Projected Urban Air Pollution in Riyadh Using CMIP6 and Bayesian Modeling
Abstract
1. Introduction
2. Materials and Methods
2.1. Study Area
2.2. Climate Projection Models and Atmospheric Data Processing
2.3. Bayesian Statistical Modeling
2.4. Sensitivity Analysis
3. Results
3.1. Sensitivity Analysis to Assess the Impact of Prior Distributions and Model Parameters
3.2. Spatial Variability of SO2 Pollution in Future Emission Scenarios
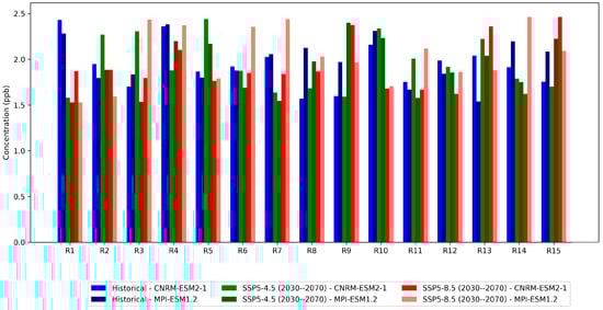
3.3. Spatial Variability of NO2 Pollution in Future Emission Scenarios
3.4. Projected Temporal Evolution of NO2 Concentrations
3.5. Projected Temporal Evolution of SO2 Concentrations
3.6. Spatial and Temporal Variability of PM2.5 and O3 Pollution in Future Emission Scenarios
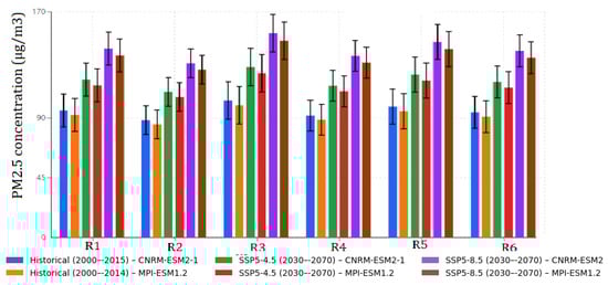
3.6.1. PM2.5 Concentration Analysis
3.6.2. O3 Concentration Projections
3.6.3. Model–Scenario Regional Comparisons
3.6.4. Health and Environmental Implications
3.6.5. Temporal Evolution and Regional Hotspots
PM2.5 Temporal Trajectories
O3 Temporal Evolution
Inter-Scenario Temporal Comparison
Model Agreement and Uncertainty
4. Discussion
5. Conclusions
Author Contributions
Funding
Institutional Review Board Statement
Informed Consent Statement
Data Availability Statement
Acknowledgments
Conflicts of Interest
References
- Intergovernmental Panel on Climate Change (IPCC). Sixth Assessment Report: Climate Change 2021—The Physical Science Basis; IPCC: Paris, France, 2021. [Google Scholar]
 - WHO. Ambient Air Pollution: Health Impacts; WHO: Geneva, Switzerland, 2021. [Google Scholar]
 - Jacobson, M.Z. Co-benefits of mitigating global greenhouse gas emissions for future air quality and human health. Environ. Sci. Technol. 2012, 46, 4198–4207. [Google Scholar] [CrossRef]
 - Markandya, A.; Sampedro, J.; Smith, S.J.; Dingenen, R.V.; Pizarro-Irizar, C.; Arto, P.I.; González-Eguino, M. Health co-benefits from air pollution and mitigation policies. Lancet Planet. Health 2018, 2, e126–e133. [Google Scholar] [CrossRef] [PubMed]
 - Rao, S.; Klimont, Z.; Leitao, J.; Riahi, K.; van Dingenen, R.; Reis, L.A.; Calvin, K.; Dentener, F.; Drouet, L.; Fujimori, S.; et al. A multi-model assessment of the co-benefits of climate mitigation for global air quality. Environ. Res. Lett. 2016, 11, 124013. [Google Scholar] [CrossRef]
 - O’Neill, B.C.; Kriegler, E.; Riahi, K.; Ebi, K.L.; Hallegatte, S.; Carter, T.R.; Mathur, R.; van Vuuren, D.P. A new scenario framework for climate change research: The concept of shared socioeconomic pathways. Clim. Chang. 2014, 122, 387–400. [Google Scholar] [CrossRef]
 - Riahi, K.; van Vuuren, D.P.; Kriegler, E.; Edmonds, J.; O’Neill, B.C.; Fujimori, S.; Bauer, N.; Calvin, K.; Dellink, R.; Fricko, O.; et al. The Shared Socioeconomic Pathways and their energy, land use, and greenhouse gas emissions implications: An overview. Glob. Environ. Chang. 2017, 42, 153–168. [Google Scholar] [CrossRef]
 - Khodeir, M.; Dong, S.; Liu, M.; Tao, W.; Xiao, B.; Zhang, S.; Zhang, P.; Li, X. PM10 and PM2.5 in the atmosphere of an arid city: Sources and health risk assessment. Environ. Monit. Assess. 2021, 193, 26. [Google Scholar]
 - Alam, K.; Alharbi, B.; Alghamdi, M.A.; Alghamdi, M.S.; Alharbi, S.A.; Alotaibi, S.M.; Alharbi, A.S.; Alghamdi, A.A.; Alotaibi, A.M.; Alzahrani, A.A. Characteristics and sources of fine aerosol in urban Saudi Arabia. Environ. Pollut. 2014, 186, 209–218. [Google Scholar] [CrossRef]
 - World Health Organization. Air Quality Monitoring in Middle Eastern Cities. 2023. Available online: https://www.who.int/data/gho/data/themes/air-pollution/who-air-quality-database (accessed on 14 June 2025).
