Physicochemical Properties and Planting Performance of Artificial Soil Developed from Multiple Coal-Based Solid Waste Materials
Abstract
1. Introduction
2. Materials and Methods
2.1. Materials
2.2. Test Methods
2.2.1. Pot Experiments
2.2.2. Planting and Maintenance
2.2.3. Index Measurement
3. Results and Analysis
3.1. Analysis of Physicochemical Properties
3.1.1. Bulk Density, Specific Gravity, and Porosity
3.1.2. pH and EC Values
3.1.3. Field Capacity and Saturation Capacity Analysis
3.2. AS Nutrient Analysis
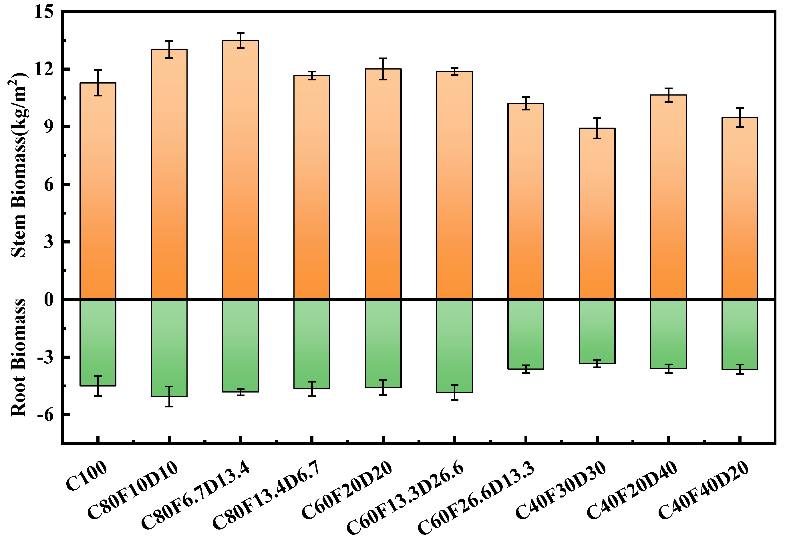
3.3. Plant Performance Analysis
4. Discussion
5. Conclusions
Author Contributions
Funding
Informed Consent Statement
Data Availability Statement
Conflicts of Interest
References
- Li, D.; Wu, D.S.; Xu, F.G.; Lai, J.H.; Shao, L. Literature overview of Chinese research in the field of better coal utilization. J. Clean. Prod. 2018, 185, 959–980. [Google Scholar] [CrossRef]
- Yang, P.; Liu, L.; Suo, Y.L.; Qu, H.S.; Xie, G.; Zhang, C.X.; Deng, S.; Lv, Y. Basic characteristics of magnesium-coal slag solid waste backfill material: Part I. preliminary study on flow, mechanics, hydration and leaching characteristics. J. Environ. Manag. 2023, 329, 117016. [Google Scholar] [CrossRef] [PubMed]
- Huang, J.; Tian, C.Y.; Xing, L.F.; Bian, Z.F.; Miao, X.X. Green and Sustainable Mining: Underground Coal Mine Fully Mechanized Solid Dense Stowing-Mining Method. Sustainability 2017, 9, 1418. [Google Scholar] [CrossRef]
- Yuan, N.; Xu, H.; Liu, Y.J.; Tan, K.Q.; Bao, Y.X. Synthesis and Environmental Applications of Nanoporous Materials Derived from Coal Fly Ash. Sustainability 2023, 15, 16851. [Google Scholar] [CrossRef]
- Li, Q.Z.; Hu, Z.Q.; Zhang, F.; Song, D.Y.; Liang, Y.S.; Yu, Y. Multispectral Remote Sensing Monitoring of Soil Particle-Size Distribution in Arid and Semi-Arid Mining Areas in the Middle and Upper Reaches of the Yellow River Basin: A Case Study of Wuhai City, Inner Mongolia Autonomous Region. Remote Sens. 2023, 15, 2137. [Google Scholar] [CrossRef]
- Xia, Y.S.; Shi, J.J.; Zhao, Z.N.; Liu, Z.; Liu, X.H.; Zhang, C. Mapping the coal-water nexus in the Yellow River Basin. J. Clean. Prod. 2023, 411, 137249. [Google Scholar] [CrossRef]
- Gu, J.; Liu, X.M.; Zhang, Z.Q. Road base materials prepared by multi-industrial solid wastes in China: A review. Constr. Build. Mater. 2023, 373, 130860. [Google Scholar] [CrossRef]
- Peng, D.D.; Wang, Y.G.; Liu, X.M.; Tang, B.W.; Zhang, N. Preparation, characterization, and application of an eco-friendly sand-fixing material largely utilizing coal-based solid waste. J. Hazard. Mater. 2019, 373, 294–302. [Google Scholar] [CrossRef]
- Wu, H.; Wen, Q.B.; Hu, L.M.; Gong, M.; Tang, Z.L. Feasibility study on the application of coal gangue as landfill liner material. Waste Manag. 2017, 63, 161–171. [Google Scholar] [CrossRef]
- Yang, P.; Liu, L.; Suo, Y.L.; Qu, H.S.; Xie, G.; Zhang, C.X.; Deng, S.; Lv, Y. Investigating the synergistic effects of magnesia-coal slag based solid waste cementitious materials and its basic characteristics as a backfill material. Sci. Total Environ. 2023, 880, 163209. [Google Scholar] [CrossRef]
