Pullout Behaviour of Snakeskin-Inspired Sustainable Geosynthetic Reinforcements in Sand: An Experimental Study
Abstract
1. Introduction
2. Tribological Properties and Surface Topography of Snake Ventral Scales
2.1. Snake Ventral Specimens
- A small, undamaged section of ventral scales with a smooth surface was carefully selected from the intact ventral region of the snake;
- The detached ventral scales were first rinsed with a saline solution to remove large impurities from their surface;
- The scales were then submerged in an ultrasonic cleaner to remove any fine impurities;
- Finally, the scales were left to air dry naturally before testing, as shown in Figure 1.
2.2. Methods to Assess Tribological Properties and Surface Topography
2.2.1. Friction Measurements
2.2.2. Surface Profiles
2.2.3. Microscopic Topography
2.3. Results of Frictional Properties and Surface Topography
3. Design and Materials of the Snakeskin-Inspired Geosynthetic Reinforcement
3.1. Design Model
3.2. Selection of 3D Printing Materials
4. Pullout Tests of the Snakeskin-Inspired Geosynthetic Reinforcement
4.1. Materials and Methods
4.1.1. Testing Soils
4.1.2. Snakeskin-Inspired Surface of SIGR
4.1.3. Test Apparatus
4.1.4. Pullout Test
4.1.5. Particle Image Velocimetry
4.2. Results
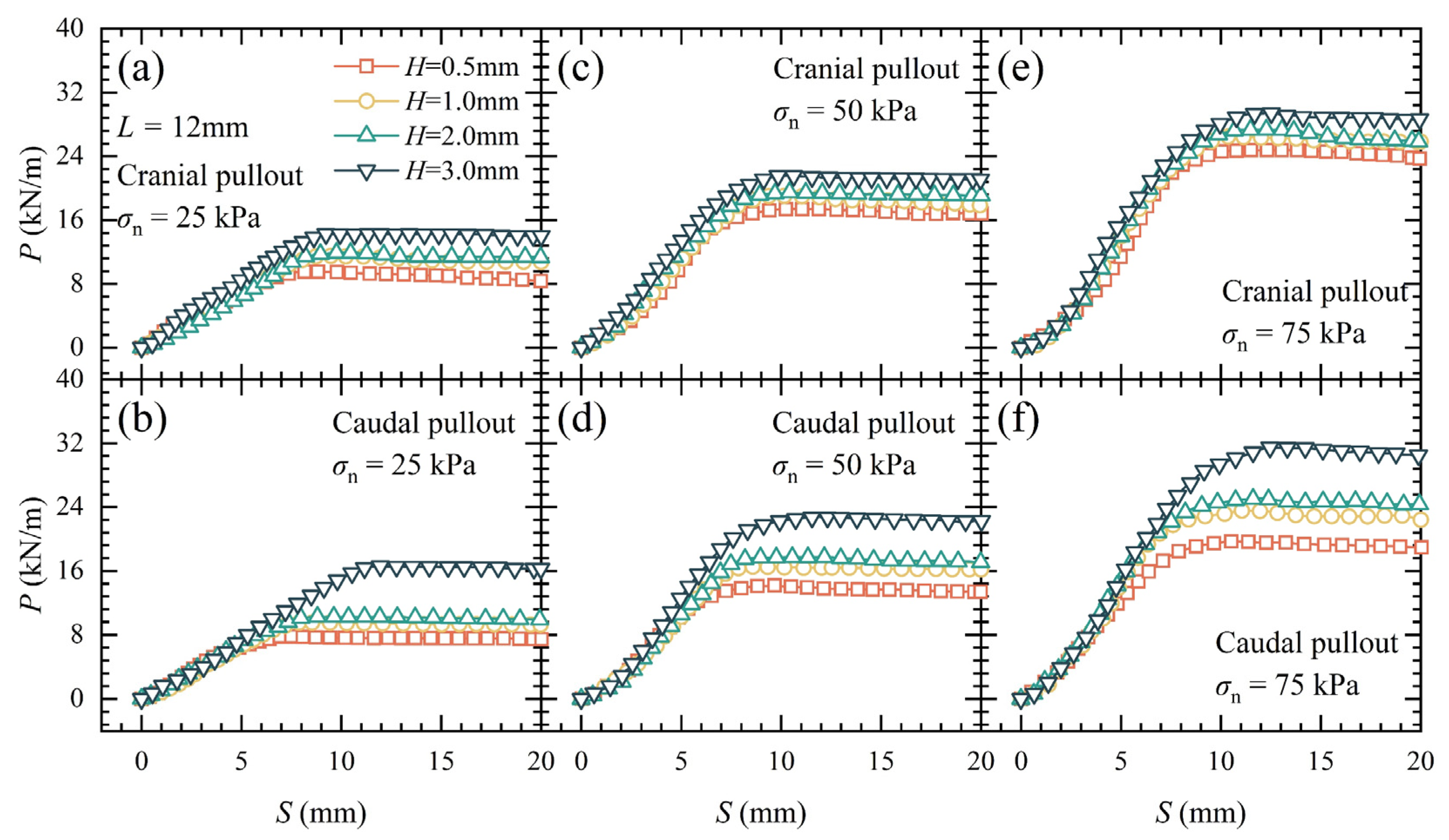
4.2.1. Pullout Force-Displacement Behavior
4.2.2. Interface Shear Strength Parameters of SIGR
4.2.3. Apparent Anisotropic Friction Coefficient at the Interface Between SIGR and Soil
4.2.4. PIV Analysis of Soil Deformations
4.3. Discussions
4.3.1. Influence of Scale Length to Height (L/H)
4.3.2. Quantitative Analysis of Strain-Softening Behavior
4.3.3. Relationship Between Pmax and As and Zs
5. Limitations and Future Work
6. Conclusions
- (1)
- Ventral scales of Ptyas dhumnades exhibited frictional anisotropy due to asymmetrical thorn-like micro-protrusions, which tilt upward towards the snake’s tail and are approximately 180 μm in height.
- (2)
- The interface properties of the SIGR revealed significant frictional anisotropy. Except for the SIGR with a scale height of 3 mm and length of 12 mm, pullout against the scales (i.e., cranial direction) consistently yielded larger pullout peak forces, cohesions, and friction angles compared to pullout along the scales (i.e., caudal direction).
- (3)
- The scale layout, height (H), and length (L) of SIGR markedly influenced the pullout behavior. Pullout force increases with H but decreases with L. SIGR with bilateral layout scales achieved higher pullout force compared to the SIGR with unilateral layout scales.
- (4)
- PIV confirmed cranial pullout mobilized larger soil volumes compared to caudal pullout. During the pullout process, SIGR formed a distinct wedge-shaped shear zone. SIGR enhances stability by engaging more soil mass to resist loads, and may improve load resistance in reinforced soil.
