Next Article in Journal
Characterizing Land Surface Temperature (LST) through Remote Sensing Data for Small-Scale Urban Development Projects in the Gulf Cooperation Council (GCC)
Previous Article in Journal
Consumers’ Risk Perception of Triploid Food: Empirical Research Based on Variance Analysis and Structural Equation Modeling
 
 
Font Type:
Arial Georgia Verdana
Font Size:
Aa Aa Aa
Line Spacing:
Column Width:
Background:
Article

Impact of New Energy Vehicle Charging Point Subsidy Policy on Subway Demand: Evidence from Beijing’s Real Estate Market

1
School of Agricultural Economics and Rural Development, Renmin University of China, Beijing 100872, China
2
School of Public Administration, Jilin University, Changchun 130012, China
*
Author to whom correspondence should be addressed.
Sustainability 2024, 16(9), 3874; https://doi.org/10.3390/su16093874
Submission received: 3 February 2024 / Revised: 14 April 2024 / Accepted: 3 May 2024 / Published: 6 May 2024

Abstract

New energy vehicles (NEVs) offer a sustainable private transportation alternative. Charging points are the source of power for NEVs; thus, their construction can significantly lower the costs associated with their use, thereby encouraging their adoption. This could potentially impact the subway demand, which is reflected by the relationship between housing prices and subway proximity in this paper, leading to a decrease in the premium for properties near subway stations. Utilizing a comprehensive data set of 599,916 housing transactions in Beijing and a difference-in-differences approach based on the hedonic price model, we found that China’s NEV charging point subsidy policy significantly decreases the subway premium of housing prices and mitigates housing price disparities. Furthermore, we explored the spatial heterogeneity of this impact, finding that the policy has less influence on residents living near the city center. Our findings indicate that the policy has resulted in a considerable decrease in the subway premium, ranging from ¥19,217 to ¥55,936 ($2745 to $7991) per transaction, which is equivalent to the annual income for an average individual at the time of the policy. The results address the far-reaching implications and significant role of NEV development in urban transportation.

1. Introduction

Climate change has caused a range of harmful effects on a global scale, intensifying the regulation of greenhouse gas emissions, particularly carbon dioxide (CO2) emissions. Accounting for approximately 25% of worldwide CO2 emissions, the transportation sector is a major contributor to carbon emissions. Projections indicate that this figure could potentially double by 2035 [1,2]. In Beijing, the bustling capital city of China, the extensive utilization of internal combustion engine vehicles (ICEVs) has surfaced as a substantial environmental challenge. As of 2017, these vehicles, serving as a prevalent mode of transportation in the metropolis, have been identified as the primary contributors to a range of environmental pollutants, notably carbon monoxide and sulfur dioxide [3]. This accentuates the indispensable role of the transportation sector in the broader context of decarbonization efforts.
Since 2008, Beijing has enforced stringent policies, primarily aimed at curbing private vehicle usage to alleviate air pollution and traffic congestion [4]. These measures include the implementation of traffic restrictions and a license plate lottery system, effectively controlling car ownership rates [5,6]. These regulations were initiated in October 2008 and 2011, respectively. Simultaneously, to provide a viable alternative mode of transportation, the Beijing government has vigorously promoted public transport, particularly the subway system [7]. From 2012 to 2022, the number of subway lines in the city expanded from 16 to 27, with the total network length extending from 442 to 783 km. To support the subway system’s expansion, the government has allocated substantial subsidies, bearing 50% of the operational costs, even after a fare increase in 2014.
Moreover, the advent of new energy vehicles (NEVs), primarily powered by electricity, presents an innovative solution to the issue of transportation pollution. In comparison to internal combustion engine vehicles (ICEVs), NEVs offer a substantial reduction in urban air pollution and carbon emissions [8]. Significantly, NEVs address the “last mile” predicament—unlike subway systems—through providing a feasible solution. Recognizing the immense potential of NEVs, the Chinese government has implemented a series of policies to promote their widespread adoption [9]. In 2010, the Chinese government introduced its first policy to encourage the purchase of NEVs, which offers subsidies for NEV purchases in select pilot cities [10]. Additionally, in 2014, China implemented a tax exemption for electric car purchases, resulting in a significant increase in NEV sales [11,12]. Furthermore, Beijing has announced an array of additional incentives to encourage the adoption of NEVs. It is worth noting that the driving restriction since 2008 and the license plate lottery since 2011 apply only to ICEVs, thus further increasing the demand for NEVs [13].
However, it is important to highlight that, in its early stages, China’s NEV industry faced numerous challenges that rendered direct subsidies less effective. One of the most significant issues was the insufficient availability of charging infrastructure, which significantly inhibited consumer demand for NEVs [14,15,16]. Recognizing the importance of charging point availability in ensuring a stable energy supply for NEVs, the Chinese government has actively promoted their widespread construction. In January 2016, the Chinese government released a notice that outlined the “13th Five-Year Plan” for the subsidy policy on new energy vehicle charging points. The policy aimed to facilitate the construction and operation of charging points, as well as the upgrading, renovation, and establishment of monitoring systems for charging and battery swapping services (specifically for Beijing, the threshold for receiving subsidies for the promotion of new energy vehicles in 2016 was set at 30,000 units, with a subsidy amount of RMB90 million. For every additional 2500 units sold, an extra RMB7.5 million would be added to the subsidy pool, capped at a maximum of RMB120 million).
Beijing has also implemented its own policies regarding charging points. In April 2016, it released the “Special Plan for Electric Vehicle Charging Infrastructure in Beijing (2016–2020)” with the goal of reducing the charging service radius to 0.9 km in key areas by 2020, thus establishing a model area for charging point construction. This plan, coupled with the national subsidy, led to a significant increase in the number of charging points in Beijing. By the end of 2015, Beijing had 5132 publicly accessible charging points and 12,084 private charging points. Just one year later, these numbers had risen to 12,000 and 46,000, respectively. The growth rates of Beijing’s NEV ownership and charging points are shown in Figure 1. Consequently, the policies have led to a significant decrease in the ratio of the number of charging points to NEVs, which has increased the number of NEV purchases, as shown in Figure 2.
The subsidy policy for NEV charging points launched in January 2016 has effectively increased the supply of new energy charging points in Beijing, boosted the demand for new energy vehicles, and made a substantial contribution to addressing environmental issues and alleviating constraints on private transportation. Therefore, from the perspective of the overall urban transportation system, our study aimed to investigate the impact of implementing the subsidy policy for new energy charging points on the real estate premium along the subway lines.
In particular, this study investigated the influence of the NEV charging point subsidy policy, which was launched in January 2016, on the willingness of consumers to pay for subway proximity. We employed an extensive data set of housing transaction records sourced from Lianjia, one of Beijing’s largest real estate brokers, which comprises 599,916 samples from 2010 to 2020. Employing difference-in-differences (DID) analysis, we quantified the shift in the subway premium of housing prices before and after the implementation of the NEV charging point subsidy. Furthermore, our analysis delved into its dynamic impact over time, as well as the spatial heterogeneity of the effects for populations living at varying distances from the city center.
Our study contributes to the literature in three ways. First, it is the first to reveal the substitutional impact of sustainable private transport development on subway demand through the NEV charging point subsidy policy. Prior research has primarily focused on the economic impacts of NEVs themselves, such as their effect on urban transport systems like subways [17,18]. Unlike these studies, our research specifically examined how the NEV charging infrastructure influences these dynamics. We found that the subsidy policy not only addresses problems related to environmental sustainability and urban mobility but also mitigates the severe housing price disparities associated with subway proximity.
Second, we employed a DID strategy with a hedonic price model to explore the impact of the NEV charging point subsidy policy, thus addressing endogeneity problems commonly encountered in hedonic studies. This allowed us to capture the subway premium capitalized in housing prices and investigate the causal effect of the subsidy on this subway premium [19]. Moreover, using event study regression, we validated the parallel pre-trends assumption in our design and identified the dynamic effects of the NEV charging point subsidy policy.
Third, when evaluating the impact of subway accessibility on housing prices and the variability in subway premiums, previous works have often relied on data sets of limited scale and low granularity, which has limited the accuracy of the obtained results [4,20]. In contrast, in our study, we conducted a large-scale investigation of the relationship between the NEV charging point subsidy policy and subway demand with a data set including 599,916 samples spanning 11 years. Specifically, we controlled for complex-level fixed effects across 5128 complexes and year-by-month fixed effects spanning 120 months in our model, providing robust estimates and offering a more comprehensive view of the relationship between subway accessibility and housing prices.

