Abstract
On highways, it is commonplace to observe car-following behavior among vehicles. Unfortunately, this behavior results in significant particulate matter (PM) emissions, which greatly contribute to environmental pollution. Additionally, adverse weather conditions such as rain can negatively affect vehicles’ car-following behavior and have further influences on their PM emissions. The technology of connected automated vehicles (CAVs) offers a promising solution for mitigating these negative influences. This paper investigates the effect of various rainy weather conditions on PM emissions during car-following behavior on highways and proposes a CAV car-following strategy to reduce these emissions. Firstly, we employed a calibrated car-following model of traditional vehicles to perform simulation experiments, examining characteristics of PM emissions under four levels of rain and two simulation scenarios. Secondly, based on the relationship between PM emissions and speed fluctuations, we proposed a CAV car-following strategy by stabilizing traffic flow to smooth speed fluctuations. The proposed CAV car-following strategy was then validated through simulation experiments, and its effectiveness in reducing PM emissions under rainy conditions was assessed. The results indicate that higher speed fluctuations during car-following behavior lead to more PM emissions in rainy weather. By utilizing the proposed car-following strategy, CAVs can significantly reduce PM emissions in rain conditions, with average reductions of 41.07%, 59.46%, 49.60%, and 71.66% under very light rain, light rain, moderate rain, and heavy rain conditions, respectively. The findings of this paper facilitate the assessment of PM emissions fluctuations in different rainy weather conditions, which in turn can contribute to the development of more effective PM emissions control strategies. The proposed CAV car-following strategy can smooth speed fluctuations, and improve traffic flow stability, thus reducing PM emissions in rainy weather. It has the potential to mitigate environmental pollution from the transportation sector.
1. Introduction
In recent years, economy growth has led to a rapid increase in vehicle ownership [1]. This surge in vehicle ownership has raised concerns about the increase in pollutant emissions caused by highway traffic, which is an issue attracting more and more attention [2,3,4,5]. Pollutant emissions are recognized as a major challenge in contemporary transportation planning [6]. Vehicles operating on highways generate significant amounts of exhaust fumes and soot, which have severe environmental consequences, including the release of particulate matter (PM) [7,8,9]. Therefore, the issue of PM emissions on highways is closely associated with global environmental concerns and is a fundamental component of global plans aimed at promoting emission reduction.
The car-following behavior of vehicles on highways has a significant impact on the emission of PM pollutants. Adverse weather conditions, particularly rain, can negatively affect the car-following behavior, resulting in speed fluctuations that are directly linked to changes in traffic pollutant emissions [10]. This weather condition can cause deteriorations in road surface and driver visibility, leading to changes in the driving behavior of vehicles and production of an increased amount of pollutant emissions [11]. Studies have shown that drivers tend to drive more cautiously during rainy weather, reducing their speed by more than 5 km/h below the speed limit with a probability of 23% to 29% [12], because of reduced visibility and slick road conditions. As the intensity of rainfall increases, the driving environment becomes more dangerous, which can lead to frequent adjustments in the driving behavior of vehicles and fluctuations in traffic speed [13]. This, in turn, could lead to traffic flow instability, increasing fuel consumption rates, and, as a result, producing more pollutant emissions [14,15,16,17,18,19]. With rainy weather being a common occurrence on highways, pollutant emissions from vehicles on these roads are an important research focus in the transportation field. Therefore, it is necessary to understand how PM emissions vary when there are changes in rainfall [20]. In conclusion, analyzing highway pollutant emissions, particularly PM emissions, during rainy weather is an essential factor to consider in efforts to reduce the environmental impact of highway traffic.
As a promising new technology, connected automated vehicles (CAVs) have the potential capability to optimize car-following behavior on highways, thus reducing PM pollutant emissions in rainy weather. Previous studies have shown that CAVs can significantly reduce transportation emissions on highways [21,22]. CAV characteristics, such as CAV penetration rates and positions, can affect overall pollutant emissions in traffic [23]. In achieving the minimization of emissions, the trajectories of CAVs during the car-following behavior have been of concern [24,25,26]. For example, He et al. [27] established an optimal control model for CAVs that obtains the motion information of surrounding vehicles to reduce pollutant emissions. Similarly, Ghiasi et al. [28] presented a speed harmonization model that smoothed the CAV trajectory under various traffic conditions to reduce emissions.
Despite the potential of CAVs to reduce PM emissions, there remain major barriers to the adoption of CAVs, including technical, normative, ethical, and social problems [29]. Social issues, particularly related to the acceptability of this new technology, may lead to a certain a priori reluctance toward CAVs, hindering their full operational implementation [30]. The acceptability of CAVs has only recently gained attention from the research community. According to Cascetta et al. [31], the acceptability of CAVs may be enhanced if they are indistinguishable from human-driven vehicles under regular driving conditions. Chikaraishi et al. [32] also revealed that the effective management of information dissemination, involving public information campaigns, test-drive events, and transparency about safety options, are capable of influencing the societal acceptability of CAVs and are critical to their successful market introduction.
To sum up, there are certain limitations in the current research regarding the effects of CAVs on PM pollutant emissions. The impact of external factors, such as the environment, on driving behavior has not been fully taken into account. For instance, rainy weather, a common adverse condition, can negatively disrupt car-following behavior on highways, which in turn can escalate PM pollutant emissions. Therefore, this paper aims to examine the impact of rainy weather conditions on PM emissions during car-following behavior on highways. It further proposes a CAV car-following strategy that can reduce PM emissions in rainy weather by stabilizing traffic flow to smooth speed fluctuations. In doing so, this strategy can effectively mitigate the deleterious impacts of rainy weather on PM emissions.
The primary contribution of this study lies in analyzing PM emission characteristics under different rainy weather conditions and proposing a novel car-following strategy for integrating CAVs to reduce PM emissions in rainy weather. Additionally, the proposed CAV strategy offers insights into stabilizing traffic flow and smoothing speed fluctuations, facilitating effective reductions in PM emissions in rainy weather.
The rest of this paper is organized as follows. Section 2 presents a literature review. Section 3 analyzes the impacts of rainy weather conditions on PM emissions based on car-following simulation experiments. Then, the CAV car-following strategy is proposed and validated in Section 4, followed by discussions in Section 5. Conclusions are summarized in Section 6.
2. Literature Review
2.1. Car-Following Behavior in Adverse Weather
In adverse weather conditions, car-following behavior is more complex than that in normal weather. Drivers in adverse weather not only have to react to the behavior of the vehicle in front of them, but must also react to uncertain conditions caused by adverse weather. Studying car-following behavior in adverse weather is conducive to the exploration of traffic management measures under adverse weather conditions. At present, many studies have been conducted to evaluate car-following behavior in adverse weather conditions and have mainly focused on comparing the differences in car-following behaviors in different weather conditions. The commonly used indexes for evaluating car-following behavior include but are not limited to speed, spacing, and headway [33,34,35]. Hammit et al. [36] investigated the effects of three types of adverse weather, i.e., rain, snow, and fog, on car-following behavior, and their results showed that there was significant variability in car-following behavior under different adverse weather conditions and that this variability in car-following behavior was positively correlated with the degrees of adverse weather conditions. Huang et al. [35] investigated car-following behavior variability and following distance characteristics in foggy weather. The results indicated that car-following behavior heterogeneity increased with decreasing fog density, while the average following distance tended to increase as the fog density decreased. Rahman and Lownes [37] found that drivers may reduce speed, maintain greater spacing, and drive more carefully in adverse weather to compensate for reduced visibility and slippery road conditions. The road weather management program conducted by the federal highway administration (FHWA, 2009) compiled research on the effects of adverse weather on traffic, and it cited that rainy weather can cause average speeds to decrease by 3% to 17% [38]. Ibrahim and Hall [39] investigated differences in car-following behavior using real-world data in light rain, heavy rain, and snow, when compared to clear weather. The results showed that driving speeds were reduced by 3–5% in light rain and light snow, 14–15% in heavy rain, and 30–40% in heavy snow.
