Next Article in Journal
Biological and Chemical Vicissitudes in Soil Rhizosphere Arbitrated under Different Tillage, Residues Recycling and Oilseed Brassica-Based Cropping Systems
Previous Article in Journal
Vegetation Type Mapping in Southern Patagonia and Its Relationship with Ecosystem Services, Soil Carbon Stock, and Biodiversity
 
 
Font Type:
Arial Georgia Verdana
Font Size:
Aa Aa Aa
Line Spacing:
Column Width:
Background:
Article

Experimental Study of a Homogeneous Charge Compression Ignition Engine Using Hydrogen at High-Altitude Conditions

by
Andrés David Morales Rojas
1,*,†,
Sebastián Heredia Quintana
2,† and
Iván Darío Bedoya Caro
2,†
1
Grupo de Investigación e Innovación en Energía—GIIEN, Institución Universitaria Pascual Bravo, Medellín 050034, Colombia
2
Grupo de Ciencia y Tecnología del Gas y Uso Racional de la Energía—GASURE, Universidad de Antioquia, Medellín 050010, Colombia
*
Author to whom correspondence should be addressed.
These authors contributed equally to this work.
Sustainability 2024, 16(5), 2026; https://doi.org/10.3390/su16052026
Submission received: 28 July 2023 / Revised: 12 February 2024 / Accepted: 14 February 2024 / Published: 29 February 2024
(This article belongs to the Topic Advanced Engines Technologies)

Abstract

One of the key factors of the current energy transition is the use of hydrogen (H2) as fuel in energy transformation technologies. This fuel has the advantage of being produced from the most primary forms of energy and has the potential to reduce carbon dioxide (CO2) emissions. In recent years, hydrogen or hydrogen-rich mixtures in internal combustion engines (ICEs) have gained popularity, with numerous reports documenting their use in spark ignition (SI) and compression ignition (CI) engines. Homogeneous charge compression ignition (HCCI) engines have the potential for substantial reductions in nitrogen oxides (NOx) and particulate matter (PM) emissions, and the use of hydrogen along with this kind of combustion could substantially reduce CO2 emissions. However, there have been few reports using hydrogen in HCCI engines, with most studies limited to evaluating technical feasibility, combustion characteristics, engine performance, and emissions in laboratory settings at sea level. This paper presents a study of HCCI combustion using hydrogen in a stationary air-cooled Lombardini 25 LD 425-2 modified diesel engine located at 1495 m above sea level. An experimental phase was conducted to determine the intake temperature requirements and equivalence ratios for stable HCCI combustion. These results were compared with previous research carried out at sea level. To the best knowledge of the authors, this is the first report on the combustion and operational limits for an HCCI engine fueled with hydrogen under the mentioned specific conditions. Equivalence ratios between 0.21 and 0.28 and intake temperatures between 188 °C and 235 °C effectively achieved the HCCI combustion. These temperature values were, on average, 100 °C higher than those reported in previous studies. The maximum value for the indicated mean effective pressure (IMEPn) was 1.75 bar, and the maximum thermal efficiency (ITEn) was 34.5%. The achieved results are important for the design and implementation of HCCI engines running solely on hydrogen in developing countries located at high altitudes above sea level.

