Next Article in Journal
Does Environmental Protection Law Bring about Greenwashing? Evidence from Heavy-Polluting Firms in China
Previous Article in Journal
Impact of Engagement in Campus Sustainability Activities to Competency Development: Change Agents’ Experiences and Perspectives
 
 
Font Type:
Arial Georgia Verdana
Font Size:
Aa Aa Aa
Line Spacing:
Column Width:
Background:
Article

The Impact of Cultural Capital on Economic Growth Based on Green Low-Carbon Endogenous Economic Growth Model

School of Mathematical Science, Huaiyin Normal University, Huai’an 223300, China
Sustainability 2024, 16(5), 1781; https://doi.org/10.3390/su16051781
Submission received: 22 January 2024 / Revised: 16 February 2024 / Accepted: 19 February 2024 / Published: 21 February 2024

Abstract

This paper incorporates cultural capital, urbanization development level and carbon emission reduction input as endogenous factors into the endogenous economic growth model. By using optimal control theory and based on empirical analysis, this paper explores the relationship between cultural capital and green low-carbon endogenous economic growth. This paper finds that at the company level, cultural capital improves the technical efficiency and institutional efficiency of firms and then promotes economic growth. At the government level, cultural capital and government investment in urban fixed cultural assets promotes economic growth. At the resident level, the transformation of cultural capital into environmental protection awareness promotes firms and residents to independently practice green low-carbon behaviors. Firms can independently research and develop green low-carbon digital science and technology and produce green low-carbon digital goods, and residents can engage in green digital consumption, thereby reducing carbon emissions and carbon emission input and promoting economic growth. This paper explores the role of cultural capital in firms’ R&D, then promotes green low-carbon transformation of firms by exploring the role of cultural capital in government investment, promoting the government to increase investment in green low-carbon cultural education, exploring the impact of cultural capital on the thinking and behavior of firms and residents, and promoting the independent practice of green low-carbon behavior by firms and residents, ultimately promoting the development of a green low-carbon economy.

1. Introduction and Literature Review

This paper explores the impact of cultural capital on green and low-carbon endogenous economic growth, constructing an endogenous economic growth model that includes cultural capital, urbanization development level and carbon emission reduction input. Through optimal control theory, this paper explores the role of cultural capital in firms’ R&D, then promotes green low-carbon transformation of firms by exploring the role of cultural capital in government investment, promoting the government to increase investment in green low-carbon cultural education and promoting the independent practice of green low-carbon behavior by firms and residents, ultimately promoting the development of a green low-carbon economy.
“Cultural capital” refers to the capital composed of corporate culture, including the values, beliefs, behavioral norms and patterns of firms, as well as the material carriers of culture. The cultural capital of a firm is rooted in its body and integrated into its philosophy and management model. Cultural capital is divided into three levels: firstly, the material capital of employee learning and education; secondly, firms’ well-established systems, efficient management mechanisms, and other institutional capital support the effective operation of firms; and finally, the capital formed by the deep core driving forces of firms to independently practice green low-carbon behaviors.
Culture is a key factor in economic growth [1], and the relationship between environmental qualification and economic growth depends on deep-rooted cultural characteristics [2]. Cultural capital can be viewed from different perspectives [3], and can be strengthened, stimulated, and acquired through a process shaped by internal and external factors [4]. By studying the impact of cultural capital on economic growth, it was found that cultural capital mainly promoted economic growth through investment and consumption [5]. Cultural capital had a comprehensive and lasting impact on economic and social development, and will become the main driving force of China’s economic growth [6]. The stock of cultural capital promotes economic growth [7,8,9]. There is a multiple equilibrium relationship between the accumulation of cultural capital and economic growth [10]. Cultural diversity and human capital have a significant impact on regional economic growth [11].
The efficiency of green low-carbon innovative development is of great significance for promoting sustainable development [12], stimulating low-carbon oriented green development practices [13] and the study of the endogenous dynamics and growth theories driven by green low-carbon behavior, the rational choice, preference, and utility of green low-carbon behavior, sustainable development capability under green low-carbon behaviors, action and market impact under green low-carbon behavior [14], and carbon footprint and activities that affect low-carbon behavior [15,16,17]. The role of green growth in promoting sustainable environment was analyzed, and it was found that both linear and nonlinear terms of green growth can reduce carbon dioxide emissions [18]. Predecessors have studied the impact of green low-carbon technological innovation on economic growth [19] and the impact of digital economy [20] on green low-carbon development. In addition, we have studied the impact of green low-carbon transformation on carbon neutrality and sustainable development [21,22]. Wan et al. (2018) [23,24,25] incorporated green and low-carbon factors into the endogenous growth model and constructed a new endogenous growth model driven by green low-carbon behavior for the first time. Subsequently, the new endogenous growth model was analyzed in the context of carbon neutrality, health, education, and sudden disasters, exploring the impact of carbon neutrality dual-input levels and health, education, and sudden disasters on economic growth. Previous researchers have conducted extensive research on the development of urbanization.
The inverted N-shaped curve can better describe the impact of urbanization on carbon emissions [26]. Urbanization can lead to environmental degradation, and there was a bidirectional causal relationship between urbanization and environmental degradation in the short term [27]. Urbanization promoted sustainable energy technology innovation [28]. The urbanization driven by the digital economy was not only the application of information technology and urban expansion but also the synergy and interaction of knowledge, industrial structure, and resource allocation [29]. The level of new urbanization can be evaluated from five perspectives: population, economy, society, space, and ecology [30]. The new urbanization strategy can promote coordinated and sustainable development of the environment, economy, and society [31], and had an inverted U-shaped relationship with carbon dioxide emissions [32] and greatly improved the total factor energy efficiency of cities [33]. It had a significant dual-threshold effect on energy efficiency, and as the level of new urbanization increased, the improvement effect of new urbanization on energy efficiency showed a “strong weak strong” characteristic [34].
Based on the existing research, this paper takes cultural capital and urbanization development level as endogenous factors into the green low-carbon endogenous economic growth model and discusses their impact on green low-carbon endogenous economic growth.
The innovation points of this paper that differ from previous research are as follows. This article combines urbanization development with cultural capital into the final goods sector and considers the impact of urbanization development level on human capital accumulation level in the human capital section. A motion equation of urbanization development level is given, and the awareness of cultural capital transformation into environmental protection and the impact of government fixed cultural asset investment on reducing carbon emissions are considered in the carbon emission reduction input section. Those jointly are behind the model of this paper, exploring the relationship between economic growth rate and the impact of cultural capital stock on technological efficiency, as well as the impact of cultural capital stock on institutional efficiency, the relationship between economic growth rate and awareness of cultural capital transformation into environmental protection, as well as the impact of fixed cultural asset investment on environmental protection, the relationship between economic growth rate and the degree of complementarity between human capital and cultural capital investment, as well as the growth rate of cultural capital, the relationship between economic growth rate and cultural capital, as well as government investment in urban fixed cultural assets, the relationship between economic growth rate and carbon emission reduction input, as well as the awareness of transforming cultural capital into environmental protection, and the relationship between economic growth rate and carbon emission reduction input, as well as cultural capital.
The rest of this paper is organized as follows. In Section 2, a green low-carbon endogenous economic growth model is constructed that includes urbanization development and cultural capital, and the relationship between cultural capital and green low-carbon endogenous economic growth is explored. Section 3 is empirical analysis, analyzing the economic growth rate and its influencing factors in Section 2, mainly based on the China Statistical Yearbook 2022. Section 4 gives the conclusions and policy recommendations, and Section 5 the limitations.