2.2. Applications of CAVs in Reducing Pollutant Emissions
Over the past decade, advances in diverse and interoperable technologies have enhanced vehicles with self-driving capabilities, leading to the development of CAV technology [40]. Related technologies including but not limited to vehicle trajectory prediction, machine learning, and deep learning algorithms have been proven to be applicable in CAVs [41,42]. Zhai et al. [43] proposed a periodic intermittent cruise controller to reduce the duration and amplitude of traffic oscillations. Numerical simulation results showed that the periodic intermittent cruise control can significantly reduce pollutant emissions. Based on a nonlinear predictive control approach, Wang et al. [44] proposed a transient control model to mitigate traffic oscillations and stop-and-go traffic situations, which can reduce the pollutant emissions of traffic flow through the localized instantaneous control of several intelligent vehicles. Similar studies include those of Makridis et al. [45], Aljamal et al. [46], and Kopelias et al. [47]. In addition, for a mixed traffic flow consisting of connected vehicles and human-driven vehicles, Huang et al. [48] designed a cooperative control strategy to indirectly take over the uncontrollable human-driven vehicles to improve the stability of mixed traffic flow, which resulted in reductions in pollutant emissions. Meanwhile, several studies have focused on the impacts of CAV platoons on pollutant emissions, suggesting that CAV platoons are beneficial in reducing pollutant emissions. These advanced studies have highlighted a link between speed fluctuations and pollutant emissions [49,50,51].
Although CAVs are beneficial for reducing pollutant emissions and achieving the goal of sustainable development, we would like to mention that CAVs need to be implemented with the involvement of stakeholders from all parties, and proper stakeholder participation ensures that decisions are transparent and likely to be successfully implemented [52]. In the context of CAV deployment, stakeholders will include users of different modes of transportation, transportation policymakers, transportation service providers, vehicle manufacturers, infrastructure operators, transportation researchers, etc. [53,54,55,56]. It is important to ensure that stakeholders are engaged from the outset, whether it is to establish a common vision or to successfully implement measures to achieve sustainable transportation [57]. Only in this way can we ensure the successful implementation of CAVs, which will in turn realize the role of CAVs in reducing pollutant emissions.
3. Characteristic Analysis of PM Emissions in Rainy Weather
Table 1 summarizes some previous studies on traffic emissions, from which it can be seen that numerical simulations have been widely adopted to analyze pollutant emissions under clear weather conditions, while fewer studies have been conducted to calculate pollutant emissions in rainy weather.
Table 1.
Comparison of previous studies on pollutant emissions.
This section analyzes the characteristics of PM emissions during car-following behavior on highways in rainy weather through simulation experiments. To ensure practical results, we utilized a car-following model of a traditional vehicle that was calibrated using real experimental data on a highway in rainy weather. The framework of our characteristic analysis is as follows. To begin, it is important to select a car-following model that can accurately represent vehicles’ car-following behaviors on a rainy highway. Once the car-following model was using by real experimental data in rainy weather, we established simulation scenarios for numerical experiments, which generated trajectory data of vehicles during car-following behavior. The trajectory data obtained from the simulation experiments were then used to calculate results of the PM emissions.
3.1. Car-Following Model of Traditional Vehicles in Rainy Weather
Generally, it is challenging to conduct a direct emission analysis of highway traffic during rainy weather conditions through real-world experiments. To overcome this challenge, simulation experiments have been developed to analyze traffic emissions [63]. In addition, the naturalistic driving study (NDS) database, which is part of the second strategic highway research program (SHRP2) in the United States, contains a large amount of trajectory data derived from real-world situations. These data have been widely used for the parameter calibration of car-following models of traditional vehicles in simulations [64].
Based on the NDS database of SHRP2, Hammit et al. [36] selected the root mean square error and spacing distance as the goodness-of-fit function and objective function, respectively. They calibrated the Gipps car-following model by solving the objective function based on a genetic algorithm. After verification, the calibrated Gipps model can effectively describe the driving behavior of traditional vehicles on highways under four different rain conditions, i.e., very light rain, light rain, moderate rain, and heavy rain. For the definitions of different rain types, we referred to the NDS database of SHRP2 in the United States [36,64], which includes the trajectory data of vehicles in various weather conditions for the calibration of a car-following model. Therefore, we chose this model as the car-following model of traditional vehicles on a highway under the four rain conditions. The Gipps model is written as follows:
where vn(t) is the speed of vehicle n at time t, an is the maximum acceleration, vf is the free flow speed, bn is the braking deceleration of vehicle n, bn−1 is the braking deceleration of vehicle n − 1, τ is the response time, sn(t) is the following distance of vehicle n at time t, and d is the following distance at stop. The parameter values of the Gipps model calibrated under four rain conditions are shown in Table 2 [36].
Table 2.
Parameter values of Gipps model calibrated under four rain conditions.
It is essential to clarify that this calibrated Gipps model is specifically designed for passenger cars. In addition, according to Díaz et al. [65], most vehicles on highways are passenger cars, and more than one-third of passenger cars are powered by diesel engines. Meanwhile, diesel combustion is characterized by diffusion combustion, and will lead to higher total PM emissions [66], which is helpful in assessing the negative impacts of highway traffic on PM emissions. Moreover, analyses of traffic flow characteristics have predominantly concentrated on diesel passenger cars [67,68,69]. Therefore, this study primarily examined the PM emission characteristics of diesel passenger cars in rainy weather.
3.2. Simulation Experiments Based on Calibrated Car-Following Model
3.2.1. Simulation Scenarios
The primary car-following behaviors during rainy weather is acceleration and deceleration [12]. It has been found that the frequent acceleration and deceleration of vehicles can result in a higher level of PM emissions [70]. Therefore, in this section, we will present the designs of two simulation scenarios that focus on acceleration and deceleration, with the goal of analyzing the impact of rainy weather on vehicle PM emissions. In both scenarios, a platoon consisting of a leading vehicle and nine following vehicles will be considered. The motion of the leading vehicle follows a given trajectory, while the motions of the following vehicles in the platoon will be controlled by the rainy weather car-following model of traditional vehicles mentioned in Section 3.1. The motion trajectories of the leading vehicle in these two simulation scenarios are as follows.
Scenario 1: The leading vehicle experiences brief acceleration and deceleration movements with a consistent rate of acceleration and deceleration. The leading vehicle travels at a constant speed of 25 m/s before t = 60 s and then decelerates from t = 60 s to t = 63 s with a deceleration rate of −1 m/s2. After that, the leading vehicle accelerates from t = 63 s to t = 66 s with an acceleration rate of 1 m/s2. After 66 s, the leading vehicle travels at a constant speed of 25 m/s until the end of simulations. The speed v1(t) of the leading vehicle over time is defined as follows:
Scenario 2: The leading vehicle experiences periodic acceleration and deceleration movements with consistent rates of acceleration and deceleration. From t = 0 s to t = 50 s, the leading vehicle travels at a constant speed of 25 m/s. From t = 51 s to t = 100 s, the leading vehicle performs periodic acceleration and deceleration movements with an acceleration rate of ±1 m/s2 within a period of 8 s. After 100 s, the leading vehicle travels at a constant speed of 25 m/s until the end of the simulation.
The simulation time for the above scenarios is 200 s, with a simulation step of 0.01 s. In addition, it can be inferred from the above scenarios that the frequencies of the acceleration and deceleration movements of the vehicles in Scenario 2 are higher than those in Scenario 1.
3.2.2. PM Emission Model
Based on simulation experiments, we can obtain the trajectory data of vehicles throughout the simulation process. Additionally, it is necessary to incorporate a PM emission model in order to calculate the pollutant emissions across various simulation scenarios. As previous studies have indicated [71,72], there is a strong correlation between PM emissions and the instantaneous speed and acceleration of vehicles. A common PM emission model utilized in traffic simulations, based on the instantaneous speed and acceleration of vehicles, was proposed by Panis et al. [73] and has since been widely used in this field [70,74]. This PM emission model is as follows:
where En(t) is the value of the PM emissions of vehicle n at time t, E0 is the minimum PM emissions of the vehicle (g/s), vn(t) is the instantaneous speed, an(t) is the instantaneous acceleration, and f1 through f6 are model parameters. Calibrated values of this PM emission model are shown in Table 3 [73].
Table 3.
Parameter values of PM emission model.
3.3. Characteristic Results of PM Emissions
With the simulation experiments described above, we were able to obtain results on PM emissions across four different rain conditions and two simulation scenarios. The characteristic results of the PM emissions are shown in Figure 1.
Figure 1.
Results of PM emissions under four rain conditions and two simulation scenarios.
According to Figure 1, Scenario 1 has minimal PM emissions under the very light rain condition and has maximal value of PM emissions under the heavy rain condition. When compared with the very light rain condition, PM emissions increase by 52.49%, 7.55%, and 144.17% under light rain, moderate rain, and heavy rain conditions, respectively. In Scenario 2, minimal PM emissions were observed under the moderate rain condition, whereas a maximal value was observed under the heavy rain condition. When compared with the moderate rain condition, the PM emissions increased by 11.29%, 40.90%, and 72.55% under the very light rain, light rain, and heavy rain conditions, respectively. Based on these observations, it can be found that the difference in PM emissions between light rain and moderate rain is relatively small for both scenarios. It indicates that the impacts of both light rain and moderate rain on PM emissions are similar.
