Does Social Distancing Affect the Stress Reduction and Attention Restoration of College Students in Different Natural Settings?
Abstract
1. Introduction
1.1. Stress Reduction and Attention Restoration
1.2. The Restorative Natural Settings without Human Presence
1.3. Landscape Types and the Restoration
- Does the presence of individuals in natural scenes affect the inherent restorative benefits of the natural environment?
- Does the presence of individuals at different social distances within natural environments yield varying impacts on restoration?
- Does the presence of individuals at different social distances in natural environments exclusively influence the restorative effects of specific natural conditions, or does it generate diverse effects due to varying natural conditions (i.e., mountain, forest, ocean, wetland, and desert)?
2. Methods
2.1. Social Distancing
2.2. Virtual Reality Natural Settings
2.3. Measurements
2.3.1. Physiological Measurements
2.3.2. Psychological Measurements
2.3.3. Two-Way Analysis of Variance and Tukey Post-Hoc Comparison
2.3.4. Participants
2.3.5. Experimental Procedure
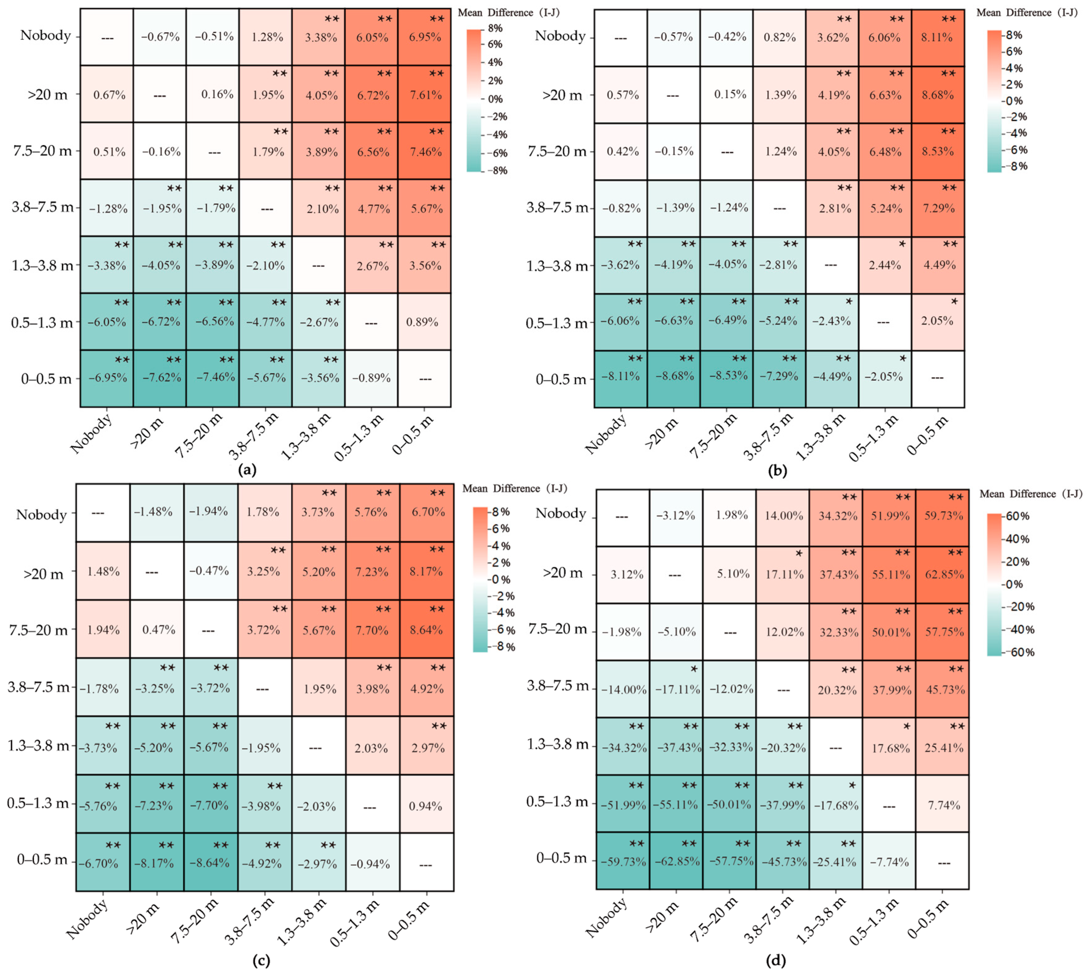
3. Results
3.1. Physiological Restoration
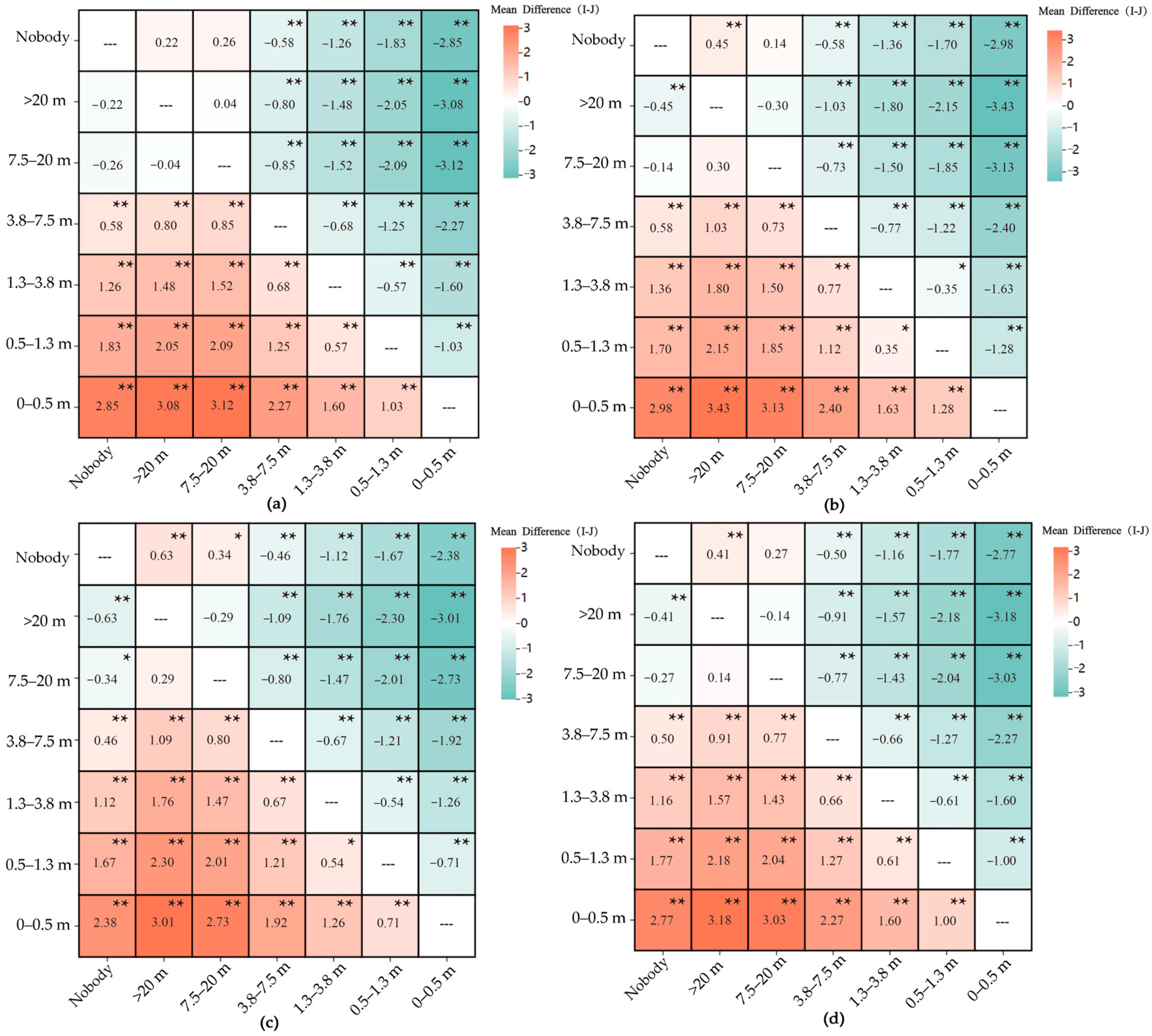
3.2. Psychological Restoration
4. Discussion
4.1. Social Distance Threshold for Restoration of Natural Environment
4.2. Optimal Distance for Restoration of Natural Environment
4.3. Impact of Different Landscape Types on Restoration
5. Conclusions
Author Contributions
Funding
Institutional Review Board Statement
Informed Consent Statement
Data Availability Statement
Conflicts of Interest
References
- Marbin, D.; Gutwinski, S.; Schreiter, S.; Heinz, A. Perspectives in poverty and mental health. Front. Public Health 2022, 10, 975482. [Google Scholar] [CrossRef] [PubMed]
- Kanelli, A.A.; Vardaka, M.L.; Malesios, C.; Katima, Z.J.; Kalantzi, O.-I. Can Campus Green Spaces Be Restorative? A Case Study from Tanzania. Sustainability 2024, 16, 1094. [Google Scholar] [CrossRef]
- Sheldon, E.; Simmonds-Buckley, M.; Bone, C.; Mascarenhas, T.; Chan, N.; Wincott, M.; Gleeson, H.; Sow, K.; Hind, D.; Barkham, M. Prevalence and risk factors for mental health problems in university undergraduate students: A systematic review with meta-analysis. J. Affect. Disord. 2021, 287, 282–292. [Google Scholar] [CrossRef] [PubMed]