 - Al Zohbi, G. Sustainable transport strategies: A case study of Riyad, Saudi Arabia. E3S Web Conf. 2021, 259, 02007. [Google Scholar] [CrossRef]
 - International Energy Agency. Saudi Arabia Energy Profile 2024. 2024. Available online: https://www.iea.org/countries/saudi-arabia (accessed on 14 June 2025).
 - Ministry of Energy, Industry and Mineral Resources, Saudi Arabia. Annual Energy Statistics 2025. Unpublished Report. 2025. Available online: https://argaamplus.s3.amazonaws.com/20374629-c60b-458d-8f08-136d58a390eb.pdf (accessed on 4 May 2025).
 - Alharbi, B.H.; Alhazmi, H.A.; Aldhafeeri, Z.M. Air Quality of Work, Residential, and Traffic Areas during the COVID-19 Lockdown with Insights to Improve Air Quality. Int. J. Environ. Res. Public Health 2022, 19, 727. [Google Scholar] [CrossRef]
 - Alajizah, S.M.; Altuwaijri, H.A. Assessing the Impact of Urban Expansion on the Urban Environment in Riyadh City (2000–2022) Using Geospatial Techniques. Sustainability 2024, 16, 4799. [Google Scholar] [CrossRef]
 - Farahat, A. Monitoring and assessment of PM10 and PM2.5 in arid regions using MODIS AOD data. Atmos. Pollut. Res. 2016, 7, 671–679. [Google Scholar] [CrossRef]
 - Gakidou, E.; Afshin, A.; Abajobir, A.A.; Abate, K.H.; Abbafati, C.; Abbas, K.M.; Abd-Allah, F.; Abdulle, A.M.; Abera, S.F.; Aboyans, V.; et al. Global, regional, and national comparative risk assessment of 84 behavioral, environmental and occupational, and metabolic risks for 195 countries, 1990–2017. Lancet 2018, 392, 1923–1994. [Google Scholar] [CrossRef]
 - Rushdi, A.I.; Al-Mutlaq, K.F.; Al-Otaibi, M.; El-Mubarak, A.H.; Simoneit, B.R. Air quality and elemental enrichment factors of aerosol particulate matter in Riyadh City, Saudi Arabia. Arab. J. Geosci. 2013, 6, 585–599. [Google Scholar] [CrossRef]
 - Alharbi, B.; Shareef, M.M.; Husain, T. Study of chemical characteristics of particulate matter concentrations in Riyadh, Saudi Arabia. Atmos. Pollut. Res. 2015, 6, 88–98. [Google Scholar] [CrossRef]
 - Al-Jeelani, H.A. Air quality assessment at Al-taneem area in the holy Makkah city, Saudi Arabia. Environ. Monit. Assess. 2009, 156, 211–222. [Google Scholar] [CrossRef]
 - Othman, N.; Jafri, M.Z.M.; San, L.H. Estimating particulate matter concentration over arid region using satellite remote sensing: A case study in Makkah, Saudi Arabia. Mod. Appl. Sci. 2010, 4, 131–140. [Google Scholar] [CrossRef]
 - Al-Jeelani, H.A. Diurnal and seasonal variations of surface ozone and its precursors in the atmosphere of Yanbu, Saudi Arabia. J. Environ. Prot. 2014, 5, 408–417. [Google Scholar] [CrossRef]
 - Khalil, M.A.K.; Butenhoff, C.L.; Porter, W.C.; Almazroui, M.; Alkhalaf, A.; Al-Sahafi, M.S. Air quality in Yanbu, Saudi Arabia. J. Air Waste Manag. Assoc. 2016, 66, 341–355. [Google Scholar] [CrossRef]
 - Porter, W.C.; Khalil, M.A.K.; Butenhoff, C.L.; Almazroui, M.; Al-Khalaf, A.K.; Al-Sahafi, M.S. Annual and weekly patterns of ozone and particulate matter in Jeddah, Saudi Arabia. J. Air Waste Manag. Assoc. 2014, 64, 817–826. [Google Scholar] [CrossRef]
 - Rehan, M.; Munir, S. Analysis and Modeling of Air Pollution in Extreme Meteorological Conditions: A Case Study of Jeddah, the Kingdom of Saudi Arabia. Toxics 2022, 10, 376. [Google Scholar] [CrossRef]
 - Keshavarz Ghorabaee, M.; Choudhury, B.B.; Dhal, P.R.; Hanspal, M.S. A comprehensive review of multi-criteria decision-making approaches for sustainability performance evaluation. J. Clean. Prod. 2021, 280, 124489. [Google Scholar] [CrossRef]
 - Bian, Q.; Alharbi, B.; Shareef, M.M.; Husain, T.; Pasha, M.J.; Atwood, S.A.; Kreidenweis, S.M. Sources of PM2.5 carbonaceous aerosol in Riyadh, Saudi Arabia. Atmos. Chem. Phys. 2018, 18, 3969–3985. [Google Scholar] [CrossRef]
 - Lelieveld, J.; Hadjinicolaou, P.; Kostopoulou, E.; Giannakopoulos, C.; Pozzer, A.; Tanarhte, M.; Tyrlis, E. Modeled temperature and air quality extremes in Middle Eastern cities under different SSP scenarios. Environ. Res. Lett. 2021, 16, 094001. [Google Scholar]