In addition, it is necessary to compare the results of PM emissions across different simulation scenarios under constant rain conditions in order to examine the characteristic relationship concerning acceleration and deceleration car-following behavior. As can be observed from Figure 1, there are notable differences in the PM emissions among various simulation scenarios across four rain conditions. Specifically, Scenario 1 shows the minimum amount of PM emissions, while Scenario 2 portrays the maximum value. As previously noted, Scenario 1 and Scenario 2 correspond to the lowest and highest frequencies of acceleration and deceleration behavior. Therefore, there exists a significant correlation between car-following behavior during rainy conditions and PM emissions levels. This observation indicates that frequent acceleration and deceleration behaviors may lead to higher PM emissions during rainy weather.
Based on the above characteristics, we can propose a car-following strategy to smooth the acceleration and deceleration behaviors of vehicles on highways in rainy weather. Such a strategy for CAVs has the potential capability to considerably reduce PM emissions, which will be discussed in the following section.
4. Car-Following Strategy for CAVs to Reduce PM Emissions
In this section, we propose a CAV car-following strategy designed to reduce vehicle PM emissions on highways in rainy weather. During car-following behavior, acceleration and deceleration actions can often result in speed fluctuations among vehicles. According to traffic flow theory, these speed fluctuations tend to propagate backward along the platoon, ultimately causing instability in the traffic flow [75,76,77]. Therefore, this section aims to explore a CAV car-following strategy that can reduce PM emissions under rain conditions by enhancing traffic flow stability through the smoothing of speed fluctuations.
4.1. Stabilizing the Traffic Flow with CAVs
To propose the CAV car-following strategy, it is necessary to analyze the stability of the traffic flow. The car-following behaviors of vehicles in traffic flow can be uniformly expressed as follows:
where f is the general car-following law, is the spacing between the preceding and following vehicles, is the speed of the following vehicle n, is the speed of the preceding vehicle n − 1, vn(t) is the speed of vehicle n at time t, xn(t) is the location of vehicle n at time t, τ is the response time, vn(t + τ) is the speed of vehicle n at time t + τ, vn−1(t) is the speed of vehicle n − 1 at time t, and xn−1(t) is the location of vehicle n − 1 at time t.
For a stability analysis of the traffic flow, we considered the traffic system as a closed mathematical system, where the relationship between the speeds and positions of the vehicles can be expressed as follows:
where vn(t) is the speed of vehicle n at time t, xn(t) is the location of vehicle n at time t, τ is the response time, vn(t + τ) is the speed of vehicle n at time t + τ, and xn(t + τ) is the location of vehicle n at time t + τ.
Then, we can rewrite Equation (5) as
where vn(t) is the speed of vehicle n at time t, xn(t) is the location of vehicle n at time t, τ is the response time, vn(t + τ) is the speed of vehicle n at time t + τ, and xn(t + τ) is the location of vehicle n at time t + τ.
Substituting Equation (4) into Equation (6), we obtain the following:
where vn(t) is the speed of vehicle n at time t, xn(t) is the location of vehicle n at time t, f is the general car-following law, τ is the response time, vn−1(t) is the speed of vehicle n − 1 at time t, xn−1(t) is the location of vehicle n − 1 at time t, and xn(t + τ) is the location of vehicle n at time t + τ.
Because x(t + τ) and v(t + τ) are determined by x(t) and v(t), we can define tm = t0 + mτ, xm,n = xn(tm), and vm,n = vn(tm) with the subscript m representing time interval. Then, Equations (4) and (7) can be transformed as follows:
where xm,n is the location of vehicle n at time tm, vm,n is the speed of vehicle n at time tm, f is the general car-following law, τ is the response time, xm+1,n is the location of vehicle n at time tm+1, xm,n−1 is the location of vehicle n − 1 at time tm, vm,n−1 is the speed of vehicle n − 1 at time tm, and vm+1,n is the speed of vehicle n at time tm+1.
At an equilibrium state of traffic flow, all vehicles in the platoon travel at the equilibrium speed v* and maintain an equilibrium spacing s*. At this point, the relationships between speed, position, and spacing can be written as follows:
where v* is the equilibrium speed, s* is the equilibrium spacing, xm,n is the location of vehicle n at time tm, vm,n is the speed of vehicle n at time tm, sm+1,n is the spacing of vehicle n at time tm+1, x0 is the location of vehicle n when t = 0, m is the time interval, τ is the response time, n is the vehicle number, xm+1,n is the location of vehicle n at time tm+1, and xm+1,n−1 is the location of vehicle n − 1 at time tm+1.
We substitute Equation (9) into Equation (8) to calculate
where vm,n is the speed of vehicle n at time tm, sm,n is the spacing of vehicle n at time tm, f is the general car-following law, τ is the response time, vm,n−1 is the speed of vehicle n − 1 at time tm, vm,n−2 is the speed of vehicle n − 2 at time tm, vm+1,n is the speed of vehicle n at time tm+1, sm+1,n is the spacing of vehicle n at time tm+1, and sm,n−1 is the spacing of vehicle n − 1 at time tm.
We proceed to define the spacing and speed disturbances as follows:
where and are the spacing disturbance and speed disturbance, respectively, v* is the equilibrium speed, s* is the equilibrium spacing, vm,n is the speed of vehicle n at time tm, and sm,n is the spacing of vehicle n at time tm
Substituting Equation (11) into Equation (10) and expanding the result using the first-order Taylor’s formula, we can obtain the following:
where and are the spacing disturbance and speed disturbance, respectively; f is the general car-following law; τ is the response time; and , , and are partial derivatives of the car-following model with respect to the spacing, speed of the following vehicle, and speed of the leading vehicle, respectively. These three partial derivatives are calculated as follows:
where is the spacing between preceding and following vehicles, is the speed of the following vehicle n, is the speed of the preceding vehicle n − 1, v* is the equilibrium speed, and s* is the equilibrium spacing.
Based on a previous study [77], we have , , and .
In substituting Equation (13) into the Gipps car-following model and solving the result at equilibrium, the following relationship can be obtained:
where bn is the braking deceleration of vehicle n, bn−1 is the braking deceleration of vehicle n − 1, τ is the response time, and v* is the equilibrium speed.
Expanding the spacing disturbance and speed disturbance in the discrete Fourier series with wave numbers k = 0, 1, 2, …, n − 1 yields the following:
where re( ) is the Fourier transform, and are the spacing disturbance and speed disturbance, respectively, cs and cv are complex constants, λ is an eigenvalue, and ω is a unit-magnitude complex parameter that is defined as follows:
where and i are parameters, and k is the wave number.
Substituting Equation (15) into Equation (12), we obtain:
where cs and cv are complex constants; λ is an eigenvalue; ω is a unit-magnitude complex parameter; and , , and are partial derivatives of the car-following model with respect to the spacing, speed of the following vehicle, and speed of the leading vehicle, respectively.
According to Equation (17), we can further calculate the following:
where cs and cv are complex constants; λ is an eigenvalue; ω is a unit-magnitude complex parameter; , , and are partial derivatives of the car-following model with respect to the spacing, speed of the following vehicle, and speed of the leading vehicle, respectively; and τ is the response time.
We eliminate cs and cv from Equation (18) to simplify as follows:
where λ is an eigenvalue; ω is a unit-magnitude complex parameter; , , and are partial derivatives of the car-following model with respect to the spacing, speed of the following vehicle, and speed of the leading vehicle, respectively; and τ is the response time.
For any given parameter values and wave numbers, Equation (19) can be used to solve for λ. The modulus of the eigenvalue λ determines the stability conditions of the traffic flow. If |λ| < 1, disturbances decay, indicating stable traffic flow conditions. Conversely, if |λ| > 1, disturbances grow, indicating instability in the traffic flow. Previous research results [78] indicate that max(|λ−|, |λ+|) reaches its maximum value at ξ = π. When ξ = π, traffic flow is in the most unstable condition. Therefore, the stability of the traffic flow is determined by whether the traffic flow is stable at ξ = π. Then, substituting ξ = π (which makes ω = −1) into Equation (19) yields
where λ is an eigenvalue; , , and are partial derivatives of the car-following model with respect to the spacing, speed of the following vehicle, and speed of the leading vehicle, respectively; and τ is the response time.
In solving Equation (20), the following can be obtained:
where λ is an eigenvalue; , , and are partial derivatives of the car-following model with respect to the spacing, speed of the following vehicle, and speed of the leading vehicle, respectively; and τ is the response time.