- Sun, H.; Hu, Z.Q.; Wang, S. A Study of the Physical and Mechanical Properties of Yellow River Sediments and Their Impact on the Reclamation of Coal-Mined Subsided Land. Sustainability 2024, 16, 439. [Google Scholar] [CrossRef]
- Yang, J.; Su, Y.; He, X.Y.; Tan, H.B.; Jiang, Y.Z.; Zeng, L.; Strnadel, B. Pore structure evaluation of cementing composites blended with coal by-products: Calcined coal gangue and coal fly ash. Fuel Process. Technol. 2018, 181, 75–90. [Google Scholar] [CrossRef]
- Han, J.F.; Ha, Y.; Guo, M.Y.; Zhao, P.P.; Liu, Q.L.; Liu, C.X.; Song, C.; Ji, N.; Lu, X.; Ma, D.; et al. Synthesis of zeolite SSZ-13 from coal gangue via ultrasonic pretreatment combined with hydrothermal growth method. Ultrason. Sonochem. 2019, 59, 104703. [Google Scholar] [CrossRef] [PubMed]
- Li, H.H.; Feng, Y.L.; Li, H.R.; Liu, Z.W. Microbial pretreatment of microfine-grained low-grade zinnwaldite tailings for enhanced flotation to recover lithium and rubidium resources. Miner. Eng. 2022, 181, 107503. [Google Scholar] [CrossRef]
- Mu, X.G.; Liu, J.F.; Gao, F.; Deng, C.B.; Jin, Z.X.; Gong, L.S.; Peng, Y. Microwave-assisted removal of sulfur in large particle size coal by bromine water. Fuel 2021, 289, 119838. [Google Scholar] [CrossRef]
- Zhu, X.B.; Gong, W.H.; Li, W.; Bai, X.Y.; Zhang, C.X. Reclamation of waste coal gangue activated by Stenotrophomonas maltophilia for mine soil improvement: Solubilizing behavior of bacteria on nutrient elements. J. Environ. Manag. 2022, 320, 115865. [Google Scholar] [CrossRef]
- Mokal, M.P.; Mandal, R.; Nayak, S.; Panda, S.K. Efficacy of high-volume fly ash and slag on the physicomechanical, durability, and analytical characteristics of high-strength mass concrete. J. Build. Eng. 2023, 76, 107295. [Google Scholar] [CrossRef]
- Ukwattage, N.L.; Ranjith, P.G.; Bouazza, M. The use of coal combustion fly ash as a soil amendment in agricultural lands (with comments on its potential to improve food security and sequester carbon). Fuel 2013, 109, 400–408. [Google Scholar] [CrossRef]
- Fan, Y.; Ge, T.; Zheng, Y.L.; Li, H.; Cheng, F.Q. Use of mixed solid waste as a soil amendment for saline-sodic soil remediation and oat seedling growth improvement. Environ. Sci. Pollut. Res. 2016, 23, 21407–21415. [Google Scholar] [CrossRef] [PubMed]
- Azam, F.; Ifzal, M. Microbial populations immobilizing NH4+-N and NO3−-N differ in their sensitivity to sodium chloride salinity in soil. Soil Biol. Biochem. 2006, 38, 2491–2494. [Google Scholar] [CrossRef]
- Wang, J.M.; Yang, P.L. Potential flue gas desulfurization gypsum utilization in agriculture: A comprehensive review. Renew. Sustain. Energy Rev. 2018, 82, 1969–1978. [Google Scholar] [CrossRef]
- Wang, Y.G.; Wang, Z.F.; Liang, F.; Jing, X.; Feng, W.T. Application of flue gas desulfurization gypsum improves multiple functions of saline-sodic soils across China. Chemosphere 2021, 277, 130345. [Google Scholar] [CrossRef] [PubMed]
- Agrawal, R.; Bhagia, S.; Satlewal, A.; Ragauskas, A.J. Urban mining from biomass, brine, sewage sludge, phosphogypsum and e-waste for reducing the environmental pollution: Current status of availability, potential, and technologies with a focus on LCA and TEA. Environ. Res. 2023, 224, 115523. [Google Scholar] [CrossRef] [PubMed]
