Structural Equation Modeling in Technology Adoption and Use in the Construction Industry: A Scientometric Analysis and Qualitative Review
Abstract
1. Introduction
2. Research Methods
2.1. Literature Search
2.2. Scientometric Analysis
2.3. Qualitative Discussion
3. Results
3.1. Journal Source Analysis and Researcher Analysis
3.2. Researchers, Keywords, and Document Analysis
4. Qualitative Discussion
4.1. Research Design
4.1.1. Regions of Study
4.1.2. Research Topics
4.1.3. Cross-Sectional vs. Longitudinal Studies
4.1.4. Theoretical Frameworks and Key Constructs
4.2. SEM Techniques
4.2.1. CB-SEM vs. PLS-SEM
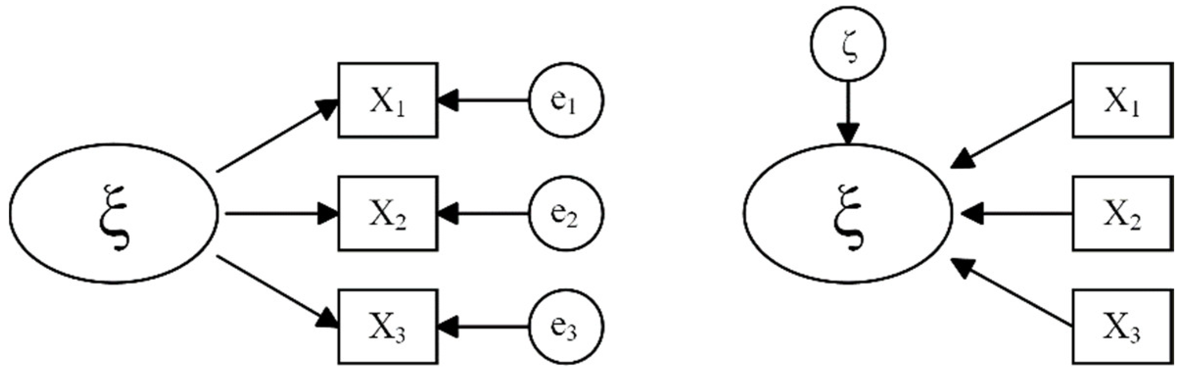
4.2.2. Reflective vs. Formative Measures
4.2.3. Theories for Structural and Measurement Models
4.2.4. Mediation and Moderation Effects
4.3. Research Gaps and Future Directions
4.3.1. Diversifying Region of Study and Research Topic
4.3.2. Incorporating Theoretical Support for Research Design
4.3.3. Carefully Choosing Reflective or Formative Measures
5. Conclusions
Author Contributions
Funding
Data Availability Statement
Conflicts of Interest
Abbreviations
| BIM | Building information modeling |
| CAIS | Computerized accounting information system |
| CB | Covariance-based |
| GBTS | Green building technology |
| GPR | Ground penetrating radar |
| IC | Intelligent compaction |
| ICT | Information communication technologies |
| IDT | Innovation diffusion theory |
| IoT | Internet of things |
| LVs | Latent variables |
| MICT | Mobile information and communication technology |
| OVs | Observed variables |
| PLS | Partial least squares |
| SEM | Structural equation modeling |
| TAM | Technology acceptance model |
| TOE | Technology–organization–environment |
| TPB | Theory of planned behavior |
| UTAUT | Unified theory of acceptance and use of technology |
| VR/AR | Virtual reality or augmented reality |
| WBTMS | Web-based training or management systems |
References
- Abioye, S.O.; Oyedele, L.O.; Akanbi, L.; Ajayi, A.; Delgado, J.M.D.; Bilal, M.; Akinade, O.O.; Ahmed, A. Artificial intelligence in the construction industry: A review of present status, opportunities and future challenges. J. Build. Eng. 2021, 44, 103299. [Google Scholar] [CrossRef]
- Chen, X.; Chang-Richards, A.Y.; Pelosi, A.; Jia, Y.; Shen, X.; Siddiqui, M.K.; Yang, N. Implementation of technologies in the construction industry: A systematic review. Eng. Constr. Archit. Manag. 2022, 29, 3181–3209. [Google Scholar] [CrossRef]
- Loosemore, M. Improving construction productivity: A subcontractor’s perspective. Eng. Constr. Archit. Manag. 2014, 21, 245–260. [Google Scholar] [CrossRef]
- Srivastava, A.; Jawaid, S.; Singh, R.; Gehlot, A.; Akram, S.V.; Priyadarshi, N.; Khan, B. Imperative role of technology intervention and implementation for automation in the construction industry. Adv. Civ. Eng. 2022, 2022, 6716987. [Google Scholar] [CrossRef]
- Zhu, W.; Zhang, Z.; Li, X.; Feng, W.; Li, J. Assessing the effects of technological progress on energy efficiency in the construction industry: A case of China. J. Clean. Prod. 2019, 238, 117908. [Google Scholar] [CrossRef]
- Okpala, I.; Nnaji, C.; Awolusi, I. Wearable sensing devices acceptance behavior in construction safety and health: Assessing existing models and developing a hybrid conceptual model. Constr. Innov. 2022, 22, 57–75. [Google Scholar] [CrossRef]
- Etemadi, R.; Hon, C.K.H.; Murphy, G.; Manley, K. The use of social media for work-related knowledge sharing by construction professionals. Archit. Eng. Des. Manag. 2020, 16, 426–440. [Google Scholar] [CrossRef]
- Poirier, E.A.; Staub-French, S.; Forgues, D. Measuring the impact of BIM on labor productivity in a small specialty contracting enterprise through action-research. Autom. Constr. 2015, 58, 74–84. [Google Scholar] [CrossRef]
- Ogunrinde, O.; Nnaji, C.; Amirkhanian, A. Quality management technologies in highway construction: Stakeholders’ perception of utility, benefits, and barriers. Pract. Period. Struct. Des. Constr. 2021, 26, 04020043. [Google Scholar] [CrossRef]
- Wang, W.; Zhang, S.; Su, Y.; Deng, X. Key factors to green building technologies adoption in developing countries: The perspective of Chinese designers. Sustainability 2018, 10, 4135. [Google Scholar] [CrossRef]
