Next Article in Journal
Examining CEO Characteristics and Carbon Emissions: A Quantile Approach to UK-Listed Firms
Previous Article in Journal
Understanding Consumers’ Adoption Behavior of Driverless Delivery Vehicles: Insights from the Combined Use of NCA and PLS-SEM
Previous Article in Special Issue
Sustainable Transport and Development Partnership: Enhancing Urban Growth in Hobart, Australia Through TOD, PPP and Green Building Practices
 
 
Font Type:
Arial Georgia Verdana
Font Size:
Aa Aa Aa
Line Spacing:
Column Width:
Background:
Article

Microstructural Characteristics of Earth Materials and the Induced Latent Heat on Indoor Environment

1
School of Architecture and Urban Planning, Kunming University of Science and Technology, Kunming 650500, China
2
School of Architecture and Urban Planning, Beijing University of Civil Engineering and Architecture, Beijing 100044, China
*
Author to whom correspondence should be addressed.
Sustainability 2025, 17(13), 5731; https://doi.org/10.3390/su17135731
Submission received: 16 May 2025 / Revised: 15 June 2025 / Accepted: 19 June 2025 / Published: 21 June 2025

Abstract

Earth materials in construction demonstrate significant potential attributed to their accessibility, recyclability, and low energy demands for processing. Modern techniques have enhanced their mechanical strength and durability, enabling their application in load-bearing and infill walls while preserving ecological benefits. However, existing studies on indoor heat–humidity regulation primarily emphasize material parameters and macro-level performance. Moreover, the dynamic interactions between the unique thermal storage–release mechanisms and indoor environments have not been systematically analyzed. With the Kelvin equation, capillary mechanics, adsorption theories, and microstructural analysis were integrated in this study to quantify cyclic capillary condensation and evaporation in microvoids. The results reveal that earth materials contain abundant medium-sized pores (19.85–53.83 nm) sustaining vapor exchange with their surroundings. Capillary condensation occurs 0.86–0.96 times the planar surface vapor pressure, influenced by pore size (negatively correlated) and temperature (negatively correlated). During the daytime, capillary evaporation occurs in the nanopores of the raw earth wall under the influence of the outdoor environment’s cyclical temperature and humidity. This process absorbs heat from the indoor environment and raises the ambient humidity. During the nighttime, capillary condensation occurs in the pores, releasing heat to the indoor area and absorbing moisture from the environment, contributing to the balance of the indoor thermal environment of the earth buildings. The findings lay a scientific foundation for quantitatively evaluating earth buildings’ indoor climate control performance, supporting their integration into green building systems. This research bridges knowledge gaps in micro-to-macro thermal dynamics while advancing the ecological optimization of materials for sustainable architecture.

1. Introduction

Over recent decades, China’s unprecedented urbanization has solidified its position as a global leader in building material consumption and new construction while intensifying energy demands for indoor thermal comfort in existing buildings. Critically, the environmental footprint of the construction sector extends beyond operational heating and cooling. Specifically, the lifecycle of building materials, consisting of extraction, processing, transportation, construction, and demolition, collectively contributes to carbon emissions. The 2021 Research Report on Building Energy Consumption and Carbon Emissions [1] specifies that annual carbon emissions across China’s building lifecycle reach 4.93 billion tons of CO2, accounting for 51.2% of national energy-related emissions. Notably, the material production stage alone constitutes 28.3% of emissions and 23.8% of energy use, underscoring the pivotal role of the sector in China’s decarbonization efforts. Against this backdrop, earth as a construction material celebrated for its lifecycle sustainability, low environmental impact, and recyclability emerges as a promising solution to reconcile energy efficiency and carbon mitigation goals in sustainable architecture.
Earth-derived building construction materials are formed using unprocessed soil, devoid of organic matter, and shaped through mechanical processing. Employing unburnt earth as a construction material represents one of the most time-honored and pervasive traditions in China and around the world. Earth materials offer several distinct advantages, such as ease of access, high recyclability, and exceptional thermal storage properties. These materials possess a moisture absorption capacity of up to 30 times greater compared to concrete and sintered bricks [2,3,4,5,6,7,8]. This property enables them to effectively regulate and balance indoor temperature and humidity, contributing to significantly lessening energy consumption associated with building operations. Earth building is deeply rooted in ecological principles, with construction tailored to local conditions and requirements. This approach synthesizes scientific and rational methodologies and is critical to advancing green building practices in China.
Earth materials are characterized by their porous nature. Heat and moisture transfer within their pores can be subdivided into two distinct processes: the diffusion of gas and liquid phases and the non-linear transfer during their conversion [9]. The predominant mechanisms through which water molecules interact with the pore surface of the medium and the surrounding environment to facilitate moisture transfer are evaporation (condensation) and hygroscopicity (moisture release). Two crucial factors must be considered during heat and moisture transfer in porous media. First, the porous media’s thermal physical parameters, such as thermal conductivity and specific heat capacity, change with the moisture content of the material [10]. Second, the gas–liquid phase alteration during mass transfer produces a certain amount of latent heat. Consequently, the coupled heat and moisture transfer within porous media constitutes a highly complex system.
The characterization of heat and moisture transfer processes within porous media has been advanced by applying Fick’s diffusion theory, Darcy’s law, and Fourier’s law of thermal conductivity. Several hypotheses have been proposed following the fundamental theories including vapor permeation theory, capillary theory, evaporation–condensation theory, Luikov’s irreversible thermodynamic theory, and the theory proposed by Philip and DeVries. Among them, Philip and DeVries’ theory and Luikov’s irreversible thermodynamic theory are most pioneering. Considering vapor diffusion and liquid water transfer within the pores of porous media, these theories establish a dual-field, unsteady heat-moisture coupling transfer model. This model characterizes heat–moisture coupling migration in porous media more realistically. However, it is challenging to obtain the relevant calculation parameters because the model’s heat and moisture diffusion coefficients depend on temperature and moisture content [11]. Ji Jie applied Luikov’s irreversible thermodynamic theory to analyze the temperature and humidity distribution within walls in cold regions and then accurately predict the dynamic insulation process of the wall [12].
With the introduction of the volume averaging theory, Whitaker et al. constructed a heat and moisture coupling transfer model based on momentum, energy, and mass conservation equations. This accurately described porous walls’ heat and moisture coupling transfer phenomena [13]. Yan Zengfeng, Kong Fanhong, and Guo Xingguo developed a coupled heat and moisture transfer model for walls based on the driving potentials of temperature and humidity. However, this model neglected the effects of liquid water on heat and moisture transfer, limiting its applicability [14]. Fitsum Tariku, Xiangwei Liu, and Ying Wang established a heat and moisture coupling transfer model for porous walls. With relative humidity as the driving potential for mass transfer, they investigated the interactions between heat and mass transfer and accurately predicted heat and moisture coupling in porous walls [15]. Soudani proposed a heat and moisture coupling transfer model for raw soil walls. This model, based on the heat and mass equilibrium equations, thoroughly considered the gas–liquid phase change of water molecules in the pore space of raw soil materials. Nonetheless, its complexity hindered practical application [16]. Although many researchers have employed coupled heat and moisture transfer models to describe the heat and mass transfer processes in porous building materials, these models exhibit significant variability because of differences in their assumptions and scopes of application. Consequently, they cannot be widely adopted. Furthermore, the unique moisture absorption and release characteristics of earth materials trigger significant water and gas phase changes within their pores. During the process of developing mathematical models for heat and moisture coupling transfer in envelope structures, the influence of the latent heat from gas–liquid phase changes on heat and mass transfer in walls is commonly neglected in existing studies.
According to the prevailing definition of classical soil mechanics, earth materials are categorized as unsaturated soil. This medium, characterized by its porosity, is composed of three distinct phases: gas, liquid, and solid. The solid phase refers to the porous medium skeleton, which contains soil particles. The gas and liquid phases depend on interconnected capillary channels within the skeleton, through which they can experience regular movement. In research on addressing heat and mass transfer in earth materials, it is essential to conceptualize these materials as a complex capillary system comprising solid, liquid, and gas phases. The characteristics of this system are determined by the microstructural properties of earth, primarily including porosity, pore size distribution, pore volume, and other related parameters. Compared to actual operational data, the discrepancy between the theoretical calculations and simulation results of energy consumption in earth buildings stems from the neglect of heat and humidity transfer effects caused by the microstructural characteristics of earth materials. As a result, designers fail to accurately and efficiently assess the energy consumption and indoor thermal comfort levels of buildings constructed with earth materials during the design phase.
Thus, this paper starts with examining the microstructural characteristics of earth materials and then integrating quantitative research methodologies from a range of disciplines, such as materials science, capillary mechanics, engineering mathematics, building physics, advanced heat transfer, and architecture. Then, the latent heat storage and exothermic properties of earth materials are clarified. They are triggered by the microstructural characteristics of heat and moisture transfer and their responsiveness to indoor and outdoor physical environments. Additionally, a theoretical framework was established for the precise quantitative evaluation of the indoor thermal environment of earth buildings. This study promotes the application of passive thermal storage properties of earth materials in the energy-efficient design of buildings.