1. Introduction

Over half of Colombia’s national territory includes non-interconnected zones (NIZ) to the electrical grid. Currently, these areas have an electricity generation capacity of 264.4 MW, with only 5.36% coming from non-conventional energy sources (NCES) [1]. The NIZs are geographically and naturally isolated from the rest of the country, making it necessary to generate electricity locally. This results in the need to acquire fuels for local electricity generation and domestic consumption, a significant challenge since the NIZ needs more energy supply infrastructure. As a result, the energy supply is unreliable, and energy costs are high [2]. However, there is potential for power generation or electrical energy in small towns in the NIZ that have access to large amounts of residual biomass from agricultural activities. Applying different technologies for energy transformation and later use is possible in these areas.
Hydrogen (H2) is a versatile fuel produced from various primary energy sources, including coal, natural gas (NG), biomass, nuclear power, and renewable energy sources such as solar, wind, geothermal, and hydropower. The three technologies currently used for small-scale distributed generation are electrolysis, reforming of natural gas, and biomass gasification [3,4].
Internal combustion engines (ICEs) are a top choice for generating power in various applications due to their reliability, affordability, and widespread use. Gasoline, diesel, and NG are the primary fuels used in these engines, but there is growing interest in alternative and renewable fuels [5,6]. The challenge for the industry is to develop technologies with high energy transformation efficiency and meet increasingly strict emissions standards [7,8,9]. Spark ignition (SI) engines effectively minimize emissions, but their thermal efficiency is low at medium and low loads. Compression ignition (CI) engines, on the other hand, offer high thermal efficiencies and emit low amounts of carbon dioxide (CO2). However, their gas treatment technologies are expensive to buy and maintain, which limits their use [10].
An alternative to conventional combustion regimes in ICEs is homogeneous charge compression ignition (HCCI) combustion. This combustion mode offers several benefits compared to SI and CI engines. HCCI engines can work with several types of fuels, even those of renewable origin, and generate low nitric oxides (NOx) and particulate matter (PM) emissions, making them an excellent choice for those who want to reduce their emissions [8,11,12,13]. HCCI engines work by admitting an air–fuel mixture, like an SI engine, but an electric discharge does not induce ignition. Instead, ignition occurs thanks to the increased charge temperature on the compression stroke. Considering that HCCI engines do not have an external ignition control system such as a spark plug or injector, the admitted mixture’s chemical–kinetic characteristics define the ignition. Since an air–fuel mixture is admitted, ignition occurs almost homogeneously throughout the combustion chamber, thus generating very high heat release (HRR) and pressure rise rates (PRR). Therefore, to avoid damage to the engine (cylinder head, valves, rings, and piston), the admitted fuel must be highly diluted, either due to running at lower equivalence ratios ( ) or using high levels of recirculated exhaust gases (EGR). HCCI engines can generate thermal efficiencies compared to CI engines. On the other hand, HCCI engines present considerable amounts of carbon monoxide (CO) and unburned hydrocarbons (UHC) in the exhaust gases [11,13].
Using hydrogen in power generation systems based on ICEs has gained significant interest from researchers worldwide because it is a renewable alternative to petroleum-based fuels. Research studies have been conducted on SI and CI engines using hydrogen as the primary or secondary fuel source. Some notable studies include those run by [14,15,16,17,18]. One significant advantage of using hydrogen is working the engine at low equivalence ratios, with some studies achieving equivalence ratios as low as 0.10. Also, hydrogen’s high resistance to autoignition allows for higher compression ratios (CR) [19]. However, concerns have been raised about hydrogen’s low density and low volumetric heating value, which may negatively affect the engine performance.
Few works have been found in the scientific literature in which the use of hydrogen in HCCI engines was considered. Most of the works found used hydrogen as an additive or combustion’s precursor rather than a main fuel [20,21,22,23]. In those works, hydrogen showed that it can widen the ignition limit of mixed fuel, advance the ignition time of the mixture gas, and reduce the intake temperature. Also, hydrogen offers the possibility of reducing pollution levels and improving fuel economy.
Regarding the use of hydrogen as a main fuel in HCCI engines, the most representative papers were presented by Stenlåås et al., 2004 [24], Gomes et al., 2008 [25], Caton and Pruitt, 2009 [26], Bika et al., 2012 [27], and Pochet et al. 2020 [28].
In a report from Stenlåås et al., 2004 [24], a Volvo TD100 6-cylinder diesel engine with a displacement of 1.6 lt was modified to work in HCCI combustion mode. A mixture of H2/CO (67% H2 and 33% CO), which simulates the gas composition obtained from methanol reforming (RMG), and hydrogen was used to study the ignition timing, efficiency, and emissions. They found the HCCI combustion using H2, and an H2/CO mixture could be obtained with equivalence ratios between 0.16 and 0.33 for a compression ratio of 17:1 and an engine speed of 800 rpm. The ignition temperature for H2 at an engine speed of 1200 rpm and a compression ratio of 17:1 was between 910 °C and 950 °C. IMEPn of 2.5 bar and thermal efficiencies of 40% were obtained with equivalence ratios of 0.33, intake temperatures of 110 °C, 800 rpm, and a compression ratio of 17:1 both for operation with hydrogen and with H2/CO mixtures. The maximum emissions of NOx were 6 ppm, and CO reached 2600 ppm.
Gomes et al., 2008 experimented on HCCI combustion in a hydrogen-fueled engine. They used an air-cooled Deutz diesel engine with a displacement of 825 cc, a compression ratio of 17:1, and an engine speed of 2200 rpm. The study focused on the engine’s thermal efficiency, emissions, and maximum loads. The range in which stable engine operation was possible was established with an intake temperature of 93 °C and equivalence ratios between 0.16 and 0.33, like the range reported by Stenlåås et al. 2004 [24]. The maximum reported thermal efficiency (BTE) was 45%, with an equivalence ratio of 0.33, while it was 35% with an equivalence ratio of 0.16. The autoignition timing advanced as the intake temperature increased for a constant equivalence ratio. The maximum reported IMEP was 6.8 bar, and the maximum power was 8.4 kW, which fell with increased air intake temperature due to decreased volumetric efficiency. The maximum NOx emissions obtained were 0.65 g/kWh for an operating point at 2200 rpm and an intake temperature of 100 °C, which decreased when the equivalence ratio decreased. The H2 emissions, on the other hand, showed inverse behavior, with maximum values of 0.60 g/kWh reported. This is because, with lean equivalence ratios, the temperatures in the combustion chamber are low, which reduces the formation of NOx and prevents fuel oxidation.
The study by Caton and Pruitt, 2009 [26] used a water-cooled CFR diesel engine to investigate sources of thermal efficiency losses and operating parameters for stable engine operation using hydrogen as fuel in HCCI combustion mode. They used a unit displacement of 612 cc and a constant engine speed of 900 rpm, with two intake temperatures of 80 °C and 100 °C. The compression ratio varied between 16.5:1 and 20:1 with 0.50 increments, and intake air heating was used as the ignition control variable. The main findings were that, for a constant compression ratio, there was an equivalence ratio value that generates maximum efficiency and load; increasing the compression ratio decreases the largest loads obtained, and increasing the intake temperature enables operation with higher equivalence ratios. Heat transfer to cylinder walls, energy loss in exhaust gases, and unburned fuel emission were identified as the primary energy losses. Combustion centering (CA50) was found to have the most significant impact on thermal efficiency and stable engine operation. The engine’s thermal efficiency decreased with higher intake temperature and compression ratios and was lower at low equivalence ratios. Stable combustion could be set up with equivalence ratios between 0.15 and 0.37, and the hydrogen emissions were 0.5% to 1%. The NOx emissions ranged from 1 ppm to 50 ppm, increasing with increasing equivalence ratio and compression ratio at a constant intake temperature.
In a study conducted by Bika et al. in 2012 [27], three different syngas compositions were used in a Yanmar engine changed to run in HCCI. The engine was a single-cylinder, four-stroke, air-cooled, direct injection, and naturally aspirated engine with a constant speed of 1800 rpm, a compression ratio of 21.2, and a displacement of 435 cc. The study found that the maximum pressure rise rate limited the largest intake temperature, while Cov-IMEP values greater than 10% determined the smallest inlet temperature. To achieve the highest IMEPn, the intake air temperature must be increased as the amount of H2 decreases. The combustion duration for all the tested conditions was faster than that in conventional SI and CI engines. The IMEPn varied between 1.75 bar and 2.75 bar, and the combustion efficiency was between 83% and 88% for all the tested conditions. However, these efficiencies were lower than those in SI and CI modes due to the low combustion temperatures. The efficiency of the cycle for all operating conditions was less than 30%, which was lower than reported in compression ignition engines. The emissions and performance of an ammonia–hydrogen HCCI engine were examined in the paper by Pochet et al. 2020 [28]. A single-cylinder diesel engine (Yanmar L100V) with an effective compression ratio of 22:1 was launched. As an effect of some primary control parameters—intake temperature, ammonia–hydrogen blending ratio, equivalence ratio, and EGR—the emissions (NOX and unburned NH3) and performance metrics (combustion efficiency, indicated thermal efficiency, output power, etc.) were analyzed. The main findings regarding neat hydrogen include the observation of low NOX emissions, approximately 50 ppm, and the requirement of maximum combustion temperatures of 1600 K to avoid bulk quenching. Additionally, the study found that high equivalence ratios and turbocharging are used to enhance the maximum combustion temperature and fuel loads, ultimately leading to a 50% increase in indicated mean effective pressure (IMEP) compared to neat hydrogen.
The sustainability of using clean fuels along with advanced combustion modes for power generation depends on determining the operational limits and the most important environmental benefits in developing countries. Fully hydrogen-fueled HCCI engines have the potential to emit ultra-low CO2, particulate matter, and NOx emissions; however, the main drawback of this combination of clean fuel and advanced combustion is the reduction in power density and operational limits. Furthermore, the autoignition temperature, which is the most important control variable in HCCI combustion, is highly dependent on ambient conditions, engine size and speed, and fuel composition. In this research, a fully hydrogen-fueled HCCI engine was implemented and tested at 1495 m above sea level. The power density loss and intake temperature requirements for enabling stable HCCI combustion at these conditions were fully determined and compared with previous research carried out at sea level. To the best knowledge of the authors, this is the first report on the combustion and operational limits for an HCCI engine fueled with hydrogen under the mentioned specific conditions. The results achieved in this research are important for the design and implementation of HCCI engines running solely on hydrogen in cities and rural zones located at high altitudes above sea level, which is characteristic of developing countries.
The document commences with a comprehensive description of the experimental configuration, encompassing the engine and every measurement instrument (Section 2.1). The experimental procedure is subsequently detailed and the equations for the most important variables are clearly described (Section 2.2). An entire section is devoted to a discussion of the research’s findings, which are then compared to those documented in other studies that also investigated the use of hydrogen as a fuel in HCCI engines (Section 3). The principal parameters and results utilized and obtained in this study, as well as those reported by other researchers, are summarized and discussed (Section 3). Finally, the conclusions of this research are provided (Section 4).