Author Contributions
Funding
Institutional Review Board Statement
Informed Consent Statement
Data Availability Statement
Conflicts of Interest
References
- Martinez, A.; Dejong, J.; Akin, I.; Aleali, A.; Arson, C.; Atkinson, J.; Bandini, P.; Baser, T.; Borela, R.; Boulanger, R.; et al. Bio-Inspired Geotechnical Engineering: Principles, Current Work, Opportunities and Challenges. Géotechnique 2022, 72, 687–705. [Google Scholar] [CrossRef]
- Naclerio, N.D.; Karsai, A.; Murray-Cooper, M.; Ozkan-Aydin, Y.; Aydin, E.; Goldman, D.I.; Hawkes, E.W. Controlling Subterranean Forces Enables a Fast, Steerable, Burrowing Soft Robot. Sci. Robot. 2021, 6, eabe2922. [Google Scholar] [CrossRef] [PubMed]
- Zhong, Y.; Huang, S.; Tao, J. “Julian” Minimalistic Horizontal Burrowing Robots. J. Geotech. Geoenviron. Eng. 2023, 149, 02823001. [Google Scholar] [CrossRef]
- Bagheri, H.; Stockwell, D.; Bethke, B.; Okwae, N.K.; Aukes, D.; Tao, J.; Marvi, H. A Bio-Inspired Helically Driven Self-Burrowing Robot. Acta Geotech. 2024, 19, 1435–1448. [Google Scholar] [CrossRef]
- Chopra, S.; Vasile, D.; Jadhav, S.; Tolley, M.T.; Gravish, N. Toward Robotic Sensing and Swimming in Granular Environments Using Underactuated Appendages. Adv. Intell. Syst. 2023, 5, 2200404. [Google Scholar] [CrossRef]
- Ortiz, D.; Gravish, N.; Tolley, M.T. Soft Robot Actuation Strategies for Locomotion in Granular Substrates. IEEE Robot. Autom. Lett. 2019, 4, 2630–2636. [Google Scholar] [CrossRef]
- Zhang, L.; Wang, L.; Sun, Q.; Badal, J.; Chen, Q. Multi-Objective Design Optimization of Clam-Inspired Drilling into the Lunar Regolith. Acta Geotech. 2024, 19, 1379–1396. [Google Scholar] [CrossRef]
- Tao, J.; Huang, S.; Tang, Y. SBOR: A Minimalistic Soft Self-Burrowing-out Robot Inspired by Razor Clams. Bioinspir. Biomim. 2020, 15, 055003. [Google Scholar] [CrossRef] [PubMed]
- Li, D.; Zhao, J.; Wu, Y.; Zhang, Y.; Liang, H. An Innovative Bionic Offshore Wind Foundation: Scaled Suction Caisson. Renew. Sust. Energ. Rev. 2024, 191, 114208. [Google Scholar] [CrossRef]
- Liang, H.; Li, D.; Wu, Y.; Zhang, Y. Numerical Investigation into the Yield Envelope of the Scaled Suction Caisson Subjected to Inclined Pull-out Loading in Fine Sand. Ocean Eng. 2024, 296, 116857. [Google Scholar] [CrossRef]
- Li, D.; Ma, Y.; Zhao, J. Response of Bioinspired Scale Arrangement in a Suction Caisson to Penetrating into Clay Reflected by Using Interface Direct Shear Tests. Appl. Ocean Res. 2025, 154, 104322. [Google Scholar] [CrossRef]
- Xiao, Y.; Cui, H.; Shi, J.; Qiao, W.; Stuedlein, A.W. Shear Response of Calcareous Sand-Steel Snake Skin-Inspired Interfaces. Acta Geotech. 2024, 19, 1517–1527. [Google Scholar] [CrossRef]