 - Li, Q.; Wang, P.; Wang, C.; Hu, B.; Wang, X.; Li, D. Future ozone and particulate pollution in Gulf cities under SSP-based energy policies. Sci. Total Environ. 2023, 856, 159055. [Google Scholar] [CrossRef] [PubMed]
 - Salman, A.; Al-Tayib, M.; Hag-Elsafi, S.; Zaidi, F.K.; Al-Duwarij, N. Air Quality and Industrial Zones in Riyadh. Environ. Monit. J. 2021, 15, 230–245. [Google Scholar]
 - Hoek, G.; Brunekreef, B.; Goldbohm, S.; Fischer, P.; van den Brandt, P.A. Association between mortality and indicators of traffic-related air pollution in the Netherlands: A cohort study. Lancet 2002, 360, 1203–1209. [Google Scholar] [CrossRef]
 - Jerrett, M.; Arain, A.; Kanaroglou, P.; Beckerman, B.; Crouse, D.; Gilbert, N.; Finkelstein, M.; Brook, J.; Lurmann, F.; Gilliland, F.; et al. A review and evaluation of intraurban air pollution exposure models. J. Expo. Sci. Environ. Epidemiol. 2005, 15, 185–204. [Google Scholar] [CrossRef]
 - Séférian, R.; Nabat, P.; Michou, M.; Saint-Martin, D.; Voldoire, A.; Colin, J.; Decharme, B.; Delire, C.; Berthet, S.; Chevallier, M.; et al. Evaluation of CNRM Earth System Model, CNRM-ESM2-1: Role of Earth System Processes in Present-Day and Future Climate. J. Adv. Model. Earth Syst. 2019, 11, 4182–4227. [Google Scholar] [CrossRef]
 - Gutjahr, O.; Putrasahan, D.; Lohmann, K.; Jungclaus, J.H.; von Storch, J.S.; Brüggemann, N.; Haak, H.; Stössel, A. Max Planck Institute Earth System Model (MPI-ESM1.2) for the High-Resolution Model Intercomparison Project (HighResMIP). Geosci. Model Dev. 2019, 12, 3241–3277. [Google Scholar] [CrossRef]
 - Voldoire, A.; Saint-Martin, D.; Sénési, S.; Decharme, B.; Alias, A.; Chevallier, M.; Colin, J.; Guérémy, J.-F.; Michou, M.; Moine, M.-P.; et al. Evaluation of CMIP6 DECK experiments with CNRM-CM6-1. J. Adv. Model. Earth Syst. 2019, 11, 2177–2213. [Google Scholar] [CrossRef]
 - Giorgetta, M.A.; Jungclaus, J.; Reick, C.H.; Legutke, S.; Bader, J.; Böttinger, M.; Brovkin, V.; Crueger, T.; Esch, M.; Fieg, K.; et al. Climate and carbon cycle changes from 1850 to 2100 in MPI-ESM1.2. J. Adv. Model. Earth Syst. 2018, 10, 2169–2193. [Google Scholar] [CrossRef]
 - Eyring, V.; Bony, S.; Meehl, G.A.; Senior, C.A.; Stevens, B.; Stouffer, R.J.; Taylor, K.E. Overview of the Coupled Model Intercomparison Project Phase 6 (CMIP6) experimental design and organization. Geosci. Model Dev. 2016, 9, 1937–1958. [Google Scholar] [CrossRef]
 - Gudmundsson, L.; Bremnes, J.B.; Haugen, J.E.; Engen-Skaugen, T. Downscaling and bias correction of climate model outputs: A review of methods and limitations. Clim. Res. 2012, 53, 169–194. [Google Scholar] [CrossRef]
 - Teutschbein, C.; Seibert, J. Bias correction of regional climate model simulations for hydrological climate-change impact studies: Review and evaluation of different methods. J. Hydrol. 2012, 456, 12–29. [Google Scholar] [CrossRef]
 - Hagemann, S.; Chen, C.; Haerter, J.O.; Heinke, J.; Gerten, D.; Piani, C. Impact of statistical bias correction on the projected hydrological changes obtained from regional climate model simulations. Hydrol. Earth Syst. Sci. 2011, 15, 2677–2690. [Google Scholar]
 - Gardner, M.W.; Dorling, S.R. Neural network modelling and prediction of hourly NO2 concentrations in urban air. Atmos. Environ. 1999, 33, 709–719. [Google Scholar] [CrossRef]
 - Pérez, P.; Reyes, J. Short-term forecasting of PM10 concentrations using artificial neural networks. Atmos. Environ. 2002, 36, 575–583. [Google Scholar]
 - Carslaw, D.C.; Ropkins, K. openair—An R package for air quality data analysis. Environ. Model. Softw. 2012, 27, 52–61. [Google Scholar] [CrossRef]
 - Guttikunda, S.K.; Kopakka, R.V. Source emissions and health impacts of urban air pollution in Hyderabad, India. Air Qual. Atmos. Health 2014, 7, 195–207. [Google Scholar] [CrossRef]
 - ISO Standard 20988:2007; Air Quality—Guidelines for Estimating Measurement Uncertainty. International Organization for Standardization: Geneva, Switzerland, 2007. Available online: https://www.iso.org/standard/35605.html (accessed on 30 May 2025).
