Reducing CO2 Emissions in Urban Infrastructure: The Role of Siliceous Fly Ash in Sustainable Mortar Design
Abstract
1. Introduction
2. Materials and Methodology
2.1. Raw Materials and Mix Design/Preparation
Properties of Siliceous Fuel Fly Ash
Oxide (% wt) | Trace Element | ||
---|---|---|---|
SiO2 | ~52.0% | Arsenic (As) | 47–160 mg/kg |
Al2O3 | ~24.0% | ||
Fe2O3 | ~8.0% | Chromium (Cr) | 159–300 mg/kg |
SO3 | ~2.4% | ||
CaO | ~3.0% | Nickel (Ni) | 80–250 mg/kg |
C | ~3.0% | ||
MgO | ~1.2% | Zinc (Zn) | 190–700 mg/kg |
Na2O + K2O | ~1.0% | ||
TiO2 | ~2.0% | Lead (Pb) | 160–400 mg/kg |
Other | ~3.4% |
2.2. Measurements and Tests
2.2.1. Assessment of Capillary Absorption and Porosity
2.2.2. Mechanical Properties
2.2.3. X-Ray Diffraction (XRD) and Microscopical Analysis (SEM)
3. Experimental Results
3.1. Porosities and Bulk Densities
3.2. Compressive Strength
3.3. Microstructural Analyses
3.4. Modulus of Rupture
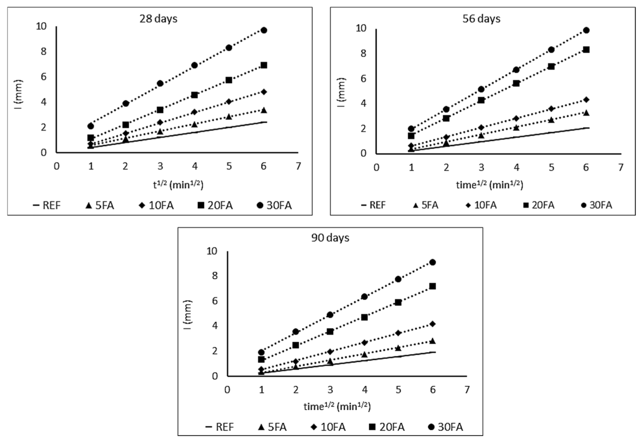
3.5. Capillary Absorption
3.6. X-Ray Difraction (XRD)
4. Discussion
5. Conclusions
Author Contributions
Funding
Institutional Review Board Statement
Informed Consent Statement
Data Availability Statement
Conflicts of Interest
References
- Hemalatha, T.; Ramaswamy, A. A review on fly ash characteristics—Towards promoting high volume utilization in developing sustainable concrete. J. Clean. Prod. 2017, 147, 546–559. [Google Scholar] [CrossRef]
- Xu, G.; Shi, X. Characteristics and applications of fly ash as a sustainable construction material: A state-of-the-art review. Resour. Conserv. Recycl. 2018, 136, 95–109. [Google Scholar] [CrossRef]
- Yang, K.-H.; Jung, Y.-B.; Cho, M.-S.; Tae, S.-H. Effect of supplementary cementitious materials on reduction of CO2 emissions from concrete. J. Clean. Prod. 2015, 103, 774–783. [Google Scholar] [CrossRef]
- Liu, G.; Florea, M.V.A.; Brouwers, H.J.H. Characterization and performance of high volume recycled waste glass and ground granulated blast furnace slag or fly ash blended mortars. J. Clean. Prod. 2019, 235, 461–472. [Google Scholar] [CrossRef]
- Gholampour, A.; Ozbakkaloglu, T. Performance of sustainable concretes containing very high volume Class-F fly ash and ground granulated blast furnace slag. J. Clean. Prod. 2017, 162, 1407–1417. [Google Scholar] [CrossRef]
- Chousidis, N.; Zacharopoulou, A.K.; Batis, G. Corrosion protection of reinforcement steel using solid waste materials in concrete production. Mag. Concr. Res. 2019, 72, 271–277. [Google Scholar] [CrossRef]
- Chousidis, N.; Ioannou, I.; Rakanta, E.; Koutsodontis, C.; Batis, G. Effect of fly ash chemical composition on the reinforcement corrosion, thermal diffusion and strength of blended cement concretes. Constr. Build. Mater. 2016, 126, 86–97. [Google Scholar] [CrossRef]
- Chousidis, N.; Rakanta, E.; Ioannou, I.; Batis, G. Mechanical properties and durability performance of reinforced concrete containing fly ash. Constr. Build. Mater. 2015, 101, 810–817. [Google Scholar] [CrossRef]
- Ampadu, K.O.; Torii, K.; Kawamura, M. Beneficial effect of fly ash on chloride diffusivity of hardened cement paste. Cem. Concr. Res. 1999, 29, 585–590. [Google Scholar] [CrossRef]