- Gayathri, V.L.; Vangla, P. Shear Behaviour of Snakeskin-Inspired Ribs and Soil Interfaces. Acta Geotech. 2024, 19, 1397–1419. [Google Scholar] [CrossRef]
- Martinez, A.; Palumbo, S.; Todd, B.D. Bioinspiration for Anisotropic Load Transfer at Soil–Structure Interfaces. J. Geotech. Geoenviron. Eng. 2019, 145, 04019074. [Google Scholar] [CrossRef]
- O’Hara, K.B.; Martinez, A. Monotonic and Cyclic Frictional Resistance Directionality in Snakeskin-Inspired Surfaces and Piles. J. Geotech. Geoenviron. Eng. 2020, 146, 04020116. [Google Scholar] [CrossRef]
- O’Hara, K.B.; Martinez, A. Direction-Dependent Failure Envelopes of Sand-Structure Interfaces with Snakeskin-Inspired Surfaces. Can. Geotech. J. 2024, 61, 2755–2773. [Google Scholar] [CrossRef]
- Zhong, W.; Liu, H.; Wang, Q.; Zhang, W.; Li, Y.; Ding, X.; Chen, L. Investigation of the Penetration Characteristics of Snake Skin-Inspired Pile Using DEM. Acta Geotech. 2021, 16, 1849–1865. [Google Scholar] [CrossRef]
- Zhang, X.; Ciantia, M.O.; Knappett, J.A.; Leung, A.K.; Liang, T. Particle Size Effects on the Axial Pull-out and Push-in Behaviour of Roots. Acta Geotech. 2024, 19, 1461–1476. [Google Scholar] [CrossRef]
- Houette, T.; Dibia, M.; Mahabadi, N.; King, H. Pullout Resistance of Biomimetic Root-Inspired Foundation Systems. Acta Geotech. 2024, 19, 1191–1210. [Google Scholar] [CrossRef]
- Aleali, S.A.; Bandini, P.; Newtson, C.M. Multifaceted Bioinspiration for Improving the Shaft Resistance of Deep Foundations. J. Bionic Eng. 2020, 17, 1059–1074. [Google Scholar] [CrossRef]
- Mondal, S.; Disfani, M.M.; Mehdizadeh, A. Behaviour of Bio-Inspired Grouped Battered Minipiles under Lateral Loading in Clay. Acta Geotech. 2024, 19, 1159–1178. [Google Scholar] [CrossRef]
- Schwarz, M.; Cohen, D.; Or, D. Root-Soil Mechanical Interactions during Pullout and Failure of Root Bundles. J. Geophys. Res. 2010, 115, F04035. [Google Scholar] [CrossRef]
- Zhu, J.; Leung, A.K.; Wang, Y. Modelling Root-Soil Mechanical Interaction Considering Root Pull-out and Breakage Failure Modes. Plant Soil 2022, 480, 675–701. [Google Scholar] [CrossRef]
- Martinez, A.; Zamora, F.; Wilson, D. Field Evaluation of the Installation and Pullout of Snakeskin-Inspired Anchorage Elements. J. Geotech. Geoenviron. Eng. 2024, 150, 04024068. [Google Scholar] [CrossRef]
- Stutz, H.H.; Martinez, A. Directionally Dependent Strength and Dilatancy Behavior of Soil–Structure Interfaces. Acta Geotech. 2021, 16, 2805–2820. [Google Scholar] [CrossRef]
- Uesugi, M.; Kishida, H.; Tsubakihara, Y. Behavior of Sand Particles in Sand-Steel Friction. Soils Found. 1988, 28, 107–118. [Google Scholar] [CrossRef]