Because of in Equation (21), we have
where , , and are partial derivatives of the car-following model with respect to the spacing, speed of the following vehicle, and speed of the leading vehicle, respectively, and τ is the response time.
Based on Equation (22), it is known that both roots obtained from Equation (21) are less than 1. Therefore, the instability onset of traffic flow is determined by λ = −1. Substituting λ = −1 into Equation (22) yields
where and are partial derivatives of the car-following model with respect to the speed of the following vehicle and speed of the leading vehicle, respectively,
Substituting Equation (14) into Equation (23) obtains the following:
where bn is the braking deceleration of vehicle n, bn−1 is the braking deceleration of vehicle n − 1, τ is the response time, and v* is the equilibrium speed.
Equation (24) determines a functional relationship among the corresponding parameters when traffic flow is at the critical state between stability and instability. Since the right-hand side of Equation (24) is greater than 0, when Equation (24) holds, it is necessary to ensure that bn−1 − bn > 0. Moreover, considering the physical meaning of bn, reducing bn exacerbates the growth of disturbances in the traffic flow. Meanwhile, reducing bn causes an increase in the left-hand side of Equation (24), which can result in that the left-hand side is greater than the right-hand side.
Therefore, an instability constraint of traffic flow can be derived as follows:
where bn is the braking deceleration of vehicle n, bn−1 is the braking deceleration of vehicle n − 1, τ is the response time, and v* is the equilibrium speed.
From Equation (25), it is evident that bn−1 < bn is a sufficient condition for traffic flow stability under the control of the Gipps car-following model. Increasing bn is conducive to improving traffic flow stability.
Regarding CAVs, they can obtain the preceding vehicle’s deceleration through vehicle-to-vehicle (V2V) communication technology and control bn based on bn−1 to achieve the smoothed speeds of traffic flow. Hence, the CAV car-following strategy is proposed as follows:
where vn(t) is the speed of vehicle n at time t, vn(t + τ) is the speed of vehicle n at time t + τ, vn−1(t) is the speed of vehicle n − 1 at time t, bn is the braking deceleration of vehicle n, bn−1 is the braking deceleration of vehicle n − 1, τ is the response time, sn(t) is the following distance of vehicle n at time t, and d is the following distance at stop.
Utilizing the CAV car-following strategy proposed in Equation (26), we can mitigate speed fluctuations during car-following behavior on highways in rainy weather, thereby having a potential capability to reduce PM emissions.
4.2. Validating the Effectiveness of the Proposed Strategy
To validate the effectiveness of the proposed CAV car-following strategy, we conducted the same simulation experiment to compare the levels of PM emissions with and without the strategy. With the proposed strategy, all CAVs within the platoon are controlled to deal with the speed trajectory of the lead vehicle. The performance outcomes of the CAVs are compared with those of traditional vehicles that lack the strategy in Section 3.
4.2.1. Effectiveness for Smoothing Speed Fluctuations
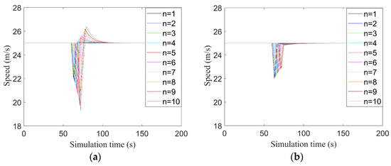
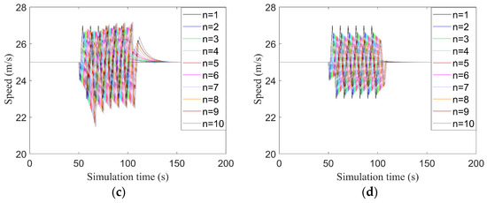
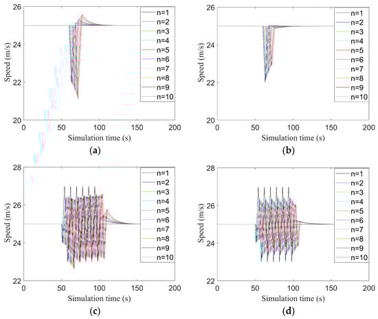
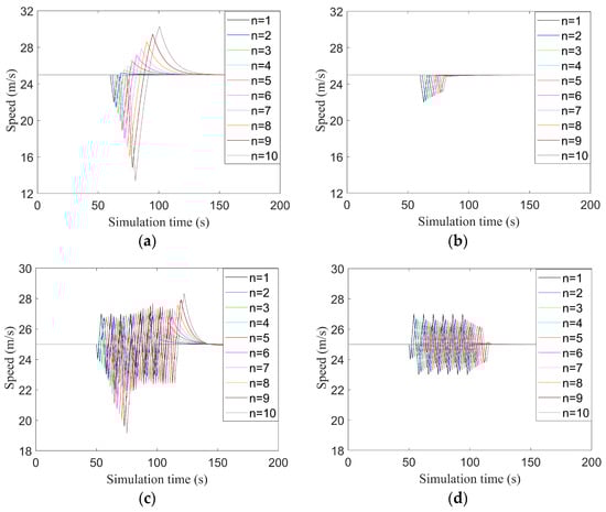
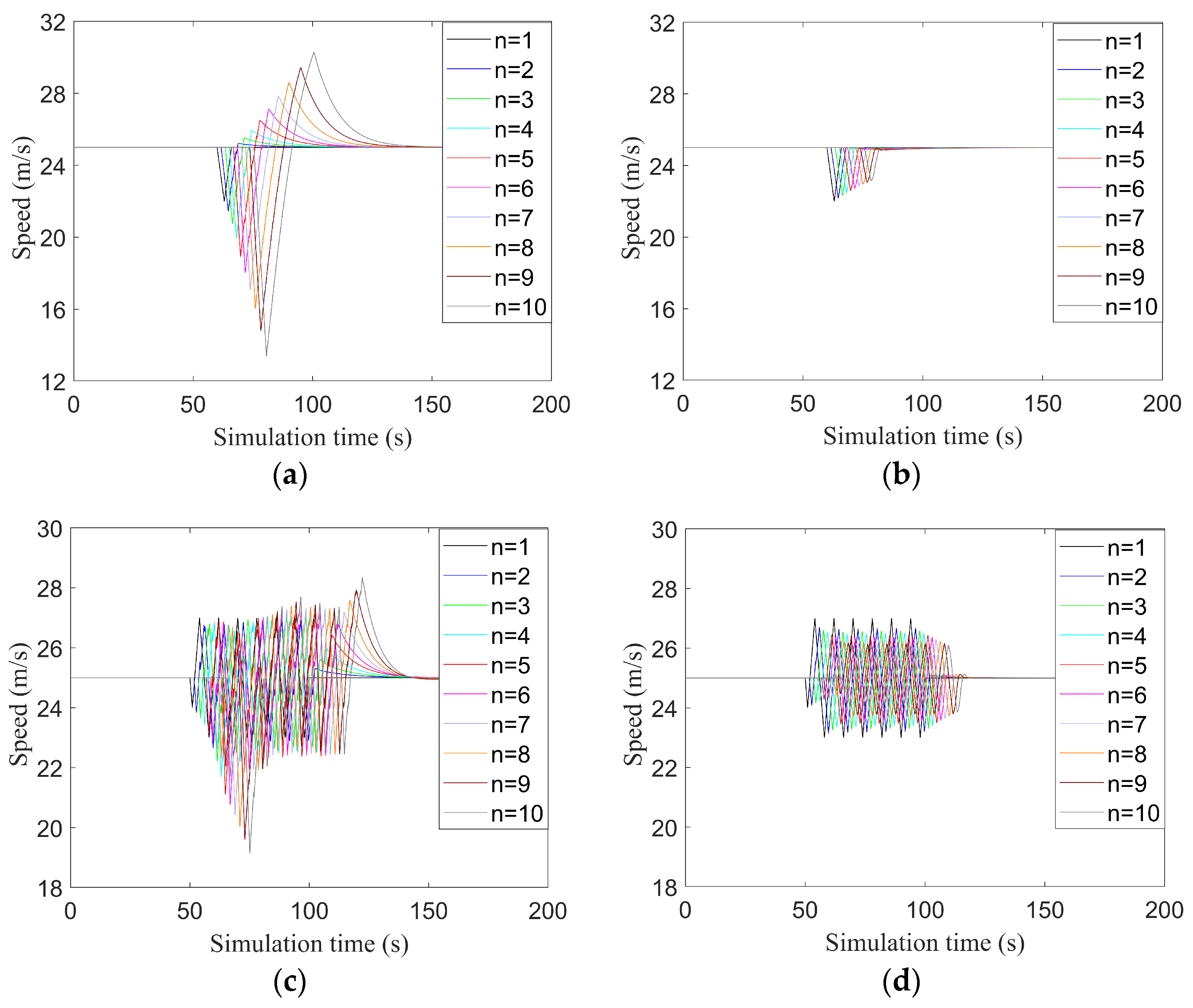
For each scenario, we compare the speed fluctuations of CAVs equipped with the proposed car-following strategy to those of traditional vehicles without the strategy across four different rain conditions, as shown in Figure 2, Figure 3, Figure 4 and Figure 5. In Figure 2, we present a comparison under the very light rain condition, while Figure 3 showcases a comparison under the light rain condition. For the moderate rain condition, we refer to Figure 4, whereas Figure 5 examines comparisons under the heavy rain condition. These figures label vehicles in the platoon from n = 1 as the lead to n = 10 as the tail.