- Wu, P.; Zhao, X.; Baller, J.H.; Wang, X. Developing a conceptual framework to improve the implementation of 3D printing technology in the construction industry. Archit. Sci. Rev. 2018, 61, 133–142. [Google Scholar] [CrossRef]
- Kineber, A.F.; Oke, A.E.; Alyanbaawi, A.; Abubakar, A.S.; Hamed, M.M. Exploring the Cloud Computing Implementation Drivers for Sustainable Construction Projects—A Structural Equation Modeling Approach. Sustainability 2022, 14, 14789. [Google Scholar] [CrossRef]
- Hair, J.; Alamer, A. Partial Least Squares Structural Equation Modeling (PLS-SEM) in second language and education research: Guidelines using an applied example. Res. Methods Appl. Linguist. 2022, 1, 100027. [Google Scholar] [CrossRef]
- Ahmed, Y.A.; Shehzad HM, F.; Khurshid, M.M.; Abbas Hassan, O.H.; Abdalla, S.A.; Alrefai, N. Examining the effect of interoperability factors on building information modelling (BIM) adoption in Malaysia. Constr. Innov. 2022, 24, 606–642. [Google Scholar] [CrossRef]
- AL-Hashmy, H.N.; Said, I.; Ismail, R. Analyzing the Impact of Computerized Accounting Information System on Iraqi Construction Companies’ Performance. Informatica 2022, 46. [Google Scholar] [CrossRef]
- Haenlein, M.; Kaplan, A.M. A beginner’s guide to partial least squares analysis. Underst. Stat. 2004, 3, 283–297. [Google Scholar] [CrossRef]
- Hair, J.F., Jr.; Hult GT, M.; Ringle, C.M.; Sarstedt, M.; Danks, N.P.; Ray, S. Partial Least Squares Structural Equation Modeling (PLS-SEM) Using R: A Workbook; Springer Nature: Cham, Switzerland, 2021; p. 197. [Google Scholar]
- Cole, D.A.; Preacher, K.J. Manifest variable path analysis: Potentially serious and misleading consequences due to uncorrected measurement error. Psychol. Methods 2014, 19, 300. [Google Scholar] [CrossRef]
- Hair, J.F., Jr.; Sarstedt, M. Factors versus composites: Guidelines for choosing the right structural equation modeling method. Proj. Manag. J. 2019, 50, 619–624. [Google Scholar] [CrossRef]
- Pişirir, E.; Uçar, E.; Chouseinoglou, O.; Sevgi, C. Structural equation modeling in cloud computing studies: A systematic literature review. Kybernetes 2020, 49, 982–1019. [Google Scholar] [CrossRef]
- Byrne, B.M. Structural Equation Modeling with Mplus: Basic Concepts, Applications, and Programming; Routledge: Abingdon, UK, 2013. [Google Scholar]
- Waltman, L.; Van Eck, N.J. A smart local moving algorithm for large-scale modularity-based community detection. Eur. Phys. J. B 2013, 86, 471. [Google Scholar] [CrossRef]
- Wang, W.; Gao, S.; Mi, L.; Xing, J.; Shang, K.; Qiao, Y.; Fu, Y.; Ni, G.; Xu, N. Exploring the adoption of BIM amidst the COVID-19 crisis in China. Build. Res. Inf. 2021, 49, 930–947. [Google Scholar] [CrossRef]
- Xiong, B.; Skitmore, M.; Xia, B. A critical review of structural equation modeling applications in construction research. Autom. Constr. 2015, 49, 59–70. [Google Scholar] [CrossRef]
- Zeng, N.; Liu, Y.; Gong, P.; Hertogh, M.; König, M. Do right PLS and do PLS right: A critical review of the application of PLS-SEM in construction management research. Front. Eng. Manag. 2021, 8, 356–369. [Google Scholar] [CrossRef]
- Hair, J.F.; Ringle, C.M.; Sarstedt, M. PLS-SEM: Indeed a silver bullet. J. Mark. Theory Pract. 2011, 19, 139–152. [Google Scholar] [CrossRef]
- MacCallum, R.C.; Roznowski, M.; Necowitz, L.B. Model modifications in covariance structure analysis: The problem of capitalization on chance. Psychol. Bull. 1992, 111, 490. [Google Scholar] [CrossRef]
- Hair, J.F., Jr.; Howard, M.C.; Nitzl, C. Assessing measurement model quality in PLS-SEM using confirmatory composite analysis. J. Bus. Res. 2020, 109, 101–110. [Google Scholar] [CrossRef]
- Maydeu-Olivares, A.; Shi, D.; Rosseel, Y. Assessing fit in structural equation models: A Monte-Carlo evaluation of RMSEA versus SRMR confidence intervals and tests of close fit. Struct. Equ. Model. A Multidiscip. J. 2018, 25, 389–402. [Google Scholar] [CrossRef]
- Bentler, P.M. Comparative fit indexes in structural models. Psychol. Bull. 1990, 107, 238. [Google Scholar] [CrossRef]
- Dash, G.; Paul, J. CB-SEM vs PLS-SEM methods for research in social sciences and technology forecasting. Technol. Forecast. Soc. Chang. 2021, 173, 121092. [Google Scholar] [CrossRef]
