Analysis of the Coupling Coordination between the Ecosystem Service Value and Urbanization in the Circum-Bohai-Sea Region and Its Obstacle Factors
Abstract
1. Introduction
2. Materials and Methods
2.1. Overview of Research Region
2.2. Research Methodologies
2.2.1. ESV Evaluation Methods
2.2.2. Urbanization-Level Evaluation Methods
2.2.3. Coupling Coordination Model
2.2.4. Spatial Autocorrelation Analysis
2.2.5. Spatial Trend Surface
2.2.6. Obstacle Degree Analysis
2.3. Data Sources
3. Results
3.1. Urbanization-Level Evaluation
3.2. Spatiotemporal Evolution of the ESV
3.3. Degree of the Coupling Coordination between the ESV and Urbanization
3.3.1. Temporal Variation
3.3.2. Temporal Evolution Trend
3.3.3. Analysis of Spatial Agglomeration Evolution
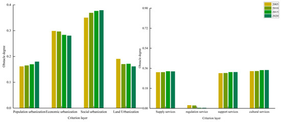
3.4. Identification of Obstacle Factors for the Degree of the Coupling Coordination between the ESV and Urbanization
4. Discussion
4.1. Discussion on the ESV
4.2. Discussion on the Coupling Coordination Degree
4.3. Discussion on Obstacle Factors
4.4. Shortcomings and Prospects
5. Conclusions
- (1)
- During the study period, the overall level of the urbanization in the Circum-Bohai-Sea Region continuously improved, but the gap between cities gradually widened, resulting in a “center–periphery” spatial pattern. The ESV exhibited an N-shaped trend, characterized by an initial increase, followed by a decrease and then a rapid increase. Waters contributed the most to the ESV’s growth. The ranking of ecosystems in terms of their contributions is as follows: waters > forest land > cultivated land > grassland > unused land. The ESV per unit of area showed a distribution pattern of high in the north and low in the south, with the boundary of Baoding and Cangzhou as the dividing line;
- (2)
- From a temporal perspective, the degree of the coordination between the ESV and urbanization in the Circum-Bohai-Sea Region exhibited an inverted U-shaped trend, initially increasing and then slightly decreasing. From a spatial perspective, there were significant regional differences in the degree of the coupling coordination between the ESV and urbanization. This mainly demonstrates a spatial distribution pattern where “northern parts are higher than southern parts, whereas central parts are higher than eastern and western parts”. H-H clusters were mainly located in central and southern Liaoning, including cities like Shenyang and Anshan, whereas L-L clusters were predominantly found in southern Hebei and western Shandong;
- (3)
- Regarding the obstacle factors, at the criterion layer, social urbanization, supporting services, and cultural services were the dominant obstacles to the coordinated development of the ESV and urbanization in the Circum-Bohai-Sea Region. At the indicator layer, the top five obstacles within the ESV system were the water resource supply, nutrient cycling maintenance, raw material production, aesthetic landscape, and food production. Additionally, the top five obstacle factors within the urbanization system included the number of college students per 10,000 people, population density, number of health technical personnel per 10,000 people, per capita road area, and proportion of secondary and tertiary industry output values.
