < 0 λ3 = UG2 − SE − SO − CG1 + VG2 > 0 | Saddle point |
| E8 (1, 1, 1) | λ1 = CG1 + SE + SO- UG2 − VG2 λ2 = CO1 + CO2 − R − SO − VO1 < 0 λ3 = CE1 − PE + R − SE − UE1 − VE2 | When UG2 + VG2 − CG1 > SE + SO and UE1 + VE2 − CE1 > R − PE − SE, Evolutionary Stable Strategy |
| Stakeholder | Key Findings | Optimization Paths/Recommendations |
|---|---|---|
| Government | Dual-threshold effects of regulation: Penalties beyond critical levels accelerate supplier transitions but reduce policy effectiveness. | Stepped dynamic subsidies: High intensity initially, phased reduction intermediately, minimized/withdrawn at maturity. |
| Subsidies require dynamic calibration to market maturity. | Intelligent regulation systems: Leverage big data to reduce CG1 and enhance efficiency. | |
| Strict regulation costs (CG1) and subsidies (SE, SO) most significantly impact their strategic decisions. | Set reasonable penalty levels (PE): Balance incentive effectiveness and regulatory cost sustainability. | |
| Energy Suppliers | Technological innovation by reducing incremental costs (CE1) creates positive market feedback. | Increase research and development investment: Reduce CE1 to ensure green energy supply reliability. |
| High sensitivity to government penalties (PE). | Optimize energy mix: Increase green energy supply share to meet regulatory/market demands. | |
| Government subsidies (SE) strongly incentivize green energy provision. | Offer owner incentives (R): Stimulate green energy adoption through concessions. | |
| Incremental costs (CE1) are the primary factor influencing strategic choices. | ||
| Owners | Short-term decisions: Primarily driven by economic incentives. | Collective purchasing/Long-term contracts: Reduce (CO1) through bulk procurement and negotiated concessions. |
| Long-term choices: Gradually influenced by environmental awareness under policy guidance. | Enhance environmental awareness: Decrease reliance on economic incentives over time. | |
| Incremental costs (CO1), government subsidies (SO), and supplier incentives (R) critically affect adoption decisions. | Utilize available incentives: Maximize benefits from SO and R to lower adoption barriers. |
Disclaimer/Publisher’s Note: The statements, opinions and data contained in all publications are solely those of the individual author(s) and contributor(s) and not of MDPI and/or the editor(s). MDPI and/or the editor(s) disclaim responsibility for any injury to people or property resulting from any ideas, methods, instructions or products referred to in the content. |
© 2025 by the authors. Licensee MDPI, Basel, Switzerland. This article is an open access article distributed under the terms and conditions of the Creative Commons Attribution (CC BY) license (https://creativecommons.org/licenses/by/4.0/).
Share and Cite
Yang, Y.; Yu, X.; Wang, B. Evolutionary Game Analysis of Multi-Agent Synergistic Incentives Driving Green Energy Market Expansion. Sustainability 2025, 17, 7002. https://doi.org/10.3390/su17157002
Yang Y, Yu X, Wang B. Evolutionary Game Analysis of Multi-Agent Synergistic Incentives Driving Green Energy Market Expansion. Sustainability. 2025; 17(15):7002. https://doi.org/10.3390/su17157002
Chicago/Turabian StyleYang, Yanping, Xuan Yu, and Bojun Wang. 2025. "Evolutionary Game Analysis of Multi-Agent Synergistic Incentives Driving Green Energy Market Expansion" Sustainability 17, no. 15: 7002. https://doi.org/10.3390/su17157002
APA StyleYang, Y., Yu, X., & Wang, B. (2025). Evolutionary Game Analysis of Multi-Agent Synergistic Incentives Driving Green Energy Market Expansion. Sustainability, 17(15), 7002. https://doi.org/10.3390/su17157002