- Da Silva, S.R.; Andrade, J.J.D.O. A Review on the Effect of Mechanical Properties and Durability of Concrete with Construction and Demolition Waste (CDW) and Fly Ash in the Production of New Cement Concrete. Sustainability 2022, 14, 6740. [Google Scholar] [CrossRef]
- Varadharajan, S.; Kirthanashri, S.V.; Maurya, N.; Bishetti, P.; Shukla, B.K.; Bharti, G. Utilization of Fly Ash in Concrete: A State-of-the-Art Review; Springer: Singapore, 2022; pp. 189–194. [Google Scholar]
- Zhao, J.; Wang, D.; Wang, X.; Liao, S.; Lin, H. Ultrafine grinding of fly ash with grinding aids: Impact on particle characteristics of ultrafine fly ash and properties of blended cement containing ultrafine fly ash. Constr. Build. Mater. 2015, 78, 250–259. [Google Scholar] [CrossRef]
- Li, H.; Sun, J.; Gui, H.; Xia, D.; Wang, Y. Physiochemical properties, heavy metal leaching characteristics and reutilization evaluations of solid ashes from municipal solid waste incinerator plants. Waste Manag. 2022, 138, 49–58. [Google Scholar] [CrossRef]
- Sushil, S.; Batra, V.S. Analysis of fly ash heavy metal content and disposal in three thermal power plants in India. Fuel 2006, 85, 2676–2679. [Google Scholar] [CrossRef]
- Egemen, E.; Yurteri, C. Regulatory Leaching Tests Fly Ash: A Case Study. Waste Manag. Res. 1996, 14, 43–50. [Google Scholar] [CrossRef]
- Chindaprasirt, P.; Jaturapitakkul, C.; Chalee, W.; Rattanasak, U. Comparative study on the characteristics of fly ash and bottom ash geopolymers. Waste Manag. 2009, 29, 539–543. [Google Scholar] [CrossRef] [PubMed]
- Vitolo, S.; Seggiani, M.; Filippi, S.; Brocchini, C. Recovery of vanadium from heavy oil and Orimulsion fly ashes. Hydrometallurgy 2000, 57, 141–149. [Google Scholar] [CrossRef]
- Alterary, S.S.; Marei, N.H. Fly ash properties, characterization, and applications: A review. J. King Saud Univ. Sci. 2021, 33, 101536. [Google Scholar] [CrossRef]
- Camilleri, J.; Anastasi, M.; Torpiano, A. The microstructure and physical properties of heavy oil fuel ash replaced Portland cement for use in flowable fill concrete and the production of concrete masonry units. Constr. Build. Mater. 2013, 38, 970–979. [Google Scholar] [CrossRef]
- Mofarrah, A.; Husain, T. Use of Heavy Oil Fly Ash as a Color Ingredient in Cement Mortar. Int. J. Concr. Struct. Mater. 2013, 7, 111–117. [Google Scholar] [CrossRef]
- Szajerski, P.; Bogobowicz, A.; Bem, H.; Gasiorowski, A. Quantitative evaluation and leaching behavior of cobalt immobilized in sulfur polymer concrete composites based on lignite fly ash, slag and phosphogypsum. J. Clean. Prod. 2019, 222, 90–102. [Google Scholar] [CrossRef]
- Turgut, P.; Demir, F. The influence of disposed fly ash on Ca2+ leaching and physico-mechanical properties of mortars. J. Clean. Prod. 2019, 226, 270–281. [Google Scholar] [CrossRef]
- Al-Osta, M.; Baig, M.G.; Al-Malack, M.H.; Al-Amoudi, O.S.B. Study of Heavy Fuel Oil Fly Ash for Use in Concrete Blocks and Asphalt Concrete Mixes. Adv. Concr. Constr. 2016, 4, 123. [Google Scholar] [CrossRef]
- Payá, J.; Borrachero, M.; Monzó, J.; Bonilla, M. Properties of Portland cement mortars incorporating high amounts of oil-fuel ashes. Waste Manag. 1999, 19, 1–7. [Google Scholar] [CrossRef]