- Statsenko, L.; Samaraweera, A.; Bakhshi, J.; Chileshe, N. Construction 4.0 technologies and applications: A systematic literature review of trends and potential areas for development. Constr. Innov. 2023, 23, 961–993. [Google Scholar] [CrossRef]
- Lu, K.; Gao, H.; Yu, H.; Liu, D.; Zhu, N.; Wan, K. Insight into variations of DOM fractions in different latitudinal rural black-odor waterbodies of eastern China using fluorescence spectroscopy coupled with structure equation model. Sci. Total Environ. 2022, 816, 151531. [Google Scholar] [CrossRef]
- Hire, S.; Sandbhor, S.; Ruikar, K. Bibliometric survey for adoption of building information modeling (BIM) in construction industry–a safety perspective. Arch. Comput. Methods Eng. 2022, 29, 679–693. [Google Scholar] [CrossRef]
- Saah AE, N.; Choi, J.H. Blockchain technology in the AEC industry: Scientometric analysis of research activities. J. Build. Eng. 2023, 72, 106609. [Google Scholar] [CrossRef]
- Eliwa, H.K.; Jelodar, M.B.; Poshdar, M.; Yi, W. Information and Communication Technology Applications in Construction Organizations: A Scientometric Review. J. Inf. Technol. Constr. 2023, 28, 286. [Google Scholar] [CrossRef]
- Nnaji, C.; Okpala, I.; Awolusi, I.; Gambatese, J. A systematic review of technology acceptance models and theories in construction research. J. Inf. Technol. Constr. (ITcon) 2023, 28, 39–69. [Google Scholar] [CrossRef]
- Ejidike, C.C.; Mewomo, M.C. Benefits of adopting smart building technologies in building construction of developing countries: Review of literature. SN Appl. Sci. 2023, 5, 52. [Google Scholar] [CrossRef]
- Felizardo, K.R.; Salleh, N.; Martins, R.M.; Mendes, E.; MacDonell, S.G.; Maldonado, J.C. Using visual text mining to support the study selection activity in systematic literature reviews. In Proceedings of the 2011 International Symposium on Empirical Software Engineering and Measurement, Banff, AB, Canada, 22–23 September 2011; IEEE: New York, NY, USA, 2011; pp. 77–86. [Google Scholar]
- Keim, D.A. Information visualization and visual data mining. IEEE Trans. Vis. Comput. Graph. 2002, 8, 1–8. [Google Scholar] [CrossRef]
- Kipper, L.M.; Furstenau, L.B.; Hoppe, D.; Frozza, R.; Iepsen, S. Scopus scientific mapping production in industry 4.0 (2011–2018): A bibliometric analysis. Int. J. Prod. Res. 2020, 58, 1605–1627. [Google Scholar] [CrossRef]
- Chen, C. Science mapping: A systematic review of the literature. J. Data Inf. Sci. 2017, 2, 1–40. [Google Scholar] [CrossRef]
- Wang, J.; Chen, J.; Hu, Y. A science mapping approach based review of model predictive control for smart building operation management. J. Civ. Eng. Manag. 2022, 28, 661–679. [Google Scholar] [CrossRef]
- Jin, R.; Zou, P.X.; Piroozfar, P.; Wood, H.; Yang, Y.; Yan, L.; Han, Y. A science mapping approach based review of construction safety research. Saf. Sci. 2019, 113, 285–297. [Google Scholar] [CrossRef]
- Sepasgozar, S.; Karimi, R.; Farahzadi, L.; Moezzi, F.; Shirowzhan, S.; Ebrahimzadeh, S.M.; Hui, F.; Aye, L. A systematic content review of artificial intelligence and the internet of things applications in smart home. Appl. Sci. 2020, 10, 3074. [Google Scholar] [CrossRef]
- Kim, H.; Choi, H.; Kang, H.; An, J.; Yeom, S.; Hong, T. A systematic review of the smart energy conservation system: From smart homes to sustainable smart cities. Renew. Sustain. Energy Rev. 2021, 140, 110755. [Google Scholar] [CrossRef]
- Wang, J.; Li, M.; Skitmore, M.; Chen, J. Predicting Construction Company Insolvent Failure: A Scientometric Analysis and Qualitative Review of Research Trends. Sustainability 2024, 16, 2290. [Google Scholar] [CrossRef]
- Van Eck, N.J.; Waltman, L. Software survey: VOSviewer, a computer program for bibliometric mapping. Scientometrics 2010, 84, 523–538. [Google Scholar] [CrossRef]
- Waltman, L.; Van Eck, N.J.; Noyons, E.C. A unified approach to mapping and clustering of bibliometric networks. J. Informetr. 2010, 4, 629–635. [Google Scholar] [CrossRef]
- Van Eck, N.J.; Waltman, L. Visualizing bibliometric networks. In Measuring Scholarly Impact; Springer: Cham, Switzerland, 2014; pp. 285–320. [Google Scholar]
- Zhou, K.; Wang, J.; Ashuri, B.; Chen, J. Discovering the Research Topics on Construction Safety and Health Using Semi-Supervised Topic Modeling. Buildings 2023, 13, 1169. [Google Scholar] [CrossRef]