2. Methods

2.1. Experimental Setup

A Lombardini 25 LD 425-2 diesel engine was modified for allowing HCCI combustion in the experimental phase of this research. The compression ratio of the engine was reduced from 19:1 to 15.6:1 by flattening the piston bowl. This modification was implemented to reduce knocking combustion and H2 emissions, according to previous research of the authors. The main characteristics of the engine after conversion are shown in Table 1. Figure 1 shows the experimental setup used in this work.
A YIHUA three-phase electric generator of 20 kW was coupled to the engine for running at 1800 rpm; the electrical power generated was monitored using a TRJ analyzer and was dissipated using a 20-kW electric resistor controlled by a NOVUS three-phase power control. The generator was coupled to a WEG asynchronous electric of 15 kW and controlled by a Schneider variable speed drive. Provided that the engine speed was reduced from 3600 to 1800 rpm, a fan was installed to guarantee the necessary airflow to cool the engine and avoid overheating. An Oshram-Silvania electric heater of 6 kW was used along with an SCR (silicon-controlled rectifier) power control device in a closed loop to heat the intake airflow. The hydrogen was injected in the intake manifold by using calibrated orifices operating at local sonic speed. A more detailed description of the operating principles can be found in [20].
A Kistler piezoelectric sensor with a measurement range of 0–300 bar was installed in the cylinder. The sensor signal was conditioned by a Kistler SCP conditioning unit. An angular encoder Nord with a resolution of 3600 pulses per revolution was adapted to the engine crankshaft. A commercial sensor was installed in the engine block, which enabled the reference of the top dead center (TDC) in each engine thermodynamic cycle. Air, fuel, and flue pressure measurements were conducted using WIKA absolute pressure sensors with a 0–7 bar measurement range. Temperature measurements were conducted with commercial-type K thermocouples. These sensors were placed in the intake and exhaust manifolds and in the sonic flow meter. A Bacharach gas analyzer was used to measure the NOx (NO and N2) concentrations in the exhaust gases. A Maihak analyzer was used to measure O2 concentrations. An NI temperature meter and its control module were used to read and control some signals and actuators within the experimental setup. An NI data acquisition card with a 16-bit resolution and a sampling rate of 1 MS/s was used to capture the chamber pressure and crankshaft rotation angle data. All the data collected in the experimental setup were processed, visualized, and stored on a computer using an online monitoring and control platform developed in LabView 2019 SP1. The engine control was created by heating the intake air and considering the in-cylinder pressure in the chamber, the temperature of the exhaust gases, the temperature in the head of cylinder one, and the online calculation of the RI and the IMEP. The precision and uncertainty od each instrument used in the experiments are shown in Table 2.

2.2. Experimental Procedure

Before each experimentation session, the engine was run for a few minutes to ensure that engine operation signals and indicators were acquired, processed, and visualized. Then, the cooling air blower was turned on at full speed, and the intake air heating was initialized. The intake air temperature was increased by 20 °C every 2 min until the desired temperature was reached, and it was kept constant until the exhaust and cylinder head temperatures were stabilized. Once the target intake temperature was achieved, the fuel gas supply pressure necessary to achieve the desired equivalence ratio was defined. Adding fuel decreased the intake temperature, so additional time was necessary for the electrical resistance control system to stabilize it again. If the intake temperature and equivalence ratio conditions were insufficient to generate the HCCI combustion, the desired equivalence ratio was kept, and the intake temperature was increased. With the temperature variation in the admission, the fuel gas supply pressure values had to be changed to ensure the equivalence ratio due to the variation in air density.
It was found that the engine was in the HCCI combustion regime through the in-cylinder pressure curve, the exhaust gas temperature values, and the engine’s sound. The temperature conditions at the intake and equivalence ratio that generated operating points with ringing were determined from the in-cylinder pressure signal, online calculation of the RI, and the engine’s sound. The temperature conditions at the intake and equivalence ratio that generated a high variation in IMEP, or a lack of combustion, were defined based on the pressure signal, exhaust temperature, and the engine’s sound. The experimental data were taken after having a constant value (±5 K) of the exhaust temperature for 3 min and throughout 100 thermodynamic cycles of the engine. Combustion diagnostics were performed using a calculation algorithm based on MATLAB R2019b [29]. The experimental array used in this research is presented in Table 3.

2.3. Engine Performance Calculations

Indicated mean effective pressure (IMEPn) is the constant fictitious pressure (bar) would produce the same work per cycle at the same displacement volume. This parameter is particularly interesting when comparing the performance of different engines regardless of their size.
I M E P n = W i , n V d
where W i , n is the work produced (kJ), and V d is the displacement volume (m3).
Volumetric efficiency ( ƞ v ) defines the amount of air drawn into the engine due to restrictions in the intake system.
ƞ v = m a , r ρ a V d 100
In the last equation, m a , r is the air mass (kg), ρ a is the air density (kg/m3) at intake temperature and pressure, and V d is the displacement volume (m3).
Recirculated gas fraction (RGF) is the ratio between the mass of residual combustion gases and the total mass trapped in the combustion chamber in a new thermodynamic cycle after the intake valve has closed.
R G F = m R G m a , r + m f , r + m R G 100
where m R G is the recirculated gas mass (kg), m a , r is the air mass (kg), and m f , r is the fuel mass (kg) admitted.
Indicated thermal efficiency (ITEn) shows how well the energy supplied by the fuel has been transformed directly into usable work.
I T E n = W i , n m f L H V 100
W i , n is the work produced by the gas expansion into the combustion chamber (kJ), m f is the fuel mass (kg) admitted, and LHV is the low heating value of the fuel (kJ/kg).
Coefficient of variation of IMEP ( C o v I M E P ) indicates that the in-cylinder pressure varies from cycle to cycle due to minor changes in the operating conditions and the mass and temperature distribution within the combustion chamber. The C o v I M E P is defined as the relationship between the standard deviation of a variable and its average; see Equation (5). The operation of an HCCI engine at low loads (low equivalence ratios) or in delayed operating conditions (CA50 values after TDC) generates high variation in IMEP; this is because there is not enough energy to guarantee that the oxidation reactions start or complete [11].
C o v I M E P = S D I M E P I M E P ¯ 100
where S D I M E P is the standard deviation of IMEP (kPa); I M E P ¯ is the average indicated mean effective pressure, kPa. The maximum allowed values of Cov-IMEP in engines depend on the application. For automotive engines, it is recommended that this not exceed 5% [30]. For stationary engines, this range can be extended up to 10% [25].