2. Model Design

This paper mainly considers the final goods production sector, human capital, cultural capital, urbanization, carbon emission reduction input, environmental qualification and energy resources sector in the production sector; cultural capital, urbanization development level and carbon emission reduction input in the final goods sector; the impact of urbanization development level on the accumulation level of human capital in the human capital section; the government’s investment in fixed cultural assets in urban areas in the cultural capital sector; the promoting effect of government investment in fixed cultural assets in urban areas on urban development in the urbanization sector; the awareness of transforming cultural capital into environmental protection and the proportion of the impact of fixed cultural asset investment on environmental protection in the carbon emission reduction input sector; and the impact of cultural capital and urbanization development level on environmental qualification in the environmental qualification section. A household utility function is proposed, constructing a Hamiltonian function in order to solve the equilibrium economic growth rate, and then it is utilized to analyze and explore the relationship between the economic growth rate and the impact of cultural capital stock on technical efficiency, as well as the impact of cultural capital stock on institutional efficiency. The relationship between the awareness of transforming cultural capital into environmental protection is analyzed and explored, in addition to the degree of impact of fixed cultural asset investment on environmental protection and the economic growth rate, the relationship between the degree of complementarity between human capital and cultural capital investment, the growth rate of cultural capital, and the economic growth rate, the relationship between cultural capital, the government’s investment in urban fixed cultural assets, and the economic growth rate, the relationship between carbon emission reduction input, awareness of cultural capital transforming into environmental protection, and the economic growth rate, and the relationship between carbon emission reduction input, cultural capital, and economic growth rate.

2.1. Production Sector

The following seven subsections examine the final goods sector, human capital, cultural capital, urbanization, carbon emission reduction input, environmental qualification, and the energy resources sector in the production sector.

2.1.1. Final Goods Sector

In the final goods sector, cultural capital, urbanization development level, and carbon emission reduction input are included as endogenous factors in the endogenous growth model, and the following production function is constructed according to the Cobb–Douglas function:
Y = A ( N ) A 1 I ( G K ) α 1 ( u H ) α 2 E α 3 U α 4 e 1 α 1 α 2 α 3 α 4
where N represents the environmental qualification, A ( N ) represents the productivity function of environmental qualification, A 1 is a technical parameter, G is the cultural capital, K represents the physical capital, u H represents the human capital used in final goods production, u represents the proportion of human capital used for final goods production in total human capital, H represents the total human capital, E represents the energy input, U represents the urbanization development level, e is carbon emission reduction input, α 1 is the elastic coefficient of cultural capital, α 2 is the elastic coefficient of human capital used for final goods production, α 3 is the elastic coefficient of energy input, α 4 is the elastic coefficient of urbanization development level, and 1 α α 1 α 2 α 3 α 4 is the elastic coefficient of carbon emission reduction input. In Equation (1), A 1 = A G ϕ 1 , I = G η 1 , A ( N ) = N γ 1 . Here, A is the technical level, ϕ 1 is the impact of cultural capital stock on technical efficiency, η 1 is the impact of cultural capital stock on institutional efficiency, and γ 1 is the output share of environmental qualification.
This paper focuses on the impact of simultaneous investment of cultural capital and human capital on economic growth, which will be regarded as a constant— K . In this paper, let K = 1 .
Therefore, this paper obtains the Equation (2), which is a rewrite of Equation (1):
Y = N γ 1 A G ϕ 1 + η 1 + α 1 ( u H ) α 2 E α 3 U α 4 e 1 α 1 α 2 α 3 α 4

2.1.2. Human Capital

In the following, human capital is divided into three parts, that is, human capital used for goods production, u H , human capital used for R&D to reduce carbon emissions, u 1 H , and human capital used for education, ( 1 u 1 u ) H :
H ˙ = δ H ( 1 u u 1 ) H + δ 1 u 1 H + ε γ H + U β H
where δ H indicates the growth rate of new human capital generated through education, u 1 represents the share of human capital in education used for research and development to reduce carbon emissions as a percentage of total human capital, δ 1 represents productivity parameters, ε indicates the influence of cultural capital growth rate on human capital accumulation, which reflects the degree of complementarity between human capital and cultural capital investment, γ represents the growth rate of cultural capital, U represents the development level of urbanization, and β represents the elasticity coefficient of urbanization development level, which reflects the degree of impact of urbanization development level on human capital accumulation level.

2.1.3. Cultural Capital

Here, without considering capital depreciation and considering government investment in cultural assets, the net cultural investment obtained is as follows:
G ˙ = Y C G U
where C represents consumption and G U represents government investment in fixed cultural assets in urban areas.