- Kefale, A.; Fetene, A.; Desta, H. Users’ preferences and perceptions towards urban green spaces in rapidly urbanized cities: The case of Debre Berhan and Debre Markos, Ethiopia. Heliyon 2023, 9, e15262. [Google Scholar] [CrossRef] [PubMed]
- Luo, L.; Yu, P.; Jiang, B. Differentiating mental health promotion effects of various bluespaces: An electroencephalography study. J. Environ. Psychol. 2023, 88, 102010. [Google Scholar] [CrossRef]
- Zhu, X.; Zhang, Y.; Luo, Y.Y.; Zhao, W. Natural or artificial? Exploring perceived restoration potential of community parks in Winter city. Urban For. Urban Green. 2023, 79, 127808. [Google Scholar] [CrossRef]
- World Health Organization. World Mental Health Report Transforming Mental Health for All; CC BY-NC-SA 3.0 IGO; World Health Organization: Geneva, Switzerland, 2022. [Google Scholar]
- Li, J.; Chang, Y.; Cai, X.; Liu, S.; Peng, Y.; Feng, T.; Qi, J.; Ji, Y.; Xia, Y.; Lai, W. Health perception and restorative experience in the therapeutic landscape of urban wetland parks during the COVID-19 pandemic. Front. Public Health 2023, 11, 1272347. [Google Scholar] [CrossRef] [PubMed]
- Birch, J.; Rishbeth, C.; Payne, S.R. Nature doesn’t judge you—How urban nature supports young people’s mental health and wellbeing in a diverse UK city. Health Place 2020, 62, 102296. [Google Scholar] [CrossRef] [PubMed]
- Liu, L.; Qu, H.; Ma, Y.; Wang, K.; Qu, H. Restorative benefits of urban green space: Physiological, psychological restoration and eye movement analysis. J. Environ. Manag. 2022, 301, 113930. [Google Scholar] [CrossRef]
- Ulrich, R.S.; Simons, R.F.; Losito, B.D.; Fiorito, E.; Miles, M.A.; Zelson, M. Stress recovery during exposure to natural and urban environments. J. Environ. Psychol. 1991, 11, 201–230. [Google Scholar] [CrossRef]
- Ulrich, R.S. View through a window may influence recovery from surgery. Science 1984, 224, 420–421. [Google Scholar] [CrossRef] [PubMed]
- Lin, M.; Van Stan, J.T. Impacts of urban landscapes on students’ academic performance. Landsc. Urban Plan. 2020, 201, 103840. [Google Scholar] [CrossRef]
- Beil, K.; Hanes, D. The Influence of Urban Natural and Built Environments on Physiological and Psychological Measures of Stress-A Pilot Study. Int. J. Environ. Res. Public Health 2013, 10, 1250–1267. [Google Scholar] [CrossRef] [PubMed]
- Reese, G.; Kohler, E.; Menzel, C. Restore or Get Restored: The Effect of Control on Stress Reduction and Restoration in Virtual Nature Settings. Sustainability 2021, 13, 1995. [Google Scholar] [CrossRef]
