Next Article in Journal
Analyzing Energy Poverty and Its Determinants in Greece: Implications for Policy
Next Article in Special Issue
Global Market Shocks and Food Riots: The Impact of Energy Prices, Biofuels, and Financial Speculation in Africa
Previous Article in Journal
Livestock Buildings in a Changing World: Building Sustainability Challenges and Landscape Integration Management
 
 
Font Type:
Arial Georgia Verdana
Font Size:
Aa Aa Aa
Line Spacing:
Column Width:
Background:
Article

Impact of Biochar Interlayer on Surface Soil Salt Content, Salt Migration, and Photosynthetic Activity and Yield of Sunflowers: Laboratory and Field Studies

1
College of Agriculture, Environment and Nutrition Sciences, Tuskegee University, Tuskegee, AL 36088, USA
2
College of Arts and Sciences, Tuskegee University, Tuskegee, AL 36088, USA
*
Author to whom correspondence should be addressed.
Sustainability 2025, 17(12), 5642; https://doi.org/10.3390/su17125642
Submission received: 1 May 2025 / Revised: 14 June 2025 / Accepted: 16 June 2025 / Published: 19 June 2025
(This article belongs to the Special Issue Sustainable Development and Climate, Energy, and Food Security Nexus)

Abstract

Soil salinization presents a significant challenge, driven by factors such as inadequate drainage, shallow aquifers, and high evaporation rates, threatening global food security. The sunflower emerges as a key cash crop in such areas, providing the opportunity to convert its straw into biochar, which offers additional agronomic and environmental benefits. This study investigates the effectiveness of biochar interlayers in enhancing salt leaching and suppressing upward salt migration through integrated laboratory and field experiments. The effectiveness of varying biochar interlayer application rates was assessed in promoting salt leaching, decreasing soil electrical conductivity (EC), and enhancing crop performance in saline soils through a systematic approach that combines laboratory and field experiments. The biochar treatments included a control (CK) and different applications of 20 (BL20), 40 (BL40), 60 (BL60), and 80 (BL80) tons of biochar per hectare, all applied below a depth of 20 cm, with each treatment replicated three times. The laboratory and field experimental setups maintained consistency in terms of biochar treatments and interlayer placement methodology. During the laboratory column experiments, the soil columns were treated with deionized water, and their leachates were analyzed for EC and major ionic components. The results showed that columns with biochar interlayers exhibited significantly higher efflux rates compared to those of the control and notably accelerated the time required for the effluent EC to decrease to 2 dS m−1. The CK required 43 days for full discharge and 38 days for EC stabilization below 2 dS m−1. In contrast, biochar treatments notably reduced these times, with BL80 achieving discharge in just 7 days and EC stabilization in 10 days. Elution events occurred 20–36 days earlier in the biochar-treated columns, confirming biochar’s effectiveness in enhancing leaching efficiency in saline soils. The field experiment results supported the laboratory findings, indicating that increased biochar application rates significantly reduced soil EC and ion concentrations at depths of 0–20 cm and 20–40 cm, lowering the EC from 7.12 to 2.25 dS m−1 and from 6.30 to 2.41 dS m−1 in their respective layers. The application of biochar interlayers resulted in significant reductions in Na+, K+, Ca2+, Mg2+, Cl, SO42−, and HCO3 concentrations across both soil layers. In the 0–20 cm layer, Na+ decreased from 3.44 to 2.75 mg·g−1, K+ from 0.24 to 0.11 mg·g−1, Ca2+ from 0.35 to 0.20 mg·g−1, Mg2+ from 0.31 to 0.24 mg·g−1, Cl from 1.22 to 0.88 mg·g−1, SO42− from 1.91 to 1.30 mg·g−1 and HCO3 from 0.39 to 0.18 mg·g−1, respectively. Similarly, in the 20–40 cm layer, Na+ declined from 3.62 to 3.05 mg·g−1, K+ from 0.28 to 0.12 mg·g−1, Ca2+ from 0.39 to 0.26 mg·g−1, Mg2+ from 0.36 to 0.27 mg·g−1, Cl from 1.18 to 0.80 mg·g−1, SO42− from 1.95 to 1.33 mg·g−1 and HCO3 from 0.42 to 0.21 mg·g−1 under increasing biochar rates. Moreover, the use of biochar interlayers significantly improved the physiological traits of sunflowers, including their photosynthesis rates, stomatal conductance, and transpiration efficiency, thereby boosting biomass and achene yield. These results highlight the potential of biochar interlayers as a sustainable strategy for soil desalination, water conservation, and enhanced crop productivity. This approach is especially promising for managing salt-affected soils in regions like California, where soil salinization represents a considerable threat to agricultural sustainability.

1. Introduction

Recent findings from the Food and Agriculture Organization of the United Nations (FAO) highlight a significant environmental challenge, revealing that approximately 1.4 billion hectares (ha) of land, which represents more than 10% of the planet’s total land area, are currently experiencing degradation due to rising salinity levels. This type of degradation not only reduces soil fertility but also negatively impacts agricultural productivity and biodiversity. Additionally, there is a troubling risk to another billion hectares of land, primarily driven by the effects of climate change, such as changing weather patterns and increased temperatures, along with poor land management practices that worsen these vulnerabilities and threaten the sustainability of these essential ecosystems [1].
Soil salinization alone leads to the loss of up to 1.5 million hectares of farmland each year, while the productive capacity of approximately 46 million hectares decreases annually [2]. This degradation has a significant impact on ecosystems and agricultural productivity, presenting a major global challenge, especially in arid and semi-arid regions where food security and sustainability are deeply threatened [2].
To mitigate the impacts of salinity, it is vital to implement strategic measures focused on safeguarding arable land and sustainably enhancing crop productivity. These initiatives are critical for ensuring food security, considering a rapidly growing global population.
Soil salinization is characterized by the excessive buildup of water-soluble salts in the root zone, which negatively impacts plant growth [3]. The primary soluble salts involved in saline soils include cations such as sodium (Na+), potassium (K+), calcium (Ca2+), and magnesium (Mg2+), along with anions like carbonates (CO32−), bicarbonates (HCO3), sulfates (SO42−), and chlorides (Cl). Saline soil is typically found in arid and semi-arid regions, where inadequate precipitation fails to offset evaporation, resulting in the upward movement of salts through capillary action. This issue is exacerbated by poor drainage and excessive irrigation practices, which can introduce even more soluble salts into the soil. High evaporation rates lead to the concentration of these salts in the topsoil, thereby increasing salinity levels [4].
The sunflower is a vital cash crop, with its seed oil being the primary edible oil in numerous countries. Although classified as a salt-tolerant species, sunflowers are particularly sensitive to salinity during their early growth stages, especially in the seedling phase. In saline soil, the buildup of salt in the root zone is a significant factor contributing to decreased yields [4]. Moreover, it is important to note that the processing and utilization of sunflowers generate considerable byproducts; however, the utilization rate of sunflower straw remains low, often resulting in its disposal through incineration. This practice not only leads to the underutilization of valuable biomass resources but also contributes to environmental pollution. Therefore, promoting the production of biochar, a carbon-rich material derived from sunflower straw, can help conserve natural resources, reduce environmental impacts, and foster the sustainable and efficient development of the sunflower industry.
The interplay between shallow groundwater tables and heightened evaporation rates is crucial to the buildup of salt in soils. As water moves upward through capillarity and evaporates from the soil surface, it leaves behind concentrated dissolved salts in the root zone. This process exacerbates salinity levels, adversely affecting plant health and vitality [3].
Salinization not only modifies the chemical composition of the soil but also impacts its physical properties [5], resulting in decreased carbon availability and a reduction in microbial activity. Consequently, crops experience diminished access to essential water and micronutrients [6,7].
To address salt accumulation, leaching is the primary strategy employed. This process involves intensive irrigation aimed at removing accumulated salts from beyond the root zone while ensuring adequate drainage [8]. Large-scale flood irrigation is often used during fallow periods to facilitate the leaching of excess salt [9]. However, poorly designed irrigation systems and inadequate drainage can worsen rising groundwater levels, leading to increased salt accumulation. The continued use of flood irrigation in arid regions poses a significant challenge to sustainable agricultural development [10], as salts from deeper soil layers and shallow aquifers can migrate to the surface through capillary action, resulting in the formation of saline–alkali soils [11,12,13].
The strategy of leaching, although seemingly straightforward, has not been sufficient to prevent the decline of agricultural water resources in recent decades. This decline is attributed to several factors, including global warming, population growth, urbanization, and industrialization [14]. Consequently, the sustainability and effectiveness of current salinity management practices that depend on leaching are at risk [4]. Therefore, there is an urgent need to develop innovative and water-efficient strategies for managing soil salinity that align with sustainable agricultural practices.
Recent studies indicate that incorporating straw interlayers at depths of 20 to 40 cm can significantly reduce the upward movement of saline groundwater, resulting in lower soil salinity levels [15]. These interlayers not only enhance soil moisture retention and mitigate salt buildup, but also promote root development. Notably, applying a 5 cm layer of straw can boost beneficial microbial populations in the soil [15]. However, challenges related to deep straw mulching, such as high labor and machinery requirements, its short-term effectiveness (approximately 100 days), and its limited impact on evaporation control during later crop growth stages, hinder its wider adoption [15].
On the other hand, converting straw into biochar offers a promising solution to improve the durability and effectiveness of deep mulching techniques. Biochar, a carbon-rich material created from biomass (e.g., crop residues) through pyrolysis in an oxygen-limited environment at temperatures between 300 and 700 °C, has garnered attention for its beneficial properties in soil management [16]. Research shows that biochar can lower soil bulk density while enhancing various soil characteristics, including aeration, permeability, water retention, aggregate stability, and saturated hydraulic conductivity [17,18,19,20].
An indoor soil column experiment demonstrated that incorporating biochar interlayers at depths of 10, 20, and 30 cm can significantly reduce soil infiltration rates while improving the efficiency of salt leaching [21]. The interlayer placed at 30 cm was particularly effective in preventing reverse salt migration and minimizing evaporation. This result identifies biochar as a viable strategy for managing salinity and conserving water, especially in arid and semi-arid agricultural environments.
The application of biochar also alters the distribution of salts within the soil, facilitating efficient desalinization by allowing the removal of just the top 2 cm of soil with minimal water usage [21]. Initially, biochar increases evaporation through enhanced moisture retention and capillary action; however, it later reduces evaporation by decreasing soil cracking and compaction. This can lead to a reduction in evaporation of up to 43% at a 10% application rate. Collectively, these advantages suggest that biochar could serve as a sustainable solution for salinity management and reduced water requirements in salt-affected agricultural regions, potentially offering an alternative to the use of traditional straw interlayers for reclaiming saline soils.
While recent research has focused primarily on the surface application of biochar, there is a lack of studies investigating its role as a subsurface barrier impacting salt leaching distribution. This research aims to bridge that gap through a series of laboratory experiments and field trials designed to enhance the understanding of how a biochar interlayer can influence the movement of both salt and water within the soil profile. The primary objective is to elucidate the mechanisms regulating soil water and salt dynamics, which is essential for developing effective strategies for water conservation and salt remediation in saline agricultural contexts, particularly in arid and semi-arid regions.
To achieve these objectives, the research will concentrate on three key areas: (1) quantifying the duration necessary for effective leaching of soluble salts from columns of saline soil, thereby clarifying the timeframe required for salt removal; (2) analyzing the sequence of different salt ions during leaching to provide insights into their interactions and behaviors; and (3) recommending an optimal application rate for biochar, including the ideal interlayer thickness, to maximize its benefits for salt and water management. Through this research, we aim to contribute valuable theoretical frameworks and practical guidelines that support sustainable agricultural practices in challenging environments.