2.1.4. Urbanization

According to Wang (2016) [35], the motion equation of urbanization development over time is as follows:
U ˙ = v χ U + ξ 1 G U
where χ is a parameter variable used to measure the “barrier effect” of urban–rural dual structure on urbanization development, ν is a parameter variable used to measure the “engine effect” of urban–rural dual structure on urbanization development, and ξ 1 indicates the promoting effect of fixed cultural asset investment by the government on urban development.

2.1.5. Carbon Emission Reduction Input

Based on Wan et al. (2022) [24] in their research on carbon emission reduction, considering the impact of cultural capital and urbanization development level on carbon emission reduction input, the awareness of cultural capital transforming into environmental protection and the impact of government fixed cultural asset investment on carbon emission reduction, the following motion equation of carbon emission reduction input is obtained:
e ˙ = e ξ ( u 1 H ) ς + a e + G a 1 e + b 1 G U e
where ξ indicates the elasticity of carbon emissions in terms of pollution, ς indicates the elasticity of emission reduction technologies in terms of carbon emissions, a represents the self-cleaning ability of the environment, a 1 is the awareness of cultural capital transforming into environmental protection, and b 1 is the proportion of the impact of fixed cultural asset investment in environmental protection.

2.1.6. Environmental Qualification

As per Section 2.1.5, based on Wan et al. (2022) [24] in their research on environmental qualification, considering the impact of cultural capital and urbanization development level on environmental qualification, the awareness of cultural capital transforming into environmental protection, and the impact of government fixed cultural asset investment on environmental qualification, the following motion equation of environmental qualification is obtained:
N ˙ = T Y δ Y + a N + G a 1 N + b 1 G U N
where T Y is an environmental expenditure, mainly used to reduce and control pollution, T is the emission reduction expenditure rate, δ Y is the pollution emission level, and δ is the emission output coefficient.

2.1.7. Energy and Resources Sector

The motion equation of energy accumulation is as follows:
S ˙ = z ω ϕ S E γ 2
where z is new energy research and development factors, ω is the energy regeneration rate, ϕ is the proportion of renewable energy, S is natural energy reserves, E is total energy consumption, and γ 2 is the elastic coefficient of energy output.

2.2. Household

Based on Chu and Lai (2014) [36] and Chen et al. (2013) [37], this paper takes the household utility function into consideration, which includes environmental qualification N , consumption C , and carbon emission reduction input e . Therefore, the household utility function can be expressed as follows:
U ( c , N , e ) = ( C N η ) 1 σ 1 1 σ e 1 + ω 1 1 + ω 1
where U is the household utility function, ω 1 is personal awareness of environmental participation, σ is the relative risk aversion coefficient, and η is the environment qualification for utility weights: σ , η > 0 , ω 1 < 0 .

2.3. Model Solution

The utility function is maximized as follows:
M a x 0 [ ( ( C N η ) 1 σ 1 1 σ e 1 + ω 1 1 1 + ω 1 ) exp ( ρ t ) ] d t s . t . H ˙ = δ H ( 1 u u 1 ) H + δ 1 u 1 H + ε γ H + U β H G ˙ = Y C G U U ˙ = v χ U + ξ 1 G U e ˙ = e ξ ( u 1 H ) ς + a e + G a 1 e + b 1 G U e N ˙ = T Y δ Y + a N + G a 1 N + b 1 G U N S ˙ = z ω ϕ S E γ 2
where ρ is the discount rate of subjective time.
The Hamilton function is built as follows:
J = [ ( C N η ) 1 σ 1 1 σ e 1 + ω 1 1 1 + ω 1 ] + λ 1 [ δ H ( 1 u u 1 ) H + δ 1 u 1 H + ε γ H + U β H ]     + λ 2 ( Y C G U ) + λ 3 ( v χ U + ξ 1 G U ) + λ 4 [ e ξ ( u 1 H ) ς + a e + G a 1 e + b 1 G U e ]     + λ 5 ( T Y δ Y + a N + G a 1 N + b 1 G U N ) + λ 6 ( z ω ϕ S E γ 2 )
where C and E are control variables, H , G , U , e , N , and S are state variables, and λ 1 , λ 2 , λ 3 , λ 4 , λ 5 , and λ 6 are the corresponding shadow prices. The shadow price represents the value of various variables at time t measured in units of utility at 0.
Thus, the first-order condition is obtained:
N η ( 1 σ ) C σ = λ 2
λ 2 + λ 5 ( T δ ) = λ 6 γ 2 E γ 2 α 3 Y
The Euler equations are as follows:
λ ˙ 1 = ρ λ 1 λ 1 [ δ 1 ( 1 u u 1 ) + ε γ + U β + δ 1 u 1 ] + λ 4 ς e ξ u 1 ς H ς 1 λ 6 γ 2 E γ 2 α 2 α 3 H
λ ˙ 2 = ρ λ 2 λ 5 a 1 G a 1 1 N λ 4 a 1 G a 1 1 e ( ϕ 1 + η 1 + α 1 ) λ 6 γ 2 E γ 2 α 3 G
λ ˙ 3 = ρ λ 3 λ 1 β U β 1 H λ 3 v χ α 4 λ 6 γ 2 E γ 2 α 3 U
λ ˙ 4 = ρ λ 4 + e ω 1 λ 4 [ ξ e ξ 1 ( u 1 H ) ς + a + G a 1 + b 1 G U ] ( 1 α 1 α 2 α 3 α 4 ) λ 6 γ 2 E γ 2 α 3 e
λ ˙ 5 = ρ λ 5 η N η ( 1 σ ) 1 C 1 σ λ 5 ( a + G a 1 + b 1 G U ) γ 1 λ 6 γ 2 E γ 2 α 3 N
λ ˙ 6 = ρ λ 6 λ 6 z ω ϕ
Further analysis of Equations (13)–(18) reveals that:
λ ˙ 1 λ 1 = ρ [ δ 1 ( 1 u u 1 ) + ε γ + U β + δ 1 u 1 ] + λ 4 λ 1 ς e ξ u 1 ς H ς 1 λ 6 γ 2 E γ 2 α 2 λ 1 α 3 H
λ ˙ 2 λ 2 = ρ λ 5 λ 2 a 1 G a 1 1 N λ 4 λ 2 a 1 G a 1 1 e ( ϕ 1 + η 1 + α 1 ) λ 6 γ 2 E γ 2 λ 2 α 3 G
λ ˙ 3 λ 3 = ρ λ 1 λ 3 β U β 1 H v χ α 4 λ 6 γ 2 E γ 2 λ 3 α 3 U
λ ˙ 4 λ 4 = ρ + e ω 1 λ 4 ξ e ξ 1 ( u 1 H ) ς a G a 1 b 1 G U ( 1 α 1 α 2 α 3 α 4 ) λ 6 γ 2 E γ 2 λ 4 α 3 e
λ ˙ 5 λ 5 = ρ η N η ( 1 σ ) 1 C 1 σ λ 5 a G a 1 b 1 G U γ 1 λ 6 γ 2 E γ 2 λ 5 α 3 N
λ ˙ 6 λ 6 = ρ z ω ϕ
According to Equations (2)–(8) and (19)–(24), the economic growth rate can be obtained as follows:
g Y = α 2 [ δ H ( 1 u 1 u ) + δ 1 u 1 + ε γ + U β ] α 3 γ 2 ( ρ z ω ϕ ) + ( 1 α 1 α 2 α 3 α 4 ) [ e ξ 1 ( u 1 H ) ς + a + G a 1 + b 1 G U ] 1 γ 1 ϕ 1 η 1 α 1 α 4 α 3 [ η ( 1 σ ) + 1 σ ] γ 2