2. Literature Review and Hypotheses

2.1. Direct and Economic Implications of NEV Charging Points

New energy vehicle (NEV) charging point research can be divided into two main streams. The first stream focuses on the direct aspects of NEV charging points. This includes the deployment of electric vehicle (EV) public charging stations, a crucial aspect of the NEV policy [21], and the decision-making process regarding the location of battery swap stations [22]. The cost–benefit analysis of constructing charging points has also been scrutinized in this stream of research [14].
The second stream of research explores the economic value of charging points, including studies that examine the real estate premium associated with charging points, and some environmental impacts of NEV policies. Empirical research in this area has confirmed that the NEV subsidy has led to marked improvements in air quality by significantly reducing vehicle exhaust emissions, as evidenced by decreased PM2.5 concentrations [17,23,24]. Additionally, the NEV subsidy has a positive impact on the quantity of technological innovation in the industry, increasing R&D investment and the number of patents [18].
Despite the extensive research in these two areas, there is a noticeable gap in the literature regarding the indirect effects of charging point subsidy policies, particularly their influence on traffic demand, indicating a need for a more holistic perspective of public transportation in future studies.

2.2. Hedonic Valuation and Subway Pricing

The hedonic valuation methodology, originally presented by Rosen (1974) [25], posits that the price of a heterogeneous good can be decomposed into implicit prices associated with its individual characteristics. Therefore, the prices of real estate can be viewed as a combination of different attributes and can be used to assess the welfare effects of non-market amenities. Emphasizing the utility of this approach in evaluating consumer demand, hedonic pricing serves as a fundamental tool in economic analysis for quantifying the demand for various attributes, including accessibility to urban transportation systems like subways. Moreover, this method has been widely used to analyze the demand for (or price of) factors such as school quality [1,26], air pollutants [27], crime control [28,29], product attributes [30], and transportation accessibility [31,32].
Additionally, the demand for subways in Beijing is accurately reflected in the housing market. Several studies have used the hedonic price model to assess the economic value of Beijing’s subway system. Li et al. (2016) [11] and Zhang and Yi (2017) [33] evaluated the subway’s impact on housing prices, while Dai et al. (2016) [34] centered their analysis on the effects of transfer stations. Furthermore, Zheng et al. (2016) [19] and Wang (2017) [35] examined the interaction between subway access and other local amenities, such as commercial zones.
However, few studies have investigated the impact of charging point subsidies on subway demand from the perspective of urban transportation as a whole. This is an important area to explore because the availability of charging points can significantly influence the choice of transportation mode, which in turn affects the demand for subways and the real estate premium associated with subway access. Although the literature on this specific topic is limited, it is clear that the charging point subsidy policy can have a significant impact on the demand for public transportation. Future research should therefore focus on examining the indirect effects of the charging point subsidy policy, particularly its impact on subway demand.

2.3. Beijing’s Subway System

Despite the extensive investments in Beijing’s subway system expansions, it is imperative to acknowledge the inherent drawbacks that accompany such developments. First, the subway system does not always adequately address the “last mile” problem—the challenge of providing transportation from a public transport stop to an individual’s final destination. This limitation can compromise the overall efficacy of the subway system in promoting holistic urban mobility [20,36]. Overcrowding in subway systems, a secondary concern, leads to discomfort and inefficiency for commuters [37]. Lastly, the existence of a subway system inadvertently contributes to urban housing price differentiation. The increased value assigned to properties located in close proximity to subway stations inflates living costs for commuting populations, potentially worsening existing socioeconomic inequalities [38].

2.4. Hypotheses

Given these aspects and the broader shifts in the transportation landscape, the NEV charging point subsidy policy may affect the subway premium in three main ways. First, the charging point subsidy policy could subsidize the cost of charging station construction, thereby stimulating investment demand and increasing the number of charging stations [39]. Second, the policy may guide the construction of charging stations in residential communities and public places, promoting a scientific distribution of charging points and rationalizing pricing [40].
Third, maintenance subsidies could enhance the quality of charging station usage. Collectively, these measures are expected to enhance the convenience of charging stations, significantly alleviate range anxiety during travel, and stimulate the demand for the purchase and use of new energy vehicles [41]. This shift alters the relative benefits of new energy vehicles compared to public transportation. In particular, the convenience of using new energy vehicles increases, and compared to subways, new energy vehicles offer greater comfort, greater flexibility, potential time savings, and improved traffic efficiency. Consequently, reliance on subways may decrease, potentially leading to a reduction in the real estate premiums associated with subway proximity.
The hedonic valuation methodology provides a framework for these hypotheses. Utilizing this approach, we can examine the impact of the charging point subsidy policy on the real estate premiums associated with subway proximity. Thus, we propose the following hypotheses:
H1. 
The charging point subsidy policy may reduce the real estate premium associated with subway proximity.
Moreover, the impact of the charging point subsidy policy on subway premiums may exhibit variability under different conditions. Specifically, the policy may have heterogeneous effects depending on the location and construction site. On the one hand, in areas further from the city center where subway accessibility is lower and the “last mile” problem is more pronounced, the demand for NEVs is likely higher. Consequently, the reduction in real estate premiums associated with subway proximity due to the charging point subsidy policy may be more pronounced in these areas. On the other hand, the presence of charging points within a residential community allows residents to charge their vehicles overnight, reducing their charging stress and reliance on subways. Therefore, the impact of the charging point subsidy policy on subway premiums may be more significant in communities equipped with charging points [42,43].
Based on these considerations, we propose the following two hypotheses:
H2. 
The location can moderate the effect of the charging point subsidy policy, with a greater reduction in subway premiums in areas farther from the city center.
H3. 
The location of charging station construction, particularly within residential communities, can significantly influence subway premiums under the charging point subsidy policy.