- Huang, Q.; Yang, M.; Jane, H.-a.; Li, S.; Bauer, N. Trees, grass, or concrete? The effects of different types of environments on stress reduction. Landsc. Urban Plan. 2020, 193, 103654. [Google Scholar] [CrossRef]
- Kaplan, S. The restorative benefits of nature: Toward an integrative framework. J. Environ. Psychol. 1995, 15, 169–182. [Google Scholar] [CrossRef]
- Jin, Z.; Wang, J.; Liu, X. Attention and Emotion Recovery Effects of Urban Parks during COVID-19—Psychological Symptoms as Moderators. Forests 2022, 13, 2001. [Google Scholar] [CrossRef]
- Kaplan, S. A model of person-environment compatibility. Environ. Behav. 1983, 15, 311–332. [Google Scholar] [CrossRef]
- Wilkie, S.; Thompson, E.; Cranner, P.; Ginty, K. Attention restoration theory as a framework for analysis of Tweets about urban green space: A case study. Landsc. Res. 2020, 45, 777–788. [Google Scholar] [CrossRef]
- Yin, Y.; Thwaites, K.; Simpson, J. Exploring the use of restorative component scale to measure street restorative expectations. Urban Des. Int. 2022, 27, 145–155. [Google Scholar] [CrossRef]
- Laumann, K.; GÄRling, T.; Stormark, K.M. Rating Scale Measures of Restorative Components of Environments. J. Environ. Psychol. 2001, 21, 31–44. [Google Scholar] [CrossRef]
- Yin, J.; Ramanpong, J.; Chang, J.; Wu, C.-D.; Chao, P.-H.; Yu, C.-P. Effects of blue space exposure in urban and natural environments on psychological and physiological responses: A within-subject experiment. Urban For. Urban Green. 2023, 87, 128066. [Google Scholar] [CrossRef]
- Stragà, M.; Miani, C.; Mäntylä, T.; Bruine de Bruin, W.; Mottica, M.; Del Missier, F. Into the wild or into the library? Perceived restorativeness of natural and built environments. J. Environ. Psychol. 2023, 91, 102131. [Google Scholar] [CrossRef]
- Lindal, P.J.; Hartig, T. Effects of urban street vegetation on judgments of restoration likelihood. Urban For. Urban Green. 2015, 14, 200–209. [Google Scholar] [CrossRef]
- Cheon, S.; Han, S.; Kim, M.; Kwon, Y. Comparison between Daytime and Nighttime Scenery Focusing on Restorative and Recovery Effect. Sustainability 2019, 11, 3326. [Google Scholar] [CrossRef]
- Tyrvainen, L.; Ojala, A.; Korpela, K.; Lanki, T.; Tsunetsugu, Y.; Kagawa, T. The influence of urban green environments on stress relief measures: A field experiment. J. Environ. Psychol. 2014, 38, 1–9. [Google Scholar] [CrossRef]