3. Empirical Analysis

Based on Equation (25), Wan et al. (2018) (2021) (2022) [23,24,25], and data from the China Statistical Yearbook 2022 [38], this section conducts an empirical analysis of the economic growth rate and explores the relationship between the impact of cultural capital stock on technical efficiency, the impact of cultural capital stock on institutional efficiency, and economic growth, as well as the relationship between the awareness of transforming cultural capital into environmental protection, the degree of impact of fixed cultural asset investment on environmental protection and the economic growth rate, the relationship between the degree of complementarity between human capital and cultural capital investment, the growth rate of cultural capital, and the economic growth rate, the relationship between cultural capital, the government’s investment in urban fixed cultural assets, and the economic growth rate, the relationship between carbon emission reduction input, awareness of cultural capital transforming into environmental protection, and the economic growth rate, and the relationship between carbon emission reduction input, cultural capital, and the economic growth rate. According to the China Statistical Yearbook 2022 [38], this paper assumes parameter values of α 1 = 0.0233 , α 2 = 0.1268 , α 3 = 0.6554 , α 4 = 0.0465 , δ H = 0.0066 , u = 0.2250 , u 1 = 0.1159 , ε = 0.0089 , γ = 0.0147 , U = 4.9000 , β = 0.4000 , δ 1 = 0.8503 , γ 2 = 0.7700 , z = 0.3218 , ω = 0.0631 , ϕ = 0.1660 , e = 2.5705 , ξ = 1.2000 , H = 1.7014 , ς = 0.6400 , G = 0.0152 , and G U = 0.3985 . In accordance with Wan et al. (2018) (2021) (2022) [23,24,25], this paper assumes parameter values of ρ = 0.0500 , a = 0.5000 , γ 1 = 0.7700 , η = 0.7000 , and σ = 1.5000 . The specific data sources and values are shown in Table 1.
(1)
The relationship between the impact of cultural capital stock on technical efficiency, the impact of cultural capital stock on institutional efficiency, and the economic growth rate
Figure 1 is drawn according to the data in Table 1 and Equation (25), describing the relationship between the impact of cultural capital stock on technical efficiency ϕ 1 , the impact of cultural capital stock on institutional efficiency η 1 , and the economic growth rate g Y .
From Figure 1, it can be observed that the economic growth rate g Y increases with the increase in impact of cultural capital stock on technical efficiency ϕ 1 and the impact of cultural capital stock on institutional efficiency η 1 , and the growth rate is slow first and then fast. This is because cultural capital refers to the capital composed of corporate culture, namely, corporate values, beliefs, behavioral norms and patterns, and the material carrier of culture. A firm’s cultural capital is rooted in its philosophy and management model. Firms continue to learn from advanced technologies at home and abroad. The stock of cultural capital continues to increase. The impact of cultural capital stock on institutional efficiency and technical efficiency is also increasing. Then, the system, efficiency, and economic growth rate are all improved. At first, the exploration of advanced technologies at home and abroad was in the stage of learning by reference and imitation. Therefore, although the stock of cultural capital has improved the institutional efficiency and technical efficiency of firms, improved the management mode of firms, and improved the technical level of firms, the economic growth has been slow. With the increase in the stock of cultural capital, firms have gone beyond learning and imitation of advanced technologies at home and abroad, highlighted the dominant position of independent innovation, made use of the internet, big data, artificial intelligence and other new-generation information technologies, determined production based on demand, and vigorously promoted flexible manufacturing, biological manufacturing, and other ways to achieve “cost reduction, efficiency increase and quality improvement,” thus improving the overall production efficiency and reducing the waste of raw materials, in order to deliver higher-quality goods with lower cost and higher efficiency, promote digital thinking innovation, increase capital investment in digital technology, strengthen the construction of digital infrastructure, and realize digital transformation, then exploring a new digital, intelligent, and green production and operation model through continuous practice and application, resulting in rapid economic growth.
(2)
The relationship between the awareness of cultural capital transforming into environmental protection, the impact of fixed cultural asset investment on environmental protection, and the economic growth rate
Figure 2 is drawn according to the data in Table 1 and Equation (25), describing the relationship between the awareness of transforming cultural capital into environmental protection a 1 , the impact of fixed cultural asset investment on environmental protection b 1 , and the economic growth rate g Y .
From Figure 2, it can be observed that the economic growth rate g Y first decreases and then increases under the combined effect of the awareness of cultural capital transforming into environmental protection a 1 and the impact of fixed cultural asset investment on environmental protection b 1 . This is because improvements in education level drive awareness of cultural capital transforming into environmental protection between firms and residents. The government has increased investment in fixed cultural assets for environmental protection, and the impact of fixed cultural assets on environmental protection has become greater and greater. However, at the beginning, the awareness of firms and residents of environmental protection increased, but their behavior was not perfect, so the firms are in the stage of learning by reference and imitation for green low-carbon technologies at home and abroad, which requires a lot of physical capital and human capital, so the degree of economic growth was still decreasing. With the improvement in the transformation of cultural capital between firms and residents into environmental protection awareness, firms are no longer simply learning from and imitating advanced technologies at home and abroad, but are committed to independent innovation and research and development of new green low-carbon science and technology, combining big data, artificial intelligence and so on with new green low-carbon science and technology, forming a new production and operation model that is digital, intelligent, and green, thus promoting green low-carbon consumer behavior of consumers. Therefore, economic growth is enhanced.
(3)
The relationship between the degree of complementarity between human capital and cultural capital investment, the growth rate of cultural capital, and the economic growth rate
Figure 3 is drawn according to the data in Table 1 and Equation (25), describing the relationship between cultural capital growth rate on human capital accumulation, that is, the degree of complementarity between human capital ε and cultural capital investment, and the relationship between cultural capital growth rate γ and economic growth rate g Y .