- Dove, J.E.; Frost, J.D. Peak Friction Behavior of Smooth Geomembrane-Particle Interfaces. J. Geotech. Geoenviron. Eng. 1999, 125, 544–555. [Google Scholar] [CrossRef]
- Martinez, A.; Nguyen, D.; Basson, M.S.; Medina, J.; Irschick, D.J.; Baeckens, S. Quantifying Surface Topography of Biological Systems from 3D Scans. Methods Ecol. Evol. 2021, 12, 1265–1276. [Google Scholar] [CrossRef]
- O’Hara, K.B.; Martinez, A. Cyclic Axial Response and Stability of Snakeskin-Inspired Piles in Sand. Acta Geotech. 2024, 19, 1139–1158. [Google Scholar] [CrossRef]
- O’Hara, K.B.; Martinez, A. Load Transfer Directionality of Snakeskin-Inspired Piles during Installation and Pullout in Sands. J. Geotech. Geoenviron. Eng. 2022, 148, 04022110. [Google Scholar] [CrossRef]
- Liang, H.; Wu, Y.; Li, D.; Zhao, J. Model Tests on Penetration and Seepage Behaviors of a Scaled Suction Caisson in Sand. Appl. Ocean. Res. 2023, 140, 103751. [Google Scholar] [CrossRef]
- O’Hara, K.; Martinez, A. Cyclic Failure of Interfaces between Sand and Snakeskin-Inspired Surfaces. Géotech. Lett. 2024, 14, 46–56. [Google Scholar] [CrossRef]
- Vangla, P.; Wala, B.A.; Gayathri, V.L.; Frost, J.D. Snakeskin-Inspired Patterns for Frictional Anisotropic Behaviour of Split Set Rock Bolts. Géotech. Lett. 2022, 12, 95–100. [Google Scholar] [CrossRef]
- Sugimoto, M.; Alagiyawanna, A.M.N.; Kadoguchi, K. Influence of Rigid and Flexible Face on Geogrid Pullout Tests. Geotext. Geomembr. 2001, 19, 257–277. [Google Scholar] [CrossRef]
- Yang, S.; Gao, Y.; Leshchinsky, B.; Cui, K.; Zhang, F. Internal Stability Analysis of Reinforced Convex Highway Embankments Considering Seismic Loading. Geotext. Geomembr. 2020, 48, 221–229. [Google Scholar] [CrossRef]
- Hang, L.; Gao, Y.; He, J.; Li, C.; Zhou, Y.; Van Paassen, L.A. Pullout Behavior of Biocement–Geosynthetic Reinforcement System: A Parametric Study. Acta Geotech. 2022, 17, 5429–5439. [Google Scholar] [CrossRef]
- Gao, Y.; Hang, L.; He, J.; Zhang, F.; Van Paassen, L. Pullout Behavior of Geosynthetic Reinforcement in Biocemented Soils. Geotext. Geomembr. 2021, 49, 646–656. [Google Scholar] [CrossRef]
- Chen, X.; Zhang, J.; Li, Z. Shear Behaviour of a Geogrid-Reinforced Coarse-Grained Soil Based on Large-Scale Triaxial Tests. Geotext. Geomembr. 2014, 42, 312–328. [Google Scholar] [CrossRef]
- Alfaro, M.; Miura, N.; Bergado, D. Soil-Geogrid Reinforcement Interaction by Pullout and Direct Shear Tests. Geotech. Test. J. 1995, 18, 157–167. [Google Scholar] [CrossRef]
- Ferreira, J.A.Z.; Zornberg, J.G. A Transparent Pullout Testing Device for 3D Evaluation of Soil–Geogrid Interaction. Geotech. Test. J. 2015, 38, 686–707. [Google Scholar] [CrossRef]
- Liu, F.; Ying, M.; Yuan, G.; Wang, J.; Gao, Z.; Ni, J. Particle Shape Effects on the Cyclic Shear Behaviour of the Soil–Geogrid Interface. Geotext. Geomembr. 2021, 49, 991–1003. [Google Scholar] [CrossRef]