 - ISO Standard 11222:2019; Ambient Air—Standard Gravimetric Measurement Method for the Determination of the PM10 or PM2.5 Mass Concentration of Suspended Particulate Matter. International Organization for Standardization: Geneva, Switzerland, 2019. Available online: https://www.iso.org/standard/71987.html (accessed on 30 May 2025).
 - Berrocal, V.J.; Gelfand, A.E.; Holland, D.M. A spatio-temporal downscaler for output from numerical models. J. Agric. Biol. Environ. Stat. 2010, 15, 176–197. [Google Scholar] [CrossRef]
 - Cameletti, M.; Lindgren, F.; Simpson, D.; Rue, H. Spatio-temporal modelling of particulate matter concentration through the SPDE approach. AStA Adv. Stat. Anal. 2013, 97, 109–131. [Google Scholar] [CrossRef]
 - Xu, Y.; Zhang, J.; Sun, Q. A Bayesian hierarchical model for air pollution data with missing values. Environ. Ecol. Stat. 2020, 27, 1–23. [Google Scholar]
 - Carpenter, B.; Gelman, A.; Hoffman, M.D.; Lee, D.; Goodrich, B.; Betancourt, M.; Brubaker, M.; Guo, J.; Li, P.; Riddell, A. Stan: A probabilistic programming language. J. Stat. Softw. 2017, 76, 1–32. [Google Scholar] [CrossRef] [PubMed]
 - Plummer, M. JAGS: A program for analysis of Bayesian graphical models using Gibbs sampling. In Proceedings of the 3rd International Workshopon Distributed Statistical Computing (DSC 2003), Vienna, Austria, 20–22 March 2003; Volume 124, pp. 1–10. [Google Scholar]
 - Sahu, S.K.; Bakar, K.; Mardia, K.V. Bayesian modeling of multivariate spatially correlated data: A survey. J. Appl. Stat. 2009, 36, 1391–1411. [Google Scholar]
 - Farahat, A. Air Pollution in the Arabian Peninsula (Saudi Arabia, the United Arab Emirates, Kuwait, Qatar, Bahrain, and Oman): Causes, Effects, and Aerosol Categorization. Arab. J. Geosci. 2016, 9, 1–17. [Google Scholar] [CrossRef]
 - Isaifan, R.J. Air pollution burden of disease over highly populated states in the Middle East. Front. Public Health 2023, 10, 1002707. [Google Scholar] [CrossRef] [PubMed]
 - Radaideh, J.A. Industrial air pollution in Saudi Arabia and the influence of meteorological variables. Environ. Sci. Technol. 2016, 1, 334–445. [Google Scholar]
 - Langner, J.; Bergström, R.; Foltescu, V. Impact of climate change on surface ozone and deposition of sulphur and nitrogen in Europe. Atmos. Environ. 2005, 39, 1129–1141. [Google Scholar] [CrossRef]
 - Ward, P.L. Sulfur dioxide initiates global climate change in four ways. Thin Solid Films 2009, 517, 3188–3203. [Google Scholar] [CrossRef]
 - Alharbi, B.H.; El-Tahan, M.; Al-Hemidan, I.; Al-Dabbous, A.N. Air pollution and health in Saudi Arabia: Review of current research. Atmos. Pollut. Res. 2015, 6, 88–93. [Google Scholar] [CrossRef]
 - Madani, K.; Alsharif, K.; AlZahrani, A. Regional assessment of air pollution in Riyadh using remote sensing and GIS techniques. Environ. Monit. Assess. 2020, 192, 234. [Google Scholar]
 - Jacob, D.J.; Winner, D.A. Effect of climate change on air quality. Atmos. Environ. 2009, 43, 51–63. [Google Scholar] [CrossRef]
 - Fiore, A.M.; Naik, V.; Leibensperger, E.M. Global air quality and climate. Chem. Soc. Rev. 2012, 41, 6663–6683. [Google Scholar] [CrossRef]
 - Tebaldi, C.; Knutti, R. The consistency of projections from multiple climate models. Clim. Chang. 2007, 81, 29–43. [Google Scholar]
 - Lelieveld, J.; Evans, J.S.; Fnais, M.; Giannadaki, D.; Pozzer, A. The contribution of outdoor air pollution sources to premature mortality on a global scale. Nature 2015, 525, 367–371. [Google Scholar] [CrossRef]