From Figure 3, it can be observed that under the combined effect of the growth rate of cultural capital on the accumulation of human capital, that is, the degree of complementarity between human capital and cultural capital investment ε and the growth rate of cultural capital γ , economic growth takes the lead in growth and declines after reaching a certain threshold. This is because with increased cultural capital, the growth rate of cultural capital is also increasing. With improvements in education of firms and residents, firms independently innovate and develop new green low-carbon science and technology, combine big data, artificial intelligence and so on with new green low-carbon science and technology, form a new production and operation model that is digital, intelligent, and green, and then promote consumers’ green low-carbon consumer behavior, so economic growth shows an upward trend, but when green low-carbon science and technology become mature and develop to a certain extent, more human capital will no longer be needed and many people will face the risk of unemployment, resulting in a downward economic trend.
(4)
The relationship between cultural capital, government investment in urban fixed cultural assets, and economic growth rate
Figure 4 is drawn according to the data in Table 1 and Equation (25), describing the relationship between the economic growth rate g Y and cultural capital G and government investment in urban fixed cultural assets G U .
Through Figure 4, it can be observed that under the combined action of cultural capital G and government investment in urban fixed cultural assets G U , the economic growth rate g Y is gradually increasing. This is because with the increase in cultural capital investment of firms and residents and the increase in government investment in fixed cultural assets, firms’ values, beliefs, codes of conduct and models have changed, and residents’ consumption awareness has also changed. Firms focus on independent research and development of green low-carbon science and technology, focus on digital thinking and innovation, integrate artificial intelligence and big data, and explore a new production and operation mode of digitization, intelligence and greening. Consumers follow green principles, so the economy gradually grows.
(5)
The relationship between carbon emission reduction input, awareness of transforming cultural capital into environmental protection, and economic growth rate
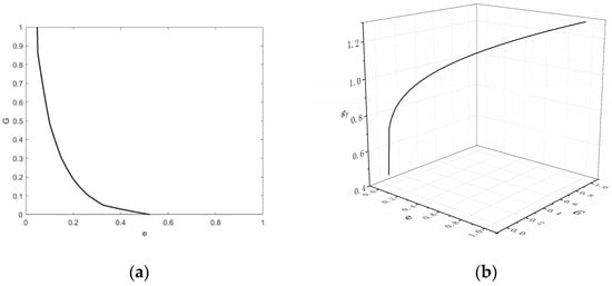
Figure 5 is drawn according to the data in Table 1 and Equation (25). Figure 5a shows the relationship between awareness of transforming cultural capital into environmental protection a 1 and the carbon emission reduction input e . Figure 5b shows the relationship between the carbon emission reduction input e , awareness of transforming cultural capital into environmental protection a 1 , and the economic growth rate g Y .
In Figure 5a, it can be observed that the carbon emission reduction input increases with the increase in awareness of transforming cultural capital into environmental protection. At first, with the increase in cultural capital converted into environmental protection awareness, the carbon emission reduction input expanded and then stabilized. This is because with the increase in cultural capital converted into environmental protection awareness, firms and residents have become more aware of the importance of environmental protection. Firms have increased investment in reducing carbon emissions in the production process, continued to carry out green low-carbon goods research and development and green scientific and technological innovation, and produced green low-carbon goods, thereby reducing carbon emissions. Residents continuously enhance their awareness of green consumption and adopt green consumption methods to consume green low-carbon goods, which also reduces carbon emissions. With the continuous increase in the transformation of cultural capital into environmental protection awareness, firms continue to explore innovation, focus on digital thinking innovation, integrate artificial intelligence and big data into this endeavor, and explore a new production and operation model that is digital, intelligent and green. At this time, the impact of the increase in cultural capital into environmental protection awareness on reducing carbon emissions investment is gradually reduced, so the trend of reducing carbon emissions investment is gradually stable. In Figure 5b, it can be observed that with the increase in carbon emission reduction input and the transformation of cultural capital into environmental protection awareness, economic growth takes the lead in rapid growth and then stabilizes. This is because as cultural capital is transformed into environmental protection awareness, the investment in reducing carbon emissions also increases. At first, firms’ research on and development of green low-carbon science and technology is at an exploratory stage. With the transformation of cultural capital into environmental protection awareness, the firms reduce carbon emissions investment in the research and development process, achieving cost reduction, increased efficiency, and quality improvement, thus improving overall production efficiency, delivering higher-quality goods with lower costs and higher efficiency, promoting economic development, and continuously increasing economic growth. As firms continue to explore green low-carbon science and technology and finally integrate artificial intelligence and big data into this endeavor, they achieve a new production and operation model of digitization, intelligence and greening. Then the transformation of cultural capital into awareness of environmental protection and the reduction in carbon emissions have little impact on economic growth, so economic growth tends to be flat.
(6)
The relationship between carbon emission reduction input, cultural capital, and economic growth rate
Figure 6 is drawn according to the data in Table 1 and Equation (25). Figure 6a shows the relationship between cultural capital G and carbon emission reduction input e . Figure 6b shows the relationship between carbon emission reduction input e , cultural capital G , and economic growth rate g Y .
In Figure 6a, it can be observed that the carbon emissions reduction input decreases with the increase in cultural capital. This is because with the increase in cultural capital, firms and residents have received more education on energy conservation, emission reduction and green innovation, independently practiced green low-carbon behavior, then the corporate values, beliefs, codes of conduct and models of firms have changed, the new production and operation models of digitization, intelligence and greening have been explored, and consumers’ consumption concepts have changed. These changes lead to a reduction in carbon emissions during production and consumption, resulting in a corresponding reduction in investment in reducing carbon emissions. Through Figure 6b, it can be observed that the economic growth rate increases with the increase in cultural capital and carbon emission reduction input—fast first and then slow. This is because with the increase in investment in cultural capital, firms have more capital to learn from and imitate advanced technologies at home and abroad. These advanced technologies reduce carbon emissions and produce energy-saving and emission reduction goods, thus realizing cost reduction, efficiency increase and quality improvement of firms’ goods, improving overall production efficiency, promoting economic development and increasing economic growth. With the continuous increase in investment in cultural capital, firms are not only satisfied with imitation and learning of advanced technologies at home and abroad but also increase their efforts in independent innovation, strengthen their dominant position in independent innovation, continue to explore on the basis of existing green low-carbon technologies, and finally integrate artificial intelligence and big data into this endeavor, realizing a new production and operation model of digitization, intelligence and greening. Then, cultural capital and carbon emission reduction input have little impact on economic growth, so economic growth tends to be flat.