Author Contributions
Funding
Institutional Review Board Statement
Informed Consent Statement
Data Availability Statement
Conflicts of Interest
References
- Costanza, R.; de Groot, R.; Farber, S.; Grasso, M.; Hannon, B.; Limburg, K.; Van Den Belt, M. The value of the world′s ecosystem services and natural capital. Ecol. Econ. 1998, 25, 3–15. [Google Scholar]
- Wang, S.; Song, S.; Zhang, J.; Wu, X.; Fu, B. Achieving a fit between social and ecological systems in drylands for sustainability. Curr. Opin. Environ. Sustain. 2021, 48, 53–58. [Google Scholar] [CrossRef]
- Eigenbrod, F.; Bell, V.A.; Davies, H.N.; Heinemeyer, A.; Armsworth, P.R.; Gaston, K.J. The impact of projected increases in urbanization on ecosystem services. Proc. R. Soc. B Biol. Sci. 2011, 278, 3201–3208. [Google Scholar] [CrossRef] [PubMed]
- Liu, Z.; Huang, Q.; Zhou, Y.; Sun, X. Spatial identification of restored priority areas based on ecosystem service bundles and urbanization effects in a megalopolis area. J. Environ. Manag. 2022, 308, 114627. [Google Scholar] [CrossRef] [PubMed]
- Grimm, N.B.; Faeth, S.H.; Golubiewski, N.E.; Redman, C.L.; Wu, J.; Bai, X.; Briggs, J.M. Global Change and the Ecology of Cities. Science 2008, 319, 756–760. [Google Scholar] [CrossRef] [PubMed]
- Dadashpoor, H.; Azizi, P.; Moghadasi, M. Land use change, urbanization, and change in landscape pattern in a metropolitan area. Sci. Total Environ. 2019, 655, 707–719. [Google Scholar] [CrossRef] [PubMed]
- Li, Y.; Li, Y.; Zhou, Y.; Shi, Y.; Zhu, X. Investigation of a coupling model of coordination between urbanization and the environment. J. Environ. Manag. 2012, 98, 127–133. [Google Scholar] [CrossRef] [PubMed]
- Helliwell, D.R. Valuation of wildlife resources. Reg. Stud. 1969, 3, 41–47. [Google Scholar] [CrossRef]
- Westman, W.E. How Much Are Nature’s Services Worth? Science 1977, 197, 960–964. [Google Scholar] [CrossRef]
- Ehrlich, P.; Ehrlich, A. Extinction: The Causes and Consequences of the Disappearance of Species; Ballantine Books: New York, NY, USA, 1983. [Google Scholar] [CrossRef]
- Reid, W.; Mooney, H.; Cropper, A. Millennium Ecosystem Assessment. Ecosystems and Human Well-Being: Synthesis; Island Press: Washington, DC, USA, 2005. [Google Scholar]
- Peng, J.; Tian, L.; Liu, Y.; Zhao, M.; Wu, J. Ecosystem services response to urbanization in metropolitan areas: Thresholds identification. Sci. Total Environ. 2017, 607, 706–714. [Google Scholar] [CrossRef]
- Fisher, B.; Turner, R.K.; Morling, P. Defining and classifying ecosystem services for decision making. Ecol. Econ. 2009, 68, 643–653. [Google Scholar] [CrossRef]
- Costanza, R. Ecosystem services: Multiple classification systems are needed. Biol. Conserv. 2008, 141, 350–352. [Google Scholar] [CrossRef]
- Thompson, B.S.; Rog, S.M. Beyond ecosystem services: Using charismatic megafauna as flagship species for mangrove forest conservation. Environ. Sci. Policy 2019, 102, 9–17. [Google Scholar] [CrossRef]
- Gong, J.; Liu, D.; Zhang, J.; Xie, Y.; Cao, E.; Li, H. Tradeoffs/synergies of multiple ecosystem services based on land use simulation in a mountain-basin area, western China. Ecol. Indic. 2019, 99, 283–293. [Google Scholar] [CrossRef]
- Zambrano-Monserrate, M.A.; Silva-Zambrano, C.A.; Ruano, M.A. The economic value of natural protected areas in Ecuador: A case of Villamil Beach National Recreation Area. Ocean Coast. Manag. 2018, 157, 193–202. [Google Scholar] [CrossRef]
- Zhu, S.; Huang, J.; Zhao, Y. Coupling coordination analysis of ecosystem services and urban development of resource-based cities: A case study of Tangshan city. Ecol. Indic. 2022, 136, 108706. [Google Scholar] [CrossRef]