Figure 2.
Speed fluctuations with and without the strategy under the very light rain condition. (a) Scenario 1 without strategy. (b) Scenario 1 with strategy. (c) Scenario 2 without strategy. (d) Scenario 2 with strategy.

Figure 3.
Speed fluctuations with and without the strategy under the light rain condition. (a) Scenario 1 without strategy. (b) Scenario 1 with strategy. (c) Scenario 2 without strategy. (d) Scenario 2 with strategy.
Figure 4.
Speed fluctuations with and without the strategy under the moderate rain condition. (a) Scenario 1 without strategy. (b) Scenario 1 with strategy. (c) Scenario 2 without strategy. (d) Scenario 2 with strategy.
Figure 5.
Speed fluctuations with and without the strategy under the heavy rain condition. (a) Scenario 1 without strategy. (b) Scenario 1 with strategy. (c) Scenario 2 without strategy. (d) Scenario 2 with strategy.
It was found that the CAV car-following strategy can smooth speed fluctuations well over time under the various rain conditions and scenarios, compared with traditional vehicles without this strategy. By smoothing speed fluctuations, CAVs equipped with the proposed strategy will reduce PM emissions, which is discussed in the next section.
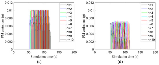
4.2.2. Effectiveness for Reducing PM Emissions
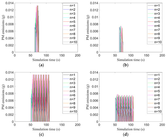
For each scenario across four rain conditions, we proceeded to compare the PM emissions of CAVs with the proposed car-following strategy to those of traditional vehicles without this strategy. In Figure 6, Figure 7, Figure 8 and Figure 9, comparisons of instantaneous PM emissions over time are presented.
Figure 6.
PM emissions with and without the strategy under the very light rain condition. (a) Scenario 1 without strategy. (b) Scenario 1 with strategy. (c) Scenario 2 without strategy. (d) Scenario 2 with strategy.
Figure 7.
PM emissions with and without the strategy under the light rain condition. (a) Scenario 1 without strategy. (b) Scenario 1 with strategy. (c) Scenario 2 without strategy. (d) Scenario 2 with strategy.
Figure 8.
PM emissions with and without the strategy under the moderate rain condition. (a) Scenario 1 without strategy. (b) Scenario 1 with strategy. (c) Scenario 2 without strategy. (d) Scenario 2 with strategy.

Figure 9.
PM emissions with and without the strategy under the heavy rain condition. (a) Scenario 1 without strategy (b) Scenario 1 with strategy. (c) Scenario 2 without strategy (d) Scenario 2 with strategy.
In Figure 6, Figure 7, Figure 8 and Figure 9, it can be seen that under the proposed CAV car-following strategy, the PM emissions for each rainy condition show a significant reduction. Additionally, in the same scenario and rainy condition, speed fluctuations over time exhibit a trend similar to the fluctuations in the PM emissions over time. Therefore, it can be inferred that the proposed CAV car-following strategy can effectively smooth speed fluctuations, subsequently reducing PM emissions.
To further quantitatively analyze the effectiveness of the proposed CAV car-following strategy, PM emissions were calculated as a reduction percentage from the baseline of the PM emissions of traditional vehicles without this strategy. The results are shown in Table 4. It can be observed that the average reductions in PM emissions through the CAV car-following strategy were 41.07%, 59.46%, 49.60%, and 71.66%, respectively, under the very light rain, light rain, moderate rain, and heavy rain conditions.
Table 4.
PM emissions reductions.
5. Discussion
Based on simulation experiments of the car-following model and the PM emission model, we conducted an analysis of the impact of different rainy weather conditions on PM emissions. Subsequently, we propose a CAV car-following strategy involving stabilizing the traffic flow. Through a comparison of speed fluctuations and PM emissions before and after the proposed strategy, we identified a significant correlation between speed fluctuations and PM emissions. Moreover, the proposed strategy can effectively mitigate speed fluctuations, consequently reducing PM emissions in rainy weather.
These findings hold practical significance for contemporary environmental governance. Firstly, analyzing PM emission characteristics in different rainy weather conditions contributes to assessing PM quality fluctuations in rainy weather. This aids in formulating more effective strategies for preventing and controlling PM emissions. Secondly, the proposed strategy can be beneficial in enhancing air quality in rainy weather and promoting sustainable development. Thirdly, the proposed strategy aligns with environmental regulations regarding vehicle emissions, aiding automotive manufacturers in meeting the increasingly stringent PM emission standards of vehicles. Additionally, the proposed strategy primarily controls the deceleration of the following vehicle based on the leading vehicle’s deceleration. In comparison to trajectory optimization, eco-driving, machine learning algorithms, and other CAV control strategies, it boasts the advantages of simplicity in structure and ease of implementation. In the future, in utilizing on-board and road-testing units, the real-time detection of the deceleration of the leading and following vehicles can be used to realize the proposed strategy, aiming to smooth speed fluctuations and reduce PM emissions.
It is essential to highlight that we utilized an established PM emission model for calculating PM emissions in rainy weather. This model, relying on the instantaneous speed and acceleration of passenger cars as inputs, effectively produces corresponding PM emission outputs, and demonstrates commendable generalization and robustness. Moreover, it is currently employed by numerous scholars for the analysis of PM emissions in traffic flows, as evidenced by works such as those of Yang et al. [62], Wang et al. [70], and Ma et al. [74]. Besides the PM emission model, the car-following model of vehicles is also related to the PM analysis, because it will derive the instantaneous speeds and accelerations of vehicles. Following previous studies [2,22,59,63,73], the car-following model utilized in this paper was designed for passenger cars, leading to an exclusive analysis of PM emission characteristics specific to passenger cars. Moreover, the proposed strategy was tailored solely to passenger cars in rainy weather, lacking universal applicability. Given disparities in car-following behaviors among various vehicle types, a comprehensive analysis of the PM emission characteristics of different vehicle types in rainy weather demands the use of distinct car-following models to capture their car-following behaviors. Unfortunately, limited research exists on car-following models for different vehicle types in rainy conditions. The future focus will be on exploring car-following models for different vehicle types in rainy weather, accompanied by the proposition of relevant car-following strategies to enhance the research content of this paper.
In addition, due to technical limitations, the analysis and results of this paper are based on theoretical-level simulations, and we did not conduct real-world experiments to validate the effectiveness of the proposed CAV car-following strategy. This might result in potential disparities between anticipated outcomes and actual results [79]. Moving forward, we will explore the integration of the proposed CAV car-following strategy into actual experiments with real vehicles. This endeavor aims to uncover any disparities between anticipated outcomes and actual results.
6. Conclusions
In this study, we investigated the effects of rainy weather on highway PM emissions and presented a CAV car-following strategy that can mitigate them. Our proposed strategy has the ability to lower PM emissions under different rainy conditions. To achieve this, we employed a car-following model, calibrated with empirical data, to describe driving behavior during very light, light, moderate, and heavy rain. Using this model, we examined how rainy conditions affect the PM emissions of vehicles on a highway. Furthermore, we proposed a CAV car-following strategy from the perspective of stabilizing traffic flow. Through simulation experiments, we demonstrated the effectiveness of this strategy in smoothing speed fluctuations and reducing PM emissions. Based on our analysis, we arrived at several key conclusions, which are detailed below.
Rainy weather conditions can significantly affect the PM emissions of vehicles on highways. In Scenario 1, the lowest level of PM emissions was recorded during very light rain, whereas the highest level was observed during heavy rainfall. Compared to the very light rain condition, PM emissions increased by 52.49%, 7.55%, and 144.17% under light, moderate, and heavy rain, respectively. In Scenario 2, the PM emissions reached the lowest level during the moderate rain condition while peaking at their highest level during heavy rain. When contrasted against the baseline under moderate rain, PM emissions escalated by 11.29%, 40.90%, and 72.55% for the very light rain, light rain, and heavy rain conditions, respectively.