- Lee, S.; Yu, J.; Jeong, D. BIM acceptance model in construction organizations. J. Manag. Eng. 2015, 31, 04014048. [Google Scholar] [CrossRef]
- Son, H.; Lee, S.; Kim, C. What drives the adoption of building information modeling in design organizations? An empirical investigation of the antecedents affecting architects’ behavioral intentions. Autom. Constr. 2015, 49, 92–99. [Google Scholar] [CrossRef]
- Ding, Z.; Zuo, J.; Wu, J.; Wang, J.Y. Key factors for the BIM adoption by architects: A China study. Eng. Constr. Archit. Manag. 2015, 22, 732–748. [Google Scholar] [CrossRef]
- Hosseini, M.; Banihashemi, S.; Chileshe, N.; Namzadi, M.O.; Udaeja, C.; Rameezdeen, R.; McCuen, T. BIM adoption within Australian Small and Medium-sized Enterprises (SMEs): An innovation diffusion model. Constr. Econ. Build. 2016, 16, 71–86. [Google Scholar] [CrossRef]
- Hosseini, M.R.; Banihashemi, S.; Rameezdeen, R.; Golizadeh, H.; Arashpour, M.; Ma, L. Sustainability by Information and Communication Technology: A paradigm shift for construction projects in Iran. J. Clean. Prod. 2017, 168, 1–13. [Google Scholar] [CrossRef]
- Zhao, X.; Feng, Y.; Pienaar, J.; O’Brien, D. Modelling paths of risks associated with BIM implementation in architectural, engineering and construction projects. Archit. Sci. Rev. 2017, 60, 472–482. [Google Scholar] [CrossRef]
- Alizadehsalehi, S.; Yitmen, İ. Modeling and analysis of the impact of BIM-based field data capturing technologies on automated construction progress monitoring. Int. J. Civ. Eng. 2018, 16, 1669–1685. [Google Scholar] [CrossRef]
- Zhao, X.; Wu, P.; Wang, X. Risk paths in BIM adoption: Empirical study of China. Eng. Constr. Archit. Manag. 2018, 25, 1170–1187. [Google Scholar] [CrossRef]
- Hong, Y.; Hammad, A.W.; Sepasgozar, S.; Akbarnezhad, A. BIM adoption model for small and medium construction organisations in Australia. Eng. Constr. Archit. Manag. 2019, 26, 154–183. [Google Scholar] [CrossRef]
- Yuan, H.; Yang, Y.; Xue, X. Promoting owners’ BIM adoption behaviors to achieve sustainable project management. Sustainability 2019, 11, 3905. [Google Scholar] [CrossRef]
- Olanrewaju, O.I.; Kineber, A.F.; Chileshe, N.; Edwards, D.J. Modelling the impact of building information modelling (BIM) implementation drivers and awareness on project lifecycle. Sustainability 2021, 13, 8887. [Google Scholar] [CrossRef]
- Olanrewaju, O.I.; Kineber, A.F.; Chileshe, N.; Edwards, D.J. Modelling the relationship between Building Information Modelling (BIM) implementation barriers, usage and awareness on building project lifecycle. Build. Environ. 2022, 207, 108556. [Google Scholar] [CrossRef]
- Aibinu, A.A.; Al-Lawati, A.M. Using PLS-SEM technique to model construction organizations’ willingness to participate in e-bidding. Autom. Constr. 2010, 19, 714–724. [Google Scholar] [CrossRef]
- Darko, A.; Chan AP, C.; Yang, Y.; Shan, M.; He, B.J.; Gou, Z. Influences of barriers, drivers, and promotion strategies on green building technologies adoption in developing countries: The Ghanaian case. J. Clean. Prod. 2018, 200, 687–703. [Google Scholar] [CrossRef]
- Park, Y.; Son, H.; Kim, C. Investigating the determinants of construction professionals’ acceptance of web-based training: An extension of the technology acceptance model. Autom. Constr. 2012, 22, 377–386. [Google Scholar] [CrossRef]
- Yang, L.R.; Chen, J.H.; Wang, H.W. Assessing impacts of information technology on project success through knowledge management practice. Autom. Constr. 2012, 22, 182–191. [Google Scholar] [CrossRef]
- Lee, S.K.; Yu, J.H. Success model of project management information system in construction. Autom. Constr. 2012, 25, 82–93. [Google Scholar] [CrossRef]
- Alizadehsalehi, S.; Yitmen, I. Digital twin-based progress monitoring management model through reality capture to extended reality technologies (DRX). Smart Sustain. Built Environ. 2023, 12, 200–236. [Google Scholar] [CrossRef]
- Wong TK, M.; Man, S.S.; Chan AH, S. Exploring the acceptance of PPE by construction workers: An extension of the technology acceptance model with safety management practices and safety consciousness. Saf. Sci. 2021, 139, 105239. [Google Scholar] [CrossRef]
- Pan, M.; Pan, W. Understanding the determinants of construction robot adoption: Perspective of building contractors. J. Constr. Eng. Manag. 2020, 146, 04020040. [Google Scholar] [CrossRef]