2. Materials and Methods

2.1. Materials

The use of earth construction is a widespread traditional building method, both in China and around the world. A survey conducted in central and western China reveals that earth construction is found in 12 provinces. On average, 20% of houses in these areas are built majorly with earth, while some regions, particularly Gansu, Tibet, Yunnan, and others, have proportions exceeding 60%. This study focused specifically on the use of traditional raw earth-building materials in Yunnan, accompanied by a comprehensive program of fundamental research activities.

2.1.1. Materials and Properties

The soil examined in this study was sourced from Luhei Village in Yunnan, where the engineering properties of Yunnan red clay were analyzed. The pertinent data are listed in Table 1. The test results reveal that the liquid limit, plastic limit, and plasticity index of the sampled soil are relatively high and that the soil’s strength exhibits minimal dependence on water content. In other words, Yunnan red clay possesses favorable engineering properties.
Sieving and settling tests were performed on the soil sample upon the protocol specified in NF EN ISO 17892-4 [17] to determine the grain size composition of the soil material. The results, as detailed in Table 2, suggest that Yunnan red soil consists of 60.01% clay particles, 35.82% powder particles, and 4.08% sand particles. This type of soil necessitates optimization by incorporating sand and gravel for appropriate grading before it can be utilized as a building material. Additionally, an analysis of local Yunnan raw soil used in residential wall materials demonstrated a grading ratio of 3.40:4.25:2.35. Therefore, the subsequent pasts of this study are based on these grading types to conduct fundamental tests.

2.1.2. Preparation of Samples

The preparation of earthen specimens involved the precise combination of various proportions of soil, sand, gravel, and water. A specific gradation of 3.40:4.25:2.35 was established to facilitate subsequent analysis of the performance parameters of the earthen specimens. Meanwhile, the density settings were 1800, 1900, 2000, 2100, and 2200 kg/m3, and five additional gradients were adopted during the testing process. The key performance parameters under investigation included contact angle, porosity, pore size distribution, and pore volume. Except for the contact angle specimen, which is composed of solid powder, the dimensions of the remaining specimens were standardized to 15 mm in diameter and 22 mm in length. The specimen preparation protocol is composed of several critical steps as follows. Initially, a drying oven is utilized to expedite the removal of moisture from the soil. Subsequently, a sieve is employed to eliminate impurities such as humus and gravel. Then, the soil is ground in a mill under adiabatic conditions, followed by additional grinding using a grinder in an absolutely dry state to achieve the desired texture. Hence, the utilization of a concrete mixer is essential for the thorough amalgamation of the graded earth-wet aggregate. Notably, a curing period of 12 to 48 h is required following the preparation of the earth aggregate so as to facilitate thorough water curing that enhances the binding capacity of the material [5]. Immediate compaction of the earth material post-preparation is critical to ensuring optimal processing outcomes. This compaction process should be tailored to meet the specific requirements of the processing operation, with a focus on expediting demolding and accelerating drying times. After the preparation of specimens, they must be oven-dried at a low temperature of 60 °C. In cases where the rate of mass change is less than 0.1%, the specimen should be placed in a sealed container and allowed to cool to room temperature prior to testing.

2.2. Methods

In this study, a comprehensive experimental analysis was performed on the microstructural characteristics of earth materials. The primary parameters investigated majorly include contact angle, porosity, pore size distribution, and pore volume. The subsequent sections detail the testing methods and experimental designs utilized for each of these index parameters so as to guarantee a thorough understanding of the research approach.

2.2.1. Contact Angle

The contact angle is the angle formed between a liquid droplet and the solid surface it rests on. This angle serves as an indicator of the solid material’s hydrophilicity. Earth materials are composed of aggregate particles, which comprise soil, sand, and gravel. The surface of this material falls under the category of composite surfaces. The contact angle of the material can be described using Cassie’s law as
cos φ c = f 1 cos φ 1 + f 2 cos φ 2
where φc denotes the contact angle of the composite material; φ1 and φ2 represent the contact angle of Component 1 and Component 2, respectively; f1 and f2 indicate the surface area fractions of the two constituent components, satisfying the condition f1 + f2 = 1.