It was further found that PM emissions exhibit a strong correlation with speed fluctuations. When comparing various rain conditions in a given simulation scenario, we observed that rain conditions with higher speed fluctuations correspond to greater PM emissions. Additionally, when we examined the same rain condition in different scenarios, our findings indicated that the PM emissions in Scenario 2 were higher than those in Scenario 1. This difference can be attributed to the frequency of acceleration and deceleration, in terms of the larger speed fluctuations in Scenario 2.
The proposed CAV car-following strategy has the ability to effectively mitigate speed fluctuations, thereby resulting in a noticeable reduction in PM emissions. Based on the simulation experiments, the findings show that PM emissions can be reduced by 41.07%, 59.46%, 49.60%, and 71.66%, respectively, across the four different rainy weather conditions. These results illustrate the viability and effectiveness of the proposed strategy in mitigating the negative impacts of PM emissions in rainy weather.
The main contribution of this paper lies in proposing a car-following strategy for CAVs aimed at minimizing the PM emissions of vehicles on highways in rainy weather. By creating a more stable traffic flow and reducing speed fluctuations, this CAV strategy achieves its objective of reducing PM emissions. However, it is important to acknowledge the limitations of this paper. Due to the limited research on lane-changing behavior in rainy weather, the simulation scenarios in this paper are restricted to single-lane scenarios, and the potential influence of lane-changing behavior on PM emissions was not taken into account. Moving forward, we will continue to investigate this area of interest in order to further advance our understanding of the dynamics between driving behavior and PM emissions in different rainy weather conditions. In addition, we overlooked considerations of rain’s physical removal of PM emissions, which is another research line and presents an interesting research area. Our future investigations will delve into exploring this physical inhibition of PM in different rainy weather conditions. Meanwhile, inspired by Jia et al. [80], the role of biochar in reducing PM emissions is also attracting attention for future work.
Furthermore, the car-following model utilized is specific to diesel passenger cars in rainy weather. This study primarily focused on analyzing the PM emissions of diesel passenger cars and did not encompass other vehicle types. It is noteworthy that diesel passenger cars, being the most popular vehicle type on highways, have usually also been considered in previous studies on traffic flow characteristics [67,68,69]. While acknowledging the importance of analyzing PM emissions for other vehicle types, the authors note the absence of a rainy weather car-following model for such vehicle types, presenting a challenge in assessing their PM emissions. Future efforts will be dedicated to exploring car-following models for other vehicle types in rainy weather, with the aim of providing a comprehensive evaluation of PM emissions for different types of vehicles on highways in rainy weather.
Author Contributions
R.L.: Conceptualization, Methodology, Writing—Original Draft, Software, Investigation, and Formal Analysis. Y.Q.: Conceptualization, Methodology, Validation, and Writing—Review and Editing. All authors have read and agreed to the published version of the manuscript.
Funding
This research was funded by [the National Natural Science Foundation of China] grant number [52078070] And The APC was funded by [the National Natural Science Foundation of China (Grant No. 52078070)].
Institutional Review Board Statement
Not applicable.
Informed Consent Statement
Not applicable.
Data Availability Statement
No data was used for the research described in the article.
Conflicts of Interest
Author Renjie Li was employed by the company Carollo Engineers, Inc. The remaining authors declare that the research was conducted in the absence of any commercial or financial relationships that could be construed as a potential conflict of interest.
References
- Long, Y.; Huang, D.; Lei, T.; Zhang, H.; Wang, D.; Yoshida, Y. Spatiotemporal variation and determinants of carbon emissions generated by household private car. Transp. Res. Part D Transp. Environ. 2020, 87, 102490. [Google Scholar] [CrossRef]
- Silva, E.F.F.; de Melo, W.C.; Brasil, A.C. A submodel as a plug-in for the assessment of energy consumption and CO2 emissions in urban mobility plans. Sustainability 2023, 15, 16237. [Google Scholar] [CrossRef]
- Bisignano, A.; Carotenuto, F.; Zaldei, A.; Giovannini, L. Field calibration of a low-cost sensors network to assess traffic-related air pollution along the Brenner highway. Atmos. Environ. 2022, 275, 119008. [Google Scholar] [CrossRef]
- Jia, X.; Qin, X.; Zhu, J.; Xiao, Z.; Guo, W. Carbon emission pattern of driving car on vertical curves of highway. Sustainability 2023, 15, 6460. [Google Scholar] [CrossRef]
- Xu, H.; Cao, S.; Xu, X. The development of highway infrastructure and CO2 emissions: The mediating role of agglomeration. J. Clean. Prod. 2022, 337, 130501. [Google Scholar] [CrossRef]
- Cavallaro, F.; Nocera, S. Are transport policies and economic appraisal aligned in evaluating road externalities? Transp. Res. Part D Transp. Environ. 2022, 106, 103266. [Google Scholar] [CrossRef]
- Lee, W.S.; Tran, T.M.; Yu, L.B. Green infrastructure and air pollution: Evidence from highways connecting two megacities in China. J. Environ. Econ. Manag. 2023, 122, 102884. [Google Scholar] [CrossRef]
- Zeng, C.; Chai, B.; Stringer, L.C.; Li, Y.; Wang, Z.; Deng, X.; Ma, B.; Ren, J. Land-based transportation influences carbon emission in urbanized China: A regional spatial spillover perspective. Sustain. Cities Soc. 2024, 100, 105008. [Google Scholar] [CrossRef]
- Gemma, A.; Giannattasio, O.; Mannini, L. Motorway traffic emissions estimation through stochastic fundamental diagram. Sustainability 2023, 15, 9871. [Google Scholar] [CrossRef]
- Hassan, H.M.; Abdel-Aty, M.A. Analysis of drivers’ behavior under reduced visibility conditions using a structural equation modeling approach. Transp. Res. Part F Traffic Psychol. Behav. 2011, 14, 614–625. [Google Scholar] [CrossRef]
- Hamdar, S.H.; Qin, L.; Talebpour, A. Weather and road geometry impact on longitudinal driving behavior: Exploratory analysis using an empirically supported acceleration modeling framework. Transp. Res. Part C Emerg. Technol. 2016, 67, 193–213. [Google Scholar] [CrossRef]
- Ahmed, M.M.; Ghasemzadeh, A. The impacts of heavy rain on speed and headway Behaviors: An investigation using the SHRP2 naturalistic driving study data. Transp. Res. Part C Emerg. Technol. 2018, 91, 371–384. [Google Scholar] [CrossRef]
- Yeo, J.; Lee, J.; Jang, K. The effects of rainfall on driving behaviors based on driving volatility. Int. J. Sustain. Transp. 2021, 15, 435–443. [Google Scholar] [CrossRef]
- Jiang, R.; Jin, C.J.; Zhang, H.M.; Huang, Y.X.; Tian, J.F.; Wang, W.; Hu, M.-B.; Wang, H.; Jia, B. Experimental and empirical investigations of traffic flow instability. Transp. Res. Part C Emerg. Technol. 2018, 94, 83–98. [Google Scholar] [CrossRef]
- Han, J.; Wang, X.; Shi, H.; Wang, B.; Wang, G.; Chen, L.; Wang, Q. Research on the impacts of vehicle type on car-following behavior, fuel consumption and exhaust emission in the V2X environment. Sustainability 2022, 14, 15231. [Google Scholar] [CrossRef]
- Barth, M.; Boriboonsomsin, K. Real-world carbon dioxide impacts of traffic congestion. Transp. Res. Rec. 2008, 2058, 163–171. [Google Scholar] [CrossRef]