2.4. Heat Release Rate Calculations

The heat release rate (HRR) is a measure of the amount of energy released per unit of time from the combustion of a fuel; it was calculated from the in-cylinder pressure using a zero-dimensional thermodynamic model [7]:
d Q c h e m d θ = γ γ 1 p d V d θ + 1 γ 1 V d p d θ + d Q w d θ + h c r d m c r d θ
where d Q c h e m is the chemical energy released by the fuel (J), γ is the specific heat ratio, p is the in-cylinder pressure (Pa), V is the instantaneous cylinder volume (m3), Q w is wall heat losses (J), h c r and m c r is the enthalpy (J/kg) and mass (kg) of the piston–cylinder–ring crevices, respectively, and θ is the crank angle.
Heat transfer is calculated using the Chang et al. correlation [31]:
h g = α s L 0.2 p 0.8 T 0.73 v 0.8
v = C 1 S p + C 2 6 V d T I V C p I V C V I V C p p m o t
where h g (W/m2.K) is the heat transfer coefficient, α s is a scaling factor of the heat transfer coefficient (2.5 in this research), L (m) is the instantaneous chamber height, p (kPa) is the in-cylinder pressure, T (K) is the gas temperature calculated from ideal gas state equation, v (m/s) is the combustion induced velocity, S p (m/s) is the mean piston speed, V d (m3) is the cylinder displacement volume, p I V C (kPa), T I V C (K), and V I V C (m3) are the gas conditions at IVC, and p m o t (kPa) is the motoring pressure (without combustion). C 1 is a dimensionless constant with value of 2.28, while C 2 (m/s.K) is a constant that takes the value of zero during the compression period and 0.00324 during the combustion and expansion period.
Flow in the piston cylinder ring crevices was modelled as an orifice flow [32]:
m ˙ c r = C d A p γ R T 2 γ + 1 γ + 1 2 ( γ 1 )
When
p a t m p 2 γ + 1 γ γ 1
Otherwise,
m ˙ c r = C d A r p 1 R T p a t m p 1 γ 2 γ γ 1 1 p a t m p γ 1 γ 1 2
In Equations (9)–(11), m ˙ c r is the mass flow rate in the piston–cylinder–ring crevices (kg/s), C d is the discharge coefficient (0.7 in this research), A r is the area of the orifice connecting the combustion chamber and the crankcase (which is considered equal to the passage area caused by ring gaps, m2), p is the in-cylinder pressure (kPa), P a t m is the pressure in the crankcase (which is considered equal to atmospheric pressure, kPa), γ is the specific heat ratio, R is the gas constant (kJ/kg.K), and T is the mass temperature (K), which is assumed equal to the wall temperature.
The mass inside the cylinder after the intake valve closure (IVC) consists of air, fuel, and residual gas from previous cycle. The residual gas fraction was calculated using the expression proposed by Ortiz-Soto et al. [33].
The start, centering, and end of combustion were calculated using the 10% (CA10), 50% (CA50), and 90% (CA90) of mass burned ( x b ), respectively, which is calculated as
x b = d Q c h e m d θ m f L H V f
where m f is the mass of fuel inducted per cycle and L H V f is the low heating value of fuel.

2.5. Ringing Intensity (RI)

During the operation of an HCCI engine at high loads and under advanced combustion (CA50 values before TDC), high pressure rise rates could be produced in the combustion chamber. Like the knock phenomenon in SI engines, HCCI engines have a phenomenon that can be characterized and quantified as pressure oscillations in the combustion chamber and is known in the literature as ringing. The ringing intensity (RI) is the most widely used measure to define the upper limit of stable operation of an HCCI engine; see Equation (11). The RI considers the pressure rise rate, the maximum pressure, and the maximum temperature within the combustion chamber, measuring the noise intensity generated by the pressure waves inside the cylinder [34].
R I = β 2 d P d t m a x 2 γ R g T m a x 2 γ P m a x
where γ is the heat capacity ratio, β is a constant (ms), d P d t m a x is the maximum pressure rise rate (bar/s), P m a x is the maximum pressure (bar), T m a x is the maximum temperature (K), and R g is the gas constant, (kJ/kgK). In some studies, 5 MW/m2 has been proposed as the largest acceptable limit for the IR [11].

