High Loggerhead (Caretta caretta) Bycatch Rate along with Several Endangered Target Species: Two Reasons to Look for Alternative to Traditional Large-Mesh Bottom-Set Gillnets (Garrasia) for More Sustainable Fisheries in the Gulf of Gabès (Tunisia)
Abstract
1. Introduction
2. Materials and Methods
2.1. Study Area
2.2. Data Collection
2.3. Data Analysis
- n = number of turtles captured
- N = number of fishing operations
- N = number of turtles captured
- L = total net length [km]
- T = soak time in hours/24
3. Results
3.1. CPUE and Total Capture Estimate
3.2. Mortality Rate
3.3. Sex Ratio
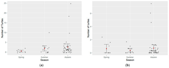
3.4. Seasonal Variation
3.5. Size Variation According to Season
4. Discussion
4.1. Bycatch Rate per Unit Effort (CPUE) and Annual Total Capture
4.2. Seasonal Variation in CPUE and Size Variation
4.3. Sex Ratio
5. Conclusions
Author Contributions
Funding
Institutional Review Board Statement
Informed Consent Statement
Data Availability Statement
Acknowledgments
Conflicts of Interest
Appendix A
| Port | Number of Vessels | Number of Fishing Net Pieces | Total Length of Gillnets (km) | Number of Sets | Fishing Effort per Year (Length × Set × Mean Soak Time) |
|---|---|---|---|---|---|
| Zarzis | 1 | 160 | 8 | 58 | 575.36 |
| Zarzis | 1 | 180 | 9 | 58 | 647.28 |
| Zarzis | 1 | 100 | 5 | 58 | 359.6 |
| Zarzis | 1 | 100 | 5 | 58 | 359.6 |
| Zarzis | 1 | 120 | 6 | 58 | 431.52 |
| Zarzis | 1 | 80 | 4 | 58 | 287.68 |
| Zarzis | 1 | 90 | 4.5 | 58 | 323.64 |
| Zarrat | 1 | 70 | 3.5 | 30 | 130.2 |
| Zarrat | 1 | 50 | 2.5 | 30 | 93 |
| Zarrat | 1 | 50 | 2.5 | 30 | 93 |
| Gabès | 1 | 50 | 2.5 | 60 | 186 |
| Gabès | 1 | 50 | 2.5 | 60 | 186 |
| Gabès | 1 | 50 | 2.5 | 60 | 186 |
| Gabès | 1 | 50 | 2.5 | 60 | 186 |
| Kerkannah | 1 | 12 | 0.6 | 30 | 22.32 |
| Kerkannah | 1 | 12 | 0.6 | 30 | 22.32 |
| Ghannouch | 1 | 20 | 1 | 30 | 37.2 |
| Elketef | 1 | 100 | 5 | 50 | 310 |
| Boughrara | 1 | 100 | 5 | 45 | 279 |
| Boughrara | 1 | 80 | 4 | 45 | 223.2 |
| Houmet Souk | 1 | 100 | 5 | 55 | 341 |
| Houmet Souk | 1 | 100 | 5 | 55 | 341 |
| Houmet Souk | 1 | 100 | 5 | 55 | 341 |
References
- Lewison, R.L.; Crowder, L.B.; Read, A.J.; Freeman, S.A. Understanding Impacts of Fisheries Bycatch on Marine Megafauna. Trends Ecol. Evol. 2004, 19, 598–604. [Google Scholar] [CrossRef]
- Wallace, B.P.; Lewison, R.L.; McDonald, S.L.; McDonald, R.K.; Kot, C.Y.; Kelez, S.; Bjorkland, R.K.; Finkbeiner, E.M.; Helmbrecht, S.; Crowder, L.B. Global Patterns of Marine Turtle Bycatch. Conserv. Lett. 2010, 3, 131–142. [Google Scholar] [CrossRef]
- Casale, P. Incidental Catch of Marine Turtles in the Mediterranean Sea: Captures, Mortality, Priorities. In WWF Mediterranean Marine Turtle Programme; WWF Italy: Burano, Italy, 2008. [Google Scholar]
- Casale, P.; Margaritoulis, D. Sea Turtles in the Mediterranean: Distribution, Threats and Conservation Priorities; IUCN: Gland, Switzerland, 2010. [Google Scholar]