2.2.2. Microstructure Characterization

The AUTOPORE V, a high-performance and fully automated mercury intrusion porosimeter, was adopted in this study to evaluate the porosity, pore size, pore volume, and other microstructural characteristics of earth materials. The testing methodology adhered to the guidelines established in GB/T 21650.1-2008, titled “Mercury Intrusion and Gas Adsorption Method for Determining the Pore Size Distribution of Solid Materials and Porosity. Part 1: Mercury Intrusion” [18]. The underlying principle of this test is based on mercury’s non-wetting behavior when in contact with earth materials, along with the phenomenon of capillarity. Since the contact angle between mercury and the surface of most solid materials exceeds 90 degrees, spontaneous wetting cannot occur. Therefore, it is essential to apply pressure to allow mercury to overcome surface tension and enter the pores of the solid material. Specifically smaller pore radii necessitate higher pressures for mercury intrusion. As pressure gradually increased, the volume of mercury entering the pores at various pressure levels was measured, contributing to the development of a relationship curve between mercury intrusion and applied pressure. This data were subsequently utilized to calculate the pore structure parameters using a relevant theoretical model. The porosity calculation method is expressed as
p = V h g V s a m p l e 100 %
where Vhg represents the total volume of mercury intruded into the sample pores and Vsample denotes the bulk volume of the sample.
The pore size of earth material can be calculated based on the Washburn equation, described as
r = 2 γ cos θ P
where r represents the pore radius (in meters); γ denotes the surface tension of mercury, with a value of 0.485 N/m; θ signifies the contact angle between mercury and the solid surface, 140°; P embodies the applied pressure.
Pore volume indicates the amount of mercury that fills the pores of a sample under a specific pressure range. This measurement can be directly obtained from the mercury feed data recorded by a mercury piezometer. The variation in mercury feed at different pressure intervals reflects the pore volume for each specific pore size interval.

3. Results

3.1. Pore Volume and Classification

The pore volume size of earth materials plays a crucial role in transferring and storing energy. In this subsection, the volume of microscopic pores in bioclastic materials was tested under various density conditions by the piezometer method (Figure 1). Additionally, the pore structure of these materials was classified according to the IUPAC pore classification method [19].
As illustrated in Figure 1, the curves representing mercury (Hg) ingress and egress vary with different densities. The red curve indicates the total Hg influx (referred to as “Instruction for Cycle”), which can be interpreted as the total pore volume connected to the external environment. The green curve represents the Hg egress (termed “Extrusion for Cycle”) and the pore volume of the effective pore space. The mercury withdrawal curves exhibit a concave arc shape under all conditions, suggesting a significant number of open pores within the earth material. The connectivity of pores in the earth material is divided into two categories: effective pores (which can exclude mercury liquid) and ineffective pores (which can retain mercury liquid). The test data suggest that the total internal pore volume of the earth material, with a density ranging from 1800 to 2200 kg/m3, is approximately 0.1038–0.1364 mL/g, with an adequate pore volume of around 0.0236 mL/g. Notably, as density increases, the total pore volume of the earth material decreases, while the percentage of adequate pore volume rises.
Furthermore, a substantial number of effective voids are consistently present and connected to the outside world, irrespective of the earthen wall’s density. This observation further clarifies the micro-mechanism of the earthen wall in maintaining effective “breathing” performance.

3.2. Characteristics of Porosity

The results of the study reveal the presence of several ineffective sealed voids within the earth material. Specifically, the porosity determined through the conventional drainage replacement method is approximately 56% lower than the actual value [20]. In Section 2.2.2, the porosity of earth materials with varying densities was assessed, as depicted in Figure 2. It was observed that the porosity correspondingly decreased from approximately 26.25% to 20.89% as the density of the earth material increased from 1800 kg/m3 to 2200 kg/m3.
Moreover, regression analysis demonstrates a significant negative correlation between the density and porosity of the earth material (R2 = 0.9023). In other words, an increase of 100 kg/m3 in density brings about a decrease in porosity of approximately 1.07%. This phenomenon can be attributed to the compression of pore spaces triggered by the rearrangement of solid particles during the process of densification.

3.3. Pore Size Distribution

The average pore size of the earth material within the density range of 1800 to 2200 kg/m3 was evaluated, with results presented in Figure 3. Figure 3 reflects that the mean pore size is in the nanometer range under standard density conditions, primarily concentrated between 26.00 and 40.87 nm. As the density increases, the average pore size of the earth material decreases, with an accelerated rate of change. When the density surpasses approximately 2100 kg/m3, the rate at which the average pore size changes with density becomes significantly more pronounced.
Additionally, experimental tests and microscopic observations focusing on earth material with a density of 2000 kg/m3 were conducted to further investigate the internal pore size distribution of earth materials. The relevant findings are displayed in Figure 4 and Figure 5.
The scanning electron microscope (SEM) examination of the cross-section of earth material (Figure 4), characterized by a density of 2000 kg/m3, elucidates that the agglomerates display a flocculent morphology. The internal voids can be approximated as circular entities in a two-dimensional representation, while they conform to a spherical configuration from a three-dimensional perspective. This observation lays a foundation for the subsequent extraction of parameters pertinent to the void structure and the formulation of theoretical models.
Furthermore, a comprehensive statistical analysis of the pore size distribution within the earth material was executed, with the resultant data delineated in Figure 5. Concomitant with an increase in the density of the earth material, there exists a gradual decrement in the percentage of pore sizes exceeding 10 nm. In contrast, a steady increment appears in the percentage of pore sizes within the range of 0 to 100 nm. Notably, the total pore sizes between 100 nm and 10 μm remain comparatively minimal, demonstrating an insignificant degree of variation.
The MATLAB R2016a software was employed to analyze the characteristics of pore size distribution in earth materials under different densities. The results are detailed in Table 3.
Recent studies have demonstrated that an increase in the density of earth material, specifically from 1800 kg/m3 to 2200 kg/m3, induces a consistent alteration in pore size distribution. As the density ascends, the representation of nanoscale pores correspondingly increases, while the proportion of micrometer-sized pores concurrently decreases. Furthermore, the pore size distribution in earth materials conforms to a Gaussian distribution function, which applies to both nanoscale and micrometer-sized pores. In other words, earth materials possess characteristics comparable to those of aerated concrete and permeable cement-based materials. The internal pore sizes within these materials demonstrate an approximate normal distribution. A density function (Equation (4)) may be employed to precisely characterize the pore size distribution of earth materials [21].
f x x , μ , σ = 1 2 π σ e ( x μ ) 2 2 σ 2
where x represents the size of the aperture; f x x , μ , σ indicates the probability of the aperture’s occurrence; μ and σ refer to the mean and standard deviation, respectively. The subsequent fitting analysis of the data groups unveils that the average fit of the micrometer-level and nanometer-level pore sizes to the Gaussian density function is approximately 0.8418 and 0.8886, respectively. This specifies that the smaller the pore size, the greater the regularity of its pore distribution. The parameters for the variables fitted to the density functions for each group are presented in Table 4.