3. Results and Discussion

The engine operation was restricted to a few points due to the difficulty of controlling the fuel flow and the limitation of the intake temperature control system to respond quickly to variations in the desired temperature. Figure 2 shows the average in-cylinder pressure for all IVC temperatures and equivalence ratios in which the HCCI combustion could be obtained. Maximum pressures between 32 bar and 40 bar were achieved.
The first finding that may be noted in this study related to the previous research mentioned in the Introduction section is that the intake temperatures that made HCCI combustion possible were, on average, 100 °C higher than in previous studies. These high intake temperature requirements reduced the volumetric efficiency, the energy density (ED), the indicated mean pressure (IMEPn), and the indicated thermal efficiency (ITE).
Haggith et al. [35] developed a model for analyzing the energy potential of different fuels used in ICEs, with energy density representing the amount of energy admitted to the combustion chamber during each engine cycle; it depends on the intake pressure ( p i n t ) , the intake temperature ( T i n t ) , the low heating value of the fuel ( L H V ) , the equivalence ratio ( ), and the stoichiometric air/fuel ratio ( A F R s ) ; see Equation (14). The ED is expressed in pressure units to be compared with the indicated mean effective pressure (IMEP).
E D = p i n R m i x T i n t L H V A F R s + 1
Figure 3 shows the ED as a function of the equivalence ratio for some alternative and renewable fuels compared with isooctane (gasoline) at intake conditions of 101.325 kPa and 20 °C, respectively.
In HCCI combustion, the ED of hydrogen is lower when compared with gasoline and other fuels for all equivalence ratios ( < 0.50 ). As the equivalence ratio decreases, the difference in ED between hydrogen and gasoline becomes smaller. At an equivalence ratio of 0.50, hydrogen has a 17% lower ED than gasoline, while the difference between hydrogen and syngas is only 7%. Meanwhile, the ED of natural gas (CH4), biogas (60% CH4–40% CO2), and syngas (80% H2–20% CO) is similar, so the engine performance can be expected to be quite similar using any of these fuels. Despite having the highest heating value, the higher air requirements (higher AFRs) and lower density of hydrogen offset its advantage. In stoichiometric conditions, hydrogen’s low density generates a displacement of up to 29.6% of the intake air, while NG and gasoline only displace 9.5% and 1.7% of air, respectively. Therefore, the loss in volumetric performance of the engine is the main factor contributing to the power loss, as Boehman et al. [19] and Hagos et al. [36] reported.
The engine stability at each experimental point was related to the Cov-IMEP and the RI values. Figure 4 shows an opposite trend between the engine operating limits concerning the equivalence ratio and the intake temperature. The Cov-IMEP grows with lower equivalence ratios and higher intake temperatures (lower energy density), while the RI becomes lower under these conditions. All experimental points generally have a Cov-IMEP of less than 10%, which is within the allowable range for stationary engines [26]. In Figure 5, the dispersion map for the IMEP of 100 engines’ cycles is shown. Some points were obtained with RI values higher than 5 MW/m2, values outside the limit recommended in the literature [11].
IMEPn and the ITEn are related to other engine operation parameters, such as energy density and recirculated gas fraction (RGF). As can be seen in Figure 6, at a lower intake temperature and a higher equivalence ratio, the energy density was increased while the amount of recirculated gases decreased; this generated a greater availability of energy inside the combustion chamber that, added to the start of combustion in the first moments of the expansion stroke, caused a higher rate of transformation of the energy entered into useful work. The maximum IMEPn achieved was 1.75 bar, which, compared to those values reported in previous research [24,26,27,28], is between 20% and 40% lower. On the other hand, the maximum ITEn reached was 34.5%, higher than those values reported in previous research [26,27] but lower for those reported by other studies [24,25]. The IMEPn and ITEn losses with low equivalence ratios and high intake temperatures are related to decreased energy density and increased recirculated gases.
One characteristic of HCCI combustion is the low temperatures in the combustion chamber. These temperatures ensure low production of nitrogen oxides (NOx) but are responsible for most unburned fuel emissions. Figure 7 shows the in-cylinder temperature for the four experimental points in which it was possible to carry out a heat release analysis (it is impossible to analyze experimental points with high ringing intensity through a heat release analysis). As can be seen, the maximum temperature values reached are around 1400 K, the maximum value (1411 K) was obtained for an intake temperature of 214 °C and an equivalence ratio of 0.25, and the minimum value (1363 K) was for an intake temperature of 230 °C and an equivalence ratio of 0.22. The maximum temperature depends on the energy density. This figure also shows that the temperature interval in which the ignition occurred (900 °C to 1000 °C) coincides with those reported in previous research [24,27]. The NOx emissions were very low (in a range of 1 to 18 ppm) because of the low-temperature combustion, and the Bacharach analyzer used in this research was not able to capture the trends for different experimental points because of its measuring range.
Figure 8 shows the heat release rate (HRR) and cumulative heat released (CHR) profiles. The HRR reached maximum values of 18 J/CA, which were lower than those reported in [27]. At higher energy density values, the maximum HRR increases and undergoes a displacement to the left of the TDC, influenced by the increase in the intake temperature. Without a measure of the amount of hydrogen in the exhaust gases, direct estimation of the combustion efficiency was not possible; however, combustion efficiency was indirectly estimated from the actual cumulative heat released (CHR) curve. Figure 8 (right) shows the real and normalized CHR. The maximum cumulative heat released fraction was around 75%, which indicates an energy loss due to incomplete combustion, crevices, and leaks to the crankcase close to 25%. The presence of fuel in the coldest areas of the combustion chamber, the high levels of recirculated gases, the high thermal conductivity of hydrogen, and the early opening of the exhaust valve in the expansion stroke contributed to this loss of efficiency.
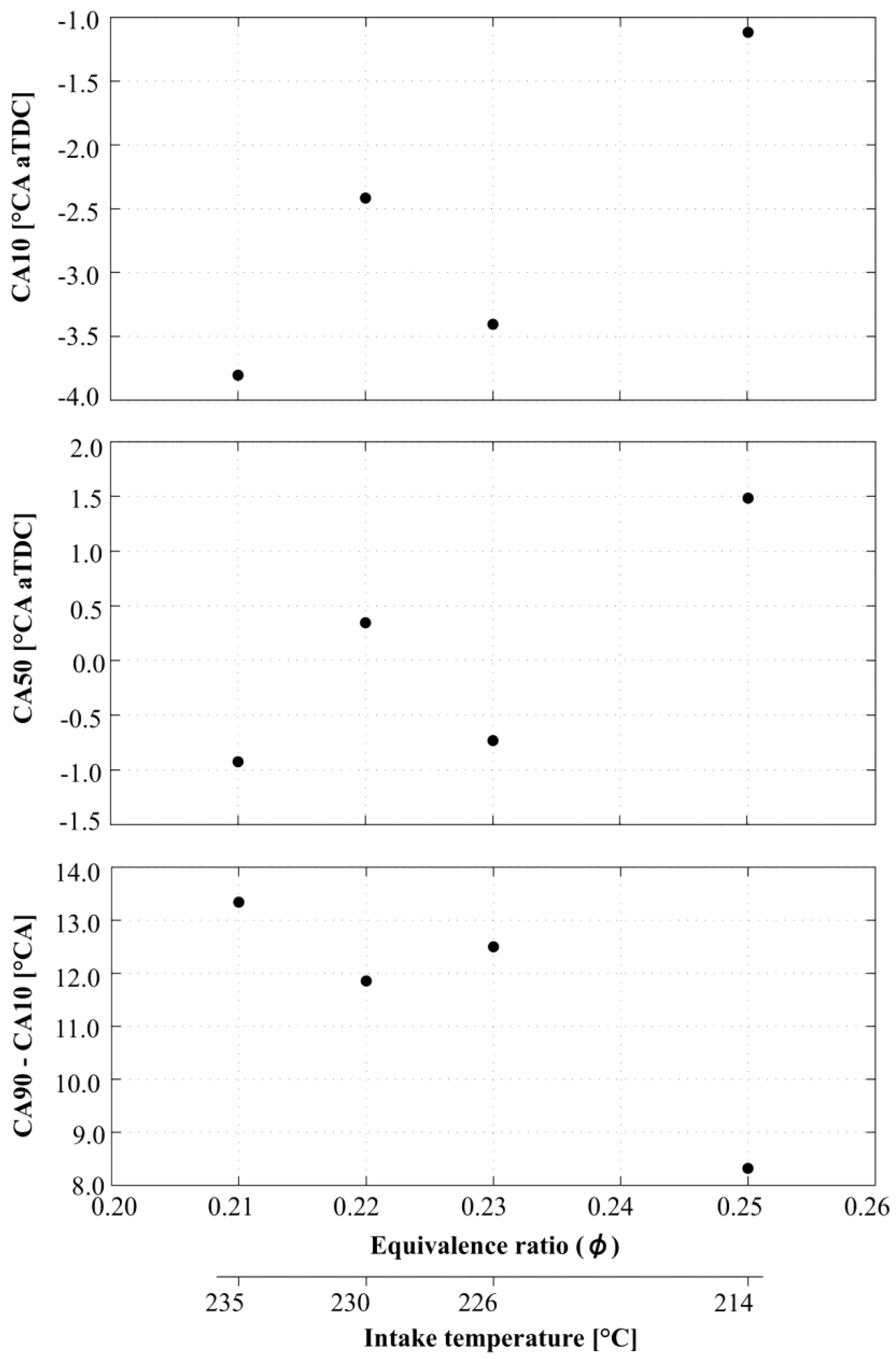
Figure 9 complements the analysis presented so far by presenting the values of CA10, CA50, and CA90-CA10. For the four operating points, the ignition was located before TDC, which may explain the loss of efficiency of these points with the two that cannot be analyzed but have a delayed CA10; see Figure 3. The increase in intake temperature tends to bring forward the start of combustion, as well as CA50, except for the operating point with an equivalence ratio of 0.23 and an intake temperature of 226 °C. These trends coincide with those reported in [24,27]. The CA10-CA90 becomes shorter as the equivalence ratios increase. The maximum CA10-CA90 is 13.3 °C, which is lower than reported for other combustion regimens in ICEs and coincides with what has been reported by [24,27].
Table 4 summarizes the main geometric, operational, performance, and emissions parameters obtained in this work and allows their comparison with those reported in the Introduction section. One of the main differentiating aspects of this work is the atmospheric pressure at which the experimental phase was developed. The atmospheric pressure in Medellín is 16 kPa, on average, lower than that in coastal cities or cities at low altitudes above sea level. Lower intake pressures result in lower reaction rates and longer ignition delays, which necessitate increasing the intake temperature to ensure autoignition. The increase in the intake temperature (with a low intake pressure) decreases the energy density and the engine’s volumetric efficiency, translating into IMEP and ITE losses.
Another aspect to consider in this comparison is that this study’s compression ratio (CR) is lower than in the rest of the works, except for [24]. Furthermore, the engine velocity used in this study is higher than in Stenlåås et al., 2004 [24], Caton and Pruitt, 2009 [26], and Pochet et al., 2020 [28], is lower than in Gomes Antunes et al., 2008, and is consistent with the velocity used by Bika et al., 2012 [27].
Figure 10 shows one-zone simulations of the effect of compression ratio and engine speed on the angle for the peak in molar concentration of H2O2, which is related to ignition (The next was made using CHEMKIN for HCCI combustion. A full description of the process can be found in a previous paper written by these same authors [37]), at different intake temperatures using detailed chemical kinetics. As can be seen in Figure 10, on the left, at a lower compression ratio, there is an increase in the intake temperature requirements that guarantee the ignition; an increase in the intake temperature translates into a decrease in the energy density, the volumetric efficiency of the cycle, and the thermal efficiency of the cycle. On the other hand, in Figure 10, on the right, as the engine speed increases, the intake temperature requirements also increase to guarantee ignition. This can be evidenced by comparing the intake temperature levels used in this work with those used in the works with which it is compared. On average, there were intake temperature values 100 °C higher than those reported in other works.
In terms of engine size, in this research, the smallest was used. A smaller engine size increases energy losses, decreases thermal efficiency, and increases unburned fuel. Although it is not possible to make a comparison of the intake valve closing (IVC), the exhaust valve opening (EVO), the closed valves period, and the valves overlap, it is worth noting that the engine setting used in this work is typical of a stationary engine for operation at 3600 rpm. Decreasing the engine speed by half causes the exhaust valve opening angle (EVO) to be too early in the cycle, decreasing the potential for conversion of thermal energy into work, and the valve overlap is higher than recommended. On the other hand, due to the decrease in speed by half, adding a blower was necessary to guarantee cooling air flow and avoid engine overheating.