2. Materials and Methods

2.1. Laboratory Experiment

The soil utilized in the laboratory experiment was sourced from an experimental field at the Agronomy Research Farm, University of Agriculture, Peshawar, Pakistan. To facilitate a comprehensive analysis, soil samples were collected from two distinct depths: 0–20 cm and 20–40 cm. This stratified sampling approach enhances the understanding of how soil properties may vary by depth.
To assess the soil texture, the hydrometer method was employed to accurately measure the mass fractions of various particle groups within the soil. The analysis revealed a composition of 15% sand, 80% silt, and 5% clay, classifying the soil as silty loam, which is characterized by its high silt content, at both depths (0–20 cm and 20–40 cm).
Before conducting the experimental tests, all soil samples were carefully transported to the laboratory for further processing. Each sample was dried to eliminate excess moisture, ground for uniformity, and sieved through a 2 mm mesh screen. This sieving process effectively removed larger particles and impurities, thereby enhancing the overall quality and consistency of the soil samples for analysis. A summary of the detailed properties and characteristics of the soil can be found in Table 1, which provides a clear overview of its physical and chemical attributes.

2.1.1. Soil Column

The experimental soil column was meticulously designed using a durable gray PVC cylinder measuring 70 cm in height and featuring an inner diameter of 10 cm, thereby creating an optimal environment for soil analysis. This cylinder was carefully filled with air-dried saline soil and layered thoughtfully to replicate natural soil horizons. The soil was packed into two distinct layers, corresponding to depths of 0–20 cm and 20–40 cm, ensuring authentic stratification that mirrors the natural layering found in terrestrial ecosystems. The bulk densities of these packed layers were precisely controlled at 1.40 g cm−3 for the upper 0–20 cm layer and 1.34 g cm−3 for the lower 20–40 cm layer, accurately simulating real-world soil conditions. To investigate the effects of biochar, specifically measured interlayers of biochar were incorporated within the soil column, maintaining a bulk density of 0.52 g cm−3. Five different amounts of biochar were applied, representing various treatment groups: a control group without biochar (CK), alongside groups containing 20 tons (BL20), 40 tons (BL40), 60 tons (BL60), and 80 tons (BL80) per hectare of biochar.
To enhance the experiment’s integrity, a finely graded layer of quartz granules, each measuring less than 2 mm in diameter, was strategically placed atop the soil layers. This essential quartz layer serves as a barrier, effectively preventing the intermixing of the underlying soil layers during the subsequent experimental procedures. Additionally, a double layer of gauze was carefully laid over the quartz layer to reduce interfacial tension and facilitate improved water infiltration into the packed soil below.
A secure PVC plate was expertly sealed at the base of the column, featuring a centrally located 2 mm diameter hole. This hole was fitted with a robust rubber stopper, creating a reliable pathway to a sturdy plastic tube designed specifically for collecting the eluent during the leaching events, thereby ensuring accurate data collection.
Each treatment combination, which included four variations of biochar and a control group without biochar, was replicated three times to strengthen the study’s overall rigor.

2.1.2. Leaching Experiment

Deionized water, with a specific pH of 6.75, was administered gradually from a storage container using a precision drip system. This system was engineered to maintain a flow rate of approximately 100 drops per minute, resulting in a delivery volume of roughly 5 milliliters per minute. The leaching process commenced under these controlled conditions and continued until a stable water column height of about 1 cm was established within the column, creating optimal conditions for subsequent experimental procedures.
Once the desired waterhead was set, the eluate that percolated downward through the column was collected at predetermined time intervals. To monitor temporal fluctuations in ionic concentration, the electrical conductivity (EC) of the collected eluates was measured every two days. This systematic approach provided an in-depth view of the ionic dynamics throughout the experiment.
The investigation focused on both cationic and anionic constituents in the leachate at three critical stages of the leaching process. In Stage 1, the EC exhibited a significant decline of 25% compared to the initial peak measurement, indicating efficient removal of soluble ions from the substrate. As the experiment progressed into Stage 2, this trend became more pronounced, with EC values reflecting a remarkable 50% reduction. This indicated a continued mobilization of salts from the matrix, likely involving a diverse spectrum of ionic species contributing to the leachate.
By Stage 3, the EC had decreased dramatically, achieving a notable reduction of 75% from the initial peak value, ultimately stabilizing at levels below 2 dS m−1. This stabilization suggested that the most readily soluble ions had been leached, thereby allowing for a detailed analysis of the ionic composition within the leachate.
The defined stages of this experiment were pivotal for characterizing the sequential leaching behavior of the predominant salt ions in the eluents. The conclusion was marked by a comprehensive evaluation of EC values, where the variation between the consecutive measurements consistently remained below a 10% threshold. This milestone indicated the establishment of a steady-state condition concerning the ionic composition of the leachate, facilitating a deeper understanding of ion dynamics and behavior throughout the experimental process. This meticulous methodology enabled researchers to build a robust framework for comprehending the factors governing ion mobility and behavior in various environmental contexts.

2.2. Field Experiment

2.2.1. Experimental Site Description

The field experiment was carried out at the Agronomy Research Farm within the University of Agriculture, Peshawar, Pakistan, as depicted in Figure 1. The facility is precisely located at 34.01° N latitude and 71.35° E longitude, with an elevation of 359 m above sea level. The surrounding environmental conditions are characterized as warm to hot semi-arid subtropical, with an average annual precipitation of approximately 360 mm. This climate presents both challenges and opportunities for agricultural practices in the region. The interaction between altitude and climatic factors plays a crucial role in local agronomy, influencing crop selection and necessitating specific farming strategies to optimize yield outcomes.

2.2.2. Soil Salinity Assessment and Site Uniformity

Before implementing the treatment, a baseline soil salinity assessment was performed to ascertain the uniformity of the experimental field. Soil samples were systematically collected at depths of 0–20 cm and 20–40 cm in a grid pattern throughout the plot. Electrical conductivity (EC) was measured using a calibrated EC meter to ensure accuracy. The coefficient of variation (CV) for EC across the site was calculated to be under 10%, indicating a relatively homogeneous distribution of salinity. These results validated the appropriateness of the field for controlled experimental purposes.