- Shoop, C.R.; Dodd, C.K. Synopsis of the Biological Data on the Loggerhead Sea Turtle Caretta caretta (Linnaeus 1758). Copeia 1989, 534. [Google Scholar] [CrossRef]
- Casale, P.; Heppell, S. How Much Sea Turtle Bycatch Is Too Much? A Stationary Age Distribution Model for Simulating Population Abundance and Potential Biological Removal in the Mediterranean. Endanger. Species Res. 2016, 29, 239–254. [Google Scholar] [CrossRef]
- Casale, P.; Broderick, A.; Camiñas, J.; Cardona, L.; Carreras, C.; Demetropoulos, A.; Fuller, W.; Godley, B.; Hochscheid, S.; Kaska, Y.; et al. Mediterranean Sea Turtles: Current Knowledge and Priorities for Conservation and Research. Endanger. Species Res. 2018, 36, 229–267. [Google Scholar] [CrossRef]
- McClellan, C.M.; Read, A.J. Complexity and variation in loggerhead sea turtle life history. Biol. Lett. 2007, 3, 592–594. [Google Scholar] [CrossRef] [PubMed]
- Casale, P.; Abbate, G.; Freggi, D.; Conte, N.; Oliverio, M.; Argano, R. Foraging ecology of loggerhead sea turtles Caretta caretta in the central Mediterranean Sea: Evidence for a relaxed life history model. Mar. Ecol. Prog. Ser. 2008, 372, 265–276. [Google Scholar] [CrossRef]
- Jribi, I.; Bradai, M.N.; Bouain, A. Impact of Trawl Fishery on Marine Turtles in the Gulf of Gabès, Tunisia. Herpetol. J. 2007, 17, 110–114. [Google Scholar]
- Casale, P.; Laurent, L.; De Metrio, G. Incidental Capture of Marine Turtles by the Italian Trawl Fishery in the North Adriatic Sea. Biol. Conserv. 2004, 119, 287–295. [Google Scholar] [CrossRef]
- Gómez de Segura, A.; Tomás, J.; Pedraza, S.N.; Crespo, E.A.; Raga, J.A. Abundance and Distribution of the Endangered Loggerhead Turtle in Spanish Mediterranean Waters and the Conservation Implications. Anim. Conserv. 2006, 9, 199–206. [Google Scholar] [CrossRef]
- Margaritoulis, D.; Argano, R.; Baran, I.; Bentivegna, F.; Bradai, M.; Camiñas, J.; Casale, P.; Metrio, G.; Demetropoulos, A.; Gerosa, G. Loggerhead Turtles in the Mediterranean Sea: Present Knowledge and Conservation Perspectives. In Loggerhead Sea Turtles; Bolten, A.B., Witherington, B.E., Eds.; Smithsonian Institution Press: Washington, DC, USA, 2003. [Google Scholar]
- Casale, P. Sea Turtle By-catch in the Mediterranean. Fish Fish 2011, 12, 299–316. [Google Scholar] [CrossRef]
- Jribi, I.; Echwikhi, K.; Bradai, M.N.; Bouain, A. Incidental capture of sea turtles by longlines in the Gulf of Gabès (South Tunisia): A comparative study between bottom and surface longlines. Sci. Mar. 2008, 72, 337–342. [Google Scholar] [CrossRef]
- Echwikhi, K.; Imed, J.; Bradai, M.; Bouain, A. Overview of Loggerhead Turtles Coastal Nets Interactions in the Mediterranean Sea. Aquat. Conserv. Mar. Freshw. Ecosyst. 2012, 22, 2270. [Google Scholar] [CrossRef]
- Echwikhi, K.; Jribi, I.; Bradai, M.N.; Bouain, A. Gillnet Fishery-Loggerhead Turtle Interactions in the Gulf of Gabes, Tunisia. Herpetol. J. 2010, 20, 25–30. [Google Scholar]
- Lucchetti, A.; Vasapollo, C.; Virgili, M. An Interview-Based Approach to Assess Sea Turtle Bycatch in Italian Waters. PeerJ 2017, 5, e3151. [Google Scholar] [CrossRef] [PubMed]