- Villa, F.; Bagstad, K.; Johnson, G.; Voigt, B. Scientific instruments for climate change adaptation: Estimating and optimizing the efficiency of ecosystem service provision. Econ. Agrar. Recur. Nat. 2011, 11, 83–98. [Google Scholar] [CrossRef]
- Sherrouse, B.C.; Semmens, D.J. Social Values for Ecosystem Services, Version 3.0 (SolVES 3.0): Documentation and User Manual; Open-File Report; U.S. Geological Survey: Reston, VA, USA, 2015. [CrossRef]
- Ouyang, Z.; Zheng, H.; Xiao, Y.; Polasky, S.; Liu, J.; Xu, W.; Daily, G.C. Improvements in ecosystem services from investments in natural capital. Science 2016, 352, 1455–1459. [Google Scholar] [CrossRef]
- Ariken, M.; Zhang, F.; Weng Chan, N. Coupling coordination analysis and spatio-temporal heterogeneity between urbanization and eco-environment along the Silk Road Economic Belt in China. Ecol. Indic. 2021, 121, 107014. [Google Scholar] [CrossRef]
- Åhlén, I.; Hambäck, P.; Thorslund, J.; Frampton, A.; Destouni, G.; Jarsjö, J. Wetlandscape size thresholds for ecosystem service delivery: Evidence from the Norrström drainage basin, Sweden. Sci. Total Environ. 2020, 704, 135452. [Google Scholar] [CrossRef]
- Sun, X.; Tang, H.; Yang, P.; Hu, G.; Liu, Z.; Wu, J. Spatiotemporal patterns and drivers of ecosystem service supply and demand across the conterminous United States: A multiscale analysis. Sci. Total Environ. 2020, 703, 135005. [Google Scholar] [CrossRef]
- Blanusa, T.; Garratt, M.; Cathcart-James, M.; Hunt, L.; Cameron, R.W. Urban hedges: A review of plant species and cultivars for ecosystem service delivery in north-west Europe. Urban For. Urban Green. 2019, 44, 126391. [Google Scholar] [CrossRef]
- Bai, Y.; Zhuang, C.; Ouyang, Z.; Zheng, H.; Jiang, B. Spatial characteristics between biodiversity and ecosystem services in a human-dominated watershed. Ecol. Complex. 2011, 8, 177–183. [Google Scholar] [CrossRef]
- Qiu, J.; Carpenter, S.R.; Booth, E.G.; Motew, M.; Zipper, S.C.; Kucharik, C.J.; Turner, M.G. Scenarios reveal pathways to sustain future ecosystem services in an agricultural landscape. Ecol. Appl. 2018, 28, 119–134. [Google Scholar] [CrossRef] [PubMed]
- Turner, K.G.; Odgaard, M.V.; Bøcher, P.K.; Dalgaard, T.; Svenning, J.C. Bundling ecosystem services in Denmark: Trade-offs and synergies in a cultural landscape. Landsc. Urban Plan. 2014, 125, 89–104. [Google Scholar] [CrossRef]
- Hao, R.; Yu, D.; Sun, Y.; Shi, M. The features and influential factors of interactions among ecosystem services. Ecol. Indic. 2019, 101, 770–779. [Google Scholar] [CrossRef]
- Zhang, Z.; Peng, J.; Xu, Z.; Wang, X.; Meersmans, J. Ecosystem services supply and demand response to urbanization: A case study of the Pearl River Delta, China. Ecosyst. Serv. 2021, 49, 101274. [Google Scholar] [CrossRef]
- Yang, M.; Gao, X.; Siddique, K.H.; Wu, P.; Zhao, X. Spatiotemporal exploration of ecosystem service, urbanization, and their interactive coercing relationship in the Yellow River Basin over the past 40 years. Sci. Total Environ. 2023, 858, 159757. [Google Scholar] [CrossRef]
- Zhou, Y.; Chen, M.; Tang, Z.; Mei, Z. Urbanization, land use change, and carbon emissions: Quantitative assessments for city-level carbon emissions in Beijing-Tianjin-Hebei region. Sustain. Cities Soc. 2021, 66, 102701. [Google Scholar] [CrossRef]
- Niu, B.; Ge, D.; Yan, R.; Ma, Y.; Sun, D.; Lu, M.; Lu, Y. The Evolution of the Interactive Relationship between Urbanization and Land-Use Transition: A Case Study of the Yangtze River Delta. Land 2021, 10, 804. [Google Scholar] [CrossRef]
- Jian-Jun, Q. Regional Landscape Pattern Changes Surrounding the Bohai Bay in China. Resour. Sci. 2009, 31, 2144–2149. [Google Scholar]