3.4. Characteristics of Contact Angle

In this subsection, the contact angle of the excavated soil, sand, and gravel aggregate was measured sequentially by a Kreuz DSA contact angle meter. Subsequently, Cassie’s law was utilized to calculate the contact angle of the earth material under various working conditions, as detailed in Table 5.
Table 5 suggests that the contact angle of earth material concerning liquid water ranges from 51.20° to 66.55 °C across temperatures of 10 to 60 °C. The contact angle decreases as the ambient temperature increases, followed by a corresponding reduction in the rate of change in the contact angle. Furthermore, the experimental data demonstrate a weak correlation between the contact angle of the earth material and its density.

4. Discussion

4.1. Basic Theory of Gas Adsorption and Influential Elements

The adsorption of gas molecules onto solid surfaces is a phenomenon stemming from the interaction between the gas molecules and the solid material. This interaction leads to the temporary retention of gas molecules on the surface and thus an increase in their concentration. Adsorption can be classified into two main categories: physical adsorption (which involves van der Waals forces) and chemical adsorption (which encompasses intermolecular bonding). This discourse concentrates exclusively on physical adsorption.
The capacity of earth materials to adsorb gas molecules is fundamentally attributed to the distinct molecular compositions present on the surface compared to the internal molecular structure. The molecules located on the surface of earth materials are influenced by cohesive attraction on one side while experiencing a weaker gravitational pull from the gas molecules on the opposing side. This imbalance generates tension on the surface of the earth material. From an energy perspective, this tension is primarily a consequence of the excess free energy residing on the surface. As gas molecules approach the solid material, they become adsorbed and release heat during the adsorption process under the effects of residual free energy. Moreover, a transition back to the gas phase occurs when the kinetic energy of the adsorbed molecules exceeds the adsorption forces exerted by the surface.
Notably, a significant number of adsorbed molecules persist on the surface of earth materials, with the specific surface area measured at 16.94 m2/g [21]. The specific surface free energy of these materials is markedly high, and numerous nanoscale heterogeneous pores have been observed within the clay particles. This structural characteristic contributes to an internal surface area considerably larger than that of the earth material itself. This phenomenon enhances the adsorption capabilities of the earth material. Thus, the specific surface area and pore structure emerge as critical indicators of the material’s adsorption properties.