- Wallace, B.P.; Heppell, S.S.; Lewison, R.L.; Kelez, S.; Crowder, L.B. Impacts of Fisheries Bycatch on Loggerhead Turtles Worldwide Inferred from Reproductive Value Analyses. J. Appl. Ecol 2008, 45, 1076–1085. [Google Scholar] [CrossRef]
- Lucchetti, A.; Sala, A. Review of Loggerhead Turtle (Caretta Caretta) Bycatch and Technical Mitigation Measures in the Mediterranean Sea. Mar. Res. CNR 2011, DTA/06-2011, 1839–1855. [Google Scholar]
- Pulcinella, J.; Bonanomi, S.; Colombelli, A.; Fortuna, C.M.; Moro, F.; Lucchetti, A.; Sala, A. Bycatch of loggerhead turtle (Caretta caretta) in the Italian Adriatic midwater pair trawl fishery. Front. Mar. Sci. 2019, 6, 365. [Google Scholar] [CrossRef]
- Louhichi, M.; Girard, A.; Jribi, I. Fishermen Interviews: A Cost-Effective Tool for Evaluating the Impact of Fisheries on Vulnerable Sea Turtles in Tunisia and Identifying Levers of Mitigation. Animals 2023, 13, 1535. [Google Scholar] [CrossRef]
- Cambiè, G.; Jribi, I.; Cambera, I.; Vagnoli, P.; Freggi, D.; Casale, P. Intra-gear variation in sea turtle bycatch: Implications for fisheries management. Fish. Res. 2020, 221, 105–405. [Google Scholar] [CrossRef]
- Virgili, M.; Vasapollo, C.; Lucchetti, A. Can ultraviolet illumination reduce sea turtle bycatch in Mediterranean set net fisheries? Fish. Res. 2018, 199, 1–7. [Google Scholar] [CrossRef]
- Lucchetti, A.; Bargione, G.; Petetta, A.; Vasapollo, C.; Virgili, M. Reducing Sea Turtle Bycatch in the Mediterranean Mixed Demersal Fisheries. Front. Mar. Sci 2019, 6, 387. [Google Scholar] [CrossRef]
- Bolten, A.B. Techniques for measuring sea turtles. In Research and Management Techniques for the Conservation of Sea Turtles; Eckert, K.L., Bjorndal, K.A., Abreu-Grobois, F.A., Donnelly, M., Eds.; IUCN/SSC Marine Turtle Specialist Group Publication No.4; IUCN: Gland, Switzerland, 1999; pp. 110–114. [Google Scholar]
- Nédélec, C.; Prado, J. Definition and Classification of Fishing Gear Categories; FAO Fisheries Technical Paper; FAO: Rome, Italy, 1990. [Google Scholar]
- Casale, P.; Freggi, D.; Basso, R.; Argano, R. Oceanic habitats for loggerhead turtles (Caretta caretta) in the Mediterranean Sea. Mar. Turtle Newsl. 2005, 107, 10–11. [Google Scholar]
- Rosales, C.; Vera, M.; Llanos, J. Varamientos y captura incidental de tortugas marinas en el litoral de Tumbes, Perú. Rev. Peru. Biol. 2010, 17, 293–301. [Google Scholar] [CrossRef][Green Version]
- Gilman, E.; Bianchi, G. Guidelines to Reduce Sea Turtle Mortality in Fishing Operations. In FAO Technical Guidelines for Responsible Fisheries; FAO: Rome, Italy, 2010; ISBN 978-92-106226-5. [Google Scholar]
- Nada, M.; Casale, P. Sea Turtle Bycatch and Consumption in Egypt Threatens Mediterranean Turtle Populations. Oryx 2011, 45, 143–149. [Google Scholar] [CrossRef]
- Lazar, B.; Ziza, V.; Tvrtkovic, N. Interactions of gillnet fishery with loggerhead sea turtles Caretta Caretta in the northern Adriatic Sea. In Proceedings of the 26th Annual Symposium on Sea Turtle Biology and Conservation, Athens, Greece, 11–13 April 2006. [Google Scholar]