- Hu, M.; Li, Z.; Wang, Y.; Jiao, M.; Li, M.; Xia, B. Spatio-temporal changes in ecosystem service value in response to land-use/cover changes in the Pearl River Delta. Resour. Conserv. Recycl. 2019, 149, 106–114. [Google Scholar] [CrossRef]
- Liu, W.; Zhan, J.; Zhao, F.; Yan, H.; Zhang, F.; Wei, X. Impacts of urbanization-induced land-use changes on ecosystem services: A case study of the Pearl River Delta Metropolitan Region, China. Ecol. Indic. 2019, 98, 228–238. [Google Scholar] [CrossRef]
- Xie, G.; Zhang, C.; Zhen, L.; Zhang, L. Dynamic changes in the value of China’s ecosystem services. Ecosyst. Serv. 2017, 26, 146–154. [Google Scholar] [CrossRef]
- Zhang, G.; Xing, L. Research on tourism economic effect under the threshold of new-type urbanization in coastal cities of China: From the perspective of development economics. Ocean Coast. Manag. 2023, 239, 106587. [Google Scholar] [CrossRef]
- Yu, B. Ecological effects of new-type urbanization in China. Renew. Sustain. Energy Rev. 2021, 135, 110239. [Google Scholar] [CrossRef]
- Sun, L.Y.; Miao, C.L.; Yang, L. Ecological-economic efficiency evaluation of green technology innovation in strategic emerging industries based on entropy weighted TOPSIS method. Ecol. Indic. 2017, 73, 554–558. [Google Scholar] [CrossRef]
- You, H.; Yang, J.; Xue, B.; Xiao, X.; Xia, J.; Jin, C.; Li, X. Spatial evolution of population change in Northeast China during 1992–2018. Sci. Total Environ. 2021, 776, 146023. [Google Scholar] [CrossRef]
- Ye, Y.; Wang, Y.; Liao, J.; Chen, J.; Zou, Y.; Liu, Y.; Feng, C. Spatiotemporal Pattern Analysis of Land Use Functions in Contiguous Coastal Cities Based on Long-Term Time Series Remote Sensing Data: A Case Study of Bohai Sea Region, China. Remote Sens. 2022, 14, 3518. [Google Scholar] [CrossRef]
- Xiaomin, G.; Chuanglin, F.; Xufang, M.; Dan, C. Coupling and coordination analysis of urbanization and ecosystem service value in Beijing-Tianjin-Hebei urban agglomeration. Ecol. Indic. 2022, 137, 108782. [Google Scholar] [CrossRef]
- Dong, S.; Wang, X.C.; Dong, X.; Kong, F. Unsustainable imbalances in urbanization and ecological quality in the old industrial base province of China. Ecol. Indic. 2024, 158, 111441. [Google Scholar] [CrossRef]
- Fang, X.; Shi, X.; Phillips, T.K.; Du, P.; Gao, W. The Coupling Coordinated Development of Urban Environment towards Sustainable Urbanization: An Empirical Study of Shandong Peninsula, China. Ecol. Indic. 2021, 129, 107864. [Google Scholar] [CrossRef]
- Song, W.; Deng, X.; Yuan, Y.; Wang, Z.; Li, Z. Impacts of land-use change on valued ecosystem service in rapidly urbanized North China Plain. Ecol. Model. 2015, 318, 245–253. [Google Scholar] [CrossRef]
- Wang, R.; Bai, Y.; Alatalo, J.M.; Yang, Z.; Yang, Z.; Yang, W.; Guo, G. Impacts of rapid urbanization on ecosystem services under different scenarios–A case study in Dianchi Lake Basin, China. Ecol. Indic. 2021, 130, 108102. [Google Scholar] [CrossRef]
- Luo, Q.; Zhou, J.; Zhang, Y.; Yu, B.; Zhu, Z. What is the spatiotemporal relationship between urbanization and ecosystem services? A case from 110 cities in the Yangtze River Economic Belt, China. J. Environ. Manag. 2022, 321, 115709. [Google Scholar] [CrossRef] [PubMed]
- Haas, J.; Ban, Y. Urban Growth and Environmental Impacts in Jing-Jin-Ji, the Yangtze, River Delta and the Pearl River Delta. Int. J. Appl. Earth Obs. Geoinf. 2014, 30, 42–55. [Google Scholar] [CrossRef]
- Jia, X.; Fu, B.; Feng, X.; Hou, G.; Liu, Y.; Wang, X. The tradeoff and synergy between ecosystem services in the Grain-for-Green areas in Northern Shaanxi, China. Ecol. Indic. 2014, 43, 103–113. [Google Scholar] [CrossRef]