3. Data

To investigate the subway capitalization effect in Beijing and examine the changes in subway proximity premium, we collected an extensive data set focusing on second-hand residential property transactions. Our data were sourced from Lianjia’s online platform, one of the leading real estate brokerage firms in China, which accounts for approximately 70% of the brokerage market in Beijing. The platform offers transparent, detailed information for each transaction, including the final sale price and property attributes. Spanning the period from 2010 to 2020, the data set contains nearly one million transactions, which allows for a comprehensive analysis of property trades across a wide geographic area of Beijing. Given China’s specialized policies affecting land and property in rural areas, which hinder the proper functioning of rural housing markets, we excluded these districts from our study. Our focus was on transactions that occurred in six key urban districts (i.e., Dongcheng, Xicheng, Haidian, Chaoyang, Fengtai, and Shijingshan), which are commonly viewed as the heart of the city. After dropping records with missing values and outliers, our final sample consisted of 599,916 transactions.
A bundle of attributes for each transaction record was available in our data set. Specifically, we collected transactional attributes such as the date of sale and the sale price, as well as physical attributes including the housing area, the number of rooms and kitchens, and whether the unit is on the first or last floor. We also obtained other characteristics like whether the unit is of a single level, its orientation (particularly whether it faces south), its age, its decorative status, and the ratio of the number of elevators to housing units at each level. We also collected the geographical coordinates of the residential complexes, a prevalent form of housing in urban China, where individual housing units are situated, which helped us geocode all of the properties. Typically occupying 30,000 square meters in Beijing, these complexes range from individual buildings to grouped structures sharing neighborhood amenities. There were 5128 such complexes in our data set. Table 1 shows the descriptive statistics for our sample of housing transactions.
In order to rigorously explore the economic effects of subway stations, we constructed a panel data set to capture the existence of a subway station in a certain month. The data set tracked Beijing’s subway expansion from 171 stations in January 2011 to a substantial 383 stations by the end of December 2020. We sourced the official opening dates for each station from the Beijing Municipal Commission of Planning and Natural Resources to ensure month-to-month precision in our analysis. Moreover, we obtained the geographical coordinates for each station, which allowed us to match every transaction with its nearest operational subway station at the time of sale. Utilizing these spatial data, we calculated the distances between complexes and subway stations and created dummy variables to indicate whether a subway station fell within 500, 700, or 1000 m of the associated residential complex at the time of the transaction. We also created a continuous variable (d_subway) that directly measured the straight-line distance from the complex to the closest subway station. These variables are also shown in Table 1.
We further analyzed the spatial heterogeneity of the change in subway proximity premium. We divided the core urban areas of Beijing into five regions according to the major ring roads. Based on the geographical coordinates, each housing unit was identified as located in one of the following five regions: the area within the second ring, between the second and third rings, between the third and fourth rings, between the fourth and fifth rings, and outside the fifth ring.
In addition, to examine the robustness of our findings, we collected data for the location of charging points from the Beijing Municipal Commission of Housing and Urban–Rural Development. The data contained information on residential complexes in Beijing that were equipped with self-use charging points for EVs in January 2016 and July 2016. This timeframe marks the initial phase of Beijing’s concerted efforts to promote the construction of charging points, which is pertinent to our study. According to the Commission’s records, 2108 residential complexes had integrated self-use charging points in January 2016. This number grew remarkably to 5404 complexes by the end of July 2016. Utilizing these data, we are able to determine which properties had charging points within the complex. Specifically, we generated two dummies for January and July, respectively, which labeled a complex as a “CP-complex” if the nearest charging point was situated within 300 m. Figure 3 and Figure 4 illustrate the distribution of charging points in January and July.

4. Empirical Strategy

To estimate the effects of the NEV charging point subsidy policy on the willingness to pay for subway, we employed a difference-in-differences (DID) approach, which marked housing units in a residential complex as the treatment group if the complex was located proximate to a subway station in our different measures. To begin with, we examined the total subway premium with the following traditional hedonic regression as the baseline:
log P i j t = β 0 + β 1 S u b w a y j t + β 2 X i j t + δ t + μ j + ε i j t
In Equation (1), log P i j t is the logarithm of the transaction price for housing unit i in residential complex j at time t; S u b w a y j t is an indicator for the treatment group, which comprises properties with subway stations nearby, based on the distance between complexes and subway stations. In our regressions, we used three variables for different definitions of the treatment group, along with a continuous variable of logged distance from nearby subway stations. X i j t includes control variables such as housing characteristics and other location attributes.
In our empirical analysis, we employed time fixed effects, denoted by δ t , and spatial fixed effects, denoted by μ j , to mitigate the omitted variable bias of our estimation. We incorporated month-of-sample fixed effects (the sample spanned 120 months) to control for time-trend factors that commonly affect all properties, including macroeconomic fluctuations, seasonal patterns, and policy changes over our 10-year sample period. Alternative forms were considered, such as year fixed effects and a combination of year fixed effects and month fixed effects. Moreover, we included residential complex fixed effects (the sample comprised 5128 complexes) to control for the time-invariant, unobservable characteristics of each residential complex, such as neighborhood amenities that may affect property prices. Through employing these sets of fixed effects, our model controlled for as many potential confounders as possible and only utilized variation at extremely fine levels, yielding more accurate and reliable estimates for causal inference.
We first estimated Equation (1) to examine the overall impact of subway proximity on housing prices. Subsequently, to account for the NEV charging point subsidy policy implemented in January 2016, we introduced an interaction term between subway proximity and the policy in the following equation:
log P i j t = β 0 + β 1 S u b w a y j t + β 2 P o l i c y t × S u b w a y j t + β 3 X i j t + δ t + μ j + ε i j t
where P o l i c y t is a binary variable that takes the value 1 if the transaction occurred after January 2016, and 0 if the property was sold before that date. This allowed us to compare properties before and after the policy and isolate the causal effect of the NEV charging point subsidy policy on the willingness to pay for properties near subway stations.
Furthermore, to validate the parallel pre-trend assumption and to explore the dynamic effects of the charging point subsidy policy, we estimated the following event study regression:
log P i j t = β 0 + β 1 S u b w a y j t + j = 2 12 γ j T i m e j t × S u b w a y j t + β 2 X i j t + δ t + μ j + ε i j t
In Equation (3), T i m e j t serves as an indicator for the j t h two-month period relative to the policy’s implementation. We used the period j = 0 as the baseline, which represents the two months immediately preceding the policy (November–December 2015). The coefficient γ j captured the incremental effects of subway proximity on housing prices for each two-month period j . We did not expect significant values for γ j when j 0 ; this served as the test of the parallel pre-trend assumption. In addition, the γ j coefficients for positive j were captured here, which revealed how the impact of the charging point subsidy policy evolved over time.
Furthermore, we explored the spatial heterogeneity of this impact with the following equation:
log P i j t = β 0 + β 1 S u b w a y j t + β 2 P o l i c y t × S u b w a y j t + β 3 P o l i c y t × S u b w a y j t × R i + β 4 X i t + δ t + μ j + ε i j t
In Equation (4), R i is a ring-partitioned region dummy that interacted with P o l i c y t × S u b w a y j t . To represent the ring structure in Beijing, R i is a dummy variable to indicate if the property was located within the third ring road. The coefficient of interest to be estimated, β 3 , captured the spatially heterogeneous impact of the charging point subsidy policy on the willingness to pay for subway proximity across different spatial partitions in Beijing. Through incorporating the interaction term, our model helped to reveal the spatial pattern of people’s sensitivity to the charging point subsidy, illustrating how subway premiums change in response to the increase in charging infrastructure. This understanding provides potential policy implications for the implementation of transportation and urban development strategies, including the construction of charging points and enhancement of public transit accessibility.
To check the robustness of our findings, we performed additional analyses that incorporated data on the availability of charging points within residential complexes specifically for the timeframes of January 2016 and July 2016, which mark the beginning and end of Beijing’s large-scale efforts to construct charging infrastructure (we chose these two time points for our analysis, as data on the distribution of charging points in Beijing are not available for other time periods). Specifically, we modified our original DID equation to include new interaction terms involving charging point (CP) availability:
log P i j t = β 0 + β 1 S u b w a y j t + β 2 P o l i c y t × S u b w a y j t + β 3 P o l i c y t × S u b w a y j t × C P j + β 4 X i t + δ t + μ j + ε i j t
where C P j equals 1 if the complex is marked as CP-complex in our measures. In this equation, β 3 captured the additional effect of having a charging point within the residential complex on the willingness to pay for properties near subway stations after the introduction of charging point subsidy policy. This robustness check aimed to shed light on whether the subsidy policy’s effectiveness was indeed influenced by the level of charging point integration within residential areas, which addresses the possible endogeneity problems.