- Gerosa, G.; Casale, P. Interaction of Marine Turtles with Fisheries in the Mediterranean; UNEP/MAP, RAC/SPA: Nairobi, Kenya, 1999. [Google Scholar]
- Casale, P.; Freggi, D.; Basso, R.; Argano, R. Interaction of the static net fishery with loggerhead sea turtles in the Mediterranean: Insights from mark-recapture data. Herpetol. J. 2005, 15, 201–203. [Google Scholar]
- Argano, R.; Basso, R.; Cocco, M.; Gerosa, G. Nuovi Dati Sugli Spostamenti Di Tartaruga Marina Comune (Caretta caretta) in Mediterraneo. Bollettino Dei Musei e Degli Istituti Biologici Dell’Università Di Genova 1992, 56–57, 137–164. [Google Scholar]
- Margaritoulis, D. Post-Nesting Movement of Loggerhead Sea Turtles Tagged in Greece. Rapp. De La Comm. Int. Pour L’exploration Sci. De La Mer Méditerranée 1988, 31, 284. [Google Scholar]
- Laurent, L.; Nouira, S.; Jeudy De Grissac, A.; Bradai, M.N. Les Tortues Marines de Tunisie: Premières Données. Bull. Soc. Herpétol. Fr. 1990, 53, 1–17. [Google Scholar]
- Laurent, L.; Lescure, J. L’hivernage Des Tortues Caouannes Caretta Caretta (L.) Dans Le Sud Tunisien. Rev. Ecol. Terre Vie 1994, 49, 63–86. [Google Scholar] [CrossRef]
- Laurent, L. Synthèse historique de la présence de tortues marines sur les côtes de France (cotes méditerranéennes). Observatoire du Patrimoine Naturel. Groupe Tortues Marines. Direction de la nature et des Paysages. In Sous Direction de la Chasse, de la Faune et de la Flore Sauvages; Ministère Française de l’Environment: Paris, France, 1996. [Google Scholar]
- Crouse, D.T.; Crowder, L.B.; Caswell, H. A stage based population model for loggerhead sea turtles and implications for conservation. Ecology 1987, 68, 1412–1423. [Google Scholar] [CrossRef]
- Laurent, L.; Clobert, J.; Lescure, J. The demographic modeling of the Mediterranean loggerhead sea turtle population: First results. Rapp. Comm. Int. Pour I E‘Xploration Sci. Mer Medit. 1992, 33, 300. [Google Scholar]
- Crowder, L.B.; Deborah, T.C.; Heppell, S.S.; Martin, T.H. Predicting the Impact of Turtle Excluder Devices on Loggerhead Sea Turtle Populations. Ecol. Appl. 1994, 4, 437–445. [Google Scholar] [CrossRef]
- Heppel, S.S.; Limpus, C.J.; Crouse, D.T.; Frazer, N.B.; Crowder, L.B. Population Model Analysis for the Logger-head Sea Turtle, Caretta Caretta, in Queensland. Wildl. Res. 1996, 23, 143–161. [Google Scholar] [CrossRef]
- Polovina, J.J.; Howell, E.A.; Parker, D.M.; Balazs, G.H. Dive-depth distribution of loggerhead (Caretta caretta) and olive ridley (Lepidochelys olivacea) sea turtles in the central North Pacific: Might deep longline sets catch fewer turtles? Fish. Bull. 2003, 101, 189–193. [Google Scholar]
- Hays, G.C.; Fossette, S.; Katselidis, K.A.; Schofield, G.; Gravenor, M.B. Breeding periodicity for male sea turtles, operational sex ratios, and implications in the face of climate change. Conserv. Biol. 2010, 24, 1636–1643. [Google Scholar] [CrossRef]