- Chiang, Y.-C.; Li, D.; Jane, H.-A. Wild or tended nature? The effects of landscape location and vegetation density on physiological and psychological responses. Landsc. Urban Plan. 2017, 167, 72–83. [Google Scholar] [CrossRef]
- Wang, Y.-j.; Yu, S.-q.; Lin, M.-h. Study on visitors’ crowding perception, adjustment mechanism and satisfaction in urban natural parks. J. Nat. Resour. 2023, 38, 1025–1039. [Google Scholar] [CrossRef]
- Staats, H.; Hartig, T. Alone or with a friend: A social context for psychological restoration and environmental preferences. J. Environ. Psychol. 2004, 24, 199–211. [Google Scholar] [CrossRef]
- Ortanderl, F.; Bausch, T. Wish you were here? Tourists’ perceptions of nature-based destination photographs. J. Destin. Mark. Manag. 2023, 29, 100799. [Google Scholar] [CrossRef]
- Ulrich, R.S. Biophilia, Biophobia, and Natural Landscapes; Island Press: Washington, DC, USA, 1993; pp. 73–137. [Google Scholar]
- Bixler, R.D.; Carlisle, C.L.; Hammltt, W.E.; Floyd, M.F. Observed fears and discomforts among urban students on field trips to wildland areas. J. Environ. Educ. 1994, 24–33, 26. [Google Scholar] [CrossRef]
- Kim, S.O.; Shelby, B.; Needham, M.D. Effects of facility developments and encounter levels on perceptions of settings, crowding, and norms in a korean park. Environ. Manag. 2014, 53, 441–453. [Google Scholar] [CrossRef]
- Zhang, Z.; Chen, Y.; Qiao, X.; Zhang, W.; Meng, H.; Gao, Y.; Zhang, T. The Influence of Forest Landscape Spaces on Physical and Mental Restoration and Preferences of Young Adults of Different Genders. Forests 2022, 14, 37. [Google Scholar] [CrossRef]
- Dan, M.E.; Olaka, L.A.; Mamo, M.B.; Chalo, D.M.; Cuni-Sanchez, A. Desert landscape services: Insights from pastoralist communities in northern Kenya. Ecosyst. Serv. 2021, 48, 101243. [Google Scholar] [CrossRef]
- Van den Berg, A.E.; Jorgensen, A.; Wilson, E.R. Evaluating restoration in urban green spaces: Does setting type make a difference? Landsc. Urban Plan. 2014, 127, 173–181. [Google Scholar] [CrossRef]
- Arnberger, A.; Eder, R.; Allex, B.; Ebenberger, M.; Hutter, H.P.; Wallner, P.; Bauer, N.; Zaller, J.G.; Frank, T. Health-Related Effects of Short Stays at Mountain Meadows, a River and an Urban Site-Results from a Field Experiment. Int. J. Environ. Res. Public Health 2018, 15, 2647. [Google Scholar] [CrossRef]
- Deng, L.; Li, X.; Luo, H.; Fu, E.-K.; Ma, J.; Sun, L.-X.; Huang, Z.; Cai, S.-Z.; Jia, Y. Empirical study of landscape types, landscape elements and landscape components of the urban park promoting physiological and psychological restoration. Urban For. Urban Green. 2020, 48, 126488. [Google Scholar] [CrossRef]