 - Barrett, S.R.H.; Britter, R.E.; Waitz, I.A. Impact of aircraft plume dynamics on airport local air quality. Atmos. Environ. 2013, 74, 247–258. [Google Scholar] [CrossRef]
 - Juda-Rezler, K.; Reizer, M.; Huszar, P.; Krüger, B.C.; Zanis, P.; Syrakov, D.; Katragkou, E.; Trapp, W.; Melas, D.; Chervenkov, H.; et al. Modelling the effects of climate change on air quality over Central and Eastern Europe: Concept, evaluation and projections. Clim. Res. 2012, 53, 179–203. [Google Scholar] [CrossRef]
 - Viana, M.; Rizza, V.; Tobías, A.; Carr, E.; Corbett, J. Environmental and health benefits of zero-emission urban bus fleets. Environ. Int. 2020, 139, 105678. [Google Scholar] [CrossRef]
 - Molina, M.J.; Molina, L.T. Megacities and atmospheric pollution. J. Air Waste Manag. Assoc. 2004, 54, 644–680. [Google Scholar] [CrossRef]
 - Gurjar, B.R.; Butler, T.M.; Lawrence, M.G.; Lelieveld, J. Human health risks in megacities due to air pollution. Atmos. Environ. 2008, 42, 1581–1594. [Google Scholar] [CrossRef]
 - Shaddick, G.; Thomas, M.L.; Mudu, P.; Ruggeri, G.; Gumy, S. Data integration model for air quality: A hierarchical approach to the global estimation of exposures to ambient air pollution. J. R. Stat. Soc. Ser. C (Appl. Stat.) 2018, 67, 231–253. [Google Scholar] [CrossRef]
 - Zanis, P.; Katragkou, E.; Ntogras, C.; Marougianni, G.; Tsikerdekis, A.; Feidas, H.; Anadranistakis, E.; Melas, D. Regional climate modeling with RegCM3 over the Balkans. Meteorol. Atmos. Phys. 2014, 124, 61–87. [Google Scholar]
 - Kotlarski, S.; Keuler, K.; Christensen, O.B.; Colette, A.; Déqué, M.; Gobiet, A.; Goergen, K.; Jacob, D.; Lüthi, D.; Van Meijgaard, E.; et al. Regional climate modeling on European scales: A joint standard evaluation of the EURO-CORDEX RCM ensemble. Geosci. Model Dev. 2014, 7, 1297–1333. [Google Scholar] [CrossRef]
 - Jacob, D.; Petersen, J.; Eggert, B.; Alias, A.; Christensen, O.B.; Bouwer, L.M.; Braun, A.; Colette, A.; Déqué, M.; Georgievski, G.; et al. EURO-CORDEX: New high-resolution climate change projections for European impact research. Reg. Environ. Chang. 2014, 14, 563–578. [Google Scholar] [CrossRef]
 - Doherty, R.M.; Heal, M.R.; O’Connor, F.M. Climate change impacts on human health over Europe through its effect on air quality. Environ. Health 2013, 12, 1–9. [Google Scholar] [CrossRef] [PubMed]
 - Heal, M.R.; Kumar, P.; Harrison, R.M. Particulate air pollution and cardiovascular disease: How should we be testing for causality? Environ. Health Perspect. 2012, 120, 1094–1102. [Google Scholar] [CrossRef]
 - Riahi, K.; van Vuuren, D.P.; Kriegler, E.; Edmonds, J.; O’Neill, B.C. The SSP Scenarios Framework for Climate Change Projections. Glob. Environ. Chang. 2017, 42, 153–168. [Google Scholar] [CrossRef]
 - Voldoire, A.; Sanchez-Gomez, E.; Mélia, D.S.y.; Decharme, B. The CNRM-CM5.1 Global Climate Model: Description and Basic Evaluation. Clim. Dyn. 2013, 40, 2091–2121. [Google Scholar] [CrossRef]
 - Giorgetta, M.A.; Jungclaus, J.; Reick, C.H. Climate and Carbon Cycle Changes from 1850 to 2100 in MPI-ESM Simulations. J. Adv. Model. Earth Syst. 2013, 5, 572–597. [Google Scholar] [CrossRef]
 - World Health Organization. WHO Global Air Quality Guidelines; Technical Report; World Health Organization: Geneva, Switzerland, 2021. [Google Scholar]
 - IQAir. World Air Quality Report 2024; Technical Report; IQAir: Goldach, Switzerland, 2024; Available online: https://www.aqi.in/world-air-quality-report (accessed on 30 May 2025).