4.2. The Kelvin Equation and Capillary Condensation and Evaporation

In hydrophilic materials, the internal pore size generally falls within the range of 2 to 50 nanometers. Owing to the interaction of these materials with condensable gases, such as water vapor, condensation occurs within their nanoscale cavities. This capillary condensation mechanism predominantly influences the process of water vapor mass transfer within the material. Test results specify that the pore size of the earth material predominantly lies between 26.00 and 40.87 nanometers and that the contact angle of the material ranges from 51.20° to 66.55°. Considering that the earth material is a representative hydrophilic building substance, its nanoscale pores fulfill the essential criteria for the evaporation of water vapor molecules through capillary condensation. In this section, the correlation between the material’s pore size and the vapor saturation pressure within the capillary is elucidated with the Kelvin equation (refer to Equation (4)) to deepen the understanding of the capillary condensation process.
l n p r p = 4 γ M r ρ R T cos φ
where r denotes the radius of curvature, m; pr represents the capillary vapor saturation pressure, Pa; p reflects the plane of the saturated vapor pressure, Pa; γ designates the surface tension of the liquid, and the surface tension of liquid water droplets is provided in Table 6; ρ embodies the density of the liquid, kg/m3; T refers to the temperature, K; Mis stands for the relative molecular mass of the liquid, 18.02; R expresses the universal gas constant, 8.31 J/(mol-K); φ indicates the contact angle, with the range of values from 0.357 to 0.638, as detailed in Table 5.
The Kelvin formula provides a foundational understanding of the correlation between pore diameter, temperature, and the ratio of saturated vapor pressure within a capillary compared to that at the interface of earth material. This relationship assists in comprehending the behavior of moisture within earth structures. In this analysis, the relationship between saturated water vapor force and partial water vapor pressure at the occurrence of capillary condensation within the earth material was investigated with pore diameter and temperature as variables. These conditions are critical for capillary condensation to manifest in the microscopic pores of the material.
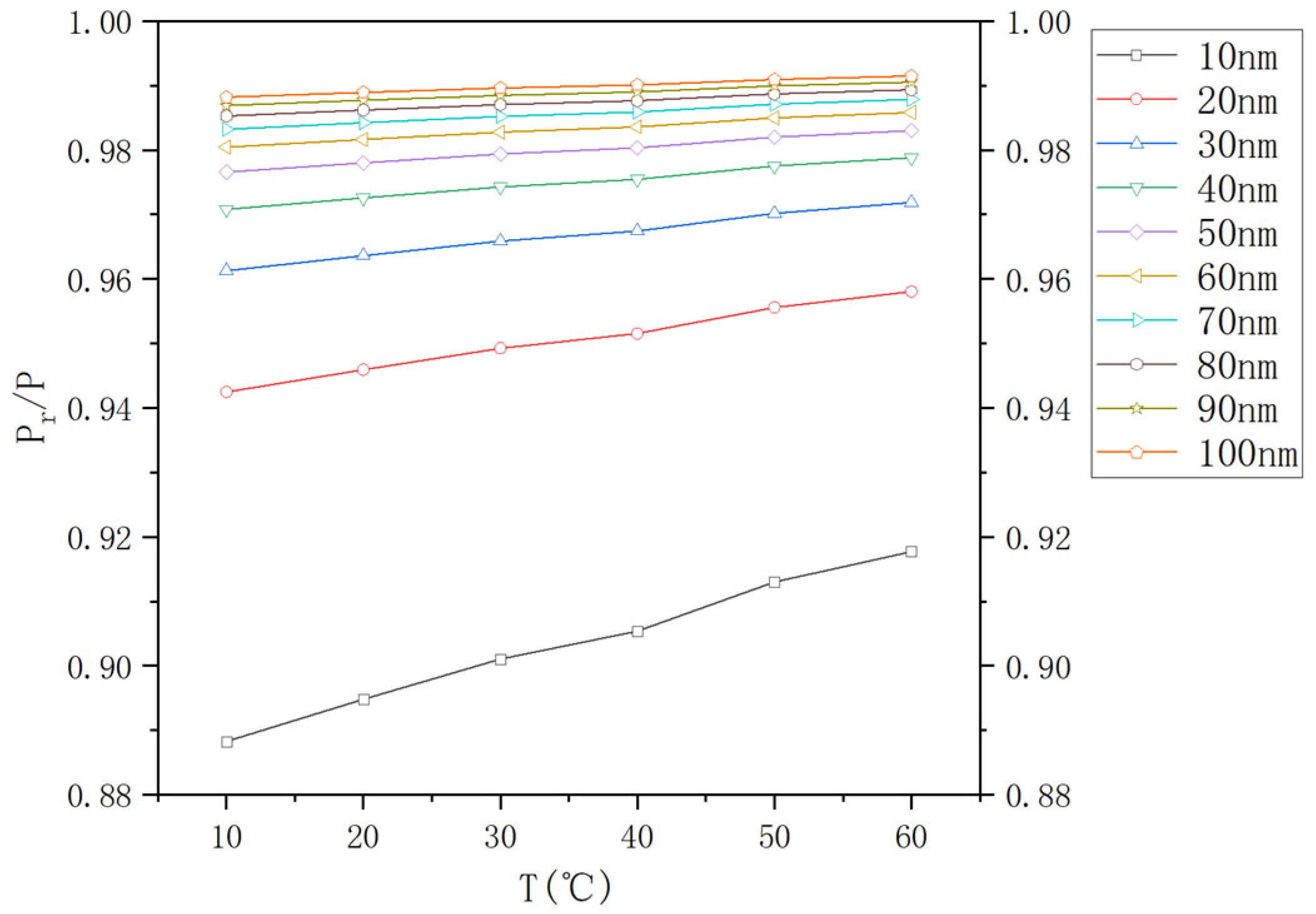
Continuous monitoring of the earthen wall temperature enables the maintenance of internal temperatures within the specified range of 12 to 60 °C [22,23,24]. A series of temperatures (10 °C, 20 °C, 30 °C, 40 °C, 50 °C, and 60 °C) were selected for the study to evaluate the influence of temperature on the ratio of saturated vapor pressure. In conjunction, the distribution of pore diameters within the internal pores of the earth material was examined, along with the threshold conditions essential for the formation of capillary condensation. Thus, pore diameters of 10, 20, 30, 40, 50, 60, 70, 80, 90, and 100 nanometers were selected for analysis. The correlation images, derived from Equation (5), were fitted, as depicted in Figure 6 and Figure 7.
Capillary condensation occurs within earth materials at atmospheric pressure when the temperature remains constant. As the temperature gradually increases, the saturation vapor pressure required for capillary condensation correspondingly rises, resulting in the lessened likelihood of this phenomenon. The distribution of vapor pressure ratios implies that the pore diameters of the material fall within the range of 10 to 50 nanometers. Capillary condensation appears when the water vapor pressure is approximately 0.86–0.96 times that of the horizontal vapor pressure. Meanwhile, smaller pores exhibit a higher probability of this occurrence. As the pore diameter approaches 100 nanometers, the vapor pressure ratio nears unity, suggesting that the pore structure of the earth material exerts minimal influence on the capillary condensation phenomenon. Moreover, the incidence of capillary condensation within earth materials is significantly correlated with the material’s contact angle. Generally, an increase in the surface adhesion of the earth corresponds to enhanced hydrophilicity and hence the increased probability of capillary condensation occurring.
Figure 7 suggests that an increase in the temperature of water vapor leads to an elevation in activity, which, in turn, raises the ratio of saturated vapor pressure in the capillary relative to that of the horizontal plane of the steam. Consequently, the relevance of capillary condensation diminishes. Within the pore diameter range of 10 to 50 nm, the sensitivity of the capillary condensation phenomenon to alterations in pore diameter is heightened. Nonetheless, this sensitivity declines with the growing pore diameter. Additionally, the impact of temperature on capillary condensation may be progressively disregarded concerning pore diameters ranging from 60 to 100 nm.
The findings of the aforementioned study specify that the saturated vapor partial pressure of capillary condensate formed within the nanoscale pores of earth materials is approximately 0.86–0.96 times the vapor partial pressure at the surrounding plane. Thus, capillary condensate can form spontaneously at room temperature and pressure. The primary distinctions between this phenomenon and condensation on the surfaces of building materials can be outlined as follows.
-
Condensation predominantly manifests in the surface layer of the building walls, while capillary condensation occurs within the walls themselves.
-
Condensation is contingent upon reaching the dew point temperature, whereas capillary condensation does not depend on such temperature limitations.