2.2.3. Experimental Design and Procedure

The field experiment was conducted to evaluate the effects of varying biochar application rates on soil and sunflower growth. Soil samples were collected from the experimental site to support a concurrent laboratory analysis. Five biochar treatments were implemented: a control (0 tons/ha, CK), and four treatments of 20 tons/ha (BL20), 40 tons/ha (BL40), 60 tons/ha (BL60), and 80 tons/ha (BL80), respectively.
The study employed a completely randomized block design with three replications, resulting in a total of 15 plots measuring 2 m × 2 m each. Biochar was incorporated into the soil at a depth of 20 cm, with the primary objectives of enhancing sunflower growth, mitigating phreatic evaporation, and curtailing the upward movement of salts from deeper soil horizons.
Post-application, the displaced soil was carefully layered and compacted to maintain its original bulk density, ensuring an optimal environment for seed germination and root establishment. The experimental field underwent flood irrigation two weeks before sunflower sowing to achieve adequate soil moisture, facilitated by a tube well.
The sunflower (Helianthus annuus) was selected as the test crop, with sowing executed on 22 May 2022. At the time of sowing, base fertilizers were applied, consisting of 120 kg/ha of nitrogen, supplied as urea, and 90 kg/ha of phosphorus, provided as diammonium phosphate. All agronomic practices adhered to standard protocols for sunflower cultivation, thereby establishing a reliable framework to assess the efficacy of the biochar amendments.
Comprehensive soil characteristics and analytical results from both laboratory and field studies are systematically documented and presented in Table 1.

2.2.4. Harvesting and Data Collection

The sunflower harvest occurred on 18 September 2022, concluding a rigorously monitored cultivation period extending over several months. In this detailed study, we performed measurements on five randomly selected plants from each plot to capture essential growth metrics and yield data.
To evaluate seed quality, three samples of 1000 achenes were systematically collected from each plot. This method ensured a representative analysis of seed quality, facilitating a precise evaluation of the average achene weight. In addition, total biomass and grain yield assessments were conducted following an extensive sun-drying process, which was essential for achieving optimal moisture content and ensuring accurate yield measurements.
The harvested grains underwent manual threshing to gently separate the seeds from the sunflower heads, with a focus on minimizing damage during the process. The seeds were then weighed using a high-precision electronic balance, which allowed for an accurate determination of the final yield. This thorough, methodical approach not only yielded reliable data but also provided critical insights into sunflower production techniques and best agronomic practices, significantly enhancing our understanding of effective cultivation strategies.

2.2.5. Analysis of Gas Exchange Characteristics

An infrared gas analyzer (CI-340 Photosynthesis System, CID Bio-Science, Camas, WA, USA) was employed to assess the gas exchange dynamics in the plant systems. This evaluation encompasses critical physiological mechanisms that govern the flux of carbon dioxide (CO2), oxygen (O2), and water vapor (H2O) through stomatal apertures on foliar surfaces. These processes are integral to photosynthesis, where CO2 is assimilated into glucose through photon absorption and transpiration, which facilitates thermoregulation and enhances the hydraulic transport of water and nutrients within the plant.

2.2.6. Soil Sample Collection and Analysis

Following the successful harvest of sunflowers, a systematic protocol was initiated involving the comprehensive collection of soil samples from designated plots. Samples were extracted at two specific depths: 0–20 cm and 20–40 cm. To elucidate the chemical properties of the soil, we employed a 1:10 soil-to-water suspension method for precise pH and electrical conductivity (EC) measurements. This approach guarantees accuracy in representing the soil’s characteristics.
For a detailed analysis of soil texture, the hydrometer method was utilized [22], providing insights into the particle size distribution. Water-soluble cations and anions were extracted through the same 1:10 (volume weight) soil-to-water ratio.
In assessing essential cations, the concentrations of Na+ and K+ were determined using flame photometry (Jenway, PF-7, Dunmow, UK), noted for its reliability in quantifying these elements. The levels of Ca2+ and Mg2+ were measured through EDTA titration, a method acclaimed for its precision in evaluating vital nutrients. Additionally, SO42− concentrations were quantified via EDTA titration, while Cl levels were ascertained using silver nitrate titration, thereby mapping the soil’s complex chemical composition. HCO3 content was determined through titration with sulfuric acid (H2SO4), emphasizing its significance in soil chemistry.
Total nitrogen content was analyzed through Kjeldahl methods, adhering to the techniques outlined by Bremner and Mulvaney (1996) [23]. For organic matter assessment, we followed the established methodology of Nelson and Sommers [24]. The availability of phosphorus (P) and potassium (K) was evaluated using the AB-DTPA method, which provides critical information regarding nutrient accessibility for plant uptake and the soil’s fertility potential. P concentration was measured using an ultraviolet/visible (UV/Vis) spectrophotometer (UV-1600PC, VWR, Radnor, PA, USA), while K was determined through flame photometry (Jenway, PF-7).

2.3. Biochar Production and Characteristics

Biochar was produced from air-dried sunflower straw via a slow pyrolysis process, conducted at a controlled temperature of 400 °C for three hours in a muffle furnace under limited oxygen conditions [25]. This method facilitated the thermal decomposition of biomass into biochar. Post-pyrolysis, the biochar was processed to achieve a uniform particle size of 2 mm, ensuring consistency and optimizing its applicability. A comprehensive characterization of the biochar’s physical and chemical properties, including surface area, porosity, and nutrient content, is outlined in Table 2.

2.4. Statistical Analysis

A one-way analysis of variance (ANOVA) was conducted to assess statistically significant differences among the treatment groups. This approach is particularly effective for comparing means across three or more independent groups, allowing us to determine if at least one group significantly deviates from the others. Following the ANOVA, we employed the least significant difference (LSD) test as a post hoc analysis to perform pairwise comparisons between the treatment groups, while maintaining control over Type I error rates. The significance threshold was set at 5%, ensuring a robust evaluation of the treatment effects. The use of the LSD test afforded us a detailed insight into the specific differences among the groups, thereby enhancing the interpretation of our results and providing critical insights into the relative efficacy of each treatment.