5. Results

5.1. Subway Premium Capitalized in Housing Price and Its Changes

In this section, we present our estimation results for the impact of the NEV charging point subsidy policy on the willingness to pay for subway proximity. First, we investigated the overall effects of subway stations on housing prices with the baseline hedonic model, and the results are shown in Table 2. Across all four columns, we use various distance measurements to indicate subway proximity, and the effects of subway proximity on property value are significantly positive, which is consistent with prior literature [33,35]. The estimated price premiums for properties situated within 500, 700, and 1000 m of a subway stop are approximately 1.08%, 1.76%, and 0.87% of the housing prices, respectively. Additionally, the coefficient for the continuous distance measure, which represents the distance to the nearest station, is negative. This result is consistent with the results from the binary variables, indicating that properties closer to subway stations have higher prices. Moreover, we considered some specific structural attributes like room number and housing level as control variables in our regression, which also showed a significant impact on housing prices. To account for potential confounders, each regression model controlled for month-of-sample and complex fixed effects.
Then, we report the difference-in-differences estimation of Equation (2), which assessed the impact of the NEV charging point subsidy policy by introducing an interaction term between subway proximity and the policy. The results are shown in Table 3. The first three columns report the coefficients of the binary variables for subway proximity, which took 1 when the property of the transaction was within 500, 700, or 1000 m from the closest subway station. The coefficients of the interaction term between these measures and policy implementation are all significantly negative. Moreover, the continuous measure of subway proximity showed similar results, with a negative premium gradient and a positive interaction term. We found that the positive impact on property values attributed to subway proximity had diminished, ranging from a decrease of 0.43% to 1.24% of overall housing prices after the implementation of the NEV charging point subsidy policy. Dividing the negative effect by the total subway premium, we found that the policy reduced the overall subway premium by 65.96% for properties within 500 m, 21.62% within 700 m, 48.14% within 1000 m, and 77.25% as indicated by the continuous distance variable. This implies the considerable effect that the charging point subsidy policy has had on the demand for public transportation.

5.2. Dynamic Effect of the Charging Point Subsidy

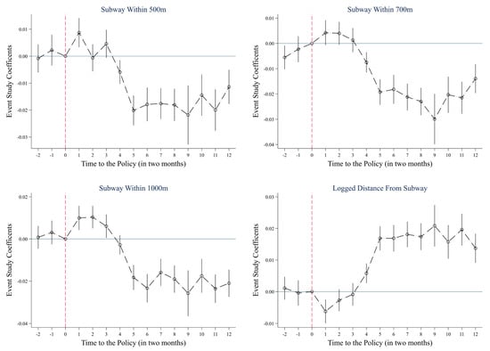
We also employed an event study method to test the assumption of parallel pre-trends and investigate the dynamic effects of the NEV charging point subsidy policy on the subway premium. We observed the effects for six months prior to and 24 months after the policy implementation (i.e., July 2015 to December 2017), and the results are presented in Figure 5. In all graphs, before the enactment of the policy, the event study coefficients showed no significant difference from zero, which means that the control and treatment groups in our DID design present parallel pre-trends.
Moreover, we analyzed the dynamic impact of the policy, which is also shown in Figure 5. For the first four periods following the policy (i.e., January 2016 to August 2016), the effects were not statistically significant. This delay could be attributed to a couple of key factors. First, while our study considered a national charging point subsidy initiated in January 2016, Beijing’s specific plans were not released until April. This four-month lag between national and local policy rollout partly explains the initial absence of significant effects on housing prices near subways. Additionally, the average time consumers in China spend on searching for a home is around 3–4 months. Given the policy’s aim to boost NEV usage in complexes with nearby charging points, this search period accounted for a natural time lag in its impact on housing prices. Furthermore, we found that the policy’s impact reached its peak in September 2016 and remained considerable afterward. This effect reveals a stable reduction in the subway premium in housing prices, which offers compelling evidence for the long-term and substantial influence that the NEV charging point subsidy policy wields on the public’s utilization of subway systems.

5.3. Spatial Heterogeneity in the Impact of the Charging Point Subsidy

To further understand the spatial patterns in the impact of the charging point subsidy policy, we segmented Beijing by its ring roads for a focused examination of regional policy effects. Table 4 shows our results. To enhance the clarity of the presentation, we controlled for all structural attributes in the regression analyses but omitted them from the table for simplicity. Although the overall subway premium significantly decreased in all three columns, the impact of the policy on subway demand in the area within Beijing’s third ring was less noticeable and even exhibited a significant increase ranging from 4.30% to 5.14%, which deviated considerably from the average level across the city.
Several plausible mechanisms could explain the subdued impact of the charging point subsidy policy on the subway premiums in the region within Beijing’s third ring. First, residents near the city center may have a lower dependency on subway transport due to their proximity to employment centers. For them, alternative modes of transportation—such as walking, cycling, or driving—often offer shorter and more flexible commuting options than subways, thereby reducing their inherent demand for subway services [44,45].
Second, the residents within these rings may have higher purchasing power. Many of them likely already own ICEVs, making them less responsive to a policy mainly affecting those who have purchased or are about to purchase NEVs [46]. Moreover, the impact of new charging points could be diminished in these areas as there may already be a considerable number of existing charging facilities, reducing the relative influence of the new policy on housing prices near subway stations in such areas.

5.4. Robustness Checks

Furthermore, to check the robustness of our findings, we tested the relationship between the impact and the NEV charging point subsidy policy in a more direct way. Specifically, we introduced an interaction between the DID and complexes with charging points to estimate the policy’s impact in these complexes, and our results are shown in Table 5. In all columns, the estimates for the interaction term, P o l i c y × S u b w a y × C P , are significantly negative, which indicates an additional decrease in the subway premiums in CP-complexes compared to non-CP-complexes. Moreover, the coefficients for the DID estimators, P o l i c y × S u b w a y , are insignificant in columns (2), (3), (5), and (6), which suggests that the observed effects of the subsidy on subway premiums are largely attributable to residential complexes equipped with charging points. These results validate the robustness of our results and mitigate concerns over potential endogeneity problems.
In addition, to bolster the reliability of our baseline regression and mitigate potential confounding effects, we carried out a placebo test in line with the methods proposed by Wang et al. (2023) [47] and Qu et al. (2023) [48]. This entailed randomizing the treatment status via self-sampling. Specifically, we shuffled the treatment time of our main variable, which is P o l i c y t in our regression, and re-ran the regression 500 times. Figure 6 illustrates the relationship between the coefficients and their associated p-values derived from the placebo regressions. The probability density of the DID coefficient from the placebo test follows a normal distribution. Notably, the true estimates (denoted by the red vertical lines) are markedly isolated, situating themselves in the lower tail of the coefficient distribution. The majority of the randomized coefficients converge around zero, exhibiting varied p-values, which further strengthens the credibility and significance of our initial estimate. This representation accentuates the resilience of our primary findings. It becomes clear that, under randomized conditions, the probability of encountering our authentic coefficient by sheer coincidence is exceedingly low.