- Cheng, D.; Reiner, D.M.; Yang, F.; Cui, C.; Meng, J.; Shan, Y.; Liu, Y.; Tao, S.; Guan, D. Projecting future carbon emissions from cement production in developing countries. Nat. Commun. 2023, 14, 8213. [Google Scholar] [CrossRef]
- Miller, S.A.; Horvath, A.; Monteiro, P.J. Readily implementable techniques can cut annual CO2 emissions from the production of concrete by over 20%. Environ. Res. Lett. 2016, 11, 074029. [Google Scholar] [CrossRef]
- Miller, S.A.; Moore, F.C. Climate and health damages from global concrete production. Nat. Clim. Change 2020, 10, 439–443. [Google Scholar] [CrossRef]
- Andrew, R.M. Global CO2 emissions from cement production. Earth Syst. Sci. Data 2018, 10, 195–217. [Google Scholar] [CrossRef]
- Chen, C.; Xu, R.; Tong, D.; Qin, X.; Cheng, J.; Liu, J.; Zheng, B.; Yan, L.; Zhang, Q. A striking growth of CO2 emissions from the global cement industry driven by new facilities in emerging countries. Environ. Res. Lett. 2022, 17, 044007. [Google Scholar] [CrossRef]
- Nie, S.; Zhou, J.; Yang, F.; Lan, M.; Li, J.; Zhang, Z.; Chen, Z.; Xu, M.; Li, H.; Sanjayan, J.G. Analysis of theoretical carbon dioxide emissions from cement production: Methodology and application. J. Clean. Prod. 2022, 334, 130270. [Google Scholar] [CrossRef]
- ASTM C618-12; Standard Specification for Coal Fly Ash and Raw or Calcined Natural Pozzolan for Use in Concrete. ASTM International: West Conshohocken, PA, USA, 2012.
- Jegadeesan, G.; Al-Abed, S.R.; Pinto, P. Influence of trace metal distribution on its leachability from coal fly ash. Fuel 2008, 87, 1887–1893. [Google Scholar] [CrossRef]
- Huggins, F.E.; Senior, C.L.; Chu, P.; Ladwig, K.; Huffman, G.P. Selenium and Arsenic Speciation in Fly Ash from Full-Scale Coal-Burning Utility Plants. Environ. Sci. Technol. 2007, 41, 3284–3289. [Google Scholar] [CrossRef] [PubMed]
- Nomani, M.; Shaquib, O.; Lone, A.A. Environmental Implications of Fly Ash Management and Utilization: A Review of Laws, Policies, and Practices. Curr. World Environ. 2024, 19, 634. [Google Scholar] [CrossRef]
- Sharma, V.; Dash, S.; Gupta, P. Comprehensive review of fly ash: Environmental impact and applications. Environ. Qual. Manag. 2024, 34, e22338. [Google Scholar] [CrossRef]
- Kamara, S.; Foday, E., Jr.; Wang, W. A review on the utilization and environmental concerns of coal fly ash. Am. J. Chem. Pharm 2023, 2, 53–65. [Google Scholar] [CrossRef]
- Depoi, F.S.; Pozebon, D.; Kalkreuth, W.D. Chemical characterization of feed coals and combustion-by-products from Brazilian power plants. Int. J. Coal Geol. 2008, 76, 227–236. [Google Scholar] [CrossRef]
- Tang, Y.; Pan, J.; Li, B.; Zhao, S.; Zhang, L. Residual and ecological risk assessment of heavy metals in fly ash from co-combustion of excess sludge and coal. Sci. Rep. 2021, 11, 2499. [Google Scholar] [CrossRef]
- Wei, M.; Liu, S.; Zhou, Y.; An, S.; Sun, X. Preparation and properties of CaO-Al2O3-SiO2-Fe2O3 system foam ceramics from fly ash and steel slag. Ceramics International 2025. [CrossRef]