4. Conclusions

A diesel engine was modified for running on HCCI combustion using hydrogen as fuel at 1490 m above sea level. Engine operation was achieved in equivalence ratios between 0.21 and 0.28 with intake temperatures between 188 °C and 235 °C for an intake pressure of 0.84 bar, an engine speed of 1800 rpm, and a compression ratio of 15.6:1.
High ringing intensity (RI) values at low temperatures and high equivalence ratios (high energy density) restricted the engine’s operation. The RI, for some operating points, was higher than the maximum allowable value (5 MW/m2) for safe operation. On the other hand, all the values for the Cov-IMEP were less than 10%, which was within the admissible range for stationary engines. While the Cov-IMEP increases with higher intake temperatures and equivalence ratios (a decrease in energy density), the RI decreases.
Maximum values of IMEPn and ITEn of 1.75 bar and 34.5%, respectively, were achieved. Both the IMEPn and the ITEn were lower with the decrease in energy density.
The maximum peak temperature in the combustion chamber and the autoignition temperature depend on the energy density of the mixture. With lower intake temperatures and higher equivalence ratios, higher chamber temperature levels and lower autoignition temperatures were obtained; with higher equivalence ratios, the reaction rates increase and the ignition occurs earlier in the cycle. The NOx emissions exhibited ultra-low values for the tested experimental points, in the range of 1–18 ppm.
Because there was no measurement of hydrogen in the exhaust gases, direct estimation of combustion efficiency was not possible. Therefore, it was approximated from the actual cumulative heat release (CHR) curves for each operation point. The maximum CHR was obtained between 0.73 and 0.76, which indicates an energy loss due to incomplete combustion, crevices, and leaks to the crankcase of close to 25%.
The CA10 was located before the top dead center (TDC). The CA10 jumps ahead with rising intake temperatures. A CA10 before the TDC translates into more significant losses in the IMEPn and the ITEn. The CA90-CA10 is shorter than any other fuel. The maximum CA90-CA10 was 13.2 °C. It becomes shorter with lower intake temperatures and higher equivalence ratios. The results achieved in this research are important for the design and implementation of HCCI engines running solely on hydrogen in cities and rural zones located at high altitudes above sea level. Future research should be focused on implementing strategies to improve IMEPn and ITEn; some of these strategies could be the use of supercharging or turbocharging to increase the energy density of hydrogen-fueled HCCI engines, the use of pilot fuels with lower autoignition temperatures like diesel and gasoline to implement delayed HCCI combustion, and the implementation of more versatile advanced combustion modes like Spark-Assisted HCCI or Stratified Charge Compression Ignition (SCCI) to improve the limits for stable combustion.

Author Contributions

Conceptualization, A.D.M.R. and I.D.B.C.; Methodology, A.D.M.R. and S.H.Q.; Software, S.H.Q.; Investigation, A.D.M.R.; Writing—original draft, A.D.M.R.; Writing—review & editing, A.D.M.R., S.H.Q. and I.D.B.C.; Supervision, I.D.B.C. All authors have read and agreed to the published version of the manuscript.

Funding

The authors gratefully acknowledge the financial support provided by the 367 Colombia Scientific Program within the framework of the call Ecosistema Científico (Contract No. FP44842—218—2018). The authors also gratefully acknowledge the ICETEX, Ministerio de Educación Nacional, and Ministerio de Ciencia, Tecnología e Innovación within the framework of the project “Prospectiva y desarrollo tecnológico en la producción, en las complementariedades con otros energéticos y en los usos del hidrógeno en Antioquia” (Contract No. RC—2021—1093).

Institutional Review Board Statement

Not applicable.

Informed Consent Statement

Not applicable.

Data Availability Statement

The data presented in this study are available on request from the corresponding author.

Conflicts of Interest

The authors declare no conflicts of interest. The funders had no role in the design of the study; in the collection, analyses, or interpretation of data; in the writing of the manuscript; or in the decision to publish the results.