3. Results

3.1. Column Experiment

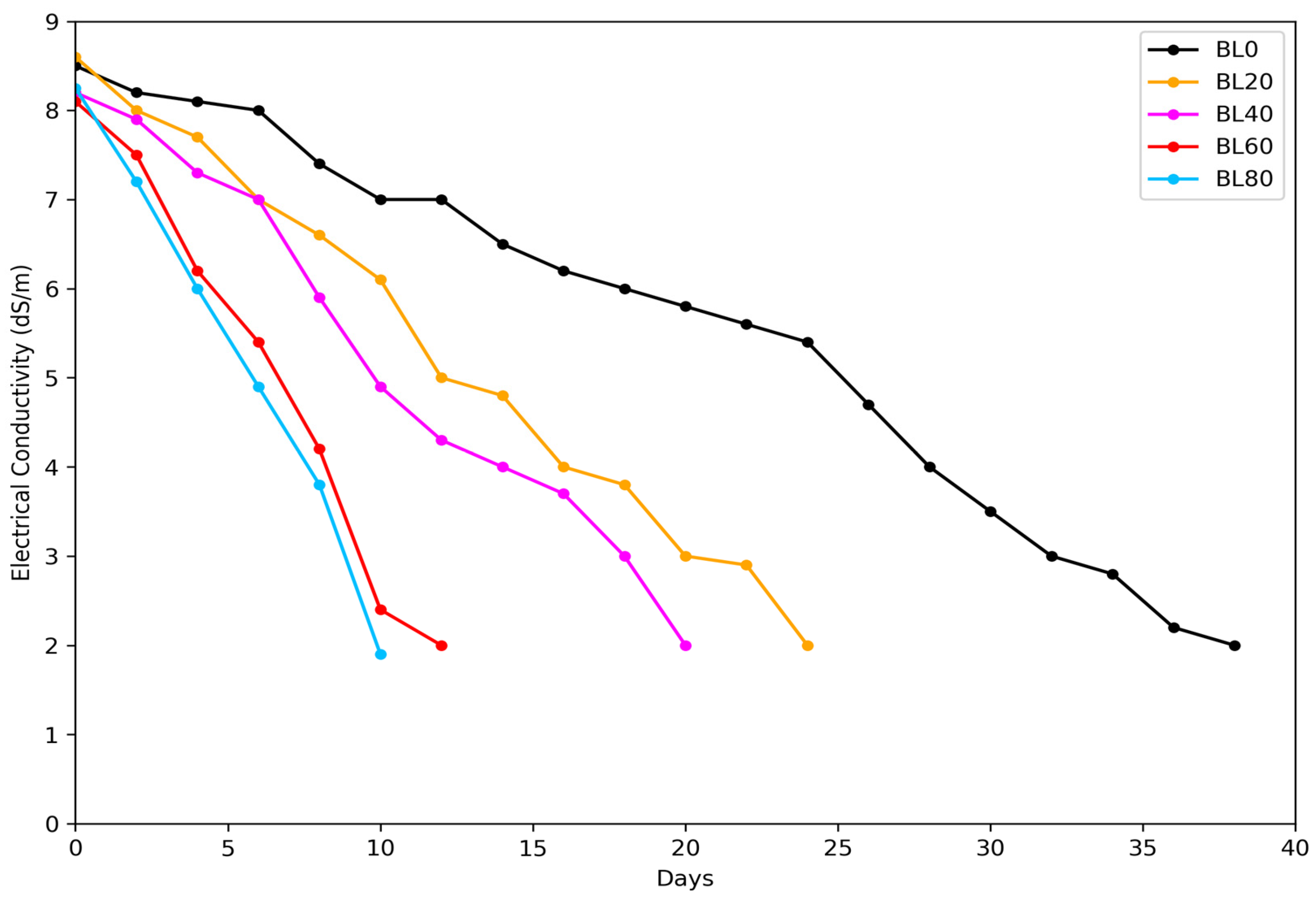
The evaluation of the eluent discharge from soil columns featuring various biochar interlayer treatments is detailed in Figure 2 and Figure 3. Notably, the time to achieve eluent discharge varies significantly among the treatments. The control treatment (CK) required 43 days, while the biochar-enriched treatments demonstrated markedly reduced discharge times: 23 days for BL20, 15 days for BL40, 10 days for BL60, and just 7 days for BL80 (Figure 2). This variance underscores the potential of biochar to enhance leaching efficiency.
For the CK treatment, it took 38 days for the electrical conductivity (EC) to stabilize below the critical threshold of 2 dS m−1, indicating a slower rate of salt leaching under conventional conditions (Figure 3). In contrast, the biochar-enhanced treatments exhibited significantly accelerated EC reduction. The BL40 treatment stabilized in approximately 24 days, while BL60 did so in 19 days. The highest efficiency was observed with BL80, reaching stabilization in only 10 days, suggesting a strong correlation between the quantity of biochar applied and the dynamics of salt leaching.
Further analysis of the elution volumes revealed that the biochar-treated columns (BL20, BL40, BL60, and BL80) experienced elution events occurring 20 to 36 days sooner than those of the CK treatment, providing robust evidence for the efficacy of biochar in enhancing leaching in saline substrates.
The data illustrated in Figure 4 quantify the leachate composition, predominantly comprising ions Na+, Cl, SO42−, and HCO3. Ion concentrations were evaluated across three critical leaching stages: Stage 1 exhibited a 25% reduction in EC; Stage 2 reflected a further 50% decrease; and by Stage 3, a total decline of 75% from the initial EC value was observed to stabilize below the 2 dS m−1 threshold.
Throughout these stages, significant reductions in Na+, Cl, SO42−, and HCO3 concentrations were recorded, which were particularly noticeable between Stages 2 and 3. The biochar treatments consistently resulted in lower ion concentrations than those of the CK control, highlighting the effectiveness of biochar interlayers. Notably, the most substantial reductions in ion concentrations were associated with higher biochar application rates in treatments BL60 and BL80. Collectively, these results provide compelling evidence that biochar interlayers not only enhance salt leaching but also play a crucial role in mitigating salt accumulation in saline-affected soils, which is essential for sustainable soil management and optimizing agricultural productivity.

3.2. Effect of Biochar Interlayer on EC and Dynamics of Soluble Salts Content of the Soil Profile

Table 3 provides robust evidence that the incorporation of biochar as an interlayer in the soil effectively reduces EC levels and lowers the concentrations of key soluble salts, including Na+, K+, Ca2+, Mg2+, Cl, SO42−, and HCO3 throughout the soil profile.
The data clearly demonstrates a consistent trend of decreasing EC with increasing biochar application rates at soil depths of both 0–20 cm and 20–40 cm. At the 0–20 cm depth, EC saw a substantial reduction from 7.12 dS m−1 in the CK to 2.25 dS m−1 in the highest biochar treatment (BL80). Similarly, at the 20–40 cm depth, EC decreased from 6.30 dS m−1 in CK to 2.41 dS m−1 in BL80. This trend across both soil layers indicates that higher biochar application rates significantly enhance salinity mitigation.
In the upper 0–20 cm layer, biochar application resulted in significant reductions in the concentrations of all measured cations and anions. For instance, the Na+ concentration fell from 3.44 mg·g−1 in CK to 2.75 mg·g−1 in the BL80 treatment, while K+ concentrations decreased from 0.24 mg·g−1 to 0.11 mg·g−1. Notable declines were also observed for Ca2+ and Mg2+, which dropped from 0.35 mg·g−1 to 0.20 mg·g−1 and from 0.31 mg·g−1 to 0.24 mg·g−1, respectively. Among the anions, Cl decreased substantially from 1.22 mg g−1 to 0.88 mg·g−1, SO42− from 1.91 mg·g−1 to 1.30 mg·g−1, and HCO3 from 0.39 mg·g−1 to 0.18 mg·g−1.
Similarly, in the 20–40 cm layer, a parallel downward trend in concentration was observed with increasing biochar rates. Specifically, the Na+ concentration decreased from 3.62 mg·g−1 (CK) to 3.05 mg·g−1 (BL80), and K+ dropped from 0.28 mg·g−1 to 0.12 mg·g−1. Both Ca2+ and Mg2+ concentrations were reduced from 0.39 mg·g−1 to 0.26 mg·g−1 and from 0.36 mg·g−1 to 0.27 mg·g−1, respectively. The anions also followed this trend, with Cl decreasing from 1.18 mg·g−1 to 0.80 mg·g−1, SO42− from 1.95 mg·g−1 to 1.33 mg·g−1, and HCO3 from 0.42 mg·g−1 to 0.21 mg·g−1.
The most significant reductions with increasing biochar application were observed for EC, Na+, Cl, and SO42− across both layers. These findings highlight the efficacy of biochar interlayer treatments in not only reducing surface salt concentrations but also in promoting enhanced leaching and the redistribution of salts within deeper soil profiles. Such progressive salt leaching is critical for overall soil desalination, which in turn enhances soil health and supports improved agricultural productivity.

3.3. Effect of Biochar Interlayer on Soil Organic Matter, Total N, Available P, and K

Table 4 presents a comprehensive analysis of the benefits associated with the integration of biochar interlayers into soil management, focusing on critical soil quality parameters. The treatments designated as BL20, BL40, BL60, and BL80 revealed significant enhancements in various key indicators.
The total N content exhibited an increase from 0.30 g·kg−1 in the control group (CK) to 0.41 g·kg−1 in biochar-treated soils, marking a substantial enhancement of 36.67%. This surge in nitrogen, a vital macronutrient, directly correlates with improved plant growth, thereby impacting agricultural yields.
Phosphorus (P) availability experienced a dramatic increase, escalating from 2.90 mg·kg−1 in the control group to 6.14 mg·kg−1 in the biochar-amended soils, equating to an impressive rise of 111.72%. This enhancement indicates that biochar not only bolsters nutrient retention but also facilitates more efficient nutrient uptake by plants, thus contributing to their metabolic processes.
Additionally, available K levels significantly increased from 57 mg·kg−1 in the control group to 73 mg·kg−1 in biochar-treated soils, representing a 28.07% improvement. These findings underscore the role of biochar in enhancing nutrient accessibility within the soil, which is critical for optimizing crop productivity.
Furthermore, soil organic matter content rose notably from 5.82 g·kg−1 in the control group to 6.93 g·kg−1 with the application of biochar, reflecting a 19.07% enhancement. The increase in organic matter is pivotal for improving soil structure, water retention, and overall ecological health, thereby supporting sustainable agricultural practices.
In conclusion, these findings underscore the significant influence of biochar interlayers on soil quality, which in turn fosters enhanced agricultural productivity and sustainability.

3.4. Effect of Biochar Interlayer on Gaseous Exchange Characteristics and Yield of Sunflower

The application of biochar interlayers has demonstrated marked effects on the gaseous exchange parameters and biological yield metrics in sunflowers, specifically regarding achene yield and the weight of one thousand achenes, with statistical significance established at p < 0.05 (refer to Table 5 for comprehensive data). A range of biochar treatments were investigated, including the control (CK) and varying concentrations (BL20, BL40, BL60, BL80) of biochar, all contributing to significant enhancements in the gaseous exchange characteristics of sunflowers cultivated under saline soil conditions.
These biochar treatments resulted in substantial increases in photosynthetic rates, reflecting improved efficiency in regards to sunlight conversion to biochemical energy. Enhanced stomatal conductance was also observed, critical for optimizing gas exchange and transpiration efficiency, ultimately aiding in cellular hydration and nutrient transport—essential factors that typically impede plant growth and productivity under saline stress.
The biochar’s influence extended beyond photosynthetic performance, leading to notable increases in overall biological yield, particularly in achene yield and the weight of one thousand achenes (see Table 6). Significantly, treatments with higher biochar concentrations (BL60 and BL80) showcased remarkable improvements in these yield parameters, indicating a positive correlation between biochar concentration and sunflower productivity.
These pronounced effects associated with enhanced biochar treatments can essentially be attributed to superior soil moisture retention capabilities, which are crucial in mitigating the detrimental impacts of salt stress. Improved moisture retention facilitates more effective carbon dioxide assimilation during photosynthesis and enhances the physiological health and vigor of sunflower plants.
In summary, these findings underscore that optimized growing conditions achieved through biochar treatment can significantly bolster sunflower productivity and resilience, especially in saline-prone environments. This research highlights the potential benefits of incorporating biochar as a soil amendment in agricultural systems affected by salinity, which may promote sustainable crop production practices while alleviating the challenges posed by soil salinity and enhancing agricultural yields in the face of evolving environmental pressures.