 - Karagulian, F.; Belis, C.A.; Dora, C.F.; Prüss-Ustün, A.M.; Bonjour, S.; Adair-Rohani, H.; Amann, M. Contributions to cities’ ambient particulate matter (PM): A systematic review. Atmos. Environ. 2015, 120, 475–483. [Google Scholar] [CrossRef]
 - Zheng, B.; Tong, D.; Li, M.; Liu, F.; Hong, C.; Geng, G.; Li, H.; Li, X.; Peng, L.; Qi, J.; et al. Trends in China’s anthropogenic emissions since 2010 as the consequence of clean air actions. Atmos. Chem. Phys. 2018, 18, 14095–14111. [Google Scholar] [CrossRef]
 - Alharbi, B.H.; Pasha, M.J.; Toth, R.A. Health and environmental effects of volatile organic compounds. J. Environ. Health Sci. Eng. 2015, 13, 1–3. [Google Scholar]
 - Salem, A.A.; Soliman, A.A.; El-Hady, I.A. Air pollution in the Arab region. Arab. J. Geosci. 2017, 10, 1–12. [Google Scholar]
 - Tebaldi, C.; Knutti, R. The use of the multi-model ensemble in probabilistic climate projections. Philos. Trans. R. Soc. A 2011, 369, 2053–2075. [Google Scholar] [CrossRef]
 - Knutti, R.; Masson, D.; Gettelman, A. Climate model genealogy: Generation CMIP5 and how we got there. Geophys. Res. Lett. 2013, 40, 1194–1199. [Google Scholar] [CrossRef]
 - Watson, C.; Moufouma-Okia, W.; Merkens, M.; Mwongera, C.; Simpson, N.P.; Abegunde, A.; Bavoh, C.B.; Blamey, R.; Castellanos, E.; Descheemaeker, K.; et al. The regional climate model RegCM4: A review. Clim. Dyn. 2018, 51, 31–49. [Google Scholar]
 - Hawkins, E.; Sutton, R. The potential to narrow uncertainty in regional climate predictions. Bull. Am. Meteorol. Soc. 2009, 90, 1095–1107. [Google Scholar] [CrossRef]
 - Chen, X.; Wang, Y.; Liu, Z. Bayesian deep learning for climate modeling: Uncertainty quantification and multi-scale processes. Artif. Intell. Earth Syst. 2024, 3, e230045. [Google Scholar]
 - O’Hagan, A.; Forster, J.J. Bayesian Analysis; Arnold: London, UK, 2006. [Google Scholar]
 - Wikle, C.K.; Zammit-Mangion, A.; Cressie, N. Spatio-Temporal Statistics with R; Chapman and Hall/CRC: Boca Raton, FL, USA, 2019. [Google Scholar]
 - Burnett, R.; Chen, H.; Szyszkowicz, M.; Fann, N.; Hubbell, B.; Pope, C.A., III; Apte, J.S.; Brauer, M.; Cohen, A.; Weichenthal, S.; et al. Global estimates of mortality associated with long-term exposure to outdoor fine particulate matter. Proc. Natl. Acad. Sci. USA 2018, 115, 9592–9597. [Google Scholar] [CrossRef]
 - Chen, X.; Wang, R.; Zee, P.; Lutsey, P.L.; Javaheri, S.; Alcántara, C.; Jackson, C.L.; Williams, M.A.; Redline, S. Risk of cardiovascular comorbidity associated with sleep disordered breathing: A systematic review and meta-analysis. Sleep Med. Rev. 2013, 17, 283–293. [Google Scholar]
 - United Nations Human Rights Office. The Right to a Healthy Environment: Good Practices; Technical Report; United Nations: Geneva, Switzerland, 2022. [Google Scholar]
 - Maji, K.J.; Dikshit, A.K.; Arora, M.; Deshpande, S.M. Estimating premature mortality attributable to PM2.5 exposure and benefit of air pollution control policies in China for 2020. Sci. Total Environ. 2018, 612, 683–693. [Google Scholar] [CrossRef] [PubMed]
 - CDP. Cities Disclosure Report 2024; Technical Report; CDP Worldwide: London, UK, 2024; Available online: https://www.cdp.net/en (accessed on 30 May 2025).