- Huang, Y.; Trinh, M.T.; Le, T. Critical factors affecting intention of use of augmented hearing protection technology in construction. J. Constr. Eng. Manag. 2021, 147, 04021088. [Google Scholar] [CrossRef]
- Zhang, L.; Chu, Z.; He, Q.; Zhai, P. Investigating the constraints to building information modeling (BIM) applications for sustainable building projects: A case of China. Sustainability 2019, 11, 1896. [Google Scholar] [CrossRef]
- Zhang, L.; Chu, Z.; Song, H. Understanding the relation between BIM application behavior and sustainable construction: A case study in China. Sustainability 2019, 12, 306. [Google Scholar] [CrossRef]
- Mirpanahi, M.V.; Noorzai, E. Modeling the relationship between critical BIM attributes and environmental sustainability criteria using PLS-SEM technique. J. Archit. Eng. 2021, 27, 04021037. [Google Scholar] [CrossRef]
- Famakin, I.O.; Othman, I.; Kineber, A.F.; Oke, A.E.; Olanrewaju, O.I.; Hamed, M.M.; Olayemi, T.M. Building Information Modeling Execution Drivers for Sustainable Building Developments. Sustainability 2023, 15, 3445. [Google Scholar] [CrossRef]
- Murti, C.K.; Muslim, F. Relationship between Functions, Drivers, Barriers, and Strategies of Building Information Modelling (BIM) and Sustainable Construction Criteria: Indonesia Construction Industry. Sustainability 2023, 15, 5526. [Google Scholar] [CrossRef]
- Van Tam, N.; Quoc Toan, N.; Phong, V.V.; Durdyev, S. Impact of BIM-related factors affecting construction project performance. Int. J. Build. Pathol. Adapt. 2023, 41, 454–475. [Google Scholar] [CrossRef]
- Zhang, H.M.; Chong, H.Y.; Zeng, Y.; Zhang, W. The effective mediating role of stakeholder management in the relationship between BIM implementation and project performance. Eng. Constr. Archit. Manag. 2023, 30, 2503–2522. [Google Scholar] [CrossRef]
- Qiao, S.; Wang, Q.; Guo, Z.; Guo, J. Collaborative innovation activities and BIM application on innovation capability in construction supply chain: Mediating role of explicit and tacit knowledge sharing. J. Constr. Eng. Manag. 2021, 147, 04021168. [Google Scholar] [CrossRef]
- Shi, Q.; Wang, Q.; Guo, Z. Knowledge sharing in the construction supply chain: Collaborative innovation activities and BIM application on innovation performance. Eng. Constr. Archit. Manag. 2022, 29, 3439–3459. [Google Scholar] [CrossRef]
- Kline, R.B. Principles and Practice of Structural Equation Modeling; Guilford publications: New York, NY, USA, 2023. [Google Scholar]
- Little, T.D. Longitudinal Structural Equation Modeling; Guilford Press: New York, NY, USA, 2013. [Google Scholar]
- Davis, F.D. A Technology Acceptance Model for Empirically Testing New End-User Information Systems: Theory and Results. Doctoral Dissertation, Massachusetts Institute of Technology, Cambridge, MA, USA, 1985. [Google Scholar]
- Tornatzky, L.G.; Fleischer, M. The Processes of Technological Innovation; Lexington Books: Lexington, MA, USA, 1990. [Google Scholar]
- Ajzen, I. From intentions to actions: A theory of planned behavior. In Action Control: From Cognition to Behavior; Springer: Berlin/Heidelberg, Germany, 1985; pp. 11–39. [Google Scholar]
- Rogers, E.M. Diffusion of Innovations, 5th ed.; Free Press: New York, NY, USA, 2003. [Google Scholar]
- Venkatesh, V.; Morris, M.G.; Davis, G.B.; Davis, F.D. User acceptance of information technology: Toward a unified view. MIS Q. 2003, 27, 425–478. [Google Scholar] [CrossRef]
- Davis, F.D. Perceived usefulness, perceived ease of use, and user acceptance of information technology. MIS Q. 1989, 13, 319–340. [Google Scholar] [CrossRef]
- Baker, J. The technology–organization–environment framework. In Information Systems Theory: Explaining and Predicting Our Digital Society; Springer: New York, NY, USA, 2012; Volume 1, pp. 231–245. [Google Scholar]
- Ajzen, I. The theory of planned behavior. Organ. Behav. Hum. Decis. Process. 1991, 50, 179–211. [Google Scholar] [CrossRef]
- Moore, G.C.; Benbasat, I. Development of an instrument to measure the perceptions of adopting an information technology innovation. Inf. Syst. Res. 1991, 2, 192–222. [Google Scholar] [CrossRef]