4. Conclusions and Policy Recommendations

4.1. Conclusions

This paper takes cultural capital, urbanization development level, and carbon emission reduction input as endogenous factors into an endogenous economic growth model. By using optimal control theory and based on data from the China Statistical Yearbook 2022, this paper explores the relationship between cultural capital and green low-carbon endogenous economic growth. This paper finds that the impact of cultural capital on firms’ technical efficiency and institutional efficiency promotes economic growth, cultural capital and the government’s investment in urban fixed cultural assets promote economic growth, and awareness of reducing carbon emissions and transforming cultural capital into environmental protection promotes economic growth. However, awareness of cultural capital transforming into environmental protection and the impact of fixed cultural assets on environmental protection on economic growth showed a downward trend first and then an upward trend, while the degree of complementarity between human capital and cultural capital investment and the impact of cultural capital growth rate on economic growth showed a downward trend first and then an upward trend. This paper explores the role of cultural capital in firms’ R&D, then promotes green low-carbon transformation of firms by exploring the role of cultural capital in government investment, promoting the government to increase investment in green low-carbon cultural education, exploring the impact of cultural capital on the thinking and behavior of firms and residents, promoting the independent practice of green low-carbon behavior by firms and residents, and ultimately promoting the development of a green low-carbon economy.

4.2. Policy Recommendations

(1)
Firms should increase investment in employee cultural capital to provide them with more opportunities for learning and exchange, expand their knowledge reserves, enhance their cultural literacy, learn and absorb advanced technologies from home and abroad, and acquire the ability to improve and innovate, improve the institutional efficiency and technical efficiency of firms, improve firm management models, continuously innovate independently, promote green low-carbon goods, and then promote economic growth.
(2)
The independent practice of green low-carbon behavior by firms and residents promotes carbon emissions reduction and promotes economic growth at a certain critical threshold, but slows economic growth after that threshold.
(3)
The government should increase investment in green low-carbon cultural education for firms and residents, promote a shift in their thinking, and independently practice green low-carbon behaviors. The awareness of transforming cultural capital into environmental protection among firms and residents can help improve economic growth rates.

5. Limitations

(1)
This paper focuses on the impact of simultaneous investment in cultural capital and human capital on economic growth, treating physical capital as a constant of 1.
(2)
This paper does not consider capital depreciation for the three types of capital: cultural, physical, and human.

Funding

This paper is supported by the Natural Science Foundation of the Jiangsu Higher Education Institutions of China (grant 23KJB630002).

Institutional Review Board Statement

Not applicable.

Informed Consent Statement

Not applicable.

Data Availability Statement

Data are contained within the article.

Conflicts of Interest

The author declares no conflicts of interest.