- Zhou, T.; Chen, W.; Wang, Q.; Li, Y. Urbanisation and ecosystem services in the Taiwan Strait west coast urban agglomeration, China, from the perspective of an interactive coercive relationship. Ecol. Indic. 2023, 146, 109861. [Google Scholar] [CrossRef]
- Tian, Y.; Zhou, D.; Jiang, G. Conflict or Coordination? Multiscale assessment of the spatio-temporal coupling relationship between urbanization and ecosystem services: The case of the Jingjinji Region, China. Ecol. Indic. 2020, 117, 106543. [Google Scholar] [CrossRef]
- Guan, X.; Wei, H.; Lu, S.; Su, H. Mismatch distribution of population and industry in China: Pattern, problems and driving factors. Appl. Geogr. 2018, 97, 61–74. [Google Scholar] [CrossRef]
- Xiao, R.; Lin, M.; Fei, X.; Li, Y.; Zhang, Z.; Meng, Q. Exploring the interactive coercing relationship between urbanization and ecosystem service value in the Shanghai–Hangzhou Bay Metropolitan Region. J. Clean. Prod. 2020, 253, 119803. [Google Scholar] [CrossRef]
- Shi, J.; Li, S.; Song, Y.; Zhou, N.; Guo, K.; Bai, J. How socioeconomic factors affect ecosystem service value: Evidence from China. Ecol. Indic. 2022, 145, 109589. [Google Scholar] [CrossRef]
- Chen, S.; Liu, X.; Yang, L.; Zhu, Z. Variations in Ecosystem Service Value and Its Driving Factors in the Nanjing Metropolitan Area of China. Forests 2023, 14, 113. [Google Scholar] [CrossRef]
- Chen, Z.; Li, X.; He, W.; Chen, J.; Ji, H. Study on Coupling and Coordination Relationship between Urbanization and Ecosystem Service Value in Jiangsu Province, China. Land 2024, 13, 204. [Google Scholar] [CrossRef]
- Jiang, W.; Wu, T.; Fu, B. The value of ecosystem services in China: A systematic review for twenty years. Ecosyst. Serv. 2021, 52, 101365. [Google Scholar] [CrossRef]







| Classification of Ecosystem Services | Land Use Type | ||||||
|---|---|---|---|---|---|---|---|
| Service Type | Sub-Type | CL | FS | GS | WB | CO | BL |
| Provisioning services | FP | 2059.27 | 464.65 | 566.53 | 1490.87 | 0.00 | 18.64 |
| RMP | 456.58 | 1061.00 | 834.89 | 428.63 | 0.00 | 55.91 | |
| WS | −2431.98 | 550.38 | 462.17 | 15,449.15 | 0.00 | 37.27 | |
| Regulating services | GR | 1658.59 | 3503.55 | 2937.02 | 1434.96 | 0.00 | 204.99 |
| CR | 866.57 | 10,488.28 | 7767.44 | 4267.62 | 0.00 | 186.36 | |
| EP | 251.58 | 3020.26 | 2564.30 | 10,342.92 | 0.00 | 577.71 | |
| HR | 2786.07 | 6005.73 | 5695.13 | 190,533.35 | 0.00 | 391.35 | |
| Supporting services | SR | 969.07 | 4266.38 | 3578.09 | 1733.14 | 0.00 | 242.27 |
| MNC | 288.86 | 326.75 | 268.36 | 130.45 | 0.00 | 18.64 | |
| BP | 316.81 | 3882.48 | 3250.10 | 4752.15 | 0.00 | 223.63 | |
| Cultural services | AL | 139.77 | 1703.32 | 1431.24 | 3522.18 | 0.00 | 93.18 |
| First-Level Indicator | Second-Level Indicator | Attribute | Weight |
|---|---|---|---|
| Population urbanization | X1: Population density (10,000/km2) | + | 0.109 |
| X2: Proportion of employed population in the secondary and tertiary industries | + | 0.007 | |
| X3: Proportion of urban population | + | 0.052 | |
| Economic urbanization | X4: Per capita disposable income of urban residents (yuan) | + | 0.114 |
| X5: Per capita gross regional product (yuan) | + | 0.107 | |
| X6: Ratio of secondary industries to tertiary industries | - | 0.067 | |
| Social urbanization | X7: Number of college students per 10,000 people | + | 0.175 |
| X8: Number of hospital beds per 10,000 people | + | 0.067 | |
| X9: Number of health technical personnel per 10,000 people | + | 0.102 | |
| Land urbanization | X10: Per capita road area (m2) | + | 0.088 |
| X11: Per capita construction land area (m2) | + | 0.054 | |