- Bollen, K.A.; Bauer, D.J.; Christ, S.L.; Edwards, M.C. Overview of structural equation models and recent extensions. In Statistics in the Social Sciences: Current Methodological Developments; Wiley: Hoboken, NJ, USA, 2010; pp. 37–79. [Google Scholar]
- Kline, R.B.; Santor, D.A. Principles & practice of structural equation modelling. Can. Psychol. 1999, 40, 381. [Google Scholar]
- Hair, J.F.; Risher, J.J.; Sarstedt, M.; Ringle, C.M. When to use how to report the results of, P.L.S.-S.E.M. Eur. Bus. Rev. 2019, 31, 2–24. [Google Scholar] [CrossRef]
- Arbuckle, J.L. Computer announcement amos: Analysis of moment structures. Psychometrika 1994, 59, 135–137. [Google Scholar] [CrossRef]
- Jöreskog, K.G. A general method for analysis of covariance structures. Biometrika 1970, 57, 239–251. [Google Scholar] [CrossRef]
- Ringle, C.M.; Wende, S.; Becker, J.M. SmartPLS 4. Oststeinbek: SmartPLS. Retrieved March 2022, 13, 2023. [Google Scholar]
- Jarvis, C.B.; MacKenzie, S.B.; Podsakoff, P.M. A critical review of construct indicators and measurement model misspecification in marketing and consumer research. J. Consum. Res. 2003, 30, 199–218. [Google Scholar] [CrossRef]
- Peter, J.P. Construct validity: A review of basic issues and marketing practices. J. Mark. Res. 1981, 18, 133–145. [Google Scholar] [CrossRef]
- Diamantopoulos, A. Incorporating formative measures into covariance-based structural equation models. MIS Q. 2011, 35, 335–358. [Google Scholar] [CrossRef]
- Shipley, B. Cause Correlation in Biology: A User’s Guide to Path Analysis Structural Equations Causal Inference with R; Cambridge University Press: Cambridge, UK, 2016. [Google Scholar]
- Fan, Y.; Chen, J.; Shirkey, G.; John, R.; Wu, S.R.; Park, H.; Shao, C. Structural equation modeling (SEM) applications in ecological studies: An updated review. Ecol. Process. 2016, 5, 1–12. [Google Scholar] [CrossRef]
- Bentler, P.M.; Chou, C.P. Practical issues in structural modeling. Sociol. Methods Res. 1987, 16, 78–117. [Google Scholar] [CrossRef]
- Bollen, K.A. Latent variables in psychology and the social sciences. Annu. Rev. Psychol. 2002, 53, 605–634. [Google Scholar] [CrossRef] [PubMed]
- Duncan, T.E.; Duncan, S.C.; Strycker, L.A. An Introduction to Latent Variable Growth Curve Modeling: Concepts, Issues, and Application; Routledge: Abingdon, UK, 2013. [Google Scholar]
- Ringle, C.M.; Sarstedt, M.; Straub, D.W. Editor’s comments: A critical look at the use of PLS-SEM in “MIS Quarterly”. MIS Q. 2012, 36, iii–xiv. [Google Scholar] [CrossRef]
- Muller, D.; Judd, C.M.; Yzerbyt, V.Y. When moderation is mediated and mediation is moderated. J. Personal. Soc. Psychol. 2005, 89, 852. [Google Scholar] [CrossRef] [PubMed]
- Baron, R.M.; Kenny, D.A. The moderator–mediator variable distinction in social psychological research: Conceptual, strategic, and statistical considerations. J. Personal. Soc. Psychol. 1986, 51, 1173. [Google Scholar] [CrossRef] [PubMed]
- Jia, J.; Zhang, M.; Yang, G. Factors influencing BIM integration with emerging technologies: Knowledge coupling perspective. J. Manag. Eng. 2022, 38, 04022001. [Google Scholar] [CrossRef]
- Yang, L.R.; Huang, C.F. Information platform to improve technological innovation capabilities: Role of cloud platform. J. Civ. Eng. Manag. 2016, 22, 936–943. [Google Scholar] [CrossRef]
- Jiang, S.; Ma, G.; Jia, J.; Wu, M.; Wu, Z. Mobile ICT overuse in the construction industry: Effects on job burnout of project managers. J. Constr. Eng. Manag. 2022, 148, 04022024. [Google Scholar] [CrossRef]








| Journals | Number of Publications | Total Citations | Average Publication Year | Average Citations | Normalized Citations | Average Normalized Citations |
|---|---|---|---|---|---|---|
| Engineering Construction and Architectural Management | 18 | 312 | 2021 | 17.33 | 16.90 | 0.94 |
| Sustainability | 18 | 194 | 2021 | 10.78 | 15.87 | 0.88 |
| Journal of Construction Engineering and Management | 12 | 112 | 2021 | 9.33 | 8.14 | 0.68 |
| Buildings | 11 | 24 | 2022 | 2.18 | 4.55 | 0.41 |
| Applied Science | 6 | 42 | 2021 | 7.00 | 6.62 | 1.10 |
| Automation in Construction | 6 | 511 | 2011 | 85.17 | 7.63 | 1.27 |
| Journal of Management in Engineering | 6 | 187 | 2021 | 31.17 | 8.48 | 1.41 |
| Construction Innovation | 5 | 41 | 2020 | 8.20 | 2.38 | 0.48 |
| Journal of Civil Engineering and Management | 5 | 50 | 2019 | 10.00 | 2.13 | 0.43 |