4. Discussion

4.1. Effect of Biochar Interlayers on Effluent Discharge, EC Reduction, and Ion Concentration in the Eluent

Laboratory and field investigations have robustly established the significant benefits of integrating biochar interlayers into agricultural systems, particularly concerning salt leaching and soil health enhancement. The data indicates that biochar interlayers facilitate the salt-leaching process, effectively reducing the duration necessary for effluent discharge into the environment. Additionally, biochar applications have shown a marked reduction in electrical conductivity (EC) within the soil profile when compared to that of the control group (CK), underscoring its efficacy in salinity management.
Specifically, biochar treatments resulted in substantial decreases in the concentrations of key soluble ions—Na+, K+, Ca2+, Mg2+, Cl, SO42−, and HCO3—at both 0–20 cm and 20–40 cm soil depths. Notably, higher rates of biochar application correlated with greater reductions in these ions, highlighting a dose-dependent response that elevates its effectiveness. These results illustrate that biochar interlayers not only enhance salt removal efficiencies but also promote progressive soil desalination with depth, which is crucial for facilitating favorable conditions for root development and sustainable crop production.
These findings align with those in the existing literature [25,26], indicating that biochar-amended columns exhibited earlier efflux discharge, occurring 24 to 40 days earlier than in the control treatment without biochar (CK). The application of biochar also reduced the time required for efflux EC levels to decrease to 5 dS m−1 by 56 to 62 days. Among the biochars tested, sunflower straw biochar (SSB) demonstrated significantly lower concentrations of harmful ions, particularly sodium (Na+) and bicarbonate (HCO3), by the conclusion of the experiment.
It is noteworthy that traditional early flooding irrigation practices, aimed at mitigating soil salinity pre-planting, often result in substantial water loss to evaporation, primarily contributing to atmospheric moisture loss rather than effectively leaching salt into groundwater. The extended drainage periods—typically exceeding three weeks—necessary to attain optimal soil moisture can delay planting times. This postponement not only curtails the crop growth period but may also adversely influence overall yields [27].
Research indicates that the pre-plant leaching process frequently requires more than double the water volume needed for irrigation throughout the growing season [25]. Considering this, our findings advocate for the incorporation of biochar interlayers to significantly accelerate salt leaching, thereby minimizing the time required to clear most salts from the soil profile (refer to Figure 2 and Figure 3). This efficient salt removal process allows for earlier sowing, potentially extending the critical crop growth period essential for maximizing yields.
Moreover, the biochar interlayer approach shows considerable promise for conserving irrigation water resources. The rapid stabilization of soil EC, coupled with the enhanced water retention properties observed in biochar-amended soils, may lead to reduced evaporation rates, especially during the vital spring season when moisture is critical for young crops. Nonetheless, the empirical evidence from field conditions remains sparse, underscoring the necessity for further investigation to substantiate these laboratory findings. To address this gap, a field experiment has been initiated to thoroughly explore and verify the observations observed in controlled settings.
In summary, these results suggest that biochar interlayers have the potential to conserve irrigation water, improve soil conditions, and facilitate earlier planting, thereby contributing to sustainable crop production.

4.2. Effect of Biochar Interlayer on Leaching of Soluble Salts in the Soil Profile

The incorporation of biochar interlayers has been shown to substantially decrease soil electrical conductivity (EC) and reduce the concentrations of crucial soluble ions such as Na+, K+, Ca2+, Mg2+, Cl, SO42−, and HCO3 within the 0–20 cm and 20–40 cm soil profiles when compared to the results for the control treatments (CK). Particularly, application rates of biochar at BL60 and BL80 yielded pronounced reductions, with EC diminishing by up to 68.4% at the 0–20 cm depth and 61.7% at the 20–40 cm depth relative to the results for the controls. These observations indicate that higher biochar applications significantly enhance the soil desalination process by fostering improved salt leaching while minimizing ion accumulation throughout the soil profile.
Field experiments corroborated these laboratory findings, reinforcing the credibility of the controlled experimental data in practical agricultural settings. The consistent results from both controlled environments and field conditions highlight the efficacy of biochar interlayers in expediting salt leaching, leading to the early stabilization of soil EC and a more uniform distribution of water and salts. This alignment emphasizes the predictive capacity of laboratory studies for broader agricultural applications, positioning biochar interlayers as a viable strategy for alleviating surface soil salinity and improving overall soil quality across various field environments.
Biochar, a carbon-dense material produced via the pyrolysis of organic biomass, is gaining recognition for its considerable potential in managing saline conditions in agricultural soils. Its distinctive properties, including high porosity and significant cation exchange capacity, enhance water retention and facilitate ion mobility within soil ecosystems [27].
Research has consistently shown that the strategic incorporation of biochar interlayers at varying depths and concentrations—designated as CK (control), BL20, BL40, BL60, and BL80—significantly influences salt accumulation dynamics in the upper soil strata. These biochar interlayers serve to mitigate the upward migration of salts by enhancing soil structure, diminishing capillary rise, and augmenting water retention in deeper soil profiles [21,26]. Notably, higher biochar concentrations (BL60 and BL80) demonstrate a pronounced efficacy in curbing surface salt accumulation compared to lower concentrations.
Moreover, the integration of straw barriers into the soil profile has been proven to markedly alter soil structure, disrupt capillary continuity, and modify the vertical distribution of salts within the soil matrix [17,28,29]. This alteration facilitates the dissolution of soluble salts in the upper soil layers, enhances the efficacy of salt-leaching processes, and minimizes salt accumulation within the straw interlayer [29].
While extensive research has focused on straw interlayers to improve salt leaching and mitigate surface accumulation in contexts characterized by shallow water tables and high evaporation rates, the role of biochar interlayers in reducing soil water evaporation and controlling salt migration to the surface remains underexplored. Establishing optimal application rates and interlayer thicknesses of biochar is essential for effectively enhancing soil quality and supporting crop productivity in salt-affected domains. Evidence suggests that a 6 cm thick peat layer is particularly effective for moisture retention in the upper soil layers, while minimizing salt accumulation [28].
Recent findings indicate that a 5 cm thick biochar interlayer positioned beneath a depth of 30 cm can proficiently manage soil salinity and bolster water conservation [26]. The biochar interlayer demonstrates its capacity to retain soil moisture over extended durations while adsorbing salt leached from the upper layers, thus preventing reverse salt migration from deeper soil horizons. The observed reduction in soil water evaporation due to the biochar layer can be attributed to its superior water retention capabilities and microporous structure, which disrupts capillary continuity and mitigates moisture transport upward [21].
Biochar also critically influences the rhizosphere microenvironment through improvements in soil structure, enhanced microbial activity, and modifications in ionic dynamics. Collectively, these alterations better regulate salt transport and alleviate salt stress in plants [30].
Recent studies advocate for deploying a biochar interlayer at an application rate of 45 tons per hectare as a viable strategy for the ecological restoration of saline wastelands, highlighting its considerable potential in extremely arid ecosystems [31,32]. This holistic approach towards managing soil salinity and promoting water retention ultimately aims to enhance agricultural sustainability and productivity in adverse environments.
Although the application of biochar at rates up to 80 t ha−1 may appear excessive for widespread agricultural use, it is critical to note that in this context, biochar was employed as a single surface interlayer rather than being mixed into the soil matrix. This methodology aims to facilitate salt leaching and mitigate capillary salt rise in salinized soils. Given its structural stability and slow degradation characteristics, biochar may retain its functional benefits in the soil for several years, thus justifying its use at higher application rates for the reclamation of salt-affected soils for which the long-term advantages outweigh initial costs. Furthermore, the porous structure and high specific surface area of biochar can significantly enhance water infiltration and create a physical barrier to salt intrusion in the root zone, providing a sustainable, low-maintenance solution over time [30,31]. Moreover, it is important to highlight that this investigation was conducted on a specific soil type. The wider applicability of biochar across different soil textures, including sandy and clayey soils, warrants further exploration, as variations in soil properties may influence the physicochemical interactions between biochar and the soil matrix, thereby impacting outcomes related to salinity reduction and overall soil fertility.