4.3. Periodic Interface Effects in the Nanovoids of Earth Construction

The impact of capillary condensation and evaporation in the nanovoids of earthen walls on the indoor thermal environment of earth buildings was analyzed with measured indoor and outdoor thermal data from earth dwellings in the Jiaozuo area of Henan Province as a case study. Relevant computational analyses were performed, and these results were compared with the indoor thermal environment data of concrete dwellings under the same conditions [21,25]. The aim was to demonstrate how the mechanisms of capillary condensation and evaporation, along with their associated latent heat, regulate the indoor thermal environment of earth buildings.
In this subsection, the microstructure of earth materials and the subsequent occurrence of capillary condensation and evaporation phenomena are described, followed by the integration of the regularity of the alteration of indoor heat and humidity environmental parameters of earth buildings, to objectively establish the responsive relationship between the two. The scope of the research falls within the domain of qualitative science. Several aspects require clarification before outlining the regulatory mechanism of capillary condensation and evaporation phase change latent heat within the indoor thermal environment of earth buildings. First, the enclosure serves as the principal medium, through which energy interactions between the building and its external environment are facilitated. This process is characterized by the transfer of energy from regions of higher potential to those of lower potential. Second, the thermal performance of the walls suggests that the outdoor environment exerts a significant influence on the indoor temperature and humidity levels. The trends of these variables are isotropic, implying that during daylight hours, ambient temperatures increase, and humidity levels decrease as a result of solar radiation. Isotropy refers to this diurnal pattern, wherein temperatures rise during the day and fall at night, also under the influence of solar radiation. However, the sensitivity of the indoor environment to these fluctuations is modulated by the thermal inertia of the enclosure structure, demonstrating a certain degree of hysteresis. Third, alterations in wall moisture content, relative to the rapid fluctuations in wall temperature, transpire at a delayed rate. Consequently, the analysis temporarily omits the impact of changes in material moisture content on latent heat associated with capillary condensation and evaporation phase changes.
The indoor and outdoor thermal environments of earth and brick buildings in a village in Henan Province were measured over three days, from the 26th to the 29th of July. The measurement equipment consisted mainly of an automatic weather station (PC-4 type), a temperature test module (TR-72U), as well as a multi-channel temperature and heat flow sensor (JTNT-A). The results of the environmental data testing are illustrated in Figure 8. Then, a detailed comparative analysis was conducted on the temperature conditions experienced by the earth building and the concrete block building during the peak summer months. This analysis focuses on two key metrics (temperature fluctuations and phase delay times), which are critical for understanding indoor thermal comfort. The earth building demonstrates a temperature fluctuation range of 31.4–34.2 °C. Within this range, the temperature amplitude is approximately 2.8 °C, reflecting small variations in indoor temperatures throughout the day. Additionally, the phase delay time, which measures the lag between outdoor and indoor temperature changes, is approximately 3 h. This extended phase delay suggests that the earth building maintains more stable indoor conditions despite external temperature shifts. In contrast, the concrete block building presents a slightly higher temperature fluctuation range of 31.6–35.2 °C. The temperature amplitude in this structure is approximately 3.6 °C, specifying larger variations in indoor temperatures, which could affect occupant comfort. Moreover, the phase delay time for the concrete block building is around 1 h, implying a quicker response to outdoor temperature changes yet potentially less stability in indoor conditions.
These findings underscore the superior thermal performance of earth buildings since they provide enhanced indoor temperature stability. This conclusion is consistent with a substantial body of research that highlights the effectiveness of earth materials in moderating indoor thermal environments [26,27,28]. This stability is particularly valuable for promoting occupant comfort and energy efficiency within these structures.
Based on the measured environmental data, the water vapor partial pressure ratio required for capillary condensation within the earthen wall over a 48 h cycle, along with its responsiveness to both the indoor and outdoor environments, was calculated, as presented in Figure 8. In the built environment, both the indoor and outdoor settings of buildings undergo regular and predictable changes, generally characterized by simple harmonic wave patterns. For instance, outdoor air temperatures gradually increase between 4:00 a.m. and 2:00 p.m. (Figure 8). This increase in temperature is primarily provoked by solar radiation, which significantly heats the earthen wall of the building. The rising temperature of the wall brings about a heightened ratio of the partial pressure of water vapor required for condensation and evaporation within the nanopores of the wall material. During this period, capillary evaporation of water molecules occurs, and hence moisture from the wall evaporates and absorbs heat from the indoor environment, contributing to the creation of a cooler indoor climate. This process affects temperature while leading to the release of water vapor back into the atmosphere. A gradual decline in outdoor temperatures appears as the day progresses into the evening and the next 24 h. This decrease in temperature correlates directly with a drop in the temperature of the earthen wall. Alongside this cooling phenomenon, the capillary condensation/evaporation pressure ratio also diminishes, facilitating the nanopore capillary condensation phenomenon in the wall. As a result, the wall releases the stored heat into the indoor air while simultaneously absorbing moisture from the surroundings. This dynamic interaction establishes a hygrothermal equilibrium within the building. During the nighttime, the earthen wall exhibits hygroscopicity and exothermic behavior, which retains heat that can be gradually released. During the day, the wall absorbs heat and releases moisture, leading to fluctuations in indoor environmental conditions. This intricate balance between moisture and temperature profoundly influences indoor comfort and energy efficiency (Figure 9).
Capillary condensation and evaporation processes within earthen walls offer a compelling scientific explanation for the enhanced thermal inertia and thermal lag observed in earth buildings compared to conventional concrete block structures. As illustrated in Figure 8, the outdoor ambient temperature peaks around 14:00, signifying the height of solar heating for the day. Conversely, the maximum indoor temperature of the earth building is not reached until approximately 17:00, leaving a significant delay of about three hours between these two temperature readings. During the interval from 14:00 to 17:00, the outdoor temperature begins to decline, influencing the temperature and water vapor partial pressure within the earthen wall. This decrease initiates capillary condensation within the nanopore spaces of the wall. The resulting phase change from vapor to liquid releases latent heat into the interior space, contributing to a sustained increase in the indoor temperature of the earth building. As the outdoor ambient temperature continues to fall, the indoor heat gradually dissipates because of the established temperature gradient between the interior and the exterior. The peak indoor temperature, which was reached at 17:00, signifies a balance point where the heat lost from the building equals the heat released from the condensation occurring within the earthen wall. Following this peak, the indoor temperature starts to decline with further decreases in the ambient temperature. However, this decline, which is mitigated by the heat retention capacity provided by the ongoing condensation effects of the earthen wall, is considerably less pronounced in concrete block buildings.
This phenomenon lays a scientific foundation for understanding why earth buildings often maintain lower daytime temperatures and higher nighttime temperatures compared to their concrete counterparts. The unique thermal properties of earth, including its ability to absorb, store, and gradually release heat, bring about a more stable indoor climate, highlighting the advantages of using sustainable building materials in energy-efficient design.

5. Conclusions

In this study, the phenomenon of capillary condensation and evaporation occurring within the nanopores of earth materials was characterized, followed by the introduction of Kelvin’s equation in conjunction with the microstructural characteristics of these materials, such as porosity, pore size distribution, and pore volume. Mathematical modeling, the control variable method, and various analytical techniques were employed to reveal that the superior stability of the indoor thermal environment in earth buildings can be attributed to the periodic occurrence of latent heat phenomena associated with capillary condensation and evaporation within the nanopores of earthen walls. The crucial conclusions are drawn as follows.
The mean pore size of the earth material is approximately 26.00–40.87 nm, conforming to a Gaussian distribution function. The earth contains numerous interconnected nanoscale pores connecting to the external environment. However, these pores occupy only 18.5–43.9% of the total pore volume, with a significant proportion of the pores inadequately sealed. These pores are undetectable at ambient temperature and pressure, substantially influencing the accurate assessment of the thermal properties of earth materials.
Under standard temperature and pressure conditions, water vapor undergoes capillary condensation or evaporation within the nanopores of earth materials. This condensation phenomenon is more pronounced in materials characterized by smaller pore sizes and lower temperatures. Moreover, cyclic environmental temperature and humidity exert particularly significant effects on the water molecules present within the nanoscale pores of earthen walls. During daytime, evaporation occurs, absorbing heat and releasing humidity. During nighttime, condensation occurs, releasing heat and absorbing humidity. This continuous process effectively regulates the temperature and humidity of the interior of earth buildings. The former maintains a more stable indoor environment, as specified by a comparative analysis between earth buildings and concrete block structures. Furthermore, the micro-interface effect of earth materials explains the thermal hysteresis phenomenon observed in earth buildings.
In conclusion, interdisciplinary research methodologies were utilized in this study to establish a correlation between the latent heat effects of capillary condensation and evaporation in the nanopores of earth materials and the macroscopic performance of earthen structures. The results suggest that the stability of the indoor thermal environment in earth buildings considerably exceeds that of conventional building materials. This stems from the superposition of the thermal performance of solid-phase materials and the latent heat performance facilitated by capillary condensation and evaporation. Nonetheless, the current research does not quantify the impact of this latent heat on the indoor thermal environment of the building. Therefore, technical tools, such as scanning electron microscopy and deep learning, will be incorporated in subsequent studies to create a morphological model of dynamic capillary condensation and to quantify the latent heat of phase transition within the earth material.