| Architectural Engineering and Design Management | 3 | 26 | 2021 | 8.67 | 2.17 | 0.72 |
| Journal of Facilities Management | 3 | 25 | 2022 | 8.33 | 5.91 | 1.97 |
| Researcher Name | Number of Publications | Total Citations | Average Publication Year | Average Citations | Normalized Citations | Average Normalized Citations |
|---|---|---|---|---|---|---|
| Lee, Seulki | 4 | 240 | 2017 | 60.00 | 3.54 | 0.89 |
| Yu, Jungho | 4 | 240 | 2017 | 60.00 | 3.54 | 0.89 |
| Kim, Changwan | 2 | 231 | 2013 | 115.50 | 2.92 | 1.46 |
| Son, Hyojoo | 2 | 231 | 2013 | 115.50 | 2.92 | 1.46 |
| Chileshe, Nicholas | 3 | 194 | 2019 | 64.67 | 16.59 | 5.53 |
| Kineber, Ahmed | 15 | 164 | 2022 | 10.93 | 30.10 | 2.01 |
| Jeong, David | 1 | 154 | 2015 | 154.00 | 2.03 | 2.03 |
| Aibinu, Ajibade A. | 1 | 145 | 2010 | 145.00 | 2.00 | 2.00 |
| Al-Lawati, Ahmed Murtadha | 1 | 145 | 2010 | 145.00 | 2.00 | 2.00 |
| Lee, Sungwook | 1 | 124 | 2016 | 124.00 | 1.63 | 1.63 |
| Article | Title | Total Citations | Normalized Citations |
|---|---|---|---|
| Lee et al. [52] | BIM Acceptance Model in Construction Organizations | 154 | 2.03 |
| Aibinu et al. [64] | Using the PLS-SEM technique to model construction organizations’ willingness to participate in e-bidding | 145 | 2.00 |
| Son et al. [53] | What drives the adoption of building information modeling in design organizations? An empirical investigation of the antecedents affecting architects’ behavioral intentions | 124 | 1.63 |
| Darko et al. [65] | Influence of barriers, drivers, and promotion strategies on green building technologies adoption in developing countries: The Ghanaian case | 111 | 3.56 |
| Park et al. [66] | Investigating the determinants of construction professionals’ acceptance of web-based training: An extension of the technology acceptance model | 107 | 1.28 |
| Ding et al. [54] | Key factors for the BIM adoption by architects: a China study | 102 | 1.34 |
| Hosseini et al. [55] | BIM adoption within Australian Small and Medium-sized Enterprises (SMEs): an innovation diffusion model | 96 | 2.77 |
| Hong et al. [60] | BIM adoption model for small and medium construction organizations in Australia | 80 | 3.02 |
| Yang et al. [67] | Assessing impacts of information technology on project success through knowledge management practice | 72 | 0.86 |
| Lee et al. [68] | Success model of project management information system in construction | 71 | 0.85 |
| Olanrewaju et al. [63] | Modelling the relationship between Building Information Modeling (BIM) implementation barriers, usage, and awareness on building project lifecycle | 55 | 10.76 |
| Alizadehsalehi and Yitmen [69] | Digital twin-based progress monitoring management model through reality capture to extended reality technologies (DRX) | 53 | 15.09 |
| Zhao et al. [59] | Risk paths in BIM adoption: empirical study of China | 48 | 1.54 |
| Olanrewaju et al. [62] | Modelling the Impact of Building Information Modelling (BIM) Implementation Drivers and Awareness on Project Lifecycle | 43 | 3.06 |
| AlizadeSalehi et al. [58] | Modelling and analysis of the impact of BIM-based field data capturing technologies on automated construction progress monitoring | 39 | 1.25 |
| Yuan et al. [61] | Promoting Owners’ BIM Adoption Behaviors to Achieve Sustainable Project Management | 35 | 1.32 |
| Zhao et al. [57] | Modelling paths of risks associated with BIM implementation in architectural, engineering and construction projects | 35 | 1.75 |
| Wong et al. [70] | Exploring the acceptance of PPE by construction workers: An extension of the technology acceptance model with safety management practices and safety consciousness | 30 | 2.13 |
| Hosseini et al. [56] | Sustainability by Information and Communication Technology: A paradigm shift for construction projects in Iran | 26 | 2.77 |
| Pan and Pan. [71] | Understanding the Determinants of Construction Robot Adoption: Perspective of Building Contractors | 25 | 1.67 |
| Theory | Key Constructs | Description |
|---|---|---|
| TAM | 1. Perceived usefulness 2. Perceived ease of use | 1. “The degree to which a person believes that using a particular system would enhance their job performance” [89] 2. “The degree to which a person believes that using a particular system would be free of effort” [89] |