- Ibrahim, W.M.W.; Abdullah, M.M.A.B.; Ahmad, R.; Naveed, A.; Ghazali, C.M.R.; Ibrahim, M. Effects of thermal resistance to fly ash-based lightweight geopolymer. In IOP Conference Series: Materials Science and Engineering; IOP Publishing: Bristol, UK, 2019. [Google Scholar]
- Sanjuán, M.Á.; Argiz, C. Fineness of Coal Fly Ash for Use in Cement and Concrete. Fuels 2021, 2, 471–486. [Google Scholar] [CrossRef]
- Wesołowska, M.; Kaczmarek, A.; Hoła, J. The influence of external environmental conditions on properties of ceramic building materials with waste material additives. Materials 2021, 14, 2982. [Google Scholar] [CrossRef]
- Hansen, W.; Kung, J. Pore structure and frost durability of clay bricks. Mater. Struct. 1988, 21, 443–447. [Google Scholar] [CrossRef]
- Cultrone, G.; Sebastián, E.; Elert, K.; de la Torre, M.J.; Cazalla, O.; Rodriguez–Navarro, C. Influence of mineralogy and firing temperature on the porosity of bricks. J. Eur. Ceram. Soc. 2004, 24, 547–564. [Google Scholar] [CrossRef]
- Safiuddin, M.; Hearn, N. Comparison of ASTM saturation techniques for measuring the permeable porosity of concrete. Cem. Concr. Res. 2005, 35, 1008–1013. [Google Scholar] [CrossRef]
- Hall, C.; Hoff, W.D. Water Transport in Brick, Stone and Concrete, 2nd ed.; Spon Press: London, UK, 2012. [Google Scholar]
- Chousidis, N. Impact of Steel Fibers and Carbon Nanotubes on the Strength and Quality of Cementitious Composites. Constr. Mater. 2025, 5, 23. [Google Scholar] [CrossRef]
- Chousidis, N.; Rakanta, E.; Ioannou, I.; Batis, G. Influence of iron mill scale additive on the physico-mechanical properties and chloride penetration resistance of concrete. Adv. Cem. Res. 2016, 28, 389–402. [Google Scholar] [CrossRef]
- Chousidis, N.; Ioannou, I.; Batis, G. Utilization of Electrolytic Manganese Dioxide (E.M.D.) waste in concrete exposed to salt crystallization. Constr. Build. Mater. 2018, 158, 708–718. [Google Scholar] [CrossRef]
- Khan, M.I. Direct tensile strength measurement of concrete. In Applied Mechanics and Materials; Trans Tech Publ.: Wollerau, Switzerland, 2012. [Google Scholar]
- Sarfarazi, V.; Haeri, H.; Ebneabbasi, P.; Shemirani, A.B.; Hedayat, A. Determination of tensile strength of concrete using a novel apparatus. Constr. Build. Mater. 2018, 166, 817–832. [Google Scholar] [CrossRef]
- Marinković, S.; Carević, V.; Dragaš, J. The role of service life in Life Cycle Assessment of concrete structures. J. Clean. Prod. 2021, 290, 125610. [Google Scholar] [CrossRef]
- Sousa, V.; Bogas, J.A. Comparison of energy consumption and carbon emissions from clinker and recycled cement production. J. Clean. Prod. 2021, 306, 127277. [Google Scholar] [CrossRef]
- Wang, T.; Ishida, T.; Gu, R.; Luan, Y. Experimental investigation of pozzolanic reaction and curing temperature-dependence of low-calcium fly ash in cement system and Ca-Si-Al element distribution of fly ash-blended cement paste. Constr. Build. Mater. 2021, 267, 121012. [Google Scholar] [CrossRef]
- Golewski, G.L. The Role of Pozzolanic Activity of Siliceous Fly Ash in the Formation of the Structure of Sustainable Cementitious Composites. Sustain. Chem. 2022, 3, 520–534. [Google Scholar] [CrossRef]