- Gao, Z.; Qian, T.; Jiang, J.; Hou, D.; Deng, X.; Yang, D. Species Diversity and Distribution of Amphibians and Reptiles in Hunan Province, China. Biodivers. Sci. 2022, 30, 21290. [Google Scholar] [CrossRef]
- Chen, P.; Xiang, X.; Shao, T.; La, Y.; Li, J. Effect of Triangular Texture on the Tribological Performance of Die Steel with TiN Coatings under Lubricated Sliding Condition. Appl. Surf. Sci. 2016, 389, 361–368. [Google Scholar] [CrossRef]
- Ballesteros, L.M.; Zuluaga, E.; Cuervo, P.; Rudas, J.S.; Toro, A. Tribological Behavior of Polymeric 3D-Printed Surfaces with Deterministic Patterns Inspired in Snake Skin Morphology. Surf. Topogr. Metrol. Prop. 2021, 9, 014002. [Google Scholar] [CrossRef]
- Baum, M.J.; Kovalev, A.E.; Michels, J.; Gorb, S.N. Anisotropic Friction of the Ventral Scales in the Snake Lampropeltis Getula Californiae. Tribol. Lett. 2014, 54, 139–150. [Google Scholar] [CrossRef]
- Stopar, K.; Drobne, D.; Eler, K.; Bartol, T. Citation Analysis and Mapping of Nanoscience and Nanotechnology: Identifying the Scope and Interdisciplinarity of Research. Scientometrics 2016, 106, 563–581. [Google Scholar] [CrossRef]
- Ates, B.; Sadoglu, E. A Quasi-2D Exploration of Optimum Design Settings for Geotextile-Reinforced Sand in Assistance with PIV Analysis of Failure Mechanism. Geotext. Geomembr. 2023, 51, 418–436. [Google Scholar] [CrossRef]
- Reshma, B.; Viswanadham, B.V.S.; Rajagopal, K. Centrifuge Modeling and Piv Analysis of Geogrid Reinforced Pile Supported Embankments over Soft Clay. Int. J. Geosynth. Ground Eng. 2024, 10, 62. [Google Scholar] [CrossRef]
- Mirzaeifar, H.; Hatami, K.; Abdi, M.R. Pullout Testing and Particle Image Velocimetry (PIV) Analysis of Geogrid Reinforcement Embedded in Granular Drainage Layers. Geotext. Geomembr. 2022, 50, 1083–1109. [Google Scholar] [CrossRef]
- Zuo, Z.; Hao, X.; Li, H.; Wang, W.; Yang, G.; Liu, Y. Experimental Investigations on the Tensile Mechanical Behavior of HDPE Geocell Strip. Sustainability 2023, 15, 7820. [Google Scholar] [CrossRef]
- Zheng, Z.; El Naggar, M.H.; Wang, J.; Yang, Q. Coupling Effect of Roughness and Normal Pressure on Mechanical Characteristics and Failure Mode of Deep-Sea Sediment Interface. Ocean. Eng. 2023, 267, 113255. [Google Scholar] [CrossRef]
- Wittbrodt, B.; Pearce, J.M. The Effects of PLA Color on Material Properties of 3-D Printed Components. Addit. Manuf. 2015, 8, 110–116. [Google Scholar] [CrossRef]
- Schindelin, J.; Rueden, C.T.; Hiner, M.C.; Eliceiri, K.W. The ImageJ Ecosystem: An Open Platform for Biomedical Image Analysis. Mol. Reprod. Dev. 2015, 82, 518–529. [Google Scholar] [CrossRef] [PubMed]