| TOE | 1. Technological context 2. Organizational context 3. Environmental context | 1. “All of the technologies (both already in use and available in the marketplace) that are relevant to the firm” [90] 2. “Characteristics and resources of the firm, including linking structures between employees, intra-firm communication processes, firm size, and the amount of slack resources” [90] 3. “The structure of the industry, the presence or absence of technology service providers, and the regulatory environment” [90] |
| TPB | 1. Attitude toward behavior 2. Subjective norm 3. Perceived behavioral control | 1. “The degree to which a person has a favorable or unfavorable evaluation or appraisal of the behavior in question” [91] 2. “The perceived social pressure to perform or not to perform the behavior” [91] 3. “The perceived ease or difficulty of performing the behavior” [91] |
| IDT | 1. Relative advantage 2. Compatibility 3. Complexity 4. Trialability 5. Observability | 1. “The degree to which an innovation is perceived as being better than the idea it supersedes” [92] 2. “The degree to which an innovation is perceived as consistent with the existing values, past experiences, and needs of potential” [92] 3. “The degree to which an innovation is perceived as relatively difficult to understand and use” [92] 4. “The degree to which an innovation may be experimented with on a limited basis” [92] 5. “The degree to which the results of an innovation are visible to others” [92] |
| UTAUT | 1. Effort expectancy 2. Performance expectancy 3. Social influence 4. Facilitating conditions | 1. “The degree of ease associated with the use of the system” [88] 2. “The degree to which an individual believes that using the system will help them to attain gains in job performance” [88] 3. “The degree to which an individual perceives that important-others believe they should use the new system.” [88] 4. “The degree to which an individual believes that an organizational and technical infrastructure exists to support use of the system.” [88] |
| KEY Constructs | Description | |
|---|---|---|
| LV-OV relationship | OVs are manifested by the LV | OVs jointly define the LV |
| Causality direction | From LV to OVs | From OVs to LV |
| Interchangeability | OVs are interchangeable | OVs need not be interchangeable |
| Intercorrelation | OVs are expected to be intercorrelated | OVs can have any pattern of intercorrelation |
| Multicollinearity | Multicollinearity is a virtue | Multicollinearity should be ruled out |
Disclaimer/Publisher’s Note: The statements, opinions and data contained in all publications are solely those of the individual author(s) and contributor(s) and not of MDPI and/or the editor(s). MDPI and/or the editor(s) disclaim responsibility for any injury to people or property resulting from any ideas, methods, instructions or products referred to in the content. |
© 2024 by the authors. Licensee MDPI, Basel, Switzerland. This article is an open access article distributed under the terms and conditions of the Creative Commons Attribution (CC BY) license (https://creativecommons.org/licenses/by/4.0/).
Share and Cite
Fu, C.; Wang, J.; Qu, Z.; Skitmore, M.; Yi, J.; Sun, Z.; Chen, J. Structural Equation Modeling in Technology Adoption and Use in the Construction Industry: A Scientometric Analysis and Qualitative Review. Sustainability 2024, 16, 3824. https://doi.org/10.3390/su16093824
Fu C, Wang J, Qu Z, Skitmore M, Yi J, Sun Z, Chen J. Structural Equation Modeling in Technology Adoption and Use in the Construction Industry: A Scientometric Analysis and Qualitative Review. Sustainability. 2024; 16(9):3824. https://doi.org/10.3390/su16093824
Chicago/Turabian StyleFu, Chuyou, Jun Wang, Ziyi Qu, Martin Skitmore, Jiaxin Yi, Zhengjie Sun, and Jianli Chen. 2024. "Structural Equation Modeling in Technology Adoption and Use in the Construction Industry: A Scientometric Analysis and Qualitative Review" Sustainability 16, no. 9: 3824. https://doi.org/10.3390/su16093824
APA StyleFu, C., Wang, J., Qu, Z., Skitmore, M., Yi, J., Sun, Z., & Chen, J. (2024). Structural Equation Modeling in Technology Adoption and Use in the Construction Industry: A Scientometric Analysis and Qualitative Review. Sustainability, 16(9), 3824. https://doi.org/10.3390/su16093824