4.3. Effect of Biochar Interlayer on Gaseous Exchange Characteristics, Sunflower Yield, and Soil Nutrients

The integration of biochar interlayers into agricultural systems has demonstrated significant enhancements in gaseous exchange parameters and critical yield components in Helianthus annuus, particularly under saline conditions. This improvement is closely linked to the augmented bioavailability of essential nutrients, specifically nitrogen (N), phosphorus (P), and potassium (K), all of which are vital for promoting optimal plant growth and physiological development [22,31,32,33].
Furthermore, the utilization of straw biochar interlayers has been shown to facilitate the leaching of excess salt from the rhizosphere, effectively boosting crop yields. Empirical observations reveal a pronounced yield enhancement during the initial application phases of these interlayers. This indicates that the biochar’s physical properties may play a pivotal role in salt accumulation mitigation and soil structural enhancement, potentially offering greater advantages than the nutrient release achieved through its decomposition.
These results underscore the efficacy of employing an appropriate dosage of straw biochar, estimated at around 60 to 80 tons ha−1, as a cost-effective methodology for improving soil health while enhancing agricultural productivity in sodic soils.
Salinity stress typically leads to diminished relative water content in plants and restricts chlorophyll biosynthesis, resulting in a marked reduction in photosynthetic efficiency [34]. However, substantial evidence indicates that biochar application ameliorates soil characteristics and reduces salinity levels, thereby significantly enhancing photosynthetic activity. This occurs through increased chlorophyll synthesis and the activation of stress-responsive proteins that aid in maintaining osmotic regulation and hormonal equilibrium, thereby bolstering plant tolerance to osmotic and ionic stresses [35,36].
Additionally, the use of biochar has been correlated with increased chlorophyll content attributable to enhanced nitrogen availability, critical for chlorophyll production [34]. The incorporation of biochar into saline soils is also associated with higher stomatal density and conductance, optimizing the leaf gas exchange processes and markedly improving photosynthetic performance [35,37].
The observed enhancements in photosynthetic pigments resulting from biochar application correspond with the improved uptake and availability of crucial nutrients such as potassium (K), phosphorus (P), magnesium (Mg), calcium (Ca), and sulfur (S). These improvements reflect favorable changes in the physicochemical and biological properties of the soil, indicating that biochar serves not only as a soil amendment but also as a viable solution to mitigate the challenges of saline soils within agricultural frameworks [37].
The regulation of gas exchanges is not only essential for plant metabolic functions, but it also significantly affects overall growth, productivity, and environmental stress responses. The key parameters measured include the photosynthetic rate, reflecting the efficiency of photosynthesis; the transpiration rate, indicative of water loss and cooling dynamics; and stomatal conductance, which quantifies the gas exchange efficiency.
By analyzing these parameters, we gain crucial insights into the plant’s capacity to manage water and carbon dioxide across varying environmental stressors such as drought, salinity, and temperature fluctuations. Understanding these interactions is vital for predicting plant performance under fluctuating climatic conditions and optimizing agronomic practices to enhance crop resilience and yield.

5. Conclusions

Under controlled laboratory conditions, the experimental framework indicated that the addition of biochar interlayers markedly expedited effluent discharge. This facilitation resulted in a substantial reduction in the time needed to reach stable EC levels, alongside promoting the leaching of essential ionic species including Na+, Cl, SO42−, and HCO3. In contrast, the control treatments exhibited markedly slower salt-leaching kinetics. Higher application rates, especially in groups BL60 and BL80, led to the greatest salt removal and EC reduction, highlighting biochar’s effectiveness in reducing soil salinity.
Field trials effectively corroborated the laboratory results, demonstrating the real-world applicability of biochar interlayers under agricultural conditions. The data revealed substantial reductions in soil EC and major soluble salt concentrations in both the top 0–20 cm and deeper 20–40 cm layers, highlighting the depth-wise effectiveness of biochar’s ameliorative properties throughout the soil profile. Sunflowers treated with biochar, showed improved photosynthesis, stomatal conductance, and transpiration efficiency, leading to higher biomass and achene yield, etc.
The application of biochar interlayers at rates of 60–80 tons per hectare is recommended as a viable and sustainable strategy for facilitating salt leaching, optimizing irrigation water conservation, and enhancing both soil health and crop productivity in saline environments.

Author Contributions

Conceptualization, G.E.A. and M.I.; methodology, G.E.A. and M.I.; software, G.E.A. and M.I.; validation, G.E.A., M.I., A.M., S.S. and S.I.; formal analysis, G.E.A., M.I., A.M. and S.I.; investigation, G.E.A., M.I., A.M. and S.I.; resources, G.E.A.; data curation, G.E.A., M.I., A.M., S.S. and S.I.; writing—original draft preparation, G.E.A., M.I., S.S., A.M. and S.I.; writing—review and editing, G.E.A., M.I., A.M. and S.I.; visualization, G.E.A., M.I., A.M. and S.I.; supervision, G.E.A.; project administration, G.E.A.; funding acquisition, G.E.A. All authors have read and agreed to the published version of the manuscript.

Funding

This research received no external funding.

Institutional Review Board Statement

Not applicable.

Informed Consent Statement

Not applicable.

Data Availability Statement

The additional data of this study is available from the corresponding author upon reasonable request.

Conflicts of Interest

The authors declare no conflicts of interest.