6. Discussion

This paper examined the influence of the NEV charging point subsidy policy on subway demand. Employing a DID approach within the framework of the hedonic pricing model, we assessed shifts in the subway premium of housing prices before and after the subsidy. Moreover, by adopting our DID model with granular fixed effects, we addressed the endogeneity problem of omitted variable bias, which is a prevalent concern in existing studies.
Our results indicated a notable effect of the NEV charging point subsidy policy on public transportation demand, particularly concerning subway services. We observed a significantly negative interaction between subway proximity and the subsidy policy. Specifically, we found that the premium that property buyers are willing to pay for being close to a subway station has reduced considerably since the implementation of the subsidy policy. This reduction in housing price premiums for subway proximity ranged from 0.43% to 1.24% of housing prices, depending on the distance to the nearest subway station. When quantified, this amounts to a drop in the subway premium by as much as 65.96% for properties within 500 m of a subway station, 21.62% for properties within 700 m, 48.14% for those within 1000 m, and 77.25% as measured by the continuous distance variable.
Moreover, considering that the average housing price in our sample was RMB4,511,000, these effects translate to a range of RMB19,217 to RMB55,936 (USD2745 to USD7991) per transaction. Given that the average annual income for residents in Beijing was reported to be RMB52,530 in 2016, the observed decrement in subway premiums is equivalent to a year’s worth of income for an average individual, which is considerable. These findings are consistent with literature indicating that NEVs and their charging points can influence real estate prices and transportation-related premium changes [41].
Furthermore, we explored the heterogeneity of the policy’s impacts; it is worth noting briefly that some spatial variation exists. In particular, areas within Beijing’s third ring road exhibited less sensitivity to the policy change, with some even showing an increase in the subway premium. The reasons behind this localized trend might include alternative transportation options and higher purchasing power among residents. This observed heterogeneity in impact aligns with literature suggesting that changes in premiums related to transportation can vary significantly across different urban areas [42,43].

7. Conclusions, Limitations, and Policy Implications

This study emphasizes the interconnected nature of environmental policies, particularly highlighting the relationship between the NEV charging point subsidy policy and subway investments. NEV charging infrastructure is designed to promote the adoption of NEVs, aiming to reduce the reliance on fossil fuels, enhance energy sustainability, and decrease environmental pollution. Conversely, investments in subway systems are intended to increase the use of public transportation, thereby also aiming to reduce traffic-related pollution. Our findings revealed that the construction of NEV charging points may lead to a decrease in subway demand, as inferred from the housing premiums of subway proximity in this paper, thereby impacting public transportation usage. This suggests that these two environmental policies might exert a mutual influence, potentially diminishing each other’s effectiveness. Through shedding light on this dynamic, our study underscores the need for a comprehensive approach in environmental policymaking that considers the potential interactions between different initiatives to maximize their collective impact on urban sustainability.
While our study provides valuable insights into the impacts of NEV charging point subsidies on subway demand in Beijing, it is important to acknowledge certain limitations that may affect the breadth and accuracy of our findings. First, our analysis was geographically confined to Beijing, a major city with a developed subway system. This focus limits the generalizability of our findings to other cities that may have different urban characteristics or transit infrastructures. Furthermore, due to the unavailability of precise data on the geographical locations and specific operational start dates of each charging station, there is room for improvement in the accuracy of the effects identified in this study. These limitations highlight the need for cautious interpretation of our results and suggest areas for further research to refine the understanding of the impact of NEVs across various urban settings.
Our findings offer three policy implications. First, our analysis underscores the dual benefits of NEV adoption, reflecting a key feature of environmental economic policy. On the one hand, the increased uptake of NEVs significantly contributes to reducing environmental pollution, thereby supporting the global endeavor to achieve carbon neutrality, mitigate climate change, and foster sustainable development. On the other hand, it optimizes resource allocation, alleviating congestion in already overcrowded subway systems and returning them to a reasonable level of utilization. This not only enhances environmental sustainability by promoting cleaner modes of transportation but also bolsters economic sustainability through the optimization of urban space and resources. Such a policy harmoniously blends the objectives of environmental sustainability with those of economic efficiency and welfare maximization, highlighting the importance of continuous investment in NEV development and the expansion of charging infrastructure to sustain this dual benefit.
Second, this study highlights the importance of coordinated development between subway systems and surface transport, especially in metropolises like Beijing facing transit accessibility issues. This coordinated approach is pivotal for advancing urban sustainability as it ensures the balanced utilization of transport networks, reduces traffic congestion, and minimizes carbon emissions by encouraging public transport use over private vehicle reliance. Through fostering an integrated transportation ecosystem, cities can significantly enhance their resilience to environmental pressures, promote energy efficiency, and support the overarching goals of sustainable urban development. Such strategic integration not only improves the quality of life for urban residents through more reliable and accessible transport options but also contributes to the global efforts toward achieving sustainable cities and communities, aligning with the United Nations Sustainable Development Goals.
Finally, our findings illuminate the broader implications of environmental policies on urban transit systems, underscoring the imperative for comprehensive planning that synergizes various environmental initiatives. The intricate interplay between transportation policies and environmental objectives necessitates an integrated approach to policy formulation. Through adopting a holistic perspective, policymakers can ensure that environmental strategies are not only aligned but also mutually reinforcing, thereby optimizing the collective impact on urban sustainability. This concerted effort toward coordinating multiple environmental policies can facilitate a more sustainable and cohesive urban development trajectory, ensuring that efforts to reduce carbon emissions and pollution are integrated with the enhancement of public transportation infrastructure. Such an approach underscores the importance of adopting a systemic perspective in environmental policymaking, one that acknowledges and leverages the complex interactions between different policy domains to achieve a more sustainable and resilient urban future.

Author Contributions

Y.B.: Conceptualization, data curation, and writing—original draft. J.L.: Formal analysis, visualization, and writing—review and editing. Z.L.: Formal analysis and writing—original draft. S.W.: Conceptualization and writing—review and editing. All authors have read and agreed to the published version of the manuscript.

Funding

This work was supported by the Major Program of National Fund of Philosophy and Social Science of China (21ZDA061), provided by National Office for Philosophy and Social Sciences.

Institutional Review Board Statement

Not applicable.

Informed Consent Statement

Not applicable.

Data Availability Statement

The raw data supporting the conclusions of this article will be made available by the authors without undue reservation.

Conflicts of Interest

The authors declare no conflicts of interest. The funders had no role in the design of the study; in the collection, analyses, or interpretation of data; in the writing of the manuscript; or in the decision to publish the results.