References

  1. Kafka, K.I.; Kostis, P.C. Post-materialism and economic growth: Cultural backlash, 1981–2019. J. Comp. Econ. 2021, 49, 901–917. [Google Scholar] [CrossRef]
  2. Varvarigos, D. Cultural persistence in corruption, economic growth, and the environment. J. Econ. Dyn. Control 2023, 147, 104590. [Google Scholar] [CrossRef]
  3. Tilbrook, N.; Shifrer, D. Field-specific cultural capital and persistence in college majors. Soc. Sci. Res. 2022, 103, 102654. [Google Scholar] [CrossRef]
  4. Rossetti, G.; Quinn, B. Understanding the cultural potential of rural festivals: A conceptual framework of cultural capital development. J. Rural Stud. 2021, 86, 46–53. [Google Scholar] [CrossRef]
  5. Zhang, Y.Y. Financial development, cultural capital and economic growth. J. Reg. Financ. Res. 2020, 7, 34–39. [Google Scholar]
  6. Wang, Y.; Long, Z.H.; Chen, Q.Q. The impact of cultural capital on China’s economic growth—Based on the extended MRW model. Soft Sci. 2013, 27, 12–16. [Google Scholar]
  7. Song, Q.; Wang, P.Y.; Zhang, B. Evaluation of regional cultural capital stock and its Impact on Economic Growth: A Case Study of Shaanxi Province. Reg. Econ. (Product. Res.) 2022, 2, 43–49. [Google Scholar]
  8. Zhang, L.L.; Yuan, K.H. Research on the stock estimation of inter provincial cultural capital and the effect of economic growth. Stat. Inf. Forum 2018, 5, 39–49. [Google Scholar]
  9. He, W.Z. An empirical analysis of cultural capital, economic growth and factor contribution rate. Soc. Sci. 2018, 4, 75–81. [Google Scholar]
  10. Feng, Y.F.; Li, J. Multiple equilibrium between cultural capital accumulation and economic growth: Theory and Chinese experience. Stat. Inf. Forum 2020, 35, 32–37. [Google Scholar]
  11. Shaban, A.; Khan, S. Cultural diversity, human capital, and regional economic growth in India. Reg. Sci. Policy Pract. 2023, 5, 973–992. [Google Scholar] [CrossRef]
  12. Yang, H.D.; Zhang, X.L.; Liu, B.Y.; Huang, Y.L. Evaluation of green low-carbon innovation development efficiency: An improved two-stage non-cooperative DEA model. J. Clean. Prod. 2023, 400, 136662. [Google Scholar] [CrossRef]
  13. Zhang, J.J.; Zheng, T.J. Can dual pilot policy of innovative city and low carbon city promote green lifestyle transformation of residents? J. Clean. Prod. 2023, 405, 136711. [Google Scholar] [CrossRef]
  14. Liu, Y.; Wen, Y.X.; Xiao, Y.L.; Zhang, L.C.; Huang, S. Identification of the enterprise financialization motivation on crowding out R&D innovation: Evidence from listed companies in China. AIMS Math. 2024, 9, 5951–5970. [Google Scholar]
  15. Xiao, J.; Zhen, Z.L.; Tian, L.X.; Su, B.; Chen, H.; Zhu, A.X. Green behavior towards low-carbon society: Theory, measurement and action. J. Clean. Prod. 2021, 278, 123765. [Google Scholar] [CrossRef]
  16. Mohamed, A.; Roman, M. Revisiting the Energy-Growth nexus with debt channel. A wavelet time-frequency analysis for a panel of Eurozone-OECD countries. Data Sci. Financ. Econ. 2023, 3, 133–151. [Google Scholar]
  17. Idowu, A.; Ohikhuare, O.M.; Chowdhury, M.A. Does industrialization trigger carbon emissions through energy consumption? Evidence from OPEC countries and high industrialised countries. Quant. Financ. Econ. 2023, 7, 165–186. [Google Scholar] [CrossRef]
  18. Hao, L.N.; Umar, M.; Khan, Z.; Ali, W. Green growth and low carbon emission in G7 countries: How critical the network of environmental taxes, renewable energy and human capital is? Sci. Total Environ. 2021, 752, 141853. [Google Scholar] [CrossRef]
  19. Lai, X.D.; Shi, Q. Chapter 7: Green and low-carbon technology innovations. In Innovation Strategies in Environmental Science; Elsevier: Amsterdam, The Netherlands, 2020; pp. 209–253. [Google Scholar]
  20. Wang, Z.Y.; Liang, F.Y.; Li, C.M.; Xiong, W.Z.; Chen, Y.; Xie, F.B. Does China’s low-carbon city pilot policy promote green development? Evidence from the digital industry. J. Innov. Knowl. 2023, 8, 100339. [Google Scholar] [CrossRef]
  21. Tan, Y.; Ying, X.Y.; Gao, W.J.; Wang, S.; Liu, Z.H. Applying an extended theory of planned behavior to predict willingness to pay for green and low-carbon energy transition. J. Clean. Prod. 2023, 387, 135893. [Google Scholar] [CrossRef]
  22. Wang, C.M. Study on the dynamic evaluation of the regional green low-carbon transformation in China evidence from Qingdao, Yantai and Weihai. Chaos Solitons Fractals 2016, 89, 147–152. [Google Scholar] [CrossRef]
  23. Wan, B.Y.; Tian, L.X.; Zhu, N.P.; Gu, L.Q.; Zhang, G.Y. A new endogenous growth model for green low-carbon behavior and its comprehensive effects. Appl. Energy 2018, 230, 1332–1346. [Google Scholar] [CrossRef]
  24. Wan, B.Y.; Tian, L.X. Health-education-disaster green low-carbon endogenous economic growth model and its new accompanying effects. J. Clean. Prod. 2022, 359, 131923. [Google Scholar] [CrossRef]
  25. Wan, B.Y.; Tian, L.X.; Fu, M.; Zhang, G.Y. Green development growth momentum under carbon neutrality scenario. J. Clean. Prod. 2021, 316, 128327. [Google Scholar] [CrossRef]
  26. Yao, Y.R.; Shen, Y.; Liu, K.X. Investigation of resource utilization in urbanization development: An analysis based on the current situation of carbon emissions in China. Resour. Policy 2023, 82, 103442. [Google Scholar] [CrossRef]
  27. Warsame, A.A.; Abdi, A.H.; Amir, A.Y.; Azman-Saini, W.N.W. Towards sustainable environment in Somalia: The role of conflicts, urbanization, and globalization on environmental degradation. J. Clean. Prod. 2023, 46, 136856. [Google Scholar] [CrossRef]
  28. Chen, J.X.; Wei, S.W.; Mei, C. Do structural transformation and urbanization assist in enhancing sustainable energy technologies innovations? Evidence from ASEAN countries. Renew. Energy 2023, 211, 895–902. [Google Scholar] [CrossRef]
  29. Zhao, Y.; Song, Z.Y.; Chen, J.; Dai, W. The mediating effect of urbanisation on digital technology policy and economic development: Evidence from China. J. Innov. Knowl. 2023, 8, 100318. [Google Scholar] [CrossRef]
  30. Huang, Z.Y.; An, X.Y.; Cai, X.R.; Chen, Y.N.; Liang, Y.Q.; Hu, S.X.; Wang, H. The impact of new urbanization on PM2.5 concentration based on spatial spillover effects: Evidence from 283 cities in China. Sustain. Cities Soc. 2023, 90, 104386. [Google Scholar] [CrossRef]
  31. Zeng, L.J.; Zhao, Y.; Wang, X.L. How to develop the new urbanization in mineral resources abundant regions in China? A VIKOR-based path matching model. Resour. Policy 2022, 79, 103095. [Google Scholar] [CrossRef]