- Kaur, P.; Bohidar, H.B.; Nisbet, D.R.; Pfeffer, F.M.; Rifai, A.; Williams, R.; Agrawal, R. Waste to high-value products: The performance and potential of carboxymethylcellulose hydrogels via the circular economy. Cellulose 2023, 30, 2713–2730. [Google Scholar] [CrossRef]
- Wu, P.F.; Zeng, Q.S.; Liu, X.M.; Zhang, Z.Q.; Wei, C.; Li, Y.T.; Ma, S. Synergistic preparation of high-performance composite blast furnace slag powder from multiple industrial solid wastes: Performance regulation and optimization. Constr. Build. Mater. 2024, 411, 134231. [Google Scholar] [CrossRef]
- Xie, G.; Liu, L.; Suo, Y.L.; Zhu, M.B.; Yang, P.; Sun, W.J. High-value utilization of modified magnesium slag solid waste and its application as a low-carbon cement admixture. J. Environ. Manag. 2024, 349, 119551. [Google Scholar] [CrossRef]
- Zhao, X.M.; Yang, K.; He, X.; Wei, Z.; Yu, X.; Zhang, J.Q. Study on Mix Proportion Optimization and Microstructure of Coal-Based Solid Waste (CSW) Backfill Material Based on Multi-Objective Decision-Making Model. Materials 2022, 15, 8464. [Google Scholar] [CrossRef]
- ASTM D4972-19; Standard Test Methods for pH of Soils. ASTM International: West Conshohocken, PA, USA, 2018.
- ASTM E1004-17; Standard Test Method for Determining Electrical Conductivity Using the Electromagnetic (Eddy Current) Method. ASTM International: West Conshohocken, PA, USA, 2017.
- ASTM D854-23; Standard Test Methods for Specific Gravity of Soil Solids by Water Pycnometer. ASTM International: West Conshohocken, PA, USA, 2023.
- ASTM D1556; Standard Test Method for Density and Unit Weight of Soil in Place by Sand-Cone Method. ASTM International: West Conshohocken, PA, USA, 2015.
- ASTM D2974-20e1; Standard Test Methods for Determining the Water (Moisture) Content, Ash Content, and Organic Material of Peat and Other Organic Soils. ASTM International: West Conshohocken, PA, USA, 2020.
- ASTM D4542-15; Standard Test Methods for Pore Water Extraction and Determination of the Soluble Salt Content of Soils by Refractometer. ASTM International: West Conshohocken, PA, USA, 2015.
- NY/T 1121.7-2014; Method for Determination of Available Phosphorus in Soil. The Ministry of Agriculture of the People’s Republic of China: Beijing, China, 2014.
- ISO 14255-1998; Soil Quality—Determination of Nitrate nitrogen, Ammonium Nitrogen and Total Soluble Nitrogen in Air-Dry Soils Using Calcium Chloride Solution as Extractant. ISO: Geneva, Switzerland, 1998.
- NY/T 889-2004; Determination of Exchangeable Potassium and Non-Exchangeable Potassium Content in Soil. Industry Standards of the People’s Republic of China. The Ministry of Agriculture of the People’s Republic of China: Beijing, China, 2014.
- LY/T 1251-1999; Analysis methods of water soluble salts of forest soil. Industry Standards of the People’s Republic of China: Beijing, China, 1999.
- ASTM C1580-20; Standard Test Method for Water-Soluble Sulfate in Soil. ASTM International: West Conshohocken, PA, USA, 2020.
- ASTM D4373-21; Standard Test Method for Rapid Determination of Carbonate Content of Soils. ASTM International: West Conshohocken, PA, USA, 2021.