- Li, Y.; Zhang, J.; Jiang, B.; Li, H.; Zhao, B. Do All Types of Restorative Environments in the Urban Park Provide the Same Level of Benefits for Young Adults? A Field Experiment in Nanjing, China. Forests 2023, 14, 1400. [Google Scholar] [CrossRef]
- Graupmann, V.; Pfundmair, M. When ostracism is mandated: COVID-19, social distancing, and psychological needs. J. Soc. Psychol. 2023, 163, 39–51. [Google Scholar] [CrossRef]
- Wu, X.; Lu, Y.; Jiang, B. Built environment factors moderate pandemic fatigue in social distance during the COVID-19 pandemic: A nationwide longitudinal study in the United States. Landsc. Urban Plan. 2023, 233, 104690. [Google Scholar] [CrossRef]
- Zhu, Z.X.; Zhao, Y.X.; Wang, J. The impact of destination online review content characteristics on travel intention: Experiments based on psychological distance perspectives. Aslib J. Inf. Manag. 2024, 76, 42–64. [Google Scholar] [CrossRef]
- Gehl, J. Life between Buildings: Using Public Space; Island Press: Washington, DC, USA, 2011; pp. 63–69. [Google Scholar]
- Ünal, A.B.; Pals, R.; Steg, L.; Siero, F.W.; van der Zee, K.I. Is virtual reality a valid tool for restorative environments research? Urban For. Urban Green. 2022, 74, 127673. [Google Scholar] [CrossRef]
- Neale, C.; Griffiths, A.; Chalmin-Pui, L.S.; Mendu, S.; Boukhechba, M.; Roe, J. Color aesthetics: A transatlantic comparison of psychological and physiological impacts of warm and cool colors in garden landscapes. Wellbeing Space Soc. 2021, 2, 100038. [Google Scholar] [CrossRef]
- Jin, Z.; Wang, J.; Liu, X.; Han, X.; Qi, J.; Wang, J. Stress Recovery Effects of Viewing Simulated Urban Parks: Landscape Types, Depressive Symptoms, and Gender Differences. Land 2022, 12, 22. [Google Scholar] [CrossRef]
- Gao, T.; Zhang, T.; Zhu, L.; Gao, Y.; Qiu, L. Exploring Psychophysiological Restoration and Individual Preference in the Different Environments Based on Virtual Reality. Int. J. Environ. Res. Public Health 2019, 16, 3102. [Google Scholar] [CrossRef] [PubMed]
- Shu, Y.; Wu, C.; Zhai, Y. Impacts of Landscape Type, Viewing Distance, and Permeability on Anxiety, Depression, and Stress. Int. J. Environ. Res. Public Health 2022, 19, 9867. [Google Scholar] [CrossRef] [PubMed]
- Hall, E.T. The Hidden Dimension; Random House, Inc.: New York, NY, USA, 1966; pp. 113–125. [Google Scholar]