  32. Zhang, W.S.; Xu, Y.; Jiang, L.; Streets, D.G.; Wang, C. Direct and spillover effects of new-type urbanization on CO2 emissions from central heating sector and EKC analyses: Evidence from 144 cities in China. Resour. Conserv. Recycl. 2023, 192, 106913. [Google Scholar] [CrossRef]
  33. Xiao, Y.; Huang, H.; Qian, X.M.; Zhang, L.Y.; An, B.W. Can new-type urbanization reduce urban building carbon emissions? New evidence from China. Sustain. Cities Soc. 2023, 90, 104410. [Google Scholar] [CrossRef]
  34. Feng, Y.D.; Yuan, H.X.; Liu, Y.B. The energy-saving effect in the new transformation of urbanization. Econ. Anal. Policy 2023, 78, 41–59. [Google Scholar] [CrossRef]
  35. Wang, Z.B. Energy consumption, environmental governance and green taxation in the process of urbanization: A green endogenous economic growth model. J. Yunnan Univ. Financ. Econ. 2016, 178, 49–61. [Google Scholar]
  36. Chu, H.; Lai, C.C. Abatement R&D, Market Imperfections, and Environmental Policy in an Endogenous Growth Model. J. Econ. Dyn. Control 2014, 41, 20–37. [Google Scholar]
  37. Chen, Z.L.; Wang, G.H.; Niu, W.Y. Economic growth model and empirical analysis under the constraints of energy and environment. Math. Pract. Theory 2013, 43, 46–53. [Google Scholar]
  38. National Bureau of Statistics of the People’s Republic of China. China Statistical Yearbook; China Statistics Press: Beijing, China, 2022.
Figure 1. The relationship between the impact of cultural capital stock on technical efficiency, the impact of cultural capital stock on institutional efficiency, and the economic growth rate.
Figure 1. The relationship between the impact of cultural capital stock on technical efficiency, the impact of cultural capital stock on institutional efficiency, and the economic growth rate.
Sustainability 16 01781 g001
Figure 2. The relationship between the awareness of cultural capital transforming into environmental protection, the impact of fixed cultural asset investment on environmental protection, and the economic growth rate.
Figure 2. The relationship between the awareness of cultural capital transforming into environmental protection, the impact of fixed cultural asset investment on environmental protection, and the economic growth rate.
Sustainability 16 01781 g002
Figure 3. The relationship between the degree of complementarity between human capital and cultural capital investment, as well as between the growth rate of cultural capital and the economic growth rate.
Figure 3. The relationship between the degree of complementarity between human capital and cultural capital investment, as well as between the growth rate of cultural capital and the economic growth rate.
Sustainability 16 01781 g003
Figure 4. The relationship between cultural capital, government investment in urban fixed cultural assets, and economic growth rate.
Figure 4. The relationship between cultural capital, government investment in urban fixed cultural assets, and economic growth rate.
Sustainability 16 01781 g004
Figure 5. The relationship between carbon emission reduction input, awareness of transforming cultural capital into environmental protection, and economic growth rate.
Figure 5. The relationship between carbon emission reduction input, awareness of transforming cultural capital into environmental protection, and economic growth rate.
Sustainability 16 01781 g005
Figure 6. The relationship between carbon emission reduction input, cultural capital, and economic growth rate.
Figure 6. The relationship between carbon emission reduction input, cultural capital, and economic growth rate.
Sustainability 16 01781 g006
Table 1. Baseline parameters.
Table 1. Baseline parameters.
Data SourceNumerical Value
α 1 China Statistical Yearbook 2022 1-50.0233
α 2 China Statistical Yearbook 2022 1-50.1268
α 3 China Statistical Yearbook 2022 9-30.6554
α 4 China Statistical Yearbook 2022 1-50.0465
δ H China Statistical Yearbook 2022 4-60.0066
u China Statistical Yearbook 2022 4-50.2250
u 1 China Statistical Yearbook 2022 4-50.1159
ε China Statistical Yearbook 2022 4-50.0089
γ China Statistical Yearbook 2022 4-60.0147
U China Statistical Yearbook 2022 10-54.9000
β China Statistical Yearbook 2022 10-50.4000
δ 1 China Statistical Yearbook 2022 13-10.8503
γ 2 China Statistical Yearbook 2022 9-70.7700
ρ Wan et al. (2018), (2021), (2022) [23,24,25]0.0500
z China Statistical Yearbook 2022 20-20.3218
ω China Statistical Yearbook 2022 9-10.0631
ϕ China Statistical Yearbook 2022 9-20.1660
e China Statistical Yearbook 2022 9-12.5705
ξ China Statistical Yearbook 2022 9-71.2000
H China Statistical Yearbook 2022 4-51.7014
ς China Statistical Yearbook 2022 9-80.6400
a Wan et al. (2021) [25]0.5000
G China Statistical Yearbook 2022 4-50.0152
G U China Statistical Yearbook 2022 10-12 7-30.3985
γ 1 Wan et al. (2018) [23]0.7700
η Wan et al. (2018) [23]0.7000
σ Wan et al. (2021) (2022) [23,24]1.5000
Disclaimer/Publisher’s Note: The statements, opinions and data contained in all publications are solely those of the individual author(s) and contributor(s) and not of MDPI and/or the editor(s). MDPI and/or the editor(s) disclaim responsibility for any injury to people or property resulting from any ideas, methods, instructions or products referred to in the content.

Share and Cite

MDPI and ACS Style

Wan, B. The Impact of Cultural Capital on Economic Growth Based on Green Low-Carbon Endogenous Economic Growth Model. Sustainability 2024, 16, 1781. https://doi.org/10.3390/su16051781

AMA Style

Wan B. The Impact of Cultural Capital on Economic Growth Based on Green Low-Carbon Endogenous Economic Growth Model. Sustainability. 2024; 16(5):1781. https://doi.org/10.3390/su16051781

Chicago/Turabian Style

Wan, Bingyue. 2024. "The Impact of Cultural Capital on Economic Growth Based on Green Low-Carbon Endogenous Economic Growth Model" Sustainability 16, no. 5: 1781. https://doi.org/10.3390/su16051781

APA Style

Wan, B. (2024). The Impact of Cultural Capital on Economic Growth Based on Green Low-Carbon Endogenous Economic Growth Model. Sustainability, 16(5), 1781. https://doi.org/10.3390/su16051781

Note that from the first issue of 2016, this journal uses article numbers instead of page numbers. See further details here.

Article Metrics

Back to TopTop