- Schofield, G.; Dimadi, A.; Fossette, S.; Katselidis, K.A.; Koutsoubas, D.; Lilley, M.K.S.; Luckman, A.; Pantis, J.D.; Karagouni, A.D.; Hays, G.C. Satellite tracking large numbers of individuals to infer population level dispersal and core areas for the protection of an endangered species. Divers. Distrib. 2013, 19, 834–844. [Google Scholar] [CrossRef]
- Mansfield, K.L.; Wyneken, J.; Porter, W.P.; Luo, J. First satellite tracks of neonate sea turtles redefine the ‘lost years’ oceanic niche. Proc. R. Soc. B 2014, 281, 20133039. [Google Scholar] [CrossRef]
- Carreras, C.; Pont, S.; Maffucci, F.; Pascual, M.; Barcelo, A.; Bentivegna, F.; Cardona, L.; Alegre, F.; SanFelix, M.; Fernandez, G.; et al. Genetic structuring of immature loggerhead sea turtles (Caretta caretta) in the Mediterranean Sea reflects water circulation patterns. Mar. Biol. 2006, 149, 1269–1279. [Google Scholar] [CrossRef]
- Carreras, C.; Pascual, M.; Cardona, L.; Marco, A.; Bellido, J.J.; Castillo, J.J.; Tomás, J.; Raga, J.A.; Sanfélix, M.; Fernández, G.; et al. Living Together but Remaining Apart: Atlantic and Mediterranean Loggerhead Sea Turtles (Caretta caretta) in Shared Feeding Grounds. J. Hered. 2011, 102, 666–677. [Google Scholar] [CrossRef]
- Broderick, A.C.; Coyne, M.S.; Fuller, W.J.; Glen, F.; Godley, B.J. Fidelity and Over-Wintering of Sea Turtles. Proc. R. Soc. B Biol. Sci. 2007, 274, 1533–1539. [Google Scholar] [CrossRef]
- Wibbels, T. Critical approaches to sex determination in sea turtles. In The Biology of Sea Turtles; Lutz, P.L., Musick, J.A., Wyneken, J., Eds.; CRC Press: Boca Raton, FL, USA, 2003; Volume II, pp. 103–134. [Google Scholar]
- Casale, P.; Freggi, D.; Basso, R.; Argano, R. Size at male maturity, sexing methods and adult sex ratio in loggerhead turtles (Caretta caretta) from Italian waters investigated through tail measurements. Herpetol. J. 2005, 15, 145–148. [Google Scholar]
- Casale, P.; Freggi, D.; Maffucci, F.; Hochscheid, S. Adult sex ratios of loggerhead sea turtles (Caretta caretta) in two Mediterranean foraging grounds. Sci. Mar. 2014, 78, 303–309. [Google Scholar] [CrossRef]
- Rees, A.F.; Margaritoulis, D.; Newman, R.; Riggall, T.E.; Tsaros, P.; Zbinden, J.A. Ecology of loggerhead marine turtles Caretta caretta in a neritic foraging habitat: Movements, sex ratios, and growth rates. Mar. Biol. 2013, 160, 519–529. [Google Scholar] [CrossRef]
- Kaska, Y.; Ilgaz, C.; Ozdemir, A.; Başkale, E.; Türkozan, O.; Baran, I.; Stachowitsch, M. Sex ratio estimations of loggerhead sea turtle hatchlings by histological examination and nest temperatures at Fethiye beach, Turkey. Naturwissen-Schaften 2006, 93, 338–343. [Google Scholar] [CrossRef]
- Godley, B.J.; Broderick, A.C.; Mrosovsky, N. Estimating hatchling sex ratios of loggerhead turtles in Cyprus from incubation durations. Mar. Ecol. Prog. Ser. 2001, 210, 195–201. [Google Scholar] [CrossRef]
- Wang, J.; Fisler, S.; Swimmer, Y. Developing visual deterrents to reduce sea turtle bycatch in gill net fisheries. Mar. Ecol. Prog. Ser. 2010, 408, 241–250. [Google Scholar] [CrossRef]