- Rauthause, M.P.; Stuedlein, A.W.; Olsen, M.J. Quantification of Surface Roughness Using Laser Scanning with Application to the Frictional Resistance of Sand-Timber Pile Interfaces. Geotech. Test. J. 2020, 43, 966–984. [Google Scholar] [CrossRef]
- Kou, H.; Diao, W.; Zhang, W.; Zheng, J.; Ni, P.; Jang, B.-A.; Wu, C. Experimental Study of Interface Shearing between Calcareous Sand and Steel Plate Considering Surface Roughness and Particle Size. Appl. Ocean Res. 2021, 107, 102490. [Google Scholar] [CrossRef]
























| Characteristic | Specific Gravity, Gs | Mean Particle Size (mm) | Uniformity Coefficient, Cu | Coefficient of Curvature, Cc | Maximum Void Ratio | Minimum Void Ratio | Internal Friction Angle, Φ (°) |
|---|---|---|---|---|---|---|---|
| Value | 2.65 | 0.82 | 6.59 | 1.72 | 0.704 | 0.368 | 30 |
| Test ID | Parameter | Layout Types | Scale Height, H (mm) | Scale Length, L (mm) | Scale Geometry Ratio, L/H | Average Surface Roughness, Ra (mm) |
|---|---|---|---|---|---|---|
| #1 | — | — | 0 | 0 | 0 | 0 |
| #2 | H | Unilateral | 0.50 | 12.00 | 24 | 0.25 |
| #3 | 1.00 | 12 | 0.50 | |||
| #4 | 2.00 | 6 | 1.00 | |||
| #5 | 3.00 | 4 | 1.50 | |||
| #6 | L | Unilateral | 1 | 6 | 6 | 0.50 |
| #7 | 18 | 18 | ||||
| #8 | 24 | 24 | ||||
| #9 | Layout types | Bilateral | 1 | 12 | 12 | 0.50 |
Disclaimer/Publisher’s Note: The statements, opinions and data contained in all publications are solely those of the individual author(s) and contributor(s) and not of MDPI and/or the editor(s). MDPI and/or the editor(s) disclaim responsibility for any injury to people or property resulting from any ideas, methods, instructions or products referred to in the content. |
© 2025 by the authors. Licensee MDPI, Basel, Switzerland. This article is an open access article distributed under the terms and conditions of the Creative Commons Attribution (CC BY) license (https://creativecommons.org/licenses/by/4.0/).
Share and Cite
Huang, X.; Yan, F.; He, J. Pullout Behaviour of Snakeskin-Inspired Sustainable Geosynthetic Reinforcements in Sand: An Experimental Study. Sustainability 2025, 17, 6502. https://doi.org/10.3390/su17146502
Huang X, Yan F, He J. Pullout Behaviour of Snakeskin-Inspired Sustainable Geosynthetic Reinforcements in Sand: An Experimental Study. Sustainability. 2025; 17(14):6502. https://doi.org/10.3390/su17146502
Chicago/Turabian StyleHuang, Xin, Fengyuan Yan, and Jia He. 2025. "Pullout Behaviour of Snakeskin-Inspired Sustainable Geosynthetic Reinforcements in Sand: An Experimental Study" Sustainability 17, no. 14: 6502. https://doi.org/10.3390/su17146502
APA StyleHuang, X., Yan, F., & He, J. (2025). Pullout Behaviour of Snakeskin-Inspired Sustainable Geosynthetic Reinforcements in Sand: An Experimental Study. Sustainability, 17(14), 6502. https://doi.org/10.3390/su17146502