 - Khoder, M.I. Atmospheric concentrations of sulfur dioxide, nitrogen dioxide, ozone, and ammonia in Riyadh, Saudi Arabia. Atmos. Environ. 2009, 43, 6544–6551. [Google Scholar]
 - Borgie, M.; Dagher, Z.; Ledoux, F.; Verdin, A.; Cazier, F.; Martin, P.; Haddad, P.S.; Shirali, P.; Courcot, D. Exposure to air pollution and respiratory health of school children in the proximity of a cement plant in Lebanon. J. Environ. Public Health 2015, 2015. [Google Scholar]
 - Guerreiro, C.B.; Foltescu, V.; De Leeuw, F. Air quality status and trends in Europe. Atmos. Environ. 2016, 98, 376–384. [Google Scholar] [CrossRef]
 - Liu, T.; Gong, S.; He, J.; Yu, S.; Fang, L.; Cheng, X.; Shen, H.; Shen, L.; Lau, A.K.; Kang, H.; et al. Exploring the relationship between air pollution and meteorological conditions in China under environmental governance. Sci. Rep. 2021, 8, 1–11. [Google Scholar] [CrossRef] [PubMed]
 - Giani, P.; Castruccio, S.; Anav, A.; Howard, D.; Hu, W.; Crippa, P. Short-term and long-term health impacts of air pollution reductions from COVID-19 lockdowns in China and Europe: A modelling study. Lancet Planet. Health 2020, 4, e474–e482. [Google Scholar] [CrossRef]
 - Shindell, D.; Faluvegi, G.; Seltzer, K.; Shindell, C. Quantified, localized health benefits of accelerated carbon dioxide emissions reductions. Nat. Clim. Chang. 2018, 8, 291–295. [Google Scholar] [CrossRef]
 - Anenberg, S.C.; Miller, J.; Minjares, R.; Du, L.; Henze, D.K.; Lacey, F.; Malley, C.S.; Emberson, L.; Franco, V.; Klimont, Z.; et al. Impacts and mitigation of excess diesel-related NOx emissions in 11 major vehicle markets. Nature 2018, 545, 467–471. [Google Scholar] [CrossRef]
 - IPCC. Climate Change 2023: Synthesis Report. Contribution of Working Groups I, II and III to the Sixth Assessment Report of the Intergovernmental Panel on Climate Change; Technical Report; Intergovernmental Panel on Climate Change: Geneva, Switzerland, 2023. [Google Scholar]
 - van Donkelaar, A.; Hammer, M.S.; Bindle, L.; Brauer, M.; Brook, J.R.; Garay, M.J.; Hsu, N.C.; Kalashnikova, O.V.; Kahn, R.A.; Lee, C.; et al. Global trends in urban air pollution and the role of cities in addressing climate change. Environ. Res. Lett. 2022, 17, 044020. [Google Scholar]
 - Cooper, M.J.; Martin, R.V.; Hammer, M.S.; Levelt, P.F.; Veefkind, P.; Lamsal, L.N.; Krotkov, N.A.; Brook, J.R.; McLinden, C.A. Satellite-based constraints on the impact of COVID-19 on global air quality and the co-benefits of reduced air pollution. Environ. Res. Lett. 2023, 18, 014003. [Google Scholar]
 - Baklanov, A.; Schlünzen, K.H.; Suppan, P.; Baldasano, J.; Brunner, D.; Aksoyoglu, S.; Carmichael, G.; Douros, J.; Flemming, J.; Forkel, R.; et al. Online coupled regional meteorology chemistry models in Europe: Current status and prospects. Atmos. Chem. Phys. 2014, 14, 317–398. [Google Scholar] [CrossRef]
 - Sayeed, A.; Choi, Y.; Eslami, E.; Lops, Y.; Salman, A.K.; Jung, J.; Park, H.J. Using a deep convolutional neural network to predict 2017 ozone concentrations, 24 h in advance. Neural Netw. 2021, 121, 396–408. [Google Scholar] [CrossRef]
 - Vandyck, T.; Keramidas, K.; Saveyn, B.; Kitous, A.; Vrontisi, Z. Air quality co-benefits for human health and agriculture counterbalance costs to meet Paris Agreement pledges. Nat. Commun. 2018, 9, 4939. [Google Scholar] [CrossRef] [PubMed]
 - Shindell, D.T. The social cost of atmospheric release. Clim. Chang. 2016, 130, 313–326. [Google Scholar] [CrossRef]
 










| Code | Area Name | Zone Type | Latitude (N) | Longitude (E) | 
|---|---|---|---|---|
| R1 | National Guard Hospital | Healthcare Facility | 24.72° N | 46.71° E | 
| R2 | Al Hair | Semi-natural Area | 24.53° N | 46.66° E | 
| R3 | Wadi Hanifa | Semi-natural Area | 24.58° N | 46.60° E | 
| R4 | Al Aziziyah Hospital | Healthcare Facility | 24.59° N | 46.80° E | 
| R5 | Al Shifa | Residential District | 24.57° N | 46.81° E | 
| R6 | Al Zamroud | Residential District | 24.60° N | 46.70° E | 