- Yin, J.; Yuan, J.; Arfaei, N.; Catalano, P.J.; Allen, J.G.; Spengler, J.D. Effects of biophilic indoor environment on stress and anxiety recovery: A between-subjects experiment in virtual reality. Environ. Int. 2020, 136, 105427. [Google Scholar] [CrossRef]
- Hong, X.; Cheng, S.; Liu, J.; Guo, L.; Dang, E.; Wang, J.; Cheng, Y. How should soundscape optimization from perceived soundscape elements in urban forests by the riverside be performed? Land 2023, 12, 1929. [Google Scholar] [CrossRef]







| Social Distancing Landscape Type | Mountain | Forest | Ocean | Wetland | Desert |
|---|---|---|---|---|---|
| Nobody | ![]() | ![]() | ![]() | ![]() | ![]() |
| >20 m | ![]() | ![]() | ![]() | ![]() | ![]() |
| 7.5–20 m | ![]() | ![]() | ![]() | ![]() | ![]() |
| 3.8–7.5 m | ![]() | ![]() | ![]() | ![]() | ![]() |
| 1.3–3.8 m | ![]() | ![]() | ![]() | ![]() | ![]() |
| 0.5–1.3 m | ![]() | ![]() | ![]() | ![]() | ![]() |
| 0–0.5 m | ![]() | ![]() | ![]() | ![]() | ![]() |
| Components of Attention Restoration Theory | Item |
|---|---|
| Being away | 1. Here I feel free from work and daily routines. |
| 2. Here I feel free from other people’s demands and expectations. | |
| 3. Here I do not need to think of my responsibilities and obligations. | |
| Extent | 4. The elements here are interconnected. |
| 5. Everything here harmoniously blends into the environment. | |
| 6. The surroundings here are coherent. | |
| Fascination | 7. There is plenty to discover here. |
| 8. This setting has many things that I am curious about. | |
| 9. There are many objects here that attract my attention. | |
| 10. There are many things in this setting that make me want to stay longer. | |
| 11. I am absorbed by these surroundings. | |
| Compatibility | 12. The environment provides me with the opportunity to carry out activities that I like. |
| 13. I can handle the types of problems that arise here. | |
| 14. I can adapt rapidly to this setting. | |
| 15. There is an agreement between what I like to do and this environment. |
| Physiological Indicators | Social Distances | Landscape Types | Social Distance × Landscape Types | ||||||
|---|---|---|---|---|---|---|---|---|---|
| F | p | η2 | F | p | η2 | F | p | η2 | |
| ΦΔSBP | 81.794 | 0.000 ** | 0.311 | 8.344 | 0.000 ** | 0.030 | 0.463 | 0.988 | 0.010 |
| ΦΔDBP | 47.104 | 0.000 ** | 0.207 | 3.166 | 0.013 * | 0.012 | 0.481 | 0.984 | 0.011 |