- Awal, A.S.M.A.; Shehu, I.A. Evaluation of heat of hydration of concrete containing high volume palm oil fuel ash. Fuel 2013, 105, 728–731. [Google Scholar] [CrossRef]
- Mohd m Khan, D.; Wamiq, M. Effect of concrete cracking on the lateral response of RCC buildings. Asian J. Civ. Eng. 2008, 9, 25–34. [Google Scholar]
- Legeron, F.; Paultre, P. Prediction of modulus of rupture of concrete. Mater. J. 2000, 97, 193–200. [Google Scholar]
- Ding, X.-H.; Luo, B.; Zhou, H.-T.; Chen, Y.-H. Generalized solutions for advection–dispersion transport equations subject to time-and space-dependent internal and boundary sources. Comput. Geotech. 2025, 178, 106944. [Google Scholar] [CrossRef]
- Khatib, J.; Wright, L.; Mangat, P.S.; Negim, E.M. Porosity and pore size distribution of well hydrated cement-fly ash-gypsum pastes. Am. -Eurasian J. Sci. Res. 2012, 7, 142–145. [Google Scholar]
- Wee, T.H.; Matsunaga, Y.; Watanabe, Y.; Sakai, E. Microstructure and strength properties of high strength concretes containing various mineral admixtures. Cem. Concr. Res. 1995, 25, 715–720. [Google Scholar] [CrossRef]
- Singh, M.; Garg, M. Relationship between mechanical properties and porosity of water-resistant gypsum binder. Cem. Concr. Res. 1996, 26, 449–456. [Google Scholar] [CrossRef]
- Odler, I.; Colán-Subauste, J. Investigations on cement expansion associated with ettringite formation. Cem. Concr. Res. 1999, 29, 731–735. [Google Scholar] [CrossRef]
- Taylor, H.F. Cement Chemistry; Thomas Telford: London, UK, 1997; Volume 2. [Google Scholar]
- Seifi, S.; Levacher, D.; Razakamanantsoa, A.; Sebaibi, N. Microstructure of Dry Mortars without Cement: Specific Surface Area, Pore Size and Volume Distribution Analysis. Appl. Sci. 2023, 13, 5616. [Google Scholar] [CrossRef]
- Tran, V.-A.; Phan, T.D.; Do, N.D.; Vo, D.H.; Nguyen, H.A. Effect of Fly Ash on Physical and Mechanical Properties of Mortar. Tạp chí Khoa học và Công nghệ-Đại học Đà Nẵng. 2019, pp. 35–38. Available online: https://www.neliti.com/publications/448984/effect-of-fly-ash-on-physical-and-mechanical-properties-of-mortar (accessed on 16 April 2025).
- Nayak, D.K.; Abhilash, P.; Singh, R.; Kumar, R.; Kumar, V. Fly ash for sustainable construction: A review of fly ash concrete and its beneficial use case studies. Clean. Mater. 2022, 6, 100143. [Google Scholar] [CrossRef]
- Liu, C.; Yang, L.; Li, Z.; Nie, S.; Hu, C.; Wang, F. Improve the long-term property of heat-cured mortars blended with fly ash by internal curing. J. Build. Eng. 2022, 54, 104624. [Google Scholar] [CrossRef]
- De la Varga, I.; Castro, J.; Bentz, D.; Weiss, J. Application of internal curing for mixtures containing high volumes of fly ash. Cem. Concr. Compos. 2012, 34, 1001–1008. [Google Scholar] [CrossRef]
- Goel, S.; Singh, S.; Singh, P. Flexural fatigue strength and failure probability of self compacting fibre reinforced concrete beams. Eng. Struct. 2012, 40, 131–140. [Google Scholar] [CrossRef]
- Maddalena, R.; Taha, H.; Gardner, D. Self-healing potential of supplementary cementitious materials in cement mortars: Sorptivity and pore structure. Dev. Built Environ. 2021, 6, 100044. [Google Scholar] [CrossRef]