References

  1. García, N.A.; Urrea, D.A.O.; Forero, Á.M.S.; Rosado, O.L.T. Zonas no Interconectadas—Zni Informe Sectorial de la Prestación del Servicio de Energía Eléctrica 2021. Available online: https://www.superservicios.gov.co/sites/default/files/inline-files/informe_sectorial_zni_2021%20%281%29.pdf (accessed on 1 July 2023).
  2. Davies, L.; Saygin, D. Distributed Renewable Energy in Colombia. 2023. Available online: https://www.oecd-ilibrary.org/content/paper/deda64ff-en (accessed on 1 July 2023).
  3. Hydrogen Production. Hydrogen Europe. Available online: https://hydrogeneurope.eu/hydrogen-production-0 (accessed on 5 October 2019).
  4. Stenina, I.; Yaroslavtsev, A. Modern Technologies of Hydrogen Production. Processes 2022, 11, 56. [Google Scholar] [CrossRef]
  5. Fiore, M.; Magi, V.; Viggiano, A. Internal combustion engines powered by syngas: A review. Appl. Energy 2020, 276, 115415. [Google Scholar] [CrossRef]
  6. Santos, N.D.S.A.; Roso, V.R.; Malaquias, A.C.T.; Baêta, J.G.C. Internal combustion engines and biofuels: Examining why this robust combination should not be ignored for future sustainable transportation. Renew. Sustain. Energy Rev. 2021, 148, 111292. [Google Scholar] [CrossRef]
  7. Heywood, J.B. Internal Combustion Engine Fundamentals; McGraw-Hill Education: New York, NY, USA, 1988. [Google Scholar]
  8. Dec, J.E. Advanced Compression-Ignition Engines—Understanding the In-Cylinder Processes. In Proceedings of the Combustion Institute; Elsevier: Amsterdam, The Netherlands, 2009; Volume 32, pp. 2727–2742. [Google Scholar] [CrossRef]
  9. Emission Standards. Available online: https://www.dieselnet.com/standards/ (accessed on 5 October 2019).
  10. Ragon, P.-L. Estimated Cost of Diesel Emissions Control Technology to Meet Future Euro VII Standards; International Council on Clean Transportation: Washington, DC, USA, 2021. [Google Scholar]
  11. Saxena, S.; Bedoya, I.D. Fundamental Phenomena Affecting Low Temperature Combustion and HCCI engines, High Load Limits and Strategies for Extending These Limits. Prog. Energy Combust. Sci. 2012, 39, 457–488. [Google Scholar] [CrossRef]
  12. Yao, M.; Zheng, Z.; Liu, H. Progress and Recent Trends in Homogeneous Charge Compression Ignition (HCCI) Engines. Prog. Energy Combust. Sci. 2009, 35, 398–437. [Google Scholar] [CrossRef]
  13. Hasan, M.M.; Rahman, M.M. Homogeneous Charge Compression Ignition Combustion: Advantages Over Compression Ignition Combustion, Challenges and Solutions. Renew. Sustain. Energy Rev. 2016, 57, 282–291. [Google Scholar] [CrossRef]
  14. Martínez, J.D.; Mahkamov, K.; Andrade, R.V.; Silva Lora, E.E. Syngas production in downdraft biomass gasifiers and its application using internal combustion engines. Renew. Energy 2012, 38, 1–9. [Google Scholar] [CrossRef]
  15. Sharma, P.; Dhar, A. Effect of hydrogen supplementation on engine performance and emissions. Int. J. Hydrogen Energy 2018, 43, 7570–7580. [Google Scholar] [CrossRef]
  16. Yip, H.L.; Srna, A.; Yuen, A.C.Y.; Kook, S.; Taylor, R.A.; Yeoh, G.H.; Medwell, P.R.; Chan, Q.N.A. Review of Hydrogen Direct Injection for Internal Combustion Engines: Towards Carbon-Free Combustion. Appl. Sci. 2019, 9, 4842. [Google Scholar] [CrossRef]
  17. Tsujimura, T.; Suzuki, Y. The utilization of hydrogen in hydrogen/diesel dual fuel engine. Int. J. Hydrogen Energy 2017, 42, 14019–14029. [Google Scholar] [CrossRef]
  18. Akal, D.; Öztuna, S.; Büyükakın, M.K. A review of hydrogen usage in internal combustion engines (gasoline-Lpg-diesel) from combustion performance aspect. Int. J. Hydrogen Energy 2020, 45, 35257–35268. [Google Scholar] [CrossRef]
  19. Boehman, A.L.; Le Corre, O. Combustion of syngas in internal combustion engines. Combust. Sci. Technol. 2008, 180, 1193–1206. [Google Scholar] [CrossRef]
  20. Murugesan, P.; Hoang, A.T.; Venkatesan, E.P.; Kumar, D.S.; Balasubramanian, D.; Le, A.T. Role of hydrogen in improving performance and emission characteristics of homogeneous charge compression ignition engine fueled with graphite oxide nanoparticle-added microalgae biodiesel/diesel blends. Int. J. Hydrogen Energy 2022, 47, 37617–37634. [Google Scholar] [CrossRef]
  21. Yontar, A.A.; Zhou, M.; Ahmad, S. Influence of intake air temperature control on characteristics of a Homogeneous Charge Compression Ignition engine for hydrogen-enriched kerosene-dimethyl ether usage. Int. J. Hydrogen Energy 2020, 45, 22019–22031. [Google Scholar] [CrossRef]
  22. Wang, Q.; Zhao, Y.; Wu, F.; Bai, J. Study on the combustion characteristics and ignition limits of the methane homogeneous charge compression ignition with hydrogen addition in micro-power devices. Fuel 2019, 236, 354–364. [Google Scholar] [CrossRef]
  23. Khandal, S.V.; Banapurmath, N.R.; Gaitonde, V.N. Performance studies on homogeneous charge compression ignition (HCCI) engine powered with alternative fuels. Renew. Energy 2019, 132, 683–693. [Google Scholar] [CrossRef]
  24. Stenlåås, O.; Christensen, M.; Egnell, R.; Tunestål, P.; Johansson, B. Reformed Methanol Gas as Homogeneous Charge Compression Ignition Engine Fuel. In SAE Special Publications; Society of Automotive Engineers: Warrendale, PA, USA, 2004; Volume 1, p. 16. [Google Scholar]
  25. Antunes, J.M.G.; Mikalsen, R.; Roskilly, A.P. An Investigation of Hydrogen-Fuelled HCCI Engine Performance and Operation. Int. J. Hydrogen Energy 2008, 33, 5823–5828. [Google Scholar] [CrossRef]
  26. Caton, P.A.; Pruitt, J.T. Homogeneous Charge Compression Ignition of Hydrogen in a Single-Cylinder Diesel Engine. Int. J. Engine Res. 2009, 10, 45–63. [Google Scholar] [CrossRef]
  27. Bika, A.S.; Franklin, L.; Kittelson, D.B. Homogeneous Charge Compression Ignition Engine Operating on Synthesis Gas. Int. J. Hydrogen Energy 2012, 37, 9402–9411. [Google Scholar] [CrossRef]
  28. Pochet, M.; Jeanmart, H. A 22:1 Compression Ratio Ammonia-Hydrogen HCCI Engine: Combustion, Load, and Emission Performances. Front. Mech. Eng. 2020, 6, 43. [Google Scholar] [CrossRef]
  29. The MathWorks Inc. MATLAB, Version R2023b; The MathWorks Inc.: Natick, MA, USA, 2023; Available online: https://www.mathworks.com/help/stats/index.html (accessed on 1 July 2023).
  30. Maurya, R.K. Reciprocating Engine Combustion Diagnostics. In Cylinder Pressure Measurement and Analysis; Springer: Berlin/Heidelberg, Germany, 2019. [Google Scholar] [CrossRef]
  31. Chang, J.; Güralp, O.; Filipi, Z.; Assanis, D.; Kuo, T.W.; Najt, P.; Rask, R. New Heat Transfer Correlation for an HCCI Engine Derived from Measurements of Instantaneous Surface Heat Flux; Technical Paper 2004-01-2996; Society of Automotive Engineers: Warrendale, PA, USA, 2004. [Google Scholar] [CrossRef]
  32. Namazian, M.; Heywood, J.B. Flow in the Piston-Cylinder-Ring Crevices of a Spark-Ignition Engine: Effect on Hydrocarbon Emissions, Efficiency and Power; Technical Paper 820088; Society of Automotive Engineers: Warrendale, PA, USA, 1982. [Google Scholar] [CrossRef]
  33. Ortiz-Soto, E.A.; Vavra, J.; Babajimopoulos, A. Assessment of Residual Mass Estimation Methods for Cylinder Pressure Heat Release Analysis of HCCI Engines With Negative Valve Overlap. J. Eng. Gas Turbines Power 2012, 134, 082802. [Google Scholar] [CrossRef]
  34. Eng, J.A. Characterization of Pressure Waves in HCCI Combustion Reprinted From: Homogeneous Charge Compression Ignition Engines; SAE Technical Paper 2002-01-2859; Society of Automotive Engineers: Warrendale, PA, USA, 2002; Volume 1, p. 15. [Google Scholar]
  35. Haggith, D.E.; Sobiesiak, A.; Miller, L.W.; Przybyla, G. Experimental Indicated Performance of a HCCI Engine Fuelled by Simulated Biomass Gas; SAE Technical Paper 2010-01-1081; Society of Automotive Engineers: Warrendale, PA, USA, 2010; Volume 1, p. 13. [Google Scholar] [CrossRef]
  36. Hagos, F.Y.; Aziz, A.R.A.; Sulaiman, S.A. Trends of Syngas as a Fuel in Internal Combustion Engines. Adv. Mech. Eng. 2014, 2014, 1–10. [Google Scholar] [CrossRef]
  37. Quintana, S.H.; Rojas, A.D.M.; Bedoya, I.D. Experimental and Numerical Evaluation of an HCCI Engine Fueled with Biogas for Power Generation under Sub-Atmospheric Conditions. Energies 2023, 16, 6267. [Google Scholar] [CrossRef]
Figure 1. Experimental setup.
Figure 1. Experimental setup.
Sustainability 16 02026 g001
Figure 2. In-cylinder pressure for different intake temperatures and equivalence ratios. p i n = 0.84 bar.
Figure 2. In-cylinder pressure for different intake temperatures and equivalence ratios. p i n = 0.84 bar.
Sustainability 16 02026 g002
Figure 3. Energy density as a function of the equivalence ratio for different fuels. Inlet pressure and temperature of 101.325 kPa and 20 °C, respectively.
Figure 3. Energy density as a function of the equivalence ratio for different fuels. Inlet pressure and temperature of 101.325 kPa and 20 °C, respectively.
Sustainability 16 02026 g003
Figure 4. Ringing intensity and Cov-IMEP as a function of energy density. p i n = 0.84 bar.
Figure 4. Ringing intensity and Cov-IMEP as a function of energy density. p i n = 0.84 bar.
Sustainability 16 02026 g004
Figure 5. Dispersion map for the IMEP. = 0.26   a n d   T i n = 195   ° C .
Figure 5. Dispersion map for the IMEP. = 0.26   a n d   T i n = 195   ° C .
Sustainability 16 02026 g005
Figure 6. Energy density, recirculated gas fraction, IMEPn, and ITEn as a function of the IVC temperature and equivalence ratio. p i n = 0.84 bar.
Figure 6. Energy density, recirculated gas fraction, IMEPn, and ITEn as a function of the IVC temperature and equivalence ratio. p i n = 0.84 bar.
Sustainability 16 02026 g006
Figure 7. Cylinder temperatures for different temperatures and equivalence ratios. p i n = 0.84   bar.
Figure 7. Cylinder temperatures for different temperatures and equivalence ratios. p i n = 0.84   bar.
Sustainability 16 02026 g007
Figure 8. Heat release rate and cumulative heat released for different intake temperatures and equivalence ratios. p i n = 0.84   bar.
Figure 8. Heat release rate and cumulative heat released for different intake temperatures and equivalence ratios. p i n = 0.84   bar.
Sustainability 16 02026 g008
Figure 9. CA10, CA50, and CA90-CA10 as a function of equivalence ratio and intake temperature. p i n = 0.84 bar.
Figure 9. CA10, CA50, and CA90-CA10 as a function of equivalence ratio and intake temperature. p i n = 0.84 bar.
Sustainability 16 02026 g009
Figure 10. Compression ratio and engine velocity effects on the intake temperature needed for autoignition achievement. p i n = 1 bar and = 0.30 .
Figure 10. Compression ratio and engine velocity effects on the intake temperature needed for autoignition achievement. p i n = 1 bar and = 0.30 .
Sustainability 16 02026 g010
Table 1. Technical specifications and main geometric engine parameters.
Table 1. Technical specifications and main geometric engine parameters.
ItemDescription or Value
EngineLombardini 25 LD 425-2, naturally aspirated, air-cooled, and two cylinders.
Engine displacement [cc]851
Bore [mm]85
Stroke [mm]75
Original Compression Ratio [-]19
Modified Compression Ratio [-]15.6
Original engine speed [rpm]3600
Modified engine speed [rpm]1800
Table 2. Precision and uncertainty of each instrument used in the experiments.
Table 2. Precision and uncertainty of each instrument used in the experiments.
Measured VariableResolutionAccuracy
In-cylinder pressure±0.02 bar4%
Temperature±0.2 °C4%
Intake pressure±0.01 bar0.5%
Crank angle±0.1 °CA8%
O2±0.1 %vol.0.2%
NOx±1 ppm±5 ppm
Fuel mass flow±3 mg/s4%
Aire mass flow±0.1 mg/s2%
Table 3. Experimental variables used in the experiments.
Table 3. Experimental variables used in the experiments.
VariableDescription or Value
FuelH2
Intake pressure [kPa]84.00
Engine Speed [RPM]1800
Equivalence ratio [-]0.21–0.28
Table 4. Main geometric, operational, performance, and emissions parameters obtained in this work and their comparison with others reports.
Table 4. Main geometric, operational, performance, and emissions parameters obtained in this work and their comparison with others reports.
ItemStenlåås et al., 2004 [24]Gomes et al., 2008 [25]Caton and Pruitt 2009 [26]Bika et al., 2012 [27]Pochet et al., 2020 [28]This Work
Atmospheric pressure [kPa]101.325101.325101.325101.010100.00085.320
Compression Ratio [-]15–201716.5–2021.221.915.6
Engine speed [RPM]800–16002200900180015001800
Bore [mm]12010082.6868685
Stroke [mm]140105114757575
Engine displacement [cc]1600825612475436425.5
Intake Temperature [°C]90–16085–11080 and10060–104100188–235
Equivalence ratio [-]0.16–0.330.16–0.330.15–0.370.26 and 0.300.260.21–0.28
Indicated mean effective pressure [bar]2.756.82.2 (gross)2.753.21.75
Indicated thermal efficiency [%]414522 (gross)29-34.5
NOx [ppm]70.64 [g/kWh]50N.D.501–18
Disclaimer/Publisher’s Note: The statements, opinions and data contained in all publications are solely those of the individual author(s) and contributor(s) and not of MDPI and/or the editor(s). MDPI and/or the editor(s) disclaim responsibility for any injury to people or property resulting from any ideas, methods, instructions or products referred to in the content.