| R7 | Al Amal | Residential District | 24.71° N | 46.72° E | 
| R8 | Al Zara | Residential District | 24.71° N | 46.67° E | 
| R9 | Al Mauroj | Residential District | 24.76° N | 46.71° E | 
| R10 | King Faisal | Urban Area | 24.69° N | 46.71° E | 
| R11 | Eastern Ring Road | Traffic Corridor | 24.69° N | 46.80° E | 
| R12 | King Fahad Road | Dense Urban Area | 24.72° N | 46.65° E | 
| R13 | Makkah Road | Dense Urban Area | 24.64° N | 46.60° E | 
| R14 | Northern Ring Road | Traffic Corridor | 24.80° N | 46.70° E | 
| R15 | Southern Ring Road | Traffic Corridor | 24.56° N | 46.85° E | 
| Scenario | Mean () | SD | HDI 2.5% | HDI 97.5% | 
|---|---|---|---|---|
| Historical—CNRM-ESM2-1 | 0.039 | 0.248 | −0.571 | 0.393 | 
| Historical—MPI-ESM1.2 | 0.049 | 0.233 | −0.462 | 0.446 | 
| SSP5-4.5—CNRM-ESM2-1 | 0.042 | 0.240 | −0.484 | 0.406 | 
| SSP5-4.5—MPI-ESM1.2 | −0.098 | 0.276 | −0.407 | 0.470 | 
| SSP5-8.5—CNRM-ESM2-1 | −0.023 | 0.238 | −0.371 | 0.602 | 
| SSP5-8.5—MPI-ESM1.2 | 0.135 | 0.259 | −0.349 | 0.529 | 
| Scenario (Index) | Mean () | SD | HDI 2.5% | HDI 97.5% | 
|---|---|---|---|---|
| Historical—CNRM-ESM2-1 | 0.011 | 0.289 | −0.547 | 0.551 | 
| Historical—MPI-ESM1.2 | −0.004 | 0.290 | −0.597 | 0.571 | 
| SSP5-4.5—CNRM-ESM2-1 | 0.007 | 0.293 | −0.572 | 0.549 | 
| SSP5-4.5—MPI-ESM1.2 | 0.011 | 0.288 | −0.572 | 0.521 | 
| SSP5-8.5—CNRM-ESM2-1 | 0.014 | 0.287 | −0.577 | 0.542 | 
| SSP5-8.5—MPI-ESM1.2 | 0.010 | 0.292 | −0.587 | 0.548 | 
| Scenario (Model) | Mean () | SD | Min | Max | 
|---|---|---|---|---|
| Historical—CNRM-ESM2-1 | 45.13 | 4.25 | 38.9 | 52.6 | 
| Historical—MPI-ESM1.2 | 42.53 | 4.89 | 36.4 | 49.8 | 
| SSP2-4.5—CNRM-ESM2-1 | 58.90 | 5.68 | 51.2 | 67.4 | 
| SSP2-4.5—MPI-ESM1.2 | 55.97 | 5.37 | 48.7 | 64.1 | 
| SSP5-8.5—CNRM-ESM2-1 | 73.33 | 7.14 | 64.8 | 83.7 | 
| SSP5-8.5—MPI-ESM1.2 | 69.97 | 6.63 | 61.9 | 79.9 | 
| Scenario (Model) | Mean () | SD | Min | Max | 
|---|---|---|---|---|
| Historical—CNRM-ESM2-1 | 95.33 | 5.65 | 88.4 | 103.2 | 
| Historical—MPI-ESM1.2 | 91.98 | 5.50 | 85.2 | 99.6 | 
| SSP2-4.5—CNRM-ESM2-1 | 118.53 | 6.92 | 109.7 | 128.4 | 
| SSP2-4.5—MPI-ESM1.2 | 114.22 | 6.63 | 105.8 | 123.7 | 
| SSP5-8.5—CNRM-ESM2-1 | 142.02 | 8.64 | 131.2 | 153.9 | 
| SSP5-8.5—MPI-ESM1.2 | 136.78 | 8.21 | 126.4 | 148.2 | 
Disclaimer/Publisher’s Note: The statements, opinions and data contained in all publications are solely those of the individual author(s) and contributor(s) and not of MDPI and/or the editor(s). MDPI and/or the editor(s) disclaim responsibility for any injury to people or property resulting from any ideas, methods, instructions or products referred to in the content.  | 
© 2025 by the authors. Licensee MDPI, Basel, Switzerland. This article is an open access article distributed under the terms and conditions of the Creative Commons Attribution (CC BY) license (https://creativecommons.org/licenses/by/4.0/).
Share and Cite
Faqeih, K.Y.; El Melki, M.N.; Alamri, S.M.; AlAmri, A.R.; Aldubehi, M.A.; Alamery, E.R. Projected Urban Air Pollution in Riyadh Using CMIP6 and Bayesian Modeling. Sustainability 2025, 17, 6288. https://doi.org/10.3390/su17146288
Faqeih KY, El Melki MN, Alamri SM, AlAmri AR, Aldubehi MA, Alamery ER. Projected Urban Air Pollution in Riyadh Using CMIP6 and Bayesian Modeling. Sustainability. 2025; 17(14):6288. https://doi.org/10.3390/su17146288
Chicago/Turabian StyleFaqeih, Khadeijah Yahya, Mohamed Nejib El Melki, Somayah Moshrif Alamri, Afaf Rafi AlAmri, Maha Abdullah Aldubehi, and Eman Rafi Alamery. 2025. "Projected Urban Air Pollution in Riyadh Using CMIP6 and Bayesian Modeling" Sustainability 17, no. 14: 6288. https://doi.org/10.3390/su17146288
APA StyleFaqeih, K. Y., El Melki, M. N., Alamri, S. M., AlAmri, A. R., Aldubehi, M. A., & Alamery, E. R. (2025). Projected Urban Air Pollution in Riyadh Using CMIP6 and Bayesian Modeling. Sustainability, 17(14), 6288. https://doi.org/10.3390/su17146288
        