References

  1. Bayer, P.; Ferreira, F.; McMillan, R. A Unified Framework for Measuring Preferences for Schools and Neighborhoods. J. Polit. Econ. 2007, 115, 588–638. [Google Scholar] [CrossRef]
  2. McCollum, D.L.; Wilson, C.; Bevione, M.; Carrara, S.; Edelenbosch, O.Y.; Emmerling, J.; Guivarch, C.; Karkatsoulis, P.; Keppo, I.; Krey, V.; et al. Interaction of consumer preferences and climate policies in the global transition to low-carbon vehicles. Nat. Energy 2018, 3, 664–673. [Google Scholar] [CrossRef]
  3. Lyu, X. Car restriction policies and housing markets. J. Dev. Econ. 2022, 156, 102850. [Google Scholar] [CrossRef]
  4. Xu, Y.; Zhang, Q.; Zheng, S. The rising demand for subway after private driving restriction: Evidence from Beijing’s housing market. Reg. Sci. Urban Econ. 2015, 54, 28–37. [Google Scholar] [CrossRef]
  5. Gu, Y.; Deakin, E.; Long, Y. The effects of driving restrictions on travel behavior evidence from Beijing. J. Urban Econ. 2017, 102, 106–122. [Google Scholar] [CrossRef]
  6. Yang, M.; Zhang, L.; Dong, W. Economic Benefit Analysis of Charging Models Based on Differential Electric Vehicle Charging Infrastructure Subsidy Policy in China. Sustain. Cities Soc. 2020, 59, 102206. [Google Scholar] [CrossRef]
  7. Zhang, J.; Yan, X.; An, M.; Sun, L. The Impact of Beijing Subway’s New Fare Policy on Riders’ Attitude, Travel Pattern and Demand. Sustainability 2017, 9, 689. [Google Scholar] [CrossRef]
  8. Ma, S.; Fan, Y.; Feng, L. An evaluation of government incentives for new energy vehicles in China focusing on vehicle purchasing restrictions. Energy Policy 2017, 110, 609–618. [Google Scholar] [CrossRef]
  9. Li, C.; Negnevitsky, M.; Wang, X.; Yue, W.L.; Zou, X. Multi-criteria analysis of policies for implementing clean energy vehicles in China. Energy Policy 2019, 129, 826–840. [Google Scholar] [CrossRef]
  10. Yang, Y.; Tan, Z. Investigating the Influence of Consumer Behavior and Governmental Policy on the Diffusion of Electric Vehicles in Beijing, China. Sustainability 2019, 11, 6967. [Google Scholar] [CrossRef]
  11. Li, W.; Long, R.; Chen, H. Consumers’ evaluation of national new energy vehicle policy in China: An analysis based on a four paradigm model. Energy Policy 2016, 99, 33–41. [Google Scholar] [CrossRef]
  12. Wu, X.; Gong, J.; Greenwood, B.N.; Song, Y.A. The Effect of Early Electric Vehicle Subsidies on the Automobile Market. J. Public Policy Mark. 2023, 42, 169–186. [Google Scholar] [CrossRef]
  13. Xian, Y.; Wang, Q.; Fan, W.; Da, Y.; Fan, J. The impact of different incentive policies on new energy vehicle demand in China’s gigantic cities. Energy Policy 2022, 168, 113137. [Google Scholar] [CrossRef]
  14. Gao, L.; Zhao, C.; Mei, Y. Assessing the economic premium of electric vehicle charging points: A hedonic price analysis in Beijing, China. Environ. Sci. Pollut. Res. 2022, 29, 84546–84561. [Google Scholar] [CrossRef] [PubMed]
  15. Tan, R.; Lin, B. Are people willing to support the construction of charging facilities in China? Energy Policy 2020, 143, 111604. [Google Scholar] [CrossRef]
  16. Wan, Z.; Sperling, D.; Wang, Y. China’s electric car frustrations. Transp. Res. Part D Transp. Environ. 2015, 34, 116–121. [Google Scholar] [CrossRef]
  17. Li, P.; Zhang, Z. The effects of new energy vehicle subsidies on air quality: Evidence from China. Energy Econ. 2023, 120, 106624. [Google Scholar] [CrossRef]
  18. Liu, F.; Wang, L.; Xie, S. Effects of Subsidy Cancellations on Investment Strategies of Local Governments and New Energy Vehicle Manufacturers: A Study Based on Differential Game. Sustainability 2022, 14, 12324. [Google Scholar] [CrossRef]
  19. Zheng, S.; Xu, Y.; Zhang, X.; Wang, R. Transit development, consumer amenities and home values: Evidence from Beijing’s subway neighborhoods. J. Hous. Econ. 2016, 33, 22–33. [Google Scholar] [CrossRef]
  20. Zhang, D.; Zhao, J.; Zhang, F.; Jiang, R.; He, T.; Papanikolopoulos, N. Last-Mile Transit Service with Urban Infrastructure Data. ACM Trans. Cyber-Phys. 2017, 1, 1–26. [Google Scholar] [CrossRef]
  21. Pan, L.; Yao, E.; Yang, Y.; Zhang, R. A location model for electric vehicle (EV) public charging stations based on drivers’ existing activities. Sustain. Cities Soc. 2020, 59, 102192. [Google Scholar] [CrossRef]
  22. Wang, R.; Li, X.; Xu, C.; Li, F. Study on location decision framework of electric vehicle battery swapping station: Using a hybrid MCDM method. Sustain. Cities Soc. 2020, 61, 102149. [Google Scholar] [CrossRef]
  23. Li, S.; Hui, E.C.M.; Wen, H.; Liu, H. Does public concern matter to the welfare cost of air pollution? Evidence from Chinese cities. Cities 2022, 131, 103992. [Google Scholar] [CrossRef]
  24. Xie, Y.; Wu, D.; Zhu, S. Can new energy vehicles subsidy curb the urban air pollution? Empirical evidence from pilot cities in China. Sci. Total Environ. 2021, 754, 142232. [Google Scholar] [CrossRef] [PubMed]
  25. Rosen, S. Hedonic Prices and Implicit Markets: Product Differentiation in Pure Competition. J. Polit. Econ. 1974, 82, 34–55. [Google Scholar] [CrossRef]
  26. Gibbons, S.; Machin, S.; Silva, O. Valuing school quality using boundary discontinuities. J. Urban Econ. 2013, 75, 15–28. [Google Scholar] [CrossRef]
  27. Mei, Y.; Gao, L.; Zhang, J.; Wang, J. Valuing urban air quality: A hedonic price analysis in Beijing, China. Environ. Sci. Pollut. Res. 2020, 27, 1373–1385. [Google Scholar] [CrossRef] [PubMed]
  28. Gibbons, S. The Costs of Urban Property Crime. Econ. J. 2004, 114, F441–F463. [Google Scholar] [CrossRef]
  29. Thaler, R. A note on the value of crime control: Evidence from the property market. J. Urban Econ. 1978, 5, 137–145. [Google Scholar] [CrossRef]
  30. Ye, Y.; Jiang, B.; Ning, B.; Lim, X.; Hu, L. Does Price Matter in Mainland China? Examine the Factors Influencing Broiler Chicken Purchase Intention. Sustainability 2023, 15, 3778. [Google Scholar] [CrossRef]
  31. Gibbons, S.; Machin, S. Valuing rail access using transport innovations. J. Urban Econ. 2005, 57, 148–169. [Google Scholar] [CrossRef]
  32. Tang, C.K. The Cost of Traffic: Evidence from the London Congestion Charge. J. Urban Econ. 2021, 121, 103302. [Google Scholar] [CrossRef]
  33. Zhang, L.; Yi, Y. Quantile house price indices in Beijing. Reg. Sci. Urban Econ. 2017, 63, 85–96. [Google Scholar] [CrossRef]
  34. Dai, X.; Bai, X.; Xu, M. The influence of Beijing rail transfer stations on surrounding housing prices. Habitat Int. 2016, 55, 79–88. [Google Scholar] [CrossRef]
  35. Wang, X.J. Subway capitalization effect in Beijing: Theory and evidence on the variation of the subway proximity premium. Pap. Reg. Sci. 2017, 96, 495–518. [Google Scholar] [CrossRef]
  36. Chu, J.; Duan, Y.; Yang, X.; Wang, L. The Last Mile Matters: Impact of Dockless Bike Sharing on Subway Housing Price Premium. Manag. Sci. 2021, 67, 297–316. [Google Scholar] [CrossRef]
  37. Haywood, L.; Koning, M.; Prud’Homme, R. The economic cost of subway congestion: Estimates from Paris. Econ. Transp. 2018, 14, 1–8. [Google Scholar] [CrossRef]
  38. Tian, C.; Peng, Y.; Wen, H.; Yue, W.; Fang, L. Subway boosts housing values, for whom: A quasi-experimental analysis. Res. Transp. Econ. 2021, 90, 100844. [Google Scholar] [CrossRef]
  39. Luo, Z. Powering Up a Slow Charging Market: How Do Government Subsidies Affect Charging Station Supply? arXiv 2022, arXiv:2210.14908. [Google Scholar]
  40. Shi, L.; Sethi, S.P.; Çakanyıldırım, M. Promoting electric vehicles: Reducing charging inconvenience and price via station and consumer subsidies. Prod. Oper. Manag. 2022, 31, 4333–4350. [Google Scholar] [CrossRef]
  41. Springel, K. Network Externality and Subsidy Structure in Two-Sided Markets: Evidence from Electric Vehicle Incentives. Am. Econ. J. Econ. Policy 2021, 13, 393–432. [Google Scholar] [CrossRef]
  42. Fosgerau, M.; Kim, J.; Ranjan, A. Vickrey meets Alonso: Commute scheduling and congestion in a monocentric city. J. Urban Econ. 2018, 105, 40–53. [Google Scholar] [CrossRef]
  43. Peng, L.; Shen, Y.; Gao, W.; Zhou, J.; Pan, L.; Kan, H.; Cai, J. Personal exposure to PM2.5 in five commuting modes under hazy and non-hazy conditions. Environ. Pollut. 2021, 289, 117823. [Google Scholar] [CrossRef] [PubMed]
  44. Gordon, P.; Kumar, A.; Richardson, H.W. The influence of metropolitan spatial structure on commuting time. J. Urban Econ. 1989, 26, 138–151. [Google Scholar] [CrossRef]
  45. Huang, D.; Liu, Z.; Zhao, X. Monocentric or Polycentric? The Urban Spatial Structure of Employment in Beijing. Sustainability 2015, 7, 11632–11656. [Google Scholar] [CrossRef]
  46. Zhang, W.; Zhao, Y.; Jason Cao, X.; Lu, D.; Chai, Y. Nonlinear effect of accessibility on car ownership in Beijing: Pedestrian-scale neighborhood planning. Transp. Res. Part D Transp. Environ. 2020, 86, 102445. [Google Scholar] [CrossRef]
  47. Wang, Y.; Wei, S.; He, X.; Gu, H. Environmental regulation and entrepreneurial activity: Evidence from the low-carbon city pilot policy in China. Sustain. Cities Soc. 2023, 98, 104829. [Google Scholar] [CrossRef]