- Song, G.; Yu, L.; Xu, L. Comparative analysis of car-following models for emissions estimation. Transp. Res. Rec. 2013, 2341, 12–22. [Google Scholar] [CrossRef]
- Li, Y.; Zheng, J.; Li, Z.; Yuan, L.; Yang, Y.; Li, F. Re-estimating CO2 emission factors for gasoline passenger cars adding driving behaviour characteristics: A case study of Beijing. Energy Policy 2017, 102, 353–361. [Google Scholar] [CrossRef]
- Wang, J.; Rakha, H.A.; Fadhloun, K. Validation of the Rakha-Pasumarthy-Adjerid car-following model for vehicle fuel consumption and emission estimation applications. Transp. Res. Part D Transp. Environ. 2017, 55, 246–261. [Google Scholar] [CrossRef]
- Liu, C.; Susilo, Y.O.; Karlström, A. Estimating changes in transport CO2 emissions due to changes in weather and climate in Sweden. Transp. Res. Part D Transp. Environ. 2016, 49, 172–187. [Google Scholar] [CrossRef]
- Bandeira, J.M.; Macedo, E.; Fernandes, P.; Rodrigues, M.; Andrade, M.; Coelho, M.C. Potential pollutant emission effects of connected and automated vehicles in a mixed traffic flow context for different road types. IEEE Open J. Intell. Transp. Syst. 2021, 2, 364–383. [Google Scholar] [CrossRef]
- Pribyl, O.; Blokpoel, R.; Matowicki, M. Addressing EU climate targets: Reducing CO2 emissions using cooperative and automated vehicles. Transp. Res. Part D Transp. Environ. 2020, 86, 102437. [Google Scholar] [CrossRef]
- Samimi Abianeh, A.; Burris, M.; Talebpour, A.; Sinha, K. The impacts of connected vehicle technology on network-wide traffic operation and fuel consumption under various incident scenarios. Transp. Plan. Technol. 2020, 43, 293–312. [Google Scholar] [CrossRef]
- Wang, Z.; Xu, L.; Ma, J. Carbon dioxide emission reduction-oriented optimal control of traffic signals in mixed traffic flow based on deep reinforcement learning. Sustainability 2023, 15, 16564. [Google Scholar] [CrossRef]
- Wang, J.; Yu, H.; Chen, S.; Ye, Z.; Ren, Y. Heterogeneous traffic flow signal control and CAV trajectory optimization based on pre-signal lights and dedicated CAV lanes. Sustainability 2023, 15, 15295. [Google Scholar] [CrossRef]
- Bai, Z.; Hao, P.; Shangguan, W.; Cai, B.; Barth, M.J. Hybrid reinforcement learning-based eco-driving strategy for connected and automated vehicles at signalized intersections. IEEE Trans. Intell. Transp. Syst. 2022, 23, 15850–15863. [Google Scholar] [CrossRef]
- He, X.; Wu, X. Eco-driving advisory strategies for a platoon of mixed gasoline and electric vehicles in a connected vehicle system. Transp. Res. Part D Transp. Environ. 2018, 63, 907–922. [Google Scholar] [CrossRef]
- Ghiasi, A.; Li, X.; Ma, J. A mixed traffic speed harmonization model with connected autonomous vehicles. Transp. Res. Part C Emerg. Technol. 2019, 104, 210–233. [Google Scholar] [CrossRef]
- Picone, M.; Carteni, A. Users’ propensity to use self-driving systems of SAE automation level 1 and 2 cars: Results of an Italian survey. WSEAS Trans. Environ. Dev. 2023, 19, 479–488. [Google Scholar] [CrossRef]
- Cartenì, A. The acceptability value of autonomous vehicles: A quantitative analysis of the willingness to pay for shared autonomous vehicles (SAVs) mobility services. Transp. Res. Interdiscip. Perspect. 2020, 8, 100224. [Google Scholar] [CrossRef]
- Cascetta, E.; Carteni, A.; Di Francesco, L. Do autonomous vehicles drive like humans? a turing approach and an application to SAE automation level 2 cars. Transp. Res. Part C Emerg. Technol. 2022, 134, 103499. [Google Scholar] [CrossRef]
- Chikaraishi, M.; Khan, D.; Yasuda, B.; Fujiwara, A. Risk perception and social acceptability of autonomous vehicles: A case study in Hiroshima, Japan. Transp. Policy 2020, 98, 105–115. [Google Scholar] [CrossRef]
- Gao, K.; Tu, H.; Sun, L.; Sze, N.N.; Song, Z.; Shi, H. Impacts of reduced visibility under hazy weather condition on collision risk and car-following behavior: Implications for traffic control and management. Int. J. Sustain. Transp. 2020, 14, 635–642. [Google Scholar] [CrossRef]
- Huang, Y.; Yan, X.; Li, X.; Yang, J. Using a multi-user driving simulator system to explore the patterns of vehicle fleet rear-end collisions occurrence under different foggy conditions and speed limits. Transp. Res. Part F Traffic Psychol. Behav. 2020, 74, 161–172. [Google Scholar] [CrossRef]
- Huang, Y.; Yan, X.; Li, X.; Duan, K.; Rakotonirainy, A.; Gao, Z. Improving car-following model to capture unobserved driver heterogeneity and following distance features in fog condition. Transp. A Transp. Sci. 2022, 10, 2048917. [Google Scholar] [CrossRef]
- Hammit, B.E.; Ghasemzadeh, A.; James, R.M.; Ahmed, M.M.; Young, R.K. Evaluation of weather-related freeway car-following behavior using the SHRP2 naturalistic driving study database. Transp. Res. Part F Traffic Psychol. Behav. 2018, 59, 244–259. [Google Scholar] [CrossRef]
- Rahman, A.; Lownes, N.E. Analysis of rainfall impacts on platooned vehicle spacing and speed. Transp. Res. Part F Traffic Psychol. Behav. 2012, 15, 395–403. [Google Scholar] [CrossRef]
- FHWA Road Weather Management Program. How Do Weather Events Impact Roads? 2009. Available online: http://ops.fhwa.dot.gov/Weather/q1_roadimpact.htm (accessed on 27 February 2024).
- Ibrahim, A.T.; Hall, F.L. Effect of adverse weather conditions on speed-flow-occupancy relationships. Transp. Res. Rec. J. Transp. Res. Board 1994, 1457, 184–191. [Google Scholar]
- Bikmetov, R.; Lim, C.; Bikmetova, N.; Kazi, K.; Raja, M.Y.A. Simulation-based analytical framework for M2M autonomous charging infrastructure. IEEE Trans. Eng. Manag. 2021, 70, 4133–4143. [Google Scholar] [CrossRef]
- Noh, B.; Yeo, H. A novel method of predictive collision risk area estimation for proactive pedestrian accident prevention system in urban surveillance infrastructure. Transp. Res. Part C Emerg. Technol. 2022, 137, 103570. [Google Scholar] [CrossRef]
- Yu, F.; Xiu, X.; Li, Y. A survey on deep transfer learning and beyond. Mathematics 2022, 10, 3619. [Google Scholar] [CrossRef]
- Zhai, C.; Xu, Y.; Li, K.; Zhang, R.; Peng, T.; Zong, C.; Xu, H. Periodic intermittent cruise control: An innovative approach for reducing fuel consumption and exhaust emissions in road traffic systems. Process Saf. Environ. Prot. 2023, 177, 1197–1210. [Google Scholar] [CrossRef]
- Wang, Z.D.; Chen, X.Q.; Ouyang, Y.F.; Li, M. Emission mitigation via longitudinal control of intelligent vehicles in a congested platoon. Comput.-Aided Civ. Infrastruct. Eng. 2015, 30, 490–506. [Google Scholar] [CrossRef]
- Makridis, M.; Mattas, K.; Mogno, C.; Ciuffo, B.; Fontaras, G. The impact of automation and connectivity on traffic flow and CO2 emissions. A detailed microsimulation study. Atmos. Environ. 2020, 226, 117399. [Google Scholar] [CrossRef]
- Aljamal, M.A.; Abdelghaffar, H.M.; Rakha, H.A. Estimation of traffic stream density using connected vehicle data: Linear and nonlinear filtering approaches. Sensors 2020, 20, 4066. [Google Scholar] [CrossRef] [PubMed]
- Kopelias, P.; Demiridi, E.; Vogiatzis, K.; Skabardonis, A.; Zafiropoulou, V. Connected & autonomous vehicles–Environmental impacts—A review. Sci. Total Environ. 2020, 712, 135237. [Google Scholar] [PubMed]
- Huang, L.; Zhai, C.; Wang, H.; Zhang, R.; Qiu, Z.; Wu, J. Cooperative adaptive cruise control and exhaust emission evaluation under heterogeneous connected vehicle network environment in urban city. J. Environ. Manag. 2020, 256, 109975. [Google Scholar] [CrossRef] [PubMed]
- Chandra, S.; Camal, F. A simulation-based evaluation of connected vehicle technology for emissions and fuel consumption. Procedia Eng. 2016, 145, 296–303. [Google Scholar] [CrossRef]
- Obaid, L.; Alattieh, S.A.; Abdallah, M.; Hamad, K. Environmental impacts of the transition to automated vehicles: A life cycle perspective. Sustain. Mater. Technol. 2023, 38, e00725. [Google Scholar] [CrossRef]