| ΦΔPR | 36.441 | 0.000 ** | 0.168 | 1.210 | 0.035 * | 0.004 | 0.550 | 0.962 | 0.012 |
| ΦΔGSR | 41.674 | 0.000 ** | 0.187 | 3.203 | 0.013 * | 0.012 | 1.028 | 0.425 | 0.022 |
| Psychological Indicators | Social Distances | Landscape Types | Social Distance × Landscape Types | ||||||
|---|---|---|---|---|---|---|---|---|---|
| F | p | η2 | F | p | η2 | F | p | η2 | |
| Being away | 201.250 | 0.000 ** | 0.527 | 0.513 | 0.727 | 0.002 | 0.420 | 0.994 | 0.009 |
| Extent | 203.114 | 0.000 ** | 0.529 | 0.691 | 0.598 | 0.003 | 0.503 | 0.978 | 0.011 |
| Fascination | 151.865 | 0.000 ** | 0.456 | 0.470 | 0.758 | 0.002 | 0.366 | 0.998 | 0.008 |
| Compatibility | 227.452 | 0.000 ** | 0.557 | 0.780 | 0.538 | 0.003 | 0.412 | 0.995 | 0.009 |
Disclaimer/Publisher’s Note: The statements, opinions and data contained in all publications are solely those of the individual author(s) and contributor(s) and not of MDPI and/or the editor(s). MDPI and/or the editor(s) disclaim responsibility for any injury to people or property resulting from any ideas, methods, instructions or products referred to in the content. |
© 2024 by the authors. Licensee MDPI, Basel, Switzerland. This article is an open access article distributed under the terms and conditions of the Creative Commons Attribution (CC BY) license (https://creativecommons.org/licenses/by/4.0/).
Share and Cite
Zhu, L.; Dong, S.; Chen, X.; Zhou, Q.; Li, F.; Wang, G. Does Social Distancing Affect the Stress Reduction and Attention Restoration of College Students in Different Natural Settings? Sustainability 2024, 16, 3274. https://doi.org/10.3390/su16083274
Zhu L, Dong S, Chen X, Zhou Q, Li F, Wang G. Does Social Distancing Affect the Stress Reduction and Attention Restoration of College Students in Different Natural Settings? Sustainability. 2024; 16(8):3274. https://doi.org/10.3390/su16083274
Chicago/Turabian StyleZhu, Liying, Sining Dong, Xin Chen, Qingqing Zhou, Fangying Li, and Guangyu Wang. 2024. "Does Social Distancing Affect the Stress Reduction and Attention Restoration of College Students in Different Natural Settings?" Sustainability 16, no. 8: 3274. https://doi.org/10.3390/su16083274
APA StyleZhu, L., Dong, S., Chen, X., Zhou, Q., Li, F., & Wang, G. (2024). Does Social Distancing Affect the Stress Reduction and Attention Restoration of College Students in Different Natural Settings? Sustainability, 16(8), 3274. https://doi.org/10.3390/su16083274




