Author Contributions

Conceptualization, S.Y.; methodology, J.M.; software, Z.L.; validation, S.Y.; formal analysis, S.Y.; investigation, S.Y.; resources, J.M.; data curation, S.Y. and Z.L.; writing—original draft preparation, S.Y.; writing—review and editing, S.Y.; visualization, Z.L.; supervision, J.M.; project administration, J.M.; funding acquisition, J.M. All authors have read and agreed to the published version of the manuscript.

Funding

This research was funded by the National Natural Science Foundation of China (the funder: Jun Mu), grant number 52378003, Sponsored by Beijing Nova Program (the funder: Shimeng Hao), grant number 20230484271.

Institutional Review Board Statement

Not applicable.

Informed Consent Statement

Not applicable.

Data Availability Statement

The raw data supporting the conclusions of this article will be made available by the authors on request.

Conflicts of Interest

The authors declare no conflicts of interest. The funders had no role in the design of the study; in the collection, analyses, or interpretation of data; in the writing of the manuscript; or in the decision to publish the results.

Abbreviations

The following abbreviations are used in this manuscript:
SEMScanning Electron Microscope
IUPACInternational Union of Pure and Applied Chemistry
DSADistribution Substation Automation

References

  1. China Building Energy Conservation Association. China Building Energy Consumption Research Report 2020. Build. Energy Effic. (Chin. Engl.) 2021, 49, 1–6. [Google Scholar]
  2. China Market Research Online. 2021–2027 China Construction Waste Treatment Industry Market Supply and Demand Scale and Future Prospects Analysis Report; China Market Research Online: Beijing, China, 2021. [Google Scholar]
  3. Zhou, T.G.; Xu, X.K.; Mu, J. China Rural Earth Structure Farmhouse Safety Status Survey. Ind. Archit. 2013, S1, 1–4. [Google Scholar]
  4. Jaquin, P.; Augarde, C.D. Earth Building: History, Science and Conservation; IHS BRE Press: Bracknell, UK, 2012. [Google Scholar]
  5. Minke, G. Building with Earth: Design and Technology of a Sustainable Architecture; Walter de Gruyter: Berlin, Germany, 2013. [Google Scholar]
  6. Bourgeois, J.-L.; Pelos, C. Spectacular Vernacular: A New Appreciation of Traditional Desert Architecture; Peregrine Smith Books: Salt Lake City, UT, USA, 1983. [Google Scholar]
  7. Soebarto, V. Analysis of Indoor Performance of Houses Using Rammed Earth Walls. In Proceedings of the 11th International IBPSA Conference, Syracuse, NY, USA, 13–18 July 2009. [Google Scholar]
  8. Pacheco-Torgal, F.; Jalali, S. Earth Construction: Lessons from the Past for Future Eco-Efficient Construction. Constr. Build. Mater. 2012, 29, 512–519. [Google Scholar] [CrossRef]
  9. Wang, Y.Y.; Liu, Y.F.; Liu, J.P. Research and Progress on Heat and Moisture Coupled Transfer Process in Porous Enclosure Structures. Build. Sci. 2011, 27, 106–112. [Google Scholar]
  10. Hall, M.; Allinson, D. Assessing the Effects of Soil Grading on the Moisture Content-Dependent Thermal Conductivity of Stabilised Rammed Earth Materials. Appl. Therm. Eng. 2008, 29, 740–747. [Google Scholar] [CrossRef]
  11. Philip, J.R. Moisture Movement in Porous Materials under Temperature Gradients. Trans. Am. Geophys. Union 1957, 38, 222–232. [Google Scholar]
  12. Ji, J.; Xu, W.F. Study on the Influence of Moisture Migration in Building Walls on Their Thermal Insulation Performance in Severe Cold Regions. J. Univ. Sci. Technol. China 1994, 1, 114–118. [Google Scholar]
  13. Whitaker, S. Simultaneous Heat, Mass, and Momentum Transfer in Porous Media: A Theory of Drying; Elsevier: Amsterdam, The Netherlands, 1977. [Google Scholar]
  14. Yan, Z.F. Indoor Thermal and Moisture Environment Research of Earth Buildings. Ph.D. Thesis, Xi’an University of Architecture and Technology, Xi’an, China, 2003. [Google Scholar]
  15. Tariku, F.; Kumaran, K.; Fazio, P. Transient Model for Coupled Heat, Air and Moisture Transfer Through Multilayered Porous Media. Int. J. Heat Mass Transf. 2010, 53, 3035–3044. [Google Scholar] [CrossRef]
  16. Soudani, L.; Fabbri, A.; Morel, J.C.; Woloszyn, M.; Chabriac, P.A.; Wong, H.; Grillet, A.C. Assessment of the Validity of Some Common Assumptions in Hygrothermal Modeling of Earth-Based Materials. Energy Build. 2016, 116, 498–511. [Google Scholar] [CrossRef]
  17. NF EN ISO 5167-4; Industrial Quality, Methods of International Standards and Regulations, Quality Management, Economics, Management, Standards, Regulations. ISO: Geneva, Switzerland, 2021.
  18. GB/T 21650.1-2008; Determination of Pore Size Distribution and Porosity of Solid Materials by Mercury Intrusion and Gas Adsorption—Part 1: Mercury Intrusion Method. Standards Press of China: Beijing, China, 2008.
  19. Jiang, J. Design and Construction of Bentonite/Cement Composite Nanoporous Materials and Their Heat Transfer Behavior. Ph.D. Thesis, Southwest University of Science and Technology, Mianyang, China, 2019. [Google Scholar]
  20. Yu, S.W. Research on the Heat Storage Mechanism of Earth Materials and Energy-Saving Design Optimization. Ph.D. Thesis, Beijing University of Civil Engineering and Architecture, Beijing, China, 2024. [Google Scholar]
  21. She, W. Study on the Microstructure Formation Mechanism and Heat Transfer Behavior of Cement-Based Porous Materials. Ph.D. Thesis, Southeast University, Nanjing, China, 2014. [Google Scholar]
  22. Zhou, Y.N. Mechanism of Transmembrane Mass and Heat Transfer of Water Vapor in Composite Membranes. Ph.D. Thesis, North China Electric Power University, Beijing, China, 2018. [Google Scholar]