- Kang, S.-H.; Kang, H.; Lee, N.; Kwon, Y.-H.; Moon, J. Development of cementless ultra-high performance fly ash composite (UHPFC) using nucleated pozzolanic reaction of low Ca fly ash. Cem. Concr. Compos. 2022, 132, 104650. [Google Scholar] [CrossRef]
- Su, Y.; Luo, B.; Luo, Z.; Xu, F.; Huang, H.; Long, Z.; Shen, C. Mechanical characteristics and solidification mechanism of slag/fly ash-based geopolymer and cement solidified organic clay: A comparative study. J. Build. Eng. 2023, 71, 106459. [Google Scholar] [CrossRef]
Proportions (kg/m3) | Workability (mm) | ||||
---|---|---|---|---|---|
Group | Cement | Fly Ash | Sand | Water | |
REF | 35.22 | 0.00 | 88.04 | 22.44 | 166.7 |
5FA | 33.46 | 1.76 | 88.04 | 25.90 | 167.4 |
10FA | 31.70 | 3.52 | 88.04 | 26.41 | 168.5 |
20FA | 28.18 | 7.04 | 88.04 | 33.50 | 169.7 |
30FA | 24.65 | 10.57 | 88.04 | 36.45 | 175.6 |
Water/cement + FA | 0.64 | ||||
Sand/cement | 2.5 |
Property | Value |
---|---|
Specific gravity (estimated by pycnometer) | 2.53 |
Loss on ignition (LOI) | 59.40% |
Reactivity index (%) | 6% |
LOI-adjusted index (%) | 14.85% |
Moisture content | 13.80% |
Fineness (by particle size analysis) | 4.12 |
28 Days | 56 Days | 90 Days | |||||||
---|---|---|---|---|---|---|---|---|---|
fr | k | fr | k | fr | k | ||||
REF | 5.80 | 5.76 | 1.01 | 6.03 | 6.03 | 1.00 | 6.04 | 5.88 | 1.03 |
5FA | 4.58 | 5.08 | 0.90 | 5.48 | 5.36 | 1.02 | 5.59 | 5.31 | 1.05 |
10FA | 4.49 | 4.77 | 0.94 | 5.07 | 5.16 | 0.98 | 5.81 | 5.09 | 1.14 |
20FA | 2.70 | 3.31 | 0.82 | 2.98 | 3.84 | 0.78 | 3.59 | 3.76 | 0.95 |
30FA | 1.77 | 2.22 | 0.80 | 1.79 | 2.74 | 0.65 | 2.02 | 2.52 | 0.80 |
Disclaimer/Publisher’s Note: The statements, opinions and data contained in all publications are solely those of the individual author(s) and contributor(s) and not of MDPI and/or the editor(s). MDPI and/or the editor(s) disclaim responsibility for any injury to people or property resulting from any ideas, methods, instructions or products referred to in the content. |
© 2025 by the authors. Licensee MDPI, Basel, Switzerland. This article is an open access article distributed under the terms and conditions of the Creative Commons Attribution (CC BY) license (https://creativecommons.org/licenses/by/4.0/).
Share and Cite
Chousidis, N.; Batis, G. Reducing CO2 Emissions in Urban Infrastructure: The Role of Siliceous Fly Ash in Sustainable Mortar Design. Sustainability 2025, 17, 4835. https://doi.org/10.3390/su17114835
Chousidis N, Batis G. Reducing CO2 Emissions in Urban Infrastructure: The Role of Siliceous Fly Ash in Sustainable Mortar Design. Sustainability. 2025; 17(11):4835. https://doi.org/10.3390/su17114835
Chicago/Turabian StyleChousidis, Nikolaos, and George Batis. 2025. "Reducing CO2 Emissions in Urban Infrastructure: The Role of Siliceous Fly Ash in Sustainable Mortar Design" Sustainability 17, no. 11: 4835. https://doi.org/10.3390/su17114835
APA StyleChousidis, N., & Batis, G. (2025). Reducing CO2 Emissions in Urban Infrastructure: The Role of Siliceous Fly Ash in Sustainable Mortar Design. Sustainability, 17(11), 4835. https://doi.org/10.3390/su17114835