| X12: Per capita park area (m2) | + | 0.059 |
| ESV | Year | CL | FS | GS | WB | CO | ALL |
|---|---|---|---|---|---|---|---|
| ESV/109 yuan | 2005 | 203.11 | 393.08 | 168.71 | 397.18 | 1.04 | 1163.12 |
| 2010 | 197.89 | 406.62 | 138.82 | 425.71 | 0.77 | 1169.80 | |
| 2015 | 195.71 | 406.13 | 138.19 | 426.32 | 0.74 | 1167.09 | |
| 2020 | 192.77 | 407.86 | 138.53 | 514.38 | 0.83 | 1254.36 | |
| ESV rate of change/% | 2005–2010 | −2.57 | 3.44 | −17.72 | 7.18 | −25.96 | 0.57 |
| 2010–2015 | −1.10 | −0.12 | −0.45 | 0.14 | −3.49 | −0.23 | |
| 2015–2020 | −1.50 | 0.43 | 0.24 | 20.66 | 12.10 | 7.48 | |
| 2005–2020 | −5.09 | 3.76 | −17.89 | 29.51 | −19.89 | 7.84 | |
| Area change/km2 | 2005–2020 | −140,535.03 | 41,896.93 | −102,815.28 | 50,065.02 | −100,826.64 | / |
| Coupling Coordination Level | 2005 | 2010 | 2015 | 2020 | ||||
|---|---|---|---|---|---|---|---|---|
| Number | Percentage/% | Number | Percentage/% | Number | Percentage/% | Number | Percentage/% | |
| Severe incoordination | 3 | 6.98 | 3 | 6.98 | 3 | 6.98 | 2 | 4.65 |
| Moderate incoordination | 6 | 13.95 | 3 | 6.98 | 3 | 6.98 | 5 | 11.63 |
| General coordination | 20 | 46.51 | 15 | 34.88 | 13 | 30.23 | 16 | 37.21 |
| Moderate coordination | 12 | 27.91 | 19 | 44.19 | 21 | 48.84 | 18 | 41.86 |
| High coordination | 2 | 4.65 | 3 | 6.98 | 3 | 6.98 | 2 | 4.65 |
| Year | ESV System/% | ||||
|---|---|---|---|---|---|
| WS | MNC | RMP | AL | FP | |
| 2005 | 11.58 | 10.84 | 10.53 | 10.4 | 9.82 |
| 2010 | 11.64 | 10.85 | 10.55 | 10.41 | 9.85 |
| 2015 | 11.62 | 10.85 | 10.54 | 10.4 | 9.86 |
| 2020 | 11.68 | 11.03 | 10.72 | 10.55 | 10.03 |
| Year | Urbanization System/% | ||||
| Number of college students per 10,000 people | Population density | Number of health technical personnel per 10,000 people | Per capita road area (m2) | Ratio of secondary industries to tertiary industries | |
| 2005 | 21.02 | 12.60 | 12.30 | 10.61 | 8.08 |
| 2010 | 21.02 | 12.59 | 12.30 | 10.61 | 8.08 |
| 2015 | 21.01 | 12.59 | 12.29 | 10.61 | 8.08 |
| 2020 | 20.98 | 12.57 | 12.27 | 10.59 | 8.07 |
Disclaimer/Publisher’s Note: The statements, opinions and data contained in all publications are solely those of the individual author(s) and contributor(s) and not of MDPI and/or the editor(s). MDPI and/or the editor(s) disclaim responsibility for any injury to people or property resulting from any ideas, methods, instructions or products referred to in the content. |
© 2024 by the authors. Licensee MDPI, Basel, Switzerland. This article is an open access article distributed under the terms and conditions of the Creative Commons Attribution (CC BY) license (https://creativecommons.org/licenses/by/4.0/).
Share and Cite
Yu, W.; Yu, W. Analysis of the Coupling Coordination between the Ecosystem Service Value and Urbanization in the Circum-Bohai-Sea Region and Its Obstacle Factors. Sustainability 2024, 16, 3776. https://doi.org/10.3390/su16093776
Yu W, Yu W. Analysis of the Coupling Coordination between the Ecosystem Service Value and Urbanization in the Circum-Bohai-Sea Region and Its Obstacle Factors. Sustainability. 2024; 16(9):3776. https://doi.org/10.3390/su16093776
Chicago/Turabian StyleYu, Wensheng, and Wei Yu. 2024. "Analysis of the Coupling Coordination between the Ecosystem Service Value and Urbanization in the Circum-Bohai-Sea Region and Its Obstacle Factors" Sustainability 16, no. 9: 3776. https://doi.org/10.3390/su16093776
APA StyleYu, W., & Yu, W. (2024). Analysis of the Coupling Coordination between the Ecosystem Service Value and Urbanization in the Circum-Bohai-Sea Region and Its Obstacle Factors. Sustainability, 16(9), 3776. https://doi.org/10.3390/su16093776