- Kang, E.Z.; Li, Y.; Zhang, X.D.; Yan, Z.Q.; Wu, H.D.; Li, M.; Yan, L.; Zhang, K.; Wang, J.Z.; Kang, X.M. Soil pH and nutrients shape the vertical distribution of microbial communities in an alpine wetland. Sci. Total Environ. 2021, 774, 145780. [Google Scholar] [CrossRef]
- Naz, M.; Dai, Z.C.; Hussain, S.; Tariq, M.H.; Danish, S.; Khan, I.U.; Qi, S.; Du, D. The soil pH and heavy metals revealed their impact on soil microbial community. J. Environ. Manag. 2022, 321, 115770. [Google Scholar] [CrossRef]
- Li, J.Y.; Wang, J.M. Comprehensive utilization and environmental risks of coal gangue: A review. J. Clean. Prod. 2019, 239, 117946. [Google Scholar] [CrossRef]
- Zhang, Y.L.; Ling, T.-C. Reactivity activation of waste coal gangue and its impact on the properties of cement-based materials—A review. Constr. Build. Mater. 2020, 234, 117424. [Google Scholar] [CrossRef]
- Li, J.; Chen, Z.; Li, L.; Qiao, Y.; Yuan, Z.; Zeng, L.; Li, Z. Study on pore and chemical structure characteristics of atmospheric circulating fluidized bed coal gasification fly ash. J. Clean. Prod. 2021, 308, 127395. [Google Scholar] [CrossRef]
- Zhang, W.C.; Zhang, W.X.; Zhao, Y.G.; Wang, S.J.; Liu, J.; Li, Y. Water regime enhances the effects of flue gas desulfurization gypsum on the reclamation of highly saline-sodic soil. Land. Degrad. Dev. 2023, 34, 981–991. [Google Scholar] [CrossRef]
- Tang, R.L.; Zhao, B.C.; Li, C.; Xin, J.; Xu, B.W.; Tian, C.; Ning, J.; Li, L.; Shao, X. Experimental study on the effect of fly ash with ammonium salt content on the properties of cemented paste backfill. Constr. Build. Mater. 2023, 369, 130513. [Google Scholar] [CrossRef]
- Soumare, A.; Sarr, D.; DiÉDhiou, A.G. Potassium sources, microorganisms and plant nutrition: Challenges and future research directions. Pedosphere 2023, 33, 105–115. [Google Scholar] [CrossRef]
- Li, X.; Pan, M.B.; Tao, M.Y.; Liu, W.; Gao, Z.X.; Ma, C.L. Preparation of high closed porosity foamed ceramics from coal gangue waste for thermal insulation applications. Ceram. Int. 2022, 48, 37055–37063. [Google Scholar] [CrossRef]
- Zhang, M.Y.; Riaz, M.; Xia, H.; Li, Y.X.; Wang, X.L.; Jiang, C.C. Four-year biochar study: Positive response of acidic soil microenvironment and citrus growth to biochar under potassium deficiency conditions. Sci. Total Environ. 2022, 813, 152515. [Google Scholar] [CrossRef]
- Szabela, D.A.; Wolf, W.M. The Impact of Soil pH on Heavy Metals Uptake and Photosynthesis Efficiency in Melissa officinalis, Taraxacum officinalis, Ocimum basilicum. Molecules 2022, 27, 4671. [Google Scholar] [CrossRef]
- Dai, S.Q.; Sun, F.S.; Wang, L.; Wang, L.H.; Zhang, R.; Guo, H.; Xing, Y.; Gui, X. A new method for pre-enrichment of gallium and lithium based on mode of occurrence in coal gangue from Antaibao surface mine, Shanxi Province, China. J. Clean. Prod. 2023, 425, 138968. [Google Scholar] [CrossRef]
- Ju, J.; Feng, Y.; Li, H.; Xu, C.; Xue, Z.; Wang, B. Extraction of valuable metals from minerals and industrial solid wastes via the ammonium sulfate roasting process: A systematic review. Chem. Eng. J. 2023, 457, 141197. [Google Scholar] [CrossRef]











| Characteristics | Standard | Method | CG | FA | DG | |
|---|---|---|---|---|---|---|
| Basic Properties | pH | ASTM D4972-19 [28] | Electrode method | 3.81 | 10.83 | 7.18 |