Share and Cite

MDPI and ACS Style

Morales Rojas, A.D.; Quintana, S.H.; Caro, I.D.B. Experimental Study of a Homogeneous Charge Compression Ignition Engine Using Hydrogen at High-Altitude Conditions. Sustainability 2024, 16, 2026. https://doi.org/10.3390/su16052026

AMA Style

Morales Rojas AD, Quintana SH, Caro IDB. Experimental Study of a Homogeneous Charge Compression Ignition Engine Using Hydrogen at High-Altitude Conditions. Sustainability. 2024; 16(5):2026. https://doi.org/10.3390/su16052026

Chicago/Turabian Style

Morales Rojas, Andrés David, Sebastián Heredia Quintana, and Iván Darío Bedoya Caro. 2024. "Experimental Study of a Homogeneous Charge Compression Ignition Engine Using Hydrogen at High-Altitude Conditions" Sustainability 16, no. 5: 2026. https://doi.org/10.3390/su16052026

APA Style

Morales Rojas, A. D., Quintana, S. H., & Caro, I. D. B. (2024). Experimental Study of a Homogeneous Charge Compression Ignition Engine Using Hydrogen at High-Altitude Conditions. Sustainability, 16(5), 2026. https://doi.org/10.3390/su16052026

Note that from the first issue of 2016, this journal uses article numbers instead of page numbers. See further details here.

Article Metrics

Back to TopTop