References

  1. FAO Launches First Major Global Assessment of Salt-Affected Soils in 50 Years. Available online: https://www.fao.org/newsroom/detail/fao-launches-first-major-global-assessment-of-salt-affected-soils-in-50-years/en (accessed on 24 April 2025).
  2. FAO. Global Status of Salt-Affected Soils; FAO: Rome, Italy, 2024; ISBN 978-92-5-139307-9. [Google Scholar]
  3. Rengasamy, P. World Salinization with Emphasis on Australia. J. Exp. Bot. 2006, 57, 1017–1023. [Google Scholar] [CrossRef] [PubMed]
  4. Lee, X.; Yang, F.; Xing, Y.; Huang, Y.; Xu, L.; Liu, Z.; Holtzman, R.; Kan, I.; Li, Y.; Zhang, L.; et al. Use of Biochar to Manage Soil Salts and Water: Effects and Mechanisms. CATENA 2022, 211, 106018. [Google Scholar] [CrossRef]
  5. Wongpokhom, N.; Kheoruenromne, I.; Suddhiprakarn, A.; Gilkes, R.J. Micromorphological Properties of Salt Affected Soils in Northeast Thailand. Geoderma 2008, 144, 158–170. [Google Scholar] [CrossRef]
  6. Jia, B.; Mao, H.; Liang, Y.; Chen, J.; Jia, L.; Zhang, M.; Li, X.G. Salinity Decreases the Contribution of Microbial Necromass to Soil Organic Carbon Pool in Arid Regions. Sci. Total Environ. 2024, 930, 172786. [Google Scholar] [CrossRef]
  7. Bischoff, N.; Mikutta, R.; Shibistova, O.; Dohrmann, R.; Herdtle, D.; Gerhard, L.; Fritzsche, F.; Puzanov, A.; Silanteva, M.; Grebennikova, A.; et al. Organic Matter Dynamics along a Salinity Gradient in Siberian Steppe Soils. Biogeosciences 2018, 15, 13–29. [Google Scholar] [CrossRef]
  8. Amini, S.; Ghadiri, H.; Chen, C.; Marschner, P. Salt-Affected Soils, Reclamation, Carbon Dynamics, and Biochar: A Review. J. Soils Sediments 2016, 16, 939–953. [Google Scholar] [CrossRef]
  9. Xu, Q.; Xu, Y.; Xia, H.; Han, H.; Li, M.; Gong, P.; Wang, C.; Li, Y.; Li, P.; Liu, H. Mitigation of Soil Salinity by Biochar and Halophytes. Geoderma 2025, 454, 117191. [Google Scholar] [CrossRef]
  10. Xiao, H.Y.; Wen, G.C.; Liu, Q.M.; Li, G.T.; Zhao, X.R. Effects of Winter and Spring Plant Residue Mulching on Saline Soil Salt in Hetao Inner Mongolia. Agric. Res. Arid Areas 2018, 36, 23–26. [Google Scholar]
  11. Optimization of Winter Irrigation Under Freeze–Thaw Conditions: A Case Study of the Yellow River Delta, China. Available online: https://www.mdpi.com/2073-4395/13/7/1743 (accessed on 24 April 2025).
  12. Yang, Y.; Li, D.; Huang, W.; Zhou, X.; Li, Z.; Dong, X.; Wang, X. Effects of Subsurface Drainage on Soil Salinity and Groundwater Table in Drip Irrigated Cotton Fields in Oasis Regions of Tarim Basin. Agriculture 2022, 12, 2167. [Google Scholar] [CrossRef]
  13. Li, W.; Wang, Z.; Zheng, X.; Zhang, J. Effects of Local Dynamic Change of Groundwater on Soil Salinity in Wasteland under Drip Irrigation in Saline or Alkaline Land of Oasis in Xinjiang. Arid Zone Res. 2016, 33, 1110–1118. [Google Scholar]
  14. Jiang, L.; O’Neill, B.C. Global Urbanization Projections for the Shared Socioeconomic Pathways. Glob. Environ. Change 2017, 42, 193–199. [Google Scholar] [CrossRef]
  15. Zhao, Y.; Pang, H.; Wang, J.; Huo, L.; Li, Y. Effects of Straw Mulch and Buried Straw on Soil Moisture and Salinity in Relation to Sunflower Growth and Yield. Field Crops Res. 2014, 161, 16–25. [Google Scholar] [CrossRef]
  16. Irfan, M.; Chen, Q.; Yue, Y.; Pang, R.; Lin, Q.; Zhao, X.; Chen, H. Co-Production of Biochar, Bio-Oil and Syngas from Halophyte Grass (Achnatherum splendens L.) under Three Different Pyrolysis Temperatures. Bioresour. Technol. 2016, 211, 457–463. [Google Scholar] [CrossRef] [PubMed]
  17. Blanco-Canqui, H. Biochar and Soil Physical Properties. Soil Sci. Soc. Am. J. 2017, 81, 687–711. [Google Scholar] [CrossRef]
  18. Biochar Applications Influence Soil Physical and Chemical Properties, Microbial Diversity, and Crop Productivity: A Meta-Analysis|Biochar. Available online: https://link.springer.com/article/10.1007/s42773-022-00138-1 (accessed on 25 April 2025).
  19. Burrell, L.D.; Zehetner, F.; Rampazzo, N.; Wimmer, B.; Soja, G. Long-Term Effects of Biochar on Soil Physical Properties. Geoderma 2016, 282, 96–102. [Google Scholar] [CrossRef]
  20. Ahmad Bhat, S.; Kuriqi, A.; Dar, M.U.D.; Bhat, O.; Sammen, S.S.; Towfiqul Islam, A.R.M.; Elbeltagi, A.; Shah, O.; AI-Ansari, N.; Ali, R.; et al. Application of Biochar for Improving Physical, Chemical, and Hydrological Soil Properties: A Systematic Review. Sustainability 2022, 14, 11104. [Google Scholar] [CrossRef]
  21. Xu, Q.; Liu, H.; Li, M.; Li, P. The Presence of the Biochar Interlayer Effectively Inhibits Soil Water Evaporation and Salt Migration to the Soil Surface. Agriculture 2023, 13, 638. [Google Scholar] [CrossRef]
  22. Irfan, M.; Dawar, K.; Fahad, S.; Mehmood, I.; Alamri, S.; Siddiqui, M.H.; Saud, S.; Khattak, J.Z.K.; Ali, S.; Hassan, S.; et al. Exploring the Potential Effect of Achnatherum splendens L.–Derived Biochar Treated with Phosphoric Acid on Bioavailability of Cadmium and Wheat Growth in Contaminated Soil. Environ. Sci. Pollut. Res. 2022, 29, 37676–37684. [Google Scholar] [CrossRef]
  23. Advances in Methodology for Research on Nitrogen Transformations in Soils—Mulvaney—2008—Agronomy Monographs—Wiley Online Library. Available online: https://acsess.onlinelibrary.wiley.com/doi/abs/10.2134/agronmonogr49.c12 (accessed on 25 April 2025).
  24. Determination of Nutrient Availability and Elemental Toxicity by AB-DTPA Soil Test and ICPS|SpringerLink. Available online: https://link.springer.com/chapter/10.1007/978-1-4612-3144-8_3 (accessed on 25 April 2025).
  25. Yue, Y.; Guo, W.N.; Lin, Q.M.; Li, G.T.; Zhao, X.R. Improving Salt Leaching in a Simulated Saline Soil Column by Three Biochars Derived from Rice Straw (Oryza sativa L.), Sunflower Straw (Helianthus annuus), and Cow Manure. J. Soil Water Conserv. 2016, 71, 467–475. [Google Scholar] [CrossRef]
  26. Xu, Q.; Han, H.; Xu, Y.; Xia, H.; Li, M.; Gong, P.; Wang, C.; Li, Y.; Li, P.; Liu, H. Effect of the Biochar Interlayer on Saline Wasteland Desalination and the Development of Suaeda Salsa Roots. Environ. Technol. Innov. 2025, 37, 103976. [Google Scholar] [CrossRef]
  27. Chen, M.; Wang, G.; Jing, Y.; Zhou, J.; Song, J.; Chang, F.; Yu, R.; Wang, J.; Wang, W.; Sun, X.; et al. Straw Interlayer Improves Sunflower Root Growth: Evidence from Moisture and Salt Migration and the Microbial Community in Saline-Alkali Soil. J. Integr. Agric. 2024, 23, 3870–3881. [Google Scholar] [CrossRef]
  28. Yang, M.; Yang, R.; Li, Y.; Pan, Y.; Sun, J.; Zhang, Z. Effects of Different Biomass Materials as a Salt-Isolation Layer on Water and Salt Migration in Coastal Saline Soil. PeerJ 2021, 9, e11766. [Google Scholar] [CrossRef] [PubMed]
  29. Chang, F.-D.; Wang, X.-Q.; Song, J.-S.; Zhang, H.-Y.; Ru, Y.U.; Jing, W.; Jian, L.I.U.; Shang, W.; Ji, H.-J.; Li, Y.-Y. Maize Straw Application as an Interlayer Improves Organic Carbon and Total Nitrogen Concentrations in the Soil Profile: A Four-Year Experiment in a Saline Soil. J. Integr. Agric. 2023, 22, 1870–1882. [Google Scholar] [CrossRef]
  30. Manan, A.; Ayyub, C.M.; Ahmad, R.; Bukhari, M.A.; Mustafa, Z. Salinity Induced Deleterious Effects on Biochemical and Physiological Processes of Tomato. Pak. J. Life Soc. Sci. 2016, 14, 83–90. [Google Scholar]
  31. Wu, Y.; Wang, X.; Zhang, L.; Zheng, Y.; Liu, X.; Zhang, Y. The Critical Role of Biochar to Mitigate the Adverse Impacts of Drought and Salinity Stress in Plants. Front. Plant Sci. 2023, 14, 1–22. [Google Scholar] [CrossRef]
  32. Akhtar, S.S.; Li, G.; Andersen, M.N.; Liu, F. Biochar Enhances Yield and Quality of Tomato under Reduced Irrigation. Agric. Water Manag. 2014, 138, 37–44. [Google Scholar] [CrossRef]
  33. Yang, A.; Akhtar, S.S.; Li, L.; Fu, Q.; Li, Q.; Naeem, M.A.; He, X.; Zhang, Z.; Jacobsen, S.-E. Biochar Mitigates Combined Effects of Drought and Salinity Stress in Quinoa. Agronomy 2020, 10, 912. [Google Scholar] [CrossRef]
  34. Akhtar, S.S.; Andersen, M.N.; Liu, F. Residual Effects of Biochar on Improving Growth, Physiology and Yield of Wheat under Salt Stress. Agric. Water Manag. 2015, 158, 61–68. [Google Scholar] [CrossRef]
  35. Huang, S.; Huang, P.; Hareem, M.; Tahzeeb-ul-Hassan, M.; Younis, U.; Dawar, K.; Fahad, S.; Salmen, S.H.; Ansari, M.J.; Danish, S. Evaluating the Hidden Potential of Deashed Biochar in Mitigating Salinity Stress for Cultivation of Fenugreek. Sci. Rep. 2024, 14, 141. [Google Scholar] [CrossRef]
  36. Thomas, S.C.; Frye, S.; Gale, N.; Garmon, M.; Launchbury, R.; Machado, N.; Melamed, S.; Murray, J.; Petroff, A.; Winsborough, C. Biochar Mitigates Negative Effects of Salt Additions on Two Herbaceous Plant Species. J. Environ. Manag. 2013, 129, 62–68. [Google Scholar] [CrossRef]
  37. Farhangi-Abriz, S.; Torabian, S. Effect of Biochar on Growth and Ion Contents of Bean Plant under Saline Condition. Environ. Sci. Pollut. Res. 2018, 25, 11556–11564. [Google Scholar] [CrossRef]
Figure 1. Map of the study area.
Figure 1. Map of the study area.
Sustainability 17 05642 g001
Figure 2. The time (days) for first effluent collection.
Figure 2. The time (days) for first effluent collection.
Sustainability 17 05642 g002
Figure 3. The time (days) for EC reduction to 2 dS m−1.
Figure 3. The time (days) for EC reduction to 2 dS m−1.
Sustainability 17 05642 g003
Figure 4. The concentrations of major salt ions at leaching stages 1, 2, and 3 obtained from the saline soil columns with biochar added as an interlayer at various rates. Different letters indicate significant differences between the treatments at stage 1, 2 and 3.
Figure 4. The concentrations of major salt ions at leaching stages 1, 2, and 3 obtained from the saline soil columns with biochar added as an interlayer at various rates. Different letters indicate significant differences between the treatments at stage 1, 2 and 3.
Sustainability 17 05642 g004
Table 1. Physical and chemical properties of experimental soil.
Table 1. Physical and chemical properties of experimental soil.
Soil PropertiesUnits0–20 cm20–40 cm
pH---8.208.09
ECdSm−18.438.05
Texture---Silt loamSilt loam
Bulk densityg cm−31.401.34
Soil organic matterg·kg−15.885.10
Total Ng·kg−10.330.28
Available Pmg·kg−12.832.52
Available Kmg·kg−15246
Na+mg·g−13.383.49
K+mg·g−10.220.5
Ca2+mg·g−10.340.36
Mg2+mg·g−10.310.33
HCO3mg·g−10.440.42
Clmg·g−11.191.15
SO42−mg·g−11.741.80
Table 2. Characteristics of biochar used in the experiment.
Table 2. Characteristics of biochar used in the experiment.
CharacteristicsUnitsBiochar
pH-7.89
ECdS m−13.62
Carbon%52.22
Hydrogen%3.29
Nitrogen%2.10
Available Pg·kg−10.24
Available Kg·kg−14.23
Available Mgg·kg−14.28
Available Cag·kg−11.29
Surface aream2g−128.40
Table 3. Effect of biochar interlayers on salt ion migration.
Table 3. Effect of biochar interlayers on salt ion migration.
Soil Depth (cm)TreatmentsEC (dS m−1)Na+K+Ca2+Mg2+ClSO42−HCO3
mg·g−1
0–20CK7.12 ± 1.02 a3.44 ± 0.09 a0.24 ± 0.03 a0.35 ± 0.02 a0.31 ± 0.03 a1.22 ± 0.08 a1.91 ± 0.06 a0.39 ± 0.04 a
BL206.09 ± 0.96 b3.29 ± 0.06 ab0.22 ± 0.02 a0.32 ± 0.05 a0.30 ± 0.02 a1.11 ± 0.07 b1.73 ± 0.08 b0.31 ± 0.03 b
BL405.25 ± 0.95 c3.05 ± 0.05 b0.16 ± 0.02 b0.27 ± 0.04 b0.26 ± 0.02 b1.09 ± 0.05 b1.67 ± 0.05 b0.24 ± 0.06 c
BL603.78 ± 0.97 d2.88 ± 0.07 c0.15 ± 0.02 b0.22 ± 0.04 c0.25 ± 0.04 c1.01 ± 0.02 c1.43 ± 0.09 c0.19 ± 0.05 d
BL802.25 ± 0.08 e2.75 ± 0.08 d0.11 ± 0.04 c0.20 ± 0.02 c0.24 ± 0.03 c0.88 ± 0.03 d1.30 ± 0.05 d0.18 ± 0.04 d
20–40CK6.30 ± 1.07 a3.62 ± 0.03 a0.28± 0.02 a0.39 ± 0.03 a0.36 ± 0.02 a1.18 ± 0.04 a1.95 ± 0.08 a0.42 ± 0.06 a
BL204.49 ± 1.02 b3.37 ± 0.09 b0.23 ± 0.03 b0.38 ± 0.03 a0.32 ± 0.04 b1.12 ± 0.03 b1.70 ± 0.04 b0.38 ± 0.07 a
BL403.75 ± 0.09 c3.22 ± 0.05 c0.18 ± 0.04 c0.31 ± 0.03 b0.31 ± 0.04 b1.10 ± 0.03 b1.66 ± 0.05 b0.30 ± 0.04 b
BL602.98 ± 1.07 d3.20 ± 0.07 c0.17 ± 0.04 c0.30 ± 0.03 b0.31 ± 0.03 b1.02 ± 0.04 c1.50 ± 0.03 c0.29 ± 0.02 b
BL802.41 ± 0.08 e3.05 ± 0.07 d0.12 ± 0.03 d0.26 ± 0.03 c0.27 ± 0.02 c0.80 ± 0.03 d1.33 ± 0.08 d0.21 ± 0.02 c
±Standard deviation (n = 3). Different letters indicate significant differences between the treatments.
Table 4. Effect of biochar interlayers on the soil nutrient status of saline soil.
Table 4. Effect of biochar interlayers on the soil nutrient status of saline soil.
TreatmentsOrganic Matter (g·kg−1)Total N (g·kg−1)Available P (mg·kg−1)Available K (mg·kg−1)
CK5.82 ± 0.23 b0.30 ± 0.02 b2.90 ± 0.13 b57 ± 4.10 c
BL206.29 ± 0.21 ab0.35 ± 0.01 ab3.63 ± 0.10 b58 ± 5.34 c
BL406.56 ± 0.25 ab0.39 ± 0.02 a4.36 ± 0.11 b65 ± 3.01 b
BL606.18 ± 0.31 ab0.38 ± 0.03 a5.30 ± 0.12 ab71 ± 3.04 a
BL806.93 ± 0.20 a0.41 ± 0.01 a6.14 ± 0.10 a73 ± 2.80 a
The data are presented as the means ± SEs. Different letters indicate a significant difference at the p < 0.05 level.
Table 5. Effect of biochar interlayer application on sunflower gaseous exchange characteristics in saline soil.
Table 5. Effect of biochar interlayer application on sunflower gaseous exchange characteristics in saline soil.
TreatmentsTranspiration Rate (mmol CO2 m−2 s−1)Photosynthetic Rate
(μmol CO2 m−2 s−1)
Stomatal Conductance
(mmol CO2 m−2 s−1)
Sub-Stomatal Conductance
(H2O m−2 s−1)
CK1.36 ± 0.01 e9.47 ± 0.02 e52.65 ± 1.07 d143.67 ± 2.33 d
BL201.66 ± 0.02 d10.35 ± 0.03 d54.19 ± 0.36 d148.65 ± 0.88 d
BL401.85 ± 0.03 c13.20 ± 0.07 c63.43 ± 1.08 c163.30 ± 2.40 c
BL602.05 ± 0.02 b14.11 ± 0.05 b73.09 ± 0.46 b170.33 ± 0.93 b
BL802.25 ± 0.03 a16.5.8 ± 0.12 a77.8 ± 1.26 a178.67 ± 0.90 a
The data are presented as the means ± SEs. Different letters indicate a significant difference at the p < 0.05 level.
Table 6. Effect of biochar interlayer application on sunflower yield in saline soil.
Table 6. Effect of biochar interlayer application on sunflower yield in saline soil.
TreatmentsBiomass Yield
(kg·ha−1)
Achene Yield
(kg·ha−1)
Thousand Achene Weights (g)
CK7948 ± 10.4 d1750 ± 5.77 d38.23 ± 1.14 d
BL208650 ± 11.6 d1890 ± 5.79 d41.83 ± 1.28 c
BL4011,880 ± 15.5 c2270 ± 8.66 c45.30 ± 1.15 b
BL6014,540 ± 30.4 b2520 ± 10.40 b48.47 ± 2.31 a
BL8016,890 ± 20.8 a2842 ± 6.93 a47.96 ± 1.15 a
The data are presented as the means ± SEs. Different letters indicate a significant difference at the p < 0.05 level.
Disclaimer/Publisher’s Note: The statements, opinions and data contained in all publications are solely those of the individual author(s) and contributor(s) and not of MDPI and/or the editor(s). MDPI and/or the editor(s) disclaim responsibility for any injury to people or property resulting from any ideas, methods, instructions or products referred to in the content.