| EC (μS/cm) | ISO 11265:1994/cor 1:1996 [29] | Electrode method | 1045 | 1442 | 2423 | |
| Specific gravity | ASTM D854-23 [30] | Pycnometer method | 2.42 | 3.16 | 2.19 | |
| Bulk density (g/cm3) | ASTM D1556 [31] | Sand-cone method | 1.35 | 0.84 | 0.83 | |
| Organic matter (g/kg) | ASTM D2974-20e1 [32] | High-temperature heating method | 65.097 | - | - | |
| Salt ion (g/kg) | ASTM D4542-15 [33] | Refractometer method | 1.193 | 2.976 | 10.511 | |
| Nutritive element content (mg/kg) | AP | NY/T 1121.7-2014 [34] | Sodium bicarbonate leaching-molybdenum antimony colorimetry method | 5.82 | 60.599 | 0.618 |
| AN | ISO 14255-1998 [35] | Calcium chloride extraction method | 10.11 | 142.86 | 10.85 | |
| AK | NY/T 889-2004 [36] | Amine acetate leaching-flame photometric method | 202.830 | 44.867 | 67.582 | |
| Salt ion content (mg/kg) | Ca2+ | ASTM D4373-21 | Volumetric method | 6.849 | 200.249 | 874.407 |
| K+ | LY/T 1251-1999 [37] | Optical spectrometer | 3.032 | 5.96 | 1.787 | |
| Mg2+ | ASTM D4542-15 | Optical spectrometer | 4.196 | 3.465 | 33.370 | |
| Na+ | ASTM D4542-15 | Optical spectrometer | 10.076 | 13.29 | 12.233 | |
| Cl− | ASTM D4542-15 | Mohr procedure method | 9.752 | 12.215 | 596.393 | |
| SO42− | ASTM C1580-20 [38] | Gravimetric analysis method | 767.463 | 1879.98 | 8792.762 | |
| CO32− | ASTM D4373-21 [39] | Volumetric method | 0.000 | 585.807 | 0.000 | |
| Group | Test Number | Mass Proportion (%) | ||
|---|---|---|---|---|
| CG | FA | DG | ||
| 1 | C100 | 100 | 0 | 0 |
| 2 | C80F10D10 | 80 | 10 | 10 |
| 3 | C80F6.7D13.4 | 6.7 | 13.4 | |
| 4 | C80F13.4D6.7 | 13.4 | 6.7 | |
| 5 | C60F20D20 | 60 | 20 | 20 |
| 6 | C60F13.3D26.6 | 13.3 | 26.6 | |
| 7 | C60F26.6D13.3 | 26.6 | 13.3 | |
| 8 | C40F30D30 | 40 | 30 | 30 |
| 9 | C40F20D40 | 20 | 40 | |
| 10 | C40F40D20 | 40 | 20 | |
Disclaimer/Publisher’s Note: The statements, opinions and data contained in all publications are solely those of the individual author(s) and contributor(s) and not of MDPI and/or the editor(s). MDPI and/or the editor(s) disclaim responsibility for any injury to people or property resulting from any ideas, methods, instructions or products referred to in the content. |
© 2024 by the authors. Licensee MDPI, Basel, Switzerland. This article is an open access article distributed under the terms and conditions of the Creative Commons Attribution (CC BY) license (https://creativecommons.org/licenses/by/4.0/).
Share and Cite
Shu, L.; Wang, H.; He, X. Physicochemical Properties and Planting Performance of Artificial Soil Developed from Multiple Coal-Based Solid Waste Materials. Sustainability 2024, 16, 1955. https://doi.org/10.3390/su16051955
Shu L, Wang H, He X. Physicochemical Properties and Planting Performance of Artificial Soil Developed from Multiple Coal-Based Solid Waste Materials. Sustainability. 2024; 16(5):1955. https://doi.org/10.3390/su16051955
Chicago/Turabian StyleShu, Libin, Hailong Wang, and Xingxing He. 2024. "Physicochemical Properties and Planting Performance of Artificial Soil Developed from Multiple Coal-Based Solid Waste Materials" Sustainability 16, no. 5: 1955. https://doi.org/10.3390/su16051955
APA StyleShu, L., Wang, H., & He, X. (2024). Physicochemical Properties and Planting Performance of Artificial Soil Developed from Multiple Coal-Based Solid Waste Materials. Sustainability, 16(5), 1955. https://doi.org/10.3390/su16051955