- Wang, J.; Barkam, J.; Fisler, S.; Godinez-Reyes, C.; Swimmer, Y. Developing ultraviolet illumination of gillnets as a method to reduce sea turtle bycatch. Biol. Lett. 2013, 9, 20130383. [Google Scholar] [CrossRef]
- Ortiz, N.; Mangel, J.; Wang, J.; Alfaro-Shigueto, J.; Pingo, S.; Jiménez, A.; Suarez, T.; Swimmer, Y.; Carvalho, F.; Godley, B. Reducing green turtle bycatch in small-scale fisheries using illuminated gillnets: The cost of saving a sea turtle. Mar. Ecol. Prog. Ser. 2016, 545, 251–259. [Google Scholar] [CrossRef]



| Number of turtles caught | 162 |
| Number of sets | 63 |
| Total duration of soak time (d) | 78.14 |
| CPUE1 (95% CI) | 2.11 (1.20–3.07) |
| CPUE2 (95% CI) | 0.63 (0.32–0.99) |
| Number of vessels using Garrasia | 23 |
| Total number of fishing trips per year (all vessels combined) | 1131 |
| Estimated total capture (95% CI) | 3756.53 (1907.81–5902.30) |
Disclaimer/Publisher’s Note: The statements, opinions and data contained in all publications are solely those of the individual author(s) and contributor(s) and not of MDPI and/or the editor(s). MDPI and/or the editor(s) disclaim responsibility for any injury to people or property resulting from any ideas, methods, instructions or products referred to in the content. |
© 2024 by the authors. Licensee MDPI, Basel, Switzerland. This article is an open access article distributed under the terms and conditions of the Creative Commons Attribution (CC BY) license (https://creativecommons.org/licenses/by/4.0/).
Share and Cite
Louhichi, M.; Girard, A.; Jribi, I. High Loggerhead (Caretta caretta) Bycatch Rate along with Several Endangered Target Species: Two Reasons to Look for Alternative to Traditional Large-Mesh Bottom-Set Gillnets (Garrasia) for More Sustainable Fisheries in the Gulf of Gabès (Tunisia). Sustainability 2024, 16, 3713. https://doi.org/10.3390/su16093713
Louhichi M, Girard A, Jribi I. High Loggerhead (Caretta caretta) Bycatch Rate along with Several Endangered Target Species: Two Reasons to Look for Alternative to Traditional Large-Mesh Bottom-Set Gillnets (Garrasia) for More Sustainable Fisheries in the Gulf of Gabès (Tunisia). Sustainability. 2024; 16(9):3713. https://doi.org/10.3390/su16093713
Chicago/Turabian StyleLouhichi, Maissa, Alexandre Girard, and Imed Jribi. 2024. "High Loggerhead (Caretta caretta) Bycatch Rate along with Several Endangered Target Species: Two Reasons to Look for Alternative to Traditional Large-Mesh Bottom-Set Gillnets (Garrasia) for More Sustainable Fisheries in the Gulf of Gabès (Tunisia)" Sustainability 16, no. 9: 3713. https://doi.org/10.3390/su16093713
APA StyleLouhichi, M., Girard, A., & Jribi, I. (2024). High Loggerhead (Caretta caretta) Bycatch Rate along with Several Endangered Target Species: Two Reasons to Look for Alternative to Traditional Large-Mesh Bottom-Set Gillnets (Garrasia) for More Sustainable Fisheries in the Gulf of Gabès (Tunisia). Sustainability, 16(9), 3713. https://doi.org/10.3390/su16093713