  48. Qu, F.; Xu, L.; He, C. Leverage effect or crowding out effect? Evidence from low-carbon city pilot and energy technology innovation in China. Sustain. Cities Soc. 2023, 91, 104423. [Google Scholar] [CrossRef]
Figure 1. Growth rates of Beijing’s NEV ownership and charging points.
Figure 1. Growth rates of Beijing’s NEV ownership and charging points.
Sustainability 16 03874 g001
Figure 2. NEV ownership, NEV charging points, and CP-to-NEV ratio in Beijing.
Figure 2. NEV ownership, NEV charging points, and CP-to-NEV ratio in Beijing.
Sustainability 16 03874 g002
Figure 3. Spatial distribution of the NEV charging points in January 2016. Note: Data collected from the Beijing Municipal Commission of Housing and Urban–Rural Development. Available online: https://zjw.beijing.gov.cn/bjjs/xxgk/xwfb/317878/index.shtml (accessed on 26 January 2024).
Figure 3. Spatial distribution of the NEV charging points in January 2016. Note: Data collected from the Beijing Municipal Commission of Housing and Urban–Rural Development. Available online: https://zjw.beijing.gov.cn/bjjs/xxgk/xwfb/317878/index.shtml (accessed on 26 January 2024).
Sustainability 16 03874 g003
Figure 4. Spatial distribution of the NEV charging points in July 2016. Note: Data collected from the Beijing Municipal Commission of Housing and Urban–Rural Development. Available online: http://zjw.beijing.gov.cn/bjjs/fwgl/wyglxx/wyglxx/391449/index.shtml (accessed on 26 January 2024).
Figure 4. Spatial distribution of the NEV charging points in July 2016. Note: Data collected from the Beijing Municipal Commission of Housing and Urban–Rural Development. Available online: http://zjw.beijing.gov.cn/bjjs/fwgl/wyglxx/wyglxx/391449/index.shtml (accessed on 26 January 2024).
Sustainability 16 03874 g004
Figure 5. Pre-trends and dynamic effects of the NEV charging point subsidy policy.
Figure 5. Pre-trends and dynamic effects of the NEV charging point subsidy policy.
Sustainability 16 03874 g005
Figure 6. Distribution of randomized DID coefficients and p-values with true estimates.
Figure 6. Distribution of randomized DID coefficients and p-values with true estimates.
Sustainability 16 03874 g006
Table 1. Descriptive statistics.
Table 1. Descriptive statistics.
VariableDescriptionMeanStd. Dev.Min.Max.
priceFinal transaction price of the property (¥10,000)451.1290.6115500
areaHousing area (square meters)80.8636.607.300300
number of roomsNumber of living rooms and bedrooms (#)3.1181.065010
number of kitchensNumber of kitchens (#)0.9970.088702
last floor1 if the unit is on the last floor (0/1)0.1030.30401
first floor1 if the unit is on the first floor (0/1)0.07690.26601
single level1 if the unit is single level (0/1)0.7150.45101
south-facing1 if the unit is south-facing (0/1)0.3530.47801
ageHousing age (years)18.169.552059
decorated1 if the unit is decorated (0/1)0.3990.49001
elevator ratioRatio of the number of elevators to housing units at each level0.2260.23602
subway_500 m1 if there is a subway station in use within 500 m (0/1)0.2790.44801
subway_700 m1 if there is a subway station in use within 700 m (0/1)0.7260.44601
subway_1000 m1 if there is a subway station in use within 1000 m (0/1)0.5020.50001
d_subwayDistance to the closest subway stop (m)880.8692.837.7212,640
Note: N = 599,916.
Table 2. Effects of subway proximity on housing prices.
Table 2. Effects of subway proximity on housing prices.
(1)(2)(3)(4)
VariableLog (Price)Log (Price)Log (Price)Log (Price)
subway_500 m0.0108 ***
(0.00206)
subway_700 m 0.0176 ***
(0.00203)
subway_1000 m 0.00866 ***
(0.00189)
log(d_subway) −0.00744 ***
(0.00131)
area0.00657 ***0.00657 ***0.00657 ***0.00657 ***
(0.00003)(0.00003)(0.00003)(0.00003)
number of rooms0.0833 ***0.0833 ***0.0833 ***0.0833 ***
(0.000609)(0.000609)(0.000609)(0.000609)
number of kitchens0.101 ***0.101 ***0.101 ***0.101 ***
(0.00799)(0.00799)(0.00799)(0.00799)
last floor−0.0462 ***−0.0463 ***−0.0462 ***−0.0462 ***
(0.000645)(0.000645)(0.000645)(0.000645)
first floor−0.0173 ***−0.0173 ***−0.0173 ***−0.0173 ***
(0.000943)(0.000943)(0.000943)(0.000943)
single level0.0105 ***0.0105 ***0.0105 ***0.0105 ***
(0.000668)(0.000667)(0.000668)(0.000668)
south-facing0.0467 ***0.0467 ***0.0466 ***0.0467 ***
(0.000541)(0.000541)(0.000541)(0.000541)
age−0.00491 ***−0.00491 ***−0.00491 ***−0.00491 ***
(0.0000754)(0.0000754)(0.0000754)(0.0000754)
decorated0.0263 ***0.0263 ***0.0263 ***0.0263 ***
(0.000445)(0.000445)(0.000445)(0.000445)
elevator ratio0.0430 ***0.0429 ***0.0429 ***0.0429 ***
(0.00259)(0.00260)(0.00259)(0.00259)
observations599,916599,916599,916599,916
R-squared0.9320.9320.9320.932
month-of-sample FEYESYESYESYES
complex FEYESYESYESYES
Note: All regressions include a constant. Robust standard errors in parentheses. *** p < 0.01.
Table 3. DID results of the NEV charging point subsidy policy.
Table 3. DID results of the NEV charging point subsidy policy.
(1)(2)(3)(4)
VariableLog (Price)Log (Price)Log (Price)Log (Price)
subway_500 m0.0188 ***
(0.00223)
subway_500 m × policy−0.0124 ***
(0.00127)
subway_700 m 0.0197 ***
(0.00220)
subway_700 m × policy −0.00426 ***
(0.00119)
subway_1000 m 0.0102 ***
(0.00198)
subway_1000 m × policy −0.00491 ***
(0.00126)
log(d_subway) −0.0102 ***
(0.00139)
log(d_subway) × policy 0.00788 ***
(0.000889)
area0.00657 ***0.00657 ***0.00657 ***0.00657 ***
(3.00 × 10−5)(3.00 × 10−5)(3.00 × 10−5)(3.00 × 10−5)
number of rooms0.0833 ***0.0833 ***0.0833 ***0.0833 ***
(0.000609)(0.000609)(0.000609)(0.000609)
number of kitchens0.101 ***0.101 ***0.101 ***0.101 ***
(0.00799)(0.00799)(0.00799)(0.00799)
last floor−0.0462 ***−0.0463 ***−0.0462 ***−0.0462 ***
(0.000645)(0.000645)(0.000645)(0.000645)
first floor−0.0173 ***−0.0173 ***−0.0173 ***−0.0172 ***
(0.000943)(0.000943)(0.000943)(0.000943)
single level0.0104 ***0.0105 ***0.0105 ***0.0104 ***
(0.000668)(0.000666)(0.000667)(0.000667)
south-facing0.0466 ***0.0467 ***0.0466 ***0.0466 ***
(0.000541)(0.000541)(0.000541)(0.000541)
age−0.00491 ***−0.00491 ***−0.00491 ***−0.00491 ***
(0.0000754)(0.0000753)(0.0000753)(0.0000753)
decorated0.0263 ***0.0263 ***0.0263 ***0.0263 ***
(0.000445)(0.000445)(0.000445)(0.000445)
elevator ratio0.0430 ***0.0429 ***0.0430 ***0.0429 ***
(0.00259)(0.00259)(0.00259)(0.00259)
observations599,916599,916599,916599,916
R-squared0.9320.9320.9320.932
month-of-sample FEYESYESYESYES
complex FEYESYESYESYES
Note: All regressions include a constant. Robust standard errors in parentheses. *** p < 0.01.
Table 4. Spatial heterogeneity using DID with different measures.
Table 4. Spatial heterogeneity using DID with different measures.
(1)(2)(3)
VariableLog (Price)Log (Price)Log (Price)
subway_500 m0.0179 ***
(0.00221)
subway_500 m × policy−0.0261 ***
(0.00146)
subway_500 m × policy × Inside the 3rd ring0.0430 ***
(0.00196)
subway_700 m 0.0178 ***
(0.00211)
subway_700 m × policy −0.0202 ***
(0.00134)
subway_700 m × policy × Inside the 3rd ring 0.0514 ***
(0.00173)
subway_1000 m 0.00943 ***
(0.00192)
subway_1000 m × policy −0.0185 ***
(0.00135)
subway_1000 m × policy × Inside the 3rd ring 0.0465 ***
(0.00141)
structural attributesYESYESYES
observations599,916599,916599,916
R-squared0.9320.9320.932
month-of-sample FEYESYESYES
complex FEYESYESYES
Note: All regressions include a constant. Robust standard errors in parentheses. *** p < 0.01.
Table 5. Robustness checks concerning in-complex charging points.
Table 5. Robustness checks concerning in-complex charging points.
(1)(2)(3)(4)(5)(6)
VariableLog (Price)Log (Price)Log (Price)Log (Price)Log (Price)Log (Price)
subway_500 m0.0191 *** 0.0190 ***
(0.00223) (0.00223)
subway_500 m × policy−0.00664 *** −0.00785 ***
(0.00150) (0.00223)
subway_500 m × policy × CP−0.0101 *** −0.00544 **
(0.00189) (0.00236)
subway_700 m 0.0197 *** 0.0197 ***
(0.00220) (0.00220)
subway_700 m × policy −0.000826 −0.00114
(0.00159) (0.00198)
subway_700 m × policy × CP −0.00572 *** −0.00363 *
(0.00167) (0.00200)
subway_1000 m 0.0102 *** 0.0101 ***
(0.00199) (0.00198)
subway_1000 m × policy 0.00140 0.000217
(0.00152) (0.00190)
subway_1000 m × policy × CP −0.0105 *** −0.00597 ***
(0.00133) (0.00171)
charging point dataJanuary 2016January 2016January 2016July 2016July 2016July 2016
structural attributesYESYESYESYESYESYES
observations594,672594,672594,672594,672594,672594,672
R-squared0.9330.9330.9330.9330.9330.933
month-of-sample FEYESYESYESYESYESYES
complex FEYESYESYESYESYESYES
Note: All regressions include a constant. Robust standard errors in parentheses. *** p < 0.01, ** p < 0.05, and * p < 0.1.
Disclaimer/Publisher’s Note: The statements, opinions and data contained in all publications are solely those of the individual author(s) and contributor(s) and not of MDPI and/or the editor(s). MDPI and/or the editor(s) disclaim responsibility for any injury to people or property resulting from any ideas, methods, instructions or products referred to in the content.