Share and Cite

MDPI and ACS Style

Irfan, M.; Afandi, G.E.; Moustafa, A.; Ibrahim, S.; Sapkota, S. Impact of Biochar Interlayer on Surface Soil Salt Content, Salt Migration, and Photosynthetic Activity and Yield of Sunflowers: Laboratory and Field Studies. Sustainability 2025, 17, 5642. https://doi.org/10.3390/su17125642

AMA Style

Irfan M, Afandi GE, Moustafa A, Ibrahim S, Sapkota S. Impact of Biochar Interlayer on Surface Soil Salt Content, Salt Migration, and Photosynthetic Activity and Yield of Sunflowers: Laboratory and Field Studies. Sustainability. 2025; 17(12):5642. https://doi.org/10.3390/su17125642

Chicago/Turabian Style

Irfan, Muhammad, Gamal El Afandi, Amira Moustafa, Salem Ibrahim, and Santosh Sapkota. 2025. "Impact of Biochar Interlayer on Surface Soil Salt Content, Salt Migration, and Photosynthetic Activity and Yield of Sunflowers: Laboratory and Field Studies" Sustainability 17, no. 12: 5642. https://doi.org/10.3390/su17125642

APA Style

Irfan, M., Afandi, G. E., Moustafa, A., Ibrahim, S., & Sapkota, S. (2025). Impact of Biochar Interlayer on Surface Soil Salt Content, Salt Migration, and Photosynthetic Activity and Yield of Sunflowers: Laboratory and Field Studies. Sustainability, 17(12), 5642. https://doi.org/10.3390/su17125642

Note that from the first issue of 2016, this journal uses article numbers instead of page numbers. See further details here.

Article Metrics

Back to TopTop