  23. Wu, E.R.; Mu, J. Maosi Eco-Experimental Primary School, Maosi Village, Qingyang, Gansu, China. World Archit. 2008, 7, 34–43. [Google Scholar]
  24. Liu, J.X.; Zhang, L.; Yang, J.J. Research Progress of Earth Materials at Home and Abroad. Mater. Rev. 2012, 26, 14–17. [Google Scholar]
  25. Li, H.R. Indoor Thermal Environment Research of Rural Buildings in Northern Henan Plain. Master’s Thesis, Henan Polytechnic University, Jiaozuo, China, 2018. [Google Scholar]
  26. Serrano, S.; Rincón, L.; González, B.; Navarro, A.; Bosch, M.; Cabeza, L.F. Rammed Earth Walls in Mediterranean Climate: Material Characterization and Thermal Behaviour. Int. J. Low-Carbon Technol. 2017, 12, 281–288. [Google Scholar] [CrossRef]
  27. Fgaier, E.F.; Lafhaj, Z.; Brachelet, F.; Antczak, E.; Chapiseau, C. Thermal Performance of Unfired Clay Bricks Used in Construction in the North of France: Case Study. Case Stud. Constr. Mater. 2015, 3, 102–111. [Google Scholar] [CrossRef]
  28. Zhu, Y.Y.; Zhao, J.Z.; Sang, G.C.; Zhao, Q. Winter Indoor Thermal Environment Test and Analysis of Rural Dwellings in Southern Shaanxi. J. Xi’an Univ. Technol. 2015, 31, 306–309. [Google Scholar]
Figure 1. Mercury input and output curves of earth materials.
Figure 1. Mercury input and output curves of earth materials.
Sustainability 17 05731 g001
Figure 2. Density and porosity.
Figure 2. Density and porosity.
Sustainability 17 05731 g002
Figure 3. Density and average pore size.
Figure 3. Density and average pore size.
Sustainability 17 05731 g003
Figure 4. Electron microscope scan of earth materials (①, ②).
Figure 4. Electron microscope scan of earth materials (①, ②).
Sustainability 17 05731 g004
Figure 5. Percentage of pore diameter distribution of earth materials.
Figure 5. Percentage of pore diameter distribution of earth materials.
Sustainability 17 05731 g005
Figure 6. pr/p and pore size.
Figure 6. pr/p and pore size.
Sustainability 17 05731 g006
Figure 7. pr/p and temperature.
Figure 7. pr/p and temperature.
Sustainability 17 05731 g007
Figure 8. Relationship between saturated vapor pressure ratio and temperature.
Figure 8. Relationship between saturated vapor pressure ratio and temperature.
Sustainability 17 05731 g008
Figure 9. Moisture–heat equilibrium effects of earth buildings.
Figure 9. Moisture–heat equilibrium effects of earth buildings.
Sustainability 17 05731 g009
Table 1. Physical properties of the soils.
Table 1. Physical properties of the soils.
LocationLiquidity IndexLiquid Limit Plastic Limit Plasticity IndexClassification
Luhei Village<0.2570.145.124.6High liquid limit
Table 2. Granulometric Analysis: Sieving.
Table 2. Granulometric Analysis: Sieving.
No.≥11–0.40.2–0.40.2–0.080.008–0.0015<0.0015Mass LossTotal
Dry Weight (g)5.451.915.9714.78105.29201.460.35335.21
Content (%)1.630.571.784.4131.4160.100.10100.00
Table 3. Pore size characterization of earth materials with different densities.
Table 3. Pore size characterization of earth materials with different densities.
Micrometer-Pore Nanopore
Sustainability 17 05731 i001Sustainability 17 05731 i002
Sustainability 17 05731 i003Sustainability 17 05731 i004
Sustainability 17 05731 i005Sustainability 17 05731 i006
Sustainability 17 05731 i007Sustainability 17 05731 i008
Sustainability 17 05731 i009Sustainability 17 05731 i010
Table 4. Characteristic coefficients of pore size distribution function of earth materials.
Table 4. Characteristic coefficients of pore size distribution function of earth materials.
Density (kg/m3)1800 1900200021002200
Parametersμσμσμσμσμσ
Micrometer13.601.7245.964.1248.064.2112.101.874.912.26
Nanoscale28.331.8528.111.7627.661.8127.801.8025.582.03
Table 5. Contact angle between earth material and water at different temperatures.
Table 5. Contact angle between earth material and water at different temperatures.
Temperature (°C)102030405060
Contact angle (φ)66.55°58.94°55.32°53.32°51.50°51.20°
cosφ0.3980.5160.5690.5970.6220.627
Table 6. Surface tension of water at different temperatures.
Table 6. Surface tension of water at different temperatures.
Temperature (°C)0202540608090100
Surface tension (mN/m)75.6472.7571.9469.5667.9166.1862.6158.85
Disclaimer/Publisher’s Note: The statements, opinions and data contained in all publications are solely those of the individual author(s) and contributor(s) and not of MDPI and/or the editor(s). MDPI and/or the editor(s) disclaim responsibility for any injury to people or property resulting from any ideas, methods, instructions or products referred to in the content.

Share and Cite

MDPI and ACS Style

Yu, S.; Mu, J.; Liang, Z. Microstructural Characteristics of Earth Materials and the Induced Latent Heat on Indoor Environment. Sustainability 2025, 17, 5731. https://doi.org/10.3390/su17135731

AMA Style

Yu S, Mu J, Liang Z. Microstructural Characteristics of Earth Materials and the Induced Latent Heat on Indoor Environment. Sustainability. 2025; 17(13):5731. https://doi.org/10.3390/su17135731

Chicago/Turabian Style

Yu, Shenwei, Jun Mu, and Zhipeng Liang. 2025. "Microstructural Characteristics of Earth Materials and the Induced Latent Heat on Indoor Environment" Sustainability 17, no. 13: 5731. https://doi.org/10.3390/su17135731

APA Style

Yu, S., Mu, J., & Liang, Z. (2025). Microstructural Characteristics of Earth Materials and the Induced Latent Heat on Indoor Environment. Sustainability, 17(13), 5731. https://doi.org/10.3390/su17135731

Note that from the first issue of 2016, this journal uses article numbers instead of page numbers. See further details here.

Article Metrics

Back to TopTop