- Xiong, X.; Sha, J.; Jin, L. Optimizing coordinated vehicle platooning: An analytical approach based on stochastic dynamic programming. Transp. Res. Part B Methodol. 2021, 150, 482–502. [Google Scholar] [CrossRef]
- Fakhfakh, S.; Jankovic, M.; Hein, A.M.; Chazal, Y. Early stakeholder modeling and analysis: New mobility services (Product Service Systems of Systems). Syst. Eng. 2023, 1–17. [Google Scholar] [CrossRef]
- Jiang, L.; Chen, H.; Chen, Z. City readiness for connected and autonomous vehicles: A multi-stakeholder and multi-criteria analysis through analytic hierarchy process. Transp. Policy 2022, 128, 13–24. [Google Scholar] [CrossRef]
- Feys, M.; Rombaut, E.; Macharis, C.; Vanhaverbeke, L. Understanding stakeholders’ evaluation of autonomous vehicle services complementing public transport in an urban context. In Proceedings of the 2020 Forum on Integrated and Sustainable Transportation Systems (FISTS), Delft, The Netherlands, 3–5 November 2020; IEEE: Piscataway, NJ, USA; pp. 341–346. [Google Scholar]
- Graf, A.; Sonnberger, M. Responsibility, rationality, and acceptance: How future users of autonomous driving are constructed in stakeholders’ sociotechnical imaginaries. Public Underst. Sci. 2020, 29, 61–75. [Google Scholar] [CrossRef] [PubMed]
- Kacperski, C.; Vogel, T.; Kutzner, F. Ambivalence in stakeholders’ views on connected and autonomous vehicles. In International Conference on Human Computer Interaction; Springer: Cham, Switzerland, 2020; pp. 46–57. [Google Scholar]
- Shibayama, T.; Pungillo, G.; Lemmerer, H.; Nocera, S. Stakeholder involvement in decision-making process: A test assessment towards transition to autonomous vehicles. Transp. Res. Procedia 2020, 48, 2550–2568. [Google Scholar] [CrossRef]
- Shang, W.L.; Zhang, M.; Wu, G.; Yang, L.; Fang, S.; Ochieng, W. Estimation of traffic energy consumption based on macro-micro modelling with sparse data from Connected and Automated Vehicles. Appl. Energy 2023, 351, 121916. [Google Scholar] [CrossRef]
- Zhou, B.; He, L.; Zhang, S.; Wang, R.; Zhang, L.; Li, M.; Liu, Y.; Zhang, S.; Wu, Y.; Hao, J. Variability of fuel consumption and CO2 emissions of a gasoline passenger car under multiple in-laboratory and on-road testing conditions. J. Environ. Sci. 2023, 125, 266–276. [Google Scholar] [CrossRef]
- Wang, X.; Zhang, J.; Li, H.; He, Z. A mixed traffic car-following behavior model. Phys. A Stat. Mech. Its Appl. 2023, 632, 129299. [Google Scholar] [CrossRef]
- Jin, S.; Sun, D.H.; Zhao, M.; Li, Y.; Chen, J. Modeling and stability analysis of mixed traffic with conventional and connected automated vehicles from cyber physical perspective. Phys. A Stat. Mech. Its Appl. 2020, 551, 124217. [Google Scholar] [CrossRef]
- Fernandes, P.; Ferreira, E.; Amorim, P.; Coelho, M.C. Comparing different approaches for estimating tailpipe emissions in passenger cars. Transp. Res. Procedia 2022, 62, 509–516. [Google Scholar] [CrossRef]
- Qin, Y.; Wang, H.; Ran, B. Impacts of cooperative adaptive cruise control platoons on emissions under traffic oscillation. J. Intell. Transp. Syst. 2021, 25, 376–383. [Google Scholar] [CrossRef]
- James, R.M.; Hammit, B.E.; Boyles, S.D. Methods to obtain representative car-following model parameters from trajectory-level data for use in microsimulation. Transp. Res. Rec. 2019, 2673, 62–73. [Google Scholar] [CrossRef]
- Díaz, S.; Mock, P.; Bernard, Y.; Bieker, G.; Pniewska, I.; Ragon, P.; Rodríguez, F.; Tietge, U.; Wappelhorst, S. European Vehicle Market Statistics 2020/21; International Council on Clean Transportation: Washington, DC, USA, 2020. [Google Scholar]
- Tzamkiozis, T.; Ntziachristos, L.; Samaras, Z. Diesel passenger car PM emissions: From Euro 1 to Euro 4 with particle filter. Atmos. Environ. 2010, 44, 909–916. [Google Scholar] [CrossRef]
- Cen, X.; Lo, H.K.; Li, L. A framework for estimating traffic emissions: The development of passenger car emission unit. Transp. Res. Part D Transp. Environ. 2016, 44, 78–92. [Google Scholar] [CrossRef]
- Kuppili, S.K.; Alshetty, V.D.; Diya, M.; Nagendra, S.S.; Ramadurai, G.; Ramesh, A.; Gulia, S.; Namdeo, A.; Maji, K.; Bell, M.; et al. Characteristics of real-world gaseous exhaust emissions from cars in heterogeneous traffic conditions. Transp. Res. Part D Transp. Environ. 2021, 95, 102855. [Google Scholar] [CrossRef]
- Chandrashekar, C.; Chatterjee, P.; Pawar, D.S. Estimation of CO2 and CO emissions from auto-rickshaws in Indian heterogeneous traffic. Transp. Res. Part D Transp. Environ. 2022, 104, 103202. [Google Scholar] [CrossRef]
- Smit, R.; Ntziachristos, L.; Boulter, P. Validation of road vehicle and traffic emission models–a review and meta-analysis. Atmos. Environ. 2010, 44, 2943–2953. [Google Scholar] [CrossRef]
- Grote, M.; Williams, I.; Preston, J.; Kemp, S. Including congestion effects in urban road traffic CO2 emissions modelling: Do local government authorities have the right options? Transp. Res. Part D Transp. Environ. 2016, 43, 95–106. [Google Scholar] [CrossRef]
- Abou-Senna, H.; Radwan, E.; Westerlund, K.; Cooper, C.D. Using a traffic simulation model (VISSIM) with an emissions model (MOVES) to predict emissions from vehicles on a limited-access highway. J. Air Waste Manag. Assoc. 2013, 63, 819–831. [Google Scholar] [CrossRef]
- Panis, L.I.; Broekx, S.; Liu, R. Modelling instantaneous traffic emission and the influence of traffic speed limits. Sci. Total Environ. 2006, 371, 270–285. [Google Scholar] [CrossRef]
- Forehead, H.; Huynh, N. Review of modelling air pollution from traffic at street-level-The state of the science. Environ. Pollut. 2018, 241, 775–786. [Google Scholar] [CrossRef]
- Bouadi, M.; Jia, B.; Jiang, R.; Li, X.; Gao, Z. Stochastic factors and string stability of traffic flow: Analytical investigation and numerical study based on car-following models. Transp. Res. Part B Methodol. 2022, 165, 96–122. [Google Scholar] [CrossRef]
- Montanino, M.; Punzo, V. On string stability of a mixed and heterogeneous traffic flow: A unifying modelling framework. Transp. Res. Part B Methodol. 2021, 144, 133–154. [Google Scholar] [CrossRef]
- Qin, Y.; Luo, Q.; Wang, H. Stability analysis and connected vehicles management for mixed traffic flow with platoons of connected automated vehicles. Transp. Res. Part C Emerg. Technol. 2023, 157, 104370. [Google Scholar] [CrossRef]
- Wilson, R.E. An analysis of Gipps’s car-following model of highway traffic. IMA J. Appl. Math. 2001, 66, 509–537. [Google Scholar] [CrossRef]
- Wood, J.S.; Zhang, S. Evaluating relationships between perception-reaction times, emergency deceleration rates, and crash outcomes using naturalistic driving data. Transp. Res. Rec. 2020, 2675, 213–223. [Google Scholar] [CrossRef]
- Jia, L.; Cheng, P.; Yu, Y.; Chen, S.H.; Wang, C.X.; He, L.; Nie, H.-T.; Wang, J.-C.; Zhang, J.-C.; Fan, B.-G.; et al. Regeneration mechanism of a novel high-performance biochar mercury adsorbent directionally modified by multimetal multilayer loading. J. Environ. Manag. 2023, 326, 116790. [Google Scholar] [CrossRef]
Disclaimer/Publisher’s Note: The statements, opinions and data contained in all publications are solely those of the individual author(s) and contributor(s) and not of MDPI and/or the editor(s). MDPI and/or the editor(s) disclaim responsibility for any injury to people or property resulting from any ideas, methods, instructions or products referred to in the content. |
© 2024 by the authors. Licensee MDPI, Basel, Switzerland. This article is an open access article distributed under the terms and conditions of the Creative Commons Attribution (CC BY) license (https://creativecommons.org/licenses/by/4.0/).