Share and Cite

MDPI and ACS Style

Bi, Y.; Liu, J.; Liu, Z.; Wei, S. Impact of New Energy Vehicle Charging Point Subsidy Policy on Subway Demand: Evidence from Beijing’s Real Estate Market. Sustainability 2024, 16, 3874. https://doi.org/10.3390/su16093874

AMA Style

Bi Y, Liu J, Liu Z, Wei S. Impact of New Energy Vehicle Charging Point Subsidy Policy on Subway Demand: Evidence from Beijing’s Real Estate Market. Sustainability. 2024; 16(9):3874. https://doi.org/10.3390/su16093874

Chicago/Turabian Style

Bi, Yilin, Jiangwei Liu, Zhuang Liu, and Suhao Wei. 2024. "Impact of New Energy Vehicle Charging Point Subsidy Policy on Subway Demand: Evidence from Beijing’s Real Estate Market" Sustainability 16, no. 9: 3874. https://doi.org/10.3390/su16093874

APA Style

Bi, Y., Liu, J., Liu, Z., & Wei, S. (2024). Impact of New Energy Vehicle Charging Point Subsidy Policy on Subway Demand: Evidence from Beijing’s Real Estate Market. Sustainability, 16(9), 3874. https://doi.org/10.3390/su16093874

Note that from the first issue of 2016, this journal uses article numbers instead of page numbers. See further details here.

Article Metrics

Back to TopTop